《电力系统分析》朱一纶课后习题解
- 格式:docx
- 大小:29.18 KB
- 文档页数:17
电力系统分析第一章习题1-1 动力系统、电力系统和电力网的基本构成形式如何?答:由生产、变换、传送、分配和消耗电能的电气设备(发电机、变压器、电力线路以及各种用电设备等)联系在一起组成的统一整体就是电力系统。
动力系统是电力系统和发电厂动力部分的总和。
电力网是电力系统的中出去发电机和用电设备外的部分。
1-2 根据发电厂使用一次能源的不同,发电厂主要有哪几种形式?答:发电厂主要有火力发电厂、水力发电厂、核动力发电厂和其他能源(太阳能、风能、潮汐等)发电厂。
1-3 电力变压器的主要作用是什么?主要类别有哪些?答:电力变压器的主要作用是升高或者降低电压,还能起到将不同电压等级的电网相联系的作用。
按相数可分为单相式和三相式两类;按每相绕组数可分为双绕组和三绕组变压器;按耦合方式可分为普通变压器和自耦变压器;按分接开关是否可以带负荷操作可分为有载调压式和无载调压式变压器。
1-4 架空线路与电缆线路有什么特点?答:架空线路是将裸导线架设在杆塔上,由导线、避雷线、杆塔、绝缘子和金具等主要元件组成。
它的导线和避雷线受各种因数影响,运行条件恶劣,因而其材料都具有相当高的机械强度和抗化学腐蚀能力还具有良好的导电性能。
当电路电压超过220v时还采用扩径导线或者分裂导线。
电缆线路一般是将电缆敷设在地下,由导线、绝缘层保护皮组成,电缆线路价格较架空线路高,维修费时,但不需要在地面上架设杆塔、占地面积较小、供电可靠、不易受外力破坏,对人身较安全,不影响环境美观。
1-5 直流输电与交流输电比较有什么特点?答:直流输电主要优点:(1)造价低;(2)运行费用低;(3)不需要串并联补偿;(4)不存在稳定性问题;(5)采用直流联络线可以限制互联系统的短路容量。
直流输电主要缺点:(1)换流站造价高;(2)换流装置在运行中需要消耗功率并且产生谐波;(3)只留高压断路器造价比较高。
1-6 电力系统的结构有何特点?比较有备用和无备用接线形式的主要区别。
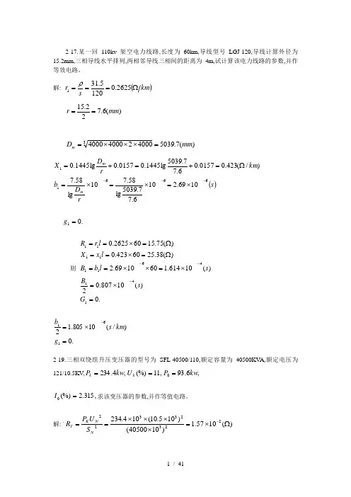
2-17.某一回110kv 架空电力线路,长度为60km,导线型号LGJ-120,导线计算外径为15.2mm,三相导线水平排列,两相邻导线三相间的距离为4m,试计算该电力线路的参数,并作等效电路。
解: ()km sr Ω===2625.01205.311ρ)(6.722.15mm r ==)(7.503940002400040003mm D m =⨯⨯⨯=()s r D b km r D X m m 666111069.2106.77.5039lg 58.710lg58.7)/(423.00157.06.77.5039lg 1445.00157.0lg1445.0---⨯=⨯=⨯=Ω=+=+= .01=g则 .0)(10807.02)(10614.1601069.2)(38.2560423.0)(75.15602625.014146111111=⨯=⨯=⨯⨯==Ω=⨯==Ω=⨯==---G s B s l b B l x X l r R.0)/(10805.12161=⨯=-g km s b2-19.三相双绕组升压变压器的型号为SFL-40500/110,额定容量为40500KV A,额定电压为121/10.5KV,,4.234kw P k =,11(%)=k U ,6.930kw P =,315.2(%)0=I 求该变压器的参数,并作等值电路。
解: `)(1057.1)1040500()105.10(104.23422323322Ω⨯=⨯⨯⨯⨯==-NN K T S U P R)(105.8)105.10(1001040500315.2100(%))(1049.8)105.10(106.93)(3.010********)105.10(11100(%)3233204233203232S U S I B S U P G S U U X NN T NT N N N T --⨯=⨯⨯⨯⨯==⨯=⨯⨯==Ω=⨯⨯⨯⨯==2-20.三相三绕组降压变压器的型号为SFPSL-120000/220,额定容量为120000/120000/60000KV A,额定电压为220/121/11KV ,,601)21(KW P K =-,5.182)31(KW P K =-,25.28(%),85.14(%),5.132)31()21()32(===---K K K U U KW P ,663.0(%),135,96.7(%)00)32(===-I KW P U K 求该变压器的参数,并作等值电路。
2-17.某一回110kv 架空电力线路,长度为60km,导线型号LGJ-120,导线计算外径为15.2mm,三相导线水平排列,两相邻导线三相间的距离为4m,试计算该电力线路的参数,并作等效电路。
解:()km s r Ω===2625.01205.311ρ则.0)(10807.02)(10614.1601069.2)(38.2560423.0)(75.15602625.014146111111=⨯=⨯=⨯⨯==Ω=⨯==Ω=⨯==---G s B s l b B l x X l r R2-19.三相双绕组升压变压器的型号为SFL-40500/110,额定容量为40500KVA,额定电压为121/10.5KV,,4.234kw P k =,11(%)=k U ,6.930kw P =,315.2(%)0=I 求该变压器的参数,并作等值电路。
解:`)(1057.1)1040500()105.10(104.23422323322Ω⨯=⨯⨯⨯⨯==-NN K T S U P R 2-20.三相三绕组降压变压器的型号为SFPSL-120000/220,额定容量为120000/120000/60000KVA,额定电压为220/121/11KV,,601)21(KW P K =-,5.182)31(KW P K =-,25.28(%),85.14(%),5.132)31()21()32(===---K K K U U KW P ,663.0(%),135,96.7(%)00)32(===-I KW P U K 求该变压器的参数,并作等值电路。
解:I:)(601)21(KW P K =-II :96.7(%),25.28(%),85.14(%))32()31()21(===---K K K U U UIII :)(1079.2)10220(101356233210S U P G N T -⨯=⨯⨯== IV :)(10644.1)10220(100101012663.0100(%)52334210S U S I B N N T -⨯=⨯⨯⨯⨯⨯== 2-22.双水内冷汽轮同步发电机的型号为TQFS-125-2,,125MW P N =,18.0,257.0,867.1,8.13,85.0cos ''=====d d d N N X X X KV U ϕ试计算该发电机的直轴同步电抗d X ,暂态电抗'd X ,直轴次暂态电抗''d X 的有名值.解:22cos 1.295()N N NN N NU U Z S P ϕ===Ω2-23.电抗器型号为NKL-6-500-4,,500,6A I KV U N N ==电抗器电抗百分数.4(%)=L X 试计算该电抗器电抗的有名值. 解:)(277.0500310010643100(%)3Ω=⨯⨯⨯==NN L L I U X XChapter 三3-1.电力系统阻抗中的功率损耗表达式是什么?电力线路始.末端的电容功率表达式是什么?答:)(222L L i i i L L L jX R U Q P Q j P S ++=∆+∆=∆3-8.110kv 双回架空电力线路,长度为150km ,导线型号为LGJ-120,导线计算外径为15.2mm,三相导线几何平均距离为5m,已知电力线路末端负荷为30+j15MVA,末端电压为106kv,求始端电压、功率,并做出电压相量图。
电力系统分析朱一纶课后习题选择填空解答第一章1)电力系统的综合用电负荷加上网络中的功率损耗称为(D)A、厂用电负荷B、发电负荷C、工业负荷D、供电负荷2)电力网某条线路的额定电压为Un=110kV,则这个电压表示的是(C)A、相电压B、1相电压 C、线电压 D、 3线电压3)以下(A)不是常用的中性点接地方式。
A、中性点通过电容接地B、中性点不接地C、中性点直接接地D、中性点经消弧线圈接地4)我国电力系统的额定频率为(C)A、 30HzB、40HzC、50HzD、60Hz5)目前,我国电力系统中占最大比例的发电厂为(B)A、水力发电厂B、火力发电厂C、核电站D、风力发电厂6)以下(D)不是电力系统运行的基本要求。
A、提高电力系统运行的经济性B、安全可靠的持续供电C、保证电能质量D、电力网各节点电压相等7)一下说法不正确的是(B)A、火力发电需要消耗煤、石油B、水力发电成本比较大C、核电站的建造成本比较高 D太阳能发电是理想能源8)当传输的功率(单位时间传输的能量)一定时,(A)A、输电的压越高,则传输的电流越小B、输电的电压越高,线路上的损耗越大C、输电的电压越高,则传输的电流越大D、线路损耗与输电电压无关9)对(A)负荷停电会给国民经济带来重大损失或造成人身事故.A、一级负荷B、二级负荷C、三级负荷D、以上都不是10)一般用电设备满足(C)A、当端电压减小时,吸收的无功功率增加B、当电源的频率增加时,吸收的无功功率增加C、当端电压增加时,吸收的有功功率增加D、当端电压增加时,吸收的有功功率减少填空题在后面第二章1)电力系统采用有名制计算时,三相对称系统中电压、电流、功率的关系表达式为(A)A.S=UI B.S=3UI C.S=UIcos? D.S=UIsin?2)下列参数中与电抗单位相同的是(B)A、电导B、电阻C、电纳D、导纳3)三绕组变压器的分接头,一般装在(B)A、高压绕组好低压绕组B、高压绕组和中压绕组 C、中亚绕组和低压绕组D、三个绕组组装4)双绕组变压器,Γ型等效电路中的导纳为(A)A。
电力系统分析课后习题参考答案第1章1-1.选择填空1)电力系统的综合用电负荷加上网络中的功率损耗称为(D)A.厂用电负荷B.发电负荷C.工业负荷D.供电负荷2)电力网某条线路的额定电压为UN=110kV,则这个电压表示的是(C)1A. 相电压B.相电压3C.线电压D.3线电压3)以下(A)不是常用的中性点接地方式A. 中性点通过电容接地B中性点不接地C.中性点直接接地 D. 中性点经消弧线圈接地4)我国电力系统的额定频率为(C)A.30Hz B. 40HzC. 50HzD. 60Hz5)目前,我国电力系统中占最大比例的发电厂为( B )A.水力发电厂 B.火力发电厂C.核电站 D.风力发电厂6)以下(D)不是电力系统运行的基本要求A. 提高电力系统运行的经济性B. 安全可靠的供电C. 保证电能质量D. 电力网各节点电压相等7)以下说法不正确的是(B)A.火力发电需要消耗煤、石油 B.水力发电成本比较大C.核电站的建造成本比较高 D. 太阳能发电是理想的能源8)当传输的功率(单位时间传输的能量)一定时,(A)A.输电的电压越高,则传输的电流越小B.输电的电压越高,线路上的损耗越大C.输电的电压越高,则传输的电流越大D.线路损耗与输电电压无关9)对( A )负荷停电会给国民经济带来重大损失或造成人身事故。
A.一级负荷 B. 二级负荷C.三级负荷 D. 以上都不是10)一般用电设备满足( C )A.当端电压减小时,吸收的无功功率增加B.当电源的频率增加时,吸收的无功功率增加C.当端电压增加时,吸收的有功功率增加。
D.当端电压增加时,吸收的有功功率减少1-2.填空题1)电力系统由(发电机(电源)、负荷(用电设备)以及电力网(连接发电机和负荷的设备)三部分构成。
2)电力系统的常用额定电压等级有( 500kV、220kV、110kV、35 kV 10kV ) (至少写出三个)。
3)发电机的额定电压与系统的额定电压为同一等级时,发电机的额定电压与系统的额定电压的关系为(发电机的额定电压规定比系统的额定电压高5%或7.5%)4)电力系统的运行特点是(电能与国民经济各部门以及人民的生活关系密切,电能不能大量贮存,电力系统中的暂态过程十分迅速)。
2-17.某一回110kv 架空电力线路,长度为60km,导线型号LGJ-120,导线计算外径为15.2mm,三相导线水平排列,两相邻导线三相间的距离为4m,试计算该电力线路的参数,并作等效电路。
解: ()km sr Ω===2625.01205.311ρ)(6.722.15mm r ==)(7.503940002400040003mm D m =⨯⨯⨯=()s r D b km r D X m m 666111069.2106.77.5039lg 58.710lg58.7)/(423.00157.06.77.5039lg 1445.00157.0lg1445.0---⨯=⨯=⨯=Ω=+=+= .01=g则 .0)(10807.02)(10614.1601069.2)(38.2560423.0)(75.15602625.014146111111=⨯=⨯=⨯⨯==Ω=⨯==Ω=⨯==---G s B s l b B l x X l r R.0)/(10805.12161=⨯=-g km s b2-19.三相双绕组升压变压器的型号为SFL-40500/110,额定容量为40500KV A,额定电压为121/10.5KV,,4.234kw P k =,11(%)=k U ,6.930kw P =,315.2(%)0=I 求该变压器的参数,并作等值电路。
解: `)(1057.1)1040500()105.10(104.23422323322Ω⨯=⨯⨯⨯⨯==-NN K T S U P R)(105.8)105.10(1001040500315.2100(%))(1049.8)105.10(106.93)(3.010********)105.10(11100(%)3233204233203232S U S I B S U P G S U U X NN T NT N N N T --⨯=⨯⨯⨯⨯==⨯=⨯⨯==Ω=⨯⨯⨯⨯==2-20.三相三绕组降压变压器的型号为SFPSL-120000/220,额定容量为120000/120000/60000KV A,额定电压为220/121/11KV ,,601)21(KW P K =-,5.182)31(KW P K =-,25.28(%),85.14(%),5.132)31()21()32(===---K K K U U KW P ,663.0(%),135,96.7(%)00)32(===-I KW P U K 求该变压器的参数,并作等值电路。
电力系统分析习题解答南京理工大学紫金学院1 电力系统的基本概念1.1 思考题、习题1)电力网、电力系统和动力系统的定义是什么?2)对电力系统运行的基本要求是什么?3)电力系统的电气接线图和地理接线图有何区别?4)何为电力系统的中性点?其运行方式如何?它们有什么特点?我国电力系统中性点运行情况如何?5)中性点不接地的电力系统发生单相接地故障时,各相对地电压有什么变化?单相接地电流的性质如何?怎样计算?6)消弧线圈的工作原理是什么?补偿方式有哪些?电力系统一般采用哪种补偿方式?为什么?7)电力系统的额定电压是如何确定的?系统各元件的额定电压如何确定?8)目前我国电力系统的额定电压等级有哪些?额定电压等级选择确定原则有哪些?9)电力系统的接线方式有哪些?各自的优、缺点有哪些?10)联合电力系统的优越性有哪些?11)某一60kV电力线路长为100km,每相导线对地电容为0.005μF/km,当电力线路末端发生单相接地故障时,试求接地电容电流值(60kV系统中性点经消弧线圈接地)。
1.2 习题解答1-11.I d=16.324 A2 电力系统各元件的特性参数和等值电路2.1 思考题、习题1)发电机的等值电路有几种形式?它们等效吗?为什么?2)发电机电抗百分值X G%的含义是什么?3)发电机的运行受哪些条件的约束?发电机的运行极限有哪些?4)什么是发电机的功角特性?隐极式发电机和凸极式发电机的功角特性有何区别?5)按结构区分,电力线路主要有哪几类?6)架空线路主要有哪几部分组成?各部分的作用是什么?7)电缆线路主要有哪几部分组成?各部分的作用是什么?8)在电力系统计算时,导线材料的电阻率ρ为什么略大于它们的直流电阻率?9)分裂导线的作用是什么?分裂数为多少合适?为什么?10)电力线路一般以什么样的等值电路来表示?11)什么是变压器的短路试验和空载试验?从这两个试验中可确定变压器的哪些参数?12)变压器短路电压百分数U k%的含义是什么?13)双绕组和三绕组变压器一般以什么样的等值电路表示?双绕组变压器的等值电路与电力线路的等值电路有何异同?14)变压器的额定容量与其绕组的额定容量有什么关系?绕组的额定容量对于计算变压器参数有什么影响?何为三绕组变压器的最大短路损耗?15)三绕组自耦变压器和普通三绕组变压器有何异同点?16)变压器的参数具有电压级的概念,是如何理解的?17)等值变压器模型是以什么样的等值电路来表示变压器的?有哪些特点?又是如何推导的?18)何为负荷的定义?何为综合用电负荷、供电负荷和发电负荷的定义和区别?19)电力系统负荷曲线有哪些?它们有何用途?20)组成电力系统等值网络的基本条件是什么?如何把多电压级电力系统等值成用有名制表示的等值网络?21)标幺值极其特点是什么?在电力系统计算中,基准值如何选择?22)电力系统元件参数用标幺值表示时,是否可以直接组成等值网络?为什么?23)电力系统元件参数标幺值的两种计算方法是否相同?为什么?自己试证明一下。
电力系统分析课后习题答案第一章电力系统概述和基本概念1-1 电力系统和电力网的定义是什么?答:通常将生产、变换、输送、分配电能的设备如发电机、变压器、输配电电力线路等,使用电能的设备如电动机、电炉、电灯等,以及测量、继电保护、控制装置乃至能量管理系统所组成的统一整体,称为电力系统。
电力系统中,各种电压等级的输配电力线路及升降变压器所组成的部分称为电力网络。
1-2 电力系统接线图分为哪两种?有什么区别?答:地理接线图:电力系统的地理接线图主要显示该系统中发电厂、变电所的地理位置,电力线路的路径,以及它们相互间的连接。
地理接线图不能更加详细地反映电力系统各电气设备之间的连接关系。
电气接线图:电力系统的电气接线图主要显示该系统中发电机、变压器、母线、断路器、电力线路之间的电气接线。
电气接线图并不侧重反映系统中发电厂、变电所的地理位置,电力线路的路径,以及它们相互间的连接。
1-3 对电力系统运行的基本要求是什么?电能生产的基本特点是什么?答:对电力系统运行的基本要求是:(1)保证系统运行的安全可靠性(2)保证良好的电能质量(3)保证运行的经济性。
另外,环境保护问题日益受到人们的关注。
火力发电厂生产的各种污染物质,包括氧化硫、氧化氮、飞灰等排放量将受到严格限制,也将成为对电力系统运行的要求。
电能生产的特点是:(1)电能与国民经济各个部门、国防和日常生活之间的关系都很密切。
(2)电能不能大量储存。
(3)电力系统中的暂态过程十分迅速(4)对电能质量的要求比较严格。
1-4 电力系统的额定电压是如何确定的?系统元件的额定电压是多少?什么叫电力线路的平均额定电压?答:电力系统额定电压的确定,首先应从电力系统输送电能的经济性上考虑。
因为电力线路的三相输送功率S和线电压U、线电流I之间的关系为S=sqrt(3)UI,当输送功率S一定时,输电电压U越高,则电流I越小,因此选用的导线截面积可相应减小,投资也就越小。
但电压U越高,对绝缘的要求越高,杆塔、变压器、断路器等的绝缘的投资也越大。
电力系统分析朱一纶课后习题选择填空解答第一章1)电力系统的综合用电负荷加上网络中的功率损耗称为(D)A、厂用电负荷B、发电负荷C、工业负荷D、供电负荷2)电力网某条线路的额定电压为Un=110kV,则这个电压表示的是(C)A、相电压B、1相电压 C、线电压 D、 3线电压3)以下(A)不是常用的中性点接地方式。
A、中性点通过电容接地B、中性点不接地C、中性点直接接地D、中性点经消弧线圈接地4)我国电力系统的额定频率为(C)A、 30HzB、 40HzC、50HzD、 60Hz5)目前,我国电力系统中占最大比例的发电厂为(B)A、水力发电厂B、火力发电厂C、核电站D、风力发电厂6)以下(D)不是电力系统运行的基本要求。
A、提高电力系统运行的经济性B、安全可靠的持续供电C、保证电能质量D、电力网各节点电压相等7)一下说法不正确的是(B)A、火力发电需要消耗煤、石油B、水力发电成本比较大C、核电站的建造成本比较高 D太阳能发电是理想能源8)当传输的功率(单位时间传输的能量)一定时,(A)A、输电的压越高,则传输的电流越小B、输电的电压越高,线路上的损耗越大C、输电的电压越高,则传输的电流越大D、线路损耗与输电电压无关9)对(A)负荷停电会给国民经济带来重大损失或造成人身事故。
A、一级负荷B、二级负荷C、三级负荷D、以上都不是10)一般用电设备满足(C)A、当端电压减小时,吸收的无功功率增加B、当电源的频率增加时,吸收的无功功率增加C、当端电压增加时,吸收的有功功率增加D、当端电压增加时,吸收的有功功率减少填空题在后面第二章1)电力系统采用有名制计算时,三相对称系统中电压、电流、功率的关系表达式为(A)A.S=UI B.S=3UI C.S=UIcos? D.S=UIsin?2)下列参数中与电抗单位相同的是(B)A、电导B、电阻C、电纳D、导纳3)三绕组变压器的分接头,一般装在(B)A、高压绕组好低压绕组B、高压绕组和中压绕组C、中亚绕组和低压绕组D、三个绕组组装4)双绕组变压器,Γ型等效电路中的导纳为( A )A.GT-jBT B.-GT-jBT C.GT+jBT D.-GT+jBT5)电力系统分析常用的五个量的基准值可以先任意选取两个,其余三个量可以由其求出,一般选取的这两个基准值是(D )A.电压、电流B.电流、电抗C.电压、电抗D.线电压、三相功率6)额定电压等级为500KV的电力线路的平均额定电压为(C)A. 550kVB. 520 kVC. 525kVD. 500kV7)已知某段10kV的电压等级电力线路的电抗X=50Ω,若取SB=100MVA,UB=10kV,则这段电力线路的电抗标幺值为(B)A、X*=50Ω B、X*=50 C、X*=0.5 D、X*=58)若已知变压器的容量为SN,两端的电压比为110/11kV。
第9章习题9-1选择填空1.简单电力系统的静态稳定判据为( B )A.D p E/d δ<0 B. d P E/d δ>0C. d P E/d ω<0D. P E<02.电力系统稳定性不包括( C )A.频率稳定 B.功角稳定C.输出功率稳定 D. 电压稳定3.提高电力系统稳定性的一般原则不包括( C )A.尽可能提高电力系统的功率极限P E maxB.尽可能减小发电机相对运动的振荡幅度C.尽可能减小输出功率D.抑制电力系统自发振荡的发生4.应用等面积定则判断简单系统暂态稳定时,系统稳定的条件是( B )A.加速面积大于减速面积 B. 加速面积小于减速面积C. 加速面积为无限大D. 减速面积为05..小干扰法适用于简单电力系统的( A )A.静态稳定性分析 B.暂态稳定性分析C. 潮流分析D.短路故障分析6.分析简单系统的暂态稳定性,确定系统的极限切除角依据的原则是( D )A.正序等效定则B.等耗量微增率准则C.等力矩原则D.等面积定则7.等面积定则主要用于简单电力系统的( D )A.潮流计算B.故障计算C.调压计算D.暂态稳定性分析8. 提高电力系统稳定性的措施中不包括( B )A .输电线路设置开关站B .输电线路中串联电感C .变压器中性点经小阻抗接地D .输电线路中串联电容9.电力系统出现频率下降的主要原因是系统的( B )A .负荷消耗的无功功率过大 B.负荷消耗的有功功率过大C .电源提供的无功功率过大 D.电源提供的有功功率过大10. 励磁调节使发电机电势E G 随着δ增大而( A )A .增大 B.减小C .不变 D. 不一定9-2 填空1.电力系统静态稳定性判据是( 0d dP E >δ)。
2. 为了保证电力系统安全可靠运行,要求留有一定的静态稳定储备。
静态稳定功率储备系数K P 为( 100%P P -P K EE Emax P ⨯= ) 3.电力系统稳定性主要包括了(频率稳定、电压稳定和功角稳定)三个方面。
电力系统分析习题集华北电力大学前言本书是在高等学校教材《电力系统稳态分析》和《电力系统暂态分析》多次修改之后而编写的与之相适应的习题集。
电力系统课程是各高等院校、电气工程专业的必修专业课,学好这门课程非常重要,但有很大的难度。
根据国家教委关于国家重点教材的编写要求,为更好地满足目前的教学需要,为培养出大量高质量的电力事业的建设人材,我们编写了这本《电力系统分析习题集》。
力求使该书具有较强的系统性、针对性和可操作性,以便能够使学生扎实的掌握电力系统基本理论知识,同时也能够为广大电力工程技术人员提供必要的基础理论、计算方法,从而更准确地掌握电力系统的运行情况,保证电力系统运行的可靠、优质和经济。
全书内容共分十五章,第一至第六章是《电力系统稳态分析》的习题,第七至第十四章是《电力系统暂态分析》的习题,第十五章是研究生入学考试试题。
本书适用于高等院校的师生、广大电力工程技术人员使用,同时也可作为报考研究生的学习资料。
由于编写的时间短,内容较多,书中难免有缺点、错误,诚恳地希望读者提出批评指正。
目录第一部分电力系统稳态分析第一章电力系统的基本概念第二章电力系统的元件参数及等值电路第三章简单电力系统的计算和分析第四章电力系统潮流的计算机算法第五章电力系统的有功功率和频率调整第六章电力系统的无功功率和电压调整第二部分电力系统暂态分析第七章电力系统故障分析的基本知识第八章同步发电机突然三相短路分析第九章电力系统三相短路的实用计算第十章对称分量法及元件的各序参数和等值电路第十一章不对称故障的分析、计算第十二章电力系统各元件的机电特性第十三章电力系统静态稳定第十四章电力系统暂态稳定第十五章研究生入学考试试题附录第一部分电力系统稳态分析电力系统稳态分析,研究的内容分为两类,一类是电力系统稳态运行状况下的分析与潮流分布计算,另一类是电力系统稳态运行状况的优化和调整。
第一章电力系统的基本概念1-1 什么叫电力系统、电力网及动力系统?电力系统为什么要采用高压输电?1-2 为什么要规定额定电压?电力线、发电机、变压器和用电设备的额定电压是如何确定的?1-3 我国电网的电压等级有哪些?1-4 标出图1-4电力系统中各元件的额定电压。
电力系统分析朱一纶课后习题选择填空解答第一章1)电力系统的综合用电负荷加上网络中的功率损耗称为(D)A、厂用电负荷B、发电负荷C、工业负荷D、供电负荷2)电力网某条线路的额定电压为Un=110kV,则这个电压表示的是(C)A、相电压 B、1相电压 C、线电压 D、 3线电压3)以下(A)不是常用的中性点接地方式。
A、中性点通过电容接地B、中性点不接地C、中性点直接接地D、中性点经消弧线圈接地4)我国电力系统的额定频率为(C)A、 30HzB、 40HzC、50HzD、 60Hz5)目前,我国电力系统中占最大比例的发电厂为(B)A、水力发电厂B、火力发电厂C、核电站D、风力发电厂6)以下(D)不是电力系统运行的基本要求。
A、提高电力系统运行的经济性B、安全可靠的持续供电C、保证电能质量D、电力网各节点电压相等7)一下说法不正确的是(B)A、火力发电需要消耗煤、石油B、水力发电成本比较大C、核电站的建造成本比较高 D太阳能发电是理想能源8)当传输的功率(单位时间传输的能量)一定时,(A)A、输电的压越高,则传输的电流越小B、输电的电压越高,线路上的损耗越大C、输电的电压越高,则传输的电流越大D、线路损耗与输电电压无关9)对(A)负荷停电会给国民经济带来重大损失或造成人身事故。
A、一级负荷B、二级负荷C、三级负荷D、以上都不是10)一般用电设备满足(C)A、当端电压减小时,吸收的无功功率增加B、当电源的频率增加时,吸收的无功功率增加C、当端电压增加时,吸收的有功功率增加D、当端电压增加时,吸收的有功功率减少填空题在后面第二章1)电力系统采用有名制计算时,三相对称系统中电压、电流、功率的关系表达式为(A)A.S=UI B.S=3UI C.S=UIcos? D.S=UIsin?2)下列参数中与电抗单位相同的是(B)A、电导B、电阻C、电纳D、导纳3)三绕组变压器的分接头,一般装在(B)A、高压绕组好低压绕组B、高压绕组和中压绕组C、中亚绕组和低压绕组D、三个绕组组装4)双绕组变压器,Γ型等效电路中的导纳为( A )A.GT-jBT B.-GT-jBT C.GT+jBT D.-GT+jBT5)电力系统分析常用的五个量的基准值可以先任意选取两个,其余三个量可以由其求出,一般选取的这两个基准值是(D )A.电压、电流B.电流、电抗C.电压、电抗D.线电压、三相功率6)额定电压等级为500KV的电力线路的平均额定电压为(C)A. 550kVB. 520 kVC. 525kVD. 500kV7)已知某段10kV的电压等级电力线路的电抗X=50Ω,若取SB=100MVA,UB=10kV,则这段电力线路的电抗标幺值为(B)A、X*=50Ω B、X*=50 C、X*=0.5 D、X*=58)若已知变压器的容量为SN,两端的电压比为110/11kV。
习题解答第1章1—1 选择填空 DCACB DBAAC1-2 填空1)发电机(电源)、负荷(用电设备)以及电力网(连接发电机和负荷的设备) 2)500kV 、220kV 、110kV 、10kV3)发电机的额定电压规定比系统的额定电压高5%或7。
5%4)电能与国民经济各部门以及人民的生活关系密切,电能不能大量贮存,电力系统中的暂态过程十分迅速。
5)50Hz,±0。
2Hz6)10%7)中性点直接接地8)日负荷率和最小日负荷系数,日负荷率m ax P P k av m =,最小日负荷系数max min P P =α 9)35kV , 向终端用户配送满足质量要求的电能.10) 110kV ,将大量的电能从发电厂远距离传输到负荷中心。
1—3 简答1)假设电力系统中的负荷始终等于最大值P max ,经过T max 小时后所消耗的电能恰好等于全年的实际耗电量,则称T max 为最大负荷利用小时数。
2)负荷对供电可靠性的要求,可将负荷分成三级:一级负荷:是指对这类负荷停电会给国民经济带来重大损失或造成人身事故,所以一级负荷不允许停电,必须由两个或两个以上的独立电源供电.二级负荷:是指对这类负荷停电会给国民经济带来一定的损失,影响人民生活水平.所以二级负荷尽可能不停电,可以用两个独立电源供电或一条专用线路供电。
三级负荷:是指对这类负荷停电不会产生重大影响,一般采用一条线路供电即可。
3)有两大类,为有效接地方式和非有效接地系统。
输电网中的变压器中性点通常采用中性点直接接地或经小阻抗接地的有效接地方式。
配电网通常是采用中性点不接地或经消弧线圈接地的非有效接地系统.4)电力系统中描述电能质量最基本的指标是频率和电压。
我国规定电力系统的额定频率为50Hz ,允许偏差为±0。
2Hz,规定各点的电压允许变化范围为该点额定电压的±5%。
5)安全可靠的供电,保证电能质量和尽可能提高电力系统运行的经济性。
电力系统分析课后习题解答第1章 绪论1-1答:能保证电气设备正常运行,且具有最佳技术指标和经济指标的电压,称为额定电压。
用电设备的额定电压和电网的额定电压相等。
发电机的额定电压比所连接线路的额定电压高5%,用于补偿电网上的电压损失.变压器一次绕组的额定电压等于电网的额定电压。
当升压变压器与发电机直接相连时,一次绕组的额定电压与发电机的额定电压相同。
变压器二次绕组的额定电压一般比同级电网的额定电压高10%。
当变压器二次侧输电距离较短,或变压器阻抗较小(小于7%)时,二次绕组的额定电压可只比同级电网的额定电压高5%. 1-2答:一般情况下,输电线路的电压越高,可输送的容量(输电能力)就越大,输送的距离也越远.因为输电电压高,线路损耗少,线路压降就小,就可以带动更大容量的电气设备。
在相同电压下,要输送较远的距离,则输送的容量就小,要输送较大的容量,则输送的距离就短.当然,输送容量和距离还要取决于其它技术条件以及是否采取了补偿措施等. 1-3答:是一个假想的时间,在此时间内,电力负荷按年最大负荷持续运行所消耗的电能,恰好等于该电力负荷全年实际消耗的电能。
1—4 解:(1)G :10。
5kV ;T —1:10。
5kV/242kV ;T-2:220kV/121kV ,220kV/38。
5kV ;T —3:110kV/11kV ; T —4:35kV/6。
6kV ;T-5:10。
5kV/3。
3kV ,(长线路) 10.5kV/3.15kV (短线路) (2)T —1工作于+5%抽头:实际变比为10.5/242×(1+5%)=10。
5/254.1,即K T —1=254。
1/10。
5=24.2;T-2工作于主抽头:实际变比为K T —2(1—2)=220/121=1.818;K T —2(1—3)=220/38。
5=5.714; K T-2(2—3)=121/38.5=3.143;T-3工作于-2。
电力系统分析xx课后习题选择填空解答第一章1)电力系统的综合用电负荷加上网络中的功率损耗称为(D)A、厂用电负荷B、发电负荷C、工业负荷D、供电负荷2)电力网某条线路的额定电压为Un=110kV,则这个电压表示的是(C)A、相电压B、1相电压C、线电压D、3线电压3)以下(A)不是常用的中性点接地方式。
A、中性点通过电容接地B、中性点不接地C、中性点直接接地D、中性点经消弧线圈接地4)我国电力系统的额定频率为(C)A、30HzB、40HzC、50HzD、60Hz5)目前,我国电力系统中占最大比例的发电厂为(B)A、水力发电厂B、火力发电厂C、核电站D、风力发电厂6)以下(D)不是电力系统运行的基本要求。
A、提高电力系统运行的经济性B、安全可靠的持续供电C、保证电能质量D、电力网各节点电压相等7)一下说法不正确的是(B)A、火力发电需要消耗煤、石油B、水力发电成本比较大C、核电站的建造成本比较高D太阳能发电是理想能源8)当传输的功率(单位时间传输的能量)一定时,(A)A、输电的压越高,则传输的电流越小B、输电的电压越高,线路上的损耗越大C、输电的电压越高,则传输的电流越大D、线路损耗与输电电压无关9)对(A)负荷停电会给国民经济带来重大损失或造成人身事故。
A、一级负荷B、二级负荷C、三级负荷D、以上都不是10)一般用电设备满足(C)A、当端电压减小时,吸收的无功功率增加B、当电源的频率增加时,吸收的无功功率增加C、当端电压增加时,吸收的有功功率增加D、当端电压增加时,吸收的有功功率减少填空题在后面第二章1)电力系统采用有名制计算时,三相对称系统中电压、电流、功率的关系表达式为(A)A.S=UI B.S=3UI C.S=UIcos? D.S=UIsin?2)下列参数中与电抗单位相同的是(B)A、电导B、电阻C、电纳D、导纳3)三绕组变压器的分接头,一般装在(B)A、高压绕组好低压绕组B、高压绕组和中压绕组C、中亚绕组和低压绕组D、三个绕组组装4)双绕组变压器,Γ型等效电路中的导纳为(A )A.GT-jBT B.-GT-jBT C.GT+jBT D.-GT+jBT5)电力系统分析常用的五个量的基准值可以先任意选取两个,其余三个量可以由其求出,一般选取的这两个基准值是(D )A.电压、电流B.电流、电抗C.电压、电抗D.线电压、三相功率6)额定电压等级为500KV的电力线路的平均额定电压为(C)A. 550kVB. 520 kVC. 525kVD. 500kV7)已知某段10kV的电压等级电力线路的电抗X=50Ω,若取SB=100MVA,UB=10kV,则这段电力线路的电抗标幺值为(B)A、X*=50Ω B、X*=50C、X*=0.5D、X*=58)若已知变压器的容量为SN,两端的电压比为。
则归算到高端压,变22压器的电抗为(C)A.XT=UK%/100 X 11/SN B.XT=UK%/100 XSN/11C.XT=UK%/100 X 1102/SN D.XT=UK%/100 X SN/11029)下列说法不正确的是(D)A.高压架空电力线的电导一般忽略不计B.发电机的近似等效电路为一电压源C.多电压等级的电力网络中,各元件的参数要归算到基本电压级D.电阻标幺值的单位是Ω10)对于架空电力线路的电抗,一下说法不正确的是(B)A.与三相电力线路的排列有关B.与电力网的频率有关C.与是否采用分裂导线有关D以上说法都不对第三章1)电力系统潮流计算主要求取的物流量是(A)A.U,SB.U ;IC.I;S D Z ,I2)电力线路等效参数中消耗有功功率的是(C)A.电纳B.电感C.电阻D .电容3)电力线路首末端点电压的向量差称为(C)A.电压损耗B.电压偏移C.电压降落D.额定平均电压4)电力线路主要是用来传输(C)A.视在功率B.无功功率C.有功功率D.以上都不对5)电力系统某点传输的复功率定义为(D)A.UI B.UI C.UI D.UI(点米)6)设流过复阻抗Z=R+jX的线路电流为I,线路两端的电压为U,则线路消耗的有222功功率为(A)A.P=IR B.P=I|Z | C.U/|Z| D.P=UI7)当有功分点和无功分点为同一节点时,该节点电压是网络中的(B)A.最高电压B.最低电压C.平均电压D.额定电压8)变压器的励磁损耗(铁损)一般由等效电路中(C)确定A.电抗B.复阻抗支路C.接地支路的导纳D.电纳9)电力线路等效电路的电纳是()的,变压器的电纳是(B)的。
A.感性的,容性的B.容性的,感性的C.感性的,感性的D.容性的,容性的10)在高压输电线路中,电压降落的纵向分量主要是因传送(A)而产生的。
A.无功功率B.有功功率C.与功率无关D.以上都不对第五章1)电力系统的有功功率电源是(A)A、发电机B、变压器C、静止补偿器D、电容器2)发电机的单位调节功率可以表示为(B)A、KG???P?P?f?fB、KG??GC、KG?D、KG?G ?PG?PG?f?f。
*。
**~***~*3)最小负荷时将中枢点的电压调低,最大负荷时将中枢点的电压调高,这种中枢点调压方式为(C)A、顺调压B、恒调压C、逆调压D、以上都不是4)系统有功备用容量中,哪种可能不需要专门设置(D)A、负荷备用B、国民经济备用C、事故备用D、检修备用5)逆调压是指(C)A、高峰负荷时,低谷负荷时,将中枢点电压均调高。
B、高峰负荷时,将中枢点电压调低,低谷负荷时,将中枢点电压调高。
C、高峰负荷时,将中枢点电压周高,低谷负荷时,将中枢点电压调低。
D、高峰负荷时,低谷负荷时,将中枢点电压均调低。
6)电容器并联在系统中,它发出的无功功率与并联处的电压(B)A、一次方成正比B、二次方成正比C、三次方成正比D、无关7)借xx补偿电容器调压,可以(A)A、抵偿线路感抗B、增大线路感抗C、有时抵偿线路感抗,有时增大线路感抗D、抵偿线路容抗8)以下(B)不是电力系统的无功功率电源。
A、发电机B、变压器C、静止补偿器D、电容器9)负荷高峰时,流过变压器的功率(C),变压器的电压损耗()。
A、最大,不变B、最小,不变C、最大,最大D、最小,最小10)改变变压器的电压比调压时,(C)A、可以增加系统的无功功率输出B、减少系统的无功功率输出C、不改变无功功率需求的平衡状态D、可能增加也可能减少系统的无功功率输出第六章1)无限大功率电源供电的三相对称系统,发生三相短路,短路电流的非周期分量的衰减速度(D)A.A、B、C、三相不同B.A、C两相相同C.A、B两相相同D.A、B、C三相都相同2)无限大功率电源供电的三相对称系统,发生三相短路,短路电流的非周期分量起始值(A)A.A、B、C、三相不同B.A、C两相相同C.A、B两相相同D.A、B、C三相都相同3)系统发生三相短路故障后,越靠近短路点,电压(A)A.越低B.越高C.不变D.无穷大4)以下说法中不正确的是(C)A.短路电流可能出现的最大瞬时值称为冲击电流B.各种短路故障中,三相短路故障发生的概率最小C.短路电流的非周期分量是对称的D.在无穷大容量电源供电的电力系统中,短路电流周期分量的幅值是恒定的5)在电力系统的各种故障中,出现概率最大的是(B)A.三相短路故障B.单相接地短路故障C.两相接地故障D.断相故障6)以下说法正确的是(A)A.三相短路时短路电流的周期分量是三相对称的B.起始次暂态电流的幅值是始终不变的C.短路电流的大小与短路时间无关D.合闸相位就是电压的初相位7)下列各种故障类型中,属于纵向故障的是(D)A.两相短路B.两相短路接地C.单相接地短路D.两相断线8)无限大功率电源的内阻抗为(B)A.∞B.0C.0.3-1.0D.1.0-109)节点导纳矩阵为方阵,其阶数等于(B)A.网络中所有节点数B.网络中除参考点意外的节点数C.网络中所有节点数加1D.网络中所有节点数加210)计算三相短路功率时,下列公式中不正确的是(C)A.Skt*=It*B.Skt=3UNItC.Skt=UNItD.Skt=IW*SB第七章1)将三个不对称相量分解为三组对称相量的方法是(B)A.小干扰法B.对称分量法C.牛顿-拉夫逊法D.龙格-库塔法2)电力系统发生三相短路时,短路电流知包含(A)A.正序分量B.负序分量C.零序分量D.正序和零序分量3)当电力系统的某点出现A相直接接地短路时,下式(C)不成立。
A.UA=0B.IB=0C.IA=0D.IC=04)根据对称分量法,任何一组不对称的三个相量可以分解成为三组分量,不包含(C)分量。
A.正序分量B.负序分量C.直流分量D.零序分量5)在故障分析时,以下说法正确的是(A)A.发电机中是不存在正序电动势的B.发电机中是不存在负序电动势的C.发电机中是不存在零序电动势的D.同步发电机的负序电抗是不等于其正序电抗的6)在故障分析时,对变压器,以下说法不正确的是(D)A.变压器的正序、负序和零序的等效电阻相等B.变压器的正序、负序和零序的等效漏抗也相等C.变压器是一种静止元件D.变压器的正序。
负序、零序等效电路与外电路的连接方式相同7)在故障分析时,对电力线路,以下说法正确的是(B C)A.电力线路的正序参数与负序参数不相等B.架空电力线路的正序电抗大于电缆的电抗C.电力线路的正序参数与零序参数不相等D.电力线路的零序电抗一定等于正序电抗的3倍8)在故障分析时,对负荷的处理,一下说法不正确的是(C)A.在计算起始次暂态电流I”时,在短路点附近的综合负荷,用次暂态电动势和次暂态电抗串联构成的电压源表示B.在应用运算曲线确定短路后任意时刻的短路电流的周期分量时,略去所有的负荷C.异步电动机的零序电抗等于0D.异步电动机通常接成三角形或接成不接地的星型,零序电流不能流过9)已知A相的正序电压为UA=10∠30°KV,则以下正确的是(D)。
A.UB=10∠120°KVB.UB=10∠150°KVC. UC=10∠120°KVD.UC=10∠150°KV10)已知A相的正序电压为UA=10∠30°KV,则以下正确的是(D)。
B.UB=10∠120°KV B.UB=10∠150°KV 。
C. UC=10∠120°KVD.UC=10∠150°KV第八章1)当电力系统中发生a相直接接地短路时,故障处的a相电压为(D )?B. U?/2C. 3U?D. 0 A. Unnn2)系统发生短路故障后,越靠近短路点,正序电压(A )A.越低B.越高C.不变D.无穷大3)中性点接地电力系统发生短路后没有零序电流的不对称短路类型是(B )A.单相接地短路B.两相短路C.三相短路D.两相短路接地4)根据正序等效定则,当系统发生三相短路故障,附加阻抗ZA为(A )A.0 B.Zkk0 C.Zkk2 D.Zkk0-Zkk25)当系统中发生a相接地短路时,故障处的b相短路电流标幺值为(A)A.0 B.0.5 C.1 D.1.7326)当电力系统出现a、b两相直接短路时,下列边界条件成立的是(D)A.Ua=0 B.Ia=Ib C.Uc=0 D.Ia=-Ib7)在变压器的三角形(D)侧正序电压与其星形(YN)侧正序电压的相位关系是(C)A.两侧正序电压同相位B.D侧正序电压落后30°C.D侧正序电压超前30°D.以上说法都不正确8)以下说法不正确的是(B )。