04183概率论与数理统计(经管类)_第2章课后答案
- 格式:doc
- 大小:11.28 MB
- 文档页数:18
高等教育自学考试辅导《概率论与数理统计(经管类)》第二部分数理统计部分专题一统计量及抽样的分布I.考点分析近几年试题的考点分布和分数分布II.内容总结一、总体与样本1.总体:所考察对象的全体称为总体;组成总体的每个基本元素称为个体。
2.样本:从总体中随机抽取n个个体x1,x2…,x n称为总体的一个样本,个数n称为样本容量。
3.简单随机样本如果总体X的样本x1,x2…,x n满足:(1)x1与X有相同分布,i=1,2,…,n;(2)x1,x2…,x n相互独立,则称该样本为简单随机样本,简称样本。
得到简单随机样本的方法称为简单随机抽样方法。
4.样本的分布(1)联合分布函数:设总体X的分布函数为F(x),x1,x2…,x n为该总体的一个样本,则联合分布函数为二、统计量及其分布1.统计量、抽样分布:设x1,x2…,x n为取自某总体的样本,若样本函数T=T(x1,x2…,x n)不含任何未知参数,则称T为统计量;统计量的分布称为抽样分布。
2.样本的数字特征及其抽样分布:设x1,x2…,x n为取自某总体X的样本,(2)样本均值的性质:①若称样本的数据与样本均值的差为偏差,则样本偏差之和为零,即②偏差平方和最小,即对任意常数C,函数时取得最小值. (5)样本矩(7)正态分布的抽样分布A.应用于小样本的三种统计量的分布的为自由度为n的X2分布的α分位点.求法:反查X 2分布表.III.典型例题[答疑编号918020101]答案:D[答疑编号918020102]答案:[答疑编号918020103]答案:B[答疑编号918020104]答案:1[答疑编号918020105]答案:B[答疑编号918020106]故填20.[答疑编号918020107]解析:[答疑编号918020108]答案:解析:本题考核正态分布的叠加原理和x2-分布的概念。
根据课本P82,例题3-28的结果,若X~N(0,1),Y~N(0,1),且X与Y相互独立,则X+Y~N(0+0,1+1)=N(0,2)。
概率论与数理统计习题 第二章 随机变量及其分布习题2-1 一袋中装有5只球,编号为1,2,3,4,5.在袋中同时取3只,以X 表示取出的3只球中的最大号码,写出X 随机变量的分布律.解:X 可以取值3,4,5,分布律为1061)4,3,2,1,5()5(1031)3,2,1,4()4(1011)2,1,3()3(352435233522=⨯====⨯====⨯===C C P X P C C P XP C C P X P 中任取两球再在号一球为中任取两球再在号一球为号两球为号一球为也可列为下表X : 3, 4,5 P :106,103,101习题2-2 进行重复独立试验,设每次试验成功的概率为p ,失败的概率为p -1)10(<<p .(1)将试验进行到出现一次成功为止,以X 表示所需的试验次数,求X 的分布律.(此时称X 服从以p 为参数的几何分布.)(2)将试验进行到出现r 次成功为止,以Y 表示所需的试验次数,求Y 的分布律.(此时称Y 服从以p r ,为参数的巴斯卡分布.)(3)一篮球运动员的投篮命中率为%45.以X 表示他首次投中时累计已投篮的次数,写出X 的分布律,并计算X 取偶数的概率.解:(1)P (X=k )=qk -1p k=1,2,……(2)Y=r+n={最后一次实验前r+n -1次有n 次失败,且最后一次成功},,2,1,0,)(111 ===+=-+--+n p q C p p q C n r Y P r n n n r r n n n r 其中 q=1-p , 或记r+n=k ,则 P {Y=k }= ,1,,)1(11+=----r r k p p C rk r r k(3)P (X=k ) = (0.55)k -10.45k=1,2…P (X 取偶数)=311145.0)55.0()2(1121===∑∑∞=-∞=k k k k X P习题2-3 一房间有同样大小的窗子,其中只有一扇是打开的。
第二章 随机变量及其分布1、解:设公司赔付金额为X ,则X 的可能值为; 投保一年内因意外死亡:20万,概率为 投保一年内因其他原因死亡:5万,概率为投保一年内没有死亡:02、一袋中有55,在其中同时取三只,以X 表示取出的三只球中的最大号码,写出随机变量X 的分布律解:X 可以取值3,4,5,分布律为1061)4,3,2,1,5()5(1031)3,2,1,4()4(1011)2,1,3()3(352435233522=⨯====⨯====⨯===C C P X P C C P X P C C P X P 中任取两球再在号一球为中任取两球再在号一球为号两球为号一球为 也可列为下表 X : 3, 4,5P :106,103,101 3、设在15只同类型零件中有2只是次品,在其中取三次,每次任取一只,作不放回抽样,以X 表示取出次品的只数,(1)求X 的分布律,(2)画出分布律的图形。
解:任取三只,其中新含次品个数X 可能为0,1,2个。
3522)0(315313===C C X P3512)1(31521312=⨯==C C C X P 351)2(31511322=⨯==C C C X P 再列为下表 X : 0, 1, 2P : 351,3512,3522 4、进行重复独立实验,设每次成功的概率为p ,失败的概率为q =1-p (0<p <1) (1)将实验进行到出现一次成功为止,以X 表示所需的试验次数,求X 的分布律。
(此时称X 服从以p 为参数的几何分布。
)(2)将实验进行到出现r 次成功为止,以Y 表示所需的试验次数,求Y 的分布律。
(此时称Y 服从以r, p 为参数的巴斯卡分布。
)(3)一篮球运动员的投篮命中率为45%,以X 表示他首次投中时累计已投篮的次数,写出X 的分布律,并计算X 取偶数的概率。
解:(1)P (X=k )=q k -1p k=1,2,……(2)Y=r+n={最后一次实验前r+n -1次有n 次失败,且最后一次成功} ,,2,1,0,)(111Λ===+=-+--+n p q C p p q C n r Y P r n n n r r n n n r 其中 q=1-p ,或记r+n=k ,则 P {Y=k }=Λ,1,,)1(11+=----r r k p p C rk r r k (3)P (X=k ) = k - k=1,2…P (X 取偶数)=311145.0)55.0()2(1121===∑∑∞=-∞=k k k k X P 5、 一房间有3扇同样大小的窗子,其中只有一扇是打开的。
概率论与数理统计第二章习题[])()()()()式,有利用(显然)()(则若))(()()(从而)()()()(的可加性,有:互不相容,因此由概率与而)(则解:AB P A P AB A P B A P A AB AB A P B A P A B B P A P B A P B A P B P B A B P A P B A B C A B A A B -=-=-⊂-=-⊄-=--+=-=--=⊂**.132)(1)()()(1)()()()|()4(2.05.01.0)()()|()3(25.04.01.0|)2(8.0)1(.2=--=--=========-+=B P AB P A P B P B A P B P B A P B A P A P AB P A B P B P AB P B A P AB P B P A P B A P )()()()()()()(解:7.0)(1)|(1)|()4(4.0)(1)|(1)|()3(72.0)()()()()()()()()2(3.0)()()()()()()|(1.3=-=-==-=-==⋅-+=-+===⋅==A PB A P B A P B P A B P A B P B P A P B P A P AB P B P A P B A P B P B P B P A P B P AB P B A P )解:()()()()()(”成立时“或当)()(”成立时“)(当)()()()()()()(解:B P A P B A P A P AB P A AB B A B AB P A P B A A AB P B A P B P A P AB P B P A P B A P +≤≤≤∴⊆=∅==≤∴⊆==≥+∴-+= 0.4)()()()()()()()()()()()()()()()()()()()()()()()()()()()()()()()()()()()()()()()()解:(C P B A P C P B A P C P B P A P C B A P C B A P C P AB P C P B P A P ABC P C AB P B A P C P AB P B P A P C P B P A P B P A P C P C P B P A P C P B P C P A P ABC P BC P AC P BC AC P C B A P ⋅-=⋅=⋅⋅==-⋅=⋅⋅===-+=-+=-+=-+==][][3][2][][][1.7832.04.03.06.03.04.03.06.04.06.03.04.06.0)()()()()()()()()(3.04.0200150)(4.06.0150100)(6.020*******.8=⨯⨯+⨯-⨯-⨯-++=+---++===⨯==⨯======ABC P CA P BC P AB P C P B P A P C B A P D P C P B P A P D C B A )(“击中目标”米处射击”“相距米处射击”“相距米处射击”“相距解:设2112632112|31812|6)2(3.0185|8)1(.9222222222222111111111=++++============ )()()()()()()(”“点数和大于“点数和为奇数”)()()()()(”“点数和为“点数和为偶数”解:B P B A P B A P A P B A P A B P B A A P B P A P B A P A B P B A5360160126047514131413141513151413151413151.10=+-=⨯⨯+⨯-⨯-⨯-++=+---++=======)()()()()()()()()(,)(,)(“丙破译密码”“乙破译密码”“甲破译密码”解:ABC P BC P AC P AB P C P B P A P C B A P C P B P A P C B A61|1011|.11110=====)()()()()()(解:B P AB P B A P C A P AB P A B P1025515510530520|12C C C C C A B P A P AB P B A ⋅⋅=⋅===)()()(球各半”“第二次取出的黄、白球”“第一次取出的全是黄。
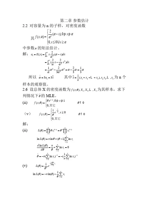
第二章 参数估计2.2 对容量为n 的子样,对密度函数其22(),0(;)0,0x x f x x x ααααα⎧-⎪=⎨⎪≤≥⎩ 中参数α的矩法估计。
解:1202()()a E x x x dx ααα==-⎰22022()x x dx ααα=-⎰2321221333ααααααα=-=-= 所以 133a x α∧== 其中121,21(),,,n n x x x x x x x n =+++ 为n 个样本的观察值。
2.6 设总体X 的密度函数为12(;),,,,n f x X X X θ 为其样本,求下列情况下θ∧的MLE 。
(ii)1,01(;)0,x x f x αθθ-⎧=⎨⎩ 其它 0θ (v )1,0(;)0,x e x f x θθθ-⎧≥⎪=⎨⎪⎩其它 0θ 解:(ii)1111()n n n i i i i L x x θθθθθ--====∏∏1ln ()ln (1)ln n i i L n x θθθ==+-∑11111ln ()ln 01(ln )(ln )n i i n n i i i i d L n x d n x x n θθθθ=∧--===+==-=-∑∑∑ (v)111()n i i x n L e θθθ=-∑= 11ln ()ln()nii L n x θθθ==--∑211ln ()101,n i i n i i d L n X d x x X n θθθθθ=∧==-+===∑∑2.10 设总体123(,1),,,X N X X X μ 为一样本,试证明下述三个估计变量11232123312313151021153412111362X X X X X X X X X μμμ=++=++=++ 都是μ的无偏估计量,并求出每一估计量的方差,问哪一个最小? 证:1123131()()()()5102E E X E X E X μ=++131()5102μμ=++= 同理:2123115()()()()3412E E X E X E X μ=++ 115()3412μμ=++= 3123111()()()()362E E X E X E X μ=++ 111()362μμ=++= ∴12,,μμμ是μ的无偏估计量。
第二章 随机变量及其分布习题2.11. 口袋中有5个球,编号为1, 2, 3, 4, 5.从中任取3只,以X 表示取出的3个球中的最大号码.(1)试求X 的分布列;(2)写出X 的分布函数,并作图. 解:样本点总数1012334535=××××=⎟⎟⎠⎞⎜⎜⎝⎛=n ,(1)X 的全部可能取值为3, 4, 5,且事件“X = 3”所含样本点个数为k 1 = 1,有1.0101}3{===X P , 事件“X = 4”所含样本点个数为31223232=××=⎟⎟⎠⎞⎜⎜⎝⎛=k ,有3.0103}4{===X P , 事件“X = 5”所含样本点个数为61234243=××=⎟⎟⎠⎞⎜⎜⎝⎛=k ,有6.0106}5{===X P , 故X 的分布列为6.03.01.0543P X;(2)因分布函数F (x ) = P {X ≤ x },分段点为x = 3, 4, 5,当x < 3时,F (x ) = P {X ≤ x } = P (∅) = 0,当3 ≤ x < 4时,F (x ) = P {X ≤ x } = P {X = 3} = 0.1,当4 ≤ x < 5时,F (x ) = P {X ≤ x } = P {X = 3} + P {X = 4} = 0.1 + 0.3 = 0.4,当x ≥ 5时,F (x ) = P {X ≤ x } = P {X = 3} + P {X = 4} + P {X = 5} = 0.1 + 0.3 + 0.6 = 1,故X 的分布函数⎪⎪⎩⎪⎪⎨⎧≥<≤<≤<=.5,1;54,4.0;43,1.0;3,0)(x x x x x F2. 一颗骰子抛两次,以X 表示两次中所得的最小点数.(1)试求X 的分布列; (2)写出X 的分布函数. 解:样本点总数n = 62 = 36,(1)X 的全部可能取值为1, 2, 3, 4, 5, 6,且事件“X = 1”所含样本点个数为k 1 = 62 − 52 = 11,有3611}1{==X P , 事件“X = 2”所含样本点个数为k 2 = 52 − 42 = 9,有369}2{==X P ,事件“X = 3”所含样本点个数为k 3 = 42 − 32 = 7,有367}3{==X P ,事件“X = 4”所含样本点个数为k 4 = 32 − 22 = 5,有365}4{==X P ,事件“X = 5”所含样本点个数为k 5 = 22 − 1 = 3,有363}5{==X P , 事件“X = 6”所含样本点个数为k 6 = 1,有361}6{==X P , 故X 的分布列为3613633653673693611654321PX ; (2)因分布函数F (x ) = P {X ≤ x },分段点为x = 1, 2, 3, 4, 5, 6,当x < 1时,F (x ) = P {X ≤ x } = P (∅) = 0,当1 ≤ x < 2时,3611}1{}{)(===≤=X P x X P x F , 当2 ≤ x < 3时,36203693611}2{}1{}{)(=+==+==≤=X P X P x X P x F , 当3 ≤ x < 4时,36273673693611}3{}2{}1{}{)(=++==+=+==≤=X P X P X P x X P x F ,当4 ≤ x < 5时,36323653673693611}{}{)(41=+++===≤=∑=k k X P x X P x F , 当5 ≤ x < 6时,36353633653673693611}{}{)(51=++++===≤=∑=k k X P x X P x F , 当x ≥ 6时,F (x ) = P {X ≤ x } = P (Ω) = 1,故X 的分布函数⎪⎪⎪⎪⎪⎪⎩⎪⎪⎪⎪⎪⎪⎨⎧≥<≤<≤<≤<≤<≤<=.6,1;65,3635;54,3632;43,3627;32,3620;21,3611;1,0)(x x x x x x x x F 3. 口袋中有7个白球、3个黑球.(1)每次从中任取一个不放回,求首次取出白球的取球次数X 的概率分布列;(2)如果取出的是黑球则不放回,而另外放入一个白球,此时X 的概率分布列如何. 解:(1)X 的全部可能取值为1, 2, 3, 4,且107}1{==X P ,30797103}2{=×==X P ,12078792103}3{=××==X P , 1201778192103}4{=×××==X P , 故X 的概率分布列为120112073071074321PX ;(2)X 的全部可能取值仍为1, 2, 3, 4,且7.0107}1{===X P ,24.0108103}2{=×==X P ,054.0109102103}3{=××==X P , 006.01010101102103}4{=×××==X P ,故X 的概率分布列为006.0054.024.07.04321P X .4. 有3个盒子,第一个盒子装有1个白球、4个黑球;第二个盒子装有2个白球、3个黑球;第三个盒子装有3个白球、2个黑球.现任取一个盒子,从中任取3个球.以X 表示所取到的白球数. (1)试求X 的概率分布列;(2)取到的白球数不少于2个的概率是多少?解:设A 1 , A 2 , A 3分别表示“取到第一个、第二个、第三个盒子”,(1)X 的全部可能取值为0, 1, 2, 3,且P {X = 0} = P (A 1) P {X = 0 | A 1} + P (A 2) P {X = 0 | A 2} + P (A 3) P {X = 0 | A 3}610301304031353331353431=++=×+⎟⎟⎠⎞⎜⎜⎝⎛⎟⎟⎠⎞⎜⎜⎝⎛×+⎟⎟⎠⎞⎜⎜⎝⎛⎟⎟⎠⎞⎜⎜⎝⎛×=, P {X = 1} = P (A 1) P {X = 1 | A 1} + P (A 2) P {X = 1 | A 2} + P (A 3) P {X = 1 | A 3}2130330630635221331352312313524131=++=⎟⎟⎠⎞⎜⎜⎝⎛⎟⎟⎠⎞⎜⎜⎝⎛⎟⎟⎠⎞⎜⎜⎝⎛×+⎟⎟⎠⎞⎜⎜⎝⎛⎟⎟⎠⎞⎜⎜⎝⎛⎟⎟⎠⎞⎜⎜⎝⎛×+⎟⎟⎠⎞⎜⎜⎝⎛⎟⎟⎠⎞⎜⎜⎝⎛××=, P {X = 2} = P (A 1) P {X = 2 | A 1} + P (A 2) P {X = 2 | A 2} + P (A 3) P {X = 2 | A 3}10330630303512233135132231031=++=⎟⎟⎠⎞⎜⎜⎝⎛⎟⎟⎠⎞⎜⎜⎝⎛⎟⎟⎠⎞⎜⎜⎝⎛×+⎟⎟⎠⎞⎜⎜⎝⎛⎟⎟⎠⎞⎜⎜⎝⎛⎟⎟⎠⎞⎜⎜⎝⎛×+×=, P {X = 3} = P (A 1) P {X = 3 | A 1} + P (A 2) P {X = 3 | A 2} + P (A 3) P {X = 3 | A 3}30130100353331031031=++=⎟⎟⎠⎞⎜⎜⎝⎛⎟⎟⎠⎞⎜⎜⎝⎛×+×+×=, 故X 的概率分布列为30110321613210PX ; (2)所求概率为3130********}3{}2{}2{==+==+==≥X P X P X P . 5. 一批产品共有100件,其中10件是不合格品.根据验收规则,从中任取5件产品进行质量检验,假如5件中无不合格品,则这批产品被接受,否则就要重新对这批产品逐个检验. (1)试求5件产品中不合格品数X 的分布列; (2)需要对这批产品进行逐个检验的概率是多少?解:样本点总数7528752012345969798991005100=××××××××=⎟⎟⎠⎞⎜⎜⎝⎛=n , (1)X 的全部可能取值为0, 1, 2, 3, 4, 5,且事件“X = 0”所含样本点个数为439492681234586878889905900=××××××××=⎟⎟⎠⎞⎜⎜⎝⎛=k , 事件“X = 1”所含样本点个数为25551900123487888990104901101=×××××××=⎟⎟⎠⎞⎜⎜⎝⎛⎟⎟⎠⎞⎜⎜⎝⎛=k , 事件“X = 2”所含样本点个数为5286600123888990129103902102=×××××××=⎟⎟⎠⎞⎜⎜⎝⎛⎟⎟⎠⎞⎜⎜⎝⎛=k ,事件“X = 3”所含样本点个数为48060012899012389102903103=×××××××=⎟⎟⎠⎞⎜⎜⎝⎛⎟⎟⎠⎞⎜⎜⎝⎛=k ,事件“X = 4”所含样本点个数为18900901234789101904104=×××××××=⎟⎟⎠⎞⎜⎜⎝⎛⎟⎟⎠⎞⎜⎜⎝⎛=k ,事件“X = 5”所含样本点个数为252123456789105105=××××××××=⎟⎟⎠⎞⎜⎜⎝⎛=k ,则583752.07528752043949268}0{===X P ,339391.07528752025551900}1{===X P ,070219.0752875205286600}2{===X P ,006384.075287520480600}3{===X P ,000251.07528752018900}4{===X P ,000003.075287520252}5{===X P ,故X 的分布列为000003.0000251.0006384.0070219.0339391.0583752.0543210P X ;(2)所求概率为P {X > 0} = 1 − P {X = 0} = 1 − 0.583752 = 0.416248. 6. 设随机变量X 的分布函数为⎪⎪⎪⎪⎩⎪⎪⎪⎪⎨⎧≥<≤<≤<≤<=.6,1;63,21;31,31;10,41;0,0)(x x x x x x F试求X 的概率分布列及P {X < 3},P {X ≤ 3},P {X > 1},P {X ≥ 1}. 解:X 的全部可能取值为其分布函数F (x ) 的分段点0, 1, 3, 6,且41041)00()0(}0{=−=−−==F F X P ,1214131)01()1(}1{=−=−−==F F X P , 613121)03()3(}3{=−=−−==F F X P ,21211)06()6(}6{=−=−−==F F X P ,故X 的概率分布列为2161121413210PX ; 且31)03(}3{=−=<F X P ;21)3(}3{==≤F X P ;32311)1(1}1{1}1{=−=−=≤−=>F X P X P ; 43411)01(1}1{1}1{=−=−−=<−=≥F X P X P .7. 设随机变量X 的分布函数为⎪⎩⎪⎨⎧≥<≤<=.e ,1e;1,ln ;1,0)(x x x x x F试求P {X < 2},P {0 < X ≤ 3},P {2 < X < 2.5}.解:P {X < 2} = F (2 − 0) = ln 2;P {0 < X ≤ 3} = F (3) − F (0) = 1 − 0 = 1;P {2 < X < 2.5} = F (2.5 − 0) − F (2) = ln 2.5 − ln 2 = ln 1.25.8. 若P {X ≥ x 1} = 1 − α ,P {X ≤ x 2} = 1 − β ,其中x 1 < x 2 ,试求P {x 1 ≤ X ≤ x 2}.解:P {x 1 ≤ X ≤ x 2} = P {X ≤ x 2} − P {X < x 1} = P {X ≤ x 2} + P {X ≥ x 1} − 1 = 1 − β + 1 − α − 1 = 1 − α − β . 9. 从1, 2, 3, 4, 5五个数字中任取三个,按大小排列记为x 1 < x 2 < x 3 ,令X = x 2 ,试求(1)X 的分布函数;(2)P {X < 2}及P {X > 4}.解:样本点总数1012334535=××××=⎟⎟⎠⎞⎜⎜⎝⎛=n ,(1)X 的全部可能取值为2, 3, 4,且事件“X = 2”所含样本点个数为k 1 = 3,有3.0103}2{===X P , 事件“X = 3”所含样本点个数为k 2 = 2 × 2 = 4,有4.0104}3{===X P ,事件“X = 4”所含样本点个数为k 3 = 3,有3.0103}4{===X P ,因分布函数F (x ) = P {X ≤ x },分段点为x = 2, 3, 4, 当x < 2时,F (x ) = P {X ≤ x } = P (∅) = 0,当2 ≤ x < 3时,F (x ) = P {X ≤ x } = P {X = 2} = 0.3,当3 ≤ x < 4时,F (x ) = P {X ≤ x } = P {X = 2} + P {X = 3} = 0.3 +0.4 = 0.7, 当x ≥ 4时,F (x ) = P {X ≤ x } = P (Ω) = 1,故X 的分布函数⎪⎪⎩⎪⎪⎨⎧≥<≤<≤<=;4,1;43,7.0;32,3.0;2,0)(x x x x x F(2)P {X < 2} = P (∅) = 0,P {X > 4} = P (∅) = 0.10.设随机变量X 的密度函数为⎩⎨⎧≤≤−−=.,0;11|,|1)(其他x x x p试求X 的分布函数.解:分布函数F (x ) = P {X ≤ x },分段点为x = −1, 0, 1,当x < −1时,F (x ) = P {X ≤ x } = P (∅) = 0,当−1 ≤ x < 0时,21221122)](1[)()(22121++=⎟⎠⎞⎜⎝⎛+−−+=⎟⎟⎠⎞⎜⎜⎝⎛+=−−==−−∞−∫∫x x x x u u du u du u p x F xxx, 当0 ≤ x < 1时,xxxu u u u du u du u du u p x F 021200122)1()](1[)()(⎟⎟⎠⎞⎜⎜⎝⎛−+⎟⎟⎠⎞⎜⎜⎝⎛+=−+−−==−−∞−∫∫∫21202211022++−=−⎟⎟⎠⎞⎜⎜⎝⎛−+⎟⎠⎞⎜⎝⎛+−−=x x x x , 当x ≥ 1时,F (x ) = P {X ≤ x } = P (Ω) = 1,故X 的分布函数⎪⎪⎪⎩⎪⎪⎪⎨⎧≥<≤++−<≤−++−<=.1,1;10,212;01,212;1,0)(22x x x x x x x x x F11.如果X 的密度函数为⎪⎩⎪⎨⎧<≤−<≤=.,0;21,2;10,)(其他x x x x x p试求P {X ≤ 1.5}. 解:16132325.13021222)2()(}5.1{25.112125.11105.1=−⎟⎟⎠⎞⎜⎜⎝⎛−+−=⎟⎟⎠⎞⎜⎜⎝⎛−+=−+==≤∫∫∫∞−x x x dx x xdx dx x p X P . 12.设随机变量X 的密度函数为⎪⎩⎪⎨⎧>≤=.2π||,0;2π||,cos )(x x x A x p 试求(1)系数A ;(2)X 落在区间 (0, π /4) 内的概率. 解:(1)由密度函数正则性知122πsin 2πsinsin cos )(2π2π2π2π==⎟⎠⎞⎜⎝⎛−−===−−∞+∞−∫∫A A A xA xdx A dx x p , 故21=A ;(2)所求概率为4204πsin 21sin 21cos 21}4π0{4π04π=−===<<∫x xdx X P .13.设连续随机变量X 的分布函数为⎪⎩⎪⎨⎧≥<≤<=.1,1;10,;0,0)(2x x Ax x x F试求(1)系数A ;(2)X 落在区间 (0.3, 0.7) 内的概率; (3)X 的密度函数.解:(1)由连续随机变量分布函数的连续性知A A x F F F x =⋅==−==−→211)(lim )01()1(1,故A = 1; (2)所求概率为P {0.3 < X < 0.7} = F (0.7) − F (0.3) = 0.7 2 − 0.3 2 = 0.4;(3)密度函数p (x ) = F ′(x ),当x < 0时,F (x ) = 0,有p (x ) = F ′(x ) = 0,当0 ≤ x < 1时,F (x ) = x 2,有p (x ) = F ′(x ) = 2x , 当x ≥ 1时,F (x ) = 1,有p (x ) = F ′(x ) = 0,故X 的密度函数为⎩⎨⎧<≤=.,0;10,2)(其他x x x p 14.学生完成一道作业的时间X 是一个随机变量,单位为小时.它的密度函数为⎩⎨⎧≤≤+=.,0;5.00,)(2其他x x cx x p (1)确定常数c ;(2)写出X 的分布函数;(3)试求在20min 内完成一道作业的概率; (4)试求10min 以上完成一道作业的概率. 解:(1)由密度函数正则性知1812423)()(5.00235.002=+=⎟⎟⎠⎞⎜⎜⎝⎛+=+=∫∫∞+∞−c x x c dx x cx dx x p ,故c = 21; (2)分布函数F (x ) = P {X ≤ x },分段点为x = 0, 0.5,当x < 0时,F (x ) = P {X ≤ x } = P (∅) = 0,当0 ≤ x < 0.5时,2727)21()()(2302302x x u u du u u du u p x F xxx+=⎟⎟⎠⎞⎜⎜⎝⎛+=+==∫∫∞−,当x ≥ 0.5时,F (x ) = P {X ≤ x } = P (Ω) = 1,故X 的分布函数⎪⎪⎩⎪⎪⎨⎧≥<≤+<=;5.0,1;5.00,27;0,0)(23x x x x x x F(3)所求概率为5417181277312131731}316020{23=+=⎟⎠⎞⎜⎝⎛×+⎟⎠⎞⎜⎝⎛×=⎟⎠⎞⎜⎝⎛==≤F X P ;(4)所求概率为1081037212167161216171611}616010{23=−−=⎟⎠⎞⎜⎝⎛×−⎟⎠⎞⎜⎝⎛×−=⎟⎠⎞⎜⎝⎛−==≥F X P . 15.设随机变量X 和Y 同分布,X 的密度函数为⎪⎩⎪⎨⎧<<=.,0;20,83)(2其他x x x p 已知事件A = {X > a }和B = {Y > a }独立,且P (A ∪B ) = 3/4,求常数a . 解:由于事件A 和B 独立,且显然有P (A ) = P (B ),则43)]([)(2)()()()()()()()(2=−=−+=−+=A P A P B P A P B P A P AB P B P A P B A P ∪, 可得21)(=A P 或23)(=A P (舍去), 显然0 < a < 2,有218181d 83}{)(32322=−===>=∫a x x x a X P A P a a , 故34=a .16.设连续随机变量X 的密度函数p (x ) 是一个偶函数,F (x ) 为X 的分布函数,求证对任意实数a > 0,有(1)∫−=−=−adx x p a F a F 0)(5.0)(1)(;(2)P {| X | < a } = 2F (a ) − 1;(3)P {| X | > a } = 2[1 − F (a )]. 证:(1)因p (x ) 为偶函数,有∫∫+∞−∞−=a a dx x p dx x p )()(且5.0)(0=∫∞−dx x p ,则∫∫∫∫+=+==∞−∞−a aa dx x p dx x p dx x p dx x p a F 0)(5.0)()()()(,故∫∫∫∫−=−=−===−∞−+∞−∞−a aadx x p a F dx x p dx x p dx x p a F 0)(5.0)(1)(1)()()(;(2)P {| X | < a } = P {−a < X < a } = F (a ) − F (−a ) = F (a ) − [1 − F (a )] = 2 F (a ) − 1; (3)P {| X | > a } = 1 − P {| X | ≤ a } = 1 − P {| X | < a } = 1 − [2 F (a ) − 1] = 2 − 2 F (a ).习题2.21. 设离散型随机变量X 的分布列为3.03.04.0202P X −试求E (X ) 和E (3X + 5).解:E (X ) = (−2) × 0.4 + 0 × 0.3 + 2 × 0.3 = −0.2;E (3X + 5) = (−1) × 0.4 + 5 × 0.3 + 11 × 0.3 = 4.4. 2. 某服装店根据历年销售资料得知:一位顾客在商店中购买服装的件数X 的分布列为04.009.013.031.033.010.0543210P X试求顾客在商店平均购买服装件数.解:平均购买服装件数为E (X ) = 0 × 0.10 + 1 × 0.33 + 2 × 0.31 + 3 × 0.13 + 4 × 0.09 + 5 × 0.04 = 1.9. 3. 某地区一个月内发生重大交通事故数X 服从如下分布002.0006.0026.0087.0216.0362.0301.06543210P X试求该地区发生重大交通事故的月平均数. 解:月平均数E (X ) = 0 × 0.301 + 1 × 0.362 + 2 × 0.216 + 3 × 0.087 + 4 × 0.026 + 5 × 0.006 + 6 × 0.002 = 1.201. 4. 一海运货船的甲板上放着20个装有化学原料的圆桶,现已知其中有5桶被海水污染了.若从中随机抽取8桶,记X 为8桶中被污染的桶数,试求X 的分布列,并求E (X ).解:样本点总数125970820=⎟⎟⎠⎞⎜⎜⎝⎛=n ,X 的全部可能取值为0, 1, 2, 3, 4, 5,且事件“X = 0”所含样本点个数64358150=⎟⎟⎠⎞⎜⎜⎝⎛=k ,有0511.01259706435}0{===X P , 事件“X = 1”所含样本点个数32175715151=⎟⎟⎠⎞⎜⎜⎝⎛⎟⎟⎠⎞⎜⎜⎝⎛=k ,有2554.012597032175}1{===X P , 事件“X = 2”所含样本点个数50050615252=⎟⎟⎠⎞⎜⎜⎝⎛⎟⎟⎠⎞⎜⎜⎝⎛=k ,有3973.012597050050}2{===X P , 事件“X = 3”所含样本点个数30030515353=⎟⎟⎠⎞⎜⎜⎝⎛⎟⎟⎠⎞⎜⎜⎝⎛=k ,有2384.012597030030}3{===X P , 事件“X = 4”所含样本点个数6825415454=⎟⎟⎠⎞⎜⎜⎝⎛⎟⎟⎠⎞⎜⎜⎝⎛=k ,有0542.01259706825}4{===X P , 事件“X = 5”所含样本点个数455315555=⎟⎟⎠⎞⎜⎜⎝⎛⎟⎟⎠⎞⎜⎜⎝⎛=k ,有0036.0125970455}5{===X P , 故X 的分布列为0036.00542.02384.03973.02554.00511.0543210PX且E (X ) = 0 × 0.0511 + 1 × 0.2554 + 2 × 0.3973 + 3 × 0.2384 + 4 × 0.0542 + 5 × 0.0036 = 2. 5. 用天平称某种物品的质量(砝码仅允许放在一个盘中),现有三组砝码:(甲)1, 2, 2, 5, 10(g );(乙)1, 2, 3, 4, 10(g );(丙)1, 1, 2, 5, 10(g ),称重时只能使用一组砝码.问:当物品的质量为1g 、2g 、…、 10g 的概率是相同的,用哪一组砝码称重所用的平均砝码数最少? 解:设X 1 , X 2 , X 3分别表示使用甲、乙、丙组砝码称重时需要的砝码个数,当物品的质量为1g 、2g 、…、10g 时,有X 1 = 1、1、2、2、1、2、2、3、3、1,即P {X 1 = 1} = 0.4,P {X 1 = 2} = 0.4,P {X 1 = 3} = 0.2, X 2 = 1、1、1、1、2、2、2、3、3、1,即P {X 2 = 1} = 0.5,P {X 2 = 2} = 0.3,P {X 2 = 3} = 0.2, X 3 = 1、1、2、3、1、2、2、3、4、1,即P {X 3 = 1} = 0.4,P {X 3 = 2} = 0.3,P {X 3 = 3} = 0.2,P {X 3 = 4} = 0.1,则平均砝码数E (X 1 ) = 1 × 0.4 + 2 × 0.4 + 3 × 0.2 = 1.8,E (X 2 ) = 1 × 0.5 + 2 × 0.3 + 3 × 0.2 = 1.7, E (X 3 ) = 1 × 0.4 + 2 × 0.3 + 3 × 0.2 + 4 × 0.1 = 2, 故用乙组砝码称重所用的平均砝码数最少.6. 假设有十只同种电器元件,其中有两只不合格品.装配仪器时,从这批元件中任取一只,如是不合格品,则扔掉重新任取一只;如仍是不合格品,则扔掉再取一只,试求在取到合格品之前,已取出的不合格品只数的数学期望.解:设X 表示在取到合格品之前已取出的不合格品只数,X 的全部可能取值为0, 1, 2,则54108}0{===X P ,45898102}1{=×==X P ,4518891102}2{=××==X P , 故9245124581540)(=×+×+×=X E .7. 对一批产品进行检查,如查到第a 件全为合格品,就认为这批产品合格;若在前a 件中发现不合格品即停止检查,且认为这批产品不合格.设产品的数量很大,可以认为每次查到不合格品的概率都是p .问每批产品平均要查多少件?解:设X 表示检查一批产品要查的件数,X 的全部可能取值为1, 2, …, a – 1, a ,则P {X = 1} = p ,P {X = 2} = (1 – p )p ,…,P {X = a – 1} = (1 – p ) a − 2 p ,P {X = a } = (1 – p ) a − 1, 即E (X ) = 1 ⋅ p + 2 (1 – p ) p + … + (a – 1) (1 – p ) a − 2 p + a (1 – p ) a − 1,有(1 – p )E (X ) = 1 ⋅ (1 – p ) p + 2 (1 – p )2 p + … + (a – 2) (1 – p ) a − 2 p + (a – 1) (1 – p ) a − 1 p + a (1 – p ) a , 得E (X ) – (1 – p )E (X ) = p + (1 – p ) p + … + (1 – p ) a − 2 p + a (1 – p ) a − 1 – (a – 1) (1 – p ) a − 1 p – a (1 – p ) a ,即)]1()1([)1()1(1])1(1[)(11p a p a a p p p p X pE a a −−−−−+−−−−=−−= 1 – (1 – p ) a − 1 + (1 – p ) a − 1 ⋅ p = 1 – (1 – p ) a − 1 ⋅ (1 – p ) = 1 – (1 – p ) a ,故pp X E a)1(1)(−−=.8. 某厂推土机发生故障后的维修时间T 是一个随机变量(单位:h ),其密度函数为⎩⎨⎧≤>=−.0,0;0,e 02.0)(02.0t t t p t 试求平均维修时间. 解:平均维修时间5002.0e e e )e (e 02.0)(002.0002.0002.0002.0002.0=−=+−=−=⋅=+∞−∞+−∞+−∞+−∞+−∫∫∫tttt t dt t d t dt t T E .9. 某新产品在未来市场上的占有率X 是仅在区间 (0, 1) 上取值的随机变量,它的密度函数为⎩⎨⎧<<−=.,0;10,)1(4)(3其他x x x p 试求平均市场占有率.解:平均市场占有率∫∫−+−=−⋅=143213)412124()1(4)(dx x x x x dx x x X E5154342105432=⎟⎠⎞⎜⎝⎛−+−=x x x x .10.设随机变量X 的密度函数如下,试求E (2 X + 5).⎩⎨⎧≤>=−.0,0;0,e )(x x x p x 解:7e 25e 2e )52()e )(52(e )52()52(0=−=++−=−+=+=++∞−+∞−+∞−+∞−+∞−∫∫∫xx xx x dx x d x dx x X E .11.设随机变量X 的分布函数如下,试求E ( X ).⎪⎪⎪⎩⎪⎪⎪⎨⎧≥−<≤<=−−.1,e 211;10,21;0,2e )()1(21x x x x F x x解:因分布函数F (x ) 是连续函数,有X 为连续型,密度函数p (x ) = F ′(x ),当x < 0时,2e )()(xx F x p =′=,当0 < x < 1时,p (x ) = F ′(x ) = 0,当x > 1时,)1(21e 41)()(−−=′=x x F x p ,∫∫∞+−−∞−⎟⎠⎞⎜⎝⎛−⋅+⋅=1)1210][e 21)(e 21x x d x d x 则∫∫∫∫∫∞+−−∞−∞+−−∞−∞+∞−+=⋅+⋅==1)12101)1(210e 41e 21e 412e )()(dx x dx x dx x dx x dx x xp X E x x x x ,因1e 0e e )(e e 00000−=−=−⋅=⋅=∞−∞−∞−∞−∞−∫∫∫xx xx x dx x d x dx x , 6e42e2e2][e2e1)1211)1(211)1(211)1(211)1(21=−=+−=⋅−=+∞−−∞+−−+∞−−∞+−−∞+−−∫∫∫x x x x x dx x d x dx x ,故1641)1(21)(=×+−×=X E .12.某工程队完成某项工程的时间X (单位:月)是一个随机变量,它的分布列为1.02.03.04.013121110P X(1)试求该工程队完成此项工程的平均月数;(2)设该工程队所获利润为Y = 50(13 – X ),单位为万元.试求该工程队的平均利润; (3)若该工程队调整安排,完成该项工程的时间X (单位:月)的分布为1.04.05.0121110P X则其平均利润可增加多少?解:(1)平均月数E (X ) = 10 × 0.4 + 11 × 0.3 + 12 × 0.2 + 13 × 0.1 = 11.(2)平均利润为E (Y ) = E [50 (13 – X )] = 150 × 0.4 + 100 × 0.3 + 50 × 0.2 + 0 × 0.1 = 100(万元); (3)因E (Y 1) = E [50 (13 – X 1)] = 150 × 0.5 + 100 × 0.4 + 50 × 0.1 = 120,有E (Y 1) – E (Y ) = 20,故平均利润增加20万元.13.设随机变量X 的概率密度函数为⎪⎩⎪⎨⎧≤≤=.,0π;0,2cos 21)(其他x x x p 对X 独立重复观察4次,Y 表示观察值大于π /3的次数,求Y 2的数学期望.解:Y 的全部可能取值为0, 1, 2, 3, 4,因216πsin 2πsin2sin2cos 21}3π{π3ππ3π=−===>=∫x dx x X P p , 则161)1(}0{4=−==p Y P ,164)1(14}1{3=−⋅⎟⎟⎠⎞⎜⎜⎝⎛==p p Y P ,166)1(24}2{22=−⋅⎟⎟⎠⎞⎜⎜⎝⎛==p p Y P , 164)1(34}1{3=−⋅⎟⎟⎠⎞⎜⎜⎝⎛==p p Y P ,161}4{4===p Y P , 故5168016141643166216411610)(222222==×+×+×+×+×=Y E .14.设随机变量X 的密度函数为⎪⎩⎪⎨⎧<<=.,0;20,83)(2其他x x x p 试求21X 的数学期望. 解:438383112020222==⋅=⎟⎠⎞⎜⎝⎛∫∫dx dx x x X E .15.设X 为仅取非负整数的离散随机变量,若其数学期望存在,证明∑+∞=≥=1}{)(k k X P X E .证:)(}{}{}{}{11111X E n X nP n X P n X P k X P n n nk k kn k =======≥∑∑∑∑∑∑+∞=+∞==+∞=+∞=+∞=.16.设连续随机变量X 的分布函数为F (x ),且数学期望存在,证明∫∫∞−+∞−−=0)()](1[)(dx x F dx x F X E .证:设X 的密度函数为p (x ),有p (x ) = F ′(x ),故∫∫∫∫∞−∞−+∞+∞∞−+∞+−−−−=−−000)]([)()](1[)](1[)()](1[x F xd x xF x F xd x F x dx x F dx x F)()()()()(0)]([00000X E dx x xp dx x xp dx x xp dx x xp dx x p x ==+=+−−−=∫∫∫∫∫+∞∞−∞−+∞∞−+∞.习题2.31. 设随机变量X 满足E (X ) = Var (X ) = λ ,已知E [(X − 1) (X − 2)] = 1,试求λ . 解:因E (X ) = Var (X ) = λ ,有E (X 2) = Var (X ) + [E (X )]2 = λ + λ 2 ,则E [(X − 1) (X − 2)] = E (X 2 – 3X + 2) = E (X 2) – 3E (X ) + 2 = λ + λ 2 – 3λ + 2 = λ 2 – 2λ + 2 = 1, 得λ 2 – 2λ + 1 = 0,即 (λ – 1)2 = 0, 故λ = 1.2. 假设有10只同种电器元件,其中有两只不合格品.装配仪器时,从这批元件中任取一只,如是不合格品,则扔掉重新任取一只;如仍是不合格品,则扔掉再取一只,试求在取到合格品之前,已取出的不合格品数的方差.解:设X 表示在取到合格品之前已取出的不合格品只数,X 的全部可能取值为0, 1, 2,则54108}0{===X P ,45898102}1{=×==X P ,4518891102}2{=××==X P , 得9245124581540)(=×+×+×=X E ,且154451245124581540)(2222==×+×+×=X E , 故4058892154)]([)()Var(222=⎟⎠⎞⎜⎝⎛−=−=X E X E X . 3. 已知E (X ) = –2,E (X 2) = 5,求Var (1 – 3X ).解:因Var (X ) = E (X 2) – [E (X )]2 = 5 – (–2) 2 = 1,故Var (1 – 3X ) = (–3)2 Var (X ) = 9 × 1 = 9. 4. 设随机变量X 的分布函数为⎪⎪⎪⎩⎪⎪⎪⎨⎧≥−<≤<=−−.1,e 211;10,21;0,2e )()1(21x x x x F x x试求Var (X ).解:因分布函数F (x ) 是连续函数,有X 为连续型,密度函数p (x ) = F ′(x ),当x < 0时,2e )()(xx F x p =′=,当0 < x < 1时,p (x ) = F ′(x ) = 0, 当x > 1时,)1(21e 41)()(−−=′=x x F x p ,则∫∫∫∫∫∞+−−∞−∞+−−∞−∞+∞−+=⋅+⋅==1)12101)1(21e 41e 21e 412e )()(dx x dx x dx x dx x dx x xp X E x x x x ,因1e 0e e )(e e 00000−=−=−⋅=⋅=∞−∞−∞−∞−∞−∫∫∫xx xx x dx x d x dx x , 6e42e2e2][e2e1)1211)1(211)1(211)1(211)1(21=−=+−=⋅−=+∞−−∞+−−+∞−−∞+−−∞+−−∫∫∫x x x x x dx x d x dx x ,可得1641)1(21)(=×+−×=X E ,且∫∫∫∫∫∞+−−∞−∞+−−∞−∞+∞−+=⋅+⋅==1)1(212021)1(2120222e 41e 21e 412e )()(dx x dx x dx x dx x dx x p x X E x x x x因2e 202e e )(e e 00020202=−=⋅−⋅=⋅=∫∫∫∫∞−∞−∞−∞−∞−dx x xdx x d x dx x x x xx x ,∫∫∫∞+−−+∞−−∞+−−∞+−−⋅+−=⋅−=1)1(211)1(2121)1(2121)1(2122e2e2][e2exdx x d x dx x x x x x26642e421)1(21=×+=+=∫∞+−−dx x x ,可得2152641221)(2=×+×=X E ,故2131215)]([)()Var(222=−=−=X E X E X .5. 设随机变量X 的密度函数为⎪⎩⎪⎨⎧≤<−≤<−+=.,0;10,1;01,1)(其他x x x x x p试求Var (3X + 2).解:因061613232)1()1()()(13201321001=+−=⎟⎟⎠⎞⎜⎜⎝⎛−+⎟⎟⎠⎞⎜⎜⎝⎛+=−++==−−∞+∞−∫∫∫x x x x dx x x dx x x dx x xp X E , 且611211214343)1()1()()(1043014310201222=+=⎟⎟⎠⎞⎜⎜⎝⎛−+⎟⎟⎠⎞⎜⎜⎝⎛+=−++==−−∞+∞−∫∫∫x x x x dx x x dx x x dx x p x X E , 则61)]([)()Var(22=−=X E X E X , 故23619)Var(9)23Var(=×==+X X .6. 试证:对任意的常数c ≠ E (X ),有Var (X ) = E (X – E (X ))2 < E (X – c )2.证:因E (X – c )2 = E (X 2 – 2cX + c 2) = E (X 2) – 2c E (X ) + c 2 = E (X 2) – [E (X )]2 + [E (X )]2 – 2c E (X ) + c 2= E (X – E (X ))2 + [E (X ) – c ]2 > E (X – E (X ))2 = Var (X ).7. 设随机变量X 仅在区间[a , b ]上取值,试证a ≤ E(X) ≤ b ,22)Var(⎟⎠⎞⎜⎝⎛−≤a b X .证:因X ≥ a ,有X – a ≥ 0,得E (X – a ) = E (X ) – a ≥ 0,即E (X ) ≥ a ,又因X ≤ b ,同理可得E (X ) ≤ b ,故a ≤ E (X ) ≤ b ;因a ≤ X ≤ b ,有222a b b a X a b −≤+−≤−−,得2222⎟⎠⎞⎜⎝⎛−≤⎟⎠⎞⎜⎝⎛+−a b b a X , 则022222222≤⎟⎠⎞⎜⎝⎛−−⎟⎠⎞⎜⎝⎛+−=⎥⎥⎦⎤⎢⎢⎣⎡⎟⎠⎞⎜⎝⎛−−⎟⎠⎞⎜⎝⎛+−a b b a X E a b b a X E ,即2222⎟⎠⎞⎜⎝⎛−≤⎟⎠⎞⎜⎝⎛+−a b b a X E , 故22222))(()Var(⎟⎠⎞⎜⎝⎛−≤⎟⎠⎞⎜⎝⎛+−≤−=a b b a X E X E X E X .8. 设随机变量X 取值x 1 ≤ … ≤ x n 的概率分别是p 1 , …, p n ,11=∑=nk k p .证明212)Var(⎟⎠⎞⎜⎝⎛−≤x x X n .证:因x 1 ≤ X ≤ x n ,有222111x x x x X x x n n n −≤+−≤−−,得212122⎟⎠⎞⎜⎝⎛−≤⎟⎠⎞⎜⎝⎛+−x x x x X n n ,故2121212222))(()Var(⎟⎠⎞⎜⎝⎛−=⎟⎠⎞⎜⎝⎛−≤⎟⎠⎞⎜⎝⎛+−≤−=x x x x E x x X E X E X E X n n n .9. 设g (x ) 为随机变量X 取值的集合上的非负不减函数,且E (g (X )) 存在,证明:对任意的ε > 0,有)())((}{εεg X g E X P ≤>.注:此题应要求g (ε ) ≠ 0.证:以连续型随机变量为例加以证明,设连续型随机变量X 的密度函数为p (x ),因g (x ) 为非负不减函数,当x > ε 时,有g (x ) ≥ g (ε ) > 0,即1)()(≥εg x g , 故)())(()()()()()()()()()(}{εεεεεεεg X g E g X g E dx x p g x g dx x p g x g dx x p X P =⎟⎟⎠⎞⎜⎜⎝⎛=≤≤=>∫∫∫∞+∞−∞+∞+. 10.设X 为非负随机变量,a > 0.若E (e aX)存在,证明:对任意的x > 0,有axaX E x X P e )(e }{≤≥.证:以连续型随机变量为例加以证明,设连续型随机变量X 的密度函数为p (x ),故ax aX ax aX ax au xax auxE E du u p du u p du u p x X P e )(e e e )(e e )(e e )(}{=⎟⎟⎠⎞⎜⎜⎝⎛=≤≤=≥∫∫∫∞+∞−∞+∞+. 11.已知正常成人男性每升血液中的白细胞数平均是7.3 × 10 9,标准差是0.7 × 10 9.试利用切比雪夫不等式估计每升血液中的白细胞数在5.2 × 10 9至9.4 × 10 9之间的概率的下界. 解:设X 表示“每升血液中的白细胞数”,有E (X ) = 7.3 × 10 9,Var (X ) = (0.7 × 10 9) 2 = 0.49 × 10 18,则P {5.2 × 10 9 ≤ X ≤ 9.4 × 10 9} = P {–2.1 × 10 9 ≤ X – 7.3 × 10 9 ≤ 2.1 × 10 9} = P { | X – E (X ) | ≤ 2.1 × 10 9}989111041.41049.01)101.2()Var(1181829=−=××−=×−≥X ,故所求概率的下界为98.习题2.41. 一批产品中有10%的不合格品,现从中任取3件,求其中至多有一件不合格品的概率. 解:设X 表示“取到的不合格品个数”,有X 服从二项分布b (3, 0.1),故所求概率为972.09.01.0139.0}1{}0{}1{23=××⎟⎟⎠⎞⎜⎜⎝⎛+==+==≤X P X P X P . 2. 一条自动化生产线上产品的一级品率为0.8,现检查5件,求至少有2件一级品的概率. 解:设X 表示“检查到的一级品个数”,有X 服从二项分布b (5, 0.8),故所求概率为99328.02.08.0152.01}1{}0{1}2{45=××⎟⎟⎠⎞⎜⎜⎝⎛−−==−=−=≥X P X P X P . 3. 某优秀射手命中10环的概率为0.7,命中9环的概率为0.3.试求该射手三次射击所得的环数不少于29环的概率.解:设X 表示“三次射击所中的10环次数”,有X 服从二项分布b (3, 0.7),故所求概率为784.07.03.07.023}3{}2{}2{32=+××⎟⎟⎠⎞⎜⎜⎝⎛==+==≥X P X P X P .4. 经验表明:预定餐厅座位而不来就餐的顾客比例为20%.如今餐厅有50个座位,但预定给了52位 顾客,问到时顾客来到餐厅而没有座位的概率是多少? 解:设X 表示“到时来到餐厅的顾客人数”,有X 服从二项分布b (52, 0.8),故所求概率为0001279.08.02.08.05152}52{}51{}51{5251=+××⎟⎟⎠⎞⎜⎜⎝⎛==+==≥X P X P X P .5. 设随机变量X ~ b (n , p ),已知E (X ) = 2.4,Var (X ) = 1.44,求两个参数n 与p 各为多少? 解:因X ~ b (n , p ),有E (X ) = np = 2.4,Var (X ) = np (1 – p ) = 1.44,有6.04.244.11==−p , 故p = 0.4,64.04.2==n . 6. 设随机变量X 服从二项分布b (2, p ),随机变量Y 服从二项分布b (4, p ).若P {X ≥ 1} = 8/9,试求P {Y ≥ 1}.解:因X 服从二项分布b (2, p ),有98)1(1}0{1}1{2=−−==−=≥p X P X P ,即32=p ,故8180311)1(1}0{1}1{44=⎟⎠⎞⎜⎝⎛−=−−==−=≥p Y P Y P .7. 一批产品的不合格率为0.02,现从中任取40件进行检查,若发现两件或两件以上不合格品就拒收这批产品.分别用以下方法求拒收的概率:(1)用二项分布作精确计算;(2)用泊松分布作近似计算. 解:设X 表示“发现的不合格品个数”,有X 服从二项分布b (40, 0.02),(1)所求概率为1905.098.002.014098.01}1{}0{1}2{3940=××⎟⎟⎠⎞⎜⎜⎝⎛−−==−=−=≥X P X P X P ;(2)因n = 40较大,p = 0.02很小,取λ = np = 0.8,有)8.0(~P X ,故查表可得所求概率为191.0809.01}1{1}2{=−=≤−=≥X P X P . 8. 设X 服从泊松分布,且已知P {X = 1} = P {X = 2},求P {X = 4}. 解:设X 服从泊松分布P (λ ),有λ > 0,则λλλλλ−−=====e 2}2{e 1}1{21P X P ,得22λλ=,即λ = 2,故查表可得P {X = 4} = P {X ≤ 4} – P {X ≤ 3} = 0.947 – 0.857 = 0.090.9. 已知某商场一天来的顾客数X 服从参数为λ 的泊松分布,而每个来到商场的顾客购物的概率为p ,证明:此商场一天内购物的顾客数服从参数为λ p 的泊松分布. 证:设Y 表示“该商场一天内购买商品的顾客人数”,Y 的全部可能取值为0, 1, 2, …,有∑∑∞=−−∞=−⎟⎟⎠⎞⎜⎜⎝⎛⋅======rk rk r k rk p p r k k k X r Y P k X P r Y P )1(!e }|{}{}{λλ ∑∑∑∞=+−∞=−−∞=−−−=−−=−−⋅⋅=0!)1(!e )!()1(!e )1()!(!!!e n nr n r rk rk k r rk rk r k n p r p r k p r p p p r k r k k λλλλλλpr p r n n r r r p r p n p r p λλλλλλλλ−−−−∞=−=⋅=−=∑e !)(e !e )(!)]1([!e )1(0, r = 0, 1, 2, …, 故Y 服从参数为λ p 的泊松分布.10.从一个装有m 个白球、n 个黑球的袋子中返回地摸球,直到摸到白球时停止.试求取到黑球数的期望. 解:设X 表示“取到的黑球数”,有X + 1服从参数为n m mp +=的几何分布,有mn m p X E +==+1)1(, 故mnm n m X E =−+=1)(. 11.某种产品上的缺陷数X 服从下列分布列:121}{+==k k X P ,k = 0, 1, …,求此种产品上的平均缺陷数.解:因X + 1服从参数为21=p 的几何分布⎟⎠⎞⎜⎝⎛21Ge ,有21)1(==+p X E ,故E (X ) = 2 – 1 = 1. 12.设随机变量X 的密度函数为⎩⎨⎧<<=.,0;10,2)(其他x x x p 以Y 表示对X 的三次独立重复观察中事件{X ≤ 1/2}出现的次数,试求P {Y = 2}.解:因412}21{212210===≤∫x xdx X P ,有Y 服从二项分布⎟⎠⎞⎜⎝⎛41,3b , 故649434123}2{2=⋅⎟⎠⎞⎜⎝⎛⋅⎟⎟⎠⎞⎜⎜⎝⎛==Y P .13.某产品的不合格品率为0.1,每次随机抽取10件进行检查,若发现其中不合格品数多于1,就去调整设备.若检验员每天检查4次,试问每天平均要调整几次设备. 解:设X 表示“所取10件中的不合格品数”,有X 服从二项分布b (10, 0.1),则需要调整设备的概率为2639.09.01.01109.01}1{}0{1}2{910=××⎟⎟⎠⎞⎜⎜⎝⎛−−==−=−=≥X P X P X P , 设Y 表示“每天调整设备的次数”,有X 服从二项分布b (4, 0.2639), 故E (X ) = 4 × 0.2639 = 1.0556,即每天平均要调整1.0556次设备.习题2.51. 设随机变量X 服从区间 (2, 5)上的均匀分布,求对X 进行3次独立观察中,至少有2次的观察值大于3的概率. 解:设Y 表示“X 大于3的次数”,有Y 服从二项分布b (3, p ),且322535}3{=−−=>=X P p , 故所求概率为272032313223}2{32=⎟⎠⎞⎜⎝⎛+⋅⎟⎠⎞⎜⎝⎛⋅⎟⎟⎠⎞⎜⎜⎝⎛=≥Y P . 2. 在 (0, 1)上任取一点记为X ,试求⎭⎬⎫⎩⎨⎧≥+−081432X X P .解:因X 服从区间 (0, 1)上的均匀分布,且021*******≥⎟⎠⎞⎜⎝⎛−⎟⎠⎞⎜⎝⎛−=+−X X X X ,即41≤X 或21≥X ,故432110412141081432=⎟⎠⎞⎜⎝⎛−+⎟⎠⎞⎜⎝⎛−=⎭⎬⎫⎩⎨⎧≥≤=⎭⎬⎫⎩⎨⎧≥+−X X P X X P 或.3. 设K 服从 (1, 6)上的均匀分布,求方程x 2 + Kx + 1 = 0有实根的概率.解:因方程x 2 + Kx + 1 = 0有实根,有判别式 ∆ = K 2 – 4 ≥ 0,即K ≤ – 2或K ≥ 2,故所求概率为5416260}22{=−−+=≥−≤K K P 或. 4. 设流经一个2 Ω 电阻上的电流I 是一个随机变量,它均匀分布在9A 至11A 之间.试求此电阻上消耗的平均功率,其中功率W = 2I 2.解:因电流I 的密度函数为⎪⎩⎪⎨⎧<<=.,0,119,21)(其他x x p故平均功率36023212)(2)2()(1193119222==⋅===∫∫∞+∞−x dx x dx x p x I E W E . 5. 某种圆盘的直径在区间 (a , b )上服从均匀分布,试求此种圆盘的平均面积. 解:设d 表示“圆盘的直径”,S 表示“圆盘的面积”,有2π41d S =, 因直径d 密度函数为⎪⎩⎪⎨⎧<<−=.,0,,1)(其他b x a ab x p 故平均面积)(4π)(4π1π41)(π41π41)(223222b ab a a b x dx a b x dx x p x d E S E ba b a ++=−=−⋅==⎟⎠⎞⎜⎝⎛=∫∫∞+∞−. 6. 设某种商品每周的需求量X 服从区间 (10, 30)上的均匀分布,而商店进货数为区间 (10, 30)中的某一整数,商店每销售1单位商品可获利500元;若供大于求则削价处理,每处理1单位商品亏损100元;若供不应求,则可从外部调剂供应,此时每一单位商品仅获利300元.为使商店所获利润期望值不少于9280元,试确定最少进货量.解:因X 的密度函数为⎪⎩⎪⎨⎧≤≤=,,0,3010,201)(其它x x p 并设每周进货量为a 单位商品,商店所获利润为Y 元,当X ≤ a 时,Y = 500X − 100 (a − X ) = 600X − 100a ;当X > a 时,Y = 500a + 300 (X − a ) = 300X + 200a ,即⎩⎨⎧>+≤−==,,200300,,100600)(a X a X a X a X X g Y则∫∫∫++−==+∞∞−3010201)200300(201)100600()()()(a adx a x dx a x dx x p x g Y E5250350215)10215()515(2302102++−=++−=a a ax x ax x a a ,要使得92805250350215)(2≥++−=a a Y E ,有040303502152≤+−a a ,可得26362≤≤a ,故a 可取21, 22, 23, 24, 25, 26,即最少进货量为21单位商品. 7. 已知X ~ Exp (λ ),试在λ = 0.1下求P {5 ≤ X ≤ 20}.解:因X 的密度函数为⎩⎨⎧<≥=−,0,0,0,e )(x x x p x λλ 故4712.0e e )e (e 1.0e }205{25.02051.02051.0205=−=−===≤≤−−−−−∫∫x x x dx dx X P λλ.8. 统计调查表明,英格兰在1875年至1951年期间,在矿山发生10人或10人以上死亡的两次事故之间的时间T (以日计)服从均值为241的指数分布.试求P {50 ≤ T ≤ 100}.解:因T 服从指数分布,且2411)(==λT E ,有T 的密度函数为⎪⎩⎪⎨⎧<≥=−,0,0,0,e 2411)(241t t t p t故1523.0ee)e(e 2411}10050{241100241501005024110050241=−=−==≤≤−−−−∫x t dt T P .9. 若一次电话通话时间X (单位:min )服从参数为0.25的指数分布,试求一次通话的平均时间. 解:因X 服从参数为λ = 0.25的指数分布,故一次通话的平均时间41)(==λX E .10.某种设备的使用寿命X (以年计)服从指数分布,其平均寿命为4年.制造此种设备的厂家规定,若设备在使用一年之内损坏,则可以予以调换.如果设备制造厂每售出一台设备可盈利100元,而调换一台设备需花费300元.试求每台设备的平均利润.解:因X 服从指数分布,且41)(==λX E ,有X 的密度函数为⎪⎩⎪⎨⎧<≥=−,0,0,0,e 41)(4x x x p x设Y 表示“每台设备的利润”,当X ≤ 1时,Y = 100 − 300 = −200;当X > 1时,Y = 100.故平均利润∫∫∞+−−+−=>+≤−=14104e 41100e 41200}1{100}1{200)(dx dx X P X P Y E xx 6402.33200e 300e100)e 1(200)e (100)e (2004141411414=−=+−−=−+−−=−−−+∞−−x x.11.设顾客在某银行的窗口等待服务的时间X (以min 计)服从指数分布,其密度函数为⎪⎩⎪⎨⎧>=−.,0,0,e 51)(5其他x x p x某顾客在窗口等待服务,若超过10min ,他就离开.他一个月要到银行5次,以Y 表示一个月内他未。
习题2-21. 设A 为任一随机事件, 且P (A )=p (0<p <1). 定义随机变量1,,0,A X A =⎧⎨⎩发生不发生. 写出随机变量X 的分布律.解2. 已知随机, 且取这四个值的相应概率依次为cc c c 167,85,43,21. 试确定常数c , 并计算条件概率}0|1{≠<X X P . 解由离散型随机变量的分布律的性质知,13571,24816c c c c+++= 所以3716c =. 所求概率为P {X <1| X 0≠}=258167852121}0{}1{=++=≠-=cc c c X P X P . 3. 设随机变量X 服从参数为2, p 的二项分布, 随机变量Y 服从参数为3, p 的二项分布,若{P X ≥51}9=, 求{P Y ≥1}.解注意p{x=k}=k k n kn C p q -,由题设5{9P X =≥21}1{0}1,P X q =-==-故213q p =-=. 从而{P Y ≥32191}1{0}1().327P Y =-==-=4. 在三次独立的重复试验中, 每次试验成功的概率相同, 已知至少成功一次的概率为1927, 求每次试验成功的概率. 解设每次试验成功的概率为p , 由题意知至少成功一次的概率是2719,那么一次都没有成功的概率是278. 即278)1(3=-p , 故p =31. 5. 若X 服从参数为λ的泊松分布, 且{1}{3}P X P X ===, 求参数λ.解由泊松分布的分布律可知6=λ.6. 一袋中装有5只球, 编号为1,2,3,4,5. 在袋中同时取3只球, 以X 表示取出的3只球中的最大, 写出随机变量X 的分布律.解X1. 设X 的分布律为解 (1) F (x )=0,1,0.15,10,0.35,01,1,1.x x x x <-⎧⎪-<⎪⎨<⎪⎪⎩≤≤≥(2) P {X <0}=P {X =-1}=0.15;(3) P {X <2}= P {X =-1}+P {X =0}+P {X =1}=1; (4) P {-2≤x <1}=P {X =-1}+P {X =0}=0.35. 2. 设随机变量X 的分布函数为F (x ) = A +B arctan x -∞<x <+∞.试求: (1) 常数A 与B ; (2) X 落在(-1, 1]内的概率.解 (1) 由于F (-∞) = 0, F (+∞) = 1, 可知()0112,.2()12A B A B A B πππ⎧+-=⎪⎪⇒==⎨⎪+=⎪⎩ (2) {11}(1)(1)P X F F -<=--≤1111(arctan1)(arctan(1))22ππ=+-+-11111().24242ππππ=+⋅---=3. 设随机变量X 的分布函数为F (x )=0, 0,01,21,1,,x xx x <<⎧⎪⎪⎨⎪⎪⎩ ≤ ≥求P {X ≤-1}, P {0.3 <X <0.7}, P {0<X ≤2}.解P {X 1}(1)0F -=-=≤,P {0.3<X <0.7}=F (0.7)-F {0.3}-P {X =0.7}=0.2,P {0<X ≤2}=F (2)-F (0)=1.习题2-41.选择题 (1) 设2, [0,],()0, [0,].x x c f x x c ∈=∉⎧⎨⎩如果c =( ), 则()f x 是某一随机变量的概率密度函数.(A)13. (B) 12. (C) 1. (D) 32. 本题应选(C ).(2) 设~(0,1),X N 又常数c 满足{}{}P X c P X c =<≥, 则c 等于( ). (A) 1. (B) 0. (C) 12. (D) -1. 本题应选(B).(3) 下列函数中可以作为某一随机变量的概率密度的是( ).(A) cos ,[0,],()0,x x f x π∈=⎧⎨⎩其它. (B) 1,2,()20,x f x <=⎧⎪⎨⎪⎩其它.(C) 22()2,0,()0,0.≥x x f x x μσ--=<⎧⎩ (D) e ,0,()0,0.≥x x f x x -=<⎧⎨⎩本题应选(D).(6) 设随机变量X 服从正态分布211(,)N μσ,Y 服从正态分布222(,)N μσ,且12{1}{1},P X P Y μμ-<>-<则下式中成立的是( ).(A) σ1 < σ2. (B) σ1 > σ2. (C) μ1 <μ2. (D) μ1 >μ2. 答案是(A).(7) 设随机变量X 服从正态分布N (0,1), 对给定的正数)10(<<αα, 数αu 满足{}P X u αα>=, 若{}P X x α<=, 则x 等于( ).(A) 2u α . (B) 21α-u. (C) 1-2u α. (D) α-1u .答案是(C).2. 设连续型随机变量X 服从参数为λ的指数分布,要使1{2}4P k X k <<=成立, 应当怎样选择数k ?解X 其分布函数为1e ,0,()0,0.≤x x F x x λ-->=⎧⎨⎩由题意可知221{2}(2)()(1e )(1e )e e 4k k k k P k X k F k F k λλλλ----=<<=-=---=-.于是ln 2k λ=.3.设随机变量X 有概率密度34,01,()0,x x f x <<=⎧⎨⎩其它,要使{}{}≥P X a P X a =<(其中a >0)成立, 应当怎样选择数a ?解由条件变形,得到1{}{}P X a P X a -<=<,可知{}0.5P X a <=, 于是304d 0.5a x x =⎰,因此a =4. 设连续型随机变量X 的分布函数为20,0,()01,1,1,,≤≤x F x x x x <=>⎧⎪⎨⎪⎩求: (1) X 的概率密度; (2){0.30.7}P X <<.解 (1) 由()()F x f x '=得2,01,()0,其它.x x f x <<⎧=⎨⎩(2) 22{0.30.7}(0.7)(0.3)0.70.30.4P X F F <<=-=-=.5. 设随机变量X 的概率密度为f (x )=2,01,0,x x ⎧⎨⎩ ≤≤ 其它,求P {X ≤12}与P {14X <≤2}. 解{P X ≤12201112d 2240}x x x ===⎰;1{4P X <≤12141152}2d 1164x x x ===⎰. 6. 设连续型随机变量X 具有概率密度函数,01,(),12,0,x x f x A x x <=-<⎧⎪⎨⎪⎩≤≤其它.求: (1) 常数A ;(2) X 的分布函数F (x ).解 (1) 由概率密度的性质可得12221121111d ()d []122x x A x x xAx x A =+-=+-=-⎰⎰,于是2A =;(2) 由公式()()d x F x f x x -∞=⎰可得〔过程简略〕220,0,1()221, 2.1,021,12x F x x x x x x x =->⎧⎪⎪<⎪⎨⎪-<⎪⎪⎩≤≤,≤,7. 设随机变量X 的概率密度为1(1),02,()40,x x f x ⎧⎪⎨⎪⎩+<<=其它, 对X 独立观察3次, 求至少有2次的结果大于1的概率.解2115{1}(1)d 48P X x x >=+=⎰.所以, 3次观察中至少有2次的结果大于1的概率为223333535175()()()888256C C +=. 8.设~(0,5)X U , 求关于x 的方程24420x Xx ++=有实根的概率.解若方程有实根, 则21632X -≥0, 于是2X ≥2. 故方程有实根的概率为P {2X ≥2}=21{2}P X -<1{P X =-<<11d 5x =-15=-.10. 设随机变量2~(2,)X N σ, 若{04}0.3P X <<=, 求{0}P X <.解因为()~2,X N σ2,所以~(0,1)X Z N μσ-=. 由条件{04}0.3P X <<=可知02242220.3{04}{}()()X P X P ΦΦσσσσσ---=<<=<<=--,于是22()10.3Φσ-=, 从而2()0.65Φσ=.所以{{}2020}P P X X σσ==--<<22()1()0.35ΦΦσσ-=-=.习题2-52. 设~(1,2),23X N Z X =+, 求Z 所服从的分布与概率密度.解若随机变量2~(,)X N μσ, 则X 的线性函数Y aX b =+也服从正态分布, 即2~(,()).Y aX b N a b a μσ=++这里1,μσ==所以Z ~(5,8)N .概率密度为()f z=2(5)16,x x ---∞<<+∞.3. 已知随机变量X 的分布律为(1) 求Y =2解 (1)(2)4.已知随机变量()X f x =1142ln 20x x <<⎧⎪⎨⎪⎩, , , 其它,且Y =2-X , 试求Y 的概率密度.解)(y F Y ={P Y ≤}{2y P X =-≤}{y P X =≥2}y -1{2}P X y =-<-=1-2()d yX f x x --∞⎰.于是可得Y 的概率密度为121,2(2)ln 20, ,()其它.Y y y f y -<<-⎧⎪=⎨⎪⎩5. 设随机变量X 服从区间(-2,2)上的均匀分布, 求随机变量2Y X =的概率密度.解因为对于0<y <4,(){Y F y P Y =≤2}{y P X =≤}{y P =X (X X F F =-.于是随机变量2Y X =的概率密度函数为()Y fy (X X f f =0 4.y =<<即()04,0,.其它f y y =<<⎩。
概率论与数理统计第二章课后习题及参考答案1.离散型随机变量X 的分布函数为⎪⎪⎩⎪⎪⎨⎧≥<≤<≤--<=≤=.4,1,42,7.0,21,2.0,1,0)()(x x x x x X P x F 求X 的分布律.解:)0()()(000--==x F x F x X P ,∴2.002.0)01()1()1(=-=----=-=F F X P ,5.02.07.0)02()2()2(=-=--==F F X P ,3.07.01)04()4()4(=-=--==F F X P ,∴X 的分布律为2.设k a k X P 3()(==, ,2,1=k ,问a 取何值时才能成为随机变量X 的分布律.解:由规范性,a a a n n k k 2321]32(1[32lim )32(11=--=⋅=+∞→∞+=∑,∴21=a ,此时,k k X P 32(21)(⋅==, ,2,1=k .3.设离散型随机变量X 的分布律为求:(1)X 的分布函数;(2)21(>X P ;(3))31(≤≤-X P .解:(1)1-<x 时,0)()(=≤=x X P x F ,11<≤-x 时,2.0)1()()(=-==≤=X P x X P x F ,21<≤x 时,7.0)1()1()()(==+-==≤=X P X P x X P x F ,2≥x 时,1)2()1()1()()(==+=+-==≤=X P X P X P x X P x F ,∴X 的分布函数为⎪⎪⎩⎪⎪⎨⎧≥<≤<≤--<=.2,1,21,7.0,11,2.0,1,0)(x x x x x F .(2)方法1:8.0)2()1()21(==+==>X P X P X P .方法2:8.02.01)21(121(1)21(=-=-=≤-=>F X P X P .(3)方法1:1)2()1()1()31(==+=+-==≤≤-X P X P X P X P .方法2:101)01()3()31(=-=---=≤≤-F F X P .4.一制药厂分别独立地组织两组技术人员试制不同类型的新药.若每组成功的概率都是0.4,而当第一组成功时,每年的销售额可达40000元;当第二组成功时,每年的销售额可达60000元,若失败则分文全无.以X 记这两种新药的年销售额,求X 的分布律.解:设=i A {第i 组取得成功},2,1=i ,由题可知,1A ,2A 相互独立,且4.0)()(21==A P A P .两组技术人员试制不同类型的新药,共有四种可能的情况:21A A ,21A A ,21A A ,21A A ,相对应的X 的值为100000、40000、60000、0,则16.0)()()()100000(2121====A P A P A A P X P ,24.0)()()()40000(2121====A P A P A A P X P ,24.0)()()()60000(2121====A P A P A A P X P ,36.0)()()()0(2121====A P A P A A P X P ,∴X 的分布律为5.对某目标进行独立射击,每次射中的概率为p ,直到射中为止,求:(1)射击次数X 的分布律;(2)脱靶次数Y 的分布律.解:(1)由题设,X 所有可能的取值为1,2,…,k ,…,设=k A {射击时在第k 次命中目标},则k k A A A A k X 121}{-== ,于是1)1()(--==k p p k X P ,所以X 的分布律为1)1()(--==k p p k X P , ,2,1=k .(2)Y 的所有可能取值为0,1,2,…,k ,…,于是Y 的分布律为1)1()(--==k p p k Y P , ,2,1,0=k .6.抛掷一枚不均匀的硬币,正面出现的概率为p ,10<<p ,以X 表示直至两个面都出现时的试验次数,求X 的分布律.解:X 所有可能的取值为2,3,…,设=A {k 次试验中出现1-k 次正面,1次反面},=B {k 次试验中出现1-k 次反面,1次正面},由题知,B A k X ==}{,=AB ∅,则)1()(1p p A P k -=-,p p B P k 1)1()(--=,p p p p B P A P B A P k X P k k 11)1()1()()()()(---+-=+=== ,于是,X 的分布律为p p p p k X P k k 11)1()1()(---+-==, ,3,2=k .7.随机变量X 服从泊松分布,且)2()1(===X P X P ,求)4(=X P 及)1(>X P .解:∵)2()1(===X P X P ,X 100000060000400000P0.160.240.240.36∴2e e2λλλλ--=,∴2=λ或0=λ(舍去),∴224e 32e !42)4(--===X P .)1()0(1)1(1)1(=-=-=≤-=>X P X P X P X P 222e 31e 2e 1----=--=.8.设随机变量X 的分布函数为⎩⎨⎧<≥+-=-.0,0,0,e )1(1)(x x x x F x 求:(1)X 的概率密度;(2))2(≤X P .解:(1)⎩⎨⎧<≥='=-.0,0,0,e )()(x x x x F x f x ;(2)2e 31)2()2(--==≤F X P .9.设随机变量X 的概率密度为xx Ax f e e )(+=-,求:(1)常数A ;(2))3ln 210(<<X P ;(3)分布函数)(x F .解:(1)⎰⎰+∞∞--+∞∞-+==xAx x f xx d e e d )(1A A x A x x x 2|e arctan d e 21e 2π==+=∞+∞-∞+∞-⎰,∴π2=A .(2)61|e arctan 2d e e 12)3ln 210(3ln 213ln 210==+=<<⎰-x x x x X P ππ.(3)xxxx xx t t f x F e arctan 2d e e 12d )()(ππ=+==⎰⎰∞--∞-.10.设连续型随机变量X 的分布函数为⎪⎪⎩⎪⎪⎨⎧>≤<-+-≤=.a x a x a a x B A a x x F ,1,,arctan ,,0)(其中0>a ,试求:(1)常数A ,B ;(2)概率密度)(x f .解:(1)∵2arcsin (lim )0()(0)(π⋅-=+=+-=-=+-→B A a x B A a F a F a x ,1)(lim )0()(2==+==⋅++→x F a F a F B A a x π,∴21=A ,π1=B .(2)⎪⎩⎪⎨⎧≥<-='=.a x a x x a x F x f ,0,,1)()(22π.11.设随机变量X 的概率密度曲线如图所示,其中0>a .(1)写出密度函数的表达式,求出h ;(2)求分布函数)(x F ;(3)求)2(a X aP ≤<.解:(1)由题设知⎪⎩⎪⎨⎧≤≤-=其他.,0,0,)(a x x ah h x f ∵2d )(d )(10ah x x a h h x x f a=-==⎰⎰∞+∞-,∴ah 2=,从而⎪⎩⎪⎨⎧≤≤-=其他.,0,0,22)(2a x x a a x f .y hO a x(2)0<x 时,0d 0d )()(===⎰⎰∞-∞-xxt t t f x F ,a x <≤0时,220202d )22(d 0d )()(a x a x t t a a t t t f x F xx-=-+==⎰⎰⎰∞-∞-,a x ≥时,1)(=x F ,∴X 的分布函数为⎪⎪⎩⎪⎪⎨⎧≥<≤-<=.a x a x axa x x x F ,1,0,2,0,0)(22.(3)41411(1)2()()2(=--=-=≤<a F a F a X a P .12.设随机变量X 在]6,2[上服从均匀分布,现对X 进行三次独立观察,试求至少有两次观测值大于3的概率.解:由题意知⎪⎩⎪⎨⎧≤≤=其他.,0,62,41)(x x f ,记3}{>=X A ,则43d 41)3()(63==>=⎰x X P A P ,设Y 为对X 进行三次独立观测事件}3{>X 出现的次数,则Y ~43,3(B ,所求概率为)3()2()2(=+==≥Y P Y P Y P )(()(333223A P C A P A P C +=3227)43(41)43(333223=+⋅=C C .13.设随机变量X 的概率密度为⎩⎨⎧<<=其他.,0,10,3)(2x x x f 以Y 表示对X 的三次独立重复观察中事件}21{≤X 出现的次数,求:(1)}21{≤X 至少出现一次的概率;(2)}21{≤X 恰好出现两次的概率.解:由题意知Y ~),3(p B ,其中81d 3)21(2102==≤=⎰x x X P p ,(1)}21{≤X 至少出现一次的概率为512169)811(1)1(1)0(1)1(33=--=--==-=≥p Y P Y P .(2)}21{≤X 恰好出现两次的概率为51221811(81()1()2(223223=-=-==C p p C Y P .14.在区间],0[a 上任意投掷一个质点,以X 表示这个质点的坐标.设这个质点落在],0[a 中任意小区间内的概率与这个小区间的长度成正比例.试求X 的分布函数.解:0<x 时,事件}{x X ≤表示X 落在区间],0[a 之外,是不可能事件,此时0)()(=≤=x X P x F ;a x ≤≤0时,事件}{x X ≤发生的概率等于X 落在区间],0[x 内的概率,它与],0[x 的长度x 成正比,即x k x X P x F =≤=)()(,a x =时,1)(=≤x X P ,所以a k 1=,则此时ax x F =)(;a x ≥时,事件}{x X ≤是必然事件,有1)(=x F ,综上,⎪⎪⎩⎪⎪⎨⎧≥<≤<=,a x a x a x x x F ,1,0,,0,0)(.15.设X ~),2(2σN ,又3.0)42(=<<X P ,求)0(>X P .解:)24222()42(σσσ-<-<-=<<X P X P 3.0)0(2(=Φ-Φ=σ,∴8.03.0)0(2(=+Φ=Φσ,∴8.02(2(1)0(1)0(=Φ=-Φ-=≤-=>σσX P X P .16.设X ~)4,10(N ,求a ,使得9.0)10(=<-a X P .解:)10()10(a X a P a X P <-<-=<-)22102(a X a P <-<-=)2()2(a a -Φ-Φ=9.01)2(2=-Φ=a,∴95.02(=Φa,查标准正态分布表知645.12=a,∴290.3=a .17.设X ~)9,60(N ,求分点1x ,2x ,使得X 分别落在),(1x -∞,),(21x x ,),(2∞x 的概率之比为3:4:5.解:由题知5:4:3)(:)(:)(2211=><<<x X P x X x P x X P ,又∵1)()()(2211=>+<<+<x X P x X x P x X P ,∴25.041)(1==<x X P ,33.031)(21==<<x X x P ,125)(2=>x X P ,则5833.0127)(1)(22==>-=≤x X P x X P .∴25.0)360()360360()(111=-Φ=-<-=<x x X P x X P ,查标准正态分布表知03601<-x ,∴03601>--x ,则75.0)360(1)360(11=-Φ-=--Φx x 查标准正态分布表,有7486.0)67.0(=Φ,7517.0)68.0(=Φ,75.02)68.0()67.0(=Φ+Φ,∴675.0268.067.03601=+=--x ,即975.571=x .∵5833.0)360(360360()(222=-Φ=-≤-=≤x x X P x X P ,查标准正态分布表知5833.0)21.0(=Φ,∴21.03602=-x ,即63.602=x .18.某高校入学考试的数学成绩近似服从正态分布)100,65(N ,如果85分以上为“优秀”,问数学成绩为“优秀”的考生大致占总人数的百分之几?解:设X 为考生的数学成绩,则X ~)100,65(N ,于是)85(1)85(≤-=>X P X P )1065851065(1-≤--=X P 0228.09772.01)2(1=-=Φ-=,即数学成绩为“优秀”的考生大致占总人数的2.28%.19.设随机变量X 的分布律为求2X Y =的分布律.解:Y 所有可能的取值为0,1,4,9,则51)0()0(====X P Y P ,307)1()1()1(==+-===X P X P Y P ,51)2()4(=-===X P Y P ,3011)3()9(====X P Y P ,∴Y 的分布律为20.设随机变量X 在)1,0(上服从均匀分布,求:(1)X Y e =的概率密度;(2)X Y ln 2-=的概率密度.解:由题设可知⎩⎨⎧<<=其他.,0,10,1)(x x f ,(1)当0≤y 时,=≤}{y Y ∅,X 2-1-013P5161511513011Y 0149P51307513011∴0)()(=≤=y Y P y F Y ,0)(=y f Y ;e 0<<y 时,)e ()()(y P y Y P y F X Y ≤=≤=)(ln )ln (y F y X P X =≤=,此时,yy f y y y F y F y f X XY X 1)(ln 1)(ln )(ln )()(=='⋅'='=;e ≥y 时,1)()(=≤=y Y P y F Y ,0)(=y f Y ;∴⎪⎩⎪⎨⎧<<=其他.,0,e 0,1)(y y y f Y .(2)当0≤y 时,=≤}{y Y ∅,∴0)()(=≤=y Y P y F Y ,0)(=y f Y ;当0>y 时,)e ()ln 2()()(2y Y X P y X P y Y P y F -≥=≤-=≤=)e (1)e (122y X y F X P ---=<-=,此时,222e 21)e ()e ()()(yy yX Y X F y F y f ---='⋅'-='=;∴⎪⎩⎪⎨⎧≤>=-.0,0,0,e 21)(2y y y f yY .21.设X ~)1,0(N ,求:(1)X Y e =的概率密度;(2)122+=X Y 的概率密度;(3)X Y =的概率密度.解:由题知22e 21)(x X xf -=π,+∞<<∞-x ,(1)0≤y 时,=≤=}e {y Y X ∅,∴0)()(=≤=y Y P y F Y ,0)(=y f Y ;0>y 时,)(ln )ln ()e ()()(y F y X P y P y Y P y F X X Y =≤=≤=≤=,此时,2)(ln 2e 21)(ln 1)(ln )(ln )()(y X XY X y f y y y F y F y f -=='⋅'='=π;综上,⎪⎩⎪⎨⎧≤>=-.0,0,0,e 21)(2)(ln 2y y y f y Y π.(2)1<y 时,=≤+=}12{2y X Y ∅,∴0)()(=≤=y Y P y F Y ;1≥y 时,21()12()()(22-≤=≤+=≤=y X P y X P y Y P y F Y )2121(-≤≤--=y X y P 当1=y 时,0)(=y F Y ,故1≤y 时,0)(=y F Y ,0)(=y f Y ;当1>y 时⎰⎰------==210221212d e22d e21)(22y x y y x Y x x y F ππ,此时,41e)1(21)()(---='=y Y Y y y F y f π,综上,⎪⎩⎪⎨⎧≤>-=--.1,0,1,e )1(21)(41y y y y f y Y π.(3)0<y 时,=≤=}{y X Y ∅,∴0)()()(=≤=≤=y X P y Y P y F Y ,0≥y 时,)()()()(y X y P y X P y Y P y F Y ≤≤-=≤=≤=)()(y F y F X X --=,0=y 时,0)(=y F Y ,∴0≤y 时,有0)(=y F Y ,0)(=y f Y ;0>y 时,22e 22)()()()()(y X X Y Y Y yf y f y F y F y f -=-+=-'+'=π,综上,⎪⎩⎪⎨⎧≤>=-.0,0,0,e 22)(22y y y f yY π.22.(1)设随机变量X 的概率密度为)(x f ,+∞<<∞-x ,求3X Y =的概率密度.(2)设随机变量X 的概率密度为⎩⎨⎧>=-其他.,00,e )(x x f x 求2X Y =的概率密度.解:(1)0=y 时,0)()(=≤=y Y P y F Y ,0)(=y f Y ;0≠y 时,)()()()()(333y F y X P y X P y Y P y F X Y =≤=≤=≤=,3233331())(()()(-⋅=''='=y y f y y F y F y f XY Y ;∴⎪⎩⎪⎨⎧=≠=-.0,0,0),(31)(332y y y f y y f Y .(2)由于02≥=X Y ,故当0<y 时,}{y Y ≤是不可能事件,有0)()(=≤=y Y P y F Y ;当0≥y 时,有)()(()()()(2y F y F y X y P y X P y Y P y F X X Y --=≤≤-=≤=≤=;因为当0=y 时,0)0()0()(=--=X X Y F F y F ,所以当0≤y 时,0)(=y F Y .将)(y F Y 关于y 求导数,即得Y 的概率密度为⎪⎩⎪⎨⎧≤>-+=.0,0,0)],()([21)(y y y f y f y y f X X Y ,⎪⎩⎪⎨⎧≤>+=-.0,0,0),e e (21y y y y y.23.设随机变量X 的概率密度为⎪⎩⎪⎨⎧<<=其他.,0,0,2)(2ππx xx f 求X Y sin =的概率密度.解:由于X 在),0(π内取值,所以X Y sin =的可能取值区间为)1,0(,在Y 的可能取值区间之外,0)(=y f Y ;当10<<y 时,使}{y Y ≤的x 取值范围是),arcsin []arcsin ,0(ππy y - ,于是}arcsin {}arcsin 0{}{ππ<≤-≤<=≤X y y X y Y .故)arcsin ()arcsin 0()()(ππ<≤-+≤<=≤=X y P y X P y Y P y F Y ⎰⎰-+=ππyX y X x x f x x f arcsin arcsin 0d )(d )(⎰⎰-+=ππππyy x xx xarcsin 2arcsin 02d 2d 2,上式两边对y 求导,得22222121)arcsin (21arcsin 2)(yyy yyy f Y -=--+-=ππππ;综上,⎪⎩⎪⎨⎧<<-=其他.,0,10,12)(2y y y f Y π.。
2. 一袋中有5只乒乓球,编号为1、2、3、4、5,在其中同时取三只,以X 表示取出的三只球中的最大号码,写出随机变量X 的分布律解:X 可以取值3,4,5,分布律为1061)4,3,2,1,5()5(1031)3,2,1,4()4(1011)2,1,3()3(352435233522=⨯====⨯====⨯===C C P X P C C P X P C C P X P 中任取两球再在号一球为中任取两球再在号一球为号两球为号一球为也可列为下表 X : 3, 4,5 P :106,103,101 .[三] 解:任取三只,其中新含次品个数X 可能为0,1,2个。
3522)0(315313===C C X P)1(==X P X : 0, 1, 2 P : 351,3512,3522.[四] 解:(1)P (X=k )=q k -1pk=1,2,……(2)Y=r+n={最后一次实验前r+n -1次有n 次失败,且最后一次成功},,2,1,0,)(111 ===+=-+--+n p q C p p q C n r Y P r n n n r r n n n r 其中 q=1-p , 或记r+n=k ,则 P {Y=k }= ,1,,)1(11+=----r r k p p C rk r r k(3)P (X=k ) = (0.55)k -10.45k=1,2…P (X 取偶数)=311145.0)55.0()2(1121===∑∑∞=-∞=k k k k X P .[六] 一大楼装有5个同类型的供水设备,调查表明在任一时刻t 每个设备使用的概率为0.1,问在同一时刻(1)恰有2个设备被使用的概率是多少?0729.0)9.0()1.0()2(322525225=⨯⨯===-C q p C X P(2)至少有3个设备被使用的概率是多少?00856.0)1.0()9.0()1.0()9.0()1.0()3(5554452335=⨯+⨯⨯+⨯⨯=≥C C C X P(3)至多有3个设备被使用的概率是多少?3225415505)9.0()1.0()9.0(1.0)9.0()3(⨯⨯+⨯⨯+=≤C C C X P99954.0)9.0()1.0(2335=⨯⨯+C(4)至少有一个设备被使用的概率是多少?40951.059049.01)0(1)1(=-==-=≥X P X P[五] (1)以X 表示鸟为了飞出房间试飞的次数,求X 的分布律。
k 001.1,0,1,2...,315221()13113lim ()1132132=313kk k k k k C C C C ∞=∞→∞=ξξ=ξ=1⋃ξ=2ξ≤ξ≤2ξ≥====-ξ⋃ξξξ⨯∑∑2设随机变量的分布列为P(=k)=C()求:(1)C 的值 (2)P() (3)P(<<)(4)P(1) (5)P(1)解:(1) 由正则性可得:即解得 C (2) P(=1=2)=P(=1)+P(=2)=()121201218)()333271521218(3)()(1)(2)()()223333278(4)(12)(1)(2)272115(1)1(1)1(0)1()333P P P P P P P P P (+⨯=<ξ<=ξ=+ξ==⨯+⨯=≤ξ≤=ξ=+ξ==ξ≥=-ξ<=-ξ==-⨯=P972.4解:ξ的取值为3,4,5 P (ξ=3)=c351=101, P (ξ=4)=c c 3523=103, P (ξ=5)=cc3524=53 所以,ξ的分布列为:k a-7015716702.9a a a =70.999k 70.9975930.999!70,9990410.999!K k k k k e e k e k ξξξξλ=-=-=≤≤≥≥!≈<≈>∑∑∑解,设此种商品当月销售量为件,每月进货件,则当是就不会脱销.则有: P ()0.999 又已知服从7的泊松分布.因此有: 则至少应进16件此种商品.P982.10解:设x 为时间t 内通过交叉路口的汽车数量,则()^()!tt k p x k e k λλ-==(0)λ> 0,1,2,3k =1t =时,(0)0.2p x e λ-===,即ln 5λ= 2t ∴=时,2ln 5t λ=,2ln 5(1)25p x ==(0)0.04p x ==又(1)1(0)(1)p x p x p x >=---= 2ln 5(1)0.9625p x ∴>=-即在两分钟内有多余一辆车通过的概率为2ln 50.9625-.()()500500335002.111/500,.()(,500,1/500)500b K,500,1/500)=1/500499/500,n p np=5001/5001K K K KP K b K P K ξξξξ==-≥==⎛⎫≥ ⎪⎝⎭⨯=∑∑解:由题意已知在指定的一页上出现一个错误的概率为设在指定一页上出现的错误个数为则:P(3)=又其中(直接计算(3)过于麻烦,且很大,很小.这时有很210=np=np b n p 3)10.08032(0.08032KK e K P e λλλξξ--=≈!≥<≈-=∑小,可以近似利用泊松定理取 1,由于不太大时,(K;;) 有(3)=1-P(查表)即在指定的一页上至少有三个错误的概率为2.13解:边际分布列:0(1)()!()!!(1)!!()!!(0,1,2,0)nn m n m nm mm nn nm n m m p p P n p e m n m e n p p e n m n m n n λλλλξλλλ--=---=-====--=-=>∑∑∑……(1)()()(,)!()!(0,1,n)pmm n n m m n m n e p p p e P m p n m m n m m m λλλληξη-∞--==-======-=∑∑……,2.15解:由题意44444444(,,)0.50.30.24!0.50.30.2(,,0,1,2,3,44)(4)!!()0.50.5,0,1,2,3,4()0.30.7,0,1,2,3,4()0.20.8,0,1,2,3,4m nm n k m m n k mm m n n n k k k p m n k C C m n k m n k m m p m C m p n C n p k C k ξηζξηζξηζ----======++=-=========其中且、、的分布列分别为2.17解:1212121212121212121212()1p(0,0 )(0,1)(0,2)(1,0)(2,0)1(1,1)(1,2)(2,1)(2,2)p p p p p p p p p ξξξξξξξξξξξξξξξξξξξξξξ=∴==+==+==+==+===∴===========∴的联合分布列:∴p(1ξ=2ξ)=02.18证:由题意设η所有的可能取值为1231,,...,n n a a a a a -(n ∈R )其中P(ξ=a ,η=i a )=i p 则对于任意的i ∈R ,而p(=a ξ)p(i a η=)=1*i p 所以P(ξ=a ,η=i a )= p(=a ξ)p(i a η=) 所以ξ与任意的离散型随机变量η相互独立2.19 解:法一:由题意得:若ξ与η相互独立,则P(ξ=2,η=2)=P(ξ=2)P(η=2) P(ξ=2,η=3)=P(ξ=2)P(η=3)所以 a=(1/9+a)(1/3+a+b)B=(1/18+b)(1/3+a+b)1/3+1/3+a+b=1 a=2/9 b=1/9所以a=2/9,b=1/9时ξ与η相互独立法二:解:由归一性可知 α+β=31因为ξ,η相互独立,所以P (i ξi η)=P (i ξ)P (i η) (i=1,2 j=1,2,3) 所以 P (1ξ)P(1η)=61 P (1ξ)P(2η)=91 P (1ξ)P(3η)=181 所以 P(1η):P(2η):P(3η)=3:2:1又因为 P (2ξ)P(1η)=31P (2ξ)P(2η)=α P (2ξ)P(3η)=β所以有 31:α:β=3:2:1所以 α=92 β=91则2ηε=的分布列为分布列。