陇县崇文中学体测模版
- 格式:xls
- 大小:664.50 KB
- 文档页数:153
年级编号班级编号班级名称学籍号民族代码姓名性别出生日期家庭住址G41132320051寇峥迪22005/02/24李店镇寇楼村212018201初中2018级1班G41132520041郭胜旺12004/09/02河南省唐河县桐河乡李司庄村司212018201初中2018级1班G41132520061张一斌12006/03/28河南省唐河县源潭镇党庄村小党212018201初中2018级1班212018201初中2018级1班G41132620061寇刘鑫22006/08/02李店镇寇楼村G41132720021薛洪涛12002/11/12李店薛庄212018201初中2018级1班G41132720041王奥博12004/06/26李店王庄212018201初中2018级1班212018201初中2018级1班G41132720051李贺情22005/05/28河南省社旗县李店镇西杨庄村吴G41132720051惠宏宇22005/06/18河南省社旗县212018201初中2018级1班G41132720051王书毅12005/12/15河南省社旗县李店镇王厂村王厂212018201初中2018级1班212018201初中2018级1班G41132720051陈钊12005/12/16李店王庄G41132720051郭静霞22005/12/26河南省社旗县李店镇王厂村王厂212018201初中2018级1班G41132720061王梦菲22006/02/20河南省社旗县李店212018201初中2018级1班G41132720061张建业12006/03/18古渡孙村张庄212018201初中2018级1班G41132720061张建伟22006/03/18古渡孙村张庄212018201初中2018级1班G41132720061常素斐22006/04/25李店贾桥湾常212018201初中2018级1班212018201初中2018级1班G41132720061张璐滢22006/05/10社旗县李店镇古渡孙村古渡孙G41132720061李雪梅22006/05/28社旗县李店镇古渡孙村古渡孙212018201初中2018级1班G41132720061常耀辉12006/06/29河南省社旗县李店镇半坡村十一212018201初中2018级1班G41132720071张广军12007/02/09河南省社旗县李店镇李店村10组212018201初中2018级1班G41132720071薛成凤22007/03/21李店薛庄212018201初中2018级1班G41132720071唐姿22007/07/02河南省社旗县李店镇半坡村杏庄212018201初中2018级1班G41132720071张熙茹22007/09/28古渡孙村张庄212018201初中2018级1班G41132720071王静雯22007/11/26河南省社旗县李店镇王厂村龙门212018201初中2018级1班G41132920041陶森12004/02/10李店薛庄212018201初中2018级1班G41132920041惠权甫12004/02/14社旗县李店镇西杨庄村212018201初中2018级1班G41132920041常浩南12004/04/14社旗县李店镇西杨庄村212018201初中2018级1班G41132920041王全乐12004/04/29河南省社旗县李店镇王厂村王厂212018201初中2018级1班G41132920051周明雷12005/04/05河南省社旗县李店镇王厂村王厂212018201初中2018级1班212018201初中2018级1班G41132920051杜鸿杨12005/04/08河南省社旗县李店镇半坡村十一G41132920051党景22005/04/15河南省社旗县李店镇王厂村王厂212018201初中2018级1班G41132920051常芮22005/06/10李店王庄212018201初中2018级1班G41132920051杨庆辉12005/06/23河南省社旗县李店镇丁庄村常老212018201初中2018级1班G41132920051党品22005/06/26河南省社旗县李店镇半坡村十二212018201初中2018级1班G41132920051常成俊12005/07/08河南省社旗县212018201初中2018级1班G41132920051徐红22005/07/31河南省社旗县李店镇半坡村212018201初中2018级1班G41132920051常嘉屹22005/08/19李店贾桥村贾桥212018201初中2018级1班212018201初中2018级1班G41132920052李双星12005/09/15河南省社旗县李店镇半坡村杏庄G41132920051常恩璐22005/10/21李店贾桥湾常212018201初中2018级1班212018201初中2018级1班G41132920051王浩博12005/10/23李店薛庄G41132920051王莹22005/12/04李店薛庄村小王庄212018201初中2018级1班G41132920051唐恩慧22005/12/13李店王庄212018201初中2018级1班212018201初中2018级1班G41132920061王家成12006/01/06李店薛庄G41132920061孙家坤22006/02/16社旗县李店镇古渡孙村古渡孙212018201初中2018级1班G41132920061郭聪聪22006/03/02河南省社旗县李店镇王厂村王厂212018201初中2018级1班G41132920061王婷婷22006/03/25河南省社旗县李店镇半坡村杏庄212018201初中2018级1班G41132920061任冰冰22006/04/01河南省社旗县李店镇李店街212018201初中2018级1班G41132920061常超12006/04/17李店王庄212018201初中2018级1班G41132920061惠鑫22006/06/19李店王庄212018201初中2018级1班G41132920061张清12006/07/06李店镇贾桥村姚冲212018201初中2018级1班G41132920061张运康12006/10/09河南省社旗县李店镇李店村方庄212018201初中2018级1班G41132920061常苏轩22006/10/15河南省社旗县李店镇李店街212018201初中2018级1班G41132920061李新伟12006/10/17李店镇薛庄村岗李212018201初中2018级1班G41132920061张颖22006/11/06河南省唐河县源潭镇郑庄212018201初中2018级1班L41132720031张贵祥22005/04/26李店古渡孙张庄212018201初中2018级1班212018201初中2018级1班L41132820051张筱璐22005/11/25源潭镇良于庄G41132520041郭俊豪12004/12/28河南省唐河县桐河乡小郭庄212018202初中2018级2班G41132520051黄静宇12005/10/25河南省唐河县源潭镇党老庄李岗212018202初中2018级2班212018202初中2018级2班G41132520061张家栋12006/03/18河南省唐河县源潭乡党庄村G41132620051寇桂萍22005/11/09李店镇寇楼村212018202初中2018级2班G41132720031徐子毅22003/02/03河南省社旗县李店镇古渡孙村徐212018202初中2018级2班G41132720051王伟业12005/03/09李店王庄212018202初中2018级2班G41132720051李军晓22005/04/18李店薛庄212018202初中2018级2班G41132720051刘怡景22005/05/20河南省社旗县李店镇半坡村七组212018202初中2018级2班212018202初中2018级2班G41132720051冉崇鑫12005/09/09李店镇薛庄村岗李G41132720051张慧22005/10/08李店古渡孙张庄212018202初中2018级2班G41132720051郭晓仙22005/10/11王厂村小郭庄212018202初中2018级2班212018202初中2018级2班G41132720051党艳芳22005/10/27河南省社旗县李店镇王厂村王厂G41132720051常雅惠22005/10/29李店贾桥湾常212018202初中2018级2班G41132720051王灿22005/11/28李店薛庄村小王庄212018202初中2018级2班G41132720061王淑瑶22006/03/16李店王庄212018202初中2018级2班G41132720061杨丽辉22006/04/27河南省社旗县212018202初中2018级2班G41132720061杨艺22006/05/01李店王庄212018202初中2018级2班G41132720061郭慧博12006/07/21王厂村小郭庄212018202初中2018级2班G41132720061庞晓君22006/11/22李店北杨庄212018202初中2018级2班G41132720061张震12006/12/03社旗县李店镇古渡孙村古渡孙212018202初中2018级2班G41132720061肖璨22006/12/30社旗县李店镇西杨庄村212018202初中2018级2班G41132720071王平阳22007/10/12社旗县李店镇薛庄村212018202初中2018级2班G41132720071刘金喆22007/11/05河南省社旗县李店镇212018202初中2018级2班G41132720071白浩然12007/11/28河南省社旗县李店镇李店村方庄212018202初中2018级2班212018202初中2018级2班G41132920031徐峰旺12003/10/16李店薛庄G41132920041张建果12004/06/03李店王庄212018202初中2018级2班G41132920041田新博12004/06/05河南省社旗县李店镇212018202初中2018级2班G41132920041李金旺12004/10/05河南省社旗县李店镇半坡村212018202初中2018级2班G41132920041姬家鑫12004/11/11李店北杨庄212018202初中2018级2班G41132920041王菊22004/11/27李店贾桥村贾桥212018202初中2018级2班G41132920051杨德富12005/01/10河南省社旗县李店镇王厂村王厂212018202初中2018级2班G41132920051赵子婧22005/02/03河南省社旗县212018202初中2018级2班G41132920051郭菲22005/04/24社旗县李店镇古渡孙村徐庄212018202初中2018级2班G41132920051薛翡22005/05/11李店薛庄212018202初中2018级2班G41132920051丁苗12005/05/19李店王庄212018202初中2018级2班G41132920051任富创12005/07/15社旗县李店镇西杨庄村212018202初中2018级2班G41132920051王玉阳12005/07/20河南省社旗县李店镇王厂村王厂212018202初中2018级2班G41132920051常燕22005/08/01河南省社旗县李店镇泰山路212018202初中2018级2班G41132920051常皓12005/08/06河南省社旗县212018202初中2018级2班212018202初中2018级2班G41132920052李蒙12005/11/14河南省社旗县李店镇半坡村十一G41132920051杨露22005/12/01李店王庄212018202初中2018级2班212018202初中2018级2班G41132920051常虹22005/12/16河南省社旗县G41132920061惠红岩22006/01/10河南省社旗县212018202初中2018级2班G41132920061常素雲22006/02/01河南省社旗县李店镇李店村1组212018202初中2018级2班G41132920061李雪康12006/02/03河南省社旗县李店镇212018202初中2018级2班G41132920061崔佳瑜12006/02/16河南省社旗县李店镇李店村七组212018202初中2018级2班G41132920061郭帅12006/02/16河南省社旗县李店镇王厂村小郭212018202初中2018级2班G41132920061白果22006/03/10河南省社旗县李店镇方庄212018202初中2018级2班G41132920061田京12006/04/01河南省社旗县李店镇212018202初中2018级2班G41132920061崔杰顺12006/04/28李店北杨庄212018202初中2018级2班G41132920061王金焕22006/05/16李店王庄212018202初中2018级2班212018202初中2018级2班G41132920061邢俊艺22006/06/06河南省社旗县李店镇半坡村邢冲G41132920061常菲22006/07/28河南省社旗县212018202初中2018级2班G41172620061丁浩12006/02/22鹿城区212018202初中2018级2班212018202初中2018级2班L41132720041李二旺12004/04/23社旗县李店镇半坡村L41132720051王浩12005/07/01河南省社旗县李店镇北杨庄村212018202初中2018级2班L41132720061惠新芝22005/12/21河南省社旗县212018202初中2018级2班L41132720071常山山22007/03/03李店王庄212018202初中2018级2班G41132520051党丰卓12005/10/25源潭白庙冯村212018203初中2018级3班G41132620061寇明邦12006/02/16李店镇寇楼村212018203初中2018级3班212018203初中2018级3班G41132620061寇振旺12006/06/16李店镇李店镇寇楼村G41132720041常康12004/02/09李店王庄212018203初中2018级3班G41132720041常静薇22004/09/23社旗县李店镇西杨庄村212018203初中2018级3班212018203初中2018级3班G41132720041刘惠霞22004/11/05滩里镇富管营G41132720051惠淑玥22005/08/16河南省社旗县212018203初中2018级3班G41132720051陈方正12005/09/25河南省社旗县李店镇半坡村杏庄212018203初中2018级3班G41132720051杨德珲12005/10/04212018203初中2018级3班G41132720052李悦22005/10/05河南省社旗县李店镇212018203初中2018级3班G41132720051姚卓妍22005/11/02李店镇贾桥村姚冲212018203初中2018级3班G41132720051李靖贤12005/12/03社旗县李店镇南元庄村212018203初中2018级3班G41132720051杜换姿22005/12/24河南省社旗县李店镇半坡村十一212018203初中2018级3班G41132720061邢孟敏22006/01/23河南省社旗县李店镇半坡村十五212018203初中2018级3班G41132720061张心悦22006/02/26李店王庄212018203初中2018级3班G41132720061张一平22006/02/27河南省社旗县兴隆镇老街村212018203初中2018级3班G41132720061谢紫瑜22006/04/17河南省社旗县李店镇半坡村十三212018203初中2018级3班G41132720061邢子琪22006/07/12河南省社旗县李店镇半坡村邢冲212018203初中2018级3班212018203初中2018级3班G41132720061惠秋昊12006/08/21河南省社旗县李店镇西杨庄村肖G41132720061张文静22006/08/24河南省社旗县李店镇半坡村杏庄212018203初中2018级3班G41132720061刘华丹22006/09/16河南省社旗县李店镇212018203初中2018级3班G41132820061常文蕾22006/04/29李店王庄212018203初中2018级3班G41132920011王淼22001/06/06社旗县李店镇西杨庄村212018203初中2018级3班G41132920031惠高阳12003/07/13李店乡西杨村9组212018203初中2018级3班G41132920031魏征明辉12003/10/06李店薛庄212018203初中2018级3班G41132920041郭家宝12004/04/07社旗县李店镇西杨庄村212018203初中2018级3班G41132920041王月22004/11/06李店王庄212018203初中2018级3班G41132920041党嫦楠22004/11/18未填212018203初中2018级3班G41132920051王闯12005/01/25河南省社旗县李店镇212018203初中2018级3班G41132920051徐燕22005/06/04河南省社旗县李店镇古渡孙村徐212018203初中2018级3班G41132920051郝杰12005/06/06河南省社旗县李店镇212018203初中2018级3班G41132920051王珂22005/08/24李店王庄212018203初中2018级3班G41132920051常涛12005/09/17河南省社旗县212018203初中2018级3班212018203初中2018级3班G41132920051常梦娇22005/09/29李店王庄G41132920051郭炜洁22005/10/21河南省社旗县212018203初中2018级3班212018203初中2018级3班G41132920051张博12005/10/30李店镇贾桥村姚冲G41132920051赵万里12005/11/05河南省社旗县212018203初中2018级3班G41132920051王明12005/11/14李店王庄212018203初中2018级3班G41132920061张洁22006/02/22李店镇贾桥村姚冲212018203初中2018级3班G41132920061张金凤22006/04/03贾桥村贾桥212018203初中2018级3班G41132920061王慧洁22006/04/09李店王庄212018203初中2018级3班G41132920061张品22006/05/02河南省社旗县李店镇李店村方庄212018203初中2018级3班G41132920061张东辉22006/05/07河南省社旗县李店镇李店村212018203初中2018级3班G41132920061王文芳22006/05/21李店镇王庄212018203初中2018级3班G41132920061刘鑫领22006/05/24河南省社旗县李店镇李店村212018203初中2018级3班212018203初中2018级3班G41132920061王泽众12006/05/25社旗县李店镇薛庄村G41132920061徐显耀12006/06/26李店薛庄212018203初中2018级3班G41132920061惠远璟22006/07/02河南省社旗县李店镇李店村1组212018203初中2018级3班212018203初中2018级3班G41132920061郝晓飞12006/07/10河南省社旗县李店镇G41132920061李嘉慧22006/07/15李店镇贾桥村姚冲212018203初中2018级3班G41132920061陈源12006/07/27河南省社旗县李店镇212018203初中2018级3班G41132920061刘冰22006/08/06李店薛庄212018203初中2018级3班G41132920061杨心宇12006/08/18李店王庄212018203初中2018级3班G41132920061常君昊12006/09/03李店贾桥湾常212018203初中2018级3班212018203初中2018级3班G41132920061党楷22005/09/10河南省社旗县李店镇王厂村王厂G41132920061邢怀宙12006/10/06河南省社旗县李店镇半坡村六组212018203初中2018级3班G41132920061郭皓12006/10/09河南省社旗县李店镇212018203初中2018级3班212018203初中2018级3班G41132920061李锦泓12006/11/05河南省社旗县G41132920061惠娇媚22006/11/13河南省社旗县212018203初中2018级3班G41132920061姬永康12006/12/02李店北杨庄212018203初中2018级3班G41132920071常静雯22007/01/12李店贾桥湾常212018203初中2018级3班G41132920071张浩12007/05/19河南省社旗县李店镇李店街212018203初中2018级3班G42032220041刘庭鑫12004/05/16关防乡龙潭子村三组212018203初中2018级3班L41132720041王露露22004/07/29河南省唐河县源潭镇党庄212018203初中2018级3班G41132720041常广栋12004/03/15李店贾桥村贾桥212018204初中2018级4班G41132720041常依林22004/05/06河南省社旗县212018204初中2018级4班G41132720041郭飞扬22004/08/24社旗县李店镇西杨庄村212018204初中2018级4班G41132720051常磊12005/02/26河南省社旗县212018204初中2018级4班G41132720051惠常蕊22005/05/20河南省社旗县212018204初中2018级4班G41132720051常楠22005/07/19李店薛庄村小王庄212018204初中2018级4班212018204初中2018级4班G41132720052李宁22005/10/06河南省社旗县李店镇杏庄G41132720052李晴22005/11/20河南省社旗县李店镇半坡村杏庄212018204初中2018级4班G41132720051王奇明12005/11/23李店薛庄212018204初中2018级4班G41132720051姬群慧22005/11/25李店北杨庄212018204初中2018级4班G41132720051郭红刚12005/12/26河南省社旗县李店镇王厂村王厂212018204初中2018级4班G41132720061孙新怡22006/01/11河南省社河南省社旗县李店镇北212018204初中2018级4班G41132720061余丽雯22006/02/19社旗县李店镇薛庄村212018204初中2018级4班G41132720061邢党22006/03/19河南省社旗县李店镇半坡村六组212018204初中2018级4班G41132720061陈孟贤22006/04/02河南省社旗县李店镇半坡村十二212018204初中2018级4班G41132720061徐凤展22006/04/26社旗县李店镇古渡孙村徐庄212018204初中2018级4班G41132720061李紫嫣22006/07/16李店薛庄村小王庄212018204初中2018级4班G41132720061赵琛22006/07/28河南省社旗县212018204初中2018级4班G41132720061常万鹏12006/08/15河南省社旗县李店镇212018204初中2018级4班G41132720061张倪婷22006/08/28河南省社旗县李店镇王厂村212018204初中2018级4班G41132720061常淇智12006/09/02河南省社旗县李店镇212018204初中2018级4班212018204初中2018级4班G41132720071党兰天12007/01/31河南省社旗县G41132820051田逸飞12005/07/20源潭齐胡村212018204初中2018级4班212018204初中2018级4班G41132820061张竞艺22006/12/25河南省唐河县源潭镇G41132920041赵天祎12004/09/08河南省社旗县212018204初中2018级4班G41132920041李家乐12004/11/17李店薛庄小王庄212018204初中2018级4班G41132920052李嘉乐12005/01/17李店镇贾桥村姚冲212018204初中2018级4班G41132920051张金霞22005/03/13李店薛庄卧沟张212018204初中2018级4班G41132920051张迪22005/04/04河南省社旗县李店镇212018204初中2018级4班G41132920051张晓12005/04/10李店王庄212018204初中2018级4班G41132920052李锴12005/05/07河南省社旗县李店镇半坡村杏庄212018204初中2018级4班G41132920051党长奎12005/05/15社旗县李店镇古渡孙村王厂212018204初中2018级4班G41132920051常铭12005/08/08河南省社旗县212018204初中2018级4班212018204初中2018级4班G41132920051王冰冰22005/08/15李店王庄G41132920051郭子印12005/08/24河南省社旗县李店镇王厂村王厂212018204初中2018级4班G41132920051惠若曦22005/09/28李店王庄212018204初中2018级4班212018204初中2018级4班G41132920051李飞扬12005/10/02李店薛庄村小王庄G41132920051郭孟雪22005/11/06社旗县李店镇王厂村曹埠口212018204初中2018级4班G41132920051常心领22005/11/13李店王庄212018204初中2018级4班G41132920052李梦迪22005/11/18河南省社旗县李店镇半坡村七组212018204初中2018级4班G41132920051王仕杰12005/12/11李店王庄村王庄212018204初中2018级4班G41132920051王李聪22005/12/30河南省社旗县212018204初中2018级4班212018204初中2018级4班G41132920061王文锦12006/02/10李店薛庄G41132920061候若菲22006/02/19河南省社旗县212018204初中2018级4班G41132920061崔金淼12006/05/06李店北杨庄212018204初中2018级4班212018204初中2018级4班G41132920061徐亚伦12006/07/22社旗县李店镇古渡孙村徐庄G41132920061王鑫12006/08/01李店王庄212018204初中2018级4班G41132920061叶士杰12006/08/15河南省社旗县李店镇半坡村杏庄212018204初中2018级4班G41132920061罗纳22006/08/20李店王庄212018204初中2018级4班G41132920061郭梦梦22006/10/28河南省社旗县李店镇212018204初中2018级4班G41132920061刘赟22006/11/19河南省社旗县李店镇212018204初中2018级4班G41138120051孙雅文22005/08/30河南省邓州市九龙乡九龙村孙庙212018204初中2018级4班G41152420061夏涓22006/01/12商城县汪岗乡陶行村212018204初中2018级4班L41132720041夏亦菲22004/09/25社旗县李店镇文化路3号212018204初中2018级4班L41132720051常慧22005/04/14贾桥村贾桥212018204初中2018级4班L41132720061王桐妍22006/11/18李店镇王庄村212018204初中2018级4班L41132720061孙淑赟22006/10/24河南省社旗县李店镇半坡村邢冲212018204初中2018级4班L41132720061常诗曼22006/10/27李店王庄212018204初中2018级4班222017201初中2017级1班G35082420051王惠如22005/09/16福建省武平县东留乡大阳村G41132320031寇树鑫12003/08/16李店镇寇楼村222017201初中2017级1班G41132520041李东杰12004/12/28河南省唐河县源潭镇222017201初中2017级1班G41132520051张紫阳12005/02/10河南省唐河县源潭镇党庄村郑庄222017201初中2017级1班G41132520051张政航12005/04/05河南省唐河县源潭镇党庄小党庄222017201初中2017级1班G41132520051陈亚轩12005/10/05河南省唐河县桐河乡沈桥村小河222017201初中2017级1班G41132520051贾青林12005/11/28河南省唐河县源潭镇党庄郑庄村222017201初中2017级1班G41132520061党华明22006/06/12河南省唐河县源潭镇党庄村郑庄222017201初中2017级1班G41132620031寇淅萍22003/10/18李店镇寇楼村222017201初中2017级1班G41132620051寇冰倩22005/02/12李店镇寇楼村222017201初中2017级1班G41132720041郭峰辉12004/01/25李店王场村小郭庄222017201初中2017级1班G41132720041徐显乐22004/08/18李店薛庄222017201初中2017级1班G41132720041王思雨22004/08/23李店王庄222017201初中2017级1班G41132720041邢文博12004/10/21河南省社旗县李店乡半坡村222017201初中2017级1班G41132720041牛轩雨22004/12/25河南省社旗县李店镇222017201初中2017级1班222017201初中2017级1班G41132720051徐起12005/02/06李店镇古渡孙村G41132720051刘乐22005/08/15李店薛庄222017201初中2017级1班222017201初中2017级1班G41132720051田晓燕22005/11/03河南省社旗县李店镇田庄村G41132820051李君22005/01/31河南省唐河县源潭镇222017201初中2017级1班G41132820051白云飞12005/06/12河南省唐河县源潭镇党庄村222017201初中2017级1班G41132920021常明朗12002/01/16李店王庄222017201初中2017级1班G41132920031常烙12003/03/17河南省社旗县李店镇王庄村222017201初中2017级1班G41132920031郭军怡22003/10/31李店王场村小郭庄222017201初中2017级1班G41132920031常江林12003/11/12社旗县李店镇222017201初中2017级1班G41132920031孟子昊12003/11/23河南省社旗县李店镇半坡村二组222017201初中2017级1班G41132920031常万炜12003/12/19河南省社旗县李店镇222017201初中2017级1班G41132920041王震12004/01/19社旗县李店镇李店村李店街222017201初中2017级1班222017201初中2017级1班G41132920041常明森12004/03/07李店王庄G41132920042李林果12004/04/15李店贾桥村姚冲222017201初中2017级1班G41132920041刘易12004/05/29河南省社旗县李店镇222017201初中2017级1班222017201初中2017级1班G41132920041赵嘉怡22004/07/31社旗县李店镇西杨庄村G41132920042李贝贝22004/08/09河南省社旗县李店镇半坡村222017201初中2017级1班G41132920041党松峰12004/10/05李店贾桥村姚冲222017201初中2017级1班G41132920041王政12004/11/10李店薛庄222017201初中2017级1班G41132920041刘凯22004/11/15河南省社旗县李店镇半坡村二组222017201初中2017级1班G41132920041田聪辉12004/12/03河南省社旗县李店镇李店大队田222017201初中2017级1班222017201初中2017级1班G41132920051董超12005/04/12李店薛庄G41132920051常晴22005/04/20河南省社旗县李店镇半坡村十一222017201初中2017级1班G41132920051郭永旺12005/05/03河南省社旗县李店镇王厂村8组222017201初中2017级1班222017201初中2017级1班G41132920051徐腾歌22005/05/10河南省社旗县李店镇古渡孙村徐G41132920051关光12005/05/25李店贾桥湾常222017201初中2017级1班G41132920051常湘婷22005/06/11河南省社旗县李店镇222017201初中2017级1班G41132920051刘仁博22005/06/19李店贾桥湾常222017201初中2017级1班G41132920051王倩22005/07/01李店北杨庄222017201初中2017级1班G41132920051田炎粮22005/08/13河南省社旗县李店镇222017201初中2017级1班G41132920051党爱民12005/08/16河南省社旗县李店镇王厂村曹埠222017201初中2017级1班G41132920051常潇文12005/09/02河南省社旗县李店镇李店村2组222017201初中2017级1班G41132920051党鑫12005/09/20河南省社旗县李店镇王厂村曹埠222017201初中2017级1班G41132920051常素明12005/10/03河南省南阳市社旗县李店镇贾桥222017201初中2017级1班G41132920051田斌12005/11/10河南省社旗县李店镇9组222017201初中2017级1班G41132920051党怡晴22005/12/31河南省社旗县李店镇王厂村曹埠222017201初中2017级1班G41132920061王旗12006/01/03社旗李店常老庄222017201初中2017级1班222017201初中2017级1班G41132920061张浩12006/05/26河南省社旗县李店镇方庄村G43058120041李良豫12004/11/17河南省社旗县李店镇半坡村222017201初中2017级1班L41132720031王宛秋22003/10/19河南省社旗县李店镇李店村李店222017201初中2017级1班L41132720051张迎春22005/02/04社旗县李店镇李店村方庄222017201初中2017级1班L41132720051姚斌12005/05/13河南省社旗县李店镇寇楼村32号222017201初中2017级1班G41132320041石明12004/07/09李店镇寇楼村222017202初中2017级2班G41132320041寇明瑶12004/08/12李店镇寇楼村222017202初中2017级2班G41132520051张杭12005/04/28河南省唐河县源潭镇党庄村222017202初中2017级2班G41132520051张恩惠22005/11/18唐河源潭222017202初中2017级2班G41132620041寇淅哲12004/11/16李店镇寇楼村222017202初中2017级2班G41132720031杨阳22003/09/08李店王庄222017202初中2017级2班G41132720031邢桂荣22003/10/06李店薛庄222017202初中2017级2班G41132720041薛瑞12004/02/29李店贾桥湾常222017202初中2017级2班G41132720041张乐22004/09/26河南省社旗县李店镇方庄村11组222017202初中2017级2班G41132720042李雪22004/11/18河南省社旗县李店镇半坡村杏庄222017202初中2017级2班222017202初中2017级2班G41132720051史箴言22005/01/13河南省社旗县李店镇半坡村G41132720052李鑫豫22005/03/10河南省社旗县李店镇半坡村222017202初中2017级2班222017202初中2017级2班G41132720051杨洪然12005/08/08社旗县太和乡刘集村小弋庄G41132720052李宁宜12005/08/27河南省社旗县李店镇半坡村邢冲222017202初中2017级2班G41132720051吴艳22005/09/02社旗县李店镇西杨庄村222017202初中2017级2班G41132920011常建12001/10/13社旗县李店镇西杨庄村222017202初中2017级2班G41132920021惠茹焕22002/02/12李店王庄222017202初中2017级2班G41132920021党兰卿12002/08/10河南省社旗县222017202初中2017级2班G41132920021惠永胜12002/11/23社旗县李店镇西杨庄村222017202初中2017级2班G41132920021王庆斌12002/12/02李店薛庄222017202初中2017级2班G41132920031郭太林22003/07/30河南省社旗县李店镇王厂村小郭222017202初中2017级2班G41132920031薛晨扬12003/09/25李店薛庄222017202初中2017级2班222017202初中2017级2班G41132920031赵振起12003/11/18河南省社旗县李店镇西杨庄村1G41132920041陈立12004/01/27河南省社旗县李店镇半坡村222017202初中2017级2班G41132920041谢岭12004/02/11河南省社旗县李店镇半坡村十三222017202初中2017级2班222017202初中2017级2班G41132920041李东山12004/02/22李店贾桥姚冲G41132920041杨大倩22004/04/01李店王庄222017202初中2017级2班G41132920041惠宏堃12004/04/08社旗县李店镇西杨庄村222017202初中2017级2班G41132920041邢力淼12004/04/21河南省社旗县李店镇半坡村邢冲222017202初中2017级2班G41132920041李英武12004/06/16社旗县李店镇西杨庄村222017202初中2017级2班G41132920041张海鹏12004/06/20李店王庄222017202初中2017级2班222017202初中2017级2班G41132920041王艳22004/07/03河南省社旗县G41132920041李东豪12004/07/24李店薛庄222017202初中2017级2班G41132920041郭毓灿22004/08/19河南省社旗县李店乡王厂村222017202初中2017级2班222017202初中2017级2班G41132920041张申宝12004/08/23河南省社旗县李店镇半坡村三组G41132920041王鑫12004/08/25李店薛庄小王庄222017202初中2017级2班G41132920041常菲22004/09/13李店王庄222017202初中2017级2班G41132920041王浩12004/09/18河南省社旗县李店镇半坡村五组222017202初中2017级2班G41132920041柳茗烊12004/10/08河南省社旗县李店镇半坡村十四222017202初中2017级2班G41132920041代秀峰22004/10/10社旗县李店镇西杨庄村222017202初中2017级2班G41132920041李梦雪22004/11/06河南省社旗县李店镇半坡村222017202初中2017级2班G41132920041王岩12004/12/01李店薛庄222017202初中2017级2班G41132920041刘果12004/12/07河南省社旗县李店镇半坡村222017202初中2017级2班G41132920041常盈盈22004/12/20李店王庄222017202初中2017级2班G41132920051肖坤鹏12005/03/05李店镇222017202初中2017级2班G41132920051刘翔12005/06/13河南省社旗县李店镇李店村4组222017202初中2017级2班G41132920051田丛勇12005/07/14河南省社旗县李店镇田庄9组222017202初中2017级2班222017202初中2017级2班G41132920051常欢12005/08/11社旗县李店镇西杨庄村G41132920051马玉22005/09/19李店王庄222017202初中2017级2班G41132920051常盼盼22005/09/29李店王庄222017202初中2017级2班G41132920051张焕22005/10/11李店薛庄222017202初中2017级2班G41132920051付延旭12005/10/26河南省社旗县李店镇李店村7组222017202初中2017级2班G41132920051李乐22005/11/12李店薛庄222017202初中2017级2班G41132920051田蜜22005/12/03河南省社旗县李店镇田庄村9组222017202初中2017级2班G41132920061申校飞12006/02/08李店王庄222017202初中2017级2班G41172920051王涛田12005/07/23河南省新蔡县李桥镇周庄村委周222017202初中2017级2班L41132720021郭佳22004/12/06社旗县李店镇222017202初中2017级2班L41132720031赵燕伟22004/04/14社旗县李店镇222017202初中2017级2班L41132720041王桂斌12004/12/07河南省社旗县222017202初中2017级2班L41132720041常安龙12004/12/18社旗县李店镇西杨庄岗常3组16 222017202初中2017级2班L41132720041赵敏22004/12/29社旗县李店镇222017202初中2017级2班G41132720041常依静22004/06/25社旗县李店镇西杨庄村222017203初中2017级3班222017203初中2017级3班G41132720041谢贝宁12004/07/25河南省社旗县李店镇G41132720041党伟洋12004/09/28河南省社旗县李店镇222017203初中2017级3班222017203初中2017级3班G41132720041张乐萱22004/12/25河南省社旗县李店镇G41132720051郭依影22005/01/16河南省社旗县李店镇旺厂村小郭222017203初中2017级3班G41132720051刘闯12005/08/15河南省社旗县李店镇222017203初中2017级3班G41132720081崔富钰22008/03/18河南省社旗县李店镇古渡孙村222017203初中2017级3班G41132920021常素鹏12002/12/27李店贾桥湾常222017203初中2017级3班G41132920031常诚12003/02/26李店贾桥村贾桥222017203初中2017级3班G41132920031张栋霆12003/08/29李店古渡孙村张庄222017203初中2017级3班G41132920031王鑫12003/12/12社旗县李店镇西杨庄村222017203初中2017级3班G41132920031常运生12003/12/28河南省社旗县李店镇贾桥村222017203初中2017级3班G41132920041罗春雅22004/01/22李店王庄222017203初中2017级3班222017203初中2017级3班G41132920041常喜临12004/01/22河南省社旗县李店乡常岗村G41132920041王怡12004/02/29李店王庄222017203初中2017级3班G41132920041王夺12004/03/05社旗县李店镇西杨庄村222017203初中2017级3班222017203初中2017级3班G41132920042李乐姿22004/07/11河南省社旗县李店镇半坡村一组G41132920041王瑞12004/07/13河南省社旗县李店镇半坡村222017203初中2017级3班G41132920041张蕊22004/07/21社旗李店镇贾桥姚冲222017203初中2017级3班G41132920041郭俊岭12004/08/13李店王场村小郭庄222017203初中2017级3班G41132920041杨明月22004/08/16李店王庄222017203初中2017级3班G41132920041常青华22004/09/05李店贾桥村贾桥222017203初中2017级3班222017203初中2017级3班G41132920041常天鹏12004/09/16河南省社旗县李店镇G41132920041王怀森12004/10/08李店薛庄222017203初中2017级3班G41132920041王松森12004/10/13李店薛庄222017203初中2017级3班222017203初中2017级3班G41132920041刘铭扬12004/10/22河南省社旗县李店镇G41132920041常慧22004/10/23社旗县李店镇西杨庄村222017203初中2017级3班G41132920041常素凤22004/10/29社旗县李店镇西杨庄村222017203初中2017级3班G41132920041田永松12004/11/04南雄市富华花园A2栋303 222017203初中2017级3班G41132920042李赵家宁12004/11/18河南省社旗县李店镇半坡村杏庄222017203初中2017级3班G41132920041张乐22004/11/26李店薛庄卧沟张222017203初中2017级3班G41132920041唐开旺12004/12/04李店北杨庄222017203初中2017级3班G41132920041李心如22004/12/14李店薛庄222017203初中2017级3班G41132920041刘金德12004/12/17河南省社旗县李店镇李店村4组222017203初中2017级3班G41132920041王海亮12004/12/19李店贾桥村贾桥222017203初中2017级3班G41132920051常亮12005/01/01李店镇薛庄村岗李222017203初中2017级3班G41132920051吴家宝12005/01/09唐河文化路222017203初中2017级3班G41132920051李金城12002/01/13社旗县李店镇李店街东头222017203初中2017级3班222017203初中2017级3班G41132920051常玉岭22005/01/28河南省社旗县李店镇半坡村G41132920051杨辉12005/02/16李店王庄222017203初中2017级3班G41132920051常茹22005/02/28李店王庄222017203初中2017级3班G41132920051郭卓12005/03/13河南省社旗县李店镇王厂村郭庄222017203初中2017级3班G41132920051李遵12005/03/20河南省社旗县李店镇古渡孙村徐222017203初中2017级3班G41132920051李涵22005/03/29河南省社旗县李店镇古渡孙村222017203初中2017级3班G41132920051田任健12005/04/08河南省社旗县李店镇田庄村222017203初中2017级3班G41132920051张金聚12005/04/19李店薛庄卧沟张222017203初中2017级3班G41132920051常贵生12005/05/09社旗县李店镇西杨庄村222017203初中2017级3班G41132920051徐腾浩12005/05/10河南省社旗县李店镇古渡孙村徐222017203初中2017级3班G41132920052李红玉22005/05/12河南省社旗县李店镇半坡村222017203初中2017级3班G41132920051张卓22005/06/04李店贾桥湾常222017203初中2017级3班G41132920051田佳欣22005/07/10河南省社旗县李店镇田庄222017203初中2017级3班G41132920051党浩12005/07/25河南省社旗县李店镇王厂村曹埠222017203初中2017级3班G41132920051李海鹏12005/08/27美康百货222017203初中2017级3班222017203初中2017级3班G41132920051刘权12005/10/02河南省社旗县李店镇G41132920051郑冬冠12005/11/21李店王庄222017203初中2017级3班222017203初中2017级3班G41132920051党一鸣12005/12/31河南省社旗县李店镇王厂村曹埠G41138120041孙阳12004/04/16河南省邓州市九龙乡九龙村孙庙222017203初中2017级3班L41132720021赵红霞22002/05/07社旗县李店镇222017203初中2017级3班L41132720031陈宝12003/10/08河南省社旗县李店镇薛庄村222017203初中2017级3班G41132320031寇佳佳22003/12/03李店镇寇楼村222017204初中2017级4班G41132320041寇富森12004/08/16李店镇寇楼村222017204初中2017级4班G41132520041温于杭12004/10/01唐河县源潭镇良于庄222017204初中2017级4班G41132520051景帅12005/10/29河南省唐河县桐河乡唐铁楼222017204初中2017级4班G41132720031赵依萱22003/10/02社旗县李店镇西杨庄村222017204初中2017级4班G41132720041李智慧22004/01/07李店镇薛庄村岗李222017204初中2017级4班222017204初中2017级4班G41132720041邢涛12004/02/17河南省社旗县李店镇半坡村邢冲G41132720041王乐22004/08/04李店王庄222017204初中2017级4班G41132720041李子衡12004/10/19李店薛庄村小王庄222017204初中2017级4班222017204初中2017级4班G41132720051党柯欣22005/01/05河南省社旗县李店镇王厂村曹埠G41132720051彭仲昊22005/01/29河南省社旗县太和镇后赵村222017204初中2017级4班G41132720051王春凤22005/02/14李店薛庄222017204初中2017级4班G41132720051宋得玉22005/04/15河南省社旗县苗店镇邱庄村下宋222017204初中2017级4班G41132720051王欣怡22005/07/06李店薛庄小王庄222017204初中2017级4班G41132720051田怡雯22005/07/26河南省社旗县李店镇西十字路口222017204初中2017级4班222017204初中2017级4班G41132720051赵兰容22005/09/24社旗县李店镇西杨庄村G41132720051王晴22005/12/17社旗县李店镇西杨庄村222017204初中2017级4班G41132820071赵阳22007/10/14工农村222017204初中2017级4班222017204初中2017级4班G41132920011惠宝林12001/11/26社旗县李店镇西杨庄村G41132920031李仁贵12003/06/29李店薛庄村小王庄222017204初中2017级4班G41132920031惠悦22003/09/22社旗县李店镇西杨庄村222017204初中2017级4班G41132920031杨惠平12003/10/13河南省南阳市社旗县李店乡西阳222017204初中2017级4班G41132920031常丽阳22003/11/19李店王庄222017204初中2017级4班G41132920041崔改22004/01/14李店北杨庄222017204初中2017级4班G41132920041刘淼12004/04/30李店薛庄222017204初中2017级4班G41132920041孙慧玲22004/06/16河南省社旗县李店镇古渡孙村222017204初中2017级4班G41132920041王鹏飞12004/06/19李店王庄222017204初中2017级4班G41132920041郭印帅12004/08/28李店王场村小郭庄222017204初中2017级4班G41132920041常宇22004/09/18李店贾桥村贾桥222017204初中2017级4班G41132920041张凯阳12004/10/01河南省社旗县李店镇222017204初中2017级4班G41132920041王崇12004/10/04社旗县李店镇薛庄卧沟张20号222017204初中2017级4班222017204初中2017级4班G41132920041常万新12004/10/26河南省社旗县李店镇交通路96号G41132920041范金林12004/11/11李店镇北杨庄村余岗222017204初中2017级4班G41132920041白椿榄22004/11/16河南省社旗县李店镇方庄村222017204初中2017级4班G41132920041常广阔12004/12/01李店贾桥村贾桥222017204初中2017级4班G41132920041尹弘欣12004/12/02李店王庄222017204初中2017级4班G41132920041陶明鑫12004/12/18河南省社旗县李店镇古渡孙村222017204初中2017级4班G41132920041杨璐22004/12/19太和杨厂222017204初中2017级4班G41132920041孙炜峰12004/12/28河南省社旗县李店镇古渡孙村222017204初中2017级4班G41132920051张岭12005/01/04李店贾桥姚冲222017204初中2017级4班G41132920051丁浩然12005/02/10李店王庄222017204初中2017级4班G41132920051杨世滨12006/02/18河南省南阳市社旗县李店镇半坡222017204初中2017级4班G41132920051惠正阳12005/03/09社旗县李店镇西杨庄村222017204初中2017级4班G41132920051王心妍22005/03/15222017204初中2017级4班G41132920051乔新贵12005/03/29社旗县太和镇刘集村委刘岗村222017204初中2017级4班G41132920051李冰钰22005/06/10社旗县李店镇西杨庄村222017204初中2017级4班222017204初中2017级4班G41132920051惠昊杰12005/07/04社旗县李店镇西杨庄村G41132920051田雨杰12005/07/14社旗县李店乡田庄村222017204初中2017级4班222017204初中2017级4班G41132920051陈磊12005/07/15李店北杨庄G41132920051杨冰12005/07/23河南省社旗县李店镇西杨庄岗常222017204初中2017级4班G41132920051郭荣桂12005/08/09河南省社旗县李店镇王厂村郭庄222017204初中2017级4班G41132920051张福湘12005/08/10河南省社旗县李店镇王长村七号222017204初中2017级4班G41132920051张煜卓12005/08/10李店贾桥姚冲222017204初中2017级4班G41132920051郭甜22005/10/08河南省社旗县李店镇旺厂村小郭222017204初中2017级4班。
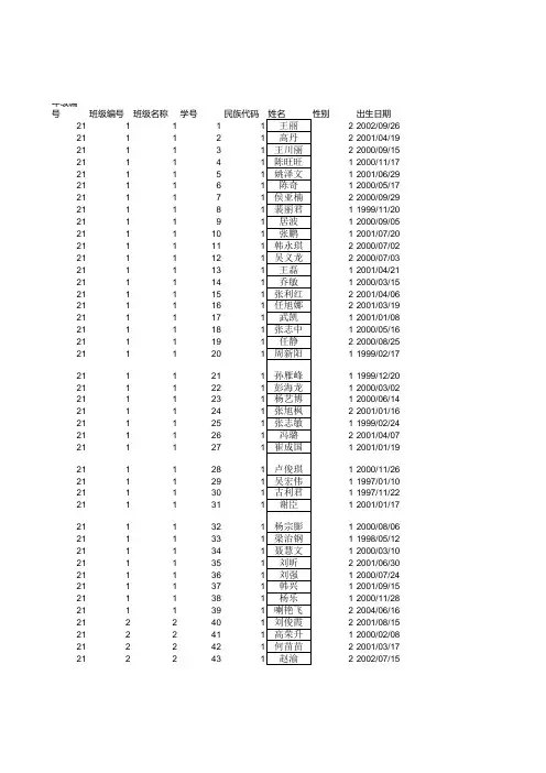
年级编号班级编号班级名称学号民族代码出生日期2111122002/09/26 2111222001/04/19 2111322000/09/15 2111412000/11/17 2111512001/06/29 2111612000/05/17 2111722000/09/29 2111811999/11/20 2111912000/09/05 21111012001/07/20 21111122000/07/02 21111222000/07/03 21111312001/04/21 21111412000/03/15 21111522001/04/06 21111622001/03/19 21111712001/01/08 21111812000/05/16 21111922000/08/25 21112011999/02/17 21112111999/12/20 21112212000/03/02 21112312000/06/14 21112422001/01/16 21112511999/02/24 21112622001/04/07 21112712001/01/19 21112812000/11/26 21112911997/01/10 21113011997/11/22 21113112001/01/17 21113212000/08/06 21113311998/05/12 21113412000/03/10 21113522001/06/30 21113612000/07/24 21113712001/09/15 21113812000/11/28 21113922004/06/16 21224022001/08/15 21224112000/02/08 21224222001/03/17 21224322002/07/15 21224422001/09/29 21224512002/03/2721224722001/09/0721224821998/12/1721224912002/10/0421225021999/09/1921225122002/01/2521225222002/01/2221225322001/01/2521225412000/01/0721225522001/06/0421225622000/10/2921225722000/01/1521225812000/12/0621225922000/03/2621226011999/09/0421226112000/10/2721226212000/08/0521226312001/12/0421226422001/03/2021226512000/03/1821226622001/11/0521226722001/04/0121226812001/09/0421226912000/09/2021227022000/05/2621227111999/08/0721227212001/04/2821227312001/05/2021337412002/03/1921337522000/04/1121337612002/06/1621337712002/10/1821337812001/04/1821337911999/09/1021338022000/07/2921338112001/08/1521338212001/01/0921338322001/08/2121338411998/05/1421338522000/10/2921338612000/10/0421338722000/03/2821338812000/08/0521338922003/01/1321339012000/06/1221339111999/10/0421339312001/10/2421339412000/11/1021339512001/01/2021339612000/06/2821339712002/04/1921339811999/07/3021339911999/01/03213310021999/08/15213310111999/03/03213310212001/07/11213310311999/12/16213310411998/08/16213310511999/04/05213310621999/10/14213310721998/08/09214410812000/06/14214410912000/10/02214411012000/02/19214411122002/09/29214411212001/05/24214411312001/12/15214411412000/08/15214411512001/04/15214411621999/07/19214411712001/10/07214411822000/08/21214411922001/09/19214412022000/09/27214412121999/08/22214412222000/10/27214412322000/03/10214412412000/08/13214412511999/12/23214412622004/01/09214412722000/03/05214412812002/07/11214412922001/09/25214413012000/09/23214413112001/05/20214413211999/07/18214413312000/10/30214413412000/12/11214413522000/04/17214413611999/09/18214413712000/09/13215513912001/07/21215514022000/11/01215514122000/04/08215514221999/04/08215514322001/04/19215514411995/03/18215514522000/11/13215514622000/10/30215514721999/03/01215514822000/07/18215514922001/12/18215515012002/04/04215515112000/10/01215515211999/05/22215515322000/09/20215515412000/10/17215515512000/02/07215515612002/07/13215515721999/06/02215515822000/03/14215515922002/09/20215516022001/02/11215516111999/05/27215516212001/12/28215516312000/02/04215516422001/03/24215516511999/12/21215516612002/08/28215516711999/05/28215516822001/01/25215516922002/08/13215517012000/07/17215517122003/08/17215517222000/06/17216617312002/03/27216617412000/10/15216617512001/08/05216617621999/06/29216617712000/05/26216617812002/02/04216617911999/08/11216618012000/01/01216618121995/12/18216618212000/07/03216618322001/06/15216618521999/10/22216618622000/08/10216618722001/10/02216618811999/08/28216618922000/04/05216619022001/03/08216619122000/04/25216619222002/08/30216619312000/05/14216619421999/05/11216619522000/11/28216619612002/02/15216619712000/07/05216619812002/09/06216619911999/11/04217720012002/12/13217720122001/11/10217720212002/05/16217720312000/05/05217720422000/09/24217720522001/05/28217720622000/12/27217720712001/12/24217720822002/12/22217720912001/04/12217721011997/09/26217721122002/05/13217721222001/05/21217721312002/12/15217721412000/02/04217721522000/07/20217721622002/01/01217721712000/04/10217721811999/06/07217721922000/08/21217722022003/02/25217722122001/01/27217722212001/09/07217722312001/01/12217722422001/09/02217722511999/10/22217722612001/08/15217722722001/04/06217722811999/10/18217722912000/09/10217723112002/06/08217723212000/02/16217723312000/05/18217723422001/10/04217723512002/09/03217723622001/01/27217723711999/05/04217723822000/06/05217723922001/01/14217724011996/02/15217724121999/08/15217724212001/10/19217724322000/11/08217724422000/03/24217724522001/04/07217724612000/07/12217724712003/12/10217724822001/08/28217724922003/05/29217725012001/04/25217725111999/07/01217725222001/01/13217725312001/09/17217725412002/08/23217725522001/12/05217725611998/10/20217725722001/09/20217725822001/04/19217725912000/06/07217726021999/04/10217726111999/09/07217726212001/09/03217726311999/04/02217726411999/09/08217726522001/04/13217726621999/11/05217726712001/07/20217726821998/08/15217726921999/06/16217727011999/12/15218827122003/01/10218827212001/04/16218827322001/04/13218827422001/09/10218827512001/05/20218827722000/11/21218827812000/12/29218827912001/04/02218828022001/07/21218828112000/07/09218828222002/03/28218828322001/09/09218828422000/11/18218828521999/12/20218828622000/02/11218828721999/08/17218828822001/09/04218828912000/10/01218829021999/05/23218829122001/04/08218829212002/02/15218829322000/11/03218829412000/04/18218829511999/12/11218829622002/05/06218829712002/11/27218829822001/09/21218829912000/02/11218830022001/02/02218830122001/01/21218830222001/01/09218830312000/12/28218830411999/05/03218830522003/07/24218830612000/11/26218830712000/02/09218830822002/04/22218830912001/12/02218831012001/09/18218831122000/05/20218831212000/05/05218831322001/12/05218831411999/08/14218831512001/07/23218831612001/11/25218831722002/12/03218831812001/01/13218831912000/11/13218832012000/09/19218832112001/02/20218832312000/11/18218832412000/12/21218832512002/08/09218832612000/06/28218832722001/10/25218832822001/04/19218832922001/02/28218833022001/02/17218833112001/01/17218833222001/08/08218833311999/04/30218833412001/04/19218833522001/06/01218833622000/06/18218833722001/01/09218833822001/01/12218833912001/07/03218834022002/03/14229934112001/01/17229934221998/07/03229934311998/09/15229934412003/02/17229934521999/07/28229934611998/11/29229934722000/03/10229934812001/05/20229934911998/07/29229935022001/02/22229935122000/12/05229935221999/02/19229935312001/04/21229935422001/04/19229935512000/02/05229935611998/08/17229935711998/06/06229935812000/08/02229935911996/05/08229936011998/08/22229936111999/06/02229936211999/08/28229936322002/01/04229936412000/12/05229936521999/03/04229936611999/02/05229936711999/01/18229936912000/01/05229937011998/02/14229937121998/11/04229937211999/07/1622101037321999/11/2222101037422000/08/2422101037511997/05/2322101037611998/07/0322101037712000/05/2222101037812001/02/0622101037911998/11/2522101038021999/03/2622101038122000/02/1422101038221999/11/1622101038312000/03/2622101038411998/07/1122101038522001/10/1422101038612000/03/2222101038722000/03/1722101038821999/05/1822101038921997/10/2522101039021999/04/1422101039111999/10/0722101039211998/01/0722101039321999/03/2422101039421999/07/1822101039511999/04/2322101039621997/09/0622101039711999/06/1222101039812000/09/1822101039922001/11/1422101040011999/03/1322101040111998/08/1222101040221999/01/0622101040321999/07/2822101040422000/02/2322101040511999/12/1722101040612000/12/1022101040721999/10/0622101040811998/07/0522101040911998/05/2222101041021998/03/0522101041121999/10/1322111141212000/06/0822111141311998/06/0122111141512001/04/2122111141611998/09/2422111141712000/04/2322111141821999/11/1522111141921998/04/2222111142012000/05/0322111142112000/04/1422111142212001/10/2122111142322000/08/2522111142422000/07/1122111142521998/02/2522111142612000/06/1222111142711998/02/2522111142821999/11/2522111142911999/03/0822111143011998/03/2122111143111998/10/0322111143221998/06/1722111143322000/07/1022111143411997/01/0722111143512000/04/2222111143621999/11/2722111143721999/10/2422111143811999/03/3122111143911998/11/0422111144022000/01/1522111144111999/07/1122111144211998/06/0422111144321998/01/0922111144421999/09/1222111144511998/10/1722111144611998/05/2022111144721998/12/0422111144811998/03/2022111144911998/03/2822111145021998/05/0822111145122000/01/1422121245211999/09/2422121245311999/12/1022121245412000/04/0422121245521997/03/2822121245611999/07/1222121245721999/11/1022121245811999/01/2022121245911999/08/0922121246122000/08/2422121246221998/08/1022121246312002/09/2122121246421996/02/1022121246521999/09/2422121246611999/07/0322121246711999/04/2322121246811998/12/2922121246921999/01/2722121247011998/12/1622121247121998/03/1022121247211999/07/1622121247311997/03/0622121247411999/09/0922121247521999/10/2422121247612000/05/2522121247721999/03/1322121247812001/12/2922121247921999/11/0622131348021999/07/0722131348122000/01/1322131348211999/01/1422131348311998/05/0822131348421998/10/2622131348522000/02/0622131348621998/04/2922131348721998/05/1722131348822001/05/0722131348922000/05/3022131349021999/04/0822131349121999/10/1422131349212001/05/3022131349311998/02/0422131349411999/12/1122131349511998/03/2422131349621999/09/1322131349712001/09/0722131349821999/01/1022131349922000/01/2522131350021999/09/0122131350121999/07/1822131350222001/02/0522131350311999/03/0922131350411998/12/0222131350511999/03/2922131350712000/08/0922141450811998/11/2622141450911999/11/1322141451021999/04/1222141451121998/01/0422141451221999/04/0522141451312000/07/0422141451421999/07/2822141451521999/01/2322141451622000/02/2222141451721998/04/2822141451821999/10/1622141451921997/06/0222141452021999/01/2622141452111999/02/1222141452211998/01/2122141452311998/05/1822141452411999/08/1022141452511997/10/0122141452621999/01/2322141452711998/07/1722141452811999/10/0122141452912002/05/2722141453011998/02/1722141453121999/05/2922141453221998/07/2322141453312000/02/2022141453422000/06/0722141453521999/09/2922141453621998/09/0622141453722001/11/2222141453811998/01/1922141453911998/04/0422141454011998/11/2122141454111998/08/0822141454211998/04/0222141454321999/09/0522141454411997/05/2922141454511999/07/2522151554611999/05/1722151554711998/04/1822151554812001/12/0422151554922000/10/2022151555012000/09/0322151555122000/03/0322151555322003/02/1622151555421998/02/2822151555522001/09/1522151555621997/09/1222151555721999/03/2822151555822000/06/2822151555911999/06/1222151556012001/09/1822151556111999/01/1122151556221998/05/1922151556322001/02/2022151556412000/04/0422151556521998/06/2122151556621999/06/2822151556722000/10/3022151556822000/06/2122151556911998/01/2722151557011995/11/0822151557122000/10/2122151557222000/01/0422151557322001/07/2322151557422001/05/2822151557521999/02/2522151557611999/09/0722151557721999/11/2022151557812000/09/0622151557912000/02/0522151558022001/12/1622151558121999/08/2922151558212000/02/0422151558311998/01/2322151558422000/04/0522151558521999/04/0522151558612000/03/2722151558721999/08/2922151558821997/10/1422151558922000/09/2922151559022000/04/0722151559112000/10/1422151559212000/01/0822161659312002/07/0122161659412001/02/0922161659522000/01/0522161659612000/01/1622161659722000/03/1122161659922000/05/1922161660011999/06/0822161660121999/02/1722161660222001/05/0722161660322000/01/0122161660422000/11/2622161660511999/03/0722161660612000/02/0422161660722000/03/2522161660821999/08/0522161660912000/06/2522161661012000/05/2122161661112002/10/1222161661221999/10/0222161661321999/09/0122161661421999/03/1122161661521999/10/0522161661621999/03/0422161661722000/12/1222161661822001/08/2222161661912000/09/0922161662021999/06/2522161662121998/05/1422161662211998/02/0922161662311999/03/0922161662412000/07/1722161662511999/03/1322161662612001/01/2822161662711999/07/2822161662822000/05/1422161662911999/08/0822161663012000/05/0522161663111998/03/0822161663221999/05/0322161663312000/09/2922161663421999/10/0422161663512000/11/0722161663622000/05/0422161663711999/03/1322161663812000/03/0222161663911999/02/0622161664012000/02/0322161664122000/11/1922161664211998/11/2722161664322001/10/2622161664512000/10/0722161664611998/04/0822161664712000/12/1322161664811998/04/1122161664921999/06/0522161665021999/10/0522161665122001/08/1122161665222000/02/1122161665311999/10/0722161665412000/09/2122161665512000/11/0222161665621998/04/1422171765721998/10/0422171765822000/11/2222171765911999/11/1222171766011999/11/1322171766111997/10/0322171766221997/08/2322171766311998/01/0222171766421999/05/2422171766511999/09/1022171766611998/06/0122171766711998/06/0122171766811998/02/1022171766911996/01/1722171767011998/05/0122171767112000/09/0622171767211998/07/2922171767311998/05/1822171767421999/02/1022171767521999/10/1522171767621998/09/1722171767721998/12/1222171767821997/07/2522171767921999/07/0922171768021999/05/0722171768121998/05/2422171768221998/09/0222171768321998/05/0622171768421997/06/2522171768511997/01/1522171768611997/07/1722171768721998/08/0722171768821999/08/1122171768922002/02/2022181869121998/08/0522181869221999/01/1022181869311998/01/0122181869421997/06/2022181869511998/02/1322181869612001/08/0122181869721999/04/0322181869811998/10/0622181869921997/03/0822181870021998/05/1822181870111999/12/3022181870211998/11/1222181870311998/10/1022181870411999/08/0522181870511999/01/1122181870621998/05/0122181870712001/11/2622181870821999/12/2622181870921998/06/1522181871011998/08/2122181871121998/01/2322181871211998/05/1522181871311998/01/2722181871421999/07/1822181871511998/12/1122181871621999/05/1322181871722000/01/1022181871821998/02/1022181871911998/11/1022181872011999/01/1722181872111995/02/2022181872221998/04/2122181872321999/08/0322181872411999/02/2122181872511998/07/3022181872611997/08/0722181872721998/08/1822181872822000/01/2723191972911998/05/0423191973011998/05/1523191973111997/08/2623191973211998/04/1923191973321998/06/1423191973411998/07/1023191973521998/07/1623191973721999/01/0123191973821997/11/0623191973911998/12/1223191974021997/04/2023191974121999/07/1423191974221999/05/0523191974321997/12/2923191974411998/09/1323191974521997/07/2923191974621998/09/1523191974711997/02/0523191974821999/04/1523191974921997/08/1923191975021998/02/2823191975121998/05/0323191975221998/11/0923191975321996/01/2223191975411997/09/0223191975521997/11/0723191975611998/11/1523191975721998/06/2223191975821999/01/1823191975921999/01/0223191976021998/01/2023191976111999/06/1523191976221997/11/1423191976311998/08/0723191976422000/04/1423191976521998/02/1023191976621999/10/1023191976721998/08/2823191976821997/09/2523191976921999/04/1523191977022001/01/0523191977121996/09/2923191977211998/08/0823191977311998/05/2423191977411997/04/0723191977511997/11/1823191977621998/06/2723191977722000/10/2223191977811998/06/2623191977921998/09/0923202078011996/08/0823202078111997/01/1923202078311997/12/1223202078411997/12/0123202078511997/12/0823202078611998/12/0823202078711997/10/0223202078811998/03/0223202078911998/01/0123202079021998/08/1323202079121998/10/1223202079221997/10/1123202079321997/06/0923202079421997/05/0423202079521998/11/0123202079621998/02/2523202079721997/05/1223202079821998/08/0423202079921999/12/0923191980011997/11/1123212180121999/01/1823212180211997/05/1723212180311998/07/0223212180421998/09/0523212180511997/09/2723212180611999/11/0623212180721996/02/2723212180822001/03/1023212180922002/11/2023212181021999/01/1023212181111999/01/1923212181212001/05/2023212181311997/07/2323212181421997/12/2823212181521998/08/1523212181611999/07/1423212181722003/04/1723212181811998/09/0223212181921998/04/0723212182011998/02/0523212182121998/04/3023212182212003/12/1023212182311999/10/0523212182411998/02/0223212182521998/10/2023212182612001/09/1723212182722001/08/2223212182911997/11/0923212183022000/02/2223212183121998/11/2223212183222000/12/0123212183322001/11/2023212183412000/01/0723212183511997/05/1923212183621999/04/0723212183721999/01/1223212183811999/10/1123212183911999/01/1923222284021998/05/0323222284121998/09/0823222284221998/12/1823222284321997/11/0623222284421999/09/2623222284521998/04/1323222284621998/11/2523222284721996/11/2823222284821998/02/0323222284921998/05/2023222285021998/03/1223222285121996/01/2023222285222001/09/1923222285321998/09/1123222285421998/06/0423222285521998/09/1323222285622000/07/2323222285721997/11/2523222285822000/07/2623222285911998/06/0823222286011996/09/0823222286111998/03/0623222286211996/07/2123222286311998/08/2223222286412001/12/1623222286511999/09/2123222286611998/08/2623222286711999/06/0623222286811999/10/0523222286922000/01/0223222287011998/03/2723222287121999/10/0323222287221999/03/0723222287321997/12/1823222287511998/03/2323222287611998/01/2223222287721997/05/0823222287821998/04/1523222287921999/10/2823222288011998/01/1223222288111999/03/1923222288211999/09/0323222288311997/12/2923222288411999/11/1223222288511998/10/0523222288611997/08/3023222288711998/10/1223222288812002/02/1523222288921997/07/2323222289021998/01/1523222289121998/08/0123222289221997/03/0723222289321999/02/1623222289411998/03/1723232389511999/03/1723232389611998/07/2323232389711999/07/1623232389811998/09/0423232389911998/08/2523232390012000/01/0623232390112000/07/1723232390221997/03/2223232390321998/12/1223232390421998/09/1623232390521998/06/1823232390611998/09/0723232390721997/09/0723232390811999/02/0823232390921998/06/0123232391021998/03/2223232391121998/08/0623232391221998/08/2923232391321999/05/0623232391421999/10/0323232391511997/10/1123232391611998/05/2823232391711999/04/0923232391821998/11/0923232391921999/01/0523232392121998/02/0423232392212000/02/0423232392311998/09/2723232392412000/05/2023232392522000/01/1523242492611998/11/1323242492721998/06/0123242492821998/07/1223242492921998/03/2223242493011998/03/1723242493111999/08/0523242493221999/03/1823242493311998/02/2523242493421998/01/0423242493521999/09/0223242493622000/01/2823242493721999/10/0523242493821998/05/2323242493911997/09/1123242494012000/01/2823242494121998/09/2423242494222000/01/0423242494321999/12/1223242494411998/10/2823242494511999/10/2623242494611998/04/0123242494711998/12/2423242494811999/12/0123242494922001/04/1823242495021998/06/2423242495111999/03/2823242495221998/08/2523242495311996/03/2123242495421998/06/1623242495512000/10/1423242495621998/04/0223242495712000/09/0323242495821999/08/1923242495921998/06/2123242496011998/06/1523242496111998/04/1523242496221999/01/0623242496311999/06/1923242496421999/08/1423242496511999/11/2423242496711998/01/2823242496821999/01/0323242496911997/10/1023242497022000/04/0423242497121999/01/0523242497211999/05/2223242497321998/04/1823242497421998/05/0223242497521999/01/1523242497621999/01/0223242497711998/12/2423242497822000/01/2023242497921998/06/0923242498011998/06/0923242498121999/03/1323242498221998/01/0223242498321999/10/2423242498421999/04/0423242498521999/09/2923242498611999/03/0523242498721999/08/1523242498821997/09/2023242498911998/07/2123242499021998/05/2223242499112000/12/2623242499221999/01/1423242499321998/08/2523242499421999/02/0823242499512002/02/1523252599621997/08/2423252599721999/01/0123252599811999/07/0723252599921999/07/07232525100011998/11/23232525*********/01/12232525*********/09/19232525*********/06/16232525*********/03/25232525*********/06/09232525*********/08/16232525*********/08/03232525*********/10/06232525*********/02/22232525*********/12/06232525*********/03/18232525101321997/12/28232525101411998/10/15232525101511999/02/24232525101621999/08/16232525101722001/11/05232525101811999/12/25232525101922001/05/28232525102021999/03/10232525102111999/07/24232525102221999/03/26232525102311998/08/15232525102412000/07/05232525102521998/08/18232525102621998/09/26232525102711998/07/28232525102822000/01/27232525102921999/04/15232525103022000/03/04232525103111998/01/02232525103211996/02/09232525103311999/08/15232525103411999/03/04232525103521998/07/30232525103611999/01/26232525103721998/10/11232525103811998/03/07232525103921999/04/18232525104021997/10/24232525104111998/02/19232525104221997/10/19232525104321999/07/12232525104421998/08/08232525104521998/02/21232525104611998/06/21232525104721999/09/13232525104811999/08/05232525104911998/09/03232525105011999/11/01232525105121997/04/28232525105221998/03/27232525105321996/04/01232525105411998/05/01232525105521999/02/03232525105621999/02/20232525105721998/06/26232525105811998/02/27 232525105911998/09/29 232525106011997/12/26 232525106112002/03/27232525106211999/04/26家庭住址身高体重肺活量50米跑立定跳远坐位体前屈山西省繁峙县繁城镇圣水头村山西省繁峙县石龙街1巷山西省繁峙县繁城镇安家山繁城镇三大队往南50米繁峙二道街繁峙县集义庄乡南龙兴村古家庄村繁峙县杏园乡南关村公主村山西省繁峙县石龙街圣冠小区山西省繁峙县繁城镇后掌村繁峙县光裕堡乡光裕堡村山西省繁峙县红星小区中单元202繁峙县和平路繁峙县城关镇赵家庄村山西省繁峙县光裕堡乡富家庄村山西省繁市县繁荣小区山西省忻州市繁峙县东关村繁峙县东城街山西省繁峙县石龙街一巷山西省忻州市繁峙县岩头乡水峪村二区37号繁峙县下茹越乡小坨村山西省繁峙县繁城镇圣水头村山西省繁峙县杏园乡大砂村山西省繁峙县石龙东二巷山西省繁峙县石龙东六巷154号山西省繁峙县大营镇老泉头村山西省忻州市繁峙县岩头乡元山村六区36号繁峙县彩璟路开发公司3单元西二黑坝村山西省繁峙县杏园乡铁家会村山西省忻州市繁峙县岩头乡安头村二区26号繁峙县光裕堡乡华岩村繁峙县杏园乡大峪村124号繁峙县和平路山西省繁峙县岩头乡岩头村繁城镇石龙街文苑小区东5号楼4单元401号繁峙县阳光小区山西省繁峙县杏园乡小沙村山西省繁峙县繁城镇季家庄繁城镇真武小区山西省繁峙县岩头乡大东沟村繁峙县杏园乡南关村山西省繁峙县石龙街东四巷山西省繁峙县繁城镇雁头村繁城镇石龙街文苑小区东5号楼4单元401号山西省繁峙县杏园乡小砂村高升寨村山西省繁峙县石龙东六巷山西省忻州市繁峙县繁城镇西义村繁峙县山西省繁峙县城关镇高家庄村山西省繁峙县繁城镇圣水头村繁峙县向阳路平型关街体育馆对面金钢小区山西省繁峙县光裕堡乡富家庄村繁峙县大营镇马庄村忻州市繁峙县东关圣水头村山西省繁峙县高家庄村山西省繁峙县下茹越乡下茹越村228号山西省忻州市繁峙县杏园乡杏园村山西省繁峙县繁峙宾馆2巷山西省繁峙县下茹越乡下茹越村111号山西省繁峙县光裕堡乡富家庄村山西省繁峙县城关镇西城街繁城镇一道街代县峨口镇山西省代县峨口镇铁矿繁峙县砂河镇繁峙县下菇越乡繁峙县砂河镇繁城镇高家庄村2排32号繁峙县下菇越乡山西省繁峙县岩头乡大明烟村山西省代县枣林镇炭窑湾村山西省繁峙县石龙街福龙小区东安路山西省忻州市繁峙县东关村繁峙县杏园乡杏园村金龙路山西省繁峙县高庄西留属村龙池河山西省忻州市繁峙县光裕堡乡富家庄村东魏村繁峙县下茹越乡大沟村繁峙县光裕堡乡大木瓜村山西省繁峙县杏园乡铁家会村山西省繁峙县繁城镇圣水头村山西省繁峙县杏园乡岗里村山西省繁峙县季家庄繁城镇四道街41号山西繁峙县下茹越乡福连坊村繁峙县光裕堡乡富家庄村东留属村山西省忻州市繁峙县繁城镇雁头村山西省繁峙县下茹越乡下茹越村335号大营镇繁峙县杏园乡南关村繁城镇四道街28号山西省繁峙县杏园乡姚家庄村山西省繁峙县下茹越瓦磁地村繁峙县金山铺乡山西省繁峙县繁城镇文庙街繁峙东关石龙街繁峙县晋华小区繁城镇永丰街兴盛园小区小二楼繁城镇城北路64号山西省繁峙县下茹越乡小坨村代县峨口镇龙池河山西省繁峙县繁城镇圣水头村山西省繁峙县砂河镇孙庄村东魏村西庄村山西省繁峙县石龙街东六巷263号山西省繁峙县杏园乡大砂村山西省繁峙县人民法院宿舍3号楼1单元5楼东山西省繁市县繁城镇赵家庄村100号繁城镇东安巷2731号繁峙县繁峙县繁峙县光裕堡乡大木瓜村古家庄村山西省繁峙县繁城镇红坡路138号繁峙县杏园乡南关村山西省繁峙县繁城镇西顺二巷龙池河高升寨村山西省代县峨口镇南旧村山西省忻州市繁峙县繁城镇笔峰村山西省繁峙县向阳二小区东楼3号繁峙县集义庄乡北龙兴村显旺山西省繁峙县下茹越瓦磁地村繁峙县杏园乡杏园村山西省繁峙县石龙东五巷繁峙县光峪堡乡大木瓜村1号繁峙县下茹越乡大沟村繁城滹源大街繁峙县杏园乡杏园村山西省忻州市繁峙县岩头乡安头村一区1号山西省繁峙县繁城镇圣水头村繁峙县杏园乡大峪村6号山西省繁峙县岩头乡大明烟村代县东留属繁峙县光裕堡乡光裕堡村繁峙县石龙街东风路繁城镇文庙街13号山西省繁峙县西城街山西省繁峙县石龙街1巷山西省繁峙县杏园乡泽萌泉村山西省繁峙县繁城镇圣水头村繁城镇石龙街六巷山西省繁峙县集义庄村繁峙县城关镇北城街繁峙县东安路山西省繁峙县赵庄古家庄村繁峙县东关山西省繁峙县光裕堡乡富家庄村山西省繁峙县光裕堡乡梁家庄村山西省繁峙县梁家庄村繁峙县杏园乡南关村梨峪村杏园乡南关村下茹越乡小坨村山西省代县山西省繁峙县石龙街繁峙县杏园乡杏园村山西省繁峙县石龙街东六巷代县东留属山西省繁峙县繁城镇雁头村西庄村山西省繁峙县繁城镇石龙街4巷105号山西省忻州市繁峙县岩头乡水峪村三区13号繁峙县光裕堡乡富家庄村山西省繁峙县岩头乡岩头村山西省繁峙县光峪堡乡大李牛村南留属村山西省繁峙县西庄村山西省繁峙县繁城镇圣水头村山西省繁峙县繁城镇圣水头村山西省繁峙县下茹越乡下茹越村253号东峪村山西省繁峙县石龙街东六巷山西省繁峙县东风路往上500米繁城镇东顺路繁峙县下茹越大沟村西庄村山西省繁峙县石龙街山西省繁峙县光裕堡乡富家庄村繁峙县繁城镇笔锋村山西省繁峙县山西省繁峙县岩头乡岩头村繁峙县集义庄乡北龙兴村繁峙县繁城镇雁头村繁峙县北城街繁峙县苏家口繁峙县杏园乡南关村下茹越大沟村繁城镇三道街5号山西省繁峙县杏园乡岗里村繁城镇东顺路山西省忻州市繁峙县岩头乡安头村二区17号山西省繁峙县杏园村乡泽萌泉村山西省繁峙县城北路四大队繁峙县砂河镇下汇村山西省繁峙县繁城镇圣水头村繁城镇二道街东夹巷09号山西省繁峙县繁城镇圣水头村山西省繁峙县繁城镇季家庄村山西省繁峙县光裕堡乡富家庄村山西省繁峙县岩头乡岩头村山西省繁峙县岩头乡辛庄村繁城镇东关山西省繁峙县下茹越乡大沟村繁峙县一道街山西省繁峙县繁城镇圣水头村山西省繁峙县石龙东六巷繁峙县光峪堡乡富庄村集义庄山胜地村大营东三泉大营镇东三泉繁峙县杏园乡南关村东风小区繁峙县真武小区东风小区山西省忻州市繁峙县岩头乡安头村四区40号繁峙县光峪堡乡富庄村山西省繁峙县杏园乡铁家会村36号文苑小区繁城镇真武路锦绣园小区1单元五楼东户山西省繁峙县杏园乡古家庄村山西省繁峙县繁城镇圣水头村山西省繁峙县繁城镇高升寨村繁城镇东城街山西省繁峙县兴旺庄村繁峙县杏园乡大峪村75号繁峙县一道街1排118号山西省繁峙县杏园乡姚家庄村山西省繁峙县石龙东六巷136号山西省繁峙县杏园乡小砂村山西省繁峙县杏园乡小砂村圣冠小区繁峙县繁城镇花家台村山西省朔州市山阴县后所乡南洲庄繁峙县一道街东泰路繁城镇山西省繁峙县杏园乡化肥厂家属院繁峙县繁城镇东关村和平路繁城镇东顺路山西省繁峙县繁城镇圣水头村山西省繁峙县繁城镇圣水头村山西省繁峙县繁城镇圣水头村山西省繁峙县下茹越乡下茹越村119号山西省繁峙县石龙街1巷繁峙县东关四道沟村向阳二小区山西省繁峙县东山乡东山村岩头大保城关镇大营河南大营镇河南村山西省繁峙县石龙街圣冠小区繁峙县横涧乡山西省繁峙县繁城镇雁头村杏园乡杏园村山西省繁峙县杏园乡化肥厂家属院山西省繁峙县杏园乡小砂村山西省繁峙县代堡村山西省代县峨口镇山西省繁峙县岩头乡岩头村繁峙县晋华小区2号楼701繁峙县杏园乡杏园村山西省繁峙县阳光小区山西省忻州市繁峙县杏园乡古家庄村山西省繁峙县杏园乡化肥厂家属院山西省代县峨口镇沟子村繁峙县光裕堡乡大木瓜村繁城镇石龙东六巷繁城镇西城街山西省繁峙县岩头乡茶铺村山西省繁峙县石龙东六巷繁城镇二道街45号繁峙县南城街99号山西省繁峙县横涧乡辛庄村繁峙县杏园乡南关村山西省繁峙县杏园乡化肥厂家属院山西省繁峙县岩头乡岩头村山西省繁峙县岩头乡岩头村山西省忻州市繁峙县繁城镇山祝村山西省忻州市繁峙县圣冠小区1号一单元山西省忻州市繁峙县岩头乡宽滩村山西省繁峙县杏园乡杏园村山西省代县枣林镇西留属山西省繁峙县杏园乡南关村山西繁峙县下茹越乡福连坊村繁城镇卫生院附近山西省代县枣林镇西留属福连坊山西省繁峙县杏园乡山西省繁峙县杏园乡山西省繁峙县杏园乡山西省繁峙县繁城镇圣水头村山西省繁峙县北城街124号山西省代县枣林西村山西省繁峙县繁城镇圣水头村繁峙县繁城镇繁峙县圣水头村山西省繁峙县朝阳巷046号山西省繁峙县新交电楼4楼东单元201繁峙县城关镇一道街61号山西省繁峙县横涧乡横涧村正下社村山西省繁峙县岩头乡岩头村山西省繁峙县西城街石龙东六巷112号山西省代县枣林镇山西省代县枣林镇山西省繁峙县杏园乡姚家庄村山西省繁峙县石龙东六巷。
年级编号班级编号班级名称学籍号民族代码姓名性别出生日期2101初一一班L37172220011张瑞12001-10-28 2101初一一班L37172220011魏浩东12001-12-26 2101初一一班L37172220011刘国强12001-12-27 2101初一一班L37172220021翟文豪12002-03-10 2101初一一班L37172220021张衡12002-06-11 2101初一一班L37172220021王金宝12002-09-01 2101初一一班L37172220021张旭12002-11-15 2101初一一班L37172220021孙长江12002-11-19 2101初一一班L37172220021刘可畅12002-12-05 2101初一一班L37172220031李凤才12003-02-13 2101初一一班L37172220031韦安晨12003-05-12 2101初一一班L37292520001张勤衡12002-03-07 2101初一一班L37292520011陈通12002-11-30 2101初一一班L37292520011谢寅成12003-05-03 2101初一一班L37292520011丁一俊12001-08-18 2101初一一班L37292520011周国强12001-09-22 2101初一一班L52242320011陈涛12002-01-23 2102初一二班L21122420021关鹏12002-09-17 2102初一二班L37172220011门修通12001-11-21 2102初一二班L37172220011范兴顺12001-11-23 2102初一二班L37172220011王海天12002-08-11 2102初一二班L37172220011刘金12001-12-23 2102初一二班L37172220021许晨12002-01-18 2102初一二班L37172220021付兴博12002-01-23 2102初一二班L37172220021张辉12002-02-28 2102初一二班L37172220021周雨薪12002-03-07 2102初一二班L37172220021李顺12002-03-12 2102初一二班L37172220021石现萌12002-05-21 2102初一二班L37172220021王泰12002-08-18 2102初一二班L37172220021门文豪12002-09-13 2102初一二班L37172220021付兴开12002-10-06 2102初一二班L37172220021王照腾12002-10-20 2102初一二班L37172220021王熙博12002-10-20 2102初一二班L37172220021李世彦12002-11-30 2102初一二班L37292520011高根12001-02-12 2102初一二班L37292520011张勤铭12001-10-25 2102初一二班L37292520011司宗存12001-08-20 2103初一三班L37172220011王皓正12001-10-28 2103初一三班L37172220011刘建国12001-11-02 2103初一三班L37172220021李天12002-01-06 2103初一三班L37172220021王际浩12002-01-12 2103初一三班L37172220021王新雨12002-03-11 2103初一三班L37172220021石宝利12002-03-15 2103初一三班L37172220021韦统宁12002-06-21 2103初一三班L37172220021许建国12002-10-31 2103初一三班L37172220021孟凡涛12002-01-23 2103初一三班L37172220031江谱12003-01-08 2103初一三班L37172220031樊天龙12002-01-23 2103初一三班L37172220031石璞12003-05-28 2103初一三班L37172220031王腾12003-06-162103初一三班L37292519991韩改12001-03-08 2103初一三班L37292520001王印12002-04-04 2103初一三班L37292520001付贺12000-04-17 2103初一三班L37292520001高岩12000-08-30 2103初一三班L37292520001邵光敬12004-09-28 2104初一四班L37172120011苏顺12002-11-06 2104初一四班L37172220021张洪迪12001-03-08 2104初一四班L37172220021凡浩男12002-02-10 2104初一四班L37172220021王政12002-02-18 2104初一四班L37172220021李谦12002-04-16 2104初一四班L37172220021付兴龙12002-10-08 2104初一四班L37172220021崔新泉12002-07-30 2104初一四班L37172220021张硕12002-06-17 2104初一四班L37172220021王德卷12002-09-19 2104初一四班L37172220021王钊宇12001-01-04 2104初一四班L37172220021高哲12002-10-01 2104初一四班L37172220021张朋12002-12-25 2104初一四班L37172220031张汉阳12002-12-19 2104初一四班L37172220031张宗泰12003-03-03 2104初一四班L37172220031刘洋12003-03-27 2104初一四班L37172220031张旭12002-11-07 2104初一四班L37172220031付兴奥12003-08-25 2104初一四班L37172220031陈仁意12003-09-26 2104初一四班L37292520001赵开12000-05-04 2104初一四班L37292520011魏东辉12001-08-24 2104初一四班L37292520011王敬然12001-08-24 2205初二一班L37172220001牟百顺12000-05-30 2205初二一班L37172220001李延旭12000-08-08 2205初二一班L37172220001赵伟12000-11-10 2205初二一班L37172220011石建华12001-01-01 2205初二一班L37172220021施学顺12002-01-02 2205初二一班L37172220021许俊伟12002-05-03 2205初二一班L37172220021刘公凯12002-05-08 2205初二一班L37292219991曾强12000-12-25 2205初二一班L37292220001袁照恒12000-08-29 2205初二一班L37292220001袁永胜12000-10-14 2205初二一班L37292519981范兴圣12000-11-03 2205初二一班L37292519981王西山11999-08-10 2205初二一班L37292519991王建喜11999-11-18 2205初二一班L37292520001韩凯12000-02-26 2205初二一班L37292520001付兴雨12000-03-16 2205初二一班L37292520001王硕12000-04-05 2205初二一班L37292520001孙恒12000-09-28 2205初二一班L37292520001高博12000-10-13 2205初二一班L37292520001韦钦豪12000-10-16 2205初二一班L37292520001安烁12000-11-17 2205初二一班L37292520001韦超杰12000-11-25 2205初二一班L37292520011石龙瑞12001-02-26 2205初二一班L37292520011韦统根12001-02-14 2205初二一班L37292520011魏新创12000-05-30 2205初二一班L37292520011李春生12001-04-242205初二一班L37292520011张辉12001-02-16 2205初二一班L37292520011杨成12001-06-15 2205初二一班L37292520011邓锐12001-06-18 2205初二一班L37292520011韩光良12001-08-12 2205初二一班L37292520011崔文静12001-08-01 2205初二一班L37292520011许增辉12001-08-26 2205初二一班L37292520011魏新宾12001-09-09 2205初二一班L37292520011邵先威12001-09-26 2206初二二班L37172220001许新建12000-02-02 2206初二二班L37172220011韦涵12001-04-11 2206初二二班L37172220011张威12001-08-23 2206初二二班L37172220011高天12000-09-20 2206初二二班L37172220011王帅12001-11-03 2206初二二班L37172220011许浩12001-11-06 2206初二二班L37172220011石端进11999-03-18 2206初二二班L37292220001张波12000-04-12 2206初二二班L37292519991刘公欢11999-12-25 2206初二二班L37292519991谢飞11999-07-25 2206初二二班L37292520001刘琰12000-05-25 2206初二二班L37292520001郑展飞12000-06-18 2206初二二班L37292520001刘华太11999-10-22 2206初二二班L37292520001郝宝文12000-08-13 2206初二二班L37292520001刘建军12000-08-23 2206初二二班L37292520001王世俊12000-10-08 2206初二二班L37292520001王浩宇12000-12-01 2206初二二班L37292520011葛航12001-02-01 2206初二二班L37292520011韦统智11999-07-25 2206初二二班L37292520011杨胜安12001-03-17 2206初二二班L37292520011许钦顺12001-04-14 2206初二二班L37292520011刘争12001-04-17 2206初二二班L37292520011魏民12001-04-22 2206初二二班L37292520011贾世航12001-04-22 2206初二二班L37292520011韦梦奇12001-04-24 2207初二三班L37172120011樊廷文12001-10-17 2207初二三班L37172220001魏新威12001-02-13 2207初二三班L37172220001曹龙飙12000-07-15 2207初二三班L37172220001许钦平12000-10-31 2207初二三班L37172220001邵光凯11998-01-01 2207初二三班L37172220011樊延通12001-05-25 2207初二三班L37172220011王友12001-11-05 2207初二三班L37172220011施猛12001-11-14 2207初二三班L37172220021许江枫12002-08-26 2207初二三班L37292519991谢银朋11999-02-12 2207初二三班L37292519991张宇11999-11-01 2207初二三班L37292519991许加明11999-11-18 2207初二三班L37292519991王照远11999-12-14 2207初二三班L37292520001张豪12000-03-02 2207初二三班L37292520001韦安远12000-08-31 2207初二三班L37292520001许锦帅12000-10-16 2207初二三班L37292520001李航12003-03-16 2207初二三班L37292520001李军伟12000-11-072207初二三班L37292520001高松涛12000-11-18 2207初二三班L37292520001付常闯12000-11-28 2207初二三班L37292520001高晨12000-11-28 2207初二三班L37292520001陈祥宇12000-12-09 2207初二三班L37292520011许海鑫12001-02-28 2207初二三班L37292520011魏浩12001-06-20 2207初二三班L37292520011付贺12001-07-05 2207初二三班L37292520011李威12001-09-26 2208初二四班L37172120011张瀚12000-11-26 2208初二四班L37172220011樊浩12001-04-29 2208初二四班L37172220011樊宪镇12001-07-09 2208初二四班L37172220011李伦12001-09-19 2208初二四班L37172220011许广哲12001-10-11 2208初二四班L37172220011李谭12001-10-14 2208初二四班L37172220011王富生12001-10-18 2208初二四班L37172220011王照壮12001-11-02 2208初二四班L37172220011范继康12001-11-11 2208初二四班L37172220011赵伟12001-11-20 2208初二四班L37172220011魏勇旭12001-11-26 2208初二四班L37172220011王敬也12001-12-18 2208初二四班L37172220011孙国迎12001-12-20 2208初二四班L37172220021李建12002-05-01 2208初二四班L37292519991韦安才11998-06-01 2208初二四班L37292519991王君成11999-11-19 2208初二四班L37292519991刘开12000-02-14 2208初二四班L37292519991樊永生12001-05-19 2208初二四班L37292520001王俊12000-03-17 2208初二四班L37292520001王晓宇12000-06-10 2208初二四班L37292520001谢浩12000-05-13 2208初二四班L37292520001王冲12000-06-03 2208初二四班L37292520001王建东12000-10-16 2208初二四班L37292520001王振宇12000-12-01 2208初二四班L37292520011吕国兴12001-01-22 2208初二四班L37292520011樊磊12001-02-13 2208初二四班L37292520011魏广杰12001-04-19 2208初二四班L37292520011邵珠稳12001-04-25 2208初二四班L37292520011韩飞12001-04-28 2208初二四班L37292520011田俊11998-09-13 2208初二四班L37292520011李家乐12001-06-25 2208初二四班L37292520011孙鑫驰12001-07-29 2208初二四班L37292520011刘伟12001-08-18 2208初二四班L37292520011韩少12001-08-22 2208初二四班L37292520011魏存鹏11998-08-06 2208初二四班L37292520011于沛12001-09-20 2208初二四班L37292520011姜浩然12000-11-07 2309初三一班L37172120021刘洋11999-02-15 2309初三一班L37172219991施学恒11999-12-29 2309初三一班L37292219991樊廷端12000-01-08 2309初三一班L37292220001王骏杰12000-10-12 2309初三一班L37292519961张根元11996-06-04 2309初三一班L37292519981黄伟12000-02-162309初三一班L37292519981范兴龙11998-05-07 2309初三一班L37292519981穆友亮12001-03-13 2309初三一班L37292519981付坤阳12000-10-12 2309初三一班L37292519981谢颂恒12000-11-06 2309初三一班L37292519991智佳辉11999-07-21 2309初三一班L37292519991张啸11999-06-01 2309初三一班L37292519991许庆亭11999-11-30 2309初三一班L37292519991李滕11999-08-19 2309初三一班L37292519991姜永军11999-04-16 2309初三一班L37292519991李钊11999-12-02 2309初三一班L37292519991王旭11999-12-20 2309初三一班L37292520001谢周顺12000-04-16 2309初三一班L37292520001张寒11999-12-29 2309初三一班L37292520001王举11999-08-19 2309初三一班L37292520001高函12000-01-06 2309初三一班L37292520001聂世盼12001-05-08 2309初三一班L37292520001杨圣龙11999-02-28 2309初三一班L37292520001高添11999-12-02 2309初三一班L37292520001张旭11999-03-06 2310初三二班L37172219991王宁11999-01-08 2310初三二班L37172219991韦虎11999-11-30 2310初三二班L37172219991杨龙11998-01-18 2310初三二班L37172220001樊延普12001-05-28 2310初三二班L37172220011韦岗12001-11-25 2310初三二班L37292219991张盼11999-12-20 2310初三二班L37292220001韦修会11999-07-21 2310初三二班L37292519981刘凯11998-01-17 2310初三二班L37292519991耿帅11999-02-15 2310初三二班L37292519991魏旭11999-02-28 2310初三二班L37292519991王鑫11999-03-06 2310初三二班L37292519991杨航12001-05-08 2310初三二班L37292519991凡正阳11999-12-02 2310初三二班L37292519991魏新闯11999-08-10 2310初三二班L37292520001王豪杰12000-01-08 2310初三二班L37292520001陈冲11999-04-16 2310初三二班L37292520001付长乐11999-02-15 2310初三二班L37292520001韦安保12000-08-31 2310初三二班L37292520001樊海林12000-09-22 2310初三二班L37292520001张豪12000-11-03 2310初三二班L37292520001施学壮11999-11-30 2310初三二班L37292520001邵智恒12000-12-02 2310初三二班L37292520001邵光鹏12000-12-20 2310初三二班L37292520001许宏飞12000-12-25 2310初三二班L37292520011马腾12001-02-16 2310初三二班L37292520011魏钦震12001-02-26 2310初三二班L37292520011安涛12001-04-09 2310初三二班L52240120001高童晖12001-05-12 2311初三三班L37172219981穆晋鲁11998-09-23 2311初三三班L37172219991田森11999-07-04 2311初三三班L37172220001韦艺12000-10-02 2311初三三班L37172220011许庆威12001-04-052311初三三班L37172220011马伯冲12001-11-04 2311初三三班L37172220011翟文平12000-03-06 2311初三三班L37292519991范兴广11990-01-03 2311初三三班L37292519991凡言波11999-06-01 2311初三三班L37292519991陈祥贵11999-06-01 2311初三三班L37292519991袁昊12000-07-31 2311初三三班L37292519991范兴伟11999-07-04 2311初三三班L37292519991王傲11998-09-23 2311初三三班L37292519991顾阳阳11999-10-11 2311初三三班L37292520001王弦12000-02-04 2311初三三班L37292520001杨浩12000-04-12 2311初三三班L37292520001樊严飞11999-10-11 2311初三三班L37292520001刘永涛12000-07-31 2311初三三班L37292520001魏建新12000-10-06 2311初三三班L37292520001樊严尚11999-09-29 2311初三三班L37292520011陈家乐12001-01-13 2311初三三班L37292520011刘天宇12001-03-13 2311初三三班L37292520011张轩12001-04-15 2311初三三班L37292520011张威12001-04-18 2312初三四班L37172220001施学贵12000-01-18 2312初三四班L37172220001刘闯12002-05-21 2312初三四班L37172220011刘长12001-11-15 2312初三四班L37292219981高霞11998-08-06 2312初三四班L37292219991王培军12002-05-31 2312初三四班L37292519981许广威12002-05-29 2312初三四班L37292519981刘公勋12002-05-30 2312初三四班L37292519991李保忠12002-05-28 2312初三四班L37292519991李振宽12002-05-20 2312初三四班L37292519991王敬尧12002-05-25 2312初三四班L37292519991冯庆12002-05-26 2312初三四班L37292519991李可11999-11-07 2312初三四班L37292519991门帅11999-12-17 2312初三四班L37292520001高景山12002-05-19 2312初三四班L37292520001魏钦恒12000-05-10 2312初三四班L37292520001许传龙12000-06-09 2312初三四班L37292520001孙国梁12000-07-26 2312初三四班L37292520001周家伟12000-07-29 2312初三四班L37292520001高照宇12000-08-29 2312初三四班L37292520001许钦行12000-09-04 2312初三四班L37292520001凡艳伟12000-09-19 2312初三四班L37292520001孙培12002-05-12 2312初三四班L37292520011王传景12001-01-22 2312初三四班L37292520011于贤露12001-02-01 2313初三五班L37172220021王志远12000-02-02 2313初三五班L37292219991韦小嵩12000-11-03 2313初三五班L37292220001张恩硕11999-02-15 2313初三五班L37292220001袁政12001-02-16 2313初三五班L37292519921谢周嘉12000-12-20 2313初三五班L37292519981王圣浩12001-11-25 2313初三五班L37292519981徐基辉12001-04-09 2313初三五班L37292519991韩广利11999-02-282313初三五班L37292519991顾康勇12000-12-25 2313初三五班L37292519991刘展12000-12-28 2313初三五班L37292520001李闯君12000-03-07 2313初三五班L37292520001张绪12000-04-22 2313初三五班L37292520001孙鹏12000-04-28 2313初三五班L37292520001王亚鲁11998-01-19 2313初三五班L37292520001高云杰12000-05-16 2313初三五班L37292520001魏冉12000-06-25 2313初三五班L37292520001王宇辰12000-05-10 2313初三五班L37292520001孙宾11998-09-06 2313初三五班L37292520001邹顺12000-12-25 2313初三五班L37292520001王猛12000-06-21 2313初三五班L37292520001黄铭12000-05-30 2313初三五班L37292520001韦情12000-11-08 2313初三五班L37292520011冯佳旺12001-01-22 2313初三五班L37292520011门贺龙12001-02-02 2313初三五班L37292520011张璞11999-04-16 2314初三六班L37172219991孙光珍11999-04-17 2314初三六班L37172220001付兴国12000-05-02 2314初三六班L37292219971张坤11999-08-01 2314初三六班L37292220001高威12000-04-22 2314初三六班L37292519971司国庆12001-11-25 2314初三六班L37292519971樊宪景11999-04-18 2314初三六班L37292519981王照顺12000-12-12 2314初三六班L37292519991张宇11999-06-14 2314初三六班L37292519991魏存字11999-04-16 2314初三六班L37292519991李亚平11999-10-01 2314初三六班L37292519991王数12000-09-20 2314初三六班L37292519991王世纪11999-09-16 2314初三六班L37292519991凡骞晟12000-03-07 2314初三六班L37292519991王干12000-05-10 2314初三六班L37292519991陈浩11999-11-07 2314初三六班L37292519991李振12000-12-28 2314初三六班L37292519991安普浩11999-12-04 2314初三六班L37292519991司喜才11999-12-26 2314初三六班L37292520001张洪魁12000-01-11 2314初三六班L37292520001李庚霖12000-07-23 2101初一一班L37172220011高丽伟22001-09-02 2101初一一班L37172220011朱雪影22001-11-20 2101初一一班L37172220021张玉22003-07-27 2101初一一班L37172220021樊文倩22003-03-16 2101初一一班L37172220021许诺22002-04-29 2101初一一班L37172220021李娇22002-05-19 2101初一一班L37172220021魏美琳22002-06-05 2101初一一班L37172220021谢媛媛22002-10-31 2101初一一班L37172220021许硕佳22002-09-13 2101初一一班L37172220021张茹22002-09-30 2101初一一班L37172220021邵茹慧22002-10-16 2101初一一班L37172220021刘梦迪22002-10-17 2101初一一班L37172220021谢逸荷22002-10-20 2101初一一班L37172220021王永灿22002-10-212101初一一班L37172220021朱梦瑶22002-11-21 2101初一一班L37172220031王莹22003-01-02 2101初一一班L37172220031魏新月22003-01-15 2101初一一班L37172220031王晴22002-10-29 2101初一一班L37172220031安婷22003-07-26 2101初一一班L37292519971王艳22002-10-25 2101初一一班L37292520011王燕飞22002-03-12 2101初一一班L41140220021刘玉22002-10-22 2102初一二班L37172220011邵慧22001-12-25 2102初一二班L37172220021张可22002-06-19 2102初一二班L37172220021于倩22002-08-05 2102初一二班L37172220021司念22002-10-29 2102初一二班L37172220021张珍22002-10-31 2102初一二班L37172220021许心茹22002-11-05 2102初一二班L37172220021高雪敏22002-11-19 2102初一二班L37172220021许晴22002-11-26 2102初一二班L37172220031王硕22003-02-04 2102初一二班L37172220031王亚春22003-05-03 2102初一二班L37292519991张慧22001-11-02 2102初一二班L37292519991许静21999-10-11 2102初一二班L37292520001韦玉美22002-01-23 2102初一二班L37292520011张青22002-03-03 2102初一二班L37292520011于梦飞22002-01-12 2103初一三班L23030220001刘鑫22002-12-25 2103初一三班L37172220011付迎春22001-10-18 2103初一三班L37172220011黄伟亚22001-10-25 2103初一三班L37172220021张双22002-03-03 2103初一三班L37172220021刘阳22002-04-01 2103初一三班L37172220021刘婷婷22002-04-04 2103初一三班L37172220021付雨22002-06-02 2103初一三班L37172220021张梦22002-07-16 2103初一三班L37172220021韦曼22002-08-11 2103初一三班L37172220021李梦茹22002-09-26 2103初一三班L37172220021石珊珊22002-10-30 2103初一三班L37172220021高缓22002-09-27 2103初一三班L37172220031石妍22003-01-16 2103初一三班L37172220031苏倩22004-09-28 2103初一三班L37292520001许烁22001-08-24 2103初一三班L37292520001李明君22001-01-04 2103初一三班L37292520011孙阳阳22001-08-20 2104初一四班L37172220021双可新22002-02-11 2104初一四班L37172220021江梦娇22002-04-20 2104初一四班L37172220021张晴22002-08-13 2104初一四班L37172220021李梦婷22002-08-21 2104初一四班L37172220021王舒婉22002-10-07 2104初一四班L37172220021李舒22002-10-26 2104初一四班L37172220021王欣悦22002-11-06 2104初一四班L37172220021王如22002-11-07 2104初一四班L37172220021范芳菲22002-12-27 2104初一四班L37172220031施乾爽22003-01-14 2104初一四班L37172220031刘宇22003-01-162104初一四班L37172220031李淑涵22003-04-10 2104初一四班L37172220031韦青22003-04-11 2104初一四班L37172220031韦梦雨22003-09-20 2104初一四班L37292520011凡亚22001-01-04 2104初一四班L37292520011王英蕊22002-12-25 2104初一四班L37292520011樊宁宁22001-03-08 2104初一四班L37292520011樊梦萧22001-09-18 2205初二一班L37172120011樊恩楠22001-06-06 2205初二一班L37172120021赵姝22002-03-03 2205初二一班L37172220001王锋君22000-04-26 2205初二一班L37172220011魏欣欣22001-08-16 2205初二一班L37172220011赵蕊22001-10-02 2205初二一班L37172220011高亚22001-11-03 2205初二一班L37172220021高旋旋22002-01-15 2205初二一班L37172220021马宏颖22002-03-14 2205初二一班L37172220021杨琦珍22002-03-30 2205初二一班L37172220021石含22002-04-16 2205初二一班L37172220021薛蒙蒙22002-05-11 2205初二一班L37172220031王诗喻22003-02-28 2205初二一班L37292519971刘影21999-03-06 2205初二一班L37292519981郝薇21999-02-28 2205初二一班L37292520001樊延艳22000-03-12 2205初二一班L37292520001付秋景22000-09-22 2205初二一班L37292520001蔡明22000-08-22 2205初二一班L37292520001李新羽22000-11-15 2205初二一班L37292520011高琳晓22001-01-11 2205初二一班L37292520011王春秀22001-01-29 2205初二一班L37292520011张芹21999-02-15 2205初二一班L37292520011杨文英22000-01-08 2205初二一班L37292520011高紫涵22001-08-25 2206初二二班L37172220011张蕊22001-04-07 2206初二二班L37172220011樊美如22000-01-01 2206初二二班L37172220011许秀薇22001-10-04 2206初二二班L37172220011王艳秋22001-10-08 2206初二二班L37172220011孙梦轲22001-10-19 2206初二二班L37172220011刘一丹22001-03-21 2206初二二班L37172220011魏新新22001-10-29 2206初二二班L37172220011张淑侨22001-11-10 2206初二二班L37172220021石海英22000-06-06 2206初二二班L37172220021韦新平22000-05-28 2206初二二班L37172220021付文君22000-11-26 2206初二二班L37172220021杨珍琦22000-04-16 2206初二二班L37172220021许冬梅22000-01-13 2206初二二班L37172220021于晴21999-10-04 2206初二二班L37292220011袁爽22001-05-14 2206初二二班L37292220011邵佳琪22001-09-08 2206初二二班L37292519971王元元22000-11-24 2206初二二班L37292520001魏爽22000-04-26 2206初二二班L37292520001李亚茹22000-08-10 2206初二二班L37292520001王妍22000-09-09 2206初二二班L37292520001施念22000-11-232206初二二班L37292520011韩叮22001-02-01 2206初二二班L37292520011高淼22001-02-15 2206初二二班L37292520011李欣茹22001-03-25 2206初二二班L37292520011谢梦瑶22000-03-30 2206初二二班L37292520011韦婷婷22001-04-16 2206初二二班L37292520011邵晴22001-04-25 2206初二二班L37292520011付凤君22001-08-13 2206初二二班L37292520011高薇22001-08-17 2206初二二班L37292520011樊艳香22001-09-05 2206初二二班L37292520011邵韦韦22001-09-27 2207初二三班L37172120021唐佳心22000-01-25 2207初二三班L37172220001张丹22000-09-29 2207初二三班L37172220011王佩22001-02-04 2207初二三班L37172220011刘淑22001-02-18 2207初二三班L37172220011王可22001-04-19 2207初二三班L37172220011刘涵22001-08-12 2207初二三班L37172220011谢梦茹22001-09-12 2207初二三班L37172220011谢秋菊22001-10-28 2207初二三班L37172220011刘洁22001-10-30 2207初二三班L37172220011刘明贤22001-10-31 2207初二三班L37172220011刘心如22001-11-22 2207初二三班L37172220021孙冰倩22002-02-06 2207初二三班L37172220021葛迎春22002-03-06 2207初二三班L37172220021王亚茹22002-06-18 2207初二三班L37292219991石保言21999-01-24 2207初二三班L37292220001樊秋月22000-10-26 2207初二三班L37292519971赵楠楠22000-05-12 2207初二三班L37292519991张蕊21999-10-20 2207初二三班L37292519991邵盼21999-11-21 2207初二三班L37292520001谢新月22000-02-08 2207初二三班L37292520001高亚22000-06-26 2207初二三班L37292520001门明月22000-09-05 2207初二三班L37292520001谢盼22000-06-07 2207初二三班L37292520011许晴晴22001-02-20 2207初二三班L37292520011张倩22001-03-12 2207初二三班L37292520011张婷22001-03-21 2207初二三班L37292520011聂银慧22001-04-08 2207初二三班L37292520011高新宇22001-07-13 2207初二三班L37292520011孙宇欣22001-08-12 2208初二四班L37172220011李文迪22001-10-02 2208初二四班L37172220011高秀格22000-01-18 2208初二四班L37172220011韦攀22001-12-02 2208初二四班L37172220011刘菲菲22001-12-29 2208初二四班L37172220021韦迪22002-06-07 2208初二四班L37172220021魏甜甜22002-07-12 2208初二四班L37172220021张姗22002-08-28 2208初二四班L37292220011袁丽莉22001-01-14 2208初二四班L37292220011袁露22001-09-23 2208初二四班L37292519991孙悦22000-01-24 2208初二四班L37292520001马靖茹22000-02-05 2208初二四班L37292520001姜信平22001-02-012208初二四班L37292520001邵琳琳22000-07-01 2208初二四班L37292520001孔玉鑫22000-10-18 2208初二四班L37292520001付鑫茹22000-12-12 2208初二四班L37292520011郑桂玲22000-07-21 2208初二四班L37292520011岳梦姣22001-09-04 2208初二四班L37292520011刘梦男22001-09-13 2309初三一班L37172219991韦安静22000-12-02 2309初三一班L37172220001张静22000-02-16 2309初三一班L37172220011赵盼22001-03-13 2309初三一班L37172220021邵敏22002-04-12 2309初三一班L37292519961许晓曼21999-08-10 2309初三一班L37292519981范亚茹22000-03-08 2309初三一班L37292519981樊亚文21998-04-07 2309初三一班L37292519981刘方22000-11-09 2309初三一班L37292519991门湘21999-03-26 2309初三一班L37292519991王金多22000-04-16 2309初三一班L37292519991韦学影22000-03-07 2309初三一班L37292519991樊元元21999-12-20 2309初三一班L37292520001韦梦茹22000-01-06 2309初三一班L37292520001王亚平22000-04-09 2309初三一班L37292520001刘玉莹22000-03-17 2309初三一班L37292520001高英杰21990-01-01 2309初三一班L37292520001高戈22000-11-06 2309初三一班L37292520001王岩22000-11-09 2309初三一班L37292520001马书晴22000-12-02 2309初三一班L37292520011高倩22001-05-12 2309初三一班L37292520011许文佩22001-05-28 2309初三一班L37292520011张珂22001-07-25 2309初三一班L37292520011蔡玉娇22001-08-13 2309初三一班L37292520011杨婵22001-09-27 2310初三二班L37172220001刘芬21999-08-19 2310初三二班L37172220001马俐22000-09-20 2310初三二班L37172220001刘彦21999-03-06 2310初三二班L37172220001王曼22000-12-28 2310初三二班L37172220011许新雨22001-09-27 2310初三二班L37292219991肖亚萍21999-12-02 2310初三二班L37292220001张雪睛21999-12-20 2310初三二班L37292220001韩秋雨21999-08-19 2310初三二班L37292519971郝福丽21999-07-21 2310初三二班L37292519981许盼21998-01-19 2310初三二班L37292519981付秋玉21998-09-06 2310初三二班L37292519981张珂21999-06-01 2310初三二班L37292519981牟宁21999-08-10 2310初三二班L37292519991孟丽君21999-01-24 2310初三二班L37292519991施盼盼21999-04-16 2310初三二班L37292519991凡文雨22001-07-25 2310初三二班L37292520001马婷婷22000-03-07 2310初三二班L37292520001李佩文21999-02-28 2310初三二班L37292520001朱颖22000-05-02 2310初三二班L37292520001王柳22000-05-10 2310初三二班L37292520001谢晨晨22000-06-212311初三三班L37172219981李秀22000-02-04 2311初三三班L37172219991吴璇22000-08-29 2311初三三班L37172220001范晨晨21990-01-01 2311初三三班L37172220021刘月22002-05-16 2311初三三班L37292219991韩梅22000-08-29 2311初三三班L37292220001刘叶22000-04-12 2311初三三班L37292220001袁梦啸22000-10-02 2311初三三班L37292519971李春丽21998-08-28 2311初三三班L37292519991王行行21999-09-29 2311初三三班L37292519991汤畅22000-02-02 2311初三三班L37292519991冯圆圆21990-01-02 2311初三三班L37292520001张娜22000-02-02 2311初三三班L37292520001石露露22000-07-29 2311初三三班L37292520001张涵22000-03-06 2311初三三班L37292520001王纯22000-08-29 2311初三三班L37292520001石亚敏22000-08-29 2311初三三班L37292520001李双22000-10-09 2311初三三班L37292520001解慧琳22000-11-02 2311初三三班L37292520001邵威21990-01-01 2311初三三班L37292520001李双22000-12-25 2311初三三班L37292520011葛舒景22001-01-27 2311初三三班L37292520011许欢22001-01-29 2311初三三班L37292520011张婧21990-01-02 2311初三三班L37292520011张硕22001-04-10 2311初三三班L41142520011王一帆22001-02-22 2312初三四班L37172220021司东莹22002-05-18 2312初三四班L37292220001王荣珍22002-05-23 2312初三四班L37292220001韦琳22000-02-14 2312初三四班L37292519951王伟21999-08-01 2312初三四班L37292519981王玉21998-06-01 2312初三四班L37292519981马园园21998-09-13 2312初三四班L37292519991王淼21999-11-19 2312初三四班L37292520001魏亚茹22000-01-24 2312初三四班L37292520001李丹22002-02-27 2312初三四班L37292520001高丽君22002-05-13 2312初三四班L37292520001李妍22000-07-01 2312初三四班L37292520001王亚宁22000-07-21 2312初三四班L37292520001樊梦瑶22000-09-16 2312初三四班L37292520001韦慧宇22000-09-24 2312初三四班L37292520001李娜22000-09-30 2312初三四班L37292520001石倩22002-05-22 2312初三四班L37292520001付雨欣22000-10-16 2312初三四班L37292520001白燕22000-11-07 2312初三四班L37292520001韦欣茹22000-11-07 2312初三四班L37292520001许婧22000-11-26 2312初三四班L37292520001许晴22000-11-26 2312初三四班L37292520001高欣茹22002-05-24 2312初三四班L37292520011樊梦茹22001-05-19 2312初三四班L52240120001高歆颖22002-05-17 2313初三五班L37172220011刘蕊22000-02-23 2313初三五班L37292219981袁问秋21999-03-062313初三五班L37292519961杨亚婷22000-08-31 2313初三五班L37292519981谢玉秋22000-05-02 2313初三五班L37292519991凡亚婷21999-10-01 2313初三五班L37292519991魏顺顺22000-04-22 2313初三五班L37292519991刘媛22001-02-26 2313初三五班L37292519991岳翰翰22000-03-07 2313初三五班L37292519991安艳秋21999-01-08 2313初三五班L37292519991王蕊21998-01-19 2313初三五班L37292519991宋威21999-04-11 2313初三五班L37292519991谢茹22000-05-10 2313初三五班L37292519991凡慧21999-06-29 2313初三五班L37292520001杨格22000-12-02 2313初三五班L37292520001郝玲玲22000-09-22 2313初三五班L37292520001王亚会22000-05-01 2313初三五班L37292520001孙喜梅22000-06-19 2313初三五班L37292520001韩舒乐22000-06-06 2313初三五班L37292520001靳会亭22000-10-10 2313初三五班L37292520001张贺21999-08-10 2313初三五班L37292520001袁春阁22000-09-20 2313初三五班L37292520011安宇22001-02-08 2313初三五班L37292520011汤心茹22000-01-08 2313初三五班L37292520011许欣22001-06-03 2313初三五班L37292520011范静雯22000-12-28 2314初三六班L37172120011张秋叶22000-06-21 2314初三六班L37172219991韩萌22000-10-10 2314初三六班L37172220001赵倩22001-04-09 2314初三六班L37172220001韩亚楠22000-04-18 2314初三六班L37172220011于双双22001-05-03 2314初三六班L37292219971樊秀22001-02-08 2314初三六班L37292219991樊秋玲21998-01-19 2314初三六班L37292219991刘媛媛21999-06-29 2314初三六班L37292519991许绣屏21999-01-16 2314初三六班L37292519991李俊丹21999-11-30 2314初三六班L37292519991姜喧21999-04-11 2314初三六班L37292519991王甜甜21998-09-06 2314初三六班L37292519991杨美21999-12-16 2314初三六班L37292519991孙睛21999-01-08 2314初三六班L37292520001魏雨蝶22000-08-09 2314初三六班L37292520001谢春亚22000-01-06 2314初三六班L37292520001王珊珊22000-05-10 2314初三六班L37292520001司亚楠22000-01-12 2314初三六班L37292520001张敏21996-04-13 2314初三六班L37292520001司玉颖22000-04-10 2314初三六班L37292520001凡迎春22000-09-14 2314初三六班L37292520001范梦缘22000-05-17 2314初三六班L37292520001李秀文22000-06-08 2314初三六班L37292520001袁海风22000-05-01 2314初三六班L37292520001王哲22000-11-22 2314初三六班L37292520011张雨萧22000-08-31家庭住址身高体重肺活量50米跑立定跳远山东省菏泽市单县高老家乡1704527008.4350山东省菏泽市单县高老家乡1635227008.2344山东省菏泽市单县高老家乡1704526008.9340山东省菏泽市单县高老家乡1705227008.3350山东省菏泽市单县高老家乡1684528008.5356山东省菏泽市单县高老家乡1754529008.7364山东省菏泽市单县高老家乡1755727009336山东省菏泽市单县高老家乡1704528008.6356山东省菏泽市单县高老家乡1807529008.3388山东省菏泽市单县高老家乡1767527008.4350山东省菏泽市单县高老家乡1705325008.9352山东省菏泽市单县高老家乡1606327008.3354山东省菏泽市单县高老家乡1706227008.9356山东省菏泽市单县高老家乡1804532007.5400山东省菏泽市单县高老家乡1706526009.5376山东省菏泽市单县高老家乡1554523009.7330山东省菏泽市单县高老家乡1705326008.9356山东省菏泽市单县高老家乡1604524508.4320山东省菏泽市单县高老家乡1705226008.9360山东省菏泽市单县高老家乡1676526008.9380山东省菏泽市单县高老家乡1704527008.3360山东省菏泽市单县高老家乡1685124009.4352山东省菏泽市单县高老家乡1655625009.4344山东省菏泽市单县高老家乡1594325008.6348山东省菏泽市单县高老家乡1605332007.5360山东省菏泽市单县高老家乡170453510 6.4369山东省菏泽市单县高老家乡165453200 6.5380山东省菏泽市单县高老家乡170652900 6.6350山东省菏泽市单县高老家乡1585926007.5360山东省菏泽市单县高老家乡1734529007.5400山东省菏泽市单县高老家乡1685332007.8400山东省菏泽市单县高老家乡174593456 6.9400山东省菏泽市单县高老家乡1705235007400山东省菏泽市单县高老家乡1654535007380山东省菏泽市单县高老家乡1706423007.5380山东省菏泽市单县高老家乡170453400 6.8380山东省菏泽市单县高老家乡160753000 6.8300山东省菏泽市单县高老家乡165753000 6.5360山东省菏泽市单县高老家乡1704530007.8360山东省菏泽市单县高老家乡170453500 5.6390山东省菏泽市单县高老家乡175654500 6.5400山东省菏泽市单县高老家乡1605330007376山东省菏泽市单县高老家乡1756528007330山东省菏泽市单县高老家乡1707538006356山东省菏泽市单县高老家乡1754535006320山东省菏泽市单县高老家乡1756230006360山东省菏泽市单县高老家乡1775636006380山东省菏泽市单县高老家乡1706536008360山东省菏泽市单县高老家乡1759521007352山东省菏泽市单县高老家乡1754535007344山东省菏泽市单县高老家乡1574535006360山东省菏泽市单县高老家乡1604515006210山东省菏泽市单县高老家乡1604528007234山东省菏泽市单县高老家乡1704528007240山东省菏泽市单县高老家乡1694527007246山东省菏泽市单县高老家乡1554526007186山东省菏泽市单县高老家乡1704528006228山东省菏泽市单县高老家乡1767528007234山东省菏泽市单县高老家乡1766528007240山东省菏泽市单县高老家乡1706528007234山东省菏泽市单县高老家乡1704526007234山东省菏泽市单县高老家乡1554526007186山东省菏泽市单县高老家乡1724528007240山东省菏泽市单县高老家乡1705227007228山东省菏泽市单县高老家乡1604528007228山东省菏泽市单县高老家乡1756530007276山东省菏泽市单县高老家乡1704528007228山东省菏泽市单县高老家乡1754529007228山东省菏泽市单县高老家乡1584529007222山东省菏泽市单县高老家乡1553729007240山东省菏泽市单县高老家乡1654529007228山东省菏泽市单县高老家乡1734524007240山东省菏泽市单县高老家乡1706528008198山东省菏泽市单县高老家乡1704528007216山东省菏泽市单县高老家乡1706528007216山东省菏泽市单县高老家乡1654528007240山东省单县高老家乡1654528007204山东省单县高老家乡1735728007240曹叵集1786528007276曹叵集西街1754528007264山东省单县高老家乡1656528007240山东省单县高老家乡1644528007240曹叵集西街1654528007204山东省单县高老家乡1635328007198山东单县高老家乡韦洼村1706528007240山东省单县高老家乡1726130007266.4山东省单县高老家乡1686529007213.6山东省单县高老家乡1484529007184.8曹叵集村1504529007214.8张柿园1734529007266.4高老家乡1714529007265.2山东省单县高老家乡1655829007.2265.2山东单县高老家乡韦洼村1676528008265.2山东单县高老家乡170452785 6.9270山东省单县高老家乡1656529587.5216山东省单县高老家乡175452938 6.5224.4山东省单县高老家乡1755227757.4202.8山东省单县高老家乡1656528937.3254.4高老家乡1705125437254.4山东省单县高老家乡155652800 6.8292.8山东省单县高老家乡1655328007235.2曹叵集东街170752800 6.7252高老家乡刘庄集170452800 6.8282山东单县高老家乡韦洼村170452800 6.2237.6河南省虞城县170452800 6.2312山东单县高老家乡韦洼村170452800 6.8256.8山东省单县高老家乡165452900 5.8252山东省单县高老家乡1656529007.5228山东省单县高老家乡1606527007.5210曹叵集西街1705827717222山东单县高老家乡韦洼村1504530129237.6山东省单县高老家乡1746528008.4261.6山东省单县高老家乡177452900 6.5336山东省单县高老家乡1553725009.3192曹叵集西街178732800 6.7282高老家乡1758527007.22225.6山东省单县高老家乡172652800 6.55225.6高老家乡1674527007.9212.4山东省单县高老家乡1706527008.5187.2山东省曹县青固集镇韦庄村1794525008.4229.2山东省单县高老家乡1704524008216山东省单县高老家乡180652900 6.2307.2山东单县高老家乡韦洼村1704530007306山东单县高老家乡韦洼村1704527008.2201.6山东单县高老家乡1784529008336山东省单县高老家乡1704528007228山东省单县高老家乡1705125009.9180山东单县高老家乡韦洼村14535180018120山东省单县高老家乡1806530006307.2山东单县高老家乡1745328007.5276山东省单县高老家乡1755329007.8240山东省单县高老家乡1805728007.6240山东省单县高老家乡1604528007.68276山东省单县高老家乡170753200 6.1312山东省单县高老家乡1665126008.2216山东省单县高老家乡1463628888.8192山东省单县高老家乡1463128889.3204曹叵集北街1564527508.4222山东省单县高老家乡1443226408.5216山东省单县高老家乡1504028508.3236.4山东省单县高老家乡1604027509.2240山东省单县高老家乡1503527558.7217.2山东省单县高老家乡1554629857.8187.2山东省单县高老家乡1555827509.5204山东省单县1604528508234李油坊1553529007.68211.2高老家乡1684528509.9240山东单县高老家乡17065270018216山东省单县高老家乡1647027006222山东省单县高老家乡1756028007.5240山东省单县高老家乡1776028007.8230.4王堂村1756028007.6243.6高老家乡1756537007.68252山东省单县高老家乡1624320008210山东单县高老家乡韦洼村1674530008.6240山东省单县高老家乡1654530008.2228山东省单县高老家乡1705028008.2268.8山东省单县高老家乡1715028009.2294山东省单县高老家乡1705029008.5289.2山东省单县高老家乡1655028008.7192山东省单县高老家乡1604030008.1228山东省单县高老家乡1664329008.2252山东省单县高老家乡1554527508.1216山东省单县高老家乡1755528008.2252山东省单县高老家乡1656029008.2216山东省单县高老家乡1654528008.2210山东省单县高老家乡1553530008.1198山东省单县高老家乡1603529508.2180山东省单县高老家乡1555028008.8186山东省单县高老家乡1654028009.3192山东省单县高老家乡1755029008.4240山东省单县高老家乡1654528008.5210山东省单县高老家乡1654428508.3222山东省单县高老家乡1655528509.2210山东省单县高老家乡1704229508.7252山东省单县高老家乡1764530007.8234山东省单县高老家乡1655529509.5216山东省单县高老家乡1755030007228山东省单县高老家乡1755029008.2240山东省单县高老家乡177502950 6.5252山东省单县高老家乡1797027509.3240山东省单县高老家乡179592900 6.7258山东省单县高老家乡16035.0027008252山东省单县高老家乡16050.0027807246山东省单县高老家乡16035.0028909.9234山东省单县高老家乡17075.00300018216山东省单县高老家乡16034.0029006192山东省单县高老家乡16050.0028707.5252山东省单县高老家乡16852.0029007.8252山东省单县高老家乡15754.0031007.6204山东省单县高老家乡15848.0027007.68198山东省单县高老家乡15253.0028018168山东省单县高老家乡16852.002930 6.9252山东省单县高老家乡16655.0029507.8240山东省单县高老家乡16254.002705 6.1156山东省单县高老家乡15845.0030758.2186山东省单县高老家乡16040.0027308.6234山东省单县高老家14533.0028308.2204山东省单县高老家乡17550.0027008.2276山东单县高老家乡韦洼村16542.0028069.2222曹叵集16955.0029058.5228山东省单县高老家乡韦楼15534.0029758.7198单县高韦庄镇安韩庄16545.0025007.6198山东省单县高老家乡15544.0028007.7240曹叵集15539.0028007.9240山东省单县高老家乡17042.0029198.3204山东省单县高老家乡17560.0031008.7264山东省单县高老家乡17060.0027016216山东省单县高老家乡17045.0027059.2168山东单县高老家乡韦洼村18055.0030107.3252山东省单县高老家15540.002800 5.8216山东单县高老家乡韦洼村17850.0031007264山东省单县高老家乡16045.003010 5.9180山东省单县高老家乡16845.0029008.9192李油坊15542.0027008.7180山东单县高老家乡韦洼村16070.0027009180山东省单县高老家乡16042.0028008.9162山东省单县高老家乡17255.0031009288山东省单县高老家16555.0028009.3252山东省单县高老家17050.0030009.2276山东省单县高老家乡1494618009.1183.6山东省单县高老家1684519009232.8山东省单县高老家乡1604517908.6204曹县青固集丘海村1584117078.5204高老家乡韦楼1604219078.4219.6山东省单县高老家乡1603717057.9213.6山东省单县高老家1655218708.1276高韦庄镇老韦庄村1655017508.5260.4山东单县高老家乡韦洼村1705217008.1219.6高老家乡韦楼1725518908.2187.2山东省单县高老家乡1654617608.3206.4山东省单县高老家乡1655518708.3260.4山东省单县高老家乡180********.3222山东省单县高老家乡1806526777.9211.2曹县青固集镇四合村1704529007.8211.2曹县青固集镇苗西1856529017.8211.2山东省单县高老家乡1705229027.9211.2山东省单县高老家乡1736529047.9211.2高老家乡韦楼1734529058.1211.2山东省单县高老家乡1604526007.5222曹叵集1654526007.5218.4山东省单县高老家乡1705226827.5213.6山东省单县高老家乡1655326837.3213.6山东省单县1505326847.2213.6山东单县高老家乡韦洼村1805326857.1213.6山东省单县高老家乡1804526868.7213.6曹叵集1704526878.7213.6山东省单县高老家1504526888.7213.6山东省单县高老家1455226898.7213.6山东省单县高老家乡1655226908.7213.6山东省单县高老家乡1857533335360高老家乡韦楼1857536005372山东单县1665226938.7213.6山东省单县高老家乡1676726949.2213.6。
年级编号班级编号班级名称学号民族代码姓名性别出生日期11201311一班21301011罗昊12007-01-24 11201311一班21301021李欣阳12007-01-26 11201311一班21301031杨浩翔12007-01-06 11201311一班21301041陈燕芬22007-01-28 11201311一班21301051周鑫钰22007-01-19 11201311一班21301061文海宁12007-01-29 11201311一班21301071付子豪12007-01-05 11201311一班21301081许恒12007-01-30 11201311一班21301097李艳梅22007-01-22 11201311一班21301107曾健菊22006-01-03 11201311一班21301111张敏22007-01-14 11201311一班21301121龚吉鑫12006-01-14 11201311一班21301137李思娴22007-01-11 11201311一班21301141杨明瑞12006-01-29 11201311一班21301151李湘雪22007-01-09 11201311一班21301161刘杨婷22007-01-13 11201311一班21301171李佳颖22007-01-02 11201311一班21301181王子杰12006-01-19 11201311一班21301191杨晓俊12007-01-25 11201311一班21301201王融鑫22007-01-24 11201311一班21301217王玉宇12006-01-09 11201311一班21301221郭银菲22007-01-23 11201311一班21301231代鑫芮22006-01-14 11201311一班21301241皇甫文涛12006-01-26 11201311一班21301257杨洋22007-01-10 11201311一班21301261臧敏22005-01-25 11201311一班21301271臧永飞12006-01-25 11201311一班21301281代昀津12007-01-21 11201311一班21301291田洪旸12006-01-26 11201311一班21301301向俊宇12007-01-03 11201311一班21301318何兰22006-06-24 12201211一班21201011李蓉22006-01-24 12201211一班21201021罗悦文22006-06-28 12201211一班21201031杨林玲22005-06-18 12201211一班21201041武靖淞12004-08-01 12201211一班21201051武冬凌12006-11-24 12201211一班21201067何燕22006-04-12 12201211一班21201071何芬22006-07-02 12201211一班21201081党颖22006-04-19 12201211一班21201091杨雨婷22006-08-25 12201211一班21201101苏开行12006-08-02 12201211一班21201111潘诚春22006-08-16 12201211一班21201121周涛12006-11-14 12201211一班21201131刘瑞12006-02-22 12201211一班21201141杨媛22006-10-28 12201211一班21201157段航12006-01-26 12201211一班21201161杨威12006-03-07 12201211一班21201171李子涵12006-06-28 12201211一班21201181杨媛媛22006-02-24 12201211一班21201191刘镓豪22006-09-1712201211一班21201202吴思娴12006-09-16 12201211一班21201211田景霞12006-03-26 12201211一班21201221赵艳娇22006-07-04 12201211一班21201231武宁波12004-05-06 12201211一班21201241李思甜22005-06-05 12201211一班21201251刘孟祥12006-08-05 12201211一班21201261杨慧娟22006-10-30 12201211一班21201271周新凯12006-11-10 12201211一班21201281唐中昊12006-06-24 12201211一班21201291武俊希22006-01-05 12201211一班21201301徐榕22006-08-10 12201211一班21201311李思宇22006-10-02 12201211一班21201321李亚婧22006-03-09 12201211一班21201331王宁12006-07-08 12201211一班21201341程韵雨12006-01-15 12201211一班21201351杨祖贤12006-06-03 12201211一班21201361臧永敏22006-10-13 13201111一班21101011杨爱敏22005-10-15 13201111一班21101021李佳玲22005-05-11 13201111一班21101031武琪12005-06-13 13201111一班21101041杨琴22005-10-31 13201111一班21101051杨玉容22005-04-06 13201111一班21101067杨尚涛12005-09-19 13201111一班21101077蒋晓涵22004-12-11 13201111一班21101087刘英22005-01-12 13201111一班211010914郑文蝶22002-09-25 13201111一班21101101付红琼22005-06-07 13201111一班21101111杨海蓉22005-10-24 13201111一班21101121李宇航12005-01-08 13201111一班21101131蒋才祥12005-06-16 13201111一班21101141李慧玲22005-02-01 13201111一班21101151杨星月22004-08-15 13201111一班21101168赵薇22005-01-22 13201111一班21101171李健乐12005-01-29 13201111一班21101187李颖22005-08-23 13201111一班21101191田洪进12003-02-16 13201111一班21101201杨国磊12005-06-15 13201111一班21101211邓陈伟12005-01-09 13201111一班21101221邱浩然12005-04-19 13201111一班21101231李杰12005-03-19 13201111一班21101241李恒12005-03-10 13201111一班21101251张师鹏12004-12-29 13201111一班21101261张志雄12004-05-20 13201111一班21101271李敏22005-02-26 13201111一班21101281武静菊22005-02-22 13201111一班21101291杨金源12005-08-12 13201112二班21102011丁曼容22005-05-05 13201112二班21102021吴俊达12005-03-24 13201112二班21102031彭聪12005-03-03 13201112二班21102041罗埕宇12005-03-15 13201112二班21102057付云娇22005-06-0913201112二班21102061高星灿12005-06-27 13201112二班21102071李涵22005-10-29 13201112二班21102087肖婷22004-11-08 13201112二班21102097刘孟琴22004-11-12 13201112二班21102102张丽22003-09-24 13201112二班21102111李菲22004-10-27 13201112二班21102121龚子超12005-10-13 13201112二班21102131杨俊杰12005-06-14 13201112二班21102141普瑞宏12005-03-24 13201112二班21102157杨宇昊12005-09-27 13201112二班21102167杨俊飞12005-07-05 13201112二班21102171杨金燕22004-12-31 13201112二班21102186郑文册12003-11-15 13201112二班21102191刘昕灵22005-03-29 13201112二班21102201李洋12005-04-20 13201112二班21102211周建婷22005-02-01 13201112二班21102221李继鹏12004-12-16 13201112二班21102231李俊毅12005-06-25 13201112二班21102241付晓芸22004-11-14 14201011一班21001011洪发林12004-02-11 14201011一班21001021吴玉飞12003-08-22 14201011一班21001036彭晓宝12000-12-21 14201011一班21001041段蕊22004-10-14 14201011一班21001057付光萍22003-06-11 14201011一班21001061段宇22004-06-19 14201011一班21001077彭菊花22002-05-10 14201011一班21001081沈妍妍22004-05-12 14201011一班21001091刘孟学12003-12-13 14201011一班21001101付国12004-02-07 14201011一班21001111卢林松12001-07-15 14201011一班21001121杨慧22004-08-31 14201011一班21001131杨艳梅22003-03-26 14201011一班21001141李丛楠22004-04-27 14201011一班21001151朱宝春12004-03-10 14201011一班21001161周艳珠22003-11-19 14201011一班21001171熊全贵12001-09-23 14201011一班21001181秦亮12001-04-13 14201011一班21001191夏越明22004-07-28 14201011一班21001201刘玉啸12003-11-21 14201011一班21001217赵兴娅22004-10-23 14201011一班21001221杨泽玮12004-05-06 14201011一班21001231罗有金12003-09-16 14201011一班21001241李姝臻22004-01-25 14201011一班21001251武艳丽12004-09-04 14201011一班21001261刘桐12004-08-31 14201011一班21001271李缘12004-06-27 14201011一班21001281刘珂嘉22003-12-08 14201012二班21002011梁煜珊22003-10-27 14201012二班21002021卢林刚11998-12-24 14201012二班21002031卢林江12003-01-26 14201012二班21002041杨春明12003-12-2914201012二班21002056邱鑫12004-11-10 14201012二班21002066杨惠敏22003-11-17 14201012二班21002071杨瑞祥12003-12-04 14201012二班21002081李文海12003-02-28 14201012二班21002091王亦允12004-01-12 14201012二班21002101杨会东12004-09-04 14201012二班21002111李彩云22003-11-12 14201012二班21002127段亮12003-12-24 14201012二班21002131段建玲22004-02-02 14201012二班21002141熊成强12002-04-19 14201012二班21002151普俊前12004-01-20 14201012二班21002161唐中会22003-11-02 14201012二班21002171杨鑫22004-09-22 14201012二班21002181李亚斌12003-01-17 14201012二班21002191杨蓉22004-10-31 14201012二班21002201赵国月22004-10-01 14201012二班21002211瞿娇22004-02-10 14201012二班21002221聂小媛22004-09-25 14201012二班21002231青方航12003-03-19 14201012二班21002241魏元兴22004-10-08 14201012二班21002251王耀辉12003-10-05 14201012二班21002266黄佑润22004-01-18 15200911一班20901011陈正才22002-10-27 15200911一班20901021杨媛景12003-07-06 15200911一班20901031杨肖迪12003-04-17 15200911一班20901041曹志杨12001-11-03 15200911一班20901051普俊惠12003-02-19 15200911一班20901061符世贤12002-10-25 15200911一班20901071谭学军22002-12-05 15200911一班20901087杨亚斌12002-11-21 15200911一班20901091青方涛22001-03-06 15200911一班20901101田芮12003-05-27 15200911一班20901111蒋瑞龙22002-11-01 15200911一班20901121李淑群22002-10-27 15200911一班20901131付文倩22003-02-03 15200911一班20901147周金丽12002-11-24 15200911一班20901151李博22002-10-18 15200911一班20901161李晓帆22003-07-03 15200911一班20901171李在旭12003-02-09 15200911一班20901181胡慧12002-11-26 15200911一班20901191赵堰琳22003-01-27 15200911一班20901201武琼芝22003-05-22 15200911一班20901211杨鑫22003-02-17 15200911一班20901221张波12002-08-09 15200911一班20901231熊明涛12001-04-20 15200911一班20901241熊明珠12002-09-22 15200911一班20901257杨舒婷22003-06-15 15200911一班20901261唐欢22001-05-22 15200911一班20901271周星雨22002-10-28 15200911一班20901281李昆阳12002-12-03 15200912二班20902017何春梅22003-01-1115200912二班20902021李瑞鑫12002-10-28 15200912二班20902037赵富彪12002-10-15 15200912二班20902041武靖梅22003-01-27 15200912二班20902051赵国萍22003-07-07 15200912二班20902061邓光丽22003-10-08 15200912二班20902071陈姝蓉22003-04-23 15200912二班209020820王兴杰12002-12-19 15200912二班20902091李婧22003-02-16 15200912二班20902101杨佳丽22002-05-11 15200912二班20902111李婷22001-11-07 15200912二班20902121杨宝权12002-10-14 15200912二班20902131杨璐伟12003-02-11 15200912二班20902141李海林12002-10-03 15200912二班20902157罗蓉22003-03-28 15200912二班20902161杨帆22003-09-04 15200912二班20902171张 欣22004-01-24 15200912二班20902181肖富冬12002-12-21 15200912二班20902191褚光明12003-06-03 15200912二班20902201普宝强12003-08-16 15200912二班20902217张俊涛12003-08-10 15200912二班20902227秦秀21998-03-02 15200912二班20902231郭楚阳12003-06-26 15200912二班20902241张国于12002-10-26 15200912二班20902251彭胜邦12001-10-08 15200912二班20902261张雪斌12002-01-14 15200912二班20902271蒋泽倩22003-04-10 15200912二班20902281彭胜博12003-04-29 15200912二班20902291王天鹏12000-10-20 15200912二班20902301王颖12002-02-06 15200912二班20902311李建萍22002-10-17 15200912二班20902321方云川12003-05-03 15200912二班20902331李宁12002-12-28 15200912二班20902341符世豪12002-04-25 16200811一班20801011李杰12001-07-12 16200811一班20801021段娇22002-01-13 16200811一班20801031胡馨月22002-01-27 16200811一班20801041胡懿畅22001-12-04 16200811一班20801051付雨欣22002-01-29 16200811一班20801061杨瑞萍22002-07-25 16200811一班20801071杨余兵11999-01-09 16200811一班20801081汉金瑶22001-10-05 16200811一班20801091张发友12002-02-18 16200811一班20801107杨李俊涛12002-02-24 16200811一班20801116马碧昆12001-01-08 16200811一班20801121刘银12001-07-20 16200811一班20801131袁国辉12002-01-14 16200811一班20801141杨双燕22000-12-15 16200811一班20801157付佳明12001-10-28 16200811一班20801161李哲12002-09-06 16200811一班20801171赵国庆12002-10-01 16200811一班20801186张治穷12001-12-1416200811一班20801191王涛12000-12-23 16200811一班20801201杨彪12002-10-05 16200811一班20801211周金福12002-10-28 16200811一班20801221张敏22002-02-04 16200811一班20801236张志荣11995-08-09 16200811一班20801247何超11999-04-25 16200811一班20801251李佳成12002-08-27 16200811一班20801261何丽22001-02-24 16200811一班20801277罗蔓22002-05-12 16200811一班20801281张宇12002-03-04 16200811一班20801291武俊12001-07-22 16200811一班20801306武燕妮22001-10-19 16200812二班20802011蒋宇豪12001-12-15 16200812二班20802021王薪麟12002-04-25 16200812二班20802031李超12001-10-14 16200812二班20802041李聪12002-06-24 16200812二班20802051浦仕林12002-03-15 16200812二班208020614周杰明12002-01-10 16200812二班20802071晏晓东12002-06-13 16200812二班20802081陈嘉欣12001-08-26 16200812二班20802091付继刚12002-04-04 16200812二班20802107毕浩楠12002-06-16 16200812二班20802111徐瑜敏22001-10-28 16200812二班20802121赵金玲22001-11-08 16200812二班20802137武萍22001-09-16 16200812二班20802141段建飞12001-04-12 16200812二班20802151熊继英22000-02-26 16200812二班20802161吴玉芬21999-12-02 16200812二班20802171何云12002-02-21 16200812二班20802181黄秋月22002-08-31 16200812二班20802197卢林云11997-04-24 16200812二班20802201周慧22001-11-06 16200812二班20802211李涓溶22002-06-07 16200812二班20802221罗婷22002-08-02 16200812二班20802231李瑞晶22002-03-18 16200812二班20802246李平22002-08-24 16200812二班20802251吴志明12002-01-19 16200812二班20802267张宇涵12002-01-31 16200812二班20802281文灵杰22002-12-25 16200812二班20802296高婷22002-02-04 16200812二班20802301袁梦琳22002-04-19 16200812二班20802311周欣22002-01-09 16200812二班20802321杨洁22002-01-04 16200812二班20802331周磊12002-02-27 16200812二班2080271李文武12002-04-15家庭住址身高体重50米跑坐位体前屈一分钟跳绳云南省昆明市安宁市温泉街道办事处温泉派出所12122.59.8955云南省昆明市安宁市温泉街道办事处温泉派出所1252410.5845云南省昆明市安宁市温泉街道办事处温泉派出所120229.9 5.465云南省昆明市安宁市温泉街道办事处温泉派出所1152013.19.648云南省昆明市安宁市温泉街道办事处温泉派出所1232310.68.750云南省昆明市安宁市温泉街道办事处温泉派出所1222310.5 5.938云南省昆明市安宁市温泉街道办事处温泉派出所1232410.6 6.537云南省昆明市安宁市温泉街道办事处温泉派出所1182210.28.945云南省昆明市安宁市温泉街道办事处温泉派出所1152012.77.641云南省昆明市安宁市温泉街道办事处温泉派出所1152112.68.442云南省昆明市安宁市温泉街道办事处温泉派出所1182111.51050云南省昆明市安宁市温泉街道办事处温泉派出所1302710.8 5.668云南省昆明市安宁市温泉街道办事处温泉派出所1212210.6 5.952云南省昆明市安宁市温泉街道办事处温泉派出所1162110.87.646云南省昆明市安宁市温泉街道办事处温泉派出所1222312.38.551云南省昆明市安宁市温泉街道办事处温泉派出所1152010.59.536云南省昆明市安宁市温泉街道办事处温泉派出所1172111.58.738云南省昆明市安宁市温泉街道办事处温泉派出所1302712.58.632云南省昆明市安宁市温泉街道办事处温泉派出所1202210.79.736云南省会泽县1222313.19.654云南省昆明市安宁市温泉街道办事处温泉派出所1242410.5 6.861云南省昆明市安宁市温泉街道办事处温泉派出所1152011.58.362云南省昆明市安宁市温泉街道办事处温泉派出所1232312.59.751云南省昆明市安宁市温泉街道办事处温泉派出所1182313-31云南省元阳县中村派出所1182112.68.565云南省昭通市鲁甸县龙树派出所1101811.39.875云南省昭通市鲁甸县龙树派出所1182210.29.555云南省昆明市安宁市温泉街道办事处温泉派出所1222311.47.862云南省昆明市安宁市温泉街道办事处温泉派出所1202211.68.645云南省昆明市安宁市温泉街道办事处温泉派出所1262511.5550贵州省纳雍县老凹坝派出所1142011.49.541安宁市温泉街道办事小贵甸11720.511.511.564安宁市温泉街道办事古莨村11620.411.48.558安宁市温泉街道办事牧羊村11720.811.2354安宁市温泉街道办事甸中外村12323.510.81265安宁市温泉街道办事澄江村1202210.6335安宁市温泉街道办事温泉小村1152010.8946安宁市温泉街道办事温泉小村11720.512.37.754安宁市县街耳木村1172110.513.858安宁市温泉街道办事官庄村1152011.51365安宁市温泉街道办事奶母庄1172112.5258安宁市温泉街道办事笔架山1162010.7656安宁市温泉街道办事小贵甸1212313.1 3.545安宁市温泉街道办事温泉大村10717.510.67.265安宁市温泉街道办事奶母庄1142010.5365安宁市温泉街道办事后甸小村12222.510.6272安宁市温泉街道办事处温泉大村12122.310.2 2.578安宁市温泉街道办事处澄江村1111912.7264安宁市温泉街道办事处古莨村1152012.68.558安宁市温泉街道办事处温泉大村1212510.59.378安宁市温泉街道办事处秋木园1162010.9256安宁市温泉街道办事处甸中小村11922117.265安宁市温泉街道办事澄江村1101810.313.562安宁市温泉街道办事澄江村12122.311.67.285安宁市温泉街道办事甸中迤村1162111.59.468安宁市温泉街道办事温泉小村122239.4 3.565安宁市温泉街道办事牧羊村11821.210.87.756安宁市温泉街道办事甸中小村11219.510.6442安宁市温泉街道办事温泉小村1202210.8758安宁市温泉街道办事甸中外村1222312.3 1.538安宁市温泉街道办事甸中小村1232310.51035安宁市温泉街道办事甸中小村1132011.51254安宁市温泉街道办事笔架山1212212.5335安宁市温泉街道办事甸中小村1101910.77.265昆明小东村1252413.1645安宁市温泉街道办事奶母庄1172110.4254安宁市温泉街道办事奶母庄1101810.8668安宁市温泉街道办事处牧羊村1242410.61082安宁市温泉街道办事处甸中村1182110.813153安宁市温泉街道办事处笔架山1282612.31157安宁市温泉街道办事处古崀村1181910.5995安宁市温泉街道办事处牧羊村1353311.51138安宁市温泉街道办事处牧羊村13033119.2106安宁市温泉街道办事处小贵甸1302510.710.5136云南昭通1192213.114.5129云南鲁甸130269.65131安宁市温泉街道办事处前山崀130229.810.5128安宁市温泉街道办事处牧羊村12926118.3130云南宣威125251111.5114安宁市温泉街道办事处秋木园12721107.312安宁市温泉街道办事处小村12021118.3132安宁市温泉街道办事处官庄村1242412121安宁市温泉街道办事处后山崀123241113.3120安宁市温泉街道办事处箐门口125211113.857昆明市西山区团结乡白汉厂12828117.395贵州沿河134281010120安宁市温泉街道办事处官庄村13033117.130安宁市温泉街道办事处秋木园133********安宁市温泉街道办事处后山崀1392511787安宁市温泉街道办事处古崀村130311011112安宁市温泉街道办事处箐门口123251114.3106云南省昆明市安宁市温泉街道办事处甸中村委会甸中迤1383510899云南省昆明市安宁市温泉街道办事处甸中村委会甸中迤132269.810120云南省昆明市安宁市温泉街道办事处甸中村委会甸中迤140321013.3130云南省昆明市安宁市温泉街道办事处甸中村委会甸中迤1272811787云南省昆明市安宁市温泉街道办事处官庄村委会官庄村1242411657昆明安宁温泉街道温泉小村12625101583昆明安宁温泉街道后山村秋木园1242511648昆明安宁温泉街道温泉小村13026.51110.247昆明安宁温泉街道后山村前山崀139********昆明安宁温泉街道后山村前山崀12525118.2120昆明安宁温泉街道甸中村迤村134********昆明安宁温泉街道后山村箐门口130259.39.395昆明安宁温泉街道后山村牧羊村13026.51017122昆明安宁温泉街道温泉小村13529.59.68121昆明安宁温泉街道官庄村后甸小村128289.510144昆明安宁温泉街道后山村箐门口137319.315122昆明安宁温泉街道后山村箐门口132291115123昆明安宁温泉街道温泉小村13026.510 6.267昆明安宁温泉街道后山村后山崀129301112103昆明安宁温泉街道后山村牧羊村11320101440昆明安宁温泉街道官庄村后甸村大村12722.5118.2104昆明安宁温泉街道官庄村奶姆庄12826108.5126昆明安宁温泉街道官庄村奶姆庄13732118.5127昆明安宁温泉街道甸中村迤村12725108.2104昆明安宁温泉街道甸中村迤村12023117.3107昆明安宁温泉街道甸中村迤村125251011126昆明安宁温泉街道甸中村迤村131********昆明安宁温泉街道甸中村迤村1272910545昆明安宁温泉街道后山村前山崀125251114.392安宁市温泉街道办事处龙山村134319.310100安宁市温泉街道办事处大村1272910.310159安宁市温泉街道办事处小村155438.88125安宁市温泉街道办事处后甸小村1272510.410120安宁市温泉街道办事处前山崀村133********安宁市温泉街道办事处后甸小村144301114112安宁市温泉街道办事处小村1393010.312160安宁市温泉街道办事处前山崀村13425119.577安宁市温泉街道办事处小村142309.49.4108安宁市温泉街道办事处前山崀村137319.611113安宁市温泉街道办事处小村141338.99103安宁市温泉街道办事处邑尾里村136289.89142安宁市温泉街道办事处官庄村136339.212150安宁市温泉街道办事处后甸大村12524117.2111安宁市温泉街道办事处新房子村137329.81120安宁市经济管理学院1373110.211148安宁市温泉街道办事处古崀村1043310.57.481安宁市温泉街道办事处却普厂村1373010.212134安宁市温泉街道办事处牧羊村1322810.5 5.1108安宁市温泉街道办事处小村134299.87114安宁市温泉街道办事处小村1242411 6.5126安宁市温泉街道办事处牧羊村138319.810100云南省昆明市安宁市温泉街道办事处官庄村委会澄江村1302910.21098云南省昆明市安宁市温泉街道办事处甸中村委会甸中大127231113134云南省昆明市安宁市温泉街道办事处甸中村委会甸中迤135309.88.5140云南省昆明市安宁市温泉街道办事处甸中村委会甸中外1352910.2995云南省昆明市安宁市温泉街道办事处羊角社区石甸口1282610.58105云南省昆明市安宁市温泉街道办事处官庄村委会澄江村150349.811100楚雄州禄丰县勤丰镇高楼村委空心山村1353010.22100贵州省纳雍县老凹坝乡新厂村七组147388.88123贵州省纳雍县老凹坝乡新厂村七组1403310.215140安宁市温泉街道办事处官庄村1363110.51077安宁市温泉街道办事处秋木园村130289.88.5132安宁市温泉街道办事温泉小村15035117.3124安宁市温泉街道办事处牧羊村51号120259.8 6.296文山州砚山县阿猛镇阿纹村松科组1403310.27.498云南省干部疗养院老院11823115140安宁市温泉街道办事处牧羊村132309.88.694安宁市温泉街道办事处后甸大村14033.510.24139安宁市温泉街道办事处后甸小村132319.211126安宁市温泉街道办事处后甸小村12825.610.28100丘北县天星乡天星村民委法德箐村小组140339.513133安宁市温泉街道办事处前山莨村131309.211143昆明市东川区汤镇大平地街17号14032.511.211145安宁市温泉街道办事处却普厂村136331112.5160安宁市温泉街道办事处后甸大村1504110480安宁市温泉街道办事处却普厂村12423.511380安宁市温泉街道办事处笔架山村1373111488安宁市温泉街道办事处前山莨村30号13428.610.21370安宁市温泉街道办事处秋木园村12825.59.28.580文山州麻栗坡县八布乡和平村1353010.210144安宁市温泉街道办事处温泉大村135339.58120云南省昆明市安宁市温泉街道办事处甸中村委会甸中小140321110.5136云南省昆明市安宁市温泉街道办事处甸中村委会甸中迤134321113130云南省安宁市温泉街道办奶母庄14733109159云南省安宁市温泉街道办后山崀138311111147云南省安宁市温泉街道办牧羊村149331111.2126云南省安宁市温泉街道办牧羊村140359.8298云南省安宁市温泉街道办前山崀138309.617130云南省安宁市温泉街道办箐门口142339.812.5120云南省安宁市温泉街道办澄江村14735.59.813.6160云南省安宁市温泉街道办官庄143359.69.3132云南省安宁市温泉街道办″温泉小村150408.913.2126云南省安宁市温泉街道办温泉大村1433810.51598云南省安宁市温泉街道办温泉小村145369.68.5134云南省安宁市温泉街道办箐门口1312710.49.9137云南省安宁市温泉街道办前山崀136279.715126云南省安宁市温泉街道新房子1403010.513131云南省安宁市温泉街道办箐门口152429.615131云南省安宁市温泉街道办温泉大村1403310.4592云南省安宁市温泉街道办新房子135349.74134云南省安宁市温泉街道办牧羊村150409.513.8140云南省安宁市温泉街道办澄江村134309.614135云南省安宁市温泉街道办澄江村147368.913.6160云南省安宁市温泉街道办后甸大村1433510.510160云南省安宁市温泉街道办前山崀145359.61098云南省安宁市温泉街道办温泉大村1403310.45110云南省安宁市温泉街道办温泉大村139329.712150云南省安宁市温泉街道办牧羊村132359.51100云南省昆明市安宁市温泉街道办事处甸中村委会甸中大138319.611.4131云南省昆明市安宁市温泉街道办事处甸中村委会甸中迤132369.416157云南省昆明市安宁市温泉街道办事处甸中村委会甸中大140339.710.295云南省安宁市温泉街道办事处牧羊村140308.813164云南省安宁市温泉街道办事处邑尾里村145388.99118云南省安宁市温泉街道办事处澄江村155409.71398云南省安宁市温泉街道办事处澄江村145349.511.2121云南省安宁市温泉街道办事处毞架山村137309.616166云南省安宁市温泉街道办事处后山崀村134269.416122云南省安宁市温泉街道办事处后山崀村143349.78115云南省安宁市温泉街道办事处小贵甸村145359.710.4109云南省安宁市温泉街道办事处官庄村144339.814142云南省安宁市温泉街道办事处官庄村150449.3 4.3135云南省安宁市温泉街道办事处官庄村147379.714131云南省安宁市温泉街道办事处奶姆庄村143349.58115云南省安宁市温泉街道办事处奶姆庄村130289.6780云南省安宁市温泉街道办事处箐门口村155409.41398云南省安宁市温泉街道办事处邑尾里村134309.713.5112云南省安宁市温泉街道办事处却普厂村144339.711.2143云南省安宁市温泉街道办事处前山崀村140309.814137云南省安宁市温泉街道办事处前山崀村129309.38128云南省安宁市温泉街道办事处新房子村148439.51447云南省安宁市温泉街道办事处新房子村135309.811145云南省安宁市温泉街道办事处温泉大村133331013103云南省安宁市温泉街道办事处却普厂村1453410.811.4121云南省安宁市温泉街道办事处温泉大村14435.59.71099云南省安宁市温泉街道办事处温泉小村134309.77117云南省安宁市温泉街道办事处温泉小村136309.511165云南省安宁市温泉街道办事处后山崀村135349.613127云南省安宁市温泉街道办事处后山崀村147389.414103云南省安宁市温泉街道办事处温泉小村144369.79144云南省安宁市温泉街道办事处石甸口村160479.711.4130云南省安宁市温泉街道办事处官庄村146419.8 6.599云南省昆明市安宁市温泉街道办事处甸中村委会甸中大143319.310.4148云南省昆明市安宁市温泉街道办事处甸中村委会甸中外143389.511102云南省昆明市安宁市温泉街道办事处甸中村委会甸中迤153449.88.5120云南省安宁市温泉街道办事处箐门口村143369.78.954云南省经济管理学院142349.81386安宁市温泉街道办事处后甸小村150389.59139安宁市温泉街道办事处后山崀村1403210.515146安宁市温泉街道办事处后山崀村1653210.814110安宁市温泉街道办事处前山崀村1484010.514126安宁市温泉街道办事处官庄村1474210.414155云南省昆明市安宁市连然街道办事处宝兴社区杨柳庄村144379.11284安宁市温泉街道办事处牧羊村1504510.214130安宁市温泉街道办事处邑尾里村1565310.51077安宁市温泉街道办事处后山崀村148459.79110安宁市温泉街道办事处前山崀村150459.51102安宁市温泉街道办事处温泉小村14635.59.610115安宁市温泉街道办事处温泉小村144339.4 6.8151安宁市温泉街道办事处牧羊村157509.715165安宁市温泉街道办事处古崀村140389.71382安宁市温泉街道办事处箐门口村145349.810120安宁市温泉街道办事处笔架山村142359.310114安宁市温泉街道办事处邑尾里村147389.511121安宁市温泉街道办事处龙山村152418.914120安宁市温泉街道办事处温泉大村129269.710151安宁市温泉街道办事处新房子村1433710.4896云南省昆明市安宁市温泉街道办事处甸中村委会甸中迤149349.813138安宁市温泉街道办事处古崀村162558.516144安宁市温泉街道办事处温泉小村155478.613157云南省昆明市安宁市温泉街道办事处甸中村委会甸中迤152409.413160安宁市温泉街道办事处温泉小村142339.516157安宁市温泉街道办事处邑尾里村140309.614130云南省昆明市安宁市温泉街道办事处甸中村委会甸中中148409.416133云南省昆明市安宁市温泉街道办事处甸中村委会甸中外149409.77120云南省昆明市安宁市温泉街道办事处甸中村委会甸中外150429.715108云南省昆明市安宁市温泉街道办事处后山村委会牧羊村140399.88.795云南省昆明市安宁市温泉街道办事处温泉社区龙山村150459.36124云南省昆明市安宁市温泉街道办事处后山村委会箐门口138369.510113云南省昆明市安宁市温泉街道办事处后山村委会箐门口146378.98.3125云南省昆明市安宁市温泉街道办事处后山村委会牧羊村134319.73143云南省昆明市安宁市温泉街道办事处甸中村委会甸中大156459.87114云南省昆明市安宁市温泉街道办事处甸中村委会甸中中1435011177云南省昆明市安宁市温泉街道办事处后山村委会后山崀139299.38.2138云南省昆明市安宁市温泉街道办事处后山村委会后山崀146379.47.5125云南省昆明市安宁市温泉街道办事处后山村委会后山崀1391489.59.412云南省昆明市安宁市温泉街道办事处后山村委会箐门口146369.6 6.6141云南省昆明市安宁市温泉街道办事处官庄村委会澄江村146329.4 6.1144云南省昆明市安宁市温泉街道办事处官庄村委会澄江村147409.77.1152云南省昆明市安宁市温泉街道办事处官庄村委会后甸小128239.76124云南省昆明市安宁市温泉街道办事处温泉社区大村15540.99.87.2130云南省昆明市安宁市温泉街道办事处温泉社区大村147389.311145云南省昆明市安宁市温泉街道办事处温泉社区大村146339.5 6.7126云南省昆明市安宁市温泉街道办事处温泉社区小村1362911 5.7125云南省昆明市安宁市温泉街道办事处温泉社区小村161499.512108云南省昆明市安宁市温泉街道办事处官庄村委会官庄村154359.67114云南省昆明市安宁市温泉街道办事处后山村委会箐门口139319.42131云南省昆明市安宁市温泉街道办事处官庄村委会邑尾里15535.59.7 3.6156云南省昆明市安宁市温泉街道办事处后山村委会后山崀143339.78.2138云南省昆明市安宁市温泉街道办事处温泉社区小村148369.86112云南省昆明市安宁市温泉街道办事处温泉社区小村151449.3 3.5143云南省昆明市安宁市温泉街道办事处温泉社区大村15745.89.5 6.295云南省昆明市安宁市温泉街道办事处温泉社区小村147349.45110云南省昆明市安宁市温泉街道办事处甸中村委会甸中外148369.59.1165云南省昆明市安宁市温泉街道办事处甸中村委会甸中小144349.612122云南省昆明市安宁市温泉街道办事处甸中村委会甸中小157379.410150云南省昆明市安宁市温泉街道办事处官庄村委会官庄村157379.713130云南省昆明市安宁市温泉街道办事处甸中村委会甸中小158319.715161云南省昆明市安宁市温泉街道办事处后山村委会牧羊村138********左眼视力右眼视力一分钟仰卧起肺活量50米×8往返跑5555554.8 4.6555 4.34.6 4.65555554.5 4.25555555555555555554.9 4.855554.6 4.655555555555555555.1 5.155555555555555554.5 4.3555555554.5 4.655554.8 4.855555555555555554.9 4.85555555555554.8 4.8555522 5522 4.8 4.822 5523 5522 5522 4.8522 5522 5527 5524 5525 5522 5522 5522 5510 5522 4.8 4.522 5522 5524 5522 5522 5522 5.1522 5524 5522 5524 5522 4.9 4.922 5522 5522 5522 5522 5523 55274.8 4.823 4.5 4.722 5522 5523 4.8 4.822 5531 5522 5522 5524 5522 5522 4.8 4.825 5526 5522 55225.1 5.124 5530 5525 5.1 5.122 5522 5522 5526 5535 5522 5522 5522 5527 5526 5522 5522 5523 5528 5522 5528 5525 5522 5533 5522 5522 5522 5522 4.5 4.530 5523 5522 4.8 4.922 5522 5524 4.6 4.525 5521 5531 5524552755314.8 4.82555254.6 4.52255255525552455214.8 4.8275521553155273.6 3.5214.6 4.3214.8 4.82155214.8 4.62155265521553155284.6 4.62216001′58″552315001′57″5 4.92218001′58″552215501′49″552819002′10″552715501′55″552619001′52″4.852415501′58″552916502′14″552217501′59″552318001′46″552216002′10″552518001′58″5 4.82212502′09″552510501′56″4.8 4.82316001′46″552416502′02″552915002′13″552315001′57″552612001′59″4.952214502′09″552215001′52″552318001′48″552215001′54″552218001′59″552515002′01″552315002′11″4 3.52220001′56″553020501′48″553521002′10″552920001′51″4.8 4.62421001′48″4.5 4.62218002′03″552418501′59″552814002′05″4.8 4.82615001′52″5 4.82315001′57″4.6 4.62519001′58″4.8 4.63314501′49″4.5 4.82820002′10″552815001′55″552916001′52″552215001′58″552414502′13″553015501′59″4.8 4.62514501′46″552415501′56″552313501′58″552615502′09″552416501′56″4.8 4.82417501′46″552719002′02″552816002′13″3.5 4.63020001′57″552521001′59″552220002′11″4.8 4.62922001′52″4.6 4.62820001′46″5.1 5.12615002′09″4.8 4.83815002′13″552218002′09″553614501′49″553515001′46″5.1 5.12916001′58″4.8 4.82215002′02″552416002′09″4.8 4.82215002′02″552713501′51″5.1 5.13412001′49″552212501′46″552518001′41″4.9 4.92516001′48″552420002′06″4.85520001′46″553820001′52″552617001′46″553010001′59″552418001′46″552415001′56″5.1 5.13020501′58″552523502′09″552214501′56″4.8 4.73620001′46″5.1 5.12214002′02″5.1 5.14512002′13″4.8 4.83921501′57″553518501′59″5.1 5.12917502′11″4.9 4.93118001′52″553416001′46″553117502′09″552317002′13″5.1 5.12310002′01″552516002′09″552213001′52″4.6 4.62814502′02″553915001′49″4.5 4.52216002′09″4.5 4.32320002′13″552818501′57″552217001′59″552717002′11″552310001′52″4.6 4.82616001′46″552313002′09″552517502′13″552510002′01″4.9 4.82220001′49″552923501′49″552217001′51″553517001′49″552216001′46″552917001′41″552210001′48″552818002′06″4.6 4.52215001′46″552215001′52″4.5 4.53016001′46″552717001′59″552318001′46″552215001′56″552214001′58″552221002′09″552520001′49″553123501′49″。
年级编号班级编号班级名称学籍号民族代码姓名性别出生日期家庭住址L61032720081张建辉12008/05/24陇县天成镇范家营村112015101小学2015级1班L61032720081吕超12008/06/01陇县天成镇八龙潭村112015101小学2015级1班L61032720081张盼22008/06/15陇县天成镇范家营村112015101小学2015级1班112015101小学2015级1班L61032720081范亚鹏12008/09/05陇县天成镇范家营村L61032720081范亚龙12008/09/05陇县天成镇范家营村112015101小学2015级1班L61032720081任味旺12008/09/17天成镇王家庄112015101小学2015级1班112015101小学2015级1班L61032720081任志超12008/09/18陇县天成镇范家营村L61032720081姚瑞22008/09/20天成镇上寨子村112015101小学2015级1班L61032720081尹佳妮22008/09/25陇县天成镇韦家庄村112015101小学2015级1班112015101小学2015级1班L61032720081闫嘉辉12008/10/17天成镇王家庄L61032720081王鸿磊12008/10/28天成镇范家营112015101小学2015级1班L61032720081文亚妮22008/10/28陇县天成镇马曲村112015101小学2015级1班L61032720081余乐川12008/10/31天成镇范家营112015101小学2015级1班L61032720081王涛12008/11/01陇县天成镇范家营村112015101小学2015级1班L61032720081马磊12008/11/04天成镇曹家庄112015101小学2015级1班112015101小学2015级1班L61032720081闫璐22008/11/10天成镇王家庄L61032720081王鹏程12008/11/10陇县天成镇范家营村112015101小学2015级1班L61032720081王文瑞22008/11/12陇县天成镇范家营村112015101小学2015级1班L61032720081闫瑞佳22008/11/13天成镇上寨子112015101小学2015级1班L61032720081韦生财12008/11/21陇县天成镇韦家庄村112015101小学2015级1班L61032720081闫嘉伟12008/11/25陇县天成镇上寨子村112015101小学2015级1班L61032720081秦怡22008/12/04天成镇曹家庄112015101小学2015级1班L61032720081马宇航12008/12/15天成镇上寨子112015101小学2015级1班L61032720081韦萍22008/12/26陇县天成镇韦家庄村112015101小学2015级1班L61032720081闫静菡22008/12/28天成镇王家庄村112015101小学2015级1班L61032720081王阳利22008/12/28陇县天成镇范家营村112015101小学2015级1班L61032720081刘青青22008/12/31天成镇范家营112015101小学2015级1班L61032720091马彦荣22009/01/14陇县天成镇马曲村112015101小学2015级1班112015101小学2015级1班L61032720091秦悦然12009/01/19天成镇王家庄L61032720091王硕涵12009/01/21陇县天成镇范家营村112015101小学2015级1班L61032720091马伊阳22009/02/14天成镇曹家庄112015101小学2015级1班L61032720091闫时轩22009/02/16天成镇马曲村112015101小学2015级1班L61032720091雷玉琦12009/02/22天成镇上寨子112015101小学2015级1班L61032720091闫玉欣22009/03/20天成镇王家庄村112015101小学2015级1班L61032720091闫嘉轩12009/06/04天成镇上寨子112015101小学2015级1班L61032720091韦佳泽12009/06/11陇县天成镇韦家庄村112015101小学2015级1班112015101小学2015级1班L61032720091杨佳怡22009/07/11天成镇王家庄L61032720091文焱12009/07/17陇县天成镇马曲村112015101小学2015级1班112015101小学2015级1班L61032720091苟志芳22009/07/29天成镇王家庄村L61032720091崔亚萍22009/08/03天成镇黄家沟村112015101小学2015级1班L61032720071闫俊12007/05/08陇县天成镇马曲村112015102小学2015级2班112015102小学2015级2班L61032720081贾思凡22008/01/28天成镇上寨子村L61032720081闫震国12008/06/17天成镇马曲村112015102小学2015级2班L61032720081赵爱琴22008/09/13陇县天成镇韦家庄村112015102小学2015级2班L61032720081薛天会12008/09/23天成镇王家庄112015102小学2015级2班L61032720081闫玉龙12008/10/06天成镇王家庄112015102小学2015级2班L61032720081闫永利12008/10/10陇县天成镇上寨子村112015102小学2015级2班L61032720081韦一航12008/10/10陇县天成镇韦家庄村112015102小学2015级2班L61032720081闫欣怡22008/10/16陇县天成镇范家营村112015102小学2015级2班L61032720081杨子轩12008/11/02天成镇曹家庄112015102小学2015级2班L61032720081闫瑞轩12008/11/05天成镇王家庄112015102小学2015级2班L61032720081闫思甜22008/11/06天成镇王家庄112015102小学2015级2班L61032720081韦梦昕12008/11/07陇县天成镇韦家庄村112015102小学2015级2班L61032720081朱志轩12008/11/08陇县天成镇范家营村112015102小学2015级2班112015102小学2015级2班L61032720081雷文娟22008/11/27天成镇王家庄L61032720081闫婧22008/11/28陇县天成镇王家庄1组112015102小学2015级2班L61032720081刘义博12008/11/30陇县天成镇曹家庄村112015102小学2015级2班112015102小学2015级2班L61032720081韦妙荣22008/12/13陇县天成镇韦家庄村L61032720081尹萌萌22008/12/17天成镇上寨子112015102小学2015级2班L61032720081邓梦阳12008/12/18陇县曹家湾镇曹家山村112015102小学2015级2班L61032720091李永涛12009/02/12天成镇王家庄112015102小学2015级2班L61032720091闫鹏羽12009/02/16天成镇上寨子112015102小学2015级2班L61032720091韦金元12009/02/19陇县天成镇韦家庄村112015102小学2015级2班112015102小学2015级2班L61032720091马志龙12009/02/28天成镇曹家庄L61032720091闫思怡22009/02/28陇县天成镇上寨子村112015102小学2015级2班L61032720091闫旭12009/03/08陇县天成镇王家庄村1组112015102小学2015级2班112015102小学2015级2班L61032720091李巧娟22009/03/22天成镇曹家庄L61032720091曹佳红22009/03/24天成镇马曲村112015102小学2015级2班L61032720091闫磊12009/04/01陇县天成镇韦家庄村112015102小学2015级2班L61032720091杨瑞瑞22009/04/02陇县天成镇范家营村112015102小学2015级2班L61032720091韦丽荣22009/04/10陇县天成镇韦家庄村112015102小学2015级2班L61032720091李宇恒12009/04/15陇县天成镇韦家庄村112015102小学2015级2班L61032720091王云娟22009/04/28天成镇王家庄112015102小学2015级2班L61032720091闫苗22009/05/27陇县天成镇马曲村112015102小学2015级2班L61032720091闫少鹏12009/08/08陇县天成镇马曲村112015102小学2015级2班L61032720091文楠12009/08/11陇县天成镇马曲村112015102小学2015级2班L61032720091张浩杰12009/08/17陇县天成镇范家营村112015102小学2015级2班L61032720091文佳妮22009/08/30陇县天成镇马曲村112015102小学2015级2班L61032720091韦有源12009/08/30陇县天成镇韦家庄村112015102小学2015级2班112015102小学2015级2班L61032720091闫庭瑞12009/08/31天成镇上寨子L61032720081吴杰12008/05/03天成镇上寨子村112015103小学2015级3班L61032720081韦嘉乐12008/05/15陇县天成镇韦家庄村112015103小学2015级3班L61032720081韦嘉辉12008/05/15陇县天成镇韦家庄村112015103小学2015级3班L61032720081赵辉12008/06/13天成镇王家庄112015103小学2015级3班L61032720081余宁欢12008/07/13陇县天成镇范家营村112015103小学2015级3班L61032720081闫新玉22008/09/01天成镇上寨子112015103小学2015级3班L61032720081王伟祺12008/09/26天成镇范家营112015103小学2015级3班L61032720081余悦彤22008/09/29陇县天成镇范家营村112015103小学2015级3班L61032720081贺佳琪12008/09/29陇县天成镇韦家庄村112015103小学2015级3班L61032720081韦佳欣12008/09/29陇县天成镇韦家庄村112015103小学2015级3班L61032720081赵宇12008/10/02陇县天成镇上寨子村112015103小学2015级3班L61032720081余诚刚12008/10/11陇县天成镇范家营村112015103小学2015级3班L61032720081闫瑶22008/10/17天成镇曹家庄村112015103小学2015级3班L61032720081王怡轩22008/11/06天成镇范家营112015103小学2015级3班112015103小学2015级3班L61032720081赵佳妮22008/11/06陇县天成镇韦家庄村L61032720081李蕾蕾22008/11/06陇县天成镇马曲村112015103小学2015级3班112015103小学2015级3班L61032720081白锦纯12008/11/07天成镇上寨子L61032720081闫瑞婷22008/11/08陇县天成镇上寨子村112015103小学2015级3班L61032720081闫思莹22008/11/08天成镇王家庄112015103小学2015级3班L61032720081韦思婷22008/11/11陇县天成镇韦家庄村112015103小学2015级3班L61032720081沈瑞杰12008/12/08宝鸡市陇县天成镇韦家庄村112015103小学2015级3班L61032720081杨怡静22008/12/10天成镇王家庄村112015103小学2015级3班112015103小学2015级3班L61032720081闫瑞奇12008/12/11陇县天成镇马曲村L61032720091秦娇22009/01/06天成镇曹家庄112015103小学2015级3班L61032720091李陇福12009/01/13慕仪镇112015103小学2015级3班112015103小学2015级3班L61032720091王振宇12009/02/10天成镇范家营L61032720091崔李娟22009/02/13陇县天成镇马曲村112015103小学2015级3班L61032720091陈康平12009/02/25天成镇上寨子112015103小学2015级3班L61032720091白子萱22009/03/02天成镇上寨子112015103小学2015级3班L61032720091文雨妃22009/03/17陇县天成镇马曲村112015103小学2015级3班L61032720091李旭峰12009/04/01天成镇马曲村112015103小学2015级3班112015103小学2015级3班L61032720091谢少英22009/04/08天成镇上寨子L61032720091闫亚茹22009/04/18陇县天成镇马曲村112015103小学2015级3班L61032720091高妍静22009/04/24天成镇上寨子112015103小学2015级3班L61032720091田江涛12009/05/08天成镇曹家庄112015103小学2015级3班L61032720091杨瑞涵12009/06/13天成镇曹家庄112015103小学2015级3班L61032720091武建龙12009/06/13天成镇上寨子112015103小学2015级3班L61032720091李怡轩22009/06/20天成镇上寨子112015103小学2015级3班L61032720091陈圆圆22009/07/02关山八龙潭二组112015103小学2015级3班L61032720091王皓婷22009/07/03陇县天成镇马曲村112015103小学2015级3班L61032720091文宝玉12009/07/05陇县天成镇马曲村112015103小学2015级3班12202001001(01)班G61032720061闫伟华12006/06/23陕西省陇县天成镇王家庄村二组12202001001(01)班G61032720061雷红艳22006/12/21陕西省陇县天成镇店子村12202001001(01)班G61032720071武会丽22007/02/16陕西省陇县天成镇王家庄村二组12202001001(01)班G61032720071张伟12007/04/10陕西省陇县天成镇韦家庄村一组12202001001(01)班G61032720071王皓雪22007/08/14陕西省陇县天成镇马曲村二组12202001001(01)班G61032720071闫苏瑞22007/09/27陕西省陇县天成镇王家庄村一组12202001001(01)班G61032720071任庆婷22007/10/01陕西省陇县天成镇王家庄村二组12202001001(01)班G61032720071吕陇强12007/10/02陕西省陇县天成镇曹家庄村二组12202001001(01)班G61032720071赵刚12007/10/06陕西省陇县天成镇关山店子村一12202001001(01)班G61032720071朱利龙12007/10/16陕西省陇县天成镇范家营村二组12202001001(01)班G61032720071闫欣鑫22007/10/27陕西省陇县天成镇上寨子村一组12202001001(01)班G61032720071蔚瑞虹22007/11/15陕西省陇县天成镇曹家庄村二组12202001001(01)班G61032720071卞少伟12007/11/18陕西省陇县天成镇上寨子村二组12202001001(01)班G61032720071赵雪静22007/11/21陕西省陇县天成镇上寨子村六组12202001001(01)班G61032720071蔚婧梅22007/11/25陕西省陇县天成镇曹家村二组12202001001(01)班G61032720071蔚振华12007/11/27陕西省陇县天成镇曹家庄村二组12202001001(01)班G61032720071王霞22007/11/28陕西省陇县天成镇范家营村一组12202001001(01)班G61032720071马仕炜12007/12/02陕西省陇县天成镇曹家庄村一组12202001001(01)班G61032720071吴园园22007/12/02陕西省陇县天成镇王家庄村一组12202001001(01)班G61032720071闫艺彤22007/12/14陕西省陇县天成镇王家庄村一组12202001001(01)班G61032720071韦盈盈22007/12/20陕西省陇县天成镇韦家庄村四组12202001001(01)班G61032720071姚明12007/12/22陕西省陇县天成镇上寨子村三组12202001001(01)班G61032720071杨欢欢22007/12/30陕西省陇县天成镇张家山村七组12202001001(01)班G61032720081范旭12008/01/10陕西省陇县天成镇范家营庄村二12202001001(01)班G61032720081李芸芸22008/01/14陕西省陇县天城镇王家庄村12202001001(01)班G61032720081赵金鹏12008/01/20陕西省陇县天成镇范家营庄村三12202001001(01)班G61032720081闫佳怡22008/01/20陕西省陇县天成镇上寨子村四组12202001001(01)班G61032720081闫美静22008/01/23陕西省陇县天成镇王家庄村二组12202001001(01)班G61032720081高鹏12008/01/28陕西省陇县天成镇铁塬村八组12202001001(01)班G61032720081蔚紫怡22008/01/28陕西省陇县天成镇曹家庄村二组12202001001(01)班G61032720081张伟杰12008/02/04陕西省陇县天成镇韦家庄村一组12202001001(01)班G61032720081段程浩12008/02/12陕西省陇县天成镇马曲村一组12202001001(01)班G61032720081马建芳22008/02/16陕西省陇县天成镇曹家庄村一组12202001001(01)班G61032720081闫渝辉12008/02/22陕西省陇县天成镇曹家庄村二组12202001001(01)班G61032720081黄欣22008/03/11陕西省陇县天成镇上寨子村四组12202001001(01)班G61032720081蔚佳豪12008/03/11陕西省陇县天成镇曹家庄村二组12202001001(01)班G61032720081秦艺凯12008/06/11陕西省陇县天成镇曹家庄村一组12202001001(01)班G61032720081文志成12008/06/13陕西省陇县天成镇马曲村一组12202001001(01)班G61032720081闫斌辉12008/07/04陕西省陇县天成镇上寨子村六组12202001001(01)班G61032720081杨颜喜12008/07/09陕西省陇县天成镇曹家庄村一组12202001001(01)班G61032720081文引娣22008/07/20陕西省陇县天成镇马曲村一组12202001001(01)班G61032720081马宇轩12008/07/29陕西省陇县天成镇上寨子村三组12202001001(01)班G61032720081王雨轩22008/08/05陕西省陇县天成镇上寨子村二组12202001001(01)班G61032720081文光美22008/08/09陕西省陇县天成镇马曲村一组12202001001(01)班L61032720071刘宇航12007/11/02陕西省华县大明镇水渠村五组12202001001(01)班L61032720071杨欢22007/11/14陕西省陇县天成镇马曲村一组12202001001(01)班L61032720081闫锦熙12008/03/04陕西省陇县天成镇马曲村二组12202001001(01)班L61032720081韦什阳12008/08/15陕西省陇县天成镇韦家庄村一组12202001001(01)班L61032720081尹秦玉12008/08/29陕西省陇县天成镇韦家庄村三组12202001002(02)班G61032720061余永涛12006/11/12陕西省陇县天成镇范家营村一组12202001002(02)班G61032720061薛天菊22006/12/07陕西省陇县天成镇王家庄村二组12202001002(02)班G61032720071黄樱22007/03/22陕西省陇县天成镇上寨子村四组12202001002(02)班G61032720071王芝艳22007/09/06陕西省陇县天成镇范家营庄村二12202001002(02)班G61032720071李锐22007/09/11陕西省陇县天成镇马曲村二组12202001002(02)班G61032720071杨裕琨12007/09/24陕西省陇县天成镇曹家庄村二组12202001002(02)班G61032720071范雪妮22007/09/30陕西省陇县天成镇范家营庄村二12202001002(02)班G61032720071李宇恒12007/11/06陕西省陇县天成镇马曲村二组12202001002(02)班G61032720071雷红梅22007/11/08陕西省陇县天成镇关山银科村二12202001002(02)班G61032720071余薇倩22007/11/16陕西省陇县天成镇范家营村一组12202001002(02)班G61032720071赵玮峰12007/11/22陕西省陇县天成镇上寨子村五组12202001002(02)班G61032720071范文强12007/11/23陕西省陇县天成镇关山银科村二12202001002(02)班G61032720071何亚娟22007/11/30陕西省陇县天成镇上寨子村二组12202001002(02)班G61032720071闫立轩12007/12/01陕西省陇县天成镇王家庄村二组12202001002(02)班G61032720071蔚曼菲22007/12/06陕西省陇县天成镇曹家庄村二组12202001002(02)班G61032720071李喜娟22007/12/21陕西省陇县天成镇曹家村二组12202001002(02)班G61032720071何好22007/12/28陕西省陇县天成镇上寨子村六组12202001002(02)班G61032720071闫秀萍22007/12/29陕西省陇县天成镇上寨子村三组12202001002(02)班G61032720071陈嘉怡22007/12/30陕西省陇县天成镇曹家村二组12202001002(02)班G61032720081闫欣雨22008/01/02陕西省陇县天成镇上寨子村一组12202001002(02)班G61032720081曹杰12008/01/13陕西省陇县天成镇曹家庄村一组12202001002(02)班G61032720081陈延东12008/01/16陕西省陇县天成镇曹家庄村一组12202001002(02)班G61032720081闫赢12008/01/23陕西省陇县天成镇上寨子村二组12202001002(02)班G61032720081赵宏强12008/02/14陕西省陇县天成镇关山范家台村12202001002(02)班G61032720081王莹22008/02/14陕西省陇县天成镇上寨子村六组12202001002(02)班G61032720081闫佳怡22008/02/22陕西省陇县天成镇马曲村二组12202001002(02)班G61032720081任苏苏22008/03/04陕西省陇县天成镇上寨子村七组12202001002(02)班G61032720081文鑫12008/03/06陕西省陇县天成镇马曲村三组12202001002(02)班G61032720081闫伟东12008/03/11陕西省陇县天成镇上寨子村四组12202001002(02)班G61032720081何静怡22008/03/15陕西省陇县天成镇关山银科村二12202001002(02)班G61032720081张军12008/03/18陕西省陇县天成镇王家庄村一组12202001002(02)班G61032720081杨佳妮22008/03/19陕西省陇县天成镇铁塬村六组12202001002(02)班G61032720081王金元12008/03/25陕西省陇县天成镇王家庄村一组12202001002(02)班G61032720081范云飞12008/03/29陕西省陇县天成镇范家营庄村二12202001002(02)班G61032720081杨瑞怡22008/04/12陕西省陇县天成镇曹家村一组12202001002(02)班G61032720081文静22008/04/30陕西省陇县天成镇马曲村一组12202001002(02)班G61032720081韦佳桐22008/05/02陕西省陇县天成镇韦家庄村四组12202001002(02)班G61032720081邓敏22008/05/20陕西省陇县天成镇王家庄村二组12202001002(02)班G61032720081蔚思琪22008/06/01陕西省陇县天成镇曹家庄村二组12202001002(02)班G61032720081闫振宇12008/06/06陕西省陇县天成镇王家庄村一组12202001002(02)班G61032720081闫舒心22008/06/10陕西省陇县天成镇上寨子村六组12202001002(02)班G61032720081闫佳瑞22008/06/19陕西省陇县天成镇马曲村一组12202001002(02)班G61032720081王睿娟22008/07/03陕西省陇县天成镇关山老虎沟村12202001002(02)班G61032720081闫红丽22008/08/02陕西省陇县天成镇上寨子村七组12202001002(02)班G61032720081闫怡婷22008/08/17陕西省陇县天成镇王家庄村二组12202001002(02)班G61032720081任宇欣22008/08/20陕西省陇县天成镇王家庄村二组12202001002(02)班G61102420071王子怡22007/12/11陕西省陇县天成镇王家庄村一组12202001002(02)班L61032720071贺勤智12007/06/07陕西省陇县天成镇韦家庄村二组12202001002(02)班L61032720081闫丽瑾22008/01/07陕西省陇县天成镇上寨子村五组12202001002(02)班L61032720081韦保嘉22008/06/02陕西省陇县天成镇韦家庄村一组12202001002(02)班L61032720081崔陇丽22008/06/29陕西省陇县天成镇上寨子村四组G61032720051陈彦军12005/01/28陕西省宝鸡市陇县天成镇店子村132013101小学2013级1班G61032720061汪小强12006/01/12陕西省陇县天成镇范家台村132013101小学2013级1班G61032720061闫雨彤22006/04/10陕西省宝鸡市陇县天成镇马曲二132013101小学2013级1班G61032720061闫虹22006/05/18陕西省宝鸡市陇县天成镇王家庄132013101小学2013级1班G61032720061吕小兰22006/06/26陕西省宝鸡市陇县天成镇八龙潭132013101小学2013级1班G61032720061王云娟22006/08/18陕西省陇县天成镇店子村132013101小学2013级1班G61032720061马欣欣22006/09/14陕西省宝鸡市陇县天成镇韦家庒132013101小学2013级1班G61032720061闫家豪12006/09/22陕西省宝鸡市陇县天成镇王家庄132013101小学2013级1班G61032720061闫亚东12006/09/25陕西省宝鸡市陇县天成镇上寨子132013101小学2013级1班G61032720061闫嘉鑫12006/09/29陕西省宝鸡市陇县天成镇王家庄132013101小学2013级1班G61032720061闫佳怡22006/11/01陕西省宝鸡市陇县天成镇王家庄132013101小学2013级1班G61032720061雷烈娟22006/11/20陕西省宝鸡市陇县天成镇银科二132013101小学2013级1班132013101小学2013级1班G61032720061闫佳豪12006/11/26陕西省宝鸡市陇县天成镇马曲村G61032720061闫世坤12006/11/28陕西省宝鸡市陇县天成镇上寨子132013101小学2013级1班G61032720061余永超12006/11/30陕西省宝鸡市陇县天成镇范家营132013101小学2013级1班G61032720061李振华12006/12/02陕西省宝鸡市陇县天成镇范家台132013101小学2013级1班G61032720061蔚璐阳22006/12/07陕西省宝鸡市陇县天成镇曹家庄132013101小学2013级1班G61032720061尹佳宇22006/12/07陕西省宝鸡市陇县天成镇韦家庒132013101小学2013级1班G61032720061闫紫涵22006/12/08陕西省宝鸡市陇县天成镇王家庄132013101小学2013级1班G61032720061马友刚12006/12/30陕西省宝鸡市陇县天成镇曹家庄132013101小学2013级1班G61032720071韦茜瑞22007/01/05陕西省宝鸡市陇县天成镇韦家庄132013101小学2013级1班G61032720071方兵12007/01/31陇县天成镇石尧河村三组132013101小学2013级1班G61032720071闫瑞鑫12007/02/05陕西省宝鸡市陇县天成镇马曲村132013101小学2013级1班132013101小学2013级1班G61032720071杨彦云12007/03/04陕西省宝鸡市陇县天成镇店子村G61032720071张嘉怡22007/03/08陕西省宝鸡市陇县城关镇宝平路132013101小学2013级1班G61032720071郭瑞22007/03/13陕西省宝鸡市陇县天成镇范家营132013101小学2013级1班G61032720071范美玲22007/03/31陇县天成镇曹家庄村二组132013101小学2013级1班G61032720071胡佳怡22007/03/31陕西省宝鸡市陇县天成镇马曲村132013101小学2013级1班G61032720071雷鸣明12007/04/05陕西省宝鸡市陇县天成镇银科村132013101小学2013级1班132013101小学2013级1班G61032720071闫展鹏12007/04/06陕西省宝鸡市陇县天成镇王家庄G61032720071王旭亮12007/04/10陕西省宝鸡市陇县天成镇范家营132013101小学2013级1班G61032720071杨敏文22007/05/05陕西省宝鸡市陇县天成镇曹家庄132013101小学2013级1班132013101小学2013级1班G61032720071余佳欣12007/05/12陕西省宝鸡市陇县天成镇范家营G61032720071张怡涵22007/06/16陕西省宝鸡市陇县城关镇南大街132013101小学2013级1班G61032720071韦文博12007/06/23陕西省宝鸡市陇县城关镇宝平路132013101小学2013级1班132013101小学2013级1班G61032720071黄婧瑶22007/07/08陇县城关镇东大街4号G61032720071闫廷炜12007/07/10陇县天成镇马曲村一组132013101小学2013级1班G61032720071闫正中12007/08/04陕西省宝鸡市陇县天成镇范家营132013101小学2013级1班G61032720071闫涛12007/08/19陕西省宝鸡市陇县天成镇上寨子132013101小学2013级1班G61032720071李波12007/08/21陕西省宝鸡市陇县天成镇八龙潭132013101小学2013级1班G61032720041赵红刚12004/10/25陕西省宝鸡市陇县天成镇范家台132013102小学2013级2班132013102小学2013级2班G61032720041何军霞22004/12/26陕西省陇县天成镇范家台村G61032720051赵贵成12005/09/04陕西省天城镇范家台村2组15号132013102小学2013级2班G61032720061赵亚丽22006/04/08陕西省宝鸡市陇县天成镇韦家庄132013102小学2013级2班132013102小学2013级2班G61032720061吕金顺12006/09/07陕西省宝鸡市陇县天成镇店子村G61032720061闫鑫12006/09/19陕西省宝鸡市陇县天成镇上寨子132013102小学2013级2班G61032720061闫腊梅22006/09/21陕西省宝鸡市陇县天成镇上寨子132013102小学2013级2班G61032720061闫晨晨12006/09/25陕西省宝鸡市陇县天成镇王家庄132013102小学2013级2班G61032720061闫丽娜22006/10/02陕西省宝鸡市陇县天成镇王家庄132013102小学2013级2班G61032720061余乐轩22006/10/06陕西省宝鸡市陇县天成镇范家营132013102小学2013级2班132013102小学2013级2班G61032720061王帅12006/10/13陕西省宝鸡市陇县天成镇范家营G61032720061范利波12006/10/16陕西省宝鸡市陇县天成镇范家营132013102小学2013级2班G61032720061王展宏12006/10/20陕西省宝鸡市陇县天成镇范家营132013102小学2013级2班132013102小学2013级2班G61032720061方佳浩12006/10/31陕西省宝鸡市陇县天成镇马曲村G61032720061尹少华12006/11/03陕西省宝鸡市陇县天成镇范家营132013102小学2013级2班G61032720061赵雄伟12006/11/11陕西省宝鸡市陇县天成镇上寨子132013102小学2013级2班G61032720061杨毅帆12006/11/20陕西省宝鸡市陇县天成镇王家庄132013102小学2013级2班G61032720061赵磊12006/11/27陕西省宝鸡市陇县天成镇上寨子132013102小学2013级2班G61032720061杨磊12006/12/05陕西省宝鸡市陇县天成镇曹家庄132013102小学2013级2班G61032720061闫佳怡12006/12/10陕西省宝鸡市陇县天成镇王家庄132013102小学2013级2班G61032720061刘银杰12006/12/15陕西省宝鸡市陇县天成镇曹家庄132013102小学2013级2班G61032720061闫蓉蓉22006/12/22陕西省宝鸡市陇县天成镇王家庄132013102小学2013级2班G61032720061闫文轩12006/12/25陕西省宝鸡市陇县天成镇王家庄132013102小学2013级2班G61032720071王瑞婷22007/01/22陕西省宝鸡市陇县天成镇王家庄132013102小学2013级2班G61032720071马步云12007/01/28陕西省宝鸡市陇县天成镇曹家庄132013102小学2013级2班G61032720071范雅婷22007/01/30陕西省宝鸡市陇县天成镇马曲村132013102小学2013级2班132013102小学2013级2班G61032720071余陇斌12007/02/17陕西省宝鸡市陇县天成镇范家营G61032720071王超12007/02/22陕西省宝鸡市陇县城关镇陇马路132013102小学2013级2班G61032720071韦俊超12007/02/23陕西省宝鸡市陇县天成镇韦家庒132013102小学2013级2班G61032720071马钰12007/03/01天成镇上寨子三组132013102小学2013级2班G61032720071马婧22007/03/04陕西省宝鸡市陇县天成镇曹家庄132013102小学2013级2班G61032720071闫智伟12007/03/05陕西省宝鸡市陇县天成镇上寨子132013102小学2013级2班G61032720071闫文豪12007/03/20陕西省宝鸡市陇县天成镇马曲二132013102小学2013级2班G61032720071包小金12007/03/27陕西省宝鸡市陇县曹家湾镇三联132013102小学2013级2班G61032720071韦思蓉22007/04/01陕西省宝鸡市陇县天成镇上寨子132013102小学2013级2班G61032720071闫玉樊22007/04/01陕西省宝鸡市陇县天成镇王家庄132013102小学2013级2班G61032720071文发12007/05/01陕西省宝鸡市陇县天成镇马曲村132013102小学2013级2班G61032720071胡欣瑞22007/05/04陕西省宝鸡市陇县城关镇宝平路132013102小学2013级2班G61032720071闫佳妮22007/05/20陕西省宝鸡市陇县天成镇王家庄132013102小学2013级2班G61032720071马荣荣22007/07/21陕西省宝鸡市陇县天成镇曹家庄132013102小学2013级2班L61032720061余洋22006/02/07陕西省宝鸡市陇县天成镇马曲村132013102小学2013级2班132013102小学2013级2班L61032720071闫剑12007/01/10陕西省宝鸡市陇县天成镇马曲村L61032720071徐佳杰12007/04/25陕西省宝鸡市陇县天成镇马曲村132013102小学2013级2班142012101小学2012级1班G61032720031刘刚12003/04/08陕西省陇县天成镇范家台村G61032720031崔岩12003/05/09陕西省宝鸡市陇县天成镇马曲村142012101小学2012级1班G61032720041张敏芝22004/05/22陕西省宝鸡市陇县天成镇韦家庄142012101小学2012级1班G61032720051文俊超12005/03/10陕西省宝鸡市陇县天成镇马曲村142012101小学2012级1班G61032720051汪文军12005/04/03陕西省陇县天成镇范家台村142012101小学2012级1班G61032720051吕浩强12005/04/20陕西省宝鸡市天成镇八龙潭142012101小学2012级1班G61032720051宋锐超12005/05/07陕西省宝鸡市陇县天成镇铁源村142012101小学2012级1班G61032720051闫娇娇22005/07/14陕西省宝鸡市陇县天成镇上寨子142012101小学2012级1班G61032720051闫旭超12005/08/18陕西省宝鸡市陇县天成镇上寨子142012101小学2012级1班G61032720051闫丹洋22005/08/30陕西省宝鸡市陇县天成镇马曲村142012101小学2012级1班142012101小学2012级1班G61032720051王英英22005/09/19陕西省宝鸡市陇县天成镇张家山G61032720051闫成龙12005/09/20陕西省宝鸡市陇县天成镇马曲村142012101小学2012级1班G61032720051李轩22005/09/29陕西省宝鸡市陇县天成镇上寨子142012101小学2012级1班142012101小学2012级1班G61032720051文旭英22005/10/10陕西省宝鸡市陇县天成镇马曲村G61032720051尹博华12005/10/17陕西省宝鸡市陇县天成镇韦家庄142012101小学2012级1班G61032720051张丹妮22005/10/22陕西省宝鸡市陇县天成镇韦家庄142012101小学2012级1班G61032720051韦嘉豪12005/11/09陕西省宝鸡市陇县天成镇韦家庄142012101小学2012级1班G61032720051闫丹丹22005/11/14陕西省宝鸡市陇县天成镇王家庄142012101小学2012级1班G61032720051闫晨曦12005/11/16陕西省宝鸡市陇县天成镇王家庄142012101小学2012级1班142012101小学2012级1班G61032720051马少伟12005/11/19陕西省宝鸡市陇县天成镇曹家庄G61032720051李云飞12005/11/19陕西省宝鸡市陇县天成镇韦家庄142012101小学2012级1班G61032720051张宁22005/11/20陕西省宝鸡市陇县天成镇韦家庄142012101小学2012级1班142012101小学2012级1班G61032720051王月22005/11/20陕西省宝鸡市陇县天成镇王家庒G61032720051李陇平12005/11/24陕西省宝鸡市陇县天成镇银科村142012101小学2012级1班G61032720051赵云强12005/12/04陕西省宝鸡市陇县天成镇八龙潭142012101小学2012级1班G61032720051蔚世搏12005/12/09陕西省宝鸡市陇县天成镇曹家庄142012101小学2012级1班G61032720051马媛媛22005/12/10陕西省宝鸡市陇县天成镇曹家庄142012101小学2012级1班G61032720051何瑞娜22005/12/24陕西省宝鸡市陇县天成镇上寨子142012101小学2012级1班G61032720051范珍妮22005/12/28陕西省宝鸡市陇县天成镇范家营142012101小学2012级1班G61032720061范子颢12006/01/07陕西省宝鸡市陇县天成镇范家营142012101小学2012级1班G61032720061韦敏22006/01/21陕西省宝鸡市陇县天成镇韦家庒142012101小学2012级1班G61032720061赵盼婷22006/01/30陕西省宝鸡市陇县天成镇上寨子142012101小学2012级1班G61032720061蔚宇凡22006/02/02陕西省宝鸡市陇县天成镇曹家庄142012101小学2012级1班G61032720061陈蓉蓉22006/02/24陕西省宝鸡市陇县天成镇上寨子142012101小学2012级1班G61032720061闫人杰12006/03/22陕西省宝鸡市陇县天成镇上寨子142012101小学2012级1班142012101小学2012级1班G61032720061张美兰22006/04/03陕西省宝鸡市陇县天成镇韦家庒G61032720061李灵钰22006/04/28陕西省宝鸡市陇县天成镇范家营142012101小学2012级1班G61032720061杨敏22006/06/03陕西省宝鸡市陇县天成镇上寨子142012101小学2012级1班G61032720061闫凡蕊22006/06/04陕西省宝鸡市陇县天成镇上寨子142012101小学2012级1班G61032720061文美宁22006/06/22陕西省宝鸡市陇县天成镇马曲村142012101小学2012级1班G61032720061王伟彪12006/06/27陕西省宝鸡市陇县天成镇张家山142012101小学2012级1班G61032720061白玉婷22006/07/21陕西省宝鸡市陇县天成镇上在子142012101小学2012级1班G61032720061王鹏发12006/08/22陕西省宝鸡市陇县天成镇范家营142012101小学2012级1班G61032720061文勇12006/08/26陕西省宝鸡市陇县天成镇马曲村142012101小学2012级1班G61032720061周扬22006/09/14陕西省宝鸡市陇县天成镇韦家庄142012101小学2012级1班G61032720051李旭辉12005/08/02陕西省宝鸡市陇县天成镇马曲村142012102小学2012级2班G61032720051闫旭兵12005/08/13陕西省宝鸡市陇县天成镇上寨子142012102小学2012级2班G61032720051何世平12005/08/22陕西省陇县天成镇范家台村142012102小学2012级2班G61032720051蔚欢12005/09/18陕西省宝鸡市陇县天成镇曹家庄142012102小学2012级2班G61032720051闫卓12005/09/25陕西省宝鸡市陇县天成镇上寨子142012102小学2012级2班142012102小学2012级2班G61032720051马瑞龙12005/10/02陕西省宝鸡市陇县天成镇曹家庄G61032720051王勇浡12005/10/07陕西省宝鸡市陇县天成镇王家庄142012102小学2012级2班142012102小学2012级2班G61032720051杨勇12005/10/09陕西省宝鸡市陇县天成镇马曲村G61032720051陈妮22005/10/22陕西省宝鸡市陇县天成镇上寨子142012102小学2012级2班G61032720051崔陇红12005/11/01陕西省宝鸡市陇县天成镇店子村142012102小学2012级2班G61032720051闫姣姣22005/11/04陕西省宝鸡市陇县堎底下镇麦枣142012102小学2012级2班G61032720051余家旺12005/11/15陕西省宝鸡市陇县天成镇范家营142012102小学2012级2班G61032720051闫明新12005/11/16陇县天成镇上寨子村四组142012102小学2012级2班G61032720051文延华22005/11/26陕西省宝鸡市陇县天成镇马曲村142012102小学2012级2班G61032720051刘永强12005/12/02陕西省宝鸡市陇县天成镇范家营142012102小学2012级2班G61032720051陈康宁12005/12/15陕西省宝鸡市陇县天成镇上寨子142012102小学2012级2班G61032720051李强12005/12/25陕西省陇县城关镇杨家庄村142012102小学2012级2班142012102小学2012级2班G61032720061闫瑞乐12006/01/01陕西省宝鸡市陇县天成镇上寨子G61032720061闫佳婷22006/01/05陕西省宝鸡市陇县天成镇上寨子142012102小学2012级2班G61032720061沈永平12006/01/10陕西省宝鸡市陇县天成镇韦家庄142012102小学2012级2班142012102小学2012级2班G61032720061汪小利22006/01/12陕西省陇县天成镇范家台村G61032720061闫吉祥12006/01/16陕西省宝鸡市陇县天成镇马曲村142012102小学2012级2班G61032720061闫晨22006/01/30陕西省宝鸡市陇县天成镇上寨子142012102小学2012级2班G61032720061闫佳欣22006/02/22陕西省宝鸡市陇县天成镇王家庄142012102小学2012级2班G61032720061闫晨12006/02/27陕西省宝鸡市陇县天成镇上寨子142012102小学2012级2班G61032720061罗金星12006/03/06陕西省宝鸡市陇县天成镇银科村142012102小学2012级2班142012102小学2012级2班G61032720061文子祥12006/03/19陕西省宝鸡市陇县天成镇马曲村G61032720061闫瑞丽22006/03/23陕西省宝鸡市陇县天成镇上寨子142012102小学2012级2班G61032720061韦玥22006/04/12陕西省宝鸡市陇县天成镇韦家庄142012102小学2012级2班142012102小学2012级2班G61032720061文杨12006/05/02陕西省宝鸡市陇县天成镇马曲村G61032720061周超12006/05/03陕西省宝鸡市陇县天成镇韦家庒142012102小学2012级2班G61032720061闫旭12006/05/13陕西省宝鸡市陇县天成镇上寨子142012102小学2012级2班G61032720061闫悦涵22006/05/17陕西省宝鸡市陇县天成镇上在子142012102小学2012级2班G61032720061闫抒杰12006/06/28陕西省宝鸡市陇县天成镇马曲村142012102小学2012级2班G61032720061王文丽22006/06/28陕西省宝鸡市陇县天成镇范家营142012102小学2012级2班G61032720061余志翔12006/07/06陕西省宝鸡市陇县天成镇范家营142012102小学2012级2班G61032720061闫蓉22006/07/13陕西省宝鸡市陇县天成镇马曲村142012102小学2012级2班G61032720061闫如玉22006/07/20陕西省宝鸡市陇县天成镇王家庄142012102小学2012级2班G61032720061闫佳豪12006/08/06陕西省宝鸡市陇县天成镇王家庄142012102小学2012级2班G61032720061闫美平22006/08/06陕西省宝鸡市陇县天成镇上寨子142012102小学2012级2班G61032720061王江欢22006/08/17陕西省宝鸡市陇县天成镇上寨子142012102小学2012级2班G61032720061杨蕊蕊22006/08/22陕西省宝鸡市陇县天成镇上寨子142012102小学2012级2班142012102小学2012级2班G61032720061赵勇12006/08/31陕西省宝鸡市陇县天成镇上寨子G61032720061申志杰12006/09/12陕西省宝鸡市陇县天成镇马曲村142012102小学2012级2班L61032720041陈旭升12004/09/20陕西省宝鸡市陇县天成镇老虎沟142012102小学2012级2班L61032720051余雪22005/03/03陇县天成镇范家营村142012102小学2012级2班G61032720031薛金凤22003/01/28陇县天成镇银科村二组152011101小学2011级1班G61032720031范雪婷22003/03/14陇县天成镇范家营村二组152011101小学2011级1班G61032720031刘陇超12003/05/22陕西省宝鸡市陇县天成镇老虎沟152011101小学2011级1班G61032720031闫雪婷22003/09/28陇县天成镇上寨子村152011101小学2011级1班G61032720041吕卯强12004/01/20陕西省宝鸡市陇县天成镇八龙潭152011101小学2011级1班G61032720041王金科12004/02/20陇县天城镇银科村二组152011101小学2011级1班G61032720041王涛12004/03/01陕西省宝鸡市陇县天成镇老虎沟152011101小学2011级1班G61032720041崔博12004/05/10陕西省宝鸡市陇县天成镇老虎沟152011101小学2011级1班G61032720041王静22004/08/20陕西陇县堎底下镇腰庄村6组67 152011101小学2011级1班G61032720041王祎文12004/08/26陕西省宝鸡市陇县天成镇上寨子152011101小学2011级1班G61032720041王祎斐12004/08/26陇县天成镇上寨子村152011101小学2011级1班152011101小学2011级1班G61032720041文宏波12004/10/05陕西省宝鸡市陇县天成镇马曲村G61032720041任帅12004/10/05陕西省宝鸡市陇县天成镇王家庄152011101小学2011级1班152011101小学2011级1班G61032720041权陇斌12004/10/23陕西省宝鸡市陇县天成镇韦家庄G61032720041秦莹莹22004/11/01陕西省宝鸡市陇县天成镇王家庄152011101小学2011级1班G61032720041文雅茹22004/11/09陕西省宝鸡市陇县天成镇马曲村152011101小学2011级1班G61032720041王波12004/11/10陕西省宝鸡市陇县天成镇范家营152011101小学2011级1班G61032720041蔚鑫睿12004/12/02陇县天成镇曹家庄村二组152011101小学2011级1班G61032720041白文荷22004/12/23陕西省宝鸡市陇县天成镇上寨子152011101小学2011级1班。
年级编号班级编号班级名称学生代码民族代码学生姓名性别出生日期141402四年级二班20103713021102100211董祺12003/09/14141401四年级一班20103713021102103201孙邦皓12003/09/16141402四年级二班20103713021104100091王宏存12003/12/24141401四年级一班20103713251802100011高悦22003/11/12141401四年级一班20103713251802100021孟祥迪12004/04/03141401四年级一班20103713251802100031王晓飞22004/09/04141401四年级一班20103713251802100041全德水12004/01/13141401四年级一班20103713251802100051周冰倩22004/04/06141401四年级一班20103713251802100063韩婷婷22003/07/19141401四年级一班20103713251802100071刘亚君22004/07/02141401四年级一班20103713251802100081尤帅12004/01/10141401四年级一班20103713251802100091汪龙飞12004/01/29141401四年级一班20103713251802100101周政岐12004/08/02141401四年级一班20103713251802100111颜莉薇22004/09/01141401四年级一班20103713251802100121王成敏22004/08/25141401四年级一班20103713251802100131杨志强12003/07/11141401四年级一班20103713251802100141李森12004/03/03141401四年级一班20103713251802100151全德雨12004/03/07141401四年级一班20103713251802100161赵薇22003/11/16141401四年级一班20103713251802100171魏梦22004/08/03141401四年级一班20103713251802100181英雪22004/04/17141401四年级一班20103713251802100191何晓雨22004/05/14141401四年级一班20103713251802100201宁静22004/04/11141401四年级一班20103713251802100211杨博凯12004/04/24141401四年级一班20103713251802100221孙文萍22004/07/04141401四年级一班20103713251802100231郝欣彤12003/09/20141401四年级一班20103713251802100241孙文全12003/09/01141401四年级一班20103713251802100251杨明远12004/04/01141401四年级一班20103713251802100261刑伟22004/02/22141401四年级一班20103713251802100271顾召龙12004/02/20141401四年级一班20103713251802100281付友12004/05/30141401四年级一班20103713251802100291戴瑶22004/05/10141401四年级一班20103713251802100301戴旭12003/11/30141401四年级一班20103713251802100311何宽12004/02/25141401四年级一班20103713251802100321代福坤12003/12/27141401四年级一班20103713251802100331邸文哲12004/05/15141401四年级一班20103713251802100341刘悦22004/06/14141401四年级一班20103713251802100351朱婷婷22004/05/21141401四年级一班20103713251802100361马瞻12003/12/14141401四年级一班20103713251802100371高辉12004/04/15141401四年级一班20103713251802100381窦泽晨12004/03/28141401四年级一班20103713251802100391全美晨22003/11/08141401四年级一班20103713251802100401张群静22003-11-8 141401四年级一班20103713251802100411全姝林22004/04/09141401四年级一班20103713251802100423韩硕12004/01/08141401四年级一班20103713251802100431范加宾12004/04/27141401四年级一班20103713251802100441袁月22003/11/09141401四年级一班20103713251802100451姚文杰12004/03/29141401四年级一班20103713251802100461全天骄12004-3-29 141401四年级一班20103713251802100471杨悦22003/10/15141401四年级一班20103713251802100481姜星22004/06/20 141401四年级一班20103713251802100501凌思杰12004-3-29 141401四年级一班20103713251802100511刘玉麒22004-4-18 141401四年级一班20103713251802100521高继国12004-1-28 141402四年级二班20103713251802100531彭舒雅22004/06/20 141402四年级二班20103713251802100541钟如辉12004/08/14 141402四年级二班20103713251802100551钟如晓22003/11/30 141402四年级二班20103713251802100561张政12004/02/27 141402四年级二班20103713251802100571全先厚12004/02/29 141402四年级二班20103713251802100581夏文菲22003/11/06 141402四年级二班20103713251802100591赵亚楠22004/07/04 141402四年级二班20103713251802100601孟祥达12004/03/17 141402四年级二班20103713251802100611杨莹22003/11/14 141402四年级二班20103713251802100621于欣宇22004/07/10 141402四年级二班20103713251802100631赵云哲12004-4-18 141402四年级二班20103713251802100641全晓雪22004/01/13 141402四年级二班20103713251802100651朱学宇12003/12/27 141402四年级二班20103713251802100661张悦22004/08/20 141402四年级二班20103713251802100671常文静22004/07/21 141402四年级二班20103713251802100681全通12004/01/03 141402四年级二班20103713251802100691王政凯12003-12-22 141402四年级二班20103713251802100703赵蒙22003/11/24 141402四年级二班20103713251802100711全虹羽12003/09/01 141402四年级二班20103713251802100721李昂12004/04/23 141402四年级二班20103713251802100731王晴22004/02/06 141402四年级二班20103713251802100741徐建卓12004/08/02 141402四年级二班20103713251802100751杨帆22004/02/22 141402四年级二班20103713251802100761张嘉浩12004/04/02 141402四年级二班20103713251802100771代昊12003/11/26 141402四年级二班20103713251802100781徐雨22003-10-9 141402四年级二班20103713251802100791彭阳12003/12/08 141402四年级二班20103713251802100801齐乐22003/10/20 141402四年级二班20103713251802100811凌宗辉12004-6-5 141402四年级二班20103713251802100821全浩文12003/06/15 141402四年级二班20103713251802100831杨硕22004/02/29 141402四年级二班20103713251802100841刘志安12004/06/16 141402四年级二班20103713251802100851刘烁22003/12/27 141402四年级二班20103713251802100861董亚宁22004/07/23 141402四年级二班20103713251802100871周欣22004/06/02 141402四年级二班20103713251802100881孙昊12004-1-28 141402四年级二班20103713251802100891代磊12004/05/22 141402四年级二班20103713251802100901代也12003-12-22 141402四年级二班20103713251802100911孙心雨22002/03/29 141402四年级二班20103713251802100921黄可欣22003/12/05 141402四年级二班20103713251802100931杨得宁22004/07/16 141402四年级二班20103713251802100941张彤22004-5-10 141402四年级二班20103713251802100951孙颖22004/06/23 141402四年级二班20103713251802100961李朋鑫22004/03/18 141402四年级二班20103713251802100971董家存12004/07/10 141402四年级二班20103713251802100981全德硕12004/03/19 141402四年级二班20103713251802100991于文斌12004/01/07141402四年级二班20103713251802101001陈琳12004-5-10 141402四年级二班20103713251802101011全先蕊22004/06/13 141402四年级二班20103713251802101021李金泽12004/02/21 141402四年级二班20103713251802101031代欣艳22004/01/10 141402四年级二班20103713251802101041彭聪12004-5-9 141402四年级二班20103713251802101051杨孝森12004/05/18 141403四年级三班20103713251802101061张力文22004/07/25 141403四年级三班20103713251802101071魏畅12004/01/20 141403四年级三班20103713251802101083丁瑞12004-6-5 141403四年级三班20103713251802101091全政仰12003/11/30 141403四年级三班20103713251802101101刘国梁12004-5-9 141403四年级三班20103713251802101111杨璐22004/01/03 141403四年级三班20103713251802101121邸昊12003/10/12 141403四年级三班20103713251802101131代婷22004/03/02 141403四年级三班20103713251802101141周慧敏22004/01/11 141403四年级三班20103713251802101151郝薪铭12004/01/28 141403四年级三班20103713251802101161齐焌宏22003/11/25 141403四年级三班20103713251802101171凌敏22004/08/07 141403四年级三班20103713251802101181季旭12004/04/05 141403四年级三班20103713251802101191全飞俏22004/03/06 141403四年级三班20103713251802101201孙德旭12004/08/12 141403四年级三班20103713251802101211张朕宁12003-10-9 141403四年级三班20103713251802101223白文涛12004/05/25 141403四年级三班20103713251802101231孔杰12004/07/05 141403四年级三班20103713251802101241张家坤12004/05/21 141403四年级三班20103713251802101251祝元梦22003/10/30 141403四年级三班20103713251802101261周士诚12004/04/26 141403四年级三班20103713251802101271孙成龙12003/07/20 141403四年级三班20103713251802101281袁呓12003/11/27 141403四年级三班20103713251802101291何庆琨12004/01/26 141403四年级三班20103713251802101311陈佳22003/11/30 141403四年级三班20103713251802101321魏学勤22004/01/16 141403四年级三班20103713251802101331全家慧22004/02/20 141403四年级三班20103713251802101341邸雅涵22004/03/21 141403四年级三班20103713251802101351张淼12004/04/28 141403四年级三班20103713251802101361周笛22004/06/26 141403四年级三班20103713251802101371李益群12003/11/03 141403四年级三班20103713251802101381高强12004/01/09 141403四年级三班20103713251802101391魏晋12003/12/05 141403四年级三班20103713251802101401周文硕22004/07/31 141403四年级三班20103713251802101411姜钇杉22003/11/02 141403四年级三班20103713251802101421赵子铭12003/09/02 141403四年级三班20103713251802101431全得雨12004/09/04 141403四年级三班20103713251802101441曹海涛12004/08/19 141403四年级三班20103713251802101451刘子豪12003/10/24 141403四年级三班20103713251802101471钟梦瑶22004-8-14 141403四年级三班20103713251802101481孙佳晖22003/11/29 141403四年级三班20103713251802101491赵静22004-2-19 141403四年级三班20103713251802101501戚龙春22004-2-5 141403四年级三班20103713251802101511代先成12004-6-2 141403四年级三班20103713251802101521施桂瑞22004-4-7141403四年级三班20103713251802101531代宇馨22004-8-20 141403四年级三班20103713251802101571刘喆22003-11-23 141401四年级一班20103713251802101581郭廓12004-8-16 141401四年级一班20103713251802101591全浩文12003/06/15 141401四年级一班20103713251802101601韩婷婷22003/07/19 141401四年级一班20103713251802101641左长龙12002/09/20 141401四年级一班20103713251902100401祝远玉22003/10/05 141402四年级二班20103713251907100321谭成存114 14 14 14 14 14 14 14 14 14 14 14 14 14 14 14 14 14 14 14 14 14 14 14 1414 14 14 14 14 14 14 14 14 14 14 14 14 14 14 14 14 14 14 14 14 14 14 14 14 14 14 14 14 14 14 14 14 14 14 14 14 14 14 14 14 14 14 14 14 14 14 14 14 14 1414 14 14 14 14 14 14 14 14 14 14 14 14 14 14 14 14 14 14 14 14 14 14 14 14 14 14 14 14 14 14 14 14 14 14 14 14 14 14 14 14 14 14 14 14 14 14 14 14 14 1414 14 14 14 14 14 14 14 14 14 14 14 14 14 14 14 14 14 14 14 14 14 14 14 14 14 14 14 14 14 14 14 14 14 14 14 14 14 14 14 14 14 14 14 14 14 14 14 14 14 1414 14 14 14 14 14 14 14 14 14 14 14 14 14 14 14 14 14 14 14 14 14 14 14 14 14 14 14 14 14 14 14 14 14 14 14 14 14 14 14 14 14 14 14 14 14 14 14 14 14 1414 14 14 14 14 14 14 14 14 14 14 14 14 14 14 14 14 14 14 14 14 14 14 14 14 14 14 14 14 14 14 14 14 14 14 14 14 14 14 14 14 14 14 14 14 14 14 14 14 14 1414 14 14 14 14 14 14 14 14 14 14 14 14 14 14 14 14 14 14 14 14 14 14 14 14 14 14 14 14 14 14 14 14 14 14 14 14 14 14 14 14 14 14 14 14 14 14 14 14 14 1414 14 14 14 14 14 14 14 14 14 14 14 14 14 14 14 14 14 14 14 14 14 14 14 14 14 14 14 14 14 14 14 14 14 14 14 14 14 14 14 14 14 14 14 14 14 14 14 14 14 1414 14 14 14 14 14 14 14 14 14 14 14 14 14 14 14 14 14 14 14 14 14 14 14 14 14 14 14 14 14 14 14 14 14 14 14 14 14 14 14 14 14 14 14 14 14 14 14 14 14 1414 14 14 14 14 14 14 14 14 14 14 14 14 14 14 14 14 14 14 14 14 14 14 14 14 14 14 14 14 14 14 14 14 14 14 14 14 14 14 14 14 14 14 14 14 14 14 14 14 14 1414 14 14 14 14 14 14 14 14 14 14 14 14 14 14 14 14 14 14 14 14 14 14 14 14 14 14 14 14 14 14 14 14 14 14 14 14 14 14 14 14 14 14 14 14 14 14 14 14 14 1414 14 14 14 14 14 14 14 14 14 14 14 14 14 14 14 14 14 14 14 14 14 14 14 14 14 14 14 14 14 14 14 14 14 14 14 14 14 14 14 14 14 14 14 14 14 14 14 14 14 1414 14 14 14 14 14 14 14 14 14 14 14 14 14 14 14 14 14 14 14 14 14 14 14 14 14 14 14 14 14 14 14 14 14 14 14 14 14 14 14 14 14 14 14 14 14 14 14 14 14 1414 14 14 14 14 14 14 14 14 14 14 14 14 14 14 14 14 14 14 14 14 14 14 14 14 14 14 14 14 14 14 14 14 14 14 14 14 14 14 14 14 14 14 14 14 14 14 14 14 14 1414 14 14 14 14 14 14 14 14 14 14 14 14 14 14 14 14 14 14 14 14 14 14 14 14 14 14 14 14 14 14 14 14 14 14 14 14 14 14 14 14 14 14 14 14 14 14 14 14 14 1414 14 14 14 14 14 14 14 14 14 14 14 14 14 14 14 14 14 14 14 14 14 14 14 14 14 14 14 14 14 14 14 14 14 14 14 14 14 14 14 14 14 14 14 14 14 14 14 14 14 1414 14 14 14 14 14 14 14 14 14 14 14 14 14 14 14 14 14 14 14 14 14 14 14 14 14 14 14 14 14 14 14 14 14 14 14 14 14 14 14 14 14 14 14 14 14 14 14 14 14 1414 14 14 14 14 14 14 14 14 14 14 14 14 14 14 14 14 14 14 14 14 14 14 14 14 14 14 14 14 14 14 14 14 14 14 14 14 14 14 14 14 14 14 14 14 14 14 14 14 14 1414 14 14 14 14 14 14 14 14 14 14 14 14 14 14 14 14 14 14 14 14 14 14 14 14 14 14 14 14 14 14 14 14 14 14 14 14 14 14 14 14 14 14 14 14 14 14 14 14 14 1414 14 14 14 14 14 14 14 14 14 14 14 14 14 14 14 14 14 14 14 14 14 14 14 14 14 14 14 14 14 14 14 14 14 14 14 14 14 14 14 14 14 14 14 14 14 14 14 14 14 1414 14 14 14 14 14 14 14 14 14 14 14 14 14 14 14 14 14 14 14 14 14 14 14 14 14 14 14 14 14 14 14 14 14 14 14 14 14 14 14 14 14 14 14 14 14 14 14 14 14 1414 14 14 14 14 14 14 14 14 14 14 14 14 14 14 14 14 14 14 14 14 14 14 14 14 14 14 14 14 14 14 14 14 14 14 14 14 14 14 14 14 14 14 14 14 14 14 14 14 14 1414 14 14 14 14 14 14 14 14 14 14 14 14 14 14 14 14 14 14 14 14 14 14 14 14 14 14 14 14 14 14 14 14 14 14 14 14 14 14 14 14 14 14 14 14 14 14 14 14 14 1414 14 14 14 14 14 14 14 14 14 14 14 14 14 14 14 14 14 14 14 14 14 14 14 14 14 14 14 14 14 14 14 14 14 14 14 14 14 14 14 14 14 14 14 14 14 14 14 14 14 1414 14 14 14 14 14 14 14 14 14 14 14 14 14 14 14 14 14 14 14 14 14 14 14 14 14 14 14 14 14 14 14 14 14 14 14 14 14 14 14 14 14 14 14 14 14 14 14 14 14 1414 14 14 14 14 14 14 14 14 14 14 14 14 14 14 14 14 14 14 14 14 14 14 14 14 14 14 14 14 14 14 14 14 14 14 14 14 14 14 14 14 14 14 14 14 14 14 14 14 14 1414 14 14 14 14 14 14 14 14 14 14 14 14 14 14 14 14 14 14 14 14 14 14 14 14 14 14 14 14 14 14 14 14 14 14 14 14 14 14 14 14 14 14 14 14 14 14 14 14 14 1414 14 14 14 14 14 14 14 14 14 14 14 14 14 14 14 14 14 14 14 14 14 14 14 14 14 14 14 14 14 14 14 14 14 14 14 14 14 14 14 14 14 14 14 14 14 14 14 14 14 1414 14 14 14 14 14 14 14 14 14 14 14 14 14 14 14 14 14 14 14 14 14 14 14 14 14 14 14 14 14 14 14 14 14 14 14 14 14 14 14 14 14 14 14 14 14 14 14 14 14 1414 14 14 14 14 14 14 14 14 14 14 14 14 14 14 14 14 14 14 14 14 14 14 14 14 14 14 14 14 14 14 14 14 14 14 14 14 14 14 14 14 14 14 14 14 14 14 14 14 14 1414 14 14 14 14 14 14 14 14 14 14 14 14 14 14 14 14 14 14 14 14 14 14 14 14 14 14 14 14 14 14 14 14 14 14 14 14 14 14 14 14 14 14 14 14 14 14 14 14 14 1414 14 14 14 14 14 14 14 14 14 14 14 14 14 14 14 14 14 14 14 14 14 14 14 14 14 14 14 14 14 14 14 14 14 14 14 14 14 14 14 14 14 14 14 14 14 14 14 14 14 1414 14 14 14 14 14 14 14 14 14 14 14 14 14 14 14 14 14 14 14 14 14 14 14 14 14 14 14 14 14 14 14 14 14 14 14 14 14 14 14 14 14 14 14 14 14 14 14 14 14 1414 14 14 14 14 14 14 14 14 14 14 14 14 14 14 14 14 14 14 14 14 14 14 14 14 14 14 14 14 14 14 14 14 14 14 14 14 14 14 14 14 14 14 14 14 14 14 14 14 14 1414 14 14 14 14 14 14 14 14 14 14 14 14 14 14 14 14 14 14 14 14 14 14 14 14 14 14 14 14 14 14 14 14 14 14 14 14 14 14 14 14 14 14 14 14 14 14 14 14 14 1414 14 14 14 14 14 14 14 14 14 14 14 14 14 14 14 14 14 14 14 14 14 14 14 14 14 14 14 14 14 14 14 14 14 14 14 14 14 14 14 14 14 14 14 14 14 14 14 14 14 14。
年级编号班级编号班级名称学号民族代码姓名性别出生日期家庭住址211七12013340011张永娅22001-01-12永和镇垛丁村211七12013340021倪浩瀚12002-01-13雍阳镇长征街211七12013340031吴跃东22000-01-19永和镇袁山村211七12013340041郑道先22001-01-14永和镇龙山村211七12013340051夏文兰22001-01-29永和镇文家场211七12013340061余文斌12000-01-05永和镇开坪村211七12013340071犹勇12001-01-16永和镇萍水村211七12013340081刘红22001-01-07永和镇悦来村211七12013340091曾义奎12000-01-02永和镇长岭村211七12013340101雷仕银12001-01-18永和镇垛丁村211七12013340111倪祖涛12000-01-29永和镇长岭村211七12013340121李桂芳22000-01-16老坟嘴牛坡村211七12013340131吴登成12002-01-20永和镇黑山村211七12013340141段仕云12000-01-17永和镇开坪村211七12013340151李永江11999-01-08老坟嘴两岔村211七12013340161李少英22000-01-29老坟嘴两岔村211七12013340171胡生立11998-01-25永和镇袁山村211七12013340181赵池12000-01-07永和镇金薅村211七12013340191罗路22001-01-05永和镇龙山村211七12013340201吴江洪12000-01-24永和镇安庄村211七12013340211刘健22000-01-28永和镇兰水村211七12013340221胡鹏骏12001-01-20永和镇长征街78-1号211七12013340231蔡义香22000-07-28永和镇白水河211七12013340246杨城12004-01-20永和镇金薅村211七12013340251李发贵12001-01-29永和镇金薅村211七12013340261朱明会22000-01-25永和镇柴花村211七12013340271汤德壮11999-01-14永和镇白水河211七12013340281李圣红22000-01-24永和镇白水河211七12013340291余坤12001-01-03永和镇后坝村211七12013340301陈德康12001-01-27永和镇萍水村211七12013340311任仕莲22000-01-04永和镇垛丁村211七12013340321雷雯22000-01-19永和镇垛丁村211七12013340331刘兴耀12001-01-09永和镇袁山村211七12013340341蒋光艳22000-01-05永和镇袁山村211七12013340351王林12000-11-02永和镇袁山村211七12013340361宋干文12000-01-10永和镇安庄村211七12013340371肖英22000-01-10老坟嘴红梅村211七12013340381陈飘11999-01-16永和镇柴花村211七12013340391龙小婷22000-01-29永和镇袁山村212七22013340401熊成12001-06-02永和镇安装村5-1号212七22013340411黄家荣22001-10-15永和镇安装村212七22013340421徐国华12001-09-17永和镇安装村212七22013340431向媛22000-06-03永和镇安装村16号212七22013340441蒋世丹22000-09-13永和镇安装村51-1号212七22013340451郑光瑶22002-03-09永和镇安装村212七22013340461张顺12000-07-23永和镇安装村18号212七220133404723宋干昌12000-03-03永和镇安装村212七22013340481李玲21999-01-13永和镇垛丁村212七22013340491李福飘21998-03-15永和镇垛丁村212七22013340501雷世琴22000-09-12永和镇垛丁村212七22013340511雷成英22001-08-23永和镇垛丁村212七22013340521赵芸22000-09-16永和镇垛丁村212七22013340531敖小凤21999-10-01永和镇垛丁村17号212七22013340541雷仕欢22001-11-09永和镇金薅村212七22013340551穆江12001-07-07永和镇金薅村212七22013340561余香梅22000-04-29永和镇金薅村212七22013340571秦超12000-12-01永和镇金薅村212七22013340581田星22001-12-22永和镇金薅村1号212七22013340591易宏21999-11-30永和镇萍水村50号212七22013340601袁绍江12000-08-15永和镇萍水村212七22013340611兰锋12001-09-14永和镇黑山村212七22013340621欧发丽22001-03-01永和镇开坪村212七22013340631王才芳22001-06-29永和镇开坪村212七22013340641蔡义奎12001-08-11永和镇开坪村212七22013340651刘朝琴21998-04-05永和镇袁山村212七22013340661向银银22001-02-24永和镇柴花村212七22013340671费梦单22001-03-17永和镇长岭村17号212七22013340681郑道江12001-01-01永和镇长岭村9号212七22013340691陈玉宇22001-01-10永和镇兰水村212七22013340701阮利丽21999-06-09永和镇兰水村212七22013340711王乾梦22001-04-29永和镇兰水村212七22013340721王乾浪12001-04-24永和镇兰水村212七22013340731杭家云12002-02-11老坟嘴乡红梅212七22013340741葛登会22000-03-11老坟嘴乡红梅212七22013340751葛登缘12000-08-24老坟嘴乡牛坡212七22013340761袁霞22000-12-09老坟嘴乡两岔212七22013340776白老大11999-11-29老坟嘴乡木孔212七22013340786石胜军11999-09-26老坟嘴乡木孔212七22013340791丘友荣22000-08-09老坟嘴乡木孔212七22013340801黄星霖22000-11-25否213七32013340811雷照丽22000-10-29黄平县浪洞乡213七32013340821袁铕林12002-09-11永和镇开坪村213七32013340831袁友碧22001-12-17永和镇开坪村213七32013340846袁有涛12001-02-12永和镇开坪村213七32013340851韩春花22000-03-01永和镇开坪村213七32013340866陈明凤22001-05-15老坟嘴乡木孔213七32013340871黄钰淋22001-02-03永和镇袁山村213七32013340881刘希飞22000-05-24永和镇金薅河213七32013340891邬培棋22000-07-11永和镇安庄村213七32013340901陈康12000-06-26永和镇朵丁村213七32013340911陈希21999-09-14永和镇金薅村213七32013340921张开凤22000-11-07永和镇金薅村213七32013340931袁福成12001-05-11永和镇后坝村213七32013340941腾招勇12000-09-22老坟嘴乡红梅213七32013340951葛登洋12000-03-11老坟嘴乡红梅213七32013340961陈运12000-10-01永和镇悦来村213七32013340971肖瑶22001-04-18永和镇文家场213七32013340981罗焕龙12000-11-23永和镇袁山村213七32013340991徐景22001-07-17老坟嘴乡红梅213七32013341001李茂清22000-09-23永和镇垛丁村213七32013341011杨康12000-11-20永和镇金薅村213七32013341021余洪江12001-12-02湄潭县石莲乡213七32013341031宋玉淋12000-06-29永和镇垛丁村213七32013341041袁波12000-06-07牛坡村庞家屋213七32013341051唐龙12000-12-14永和镇悦来村213七32013341061周徐11999-11-06湄潭县新南乡213七32013341071王阳琴22001-06-11永和镇萍水村213七32013341081王仲杰12001-06-22永和镇萍水村213七32013341091梁林12001-09-22永和镇文家场213七32013341106杨丹22000-10-12永和镇金薅村213七32013341111穆安12001-10-25永和镇金薅村213七32013341121安仕举12001-05-27永和镇长岭村213七32013341131蒋世玉12000-04-13永和镇安庄村213七32013341141龙静22000-10-07牛坡村岩林组213七32013341156胡玉涛11999-03-11永和镇长岭村213七32013341161胡生前12000-10-01永和镇长岭村213七32013341176杨同杰12001-03-27永和镇金薅村214七42013341181王军11999-09-28瓮安县永和镇214七42013341191向应清12000-06-03瓮安县永和镇22 214七42013341201毛万香22000-09-20瓮安县老坟嘴214七42013341211钟丹22000-04-17瓮安县永和镇28 214七42013341221杨莉22001-09-02瓮安县永和镇214七42013341231叶乐健12000-10-10瓮安县永和镇32 214七42013341241陈小珊22000-07-11瓮安县永和镇214七42013341251郑大波12000-08-21瓮安县永和镇214七42013341261伍证研22001-05-07老坟嘴乡关塘214七42013341271王云秋21999-10-09瓮安县永和镇214七42013341281李绍东11999-06-24瓮安县永和镇214七42013341291柏国江12000-02-18瓮安县永和镇214七42013341301李典澄12000-02-04瓮安县永和镇214七42013341311蒋兴彬12000-02-04瓮安县永和镇214七42013341321徐芳22002-12-19瓮安县候场镇214七42013341331兰兴宽11999-12-15瓮安县永和镇214七42013341341黄泽忠12000-09-11瓮安县永和镇214七42013341351杨章会21999-12-04瓮安县永和镇214七42013341361杨章愉22000-11-11瓮安县永和镇214七42013341376李彩云22000-07-11瓮安县永和镇22214七42013341381彭友11999-08-06瓮安县永和镇214七42013341391罗梁平11999-10-26瓮安县永和镇214七42013341401颜广宏22000-07-25瓮安县永和镇214七42013341411罗天星22000-07-03瓮安县老坟嘴214七42013341421黄志娇22001-10-22瓮安县永和镇214七42013341431梁大芝22000-04-23瓮安县永和镇214七42013341446王艳22002-04-23瓮安县永和镇214七42013341451夏文香22001-04-04瓮安县永和镇214七42013341461程中会22000-05-07瓮安县永和镇214七42013341471杨成坤12001-09-06瓮安县永和镇214七42013341481赵淇12000-11-17瓮安县永和镇214七42013341491李绍辉12000-12-12瓮安县永和镇214七42013341501雷超11999-08-15瓮安县永和镇组34号214七42013341511欧美琳22001-07-11瓮安县永和镇214七42013341521罗彩红21999-09-26瓮安县永和镇214七42013341531李怡霖12000-06-26瓮安县永和镇214七42013341546王青22000-05-23瓮安县老坟嘴214七42013341551袁瑞隆12000-03-05瓮安县永和镇214七42013341561胡深映12001-10-24瓮安县永和镇40 214七42013341571叶仕豪12002-08-24瓮安县永中学2281八120123400011曹江涛12000-08-05永和镇金薅村2281八120123400027吴鑫11999-07-10永和镇黑山村2281八120123400036蒙凯福12000-01-06永和镇车地白2281八120123400046朱天凤21999-04-13永和镇兰水村2281八120123400051王宝彪12000-02-15永和镇悦来村2281八120123400065周兴梅21999-01-21永和镇金薅村2281八120123400071商体愿11999-02-16永和镇开坪村2281八120123400081蔡霞21999-04-29永和镇后坝村2281八120123400091何应菊21999-08-25永和镇柴花村2281八120123400101凌定梅21999-07-14永和镇长岭村2281八120123400111尹泽银22000-09-10永和镇龙山村2281八120123400121张其伟11999-09-20永和镇安庄村2281八120123400131张德亮11999-07-12永和镇文家场2281八120123400141周军12000-02-08永和镇黑山村2281八120123400151吴洪霞21999-07-11永和镇安庄村2281八120123400161黄秀清21999-09-05永和镇长岭村2281八120123400171熊志荣21998-07-23永和镇柴花村2281八120123400181周阳阳11998-11-26永和镇开坪村2281八120123400197罗万伦11999-10-15永和镇黑山村2281八120123400201余秋菊21999-08-06永和镇后坝村2281八120123400212黄利11999-09-23永和镇金薅村2281八120123400222赵形星22001-05-10永和镇萍水村2281八120123400231彭香21998-06-22永和镇萍水村2281八120123400241王丽21999-06-12永和镇白水河2281八120123400251王忠凤22000-03-23永和镇车地村2281八120123400261王继尧21999-09-04永和镇萍水村2281八120123400271陈娅21999-05-25永和镇垛丁村2281八120123400281雷斗星11999-09-11永和镇垛丁村2281八120123400291熊志燕21999-08-11永和镇柴花村2281八120123400301陈坤11999-02-06永和镇文家场2281八120123400312杨尚琴21999-03-12永和镇金薅村2281八120123400321颜利霞21999-07-05永和镇安庄村2281八120123400331罗刚11999-11-12永和镇萍水村2281八120123400341李曼21999-07-06永和镇文家场2281八120123400355李涛11999-10-26老坟嘴红梅2281八120123400361田景坤11999-10-21永和镇安庄村2281八120123400371张国福11999-10-06永和镇安庄村2281八120123400381赵义琴21999-08-12永和镇金薅村2281八120123400391刘之远11999-11-24永和镇柴花村2281八120123400401吕显美22000-03-23永和镇文家场2281八120123400411刘恒11998-08-16永和镇白水河2281八120123400421杨博11999-07-24永和镇后坝村2281八120123400431伍涛11997-12-15老坟嘴2281八120123400441李紫念22000-05-02永和镇袁山村2281八120123400451谭显进11999-08-26永和镇萍水烂2281八120123400461郑仕银12000-06-25永和镇袁山村2281八120123400471唐艳21999-09-27永和镇文家场2281八120123400481罗万会21998-10-23永和镇黑山村2281八120123400491倪兴洪12000-05-22永和镇袁山村2281八120123400501徐吉星11998-12-14永和镇柴花村2281八120123400511蔡义林11996-12-12永和镇开坪村2281八120123400521赵玉琴21998-12-06永和镇开坪小2281八120123400537吴国华11999-10-08永和镇黑山村2281八120123400541吴娅娅21999-03-26永和镇袁山村2281八120123400551夏义梅21998-12-06永和镇安庄村2282八220123400561陈德银22000-01-16永和镇萍水村2282八220123400572陈瑞12000-01-14永和镇永和中2282八220123400581陈炬12000-01-01永和镇垛丁村2282八220123400591肖琴琴21999-01-18永和镇长岭村2282八220123400601黎安武12000-01-19永和镇袁山村2282八220123400611王光河11999-07-15永和镇金薅村2282八220123400621刘孟先22001-01-05永和镇车地村2282八220123400631王金莲22000-05-04永和镇开坪村2282八220123400641杨正乾12000-01-19永和镇袁山村2282八220123400651张恒11998-09-09永和镇文家场2282八220123400661赵仕艺21999-07-08永和镇龙山村2282八220123400671雷仕吉21999-01-05永和镇垛丁村2282八220123400681蒋昌闻22000-08-15永和镇长岭村2282八220123400691王光文11999-01-04永和镇金薅村2282八220123400701罗成兵11998-01-01永和镇金薅村2282八220123400711汤德永11998-01-24永和镇悦来村2282八220123400721何江龙12001-01-02永和镇袁山村2282八220123400731张祥荣22000-01-18永和镇龙山村2282八220123400741兰成11999-01-01永和镇萍水村2282八220123400751李绍庭22000-01-12永和镇安庄村2282八220123400762黄旭11999-01-26永和镇开坪村2282八220123400771宋其顺22000-01-19永和镇萍水村2282八220123400781陈龙11997-01-22永和镇后坝村2282八220123400791周小川11999-01-12永和镇龙山村2282八220123400807张仕梅21999-01-08永和镇垛丁村2282八220123400811刘云22000-01-02永和镇悦来村2282八220123400821王再田11999-01-27永和镇金薅村2282八220123400832陈美龙11999-01-18永和镇兰水村2282八220123400841杨菊22001-01-10永和镇垛丁村2282八220123400852梁蓉21997-01-16永和镇垛丁村54号2282八220123400861王先群21998-01-13永和镇开坪村2282八220123400871杭家梦11997-01-12永和镇兰水村2282八220123400881黄富11999-01-11永和镇金薅村2282八220123400891犹微22002-01-18永和镇萍水村19号2282八220123400901吴瑶21999-01-12永和镇开坪村2282八220123400911汤德福11998-01-13永和镇悦来村2282八220123400921蒲勇12000-01-20永和镇金薅村2282八220123400931曹昌围22000-01-02永和镇文家场2282八220123400941潘星勇11999-01-16永和镇开坪村2282八220123400951刘仁凤21997-01-15永和镇袁山村2282八220123400961张祥松11998-01-25永和镇龙山村2282八220123400971李恩运11999-01-25永和镇袁山村2282八220123400981黄时梅21999-01-12永和镇柴花村2282八220123400991余文路21999-01-17永和镇开坪村2282八220123401001袁天云12000-01-11岚关乡大坪村2282八220123401011龙美宏11997-01-25老坟嘴乡红梅2282八220123401021滕招应21999-01-12老坟嘴乡红梅2282八220123401031张忠尧11999-01-04草塘镇新华磷2282八220123401041赵寿林11999-01-05老坟嘴乡红梅2282八220123401051陈德颖11999-01-14草塘镇各水坝2282八220123401061白俊憬22000-01-24老坟嘴乡两岔2282八220123401071伍康11999-01-24老坟嘴乡木孔2282八220123401081黎赵伟12000-01-17老坟嘴乡牛坡2282八220123401092陆湘22000-01-23平塘县甘塘乡2283八320123401101张瑶21999-01-22文家场村坳上2283八320123401111廖华艳21998-01-19柴花村柴花组2283八320123401121黄菊香21999-01-19龙山村龙泡水2283八320123401131梁丽22000-01-10文家场村泡木2283八320123401141罗荣发12000-01-07龙山村板山组2283八320123401151侯丽伶21999-01-08垛丁村龙滩河2283八320123401161秦棚11999-01-19开坪村牛尾坪2283八320123401171刘福11998-01-21车地村凉水井2283八320123401186王有成12000-01-14萍水村上苗塘2283八320123401191陈美凤21999-01-11兰水村上屋基2283八320123401201段小欢21999-01-17开坪村大石头2283八320123401211熊文杰11998-01-06文家场村大院2283八320123401221王庆21999-01-03袁山村团坡组2283八320123401231任晓伟12000-01-08开坪村桥边组2283八320123401241李少强12000-01-17安庄村安庄组2283八320123401251王念21999-01-25黑山村高田坎2283八320123401261王科成11999-01-15袁山村团坡组2283八320123401271袁友先21999-01-11开坪村兰坡组2283八320123401281杨小英21996-01-12车地村水平组2283八320123401291陈小萍21999-01-25袁山村团坡组2283八320123401301田景红21999-01-23悦来村朵雷组2283八320123401311黄青祥11999-01-22长岭村麻阳组2283八320123401321刘刚11998-01-03些花村田香寨2283八320123401331龙家灿21999-01-05袁山村过岗寨2283八320123401346龙金波12000-01-13袁山村岩底组2283八320123401356龙金州11999-01-07袁山村岩底组2283八320123401361况桂花21999-01-13袁山村大林组2283八320123401371杨婷21998-01-13袁山村岩底组2283八320123401381陈小梦21999-01-17袁山村山冲组2283八320123401391费德群21999-01-18车地村凉水井2283八320123401401肖飘21998-01-18悦来村后寨组2283八320123401411郑静21996-01-21袁山村青塘组2283八320123401421廖天福11999-01-17黑山村黄通水2283八3201234014337丁国杰11999-01-09黑山村洗脸塘2283八320123401441赵芬21999-01-06金薅村马路一2283八320123401451郑雯心21999-01-25长岭村旧寨组2283八320123401461刘璐21999-01-15垛丁村沙泥坑2283八320123401471陈志权11999-01-12开坪村红塘组2283八320123401481刘朝明11999-01-22开坪村毛栗寨2283八320123401491胡远堂11999-01-13袁山村刘朗坡2283八320123401501李福梅21999-01-11垛丁村沙泥坑2283八320123401511徐菲21999-01-22黑山村木老寨2283八320123401521秦洪帆11998-01-03草塘镇太平村2283八320123401531肖飞21999-01-05老坟嘴乡红梅2283八320123401546王廷波12000-01-13老坟嘴乡红梅2283八320123401556湛琴21999-01-07老坟嘴乡牛坡2283八320123401561王家吉11999-01-13平定营镇堡子2283八320123401571雷兆宝11998-01-13老坟嘴乡牛坡2283八320123401581李贞波11999-01-06老坟嘴乡牛坡2283八320123401596周正伟11999-01-18老坟嘴乡红梅2283八320123401601毛万彬11998-01-18老坟嘴乡牛坡2283八320123401611杨昌云11996-01-21老坟嘴乡两岔2283八320123401621冉成丹21999-01-17老坟嘴乡红梅2283八3201234016315袁福江11999-01-12老坟嘴乡木孔2283八320123401641白里江11998-01-23老坟嘴乡两岔2284八420123401651周乐11999-01-24永和萍水村学2284八420123401661蒋德才11999-01-12永和袁山村龙2284八420123401671黄志成11999-01-17永和长岭村小2284八420123401681黄富福11999-01-13永和袁山村团2284八420123401691肖毅11999-01-28永和黑山村黄2284八420123401701田斌11998-01-11永和龙山村后2284八420123401711杜国欢21999-01-05永和金薅村上2284八420123401721滕飞22000-01-23永和龙山村龙2284八420123401731赵永凤21999-01-22永和文家场村2284八420123401741秦祖明11998-01-21永和镇开坪村2284八420123401751梁大元11998-01-15永和镇兰水村2284八420123401761罗盛12000-01-10永和镇金薅村2284八420123401771邹琴21998-01-17永和镇安庄村2284八420123401781王志友11998-01-21永和镇柴花村2284八420123401791廖凤时11998-01-21永和镇安庄村2284八420123401801张红21999-01-20永和镇金薅村2284八420123401811陈小念21999-01-07永和镇袁山村2284八420123401821余涛11999-01-27永和镇袁山村2284八420123401831石巍11999-01-04永和镇金薅下2284八420123401841吕贤念21999-01-22永和镇文家场2284八420123401851伍超11999-01-09永和镇袁山村2284八420123401861邬潇毅12000-01-28安庄村邬家院2284八420123401871周斌11999-01-17长岭村麻阳组2284八420123401881吴美玲22000-01-26袁山村灰堡塘2284八420123401891钱兴宇11999-01-02金薅村上三招2284八420123401906杨涛11999-01-04长岭村大土坪2284八420123401911黄坤11999-01-14柴花村污水组2284八420123401921杨宪洪11999-01-05开坪村茶头河2284八420123401931田景银11999-01-23安庄村打卦冲2284八420123401941商杨11999-01-27开坪村毛栗寨2284八420123401951雷瑶21999-01-06朵丁村老寨子2284八420123401961刘雪丽21999-01-24金薅村下三招2284八420123401971樊雯22000-01-04长岭村麻阳组2284八420123401981穆红21999-01-04金薅石关2284八420123401991余香艳21999-01-26金薅村下三招2284八420123402001代启兵11998-01-26开坪大石头2284八420123402011陈杰12000-01-04永和萍水干塘2284八420123402021胡万黎11997-01-05雍阳镇文峰南2284八420123402031邓良剽11997-01-04雍阳镇东村村2284八420123402041袁瑞吉12000-01-28老坟嘴红梅村2284八420123402051祝立超11997-01-04老坟嘴红梅村2284八420123402061白明超11999-01-23老坟嘴木孔村2284八420123402071周顺发11999-01-08老坟嘴牛坡村2284八420123402081贺明睿22000-01-13猴场镇和平街2284八420123402091王娇22000-01-09老坟嘴木孔村2284八420123402101冉俊11999-01-21老坟嘴红梅村2284八420123402111伍光艺22000-01-07小河山乡石板2284八4201234021237罗立鲜21999-01-08老坟嘴红梅村2284八420123402131冷越飞11998-01-25老坟嘴红梅村2284八420123402141滕召亮11999-01-23老坟嘴红梅村2284八420123402151滕招攀12000-01-14老坟嘴红梅村2284八420123402161周娇娇22000-01-08老坟嘴牛坡村2284八420123402171袁建12000-01-27老坟嘴牛坡村2284八420123402181白萍21998-01-25老坟嘴木孔村2391九120113400021蔡文财11998-08-23永和柴花村塘2391九120113400031罗伦11997-09-11永和柴花村污2391九120113400041何应奎11997-08-23永和柴花村乌2391九120113400051蔡飘11998-03-25永和车地龙井2391九120113400061曾丹21999-05-16永和悦来小庄2391九120113400076汤小美21998-09-11永和悦来营上2391九120113400081袁友涛11998-03-12永和悦来后寨23号2391九120113400091陈漫21999-02-14永和后坝小屯2391九120113400101蔡浪11998-02-04永和后坝蔡家2391九120113400111胡远倩21999-05-10永和袁山青塘16号2391九120113400121杨敏21998-01-17永和袁山岩底30号2391九120113400131杨玉涛11999-04-15永和袁山沙溪4号2391九120113400141黄玉华11997-06-18永和袁山团坡2391九120113400151尚官卫11999-01-11永和开坪高庄19号2391九120113400161王金保11998-09-17永和开坪枫香2391九120113400171李青21998-12-25永和开坪杜家2391九120113400181郭家静11994-09-14永和萍水干塘23号2391九120113400191赵行美21999-02-15永和萍水上新2391九120113400206王有兵11998-05-06永和萍水上苗1号2391九120113400211犹斌11999-05-19永和黑山围墙2391九120113400221石婷21998-02-11永和金薅三招2391九120113400236杨成丽21998-04-18永和金薅杨家2391九120113400241赵露21999-01-19永和金薅三招2391九120113400251刘奉友11998-01-14永和金薅余家2391九120113400261刘言春11998-05-16永和金薅院子2391九120113400271熊成伟11998-05-11永和文家场下2391九120113400281赵永安11998-03-10永和文家场大5号2391九120113400291袁琴21998-11-08永和文家场大5号2391九120113400301余秋红11997-12-15永和垛丁蛇昌2391九120113400311刘建11999-02-11永和街上2391九120113400321犹香俊11998-12-18永和安庄打卦2组32号2391九120113400331何璇22000-04-12永和中学2391九120113400341郑光美21998-12-04永和安庄组1号2391九120113400351颜彩云21998-07-14永和安庄梨子25号2391九120113400361向荣美21998-04-14永和安庄高坎7号2391九120113400371向德先21999-11-15永和安庄高坎20号2391九120113400381李少娟21998-05-22永和安庄大竹29号2391九120113400391李菊21997-02-23永和安庄田坝16号2391九120113400401袁朝欢21998-02-21永和垛丁瓦厂2391九120113400411陈小宇11998-02-20永和垛丁院子2391九120113400421王乾霞21998-01-11永和兰水樟沟2391九120113400431骆玉烛11999-01-27永和长岭麻阳5号2391九120113400441柏国红21998-10-13永和长岭屯上2391九120113400461李兴岚22001-10-08永和兰水组19号2391九120113400476王廷俊11998-12-14永和长岭旧寨2391九120113400481韩香21998-02-10永和长岭小土2391九120113400491郭芬勇11998-02-18岚关乡大坪村2391九120113400501林小丹21999-03-20广西省灵山县18 2391九120113400511姚勇11999-06-27老坟嘴乡木孔2391九120113400521陈凤21999-05-11老坟嘴乡红梅2391九120113400531雷成建11997-04-19老坟嘴乡红梅2391九120113400541杨学前11998-07-25老坟嘴乡红梅2391九120113400551马燕21999-04-14老坟嘴乡木孔2391九1201134005615白明安11999-04-18老坟嘴乡红梅2391九120113400571龙英21998-07-26余庆县小腮镇2391九120113490011蔡文财11998-08-23永和柴花村塘2391九120113490021罗伦11997-09-11永和柴花村污2391九120113490031何应奎11997-08-23永和柴花村乌2391九120113490041蔡飘11998-03-25永和车地龙井2391九120113490051曾丹21999-05-16永和悦来小庄2391九120113490066汤小美21998-09-11永和悦来营上2391九120113490071袁友涛11998-03-12永和悦来后寨23号2391九120113490081陈漫21999-02-14永和后坝小屯2391九120113490091蔡浪11998-02-04永和后坝蔡家2391九120113490101胡远倩21999-05-10永和袁山青塘16号2391九120113490111杨敏21998-01-17永和袁山岩底30号2391九120113490121杨玉涛11999-04-15永和袁山沙溪4号2391九120113490131黄玉华11997-06-18永和袁山团坡2391九120113490141尚官卫11999-01-11永和开坪高庄19号2391九120113490151王金保11998-09-17永和开坪枫香2391九120113490161李青21998-12-25永和开坪杜家2391九120113490171郭家静11994-09-14永和萍水干塘23号2391九120113490181赵行美21999-02-15永和萍水上新2391九120113490196王有兵11998-05-06永和萍水上苗1号2391九120113490201犹斌11999-05-19永和黑山围墙2391九120113490211石婷21998-02-11永和金薅三招2391九120113490226杨成丽21998-04-18永和金薅杨家2391九120113490231赵露21999-01-19永和金薅三招2391九120113490241刘奉友11998-01-14永和金薅余家2391九120113490251刘言春11998-05-16永和金薅院子2391九120113490261熊成伟11998-05-11永和文家场下2391九120113490271赵永安11998-03-10永和文家场大5号2391九120113490281袁琴21998-11-08永和文家场大5号2391九120113490291余秋红11997-12-15永和垛丁蛇昌2391九120113490301刘建11999-02-11永和街上2391九120113490311犹香俊11998-12-18永和安庄打卦2组32号2391九120113490321何璇22000-04-12永和中学2391九120113490331郑光美21998-12-04永和安庄组1号2391九120113490341颜彩云21998-07-14永和安庄梨子25号2391九120113490351向荣美21998-04-14永和安庄高坎7号2391九120113490361向德先21999-11-15永和安庄高坎20号2391九120113490371李少娟21998-05-22永和安庄大竹29号2391九120113490381李菊21997-02-23永和安庄田坝16号2391九120113490391袁朝欢21998-02-21永和垛丁瓦厂2391九120113490401陈小宇11998-02-20永和垛丁院子2391九120113490411王乾霞21998-01-11永和兰水樟沟2391九120113490421骆玉烛11999-01-27永和长岭麻阳5号2391九120113490431柏国红21998-10-13永和长岭屯上2391九120113490441李兴岚22001-10-08永和兰水组19号2391九120113490456王廷俊11998-12-14永和长岭旧寨2391九120113490461韩香21998-02-10永和长岭小土2391九120113490471郭芬勇11998-02-18岚关乡大坪村2391九120113490481林小丹21999-03-20广西省灵山县18 2391九120113490491姚勇11999-06-27老坟嘴乡木孔2391九120113490501陈凤21999-05-11老坟嘴乡红梅2391九120113490511雷成建11997-04-19老坟嘴乡红梅2391九120113490521杨学前11998-07-25老坟嘴乡红梅2391九120113490531马燕21999-04-14老坟嘴乡木孔2391九1201134905415白明安11999-04-18老坟嘴乡红梅2391九120113490551龙英21998-07-26余庆县小腮镇2392九220113490561何花21998-01-15袁山村新庄组2392九220113490571郭英21997-01-05长岭村坝尾组2392九220113490581刘光明11997-01-20兰水村兰木组2392九220113490591王兴林21997-01-18长岭村麻阳组2392九220113490601杨玉芳21999-01-16老坟嘴乡牛坡2392九220113490611赵启龙11995-01-09金薅村下田组2392九220113490621欧腊梅21998-01-07龙山村祠堂上2392九220113490631宋大全11998-01-16柴花村乌木上2392九220113490641蔡相蓝21999-01-13小河山乡石板2392九220113490651刘玲21998-01-17建中镇军坡村2392九220113490661梁庆霜21999-01-10长岭村小土组2392九220113490671李才菊21997-01-16袁山村田坝组2392九220113490681雷诗娇21999-01-09垛丁村垛丁组2392九220113490691杨章静21998-01-26文家场村大寨2392九220113490701廖益松12000-01-27开坪村兴阳组2392九220113490711陈德慧21996-01-26开坪村小仓组2392九220113490721蔡利发11998-01-14车地村水平组2392九220113490731周全胜11998-01-13金薅村下三招2392九220113490742杨芳21998-01-10安庄村塘冲组2392九220113490751罗明宏11997-01-15开坪村小仓山2392九220113490761郭进21997-01-13兰水村枧田组2392九220113490771余瑞11998-01-12悦来村后寨组2392九220113490782段仲鑫11998-01-12萍水村上新寨2392九220113490791黄贤虎11998-01-08开坪村江家坡2392九220113490801田运美21998-01-16金薅村下高坡2392九220113490811唐娅睿21998-01-08萍水村苏麻凼2392九220113490821张德丹21998-01-19文家场村坳上2392九220113490831李顺菊21995-01-24开坪村杜家院2392九220113490841黄光银21998-01-03悦来村马龙庄2392九220113490851黎锋11997-01-26柴花村乌木组2392九220113490861雷方21997-01-10后坝村洞头组2392九220113490871宋江维21998-01-20后坝村相车河2392九220113490881胡深瑜22000-01-26袁山村尖山组2392九220113490891刘希立11993-01-28金薅村河底组2392九220113490901刘恒成11997-01-05开坪村毛栗寨2392九220113490911冯生琴21999-01-16萍水村学堂元2392九220113490921熊昱龙11998-01-10文家场村龙塘2392九220113490931周玉泽11994-01-24安庄村打卦组2392九220113490941陆定春21998-01-20黑山村小井湾2392九220113490951张玉兰21998-01-18后坝村湾子组2392九220113490961徐永会21998-01-26洗马村半坡组2392九220113490971田超11998-01-15龙山村后山坡2392九220113490981陈杰11998-01-23悦来村马龙庄2392九220113490991黄光勇11997-01-29悦来村马龙庄2392九220113491001陈毅11999-01-12文家场村水溪2392九220113491011龙良锦11997-01-25袁山村刘家院2392九220113491021王先兵11997-01-13开坪村枫香坪2392九220113491031马庆11999-01-17老坟嘴乡木孔2392九220113491042吴明珍21996-01-25老坟嘴乡牛坡2392九220113491051凌国桥11997-01-24永和镇长岭村2393九320113491061周姗21999-05-15安庄村马家寨2393九320113491071宋鑫11998-05-11长岭村小土组2393九320113491081刘羽娇21999-05-11垛丁村沙泥坑2393九320113491091胡国清11997-05-17后坝村洞头上2393九320113491101王贵林11997-11-25金薅村烂泥山2393九320113491111赵仕念21998-10-22金薅村三招坪2393九320113491121蒋得江11998-03-22兰水村兰水组2393九320113491131罗仕军11999-10-26萍水村长田坎2393九320113491141李运菊21998-09-04萍水村萍水组2393九320113491151王仲丽22000-02-24萍水村学堂园2393九320113491161徐明海11998-12-22萍水村学堂园2393九320113491176杨吉21998-01-19萍水村杨家院2393九320113491181伍明明11998-02-11洗马袁山组2393九320113491191赵光军11998-12-20袁山村新庄组2393九320113491201何应飘21998-11-23柴花村乌薅冲2393九320113491211胡远群21997-07-28袁山村清塘湾2393九320113491226雷仕桃11998-07-25垛丁村大田头2393九320113491231雷照清21998-08-22垛丁村蛇昌路2393九320113491241倪德露21998-06-08袁山村朵良坪2393九320113491251向长建11997-03-24萍水村高田坎2393九320113491261赵思云11997-11-03金薅村下三招2393九320113491271赵千21999-05-02金薅村上三招2393九320113491281冯树毅21998-06-20袁山村大寨组2393九320113491291李运锋11998-03-15萍水村下苗塘2393九320113491301陈朝顺11998-11-18金薅村上高坡2393九320113491311王毅21998-07-10悦来村小庄组2393九320113491321刘念21999-02-13金薅村下金薅2393九320113491331黄贤发11999-01-26开坪村江家坡2393九320113491341袁福静21999-08-23后坝村田坝组2393九320113491351龚飞远21999-04-12龙山村三块田2393九320113491361熊昱杰11997-02-14垛丁村文家场2393九320113491371倪德权11998-11-06车地村刘家院2393九320113491381雷成维21998-05-25垛丁村老寨子2393九320113491391梁洁21996-08-20文家场村泡木2393九320113491406田茂香21998-05-23老坟嘴乡木孔2393九320113491416杨正涛11997-11-13老坟嘴乡木孔2393九320113491421周正发11997-04-12老坟嘴乡木孔2393九320113491431冯景友11998-05-23老坟嘴乡关塘2393九3201134914415李太琴21996-04-20老坟嘴乡红梅2393九320113491451刘乾俊11998-03-14老坟嘴木孔村2393九320113491461杨前凤21999-02-11草塘桃源村朵2394九420113491471向德武11999-01-15永和镇安庄村2394九420113491481李艳21997-01-06永和镇安庄村2394九420113491491王进阳11997-01-10永和镇安庄村2394九420113491501陈杰11997-01-25永和镇安庄村2394九420113491511向静静21998-01-13永和镇袁山村2394九420113491521胡婷婷21999-01-04永和镇袁山村2394九420113491531郭于莘21999-01-03永和镇袁山村2394九420113491541梁明悦21998-01-20永和镇袁山村2394九420113491551李恩杰11998-01-12永和镇袁山村2394九420113491561余广11999-01-04永和镇袁山村2394九420113491571兰维锋11999-01-02永和镇袁山村2394九420113491581李丹21997-01-25永和镇袁山村2394九420113491591刘接莉21998-01-23永和镇洗马塘2394九420113491601谢德美22001-01-10永和镇后坝村2394九420113491611邓代兴11998-01-24永和镇后坝村2394九420113491621罗国俊11999-01-13永和镇长林村2394九420113491632杨昌琴21998-01-18永和镇长岭村2394九420113491642潘朝云11996-01-14永和镇长岭村2394九420113491651杜明亮11998-01-23永和镇开坪村2394九420113491662潘兴吉22000-01-15永和镇开坪村2394九420113491671尚官胜11998-01-05永和镇开坪村2394九420113491681张强芳11998-01-13永和镇开坪村2394九420113491691凌寅龙11998-01-24永和镇开坪村2394九420113491701王琴21998-01-28永和镇悦来村2394九420113491711祝中琴21997-01-15永和镇悦来村2394九420113491721孙佳玲21999-01-10永和镇悦来村2394九420113491731刘开军11996-01-05永和镇悦来村2394九420113491741肖凤21997-01-11永和镇悦来村2394九420113491751宋明群21998-01-21永和镇柴花村2394九420113491761秦梦21999-01-17永和镇金薅村2394九420113491771赵师峰11997-01-12永和镇金薅村2394九420113491781李兴美21999-01-14永和镇金薅村2394九420113491791简松11998-01-20永和镇黑山村2394九420113491801郝尹平21999-01-11永和镇黑山村2394九420113491811郑明凤21999-01-26永和镇文家场2394九420113491821熊成建11999-01-17永和镇文家场2394九420113491831田维顺11997-01-25永和镇文家场2394九420113491841兰丹21998-01-13永和镇萍水村2394九420113491851王安辉11999-01-17永和镇龙山村2394九420113491861李杰21998-01-20老坟嘴乡牛坡2394九420113491871周鑫11999-01-15老坟嘴乡牛坡2394九420113491881邓旭11998-01-13老坟嘴乡牛坡2394九420113491891宋干俊12000-01-06老坟嘴乡木孔2394九420113491902赵江山11998-01-14老坟嘴乡木孔2394九420113491911赵义仙21996-01-14永和镇长岭村2394九420113491924池恩萍11998-01-27永和镇瓮煤居2394九420113491931赵青11998-01-23永和镇垛丁村2394九420113491941罗浩11998-01-16永和镇后坝村2395九520113491951费顺利21998-06-11柴花塘湾2395九520113491961曾利云21998-05-09白水河村2395九520113491971李小英21996-07-25白水河2395九520113491981王国辉11999-12-04车地水平2395九520113491991龙娅21998-06-12洗马袁山2395九520113492001刘兴11997-05-23洗马后坝2395九520113492011王再兴11999-06-12洗马后坝2395九520113492021郑传静11997-08-02袁山田坝2395九520113492031李秋21998-06-22开坪高庄头2395九520113492041蒋安云11998-02-12开坪桥边2395九520113492051余金怀21997-09-26萍水新房子2395九520113492061张明康11998-06-16萍水下新寨2395九520113492071但德银11999-04-13萍水中新寨2395九5201134920839杨胜利11998-08-25黑山高田坎2395九520113492091徐梅21999-07-12金薅马路2395九520113492101易贵平21998-06-20金薅下金薅2395九520113492111蒋明慧21997-08-24金薅下金薅2395九520113492121赵松群21999-08-02金薅下金薅2395九520113492131谭启伦11998-12-06龙泡水龙山2395九520113492141田铃11998-03-12文家场泡木山2395九520113492151赵永新11997-05-20文家场大院子2395九520113492161肖婷21999-04-26垛丁上街2395九520113492171雷成乾21998-06-23垛丁建设路6号2395九520113492182雷成兰21999-02-18垛丁蛇昌路2395九520113492191雷成霞21998-09-10垛丁打挂冲2395九520113492201王杰11997-04-13安庄新寨2395九520113492211郑开兴11998-03-21长林大土坪2395九520113492221胡祖远11998-11-05长林张坳2395九520113492231冉井富11998-06-21长岭屯上2395九520113492242潘朝国11997-02-24长岭大土坪2395九520113492251向龙浪11997-08-16长岭毛狗塘2395九520113492261王鑫21997-08-25兰水樟沟2395九520113492271徐涛11999-09-11各水坝小王2395九520113492281熊志傲11997-04-12瓮安2395九520113492291李芳22001-04-06福泉金山办事2395九520113492301袁朝群21999-08-20永和镇龙山村2395九520113492311陈科宏11998-06-21永和镇长岭村2395九520113492321罗国香21998-07-23永和镇兰水村2395九520113492331王家乐11999-11-03永和镇金薅村身高体重肺活量50米跑立定跳远坐位体前屈800米跑1000米跑一分钟仰卧起1534221007.8 1.6515.53'49"40 1583824009.4 1.9144'50"1534121008.2 1.85154'03"40 1382914008.3 1.4513.24'32"25 1463721007.5 1.8153'48"34 1594022009.1 2.213.54'42"1423420007.5 1.712.34'43"1472813008.7 1.412.54'14"36 1514719007.8 2.113.54'31"1564214008.0 1.813.54'15"1464225007.8 1.812.54'15"1555218009.2 1.8514.54'35"32 1413121007.9 1.711.54'52"1352616007.6 1.610.54'44"1544421007.6 2.1114'13"1554022008.9 1.8515.63'43"35 1534920007.9 1.611.55'35"1503618008.2 1.67.65'15"1533817008.9 1.65154'14"32 1504117008.1211.55'12"1583621008.5 1.9513.83'42"40 1523424007.6 1.912.54'38"1372816009.5 1.713.54'18"35 1412619007.8 1.910.55'11"1564717007.8 1.78.25'19"1443819008.6 1.7516.53'57"35 1614117007.4 2.158.54'20"1533918008.5215.53'31"45 1544325009.6 1.815.25'23"1463118008.5 1.510.55'45"1483316009.0 1.512.54'00"33 1534214008.9 1.7513.64'11"40 1655528008.5 1.9513.64'51"1403815008.4 1.614.54'23"32 1475121008.2 1.911.54'49"1473823008.3 1.9513.54'49"1566721007.9 1.7513.54'28"36 1564624007.6 1.9512.54'10"1514111008.5 1.412.55'27"25 1564323007.8285'02''1433522009.4 1.6144'06''22 1483823508.2 1.5585'38''1544823008.3 1.7104'13''19 1473518007.5 1.574'0223 1523718509.1 1.45113'59''261453518007.5 1.6185'13'' 1563818508.7 2.1585'01 1484322007.8 1.55183'59''28 1574521008.0 1.85134'19''26 1593720007.8 1.5584'10''20 1583822009.2 1.75124'15''29 1563017007.9 1.694'00''34 1513719007.6 1.8134'07''21 1573815507.6 1.55104'17''24 1433018008.9 1.6585'15'' 1553816007.9 1.45114'05''18 1433518008.2 1.8144'35'' 1443817008.9 1.4584'23''17 1453018008.1 1.55184'14''24 1463119508.5 1.8144'33'' 1553524007.6 1.8555'37'' 1403619009.5 1.5583'56''20 1523714507.8 1.694'25''25 1443418007.8 1.65115'39'' 1533816008.6 1.5584'42''16 1513721007.4 1.75144'07''24 1533823008.5 1.5154'33''21 1433018009.6 1.75124'45'' 1583922008.5 1.794'09''19 1514819009.0 1.6114'03''22 1443418008.9 1.784'05''19 1432819008.5 1.9575'01'' 1422817008.4 1.785'12'' 1523920008.2 1.95124'45''25 1574518008.3 1.75183'35'' 1595023007.9 1.6164'01''25 1433216007.6 1.65155'35'' 1372915008.5 1.55165'45'' 1645419007.8 1.694'08''23 1544021009.4 1.55204'15''18 1484819008.2 1.5145'12''32 1372821008.3 1.5136'01'' 1575016007.5 1.55134'38''31 1412917009.1 1.5576'10'' 1613919007.5 1.764'14''29 1523918008.7 1.55125'03''32 1554418507.8 1.3554'29''30 1483220008.0 1.5184'27''33 1544419007.8 1.6213'56''27 1524718009.2 1.65105'27'' 1494822007.9 1.5196'05''31。
陇县2015年中考体育考试平时考核成绩备案表
校长签名: 填表人签名:
陇县2015年中考体育考试平时考核成绩备案表
校长签名: 填表人签名:
陇县2015年中考体育考试平时考核成绩备案表
校长签名: 填表人签名:
陇县2015年中考体育考试平时考核成绩备案表
校长签名: 填表人签名:
陇县2015年中考体育考试平时考核成绩备案表
校长签名: 填表人签名:
陇县2015年中考体育考试平时考核成绩备案表
校长签名: 填表人签名:
陇县2015年中考体育考试平时考核成绩备案表
校长签名: 填表人签名:
陇县2015年中考体育考试平时考核成绩备案表
校长签名: 填表人签名:
陇县2015年中考体育考试平时考核成绩备案表
校长签名: 填表人签名:
陇县2015年中考体育考试平时考核成绩备案表
校长签名: 填表人签名:
陇县2015年中考体育考试平时考核成绩备案表
校长签名: 填表人签名:
陇县2015年中考体育考试平时考核成绩备案表
校长签名: 填表人签名:。
年级编号班号班级学号民族代码姓名性别出生日期312101初一(1)班500000011蔡成男1998-6-18 312101初一(1)班500000022陈坤文男1998-6-19 312101初一(1)班500000033成龙男1998-6-20 312101初一(1)班500000044何术亮男1998-6-21 312101初一(1)班500000055舒凯男1998-6-22 312101初一(1)班500000066王盛洁男1998-6-23 312101初一(1)班500000077王翔希男1998-6-24 312101初一(1)班500000088王阳滨男1998-6-25 312101初一(1)班500000099王溢森男1998-6-26 312101初一(1)班5000001010徐文涛男1998-6-27 312101初一(1)班5000001111杨成男1998-6-28 312101初一(1)班5000001212杨经银男1998-6-29 322101初一(1)班5000001313杨奕男1997-6-30 322101初一(1)班5000001414余光明男1997-7-1 322101初一(1)班5000001515张汉明男1997-7-2 322101初一(1)班5000001616张晋文男1997-7-3 322101初一(1)班5000001717张锐知男1997-7-4 322101初一(1)班5000001818陈熙臻女1997-7-5 322101初一(1)班5000001919丁奥女1997-7-6 322101初一(1)班5000002020丁怡女1997-7-7 322101初一(1)班5000002121李娜女1997-7-8 322101初一(1)班5000002222罗晔女1997-7-9 322101初一(1)班5000002323毛丽坪女1997-7-10 322101初一(1)班5000002424汤诗琦女1997-7-11 332101初一(1)班5000002525魏舒娴女1996-6-6 332101初一(1)班5000002626向菊女1996-6-7 332101初一(1)班5000002727姚君女1996-6-8 332101初一(1)班5000002828曾漪女1996-6-9 332101初一(1)班5000002929张琪女1996-6-10 332102初一(2)班5000003030蔡建军男1996-6-11 332102初一(2)班5000003131陈飞飞男1996-6-12 332102初一(2)班5000003232陈学斌男1996-6-13 332102初一(2)班5000003333谌柏舟男1996-6-14 332102初一(2)班5000003434程彬男1996-6-15 332102初一(2)班5000003535段守鑫男1996-6-16 332102初一(2)班5000003636付天祺男1996-6-17 2102初一(2)班胡则天男2102初一(2)班李承阳男2102初一(2)班李智男2102初一(2)班吕炎男2102初一(2)班苏庆彬男2102初一(2)班王子轩男2102初一(2)班向世豪男2102初一(2)班熊嘉豪男2102初一(2)班庄斌男2102初一(2)班何依洁女2102初一(2)班胡慧琳女2102初一(2)班李亚苗女2102初一(2)班刘雅珮女2102初一(2)班鲁雨暄女2102初一(2)班闵慧女2102初一(2)班欧阳倩瑶女2102初一(2)班彭婉盈女2102初一(2)班王思女2102初一(2)班杨芳女2102初一(2)班张慧女2102初一(2)班祝静静女2103初一(3)班陈龙男2103初一(3)班陈叶龙男2103初一(3)班林子帆男2103初一(3)班孟云洁男2103初一(3)班宋文清男2103初一(3)班王盛武男2103初一(3)班吴日炎男2103初一(3)班吴琢男2103初一(3)班徐小龙男2103初一(3)班晏茜凡男2103初一(3)班杨辉男2103初一(3)班詹天昊男2103初一(3)班张纯希男2103初一(3)班张俊超男2103初一(3)班周本毅男2103初一(3)班陈雯怡女2103初一(3)班谌雅莉女2103初一(3)班段双金女2103初一(3)班李杜杜女2103初一(3)班梁咏琪女2103初一(3)班彭鑫田女2103初一(3)班沈倩倩女2103初一(3)班涂思盈女2103初一(3)班汪文婷女2103初一(3)班文凡女2103初一(3)班张佩汶女2103初一(3)班张燕女2103初一(3)班朱喆女2104初一(4)班蔡志刚男2104初一(4)班陈奇男2104初一(4)班郭黎华男2104初一(4)班胡梦成男2104初一(4)班李冬宇男2104初一(4)班林志远男2104初一(4)班罗旭男2104初一(4)班孟云浩男2104初一(4)班汪琪强男2104初一(4)班吴飞男2104初一(4)班张超男2104初一(4)班赵云龙男2104初一(4)班周鼎文男2104初一(4)班周涛男2104初一(4)班丁圆女2104初一(4)班付琴云女2104初一(4)班戢艺女2104初一(4)班姜蔓女2104初一(4)班汪琪女2104初一(4)班伍淑雅女2104初一(4)班徐梦瑶女2104初一(4)班徐燕亭女2104初一(4)班许小琼女2104初一(4)班赵京榆女2201初二(1)班A2012006670曹琦男20000210 2201初二(1)班A2012006671陈定豪男20000317 2201初二(1)班A2012006672陈定杰男20000317 2201初二(1)班A2012006673程明辉男20010718 2201初二(1)班A2012006674丁科男20000204 2201初二(1)班A2012006675丁梓靖男20000724 2201初二(1)班A2012006676郭龙男20000718 2201初二(1)班A2012006677韩伟明男19990909 2201初二(1)班A2012006678蒋宇杰男20000216 2201初二(1)班A2012006679廖浩鹏男20000225 2201初二(1)班A2012006680刘程舜男19991126 2201初二(1)班A2012006681罗刚男20000813 2201初二(1)班A2012006682童剑飞男19991222 2201初二(1)班A2012006683王靖男19990920 2201初二(1)班A2012006684吴建军男20000624 2201初二(1)班A2012006685肖佳兴男19990623 2201初二(1)班A2012006686肖天鑫男19991003 2201初二(1)班A2012006687叶昊男19991202 2201初二(1)班A2012006688易唯男19990710 2201初二(1)班A2012006689余涵男20000828 2201初二(1)班A2012006690朱传彪男19980528 2201初二(1)班A2012006691左成男19990905 2201初二(1)班A2012006692陈乐曦女19991216 2201初二(1)班A2012006693陈婷女20001030 2201初二(1)班A2012006694程柯女20000322 2201初二(1)班A2012006695范辉女20000601 2201初二(1)班A2012006696冯惊云女20000816 2201初二(1)班A2012006697冯宇娟女19990614 2201初二(1)班A2012006698付萍女20000526 2201初二(1)班A2012006699耿可欣女19991229 2201初二(1)班A2012006700李鹭女19990920 2201初二(1)班A2012006701李莹女20000213 2201初二(1)班A2012006702刘心怡女19991118 2201初二(1)班A2012006703王晓梅女19991019 2201初二(1)班A2012006704杨思莹女20000601 2201初二(1)班A2012006705叶旻女19991202 2201初二(1)班A2012006706殷琦女20000310 2201初二(1)班A2012006707余孟倩女19991206 2201初二(1)班A2012006708曾佳钰女19991207 2201初二(1)班A2012006709张惠丽女20000512 2201初二(1)班A2012006710张慧女20000902 2202初二(2)班A2012006711丁文强男20000416 2202初二(2)班A2012006712付潼男200007152202初二(2)班A2012006713付志龙男20000711 2202初二(2)班A2012006714高建飞男20000801 2202初二(2)班A2012006715郭赢男19990915 2202初二(2)班A2012006716黄晨男20000118 2202初二(2)班A2012006717黄牧野男20000812 2202初二(2)班A2012006718刘佳龙男20000829 2202初二(2)班A2012006719汪零开男20000103 2202初二(2)班A2012006720王正成男20000624 2202初二(2)班A2012006721向楠男20011030 2202初二(2)班A2012006723杨宇浩男20000819 2202初二(2)班A2012006724袁旭峰男19990828 2202初二(2)班A2012006725张炎男20000721 2202初二(2)班A2012006726张宇男20000920 2202初二(2)班A2012006727章斐然男19991010 2202初二(2)班A2012006728周阳男19991017 2202初二(2)班A2012006729朱天豪男20010628 2202初二(2)班A2012006730祝恒男19991203 2202初二(2)班A2012006731陈天仪女20000320 2202初二(2)班A2012006732陈政怡女20000303 2202初二(2)班A2012006733江珊女19991029 2202初二(2)班A2012006734兰天女19990204 2202初二(2)班A2012006735李梦欣女19991023 2202初二(2)班A2012006736刘梦雪女19991024 2202初二(2)班A2012006737吕婕女20000806 2202初二(2)班A2012006738彭小婷女20010913 2202初二(2)班A2012006739田文静女20000925 2202初二(2)班A2012006740万洋女19980512 2202初二(2)班A2012006741汪心怡女20000201 2202初二(2)班A2012006742肖瑶女20001123 2202初二(2)班A2012006743杨敏女20000907 2202初二(2)班A2012006744杨雯萱女19991013 2202初二(2)班A2012006745杨妍桦女20000804 2202初二(2)班A2012006746余秀雯女20001224 2202初二(2)班A2012006747张逸然女20000317 2202初二(2)班A2012006748赵虎女20000501 2202初二(2)班A2012006749赵薇女19990810 2202初二(2)班A2012006750赵雨静女20001003 2202初二(2)班A2012006751周思薇女20000910 2203初二(3)班A2012006752蔡锷男19991129 2203初二(3)班A2012006753陈恒轩男20000216 2203初二(3)班A2012006754陈子昂男20000117 2203初二(3)班A2012006755邓博文男20000301 2203初二(3)班A2012006756何赛男20000611 2203初二(3)班A2012006757蒋诚诚男20000919 2203初二(3)班A2012006758蒋智力男19990701 2203初二(3)班A2012006759刘海洋男19981021 2203初二(3)班A2012006760刘景男19990913 2203初二(3)班A2012006761刘梓博男19991122 2203初二(3)班A2012006762鲁方庆男19991013 2203初二(3)班A2012006763鲁宏俊男19991119 2203初二(3)班A2012006764吕志伟男199911202203初二(3)班A2012006765潘龙男20000307 2203初二(3)班A2012006766孙通男20000501 2203初二(3)班A2012006767覃祥豪男19991215 2203初二(3)班A2012006768吴作义男19981006 2203初二(3)班A2012006769夏嘉炜男19991107 2203初二(3)班A2012006770熊超男19991028 2203初二(3)班A2012006771徐力男20000801 2203初二(3)班A2012006772徐世奇男19991226 2203初二(3)班A2012006773余里昊男20000411 2203初二(3)班A2012006774张露男20000308 2203初二(3)班A2012006775赵飞男20001003 2203初二(3)班A2012006776陈杨女20000701 2203初二(3)班A2012006777成毛毛女19990822 2203初二(3)班A2012006778胡志情女19980329 2203初二(3)班A2012006779孙琦女20000425 2203初二(3)班A2012006780唐嘉悦女20000618 2203初二(3)班A2012006781万燕芬女19980911 2203初二(3)班A2012006782汪璐女20010110 2203初二(3)班A2012006783王芮姗女19991220 2203初二(3)班A2012006784吴萌女19991029 2203初二(3)班A2012006785徐文希女20000525 2203初二(3)班A2012006786尹茂鑫女19990102 2203初二(3)班A2012006787张千惠女20000223 2203初二(3)班A2012006788赵雨女19990620 2204初二(4)班A2012006789邓帅帅男19990511 2204初二(4)班A2012006790董美扬男19991104 2204初二(4)班A2012006791胡超男20000913 2204初二(4)班A2012006792胡俊涛男20020712 2204初二(4)班A2012006793柯发男19981010 2204初二(4)班A2012006794孔祥瑞男20001005 2204初二(4)班A2012006795雷福明男20000508 2204初二(4)班A2012006796李浩燃男20000713 2204初二(4)班A2012006797李劲龙男20000102 2204初二(4)班A2012006798李齐飞男19990930 2204初二(4)班A2012006799李志全男19990217 2204初二(4)班A2012006800刘鑫男19990130 2204初二(4)班A2012006801邱心雨男20001012 2204初二(4)班A2012006802宋云浩男20000817 2204初二(4)班A2012006803夏海波男19980901 2204初二(4)班A2012006804夏天男20000815 2204初二(4)班A2012006805徐道宽男19990210 2204初二(4)班A2012006806薛纪楷男20000708 2204初二(4)班A2012006807张弛男20001016 2204初二(4)班A2012006808张豪杰男19991207 2204初二(4)班A2012006809郑锴男20010717 2204初二(4)班A2012006810周志刚男19990614 2204初二(4)班A2012006811陈佳瑶女20001111 2204初二(4)班A2012006812胡靖女20000817 2204初二(4)班A2012006813江玥桦女19991027 2204初二(4)班A2012006814李琪女20001006 2204初二(4)班A2012006815陆晨曦女200009192204初二(4)班A2012006816屈婉婷女20000805 2204初二(4)班A2012006817沈美新女19990426 2204初二(4)班A2012006818万雅女19990719 2204初二(4)班A2012006819王静雯女20000211 2204初二(4)班A2012006820王莹莹女19991006 2204初二(4)班A2012006821王紫微女20001127 2204初二(4)班A2012006822向彤女19991207 2204初二(4)班A2012006823袁芷琪女20010206 2205初二(5)班A2012006824陈达男20000511 2205初二(5)班A2012006825陈庆澳男20010502 2205初二(5)班A2012006826成功男20001020 2205初二(5)班A2012006827董杰男20000826 2205初二(5)班A2012006828付广男19980710 2205初二(5)班A2012006829贺顺男19990308 2205初二(5)班A2012006830华腾俊男20000504 2205初二(5)班A2012006831黄澳男19991222 2205初二(5)班A2012006832贾霆君男19980504 2205初二(5)班A2012006833冷风男20000825 2205初二(5)班A2012006834李启帆男19981012 2205初二(5)班A2012006835齐汤杰男20000221 2205初二(5)班A2012006836王棋男19991113 2205初二(5)班A2012006837吴振宇男20000704 2205初二(5)班A2012006838武佳诚男19991008 2205初二(5)班A2012006839肖崇飞男19991213 2205初二(5)班A2012006840肖一汀男20000901 2205初二(5)班A2012006841熊琛佶禛男19991230 2205初二(5)班A2012006842颜盛男20000712 2205初二(5)班A2012006843杨明男20000906 2205初二(5)班A2012006844尹龙男20001212 2205初二(5)班A2012006845湛佳龙男20000417 2205初二(5)班A2012006846张恒男20001025 2205初二(5)班A2012006847周虎男19990925 2205初二(5)班A2012006848陈瑾女20000810 2205初二(5)班A2012006849丁田田女19991128 2205初二(5)班A2012006850胡媛女20000228 2205初二(5)班A2012006851霍瑞雯女19991231 2205初二(5)班A2012006852李壤壤女19970701 2205初二(5)班A2012006853刘甜欣女19981018 2205初二(5)班A2012006854王青女20001023 2205初二(5)班A2012006855魏琳女20000316 2205初二(5)班A2012006856魏璇女20000416 2205初二(5)班A2012006857徐婷女20000504 2205初二(5)班A2012006858赵慧娟女19990726 2205初二(5)班A2012006859赵娟女20000501 2205初二(5)班A2012006860郑晓妮女19990228 2205初二(5)班A2012007359冯定男2301初三(1)班A2011001826陈聪男19970914 2301初三(1)班A2011001827陈俊男19990714 2301初三(1)班A2011001828陈寅泽男19980311 2301初三(1)班A2011001829董佳骏男19990902 2301初三(1)班A2011001830古浩男199803272301初三(1)班A2011001831郭震男19981208 2301初三(1)班A2011001832胡子腾男19980822 2301初三(1)班A2011001833乐畅男19991022 2301初三(1)班A2011001834李行男19990123 2301初三(1)班A2011001835李卓恒男20000125 2301初三(1)班A2011001836刘立祥男19990226 2301初三(1)班A2011001837刘志文男19981218 2301初三(1)班A2011001838吕鹏宇男19990314 2301初三(1)班A2011001839罗虎男19980505 2301初三(1)班A2011001840马菁男19981229 2301初三(1)班A2011001841石天赐男19991005 2301初三(1)班A2011001842孙义男19990720 2301初三(1)班A2011001844王凯勤男19991028 2301初三(1)班A2011001845王涛男19990518 2301初三(1)班A2011001846王天豪男19980904 2301初三(1)班A2011001848向振鸿男19990118 2301初三(1)班A2011001849肖凯男19980727 2301初三(1)班A2011001850肖天雄男19990527 2301初三(1)班A2011001851晏朋男19981122 2301初三(1)班A2011001852杨毅男19990413 2301初三(1)班A2011001853杨梓杰男2301初三(1)班A2011001854曾国栋男19980823 2301初三(1)班A2011001855曾国梁男19980823 2301初三(1)班A2011001856朱泽杰男19990512 2301初三(1)班A2011001857邹天宇男19990816 2301初三(1)班A2011001858蔡昉玥女19990112 2301初三(1)班A2011001859程佳琪女19990928 2301初三(1)班A2011001860丁凡子女19990725 2301初三(1)班A2011001861黄晓宣女19990722 2301初三(1)班A2011001862李丹女19990209 2301初三(1)班A2011001863刘艺女19990707 2301初三(1)班A2011001864刘煜女19970803 2301初三(1)班A2011001865卢莹女19990606 2301初三(1)班A2011001866盛启莹女19990514 2301初三(1)班A2011001867王开梅女19980115 2301初三(1)班A2011001868吴凡女19990701 2301初三(1)班A2011001870周婉钰女19990215 2302初三(2)班A2011001871陈永星男19980812 2302初三(2)班A2011001874冯秋豪男19981005 2302初三(2)班A2011001875何斌男19990225 2302初三(2)班A2011001876胡奔男19980213 2302初三(2)班A2011001877胡帅男19981011 2302初三(2)班A2011001879江丰男19981220 2302初三(2)班A2011001880李超男19990929 2302初三(2)班A2011001881李蔚凤男19981214 2302初三(2)班A2011001882李政男19990519 2302初三(2)班A2011001883鲁鑫男19990216 2302初三(2)班A2011001884吕文堃男19990129 2302初三(2)班A2011001885闵泽奇男19980913 2302初三(2)班A2011001886宁强男19990216 2302初三(2)班A2011001887潘浩然男199907292302初三(2)班A2011001888彭嘉凯男19981219 2302初三(2)班A2011001889谭啸鸿男19990512 2302初三(2)班A2011001890田毅男19980730 2302初三(2)班A2011001891汪大松男19990120 2302初三(2)班A2011001892汪志鹏男19990222 2302初三(2)班A2011001893王鹏辉男19981205 2302初三(2)班A2011001894杨子逸男19990819 2302初三(2)班A2011001895喻世槟男19991008 2302初三(2)班A2011001896张肖伟男19990504 2302初三(2)班A2011001897张子杰男19990810 2302初三(2)班A2011001898周彦君男19980706 2302初三(2)班A2011001899朱王强男19981124 2302初三(2)班A2011001900董晗女20000104 2302初三(2)班A2011001901刘颖薇女19991026 2302初三(2)班A2011001902刘媛媛女19990613 2302初三(2)班A2011001903刘子怡女20000131 2302初三(2)班A2011001904毛秋格女19971018 2302初三(2)班A2011001905祈蓓蕾女19991109 2302初三(2)班A2011001906冉雅婷女19980709 2302初三(2)班A2011001907荣君怡女19990426 2302初三(2)班A2011001908孙晨晨女19990113 2302初三(2)班A2011001909童王慧美女19990627 2302初三(2)班A2011001910汪敏女19990802 2302初三(2)班A2011001911吴婉怡女19990908 2302初三(2)班A2011001912徐晶女19991119 2302初三(2)班A2011001913严瑾女19990928 2302初三(2)班A2011001915余婷女19991118 2302初三(2)班A2011001916詹艺女19981121 2302初三(2)班A2011001917周蕾女19990202 2303初三(3)班A2011001918曹志强男19990614 2303初三(3)班A2011001919陈圣男19990113 2303初三(3)班A2011001920程文祥男19990802 2303初三(3)班A2011001921黄浩男19990510 2303初三(3)班A2011001922李开翔男19990930 2303初三(3)班A2011001923李小虎男19980315 2303初三(3)班A2011001924刘琦男19980718 2303初三(3)班A2011001925龙佳宝男19990113 2303初三(3)班A2011001926邵恒男19980125 2303初三(3)班A2011001927夏晓瑞男19991014 2303初三(3)班A2011001928叶梦林男19971004 2303初三(3)班A2011001929陈丽格女19991009 2303初三(3)班A2011001930陈秋彤女19990829 2303初三(3)班A2011001931程子燕女19991207 2303初三(3)班A2011001932甘书晨女19990930 2303初三(3)班A2011001933韩玲钰女19990628 2303初三(3)班A2011001934黄慧女19991006 2303初三(3)班A2011001935黄鹂女19990509 2303初三(3)班A2011001936李文杰女19990701 2303初三(3)班A2011001937廖雁平女19981107 2303初三(3)班A2011001938罗思琪女19981230 2303初三(3)班A2011001939彭越女199903202303初三(3)班A2011001940王华娇女19990203 2303初三(3)班A2011001941王思贤女19990509 2303初三(3)班A2011001943吴璇女19991009 2303初三(3)班A2011001944吴英女19981018 2303初三(3)班A2011001945熊海英女19990126 2303初三(3)班A2011001946徐文艳女19980215 2303初三(3)班A2011001947杨心瑞女19990220 2303初三(3)班A2011001948张宝薇女19990421 2303初三(3)班A2011001950张玉琴女19991007 2303初三(3)班A2011001951赵怡君女19990218 2303初三(3)班A2011001952钟梦女19950918 2303初三(3)班A2011001953周蓓蓓女19981026 2303初三(3)班A2011001954左美茜女19981118 2304初三(4)班A2011001955车诚男19981214 2304初三(4)班A2011001956邓泽荣男19990516 2304初三(4)班A2011001957冯欣男19990109 2304初三(4)班A2011001958高坤男19980527 2304初三(4)班A2011001959胡文龙男19960201 2304初三(4)班A2011001960蒋流洋男19980921 2304初三(4)班A2011001962刘昊男19981126 2304初三(4)班A2011001963刘俊峰男19990621 2304初三(4)班A2011001964刘柯男19981101 2304初三(4)班A2011001965刘强男19981225 2304初三(4)班A2011001966刘啸男19990316 2304初三(4)班A2011001968宋雨男19991230 2304初三(4)班A2011001969汤锐男19990729 2304初三(4)班A2011001970田野男19990617 2304初三(4)班A2011001971王友福男19980913 2304初三(4)班A2011001972魏江武男19981116 2304初三(4)班A2011001973吴俊波男19980422 2304初三(4)班A2011001974徐墙男19991120 2304初三(4)班A2011001975许炜男19990909 2304初三(4)班A2011001976余俊男19990719 2304初三(4)班A2011001977张萌男19990720 2304初三(4)班A2011001978黄萌女19990922 2304初三(4)班A2011001979李嘉欣女19990825 2304初三(4)班A2011001980罗敏女20000409 2304初三(4)班A2011001982梅梦晗女19981201 2304初三(4)班A2011001984彭思雨女19991102 2304初三(4)班A2011001985彭也女19991118 2304初三(4)班A2011001986孙悦女19990816 2304初三(4)班A2011001987王慧妮女19981218 2304初三(4)班A2011001988余琼女19971106 2304初三(4)班A2011001989张爱霞女19990822 2304初三(4)班A2011001990张菁女19990421 2304初三(4)班A2011001991钟婷女19950207 2304初三(4)班A2011001992周婷女19981023 2304初三(4)班A2011001993朱明慧女19990318 2305初三(5)班A2011001994敖志伟男2305初三(5)班A2011001995陈立男19990803 2305初三(5)班A2011001997方遥男199909252305初三(5)班A2011001998胡志强男19990227 2305初三(5)班A2011001999江琮林男19980912 2305初三(5)班A2011002000蒋寅虎男19980413 2305初三(5)班A2011002001柯圳男男19981208 2305初三(5)班A2011002002李文达男19990703 2305初三(5)班A2011002003刘润民男19980915 2305初三(5)班A2011002005马玉康男19991201 2305初三(5)班A2011002006梅家松男19991013 2305初三(5)班A2011002007孙歌舒男19981008 2305初三(5)班A2011002009熊佳俊男19990627 2305初三(5)班A2011002010许汝杰男19980918 2305初三(5)班A2011002011张腾男19980502 2305初三(5)班A2011002012钟思涛男19980420 2305初三(5)班A2011002013周新宇男19990914 2305初三(5)班A2011002014陈芳女19990227 2305初三(5)班A2011002016胡敏女19981115 2305初三(5)班A2011002017卢凡女19971226 2305初三(5)班A2011002018秦聪女19980617 2305初三(5)班A2011002019秦思雨女19980226 2305初三(5)班A2011002020涂莎莎女19970915 2305初三(5)班A2011002021吴晨阳女19990812 2305初三(5)班A2011002022吴芳女19990225 2305初三(5)班A2011002023肖颖颖女19980123 2305初三(5)班A2011002024熊呈女19990714 2305初三(5)班A2011002025杨柳女19970515 2305初三(5)班A2011002026曾国亚女19990201 2305初三(5)班A2011002028张盼琦女19990706 2305初三(5)班A2011002029周明惠女19971124 2305初三(5)班A2011002030朱思怡女19990613 2305初三(5)班A2011002031吴宇辉男19990904 2305初三(5)班A2011003995杨乐女2305初三(5)班A2011008125罗心瑜女2305初三(5)班A2011008126梅雨晴女2305初三(5)班A2011008127肖梦龙男2305初三(5)班A2011008128舒畅男2305初三(5)班A2011008129刘雅女2305初三(5)班A2011008130夏雨欣男2305初三(5)班A2011008131吴冕男2305初三(5)班A2011008132黄鑫男2305初三(5)班A2011008133王茜女2305初三(5)班A2011025935陈敏盛男2305初三(5)班A2011056735詹哲徇男家庭住址身高体重肺活量50米跑立定跳远坐位体前屈800米跑1000米跑湖北省武汉市18072.55400 6.8 2.8824.82'58''湖北省武汉市18072.55400 6.8 2.8824.82'58''湖北省武汉市18072.55400 6.8 2.8824.82'58''湖北省武汉市16547.539007.8 2.2822.62'55''湖北省武汉市16547.539007.8 2.2822.62'55湖北省武汉市16547.539007.8 2.2822.62'55湖北省武汉市18072.55400 6.8 2.8824.82'58''湖北省武汉市18072.55400 6.8 2.8824.82'58''湖北省武汉市18072.55400 6.8 2.8824.82'58''湖北省武汉市16547.539007.8 2.2822.62'55''湖北省武汉市16547.539007.8 2.2822.62'55湖北省武汉市16547.539007.8 2.2822.62'55湖北省武汉市18072.55400 6.8 2.8824.82'58''湖北省武汉市18072.55400 6.8 2.8824.82'58''湖北省武汉市18072.55400 6.8 2.8824.82'58''湖北省武汉市16547.539007.8 2.2822.62'55''湖北省武汉市16547.539007.8 2.2822.62'55湖北省武汉市16547.539007.8 2.2822.62'55湖北省武汉市18072.55400 6.8 2.8824.82'58''湖北省武汉市18072.55400 6.8 2.8824.82'58''湖北省武汉市18072.55400 6.8 2.8824.82'58''湖北省武汉市16547.539007.8 2.2822.62'55''湖北省武汉市16547.539007.8 2.2822.62'55湖北省武汉市16547.539007.8 2.2822.62'55湖北省武汉市18072.55400 6.8 2.8824.82'58''湖北省武汉市18072.55400 6.8 2.8824.82'58''湖北省武汉市18072.55400 6.8 2.8824.82'58''湖北省武汉市16547.539007.8 2.2822.62'55''湖北省武汉市16547.539007.8 2.2822.62'55湖北省武汉市16547.539007.8 2.2822.62'55湖北省武汉市18072.55400 6.8 2.8824.82'58''湖北省武汉市18072.55400 6.8 2.8824.82'58''湖北省武汉市18072.55400 6.8 2.8824.82'58''湖北省武汉市16547.539007.8 2.2822.62'55''湖北省武汉市16547.539007.8 2.2822.62'55湖北省武汉市16547.539007.8 2.2822.62'559 1.6515 8.3 1.610.5 8.1 1.8413 8.9 1.8811 8.6 1.82 3.5 8.9 1.7107.7 1.9898.6 1.88158 1.85-68.6 1.75169.7 1.6-58.1 2.0817.59.8 1.653 8.2 1.8-48.4 1.9239.9 1.56-1 8.1 2.15-97.9 2.17158.3 1.79.2 1.717 7.8 1.91129.2 1.728.510.6 1.4518.5 9.5 1.617.51.25131.512.512 1.421513.2 1.721.51.6220.59.7 1.5414.510.2 1.86 9.6 1.6511.59 1.7212.51.4811.5 10.7 1.822 10.4 1.617 10.4 1.5410 1.641011.2 1.422.59.7 1.351910.2 1.5815.5 7.5 2.039.57.8 2.0388 2.310 10.1 1.76-8 8.3 1.7878 1.77 3.5 8.5 1.9510 10.1 1.6757.9 2.12148 2.0214 8.5 2.0821 8.8 1.8612 8.9 1.86 7.5 2.0514 10.7 1.4510 8.7 1.9414.58.9 1.78169.3 1.915 8.9 1.615.5 10.7 1.5219 10.9 1.515 9.9 1.5614.5 9.3 1.6618 9.6 1.5616.5 9.1 1.8219 9.3 1.6222.59.2 1.631110.4 1.38128.3 1.817.59.4 1.752210.9 1.2815.511.20.965 8.3 1.6814.58.3 1.913.59.4 1.7825 9.8 1.6712 9.3 1.6812.59.4 1.7611.59.6 1.7211.510.6 1.711.5 9.6 1.6292.1415 8.3 1.9215.5 7.8 1.979.5 7.8 1.929.57.3 2.05178.1 2.14147.6 2.1210.58 2.25181.7210.51.654 7.12.4217 9.8 1.9528.4 1.92 3.59.4 1.621010.1 1.6610.5 7.9 2.15109 1.58-6 7.8 1.9714.51.4310.5 9.1 1.713 9.8 1.4318.5 11 1.22510.8 1.5314.59.3 1.61810.60.815.5 9.7 1.6825 8.8 1.8215 8.7 1.8817.5 11.5 1.514 7.6 2.337.928.2 1.848.7 1.787.2 2.368.6 1.88.2 2.089.4 1.649.41788.71707.52308.917518791978.82108.61889.11727.52128.91907.32188.91557.52219.316810.21479.316411.7518.710.311.710.49.810.410.110.710.310.19.1 1.555一分钟仰卧起引体向上左眼视力右眼视力24 4.8 4.824 4.8 4.824 4.8 4.856 4.8 4.856 4.8 4.856 4.8 4.824 4.8 4.824 4.8 4.824 4.8 4.856 4.8 4.856 4.8 4.856 4.8 4.824 4.8 4.824 4.8 4.824 4.8 4.856 4.8 4.856 4.8 4.856 4.8 4.824 4.8 4.824 4.8 4.824 4.8 4.856 4.8 4.856 4.8 4.856 4.8 4.824 4.8 4.824 4.8 4.824 4.8 4.856 4.8 4.856 4.8 4.856 4.8 4.824 4.8 4.824 4.8 4.824 4.8 4.856 4.8 4.856 4.8 4.856 4.8 4.831 27 30 30 22 43 42 32 33 25 33 23 26 25 23 18 32 28 2946 36 35 34 36 32 30 50 34 32 28 10 40 35 10 19 43 49 30 4035 45 24 3143 35 27 27 38 32 40。
家庭住址身高体重肺活量50米跑年级班级编号班级名称姓名性别出生日#1501五(1)班陈骏杰1##天符陈家#1501五(1)班彭文海1##小洲姜家#1501五(1)班皮荣铝1##天符皮家#1501五(1)班彭星1##湖西彭家#1501五(1)班熊建宇1##湖西湖西巷#1501五(1)班蒋骏晖1##蒋家村#1501五(1)班刘宇翾1##湖西#1501五(1)班周鹏程1##古株树#1501五(1)班徐思远1##小洲徐家村#1501五(1)班袁嘉豪1##天符皮家#1501五(1)班彭安远1##湖西彭家#1501五(1)班皮勤林1##天符横里皮村#1501五(1)班皮志良1##天符皮家#1501五(1)班杨俊杰1##杨家凌#1501五(1)班皮亮1##田段庙背杨村#1501五(1)班马聪1##天符马家#1501五(1)班谌嘉伟1##铜江谌家4组#1501五(1)班陈志超1##田段陈家#1501五(1)班周鹏1##滩下#1501五(1)班曾友斌1##牌楼村#1501五(1)班杨儒1##铜江#1501五(1)班袁梓章1##袁家村沙洲里#1501五(1)班孙紫阳1##逢中#1501五(1)班熊晨阳1##铜江#1501五(1)班廖宇俊1##中团村柘里村#1501五(1)班廖书文1##中团#1501五(1)班周翔1##铜江#1501五(1)班廖雷伟1##铜江福禄园#1501五(1)班皮文亮1##天符皮家#1501五(1)班廖紫琴2##中团柘里#1501五(1)班邓颖彤2##三湖蒋家饶邓村#1501五(1)班皮晴2##天符皮家#1501五(1)班曾佳柔2##小洲上#1501五(1)班裴永璐2##坂山村#1501五(1)班杨胜贤2##湖西村#1501五(1)班管智子慧2##店前管家#1501五(1)班管禄洁2##铜江四队#1501五(1)班周紫微2##铜江下坊#1501五(1)班陈思2##陈家#1501五(1)班裴辛瑶2##湖西坂山#1501五(1)班蒋红2##蒋家村#1501五(1)班周端莺2##洲上中学#1501五(1)班袁思芬2##袁家#1501五(1)班廖嘉琪2##牌楼廖家#1501五(1)班裴迅2##湖西坂山#1501五(1)班曾子琴2##青石桥#1501五(1)班袁嘉齐2##袁家沙洲里#1501五(1)班孙子娟2##洲山#1501五(1)班熊伟琴2##滩下杨家里头#1501五(1)班杨肖2##雄杨杨家凌#1501五(1)班杨阳2##雄杨#1501五(1)班皮欣雨2##横里皮村#1501五(1)班陈娜2##陈家村#1501五(1)班杨科2##杨三行村#1501五(1)班廖庆文2##中团村柘里村#1501五(1)班黄雨婷2##田段陈家#1501五(1)班胡婉蓉2##田段上胡#1501五(1)班孙嘉文2##洲山#1501五(1)班马可欣2##天符马家#1501五(1)班付青婷2##李家村#1501五(1)班胡飞红2##田段上胡#1501五(1)班廖彪1##榨里廖家#1501五(1)班熊丹2##湖西熊家#1502五(2)班彭文刚1##小洲姜家#1502五(2)班杨腾1##小洲杨家#1502五(2)班熊子弦1##熊家村#1502五(2)班皮文科1##横里皮村#1502五(2)班袁伟鹏1##横里皮村#1502五(2)班廖伟1##雷家村#1502五(2)班皮昱奇1##皮家村#1502五(2)班熊文军1##熊家村#1502五(2)班杨宇杰1##湖西#1502五(2)班付景晨1##灌溪#1502五(2)班周子超1##店前洲上#1502五(2)班廖凌阳1##香积街#1502五(2)班廖悰1##中团榨里#1502五(2)班王杰1##灌溪#1502五(2)班杨超俊1##沙树#1502五(2)班皮志林1##横里皮村#1502五(2)班陈靖岩1##村楼角上#1502五(2)班杨仲豪1##下楊村#1502五(2)班黄家辉1##古株樹#1502五(2)班付举成1##灌溪#1502五(2)班袁潇宇1##袁家村#1502五(2)班袁思伟1##袁家#1502五(2)班蒋永安1##蒋家村#1502五(2)班曾骏杰1##青石桥#1502五(2)班姜午丞1##小洲姜家#1502五(2)班杨仲杰1##下楊村#1502五(2)班付鹏辉1##灌溪#1502五(2)班黄志良1##小洲黄家#1502五(2)班袁龙1##袁家#1502五(2)班廖宇鹏1##牌楼#1502五(2)班杨勇文1##湖西#1502五(2)班杨紫宣2##逢中#1502五(2)班廖宇琴2##牌楼廖家#1502五(2)班聂丽红2##店前聂家#1502五(2)班杨逸雯2##雄杨村#1502五(2)班袁倩兰2##袁家沙洲村#1502五(2)班袁颖2##袁家#1502五(2)班袁立雯2##袁家#1502五(2)班袁琪2##袁家#1502五(2)班付雪2##灌溪#1502五(2)班李甜2##店前李家#1502五(2)班周阳灿2##湖西#1502五(2)班吕文娟2##吕家#1502五(2)班杨紫娟2##湖西#1502五(2)班周姝2##铜江#1502五(2)班杨柔颖2##湖西#1502五(2)班邹家奇2##逢中#1502五(2)班孙洋2##雄杨村#1502五(2)班杨子怡2##下楊村#1502五(2)班杨思莹2##下楊村#1502五(2)班袁南燕2##袁家#1502五(2)班杨仲霞2##下楊村#1502五(2)班崔璐2##崔家#1502五(2)班肖绣华2##雄杨村肖家#1502五(2)班肖雨洁2##雄杨肖家#1502五(2)班蒋露丽2##蒋家村#1502五(2)班陈梦仪2##沈家#1502五(2)班蒋莹2##蒋家村#1502五(2)班谌悦2##铜江4队#1502五(2)班李文馨2##店前#1502五(2)班陈紫柔2##榆树#1502五(2)班陈思梦2##田段#1503五(3)班聂子超1##白水湖#1503五(3)班周真1##横里周村#1503五(3)班杨晨1##小洲#1503五(3)班凌胜斌1##滩下凌家#1503五(3)班熊婉晖1##湖西熊家#1503五(3)班杨薪宁1##湖西杨家#1503五(3)班杨振杰1##湖西坂山#1503五(3)班周浩然1##湖西坂山#1503五(3)班蒋佳豪1##蒋家村#1503五(3)班袁志彪1##袁家#1503五(3)班杨天宇1##榆树杨家#1503五(3)班黄奕1##逢中上带#1503五(3)班皮子权1##横里皮村#1503五(3)班肖思学1##雄扬肖家#1503五(3)班袁磊1##袁家#1503五(3)班马嘉俊1##天符马家#1503五(3)班马家欣1##天符马家#1503五(3)班谌宁1##铜江谌家#1503五(3)班廖江涛1##牌楼#1503五(3)班周家劲1##铜江#1503五(3)班袁进1##袁家#1503五(3)班周佳阳1##铜江1队肖家#1503五(3)班周浩杰1##古株树村#1503五(3)班袁进乐1##袁家#1503五(3)班付奕能1##灌溪7队#1503五(3)班曾雨兵1##大洲青石桥#1503五(3)班皮祺胜1##铜江5队#1503五(3)班周涛1##古株树村#1503五(3)班雄杰1##铜江熊家#1503五(3)班付锐1##小洲#1503五(3)班聂文鑫1##小洲曾家#1503五(3)班杨毅成1##雄扬田冬村#1503五(3)班张裔1##逢中上带#1503五(3)班付华1##灌溪5队#1503五(3)班马子升1##天符马家#1503五(3)班陈子依2##田段13小组#1503五(3)班杨舒婷2##湖西#1503五(3)班陈晨2##湖西坂山#1503五(3)班凌庆2##滩下凌家#1503五(3)班袁海燕2##铜江7队#1503五(3)班廖佳萌2##中团#1503五(3)班周雅思2##古株树#1503五(3)班黄心雨2##逢中上带#1503五(3)班聂雨彤2##店前聂家#1503五(3)班皮家莹2##天符皮家#1503五(3)班杨思颖2##雄扬杨家堎#1503五(3)班袁慧研2##袁家#1503五(3)班袁碧凤2##杜家村#1503五(3)班杨佳瑶2##田段杨家#1503五(3)班周佳琦2##铜江1队肖家#1503五(3)班聂俊薇2##田段聂家#1503五(3)班皮越洋2##天符皮家#1503五(3)班熊紫莹2##滩下熊家#1503五(3)班周露2##铜江#1503五(3)班廖欣婷2##滩下大路巷#1503五(3)班陈莹2##大洲大基山#1503五(3)班付叶2##灌溪5队#1503五(3)班徐慧文2##小洲徐家#1503五(3)班胡容2##滩下杨家#1503五(3)班姚家瑶2##滩下熊家#1503五(3)班杨志雅2##大基山#1503五(3)班杨紫怡2##滩下杨家里头#1503五(3)班胡佳颖2##田段上胡#1601六(1)班凌可1##大洲香积街#1601六(1)班廖俊聪1##大洲#1601六(1)班聂文轩1##小洲#1601六(1)班姜卫良1##大洲#1601六(1)班陈佳俊1##天符#1601六(1)班聂海飞1##雄杨#1601六(1)班彭梦晨1##湖西彭家#1601六(1)班袁宇1##袁家村#1601六(1)班蒋永辉1##蒋家村#1601六(1)班袁紫乔1##袁家村#1601六(1)班蒋裕彪1##蒋家村下洲#1601六(1)班袁雅青1##袁家村#1601六(1)班廖腾鹏1##牌楼村#1601六(1)班廖浩杰1##牌楼村#1601六(1)班杨佳乐1##牌楼桥头村#1601六(1)班周子安1##店前村#1601六(1)班廖勇彪1##牌楼村#1601六(1)班廖燕波1##中团村#1601六(1)班廖艳峰1##中团村#1601六(1)班廖嘉伟1##中团村#1601六(1)班管思成1##店前村#1601六(1)班周紫明1##铜江#1601六(1)班杨瑶2##铜江#1601六(1)班杨青1##铜江#1601六(1)班熊广1##滩下#1601六(1)班付雪斌1##灌溪#1601六(1)班杨文浩1##逢中下带村#1601六(1)班熊乐洋1##滩下村委#1601六(1)班黄玉玺1##滩下村委#1601六(1)班曾璐鹏1##田段#1601六(1)班谢锋1##田段#1601六(1)班陈天聪1##田段陈家#1601六(1)班曾俊豪1##田段曾家#1601六(1)班曾加1##田段#1601六(1)班陈佳豪1##榆树#1601六(1)班陈铭轩1##榆树#1601六(1)班肖杨吉1##雄杨#1601六(1)班杨柳1##小洲#1601六(1)班皮志彤2##洲上中学#1601六(1)班陈紫薇2##天符陈家#1601六(1)班黄颖2##黄家渡口#1601六(1)班杨洁2##香积街#1601六(1)班姜宇甜2##大洲姜家#1601六(1)班马美琴2##天符马家#1601六(1)班杨卫霞2##湖西#1601六(1)班蔡玉婷2##大洲#1601六(1)班袁思薇2##袁家村#1601六(1)班袁琪敏2##袁家村#1601六(1)班廖舒婷2##牌楼村#1601六(1)班廖素娇2##牌楼村#1601六(1)班管瑞芳2##店前村#1601六(1)班李嘉仪2##店前村#1601六(1)班李舒雅2##店前村#1601六(1)班杨紫伊2##滩下村委杨家里头#1601六(1)班崔妍旖2##滩下村委#1601六(1)班邓思婷2##滩下村委#1601六(1)班杨庆玲2##滩下村委杨家里头#1601六(1)班胡文婷2##田段#1601六(1)班杨雨晴2##雄杨#1601六(1)班杨文慧2##洲上乡#1601六(1)班周颖2##天符周家#1601六(1)班廖培清1##铜江#1601六(1)班杨文莎2##雄杨#1601六(1)班马紫薇2##天符#1601六(1)班周思琪2##村楼周家#1601六(1)班廖梦江2##榨里#1601六(1)班熊伊星2##杨家里头#1601六(1)班杨飞宜2##店前管家#1602六(2)班陈佳俊1##滩下白水湖#1602六(2)班周玟1##大洲#1602六(2)班陈瑶高1##滩下白水湖#1602六(2)班姜皓杰1##天符#1602六(2)班皮文星1##小洲上#1602六(2)班黄林平1##小洲#1602六(2)班姜乐1##大洲#1602六(2)班杨志文1##香积街#1602六(2)班马子豪1##天符马家#1602六(2)班周智勇1##天符#1602六(2)班皮佳俊1##天符#1602六(2)班马轩1##天符马家#1602六(2)班马新宇1##天符马家#1602六(2)班杨卫涛1##湖西#1602六(2)班裴世豪1##湖西畈山#1602六(2)班蒋腾进1##袁家村#1602六(2)班聂子豪1##店前村#1602六(2)班李梓杰1##店前村#1602六(2)班聂万里1##店前村#1602六(2)班杨帆1##店前#1602六(2)班周立山1##铜江村#1602六(2)班廖超群1##中团村#1602六(2)班黄胜1##店前村#1602六(2)班廖文鸾1##牌楼村#1602六(2)班谌俊伟1##铜江#1602六(2)班杨文瑞1##铜江7队#1602六(2)班熊永辉1##铜江2队#1602六(2)班陈嘉文1##湖南#1602六(2)班付勇豪1##灌溪#1602六(2)班王裔楠1##滩下村委#1602六(2)班王思磊1##田段#1602六(2)班祝希平1##临江镇#1602六(2)班陈志豪1##铜江2队#1602六(2)班程伯君1##田段#1602六(2)班黄佳寅2##小洲上#1602六(2)班邓阳2##小洲#1602六(2)班杨欣2##大洲#1602六(2)班杨苗2##小洲上#1602六(2)班彭艳2##湖西彭家#1602六(2)班熊文静2##湖西七队#1602六(2)班蒋雯丽2##蒋家村#1602六(2)班袁思婷2##袁家村5队#1602六(2)班袁佳荣2##袁家村5队#1602六(2)班廖伶慧2##牌楼村老居村#1602六(2)班廖勇1##中团村州里#1602六(2)班杨耀婷2##店前村杨家#1602六(2)班周嘉喜2##店前村周家#1602六(2)班陈茜瑶2##店前村#1602六(2)班刘鑫苹2##店前村#1602六(2)班廖永旭2##中团村#1602六(2)班杨斯2##湖西村#1602六(2)班熊文丽2##铜江#1602六(2)班周宇婷2##铜江5队#1602六(2)班傅采玉2##灌溪#1602六(2)班付慧娟2##灌溪#1602六(2)班吴敏2##滩下村委#1602六(2)班杨骏南2##滩下村委#1602六(2)班皮紫瑜2##田段皮家#1602六(2)班陈紫情2##田段#1602六(2)班肖晨2##雄杨#1602六(2)班孙佳2##雄杨孙家#1602六(2)班周旭荣2##天符#1602六(2)班杨裕波1##湖西#1602六(2)班胡志轩1##田段#1602六(2)班周星宇2##村楼#1602六(2)班陈美玲2##榆树#1602六(2)班胡文婷2##榆树#1602六(2)班袁宇纯2##袁家村5队#1603六(3)班周杰龙1##村楼周家#1603六(3)班邓博1##小洲#1603六(3)班陈剑锋1##大基山#1603六(3)班裴蕾1##小洲#1603六(3)班皮书洋1##天符#1603六(3)班皮宇兴1##天符皮家#1603六(3)班杨宇辉1##湖西#1603六(3)班龚明宇1##蒋家村#1603六(3)班袁晨轩1##袁家村#1603六(3)班蒋阳星1##蒋家村下洲#1603六(3)班蒋子轩1##牌楼村#1603六(3)班杨子昌1##湖西村#1603六(3)班蒋昆1##蒋家村#1603六(3)班周至远1##铜江#1603六(3)班廖员光1##铜江#1603六(3)班周睿1##铜江#1603六(3)班熊扬武1##铜江#1603六(3)班付殊婷2##铜江#1603六(3)班廖俊武1##铜江4队#1603六(3)班张梦娇2##灌溪#1603六(3)班黄舒培1##滩下村委#1603六(3)班杨律1##滩下村委#1603六(3)班熊延1##滩下村委#1603六(3)班陈凯1##滩下村委大路巷#1603六(3)班曾博文1##田段#1603六(3)班陈天新1##田段#1603六(3)班杨立波1##滩下下杨#1603六(3)班陈志伦1##雄杨#1603六(3)班杨子龙1##雄杨#1603六(3)班姜腾1##天符王家#1603六(3)班王奎1##天符王家#1603六(3)班杨兴1##店前村#1603六(3)班廖鹏杰1##牌楼村#1603六(3)班周雨柔2##天符#1603六(3)班皮佳丽2##天符皮家#1603六(3)班裴丹娜2##湖西#1603六(3)班杨紫娟2##湖西岅山#1603六(3)班袁紫瑶2##袁家村5队#1603六(3)班皮欣2##天符#1603六(3)班袁美菲2##袁家村#1603六(3)班袁燕欣2##袁家村#1603六(3)班廖舒妍2##牌楼村#1603六(3)班廖茜2##牌楼村#1603六(3)班杨鑫2##牌楼村#1603六(3)班李书琴2##店前村#1603六(3)班周芳2##店前村#1603六(3)班廖鑫仪2##中团村#1603六(3)班杨瑜2##店前村#1603六(3)班杨宇灿2##湖西村吴起巷#1603六(3)班裴思敏2##湖西村岅山#1603六(3)班杨逸婷2##铜江5队#1603六(3)班付文艳2##灌溪#1603六(3)班杨晨2##灌溪#1603六(3)班杨杏2##滩下村委#1603六(3)班杨嘉琪2##滩下村委#1603六(3)班黄思婷2##田段黄家#1603六(3)班陈梦玲2##田段#1603六(3)班杨荣2##田段杨家#1603六(3)班皮铭华1##天符#1603六(3)班付宇晨1##刘公庙#1603六(3)班简舒豪1##严埠#1603六(3)班熊聪1##滩下大路巷#1603六(3)班管智俊1##店前#1603六(3)班李新宇1##洲上初中#1603六(3)班付佳星2##灌溪#1603六(3)班聂靖芬2##严埠#1603六(3)班杨欢2##滩下大路巷#1603六(3)班杨文慧2##铜江7队#2101七(1)班陈俊杰1##榆树下陈#2101七(1)班聂楠1##雄杨聂家村#2101七(1)班陈胜1##双塘桥上村#2101七(1)班周杰1##村楼周家#2101七(1)班肖学辉1##大洲院前村#2101七(1)班周根裕1##村楼周村#2101七(1)班曾世伦1##大洲青石桥#2101七(1)班蒋心月2##蒋家#2101七(1)班聂思兵1##雄杨余堎村#2101七(1)班陈唯1##洲山杨家斜#2101七(1)班周明1##村楼周家#2101七(1)班周旭帆1##天符横里周村#2101七(1)班聂权1##店前聂家#2101七(1)班廖曦超1##中团#2101七(1)班刘嘉文1##店前#2101七(1)班廖东圳1##铜江4队#2101七(1)班付志涛1##灌溪4队#2101七(1)班聂佳伟1##店前聂家#2101七(1)班付建1##灌溪2队#2101七(1)班付宇昂1##灌溪8队#2101七(1)班付杨轩1##灌溪8队#2101七(1)班周学轩1##村楼周家#2101七(1)班杨思满1##滩下下杨#2101七(1)班杨颖1##滩下下杨#2101七(1)班崔衡1##滩下崔家#2101七(1)班凌远扬1##滩下凌家#2101七(1)班陈超龙1##田段陈家#2101七(1)班曾家骏1##田段曾家#2101七(1)班曾翔海1##田段曾家#2101七(1)班陈国鹏1##田段陈家#2101七(1)班肖宇翔1##雄杨肖家#2101七(1)班邓希2##小洲邓家#2101七(1)班黄雨凤2##小洲上漤#2101七(1)班杨杰婷2##小洲后村#2101七(1)班肖思琪2##洲上乡村楼角上#2101七(1)班陈子婷2##榆树上陈村#2101七(1)班陈莞清2##田段陈家村#2101七(1)班陈思蓉2##榆树下庙出村#2101七(1)班杨佳洁2##溪西杨家村#2101七(1)班肖雨欣2##村楼角上#2101七(1)班徐雨洁2##小洲徐家#2101七(1)班王嘉仪2##大洲院前村#2101七(1)班皮清2##田段皮家村#2101七(1)班周晶晶2##天符横里周家#2101七(1)班曾可欣2##双塘太平湖村#2101七(1)班胡圆2##溪西胡家村#2101七(1)班袁雅慧2##袁家8队#2101七(1)班蒋思璇2##蒋家2队#2101七(1)班杨俊珏2##逢中榨下村#2101七(1)班袁思彤2##袁家6队#2101七(1)班陈杨2##榆树下庙#2101七(1)班周紫泉2##村楼周家#2101七(1)班张旋2##灌溪7队#2101七(1)班杨紫宇2##逢中#2101七(1)班杨紫娟2##香积街56号#2101七(1)班周微2##铜江#2101七(1)班皮紫玲2##天符横里皮家#2101七(1)班杨淑婷2##铜江下坊#2101七(1)班王帅奇2##滩下凌家#2101七(1)班胡瑶2##田段上胡村#2101七(1)班孙宇2##乡政府#2102七(2)班陈天宝1##田段村#2102七(2)班孙宇超1##雄杨余家堎#2102七(2)班陈鹏1##双塘提下村#2102七(2)班张子诚1##淦头村#2102七(2)班杨梓轩1##溪西杨家村#2102七(2)班严鹏1##严埠村#2102七(2)班曾玉鹏1##大洲青石桥#2102七(2)班肖明杰1##雄杨肖家#2102七(2)班马震城1##天符马家#2102七(2)班皮紫琪1##天符皮村#2102七(2)班马力1##天符马家#2102七(2)班胡佳俊1##溪西胡家#2102七(2)班陈宇1##榆树上陈#2102七(2)班袁云飞1##袁家#2102七(2)班严斌1##严埠严家#2102七(2)班肖隆1##村楼肖家#2102七(2)班蒋庆峰1##蒋家#2102七(2)班廖武彪1##牌楼#2102七(2)班廖咏彬1##牌楼吕家#2102七(2)班杨智1##牌楼村#2102七(2)班谭小泉1##店前村#2102七(2)班简文1##昌付蓝户村#2102七(2)班周俊峰1##铜江7队#2102七(2)班沈智伟1##滩下沈家#2102七(2)班杨卫1##滩下下杨#2102七(2)班熊科1##滩下5队#2102七(2)班胡文华1##田段上胡#2102七(2)班杨智1##雄杨田东#2102七(2)班陈谦1##雄杨雄黄上#2102七(2)班袁佳俊1##雄杨#2102七(2)班徐子颖2##小洲徐家#2102七(2)班杨思佳2##滩下下杨#2102七(2)班陈路逸2##田段陈里贡村#2102七(2)班姜佳2##大洲姜家#2102七(2)班肖杰颖2##小洲金凤洲#2102七(2)班杨佳美2##溪西杨家村#2102七(2)班聂小霞2##严陪聂家#2102七(2)班周倩2##村楼周家#2102七(2)班曹迎2##杨右门#2102七(2)班王子如2##田段黄家村#2102七(2)班裴世欣2##湖西坂山#2102七(2)班张颜攀2##湖西田洲上#2102七(2)班朱晨露2##蒋家#2102七(2)班皮佳珩2##溪西杨家#2102七(2)班孙柔2##洲山牌楼#2102七(2)班杨茜茜2##逢中堎上村#2102七(2)班陈佳欣2##榆树上陈#2102七(2)班彭思琦2##铜江2队#2102七(2)班付翠2##灌溪10队#2102七(2)班谌情2##铜江4队#2102七(2)班周文2##铜江#2102七(2)班孙雅婷2##雄杨余家堎#2102七(2)班杨琴2##田段杨家#2102七(2)班杨雅君2##小洲前村#2102七(2)班谌家琪1##大基山#2102七(2)班孙超胜1##春头村#2102七(2)班简思华1##榆树简家#2102七(2)班聂晶1##田段聂家#2102七(2)班孙雨2##洲上牌楼村#2102七(2)班孙春满2##淦头村#2102七(2)班周潇2##铜江1队#2102七(2)班廖俊1##大洲雷家#2103七(3)班刘旺1##溪西刘家村#2103七(3)班宋智慧1##大洲院前村#2103七(3)班杨佳和1##溪西杨家村#2103七(3)班曾云龙1##大洲青石桥#2103七(3)班杨志磊1##小洲杨家#2103七(3)班杨杰1##滩下上杨#2103七(3)班熊裕慧1##湖西湖西巷#2103七(3)班肖江枫1##村楼肖家#2103七(3)班杨文军1##逢中杨逢春#2103七(3)班谭皓宇1##双塘谭家村#2103七(3)班蒋裕坤1##蒋家6组#2103七(3)班陈昱阳1##洲山淦头#2103七(3)班袁宇杰1##袁家老基村2 #2103七(3)班陈帅1##蒋家#2103七(3)班李浩聪1##店前李家#2103七(3)班李乐1##店前李家1 #2103七(3)班聂佳颖1##溪西聂家村#2103七(3)班廖梦晨1##牌楼老屋#2103七(3)班杨鸿1##铜江8队#2103七(3)班杨勇1##铜江3队#2103七(3)班杨腾1##铜江下坊#2103七(3)班付宇琪1##灌溪#2103七(3)班杨骏1##滩下下杨#2103七(3)班熊颖超1##滩下熊家#2103七(3)班杨舒磊1##滩下下杨#2103七(3)班杨优1##滩下下杨#2103七(3)班凌武1##雄杨凌家#2103七(3)班黄思颖2##店前刘家#2103七(3)班杨子欣1##逢中#2103七(3)班廖翔1##牌楼#2103七(3)班唐文权1##双塘太坪湖#2103七(3)班周瞳1##田段#2103七(3)班杨建龙1##楼仔上#2103七(3)班刘凌霄2##大洲杜家#2103七(3)班袁洁姚2##袁家老屋#2103七(3)班蒋美琴2##蒋家#2103七(3)班袁思燕2##袁家#2103七(3)班袁蓉2##袁家#2103七(3)班裴俊婷2##湖西岅山#2103七(3)班聂婧莹2##店前聂家#2103七(3)班刘嘉敏2##店前刘家#2103七(3)班蒋乐娃2##店前刘家#2103七(3)班陈思2##滩下白水湖#2103七(3)班杨永丽2##滩下杨家#2103七(3)班曾寒2##田段曾家#2103七(3)班廖雨彤2##中团#2103七(3)班杨娇2##湖西中村#2103七(3)班孙梓杏2##洲上乡杨家门#2103七(3)班孙灵雪2##洲山牌楼村#2103七(3)班孙优2##榆树下庙#2103七(3)班杨梦儒2##溪西杨家村#2103七(3)班孙彤2##杨家村#2103七(3)班杨恋2##楼仔上榨下村#2103七(3)班聂思慧2##雄杨余堎村#2103七(3)班陈晶2##榆树埠头#2103七(3)班陈祖怡2##双塘中心村#2103七(3)班聂佳敏2##雄杨余堎村#2103七(3)班杨涵清2##逢中堎上#2103七(3)班曾美怡2##楼仔上榨下村#2103七(3)班刘佳敏2##溪西刘家村#2104七(4)班李宇威1##店前李家16042.82716 #2104七(4)班陈智康1##铜江8队15236.92724 #2104七(4)班姜华1##湖西坂山16041.33199 #2104七(4)班杨火军1##店前管家15033.31902 #2104七(4)班杨志新1##中团2队16042.82247 #2104七(4)班陈兴1##店前陈家14632.22261 #2104七(4)班龚杰1##青石桥外婆家16041.42216 #2104七(4)班熊燕果1##铜江熊家14029.81794 #2104七(4)班马子恒1##天符陈家14536.41764 #2104七(4)班袁浩1##袁家二队14733.41980 #2104七(4)班杨勇1##店前管家15536.42130 #2104七(4)班蒋致远1##蒋家八组165461757 #2104七(4)班杨子豪1##牌楼155422863 #2104七(4)班黄胜1##小洲金凤洲15945.73156 #2104七(4)班聂宇1##田段聂家14533.42095 #2104七(4)班杨一清1##湖西湖西巷14832.81886 #2104七(4)班陈佳琪1##陈家150381982 #2104七(4)班付建文1##灌溪15234.62261 #2104七(4)班杨思琪1##铜江下坊15739.42344 #2104七(4)班廖云瑞1##牌楼村14031.92290 #2104七(4)班廖嘉良1##中团廖家14535.52276 #2104七(4)班李良康1##店前李家140301880 #2104七(4)班付佳勇1##灌溪15037.72375 #2104七(4)班蒋杨峰1##三湖蒋家14032.52237 #2104七(4)班廖鹏林1##中团廖家14532.52183 #2104七(4)班陈俊1##田段村15552.83333 #2104七(4)班肖宇晨1##村楼角上15537.12226 #2104七(4)班陈文帅1##双塘桥头16046.22178 #2104七(4)班聂宇伦1##雄杨余堎村15040.11921 #2104七(4)班陈家俊1##田段陈家16041.62462 #2104七(4)班聂雨珊2##雄杨俞家凌聂家14543.3961 #2104七(4)班廖芊2##中团廖家14534.22032 #2104七(4)班付超颖2##灌溪10队157472770 #2104七(4)班皮佳盈2##天符横里皮家14941.61869 #2104七(4)班陈琳2##田段6队14533.51278 #2104七(4)班陈思2##大洲大基山16036.82019#2104七(4)班杨珊2##滩下陈家16457.42099 #2104七(4)班孙佳敏2##雄杨孙打锡14532.61706 #2104七(4)班陈佳琪2##大洲大基山16042.31080 #2104七(4)班袁灵珠2##袁家15038.41053 #2104七(4)班杨彤2##铜江三队15238.42209 #2104七(4)班张碧莲2##逢中上带15035.81639 #2104七(4)班廖雅慧2##牌楼村15036.51175 #2104七(4)班周思雨2##大洲古株树15850.21636 #2104七(4)班杨周2##店前16540.81789 #2104七(4)班杨茜2##雄杨15639.61861 #2104七(4)班杨敏2##湖西15742.51454 #2104七(4)班廖宜花2##牌楼15840.12334 #2104七(4)班陈宇弘2##陈家村下庙上村15033.41889 #2104七(4)班陈佳静2##洲上乡桥上16042.51599 #2104七(4)班肖紫薇2##角上村楼村14733.41275 #2104七(4)班杨紫慧2##溪西杨家村147321705 #2104七(4)班严文林2##严埠村15235.4955 #2104七(4)班刘雅琪2##溪西刘家村14538.81515 #2104七(4)班周莉2##溪西周家16039.62331 #2104七(4)班杨迁2##榆树铜壶堎16241.9557 #2104七(4)班杨柳2##榆树铜壶堎14738.12389 #2104七(4)班孙思丽2##洲山牌楼15041.21289 #2104七(4)班杨艳琴2##逢中杨逢春15338.11911 #2104七(4)班杨佳妮2##榆树杨家15038.51608 #2104七(4)班杨舒婷2##雄杨杨家堎145302088 #2105七(5)班皮宇辰1##天符皮家170541837 #2105七(5)班刘俊1##铜江2队150422218 #2105七(5)班廖志鑫1##牌楼廖家150422049 #2105七(5)班廖盼1##中团廖家150412292 #2105七(5)班皮志伟1##天符皮家145281982 #2105七(5)班廖凯华1##中团榨里160482638 #2105七(5)班袁欣1##袁家沙洲155481162 #2105七(5)班杨喜生1##铜江150351984 #2105七(5)班付祖杰1##灌溪1队145302038 #2105七(5)班陈涌波1##田段陈家155432038 #2105七(5)班周俊磊1##铜江上坊150331670 #2105七(5)班付佳星1##灌溪7队160352586 #2105七(5)班肖林朋1##雄杨肖家165462646 #2105七(5)班聂旺1##店前菜园聂家142332049 #2105七(5)班袁志成1##袁家村140371930 #2105七(5)班杨凯伦1##雄杨村155382637 #2105七(5)班刘佳星1##小洲金凤洲163532403 #2105七(5)班付子强1##灌溪3队140311631 #2105七(5)班刘嘉俊1##店前管家150332152 #2105七(5)班袁嘉豪1##袁家桃园168461475 #2105七(5)班袁强龙1##袁家沙洲152422177 #2105七(5)班姜俊宇1##大洲16042788 #2105七(5)班廖竹青1##滩下155511824 #2105七(5)班周紫超1##铜江6队155381804 #2105七(5)班黄宇坤1##田段152351124 #2105七(5)班杨子琛1##铜江8队155351973#2105七(5)班孙鑫1##雄杨165513335 #2105七(5)班陈伟1##田段170652565 #2105七(5)班裴伟龙1##湖西145271653 #2105七(5)班付勇1##灌溪160401537 #2105七(5)班孙子望1##雄杨孙家150311504 #2105七(5)班胡旭1##溪西胡家村152382082 #2105七(5)班胡胜1##溪西胡村152362492 #2105七(5)班杨志平1##杨家村153422197 #2105七(5)班杨伟强1##杨家村155472373 #2105七(5)班杨雅君1##逢中杨家177522714 #2105七(5)班聂佳洛1##雄杨余堎村165402064 #2105七(5)班林淞1##滩下杨家里头158431998 #2105七(5)班曾豪1##太平湖150432041 #2105七(5)班皮小敏2##天符皮家150291182 #2105七(5)班姜艳玲2##大洲姜家15036676 #2105七(5)班陈芳滢2##田段田塘165401666 #2105七(5)班袁龙娇2##中团150341406 #2105七(5)班杨春丽2##雄杨杨家凌160461635 #2105七(5)班陈晓晓2##香积街头102号160512867 #2105七(5)班杨佳愉2##雄杨田东165401383 #2105七(5)班陈佳柔2##店前陈家165391118 #2105七(5)班陈南牡丹2##樟树市150541705 #2105七(5)班胡美琴2##榆树下胡140321683 #2105七(5)班杨静2##小洲金凤洲155402033 #2105七(5)班刘佳慧2##小洲金凤洲165462175 #2105七(5)班裴佳莹2##湖西145341396 #2105七(5)班沈燕娇2##滩下沈家1604413336 #2105七(5)班周瑾慈2##村楼周家160432280 #2105七(5)班陈思梦2##田段陈家村165522056 #2105七(5)班曾佳2##楼仔上柘下楼16039779 #2105七(5)班陈嘉欣2##双塘塘兴村16557928 #2105七(5)班彭妙峰2##溪西彭家村155351636 #2105七(5)班曾家荣2##双塘中心村150471502 #2105七(5)班陈予琳2##榆树埠头155381806 #2105七(5)班杨艳萍2##榆树铜壶堎155431559 #2201八(1)班崔志敏1##滩下崔家#2201八(1)班孙旋1##逢中四组#2201八(1)班廖青松1##中团6队#2201八(1)班廖鹏科1##中团州里10号#2201八(1)班杨宇1##逢中#2201八(1)班杨宁1##滩下下杨村#2201八(1)班廖文旺1##李家村#2201八(1)班杨楠辉1##村楼角上村#2201八(1)班于万里1##滩下杨家里头#2201八(1)班黄佳耀1##滩下13队崔家村#2201八(1)班廖维文1##牌楼#2201八(1)班廖腾勇1##牌楼六队#2201八(1)班蒋宇皓1##蒋家5组#2201八(1)班陈慧康1##铜江8队#2201八(1)班杨颖奎1##湖西村3组#2201八(1)班杨思盛1##湖西村田洲上#2201八(1)班杨聚鸿1##逢中榨下村#2201八(1)班杨浩1##湖西九队新村#2201八(1)班熊永豪1##逢中榨下#2201八(1)班邹奇峰1##逢中8队#2201八(1)班陈天乐1##田段陈家村#2201八(1)班杨旭2##滩下下杨#2201八(1)班杨婉2##店前五队#2201八(1)班付思雅2##灌溪三组#2201八(1)班陈茜2##天符陈家#2201八(1)班付紫依2##灌溪一队#2201八(1)班杨思琦2##小洲前村#2201八(1)班杨思庆2##雄杨村2组#2201八(1)班刘容2##溪西刘村#2201八(1)班曾婷2##田段下曾村#2201八(1)班蒋玉晶2##蒋家八队#2201八(1)班皮帅佳2##天符皮家#2201八(1)班杨紫琪2##湖西4队#2201八(1)班黄雪萍2##小洲上漤村#2201八(1)班陈烨2##田段陈村#2201八(1)班陈洁2##双塘堤下村#2201八(1)班付文盈2##小洲金凤洲#2201八(1)班廖莹2##大洲雷村#2201八(1)班陈嘉文2##天符陈家#2201八(1)班邓鹏燕2##田段黄村#2201八(1)班周野云2##村楼周村#2201八(1)班杨莹2##滩下上杨22号#2201八(1)班蒋雅琴2##蒋家7队#2201八(1)班周畅2##铜江桂花村6队#2201八(1)班沈赛群2##滩下沈家#2201八(1)班王子迎2##大洲院前#2201八(1)班陈莹2##榆树上陈村#2202八(2)班杨琪瑞1##店前五队#2202八(2)班凌志1##滩下凌家村#2202八(2)班陈辉1##小洲后村#2202八(2)班杨文宝1##小洲前村#2202八(2)班熊惠成1##双塘太平湖#2202八(2)班杨晨1##大洲七队#2202八(2)班廖桐1##牌楼#2202八(2)班杨梦军1##小洲金凤洲#2202八(2)班付运琪1##灌溪10队#2202八(2)班陈子阳1##双塘中心村#2202八(2)班周奕欣1##大洲苦株树#2202八(2)班杨家鹏1##小洲前村#2202八(2)班廖超俊1##中团6队#2202八(2)班崔文刚1##滩下崔家#2202八(2)班聂刚1##雄杨余家堎#2202八(2)班杨俊1##逢中村#2202八(2)班聂磊1##雄杨余家堎#2202八(2)班袁伟晨1##袁家六队#2202八(2)班崔宇轩1##滩下崔家村#2202八(2)班杨涛1##滩下杨家#2202八(2)班曾利刚1##小洲曾家村#2202八(2)班杨舒芬2##滩下下杨#2202八(2)班谭宇辉2##店前谭家村#2202八(2)班付欣2##铜江3队#2202八(2)班熊万琴2##湖西村7组#2202八(2)班周洁2##上坊村11组#2202八(2)班廖依婷2##中团廖家#2202八(2)班孙美琪2##牌楼村#2202八(2)班黄潇2##逢中上带#2202八(2)班杨敏2##滩下杨家里头#2202八(2)班李嘉欣2##店前李家#2202八(2)班邓欣2##小洲邓家#2202八(2)班周雅婷2##蒋家村八组#2202八(2)班王妤2##大洲院前村#2202八(2)班杨湾2##逢中榨下村#2202八(2)班杨雅2##湖西湖西23号#2202八(2)班杨琪2##湖西坂山村45号#2202八(2)班杨嘉琪2##湖西3队#2202八(2)班蒋雅琪2##蒋家7队#2202八(2)班陈佳莉2##田段#2202八(2)班杨宇荣2##滩下下杨村#2202八(2)班廖曦伊2##中团廖家#2202八(2)班陈碧柔2##榆树上陈村#2202八(2)班杨淑敏2##雄杨雄黄上#2203八(3)班蒋方凯1##蒋家五队#2203八(3)班杨旭仑1##逢中下带村#2203八(3)班雷梓琪1##大洲14组36号#2203八(3)班熊建楠1##铜江二队#2203八(3)班付成强1##灌溪村一组#2203八(3)班杨民1##湖西返山村#2203八(3)班陈颢1##临江府前居委88号#2203八(3)班陈广徽1##田段上陈#2203八(3)班廖建权1##蒋家村八组#2203八(3)班聂思颖1##雄扬#2203八(3)班聂龙刚1##天符81号#2203八(3)班付罗强鑫1##小洲村#2203八(3)班邹家俊1##樟树邹家山#2203八(3)班袁泽星1##袁家#2203八(3)班杨思祺2##牌楼桥头29号#2203八(3)班付文琪2##灌溪村6队#2203八(3)班刘淑慧2##滩下崔家#2203八(3)班聂园霞2##严埠聂家村#2203八(3)班陈星2##田段陈里贡#2203八(3)班周迎2##村楼甘坊村#2203八(3)班姜雅娟2##大洲姜家村#2203八(3)班付雨洁2##洲上后村#2203八(3)班聂美宣2##店前聂家7队#2203八(3)班陈市娇2##双塘中心村#2203八(3)班孙招2##洲山淦头村#2203八(3)班蒋羽婷2##蒋家七队#2203八(3)班杨清娴2##香积街#2203八(3)班袁思亲2##袁家二队#2203八(3)班周皇艳2##蒋家8队#2203八(3)班袁梦2##袁家桃源村#2203八(3)班黄可菲2##大洲黄家渡#2203八(3)班曹情2##洲山杨石门#2203八(3)班周文静2##村楼周家村#2203八(3)班杨晋玲2##杨家堎#2203八(3)班杨紫仁2##双塘何杨曾#2203八(3)班邓舒情2##小洲邓家#2203八(3)班张进2##铜江下坊87号#2203八(3)班付琴2##灌溪10组#2203八(3)班陈盈2##田段村#2203八(3)班刘雅2##店前刘家#2203八(3)班廖宇2##中团廖家#2203八(3)班廖思宇2##中团廖家#2203八(3)班简梦琦2##双塘中心村#2203八(3)班杨琴2##临江寒山#2203八(3)班陈浦玥2##洲上初中#2204八(4)班李浩然1##店前李家57号#2204八(4)班陈俊杰1##田段陈家#2204八(4)班李良1##店前李村#2204八(4)班廖骏骐1##牌楼村#2204八(4)班陈志豪1##双塘大桥村#2204八(4)班杨鹏1##逢中榨下村#2204八(4)班白宇豪1##袁家村委#2204八(4)班杨琪1##大洲杨家村#2204八(4)班杨根平1##湖西坂山村#2204八(4)班姜丰1##大洲姜家村#2204八(4)班吕嘉杰1##棉站园艺场#2204八(4)班蒋凯龙1##蒋家4组#2204八(4)班杨紫璇1##湖西中村5队#2204八(4)班刘文玲1##灌溪村2队#2204八(4)班曾子豪1##大洲青石桥#2204八(4)班胡庆华1##溪西胡家#2204八(4)班陈恒1##榆树下庙村#2204八(4)班肖红涛1##村楼角上村#2204八(4)班杨佳璇1##溪西杨家村#2204八(4)班陈鹏飞1##湖西坂山村#2204八(4)班李梦遥1##店前李村#2204八(4)班刘纪龙1##棉站3队#2204八(4)班姜科1##村楼姜家#2204八(4)班杨俊旭1##逢中榨下村#2204八(4)班付博为1##溪西付家村#2204八(4)班黄锦1##田段黄家#2204八(4)班周聪1##大洲苦株树#2204八(4)班皮梦逵1##天符10队#2204八(4)班付熙鹤1##灌溪村3队#2204八(4)班胡玄1##田段胡家村#2204八(4)班杨文1##下杨村11组#2204八(4)班杨望1##田段杨家村#2204八(4)班廖雅明1##铜江四队。
年级编号班级编号班级名称学籍号民族代码姓名性别222201初二(1)班L4206072001090900731贺心宇1 222201初二(1)班L4206072000060800751袁满满1 222201初二(1)班L4206072001053000371胡诗阳1 222201初二(1)班L4206072002050800511许万成1 222201初二(1)班L4206072000121400701王旭冉1 222201初二(1)班L4206072000082100991贺晨阳1 222201初二(1)班L4206072000103001141明宇1 222201初二(1)班L4206072000121300591朱文洁1 222201初二(1)班L4206072001030200741罗明旭1 222201初二(1)班L42060720001023011X1黄雨凡1 222201初二(1)班L4206072001103000581高琪1 222201初二(1)班L4206072000110600791程家乐1 222201初二(1)班L4206072000120300311徐龙1 222201初二(1)班L4206072000081200771高荣富1 222201初二(1)班L4206072000092601351孙光琳1 222201初二(1)班L4206072000082600371兰欣义1 222201初二(1)班L4206072001022400591兰磊1 222201初二(1)班L4206072000090700591柏小龙1 222201初二(1)班L4206071999112901141张向阳1 222201初二(1)班L42060720001028015X1阮栩浩1 222201初二(1)班L4206072001010900951陈浩然1 222201初二(1)班L4206071999031000261汪燕2 222201初二(1)班L4206072001101800681余思云2 222201初二(1)班L4206072001021301081李梦琪2 222201初二(1)班L4206072000052300431王娜2 222201初二(1)班L42060720021225008X1黄芷芩2 222201初二(1)班L4206072001091700651张雅婷2 222201初二(1)班L4206072001020200211杨善煜2 222201初二(1)班L4206072000080800601刘云2 222201初二(1)班L4206072001082900811代不易2 222201初二(1)班L4206072001080800841熊仕萍2 222201初二(1)班L4206072000112900261黄冬晴2 222201初二(1)班L4206072001122000261杜俊宇2 222201初二(1)班L4206072000111100801李可星2 222201初二(1)班L4206072001041400431朱星月2 222201初二(1)班L4206072001092700661柏志敏2 222201初二(1)班L4206072000073100631罗荣2 222201初二(1)班L4206072001101801051张傲雪2 222201初二(1)班L4206072001021500611黄洋2 222201初二(1)班L4206072000060500601郝梦婷2 222201初二(1)班L4206072001061000611朱小凤2 222201初二(1)班L4206072000071900651刘迎2 222201初二(1)班L4206072000061000801张一帆2 222201初二(1)班L4206072001101600671黄文丽2 222201初二(1)班L42060720011003006X1范庆盈2 221222202初二(2)班L4206072000101700141黄昊1 222202初二(2)班L4206072000081400351陈鹏飞1222202初二(2)班L4206072001011700521王雨龙1 222202初二(2)班L4206072000110200771陈坤1 222202初二(2)班L4206072001090700991袁文豪1 222202初二(2)班L4206072000121100581庞浩然1 222202初二(2)班L4206072000102201141汪园林1 222202初二(2)班L4206072001081900561胡天文1 222202初二(2)班L4206072000100901101陈琪1 222202初二(2)班L42060720010103005X1余龙1 222202初二(2)班L4206072000122500181谢志勇1 222202初二(2)班L4206072000092500331李康1 222202初二(2)班L4206072001020300351张瑞1 222202初二(2)班L4206072001052000521李德文1 222202初二(2)班L4206072001070400561许万杰1 222202初二(2)班L4206072000110300991朱梦洋1 222202初二(2)班L4206072000021801321杨帅1 222202初二(2)班L4206072001121900591黄钱坤1 222202初二(2)班L4206072000091300581柏义文1 222202初二(2)班L4206072000100100531葛明阳1 222202初二(2)班L4206072000060700531袁壮1 222202初二(2)班L4206072001102700711马海川1 222202初二(2)班L4206072001021100191杨玉康1 222202初二(2)班L4206072001081500701李梦阳1 222202初二(2)班L4206072000122501221黄铁彩2 222202初二(2)班L4206072001052000281张厅2 222202初二(2)班L4206072001061600481庞欣茹2 222202初二(2)班L4206072001091700811朱俊怡2 222202初二(2)班L4206072001092401071周书佳2 222202初二(2)班L4206072000110400431张婷2 222202初二(2)班L4206072001120500641黄雪丽2 222202初二(2)班L4206072000122400631罗玉欢2 222202初二(2)班L4206072001092401231张雨点2 222202初二(2)班L4206072001081000651朱月2 222202初二(2)班L4206072000111800461黄星宇2 222202初二(2)班L4206072000101501281陈群2 222202初二(2)班L4206072000081601081陈艳芳2 222202初二(2)班L4206072000112400611段雪梅2 222202初二(2)班L4206072001022000811郭梦娇2 222202初二(2)班L4206071998082500691王迎迎2 222202初二(2)班L4206072000031100481陈先琴2 222202初二(2)班L42060720000606012X1高金晶2 222202初二(2)班L4206072001090100881熊青竹2 222202初二(2)班L4206072000121300401王雪2 222202初二(2)班L4206072001060501211袁文文2 222202初二(2)班L4206072000090900681盛洁2 221222203初二(3)班L4206071998080900341蔡阳1 222203初二(3)班L42060719990909005X1许杰1 222203初二(3)班L4206071999102300991肖澳阳1 222203初二(3)班L4206072000040200521陶雪飞1222203初二(3)班L4206072000042800301柏希鹏1 222203初二(3)班L4206072000071200321赵阳1 222203初二(3)班L4206072000080401301王满文1 222203初二(3)班L42060720000807009X1张文文1 222203初二(3)班L4206072000090301101杨辰1 222203初二(3)班L4206072000091000781赵书豪1 222203初二(3)班L4206072000091500591张浩1 222203初二(3)班L4206072000092901151刘军威1 222203初二(3)班L4206072000122500341杜龙1 222203初二(3)班L4206072001012900541姜闯1 222203初二(3)班L4206072001052900781柳正坤1 222203初二(3)班L4206072001070200391柏思怡1 222203初二(3)班L4206072001071600151朱枭易1 222203初二(3)班L4206072001080400311邹元斌1 222203初二(3)班L4206072001091000591王梓皓1 222203初二(3)班L4206072001110300961朱庆丰1 222203初二(3)班L42060720011106013X1李小龙1 222203初二(3)班L4206072001111200751张志伟1 222203初二(3)班L4206072001112200331庞千禹1 222203初二(3)班L4206072002032700541李志鹏1 222203初二(3)班L4206072000040900421刘梅娘2 222203初二(3)班L42060720000502002X1张龙凤2 222203初二(3)班L4206072000062100281朱克朵2 222203初二(3)班L42060720010123006X1陈傲琪2 222203初二(3)班L4206072001012500441明航2 222203初二(3)班L4206072001031600421丁阳会2 222203初二(3)班L4206072001040700651黄瑞晶2 222203初二(3)班L4206072001041201061谢双2 222203初二(3)班L4206072001041800881徐羽玺2 222203初二(3)班L4206072001042800621赵珂芩2 222203初二(3)班L42060720010516002X1黄莹莹2 222203初二(3)班L4206072001070200201袁语烨2 222203初二(3)班L4206072001070301061朱小雨2 222203初二(3)班L4206072001070301221毕智毅2 222203初二(3)班L4206072001070800821张碧茹2 222203初二(3)班L4206072001071900461曾三峡2 222203初二(3)班L4206072001112000671何露琪2 222203初二(3)班L4206072001120200841罗莎2 222203初二(3)班L42060720020102006X1刘文洁2 222203初二(3)班L4206072002072100831周敏欣2 222203初二(3)班L4206072000032700411顾思雨2 221222204初二(4)班L4206071999072100701张守文1 222204初二(4)班L4206072001042800381罗道安1 222204初二(4)班L4206072001011700361杨善瑶1 222204初二(4)班L42060720000602011X1黄雨龙1 222204初二(4)班L4206072000021400181董澳华1 222204初二(4)班L4206072000050400551柏瑞1 222204初二(4)班L4206072001120900311黄雪庭1222204初二(4)班L4206072001042600961朱剑秋1 222204初二(4)班L4206072001080500371余雨洋1 222204初二(4)班L42060720010319009X1张龙1 222204初二(4)班L4206072001101300951袁一鸣1 222204初二(4)班L4206072000100200321罗雨龙1 222204初二(4)班L4206071999100901371赵喜成1 222204初二(4)班L4206072001022200151赵星豪1 222204初二(4)班L4206072001032500561刘磊1 222204初二(4)班L42060720010202011X1李瑞1 222204初二(4)班L4206072000111800541周子豪1 222204初二(4)班L4206072000051500511柏飞1 222204初二(4)班L4206072001070300341严高琪1 222204初二(4)班L4206072001083000751王鑫杨1 222204初二(4)班L42060720010613005X1袁凯1 222204初二(4)班L4206072000060100931朱云龙1 222204初二(4)班L4206072000090401671袁子君2 222204初二(4)班L4206072001080200811江霞2 222204初二(4)班L4206072000120300821裴子君2 222204初二(4)班L4206072000122600481李林2 222204初二(4)班L4206072000121700851李诗涵2 222204初二(4)班L4206072000071400411李娇龙2 222204初二(4)班L4206072000040100491李博琪2 222204初二(4)班L4206072000072800601韩子琦2 222204初二(4)班L4206072001012500281庞智怡2 222204初二(4)班L4206072000090900411蒋重阳2 222204初二(4)班L4206072001110300881张星2 222204初二(4)班L4206072000020800861张希希2 222204初二(4)班L4206072002022800661刘娟2 222204初二(4)班L4206072000053000641裴紫玉2 222204初二(4)班L4206072001042600451周俊雅2 222204初二(4)班L4206072001080700621陈玉2 222204初二(4)班L4206072001101800841余思雨2 222204初二(4)班L4206072001101500451陈思雨2 222204初二(4)班L4206072001010600481吴庆雪2 222204初二(4)班L4206072000091101021朱丹丹2 222204初二(4)班L4206072001060700261徐晟妮2 222204初二(4)班L4206072001042300651鞠颖2 222204初二(4)班L4206072001020300431黄梦霞2 222204初二(4)班L42060720021212004X1江雪2 221222205初二(5)班L4206072000070601131朱瑞1 222205初二(5)班L4206072000092701141严海龙1 222205初二(5)班L4206072001051900181李俊枭1 222205初二(5)班L4206072000090901721孙光威1 222205初二(5)班L4206072001062000701赵官武1 222205初二(5)班L4206072002052100711张洪飞1 222205初二(5)班L4206072000022001131李瑞龙1 222205初二(5)班L4206072001012400301严尚琨1 222205初二(5)班L4206072001012600901李赵威1222205初二(5)班L4206072001011800151朱梦洁1 222205初二(5)班L4206072000050800301陶龙1 222205初二(5)班L4206072001101200731严泽群1 222205初二(5)班L4206072000061000131付顺强1 222205初二(5)班L42060720011029003X1杜保廷1 222205初二(5)班L4206072000031400951毛龙1 222205初二(5)班L4206072001060700341章豪豪1 222205初二(5)班L4206072000071900731胡瑞1 222205初二(5)班L4206072000080500721樊宇翔1 222205初二(5)班L4206072000022100981汪波1 222205初二(5)班L42060720001001007X1潘俊杰1 222205初二(5)班L4206072000091900341刘闯1 222205初二(5)班L4206071999062600761张宇陇1 222205初二(5)班L4206072001041300801张欣2 222205初二(5)班L4206072000100101091许思怡2 222205初二(5)班L4206072000121900431赵梦玲2 222205初二(5)班L4206072001070700601方巧云2 222205初二(5)班L4206072000070701271陈梦婷2 222205初二(5)班L4206072001112200681祝毅2 222205初二(5)班L4206072000051100411许婷2 222205初二(5)班L4206072001101900201杨红婷2 222205初二(5)班L4206072000091900851彭欢欢2 222205初二(5)班L4206072000050500261陶芳婷2 222205初二(5)班L42060720000806006X1徐星2 222205初二(5)班L4206071999081801251赵静2 222205初二(5)班L4206072000012600851刘思雨2 222205初二(5)班L4206072001102700631张冉2 222205初二(5)班L4206072001080500291庞若希2 222205初二(5)班L4206072001101300281朱苗苗2 222205初二(5)班L42060719990817004X1王焕2 222205初二(5)班L4206072000082100641黄琪2 222205初二(5)班L4206072001082300461尤小艳2 222205初二(5)班L4206072001030200661孙思琴2 222205初二(5)班L4206072000013000671朱俊丽2 222205初二(5)班L4206072001041301011张曼莉2 222205初二(5)班L4206072000011100441汤世纪2出生日期体重肺活量50米跑立定跳远坐位体前屈2001-090-91655535007.6230131705932007.8238181725329008.1220111585229807.9210101655229508.421591634831007.824091645031407.921581665628007.6218111666033007.3210131705935007.5220151555233507.523091565633607.4198101625132107.822591585032507.6215121686332807.3226151596233507.2218171585634007.5210161625832107.8209131645733107.9215111595032107.820491685529008.2210121665929108.4240171694634008.4220161625131008.8227131564829808.3185151604930008.7176111585021008.8169131604925009176151554824508.817891495126508.9182101524425509.119091484726008.4200121534228008.3194151564627008.4175171544529008.5187161584125608.3176131544224008.6174111604120008.717291594021008.7170121534525008.6185141504523008.3184181724625308.3176201554324108.216919158462*********1645021008173211666033007.3210131485229808.8169131655229508.421591634831007.824091645031407.921581665628007.6218111545233008.2210121645031407.921581665628007.6218111666033007.3210131705935007.5220151555233507.523091565633607.4198101625132107.822591564931408.7170121665628007.6218111666033007.3210131705935007.5220151555233507.523091565633607.4198101625132107.822591585032507.6215121686332807.3226151596233507.2218171584929508.318418800米跑1000米跑一分钟仰卧起引体向上4.15124.25104.3594.2584.34.25143.25113.3593.15103.55163.5583.45173.55123.25153.35144.15154.1154.15134.25134.35124.25113.25394.05424.15373.55403.25383.35413.15383.45393.45423.25384.05394.25423.55373.25403.25383.15413.45384.05424.05454.25393.55353.253.253.35103.15163.5583.55173.45123.55153.25143.35154.15154.1134.15134.25124.35113.55123.45143.55113.2593.35104.15164.194.15114.2593.55123.4511 3.45403.25384.05414.25383.55393.25423.25383.15393.45424.05373.45403.15383.45413.45383.25424.05424.25423.45384.05393.45423.15374.25114.15103.25163.4584.15173.55123.55154.25144.45154.35154.25134.3134.25123.25113.35123.15143.55113.5593.45103.55163.2594.25103.25113.559 3.25393.35423.15383.45393.45423.25374.05404.25383.55413.25383.25423.15423.45424.05393.45423.15383.45393.45423.25374.05404.25384.25163.2583.35174.15123.55153.55144.25153.55153.25134.15134.15124.1114.15124.25144.3114.0593.25163.5584.15173.55123.55154.2514 3.15383.45393.45423.25374.05404.25383.55413.25383.25423.15423.45424.05393.45423.35383.15393.45424.05373.45403.35383.55393.25424.05374.25403.55384.35134.25124.3114.25123.25143.35114.1593.55173.55124.25153.55143.25154.15154.15134.1134.15124.25114.35124.25154.25143.55153.2515 3.15383.45413.45383.25424.05424.25423.55393.25423.25383.15393.45424.05373.45403.35383.45393.25424.05374.25383.55413.25383.25423.15423.4542。
年级编号班级编号班级名称学号民族代码姓名性别出生日期333332高32班330001赵旭东1333332高32班330002杨侣1333332高32班330003石毅1333332高32班330004田静军1333332高32班330005陈重考1333332高32班330006刘泽霖1333332高32班330007凡鹏1333332高32班330008甘永熙1333332高32班330009任勇1333332高32班330010刘进1333332高32班330011左鸿江1333332高32班330012吴限1333332高32班330013杨文政1333332高32班330014田智辉1333332高32班330015刘琴云1333332高32班330016王波1333332高32班330017揭博1333332高32班330018张海兵1333332高32班330019胡民东1333332高32班330020杨柳1333332高32班330021杨超1333332高32班330022覃伟1333332高32班330023龙超1333332高32班330024谯勤江1333332高32班330025符洲1333332高32班330026向杰1333332高32班330027雷开堂1333332高32班330028王顺1333332高32班330029陈佳2333332高32班330030姬燕2333332高32班330031杨蓉2333332高32班330032严群2333332高32班330033敖天艳2333332高32班330034刘欢琳2333332高32班330035易明月2333332高32班330036冉婷婷2333332高32班330037任嘉新2333332高32班330038刘琴2333332高32班330039代成苹2333332高32班330040姜三妹2333332高32班330041童欣2333332高32班330042甘旭2333332高32班330043彭玉霞2333332高32班330044刘敏2333332高32班330045游晓玲2333332高32班330046肖乔芬2333332高32班330047黄昌燕2333332高32班330048冉茂芬2333332高32班330049张文华2333332高32班330050冯莎莎2333332高32班330051黄佳欣2333332高32班330052罗淦2333332高32班330053罗乐2333332高32班330054周念2333332高32班330055蒲红艳2 333332高32班330056杨阳2 333332高32班330057唐小燕2 333332高32班330058王桂芬2 333333高33班330059刘文贤1 333333高33班330060张澳1 333333高33班330061刘浪1 333333高33班330062刘鹏1 333333高33班330063刘金彪1 333333高33班330064吴文学1 333333高33班330065陈周1 333333高33班330066黄爱民1 333333高33班330067夏世超1 333333高33班330068刘曜1 333333高33班330069王星1 333333高33班330070金杰1 333333高33班330071杨美1 333333高33班330072罗非凡1 333333高33班330073吴汉1 333333高33班330074杨波1 333333高33班330075姜思高1 333333高33班330076李永远1 333333高33班330077田成1 333333高33班330078彭亮1 333333高33班330079李悦1 333333高33班330080侯永江1 333333高33班330081王涛1 333333高33班330082黄图林1 333333高33班330083谯程元1 333333高33班330084侯根1 333333高33班330085陈健康1 333333高33班330086袁永胜1 333333高33班330087吴益1 333333高33班330088姜启远1 333333高33班330089马菲2 333333高33班330090黄君怡2 333333高33班330091高玲2 333333高33班330092姬青青2 333333高33班330093邱柔2 333333高33班330094兰青2 333333高33班330095孟菁菁2 333333高33班330096詹倩2 333333高33班330097雷勤2 333333高33班330098许敏2 333333高33班330099程福平2 333333高33班330100万肖杨2 333333高33班330101龙忆莲2 333333高33班330102罗婷婷2 333333高33班330103杨瑶2 333333高33班330104文莎莎2 333333高33班330105吴会琳2 333333高33班330106龙清清2 333333高33班330107任闵2 333333高33班330108曾双莉2 333333高33班330109吴沙沙2333333高33班330110瞿敏2 333333高33班330111曾燕2 333333高33班330112代海燕2 333333高33班330113张钱燕2 333333高33班330114曹海林2 333333高33班330115田雪梅2 333333高33班330116向雪琴2 333333高33班330117吴智香2 333334高34班330118雷天保1 333334高34班330119石敬1 333334高34班330120周路刚1 333334高34班330121贺猛1 333334高34班330122钟凌云1 333334高34班330123敖帅1 333334高34班330124欧阳诺1 333334高34班330125田慧1 333334高34班330126冉秀斌1 333334高34班330127游飞1 333334高34班330128程旭松1 333334高34班330129瞿秀云1 333334高34班330130黄品1 333334高34班330131杨前飞1 333334高34班330132余鹏飞1 333334高34班330133滕涛1 333334高34班330134王继权1 333334高34班330135付吉祥1 333334高34班330136张西宏1 333334高34班330137吴成明1 333334高34班330138杨长江1 333334高34班330139陈玉飞1 333334高34班330140黄宏1 333334高34班330141胡启成1 333334高34班330142黄文全1 333334高34班330143霍嘉航2 333334高34班330144梁莹2 333334高34班330145肖思琪2 333334高34班330146吴倩2 333334高34班330147杨佳惠2 333334高34班330148刘娜琳2 333334高34班330149胡云2 333334高34班330150李萍2 333334高34班330151徐珊2 333334高34班330152王乔芬2 333334高34班330153杨东艳2 333334高34班330154刘元英2 333334高34班330155张月娟2 333334高34班330156刘莉2 333334高34班330157陈佳丽2 333334高34班330158代成惠2 333334高34班330159杨敏2 333334高34班330160覃会2 333334高34班330161杨宇2 333334高34班330162杨丽娟2 333334高34班330163刘娅2 333334高34班330164敖慧2333334高34班330165曾双燕2 333334高34班330166龚永芳2 333334高34班330167高梦洁2 333334高34班330168谭倩倩2 333334高34班330169姜自芳2 333334高34班330170李俊迪2 333334高34班330171陈静思2 333335高35班330172吴启华1 333335高35班330173周江龙1 333335高35班330174何佳顺1 333335高35班330175杨澜1 333335高35班330176田闯1 333335高35班330177滕钊1 333335高35班330178姜彦红1 333335高35班330179罗文1 333335高35班330180胡远飞1 333335高35班330181贺超1 333335高35班330182刘逸桥1 333335高35班330183黄天明1 333335高35班330184杨伟1 333335高35班330185姜俊1 333335高35班330186杨欢1 333335高35班330187杨胜建1 333335高35班330188张轩1 333335高35班330189陈强1 333335高35班330190吴晗1 333335高35班330191杨永尧1 333335高35班330192杨延广1 333335高35班330193万天佐1 333335高35班330194代杰1 333335高35班330195吴亚江1 333335高35班330196张涛1 333335高35班330197刘金华1 333335高35班330198姜永松1 333335高35班330199杨青松1 333335高35班330200杨超1 333335高35班330201罗臻1 333335高35班330202谭政1 333335高35班330203张志1 333335高35班330204李林海1 333335高35班330205龙小松1 333335高35班330206代远富1 333335高35班330207田青青1 333335高35班330208廖永华1 333335高35班330209代磊1 333335高35班330210刘亮志1 333335高35班330211凡炬1 333335高35班330212王奎1 333335高35班330213冉昆1 333335高35班330214杨乔保1 333335高35班330215杨玉凤2 333335高35班330216安忠慧2 333335高35班330217刘李2 333335高35班330218李雪芳2 333335高35班330219杨春艳2333335高35班330220董孝敏2 333335高35班330221杨洪梅2 333335高35班330222陈静2 333335高35班330223雷露2 333335高35班330224姬江闵2 333335高35班330225吴莎莎2 333336高36班330226田鸟1 333336高36班330227刘晋豪1 333336高36班330228李永家1 333336高36班330229张雄锋1 333336高36班330230石鑫1 333336高36班330231李雷1 333336高36班330232秦鹏1 333336高36班330233陈金华1 333336高36班330234刘青松1 333336高36班330235姜鹏1 333336高36班330236任李雄1 333336高36班330237杨珊瑚1 333336高36班330238胡廷勇1 333336高36班330239李宽1 333336高36班330240李春林1 333336高36班330241陈青山1 333336高36班330242黄世定1 333336高36班330243龙学勇1 333336高36班330244张雨1 333336高36班330245黄宇峰1 333336高36班330246黄耀1 333336高36班330247彭超1 333336高36班330248李江1 333336高36班330249胡跃东1 333336高36班330250王雷1 333336高36班330251杨云清1 333336高36班330252张绍健1 333336高36班330253杨志1 333336高36班330254杜艺韬1 333336高36班330255宋涛1 333336高36班330256杨康1 333336高36班330257沈冬星1 333336高36班330258李作兵1 333336高36班330259刘鹏1 333336高36班330260凡涛1 333336高36班330261杨松1 333336高36班330262宋先前1 333336高36班330263吴宇珊2 333336高36班330264罗玲2 333336高36班330265薛成2 333336高36班330266任琏2 333336高36班330267熊芳丽2 333336高36班330268田轶岚2 333336高36班330269杨敏慧2 333336高36班330270姚娟2 333336高36班330271龙婷2 333336高36班330272黄桂芬2 333336高36班330273成兰2 333336高36班330274陈琼2333336高36班330275代娟2 333336高36班330276吴莎2 333336高36班330277李浩阳2 333336高36班330278陈肇芹2 333337高37班330279冯弈新1 333337高37班330280王猛1 333337高37班330281刘志杰1 333337高37班330282王飘1 333337高37班330283舒林凯1 333337高37班330284田猛1 333337高37班330285宁力1 333337高37班330286张仕洞1 333337高37班330287张懿1 333337高37班330288宋建强1 333337高37班330289符前东1 333337高37班330290杨睿智1 333337高37班330291刘锋1 333337高37班330292钟靖1 333337高37班330293王康1 333337高37班330294龙大睿1 333337高37班330295周豪1 333337高37班330296张宏1 333337高37班330297杨辉1 333337高37班330298刘强1 333337高37班330299杨运1 333337高37班330300龙熊1 333337高37班330301田尧1 333337高37班330302王世飞1 333337高37班330303滕彪1 333337高37班330304杨彪1 333337高37班330305向文生1 333337高37班330306王彪1 333337高37班330307甄科1 333337高37班330308李明明1 333337高37班330309滕琦2 333337高37班330310张婷2 333337高37班330311刘婷2 333337高37班330312陆艳霞2 333337高37班330313刘国艳2 333337高37班330314宋怡梅2 333337高37班330315郑益珍2 333337高37班330316杨燕2 333337高37班330317郭钱芬2 333337高37班330318任云飞2 333337高37班330319肖芳2 333337高37班330320罗万莎2 333337高37班330321吴树英2 333337高37班330322杨婷2 333337高37班330323向海英2 333337高37班330324肖友英2 333337高37班330325代方芳2 333338高38班330326刘杨洋1 333338高38班330327杨家隆1 333338高38班330328徐玉光1 333338高38班330329黄礼锐1333338高38班330330肖广1 333338高38班330331黄涛1 333338高38班330332陈进1 333338高38班330333陈伦1 333338高38班330334姚远1 333338高38班330335雷世海1 333338高38班330336杨益1 333338高38班330337周敏红1 333338高38班330338石举1 333338高38班330339冯永波1 333338高38班330340田龙胜1 333338高38班330341周涛1 333338高38班330342刘志明1 333338高38班330343孟昭1 333338高38班330344杨夕1 333338高38班330345严双桥1 333338高38班330346唐明靖1 333338高38班330347赵春林1 333338高38班330348杨德1 333338高38班330349李兴学1 333338高38班330350杨昌学1 333338高38班330351张森1 333338高38班330352姜彦平1 333338高38班330353杨亚军1 333338高38班330354明槐1 333338高38班330355郭高龙1 333338高38班330356杨政龙1 333338高38班330357舒维1 333338高38班330358袁申超1 333338高38班330359王怡1 333338高38班330360石菲菲2 333338高38班330361徐畅2 333338高38班330362粟娅敏2 333338高38班330363严慧2 333338高38班330364杨芳2 333338高38班330365周霖2 333338高38班330366谭虹廷2 333338高38班330367任丽云2 333338高38班330368田茂娅2 333338高38班330369刘娟2 333338高38班330370杨柳岑2 333338高38班330371刘露2 333338高38班330372雷慧2 333338高38班330373刘秀2 333338高38班330374梅连志2 333338高38班330375田和位2 333338高38班330376杨莎2 333339高39班330377李云龙1 333339高39班330378胡卓1 333339高39班330379罗朝武1 333339高39班330380杨维1 333339高39班330381肖子豪1 333339高39班330382黄崟1 333339高39班330383李文举1 333339高39班330384何涛1333339高39班330385杨进1 333339高39班330386刘頔1 333339高39班330387王小龙1 333339高39班330388姚才才1 333339高39班330389郑泽文1 333339高39班330390陈成1 333339高39班330391刘文平1 333339高39班330392张齐家1 333339高39班330393陈元魁1 333339高39班330394龚印榕1 333339高39班330395凡邦1 333339高39班330396吴佳冰1 333339高39班330397伍扬1 333339高39班330398龙江洋1 333339高39班330399杨潍泽1 333339高39班330400游沙1 333339高39班330401雷礼辉1 333339高39班330402曾辉1 333339高39班330403张盼1 333339高39班330404柴泽胜1 333339高39班330405薛振宇1 333339高39班330406周书安1 333339高39班330407尚义坤1 333339高39班330408罗鹏乙1 333339高39班330409宋海瑞1 333339高39班330410王大龙1 333339高39班330411李堂淦1 333339高39班330412龙华1 333339高39班330413袁智宏1 333339高39班330414杨力1 333339高39班330415严代鼎1 333339高39班330416李金鹏1 333339高39班330417蒋长雄1 333339高39班330418黎晓卉2 333339高39班330419田艳华2 333339高39班330420陈娇2 333339高39班330421刘沙2 333339高39班330422任廷仙2 333339高39班330423杨孟雪2 333339高39班330424杨洁2 333339高39班330425胡仕敏2 333339高39班330426胡竞丹2 333339高39班330427杨琪2 333354高54班330428何兴1 333354高54班330429杨林1 333354高54班330430成顺江1 333354高54班330431陈帅1 333354高54班330432陈振华1 333354高54班330433雷锋1 333354高54班330434冉友武1 333354高54班330435雷黔杨1 333354高54班330436陈坤1 333354高54班330437黄超1 333354高54班330438杨顺桥1 333354高54班330439万印1333354高54班330440张洁俊1 333354高54班330441杨鹏1 333354高54班330442游翔宇1 333354高54班330443成炳军1 333354高54班330444杨世洪1 333354高54班330445邓天成1 333354高54班330446李雷1 333354高54班330447吴培云1 333354高54班330448黄黔东1 333354高54班330449石云发1 333354高54班330450安然1 333354高54班330451张江德1 333354高54班330452冉连勇1 333354高54班330453肖孟平1 333354高54班330454王超1 333354高54班330455谢稳1 333354高54班330456李志勇1 333354高54班330457周林果1 333354高54班330458杨再富1 333354高54班330459冉隆骁1 333354高54班330460张伟1 333354高54班330461袁彬1 333354高54班330462陈辉1 333354高54班330463张玉宽1 333354高54班330464陈德龙1 333354高54班330465冉跃1 333354高54班330466代华兵1 333354高54班330467敖芳芳2 333354高54班330468郭孟兰2 333354高54班330469杨雪2 333354高54班330470符海娜2 333354高54班330471田洪丽2 333354高54班330472周丹2 333354高54班330473冉玉婷2 333354高54班330474胡粒2 333354高54班330475杨雪萍2 333354高54班330476李芳2 333354高54班330477陈丽2 333354高54班330478张钱妹2 333355高55班330479陈作1 333355高55班330480邹剑锋1 333355高55班330481张兴1 333355高55班330482田爽1 333355高55班330483黄鑫1 333355高55班330484雷江1 333355高55班330485罗代欢1 333355高55班330486代刚1 333355高55班330487姚朋1 333355高55班330488谢刚1 333355高55班330489唐超1 333355高55班330490汤豪1 333355高55班330491吴羽1 333355高55班330492陈朝阳1 333355高55班330493蒋自能1 333355高55班330494黄维前1333355高55班330495吴渊1 333355高55班330496彭阳1 333355高55班330497陈世界1 333355高55班330498林晨1 333355高55班330499刘关明1 333355高55班330500陈冲冲1 333355高55班330501冯健康1 333355高55班330502杨再有1 333355高55班330503张海斌1 333355高55班330504杨帆1 333355高55班330505田翔宇1 333355高55班330506曾志1 333355高55班330507田森1 333355高55班330508赵武星1 333355高55班330509李强富1 333355高55班330510刘文祥1 333355高55班330511胡杨海1 333355高55班330512陈朋1 333355高55班330513张承1 333355高55班330514侯超1 333355高55班330515石新安1 333355高55班330516杨斌权1 333355高55班330517喻碧2 333355高55班330518古丽君2 333355高55班330519金慧2 333355高55班330520游文林2 333355高55班330521黎琼2 333355高55班330522姚惠玲2 333355高55班330523刘航2 333355高55班330524田丽2 333355高55班330525罗雪婷2 333355高55班330526杨锐涵2 333355高55班330527陈怡2 333355高55班330528廖玲2 333355高55班330529曾贵琴2 333356高56班330530向锋1 333356高56班330531肖杨1 333356高56班330532田旭斌1 333356高56班330533张浩1 333356高56班330534林建坪1 333356高56班330535胡山1 333356高56班330536何奇1 333356高56班330537宋锐1 333356高56班330538石忠海1 333356高56班330539冉景浪1 333356高56班330540卢义1 333356高56班330541杨辉1 333356高56班330542谯东东1 333356高56班330543李永华1 333356高56班330544唐臣忠1 333356高56班330545龙江兴1 333356高56班330546方敏2 333356高56班330547邹艺2 333356高56班330548张涵2 333356高56班330549周娅玲2333356高56班330550李佳奇2 333356高56班330551谯会容2 333356高56班330552甘舒梅2 333356高56班330553涂尹2 333356高56班330554黄蓉2 333356高56班330555何玉婷2 333356高56班330556陈娟2 333356高56班330557周飞2 333356高56班330558杨洁2 333356高56班330559李叶2 333356高56班330560张红平2 333356高56班330561张彩红2 333356高56班330562杨莹2 333356高56班330563侯鸿雁2 333356高56班330564张秋月2 333356艺术班330565敖天林1 333356艺术班330566张敏1 333356艺术班330567米长江1 333356艺术班330568吴锐1 333356艺术班330569辛律瑾1 333356艺术班330570唐三1 333356艺术班330571李寿鹏1 333356艺术班330572戴祥文1 333356艺术班330573游超1 333356艺术班330574杨通永1 333356艺术班330575雷飞1 333356艺术班330576杨保1 333356艺术班330577黄昌渊1 333356艺术班330578李滔1 333356艺术班330579吴树芬2 333356艺术班330580尹涵2 333356艺术班330581陈竹丽2 333356艺术班330582刘渊2 333356艺术班330583刘立立2家庭住址身高体重肺活量50米跑贵州省沿河县泉坝乡黄池村岭上组贵州省江口县坝盘乡合寨村烂泥组贵州省江口县坝盘乡铁广村夏家冲石家组贵州省沿河土家族自治县和平镇解放南路68号贵州省铜仁市锦江西路5号附8号贵州省铜仁市江口县德旺净河村老屋常组贵州省江口县坝盘乡铁广村小唐组贵州省印江土家族苗族自治县洋溪镇曾心村大屋基组贵州省印江土家族苗族自治县洋溪镇蒋家坝村大院子组贵州省岑巩县天马镇天马村张家洞组贵州省江口县坝盘乡高墙村余地组贵州省江口县双江镇双芩村牛声组贵州省江口县太平乡芩忙村五组贵州省沿河县土家族自治县黑水乡爱群村杉树林组贵州省江口县闵孝镇红石村青山坡组贵州省江口县张屯乡合寨村半背组贵州省江口县闵孝镇哨上街贵州省江口县怒溪乡龙眉村马贵坡组贵州省江口县坝盘乡挂扣村管家湾组贵州省江口县太平乡岑忙村十一组贵州省铜仁市大坪乡大冲村塘元组贵州省江口县坝盘乡张屯村毛塘组贵州省江口县太平乡梵浄山村上寨组贵州省沿河土家族自治县谯家镇韩家村韩家组贵州省沿河土家族自治县谯家镇符家村关府林组贵州省石阡县本庄镇沙坪村施力沟组贵州省印江土家苗族自县杨柳乡新屯村翁角坝组贵州省铜仁市松桃县寨英镇举贤村贵州省江口县德旺乡茶寨村茶寨坝组贵州省江口县闵孝镇闵家长村长沙坝组贵州省江口县闵孝镇提红村杉树组贵州省江口县德旺乡清溪村赵家寨组贵州省铜仁市印江县缠溪镇湄坨村梅塘组贵州省江口县路溪乡龙眉村民心组贵州省江口县双江镇民俗街德江县青龙镇香树路利民二巷411号贵州省江口县桃映乡茶溪村河坝组贵州省江口县怒溪龙眉村合心组贵州省江口县官和乡泗渡村余家庆组贵州省松桃县普觉乡高坎村贵州省石阡县石固乡龙塘坳村公鹅坳组贵州省印江县洋溪镇曾心村大屋基组贵州省印江土家族苗族自治县杨柳乡竹林村大竹林组贵州省江口县怒溪乡龙眉村民心组贵州省江口县民和乡洪坪村新九组贵州省江口县路溪乡骆象村石明组贵州省铜仁市江口县双江镇环城西路贵州省石阡县本庄镇沙坪村下沙坝组贵州省江口县德旺乡坝梅村中奋田组贵州省沿河土家族自治县和平镇解放南路68号贵州省沿河土家族自治县和平镇环城北路103号贵州省铜仁市环西路22号附12号贵州省江口县双江镇黑岩村湾一组贵州省江口县双江镇双岑村岑桃三组贵州省石阡县本庄镇白龙村岩底组贵州省德江县青龙镇五星村罗家寨组142号贵州省江口县民和乡艾坪村芭木坪组贵州省民和乡苗云村新10组贵州省江口县桃映乡新寨村四组江口县闵孝镇提红村过江组江口县双江镇金钟村五星二组贵州省铜仁市江口县太平乡寨抱村江口县桃映乡龙家沟组贵州省江口县民和乡铁厂村新十三组贵州省江口县桃映乡新寨村二组贵州省铜仁市百花大道江口县民和乡洪坪岑巩县天马镇天马村张家洞组贵州省江口县环西车站贵州省石阡县石固乡石场村上坝组贵州省印江县土家族苗族自治县合水镇坪楼村一组贵州省江口县坝盘乡张屯村贵州省江口县太平乡太平村槐花组贵州省江口县桃映乡溪口村向家沟组贵州省松桃县苗族自治县普觉镇高坎村打马溪组贵州省 铜仁市 石阡县 花桥镇 鸭头坡村 大庄组贵州省铜仁市江口县桃应乡岑塘村小沟组贵州省石千县石固乡石场村大寨组贵州省江口县桃映乡茶溪村田坝组贵州省铜仁市江口县民和乡洪坪村贵州省州省松桃县寨英镇举贤村下院子组贵州省印江县洋溪镇蒋家坝村望田坝组石阡县本庄镇葛彰长司组江口县民和乡洪坪村新十一组江口县磨湾村上寨三组贵州省印江土家族苗族自治县洋溪镇王家坡村高家屋基组贵州省江口县闵孝镇提红村上院二组江口县怒溪乡龙眉村贵州省江口县官和乡老屋组贵州省江口县官和乡泗渡村李兴坡组贵州省铜仁市江口县双江镇镇江村11组贵州省,铜仁地区;江口县,闵孝镇,闵家场村,长沙坝组贵州省铜仁市延新路1-1号贵州省铜仁市江口县闵孝镇闵家场村松林组贵州省印江县沙子坡镇池坝村下孟组贵州省江口县双江镇河滨东路贵州省松桃县普觉镇山口村麻山头二组贵州省铜仁市江口县双江镇金钟村五里一组贵州省江口县德旺乡坝梅村梅溪组贵州省江口县坝盘乡张屯村玉溪屯组贵州省江口县坝盘镇铁广村杨家组贵州省铜仁市沿河县淇滩镇和平村老寨坝组贵州省江口县怒贵州省江口县坝盘乡坝盘村盐井组贵州省江口县民和乡黄柏山村新十组贵州省石阡县本庄镇葛闪渡江口县德旺乡清溪村中岭组贵州省印江土家族苗族自治县缠溪镇曾家村芋头坨组贵州省铜仁市江口县怒溪乡骆象村关州组江口县德旺乡清溪村八坡组贵州省石阡县本庄镇庄乐村柿花坝组贵州省印江土家族苗族自治县杨柳乡白虎咀村白虎咀组贵州省江口县怒溪乡龙眉村马贵坡组江口县德旺乡界泡木组江口县梵净山南路贵州省江口县桃映乡桃映村岑塘组江口县怒溪乡地楼村岩湾组贵州省江口县怒溪乡龙眉村中心组贵州省铜仁市江口县双江镇金钟村芭蕉组贵州省江口县民和乡洪坪村四组贵州省沿河土家族自治县黑獭乡射香村贺家组贵州省铜仁市百花大道70号附10号贵州省江口县德旺乡坝梅村梅溪组贵州省江口县桃映乡溪口村十八组贵州省江口县德旺乡坝梅村中分田组贵州省江口县民和乡龙兴村坪大河组贵州省江口县民和乡洪坪村九组贵州省印江土家族苗族自治县缠溪镇打杵坳村洞门湾组贵州省岑巩县凯本乡凯阳村石大门组江口县太平乡龙沛组贵州省江口县桃映乡溪口村一组贵州省江口县闵孝镇提红村洞口组贵州省铜仁市梵净山大道82号B栋二单元504室贵州省江口县桃映乡新寨村五组贵州省印江土家族苗族自治县杨柳乡白虎嘴村沙坝组贵州省江口县闵孝镇闵家场村小溪一组贵州省江口县双江镇城郊村云盘一组贵州省江口县双江镇槐枫村红上组贵州省江口县官和乡泗渡村和尚坪组贵州省铜仁市坝黄镇龙井村寨中组贵州省江口县坝盘乡合心村牛角组贵州省江口县怒溪乡梵星村老屋组贵州省德江县青龙镇红旗街77附4号贵州省印江土家族苗族自治县缠溪镇打杵坳村土坪一组贵州省江口县双江镇三星东路龙井广场贵州省铜仁市江口县闵孝镇峰坝村万福组贵州省铜仁市花果山南路35号附7号贵州省江口县双江镇磨湾村勤奔组贵州省江口县太平乡太平村百合组贵州省江口县德旺乡坝梅村大榜组江口县双江镇三星东路贵州省江口县怒溪乡怒溪村王家组贵州省江口县太平乡岑忙村六组贵州省江口县桃映乡新寨村二组贵州省江口县民和乡龙兴村腊岩组江口县金钟村五星一组贵州省江口县双江镇双芩村芩桃二组贵州省江口县官和乡泗渡村余家庆组贵州省江口县闵孝镇峰坝村王家铺组贵州省江口县闵孝镇中练村大土组贵州省江口县太平乡太平村平南组贵州省江口县坝盘乡合寨村大沟组贵州省印江土家族苗族自治县洋溪镇新黔村刘家坪贵州省江口县德旺乡坝梅村大榜组印江土家族苗族自治县缠溪镇曾家村芋头坨组贵州省松桃苗族自治县黄板乡黄板村贵州省江口县官和乡新田村刘家坡组贵州省江口县德旺乡德旺村棋树坪组贵州省石阡县本庄镇新庄社区乌江小区江口县闵孝镇哨上街贵州省沿河土家族自治县谯家镇符家村生苗组贵州省铜仁市江口县闵孝镇提红村下院组贵州省印江县沙子坡镇居委会贵州省印江土家族苗族自治县洋溪镇双龙村水车坝组贵州省铜仁市江口县闵孝镇哨上社区贵州省沿河县沙子镇新沙村码头组贵州省江口县滨江街贵州省江口县怒溪乡龙眉村云心组贵州省江口县民和乡民和村新三组贵州省铜仁地区印江县沙子坡镇冷草村大田组贵州省江口县民和乡民和村上街组贵州省江口县双江镇金钟村五星二组贵州省 铜仁市 江口县 闵孝镇 新岭村 麦子塘组贵州省铜仁市江口县德旺乡坝梅村大火焰组贵州省江口县民和乡艾坪村坡背组贵州省铜仁市坝黄镇木弄村鱼坳组贵州省铜仁市江口县民和乡铁厂村岩落坪新十一组贵州省江口县怒溪乡梵星村上坎组贵州省沿河县黄土乡大元村陈家组贵州省江口县坝盘乡张屯村大潭溪组贵州省沿河县塘坝乡花桥村黄泥坡组贵州省江口县双江镇三星东路贵州省江口县闵孝镇中练村泡木组贵州省江口县怒溪乡上街组贵州省江口县德旺乡净河村贵州省石阡县本庄镇沙坪村黎家坝组贵州省江口县桃映乡万明村小楼组贵州省江口县怒溪镇地楼村大坪组贵州省江口县闵孝镇平寨村岩头坡组贵州省江口县桃映乡溪口村五组贵州省江口县坝盘乡张屯村张屯组贵州省沿河县黑獭乡射香村八组贵州省铜仁市江口县太平乡快场村单屯组贵州省沿河县谯家镇贵州省沿河土家族自治县新景乡龙山村龙家湾组贵州省印江土家族苗族自治县缠溪镇打杵场村湾里组贵州省印江县永义乡团龙村建新组贵州省江口县坝盘乡坝盘村上街组贵州省印江县永义乡团龙村代家组贵州省江口县民和乡凯里村新九组贵州省江口县民和乡黄柏山村五组贵州省铜仁地区江口县太平乡寨抱村岑舍组贵州省石阡县本庄镇梅花小区贵州省江口县民和乡铁厂村新十一组贵州省江口县桃映乡溪口村十八组贵州省江口县德旺村大坪坡组贵州省铜仁市江口县桃映乡桃映村兴隆组贵州省江口县民和乡铁厂村新七组贵州省江口县德旺乡大坪坡组贵州省石阡县河坝场乡河坝村筲箕湾组贵州省江口县双江镇凯市村新田坝组贵州省江口县德旺乡茶寨村大溪沟组贵州省江口县闵孝镇闵家场村长沙坝组贵州省江口县怒溪乡地楼村岩湾组贵州省沿河土家族自治县官舟镇集中村新民二组贵州省铜仁市江口县民俗街贵州省石阡县花桥镇鸭头坡村大庄组贵州省印江土家族苗族自治县洋溪镇曾心村大屋基组贵州省江口县坝盘乡铁广村夏家组贵州省江口县坝盘乡张屯村玉溪组贵州江口双江镇胜利街38-8号贵州省江口县官和乡江溪屯村回湾组贵州省沿河县谯家镇耳当村板土组贵州省江口县怒溪乡龙眉村元心组贵州省江口县民和乡民和村新十组贵州省江口县民和乡铁厂村新十一组贵州省沿河土家族自治县泉坝乡泉坡村四组贵州省江口县民和乡铁厂村新9组贵州省沿河土家族自治县谯家镇印山村官庄组贵州省沿河土家族自治县和平镇环城北路165号附1号贵州省江口县坝盘乡挂扣村倂寨组贵州省江口县民和乡民和村新七组贵州省铜仁市江口县桃映镇良善溪村上组贵州省江口县官和乡新田村革坎下组贵州省江口县双江镇金钟村大坳组贵州省铜仁市江口县民和乡凯里村新十组贵州省江口县德旺乡德旺村狮子口组贵州省铜仁地区印江土家族苗族自治县缠溪镇双龙村上小坪组贵州省石阡县龙塘镇大屯村潘家井组贵州省江口县桃映乡溪口村一组贵州省江口县太平乡寨抱村乌坡岭组贵州省江口县双江镇明星村周屯组贵州省沿河土家族自治县夹石镇踩金村九组贵州省沿河自治县土地坳镇五七村青峰组贵州省铜仁市江口县闵孝镇平寨村小兰组贵州省江口县太平乡太平村槐花组贵州省江口县德旺乡净河村徐家沟组贵州省江口县桃映乡桃映村兴勤组贵州省江口县坝盘乡铁广村小塘组贵州省江口县德旺乡德旺村芦塘组贵州省江口县闵孝镇老街村肉行组贵州省铜仁市江口县桃映乡桃映村舒家庄组贵州省江口县桃映乡桃映村下街组贵州省铜仁市江口县坝盘乡上街贵州省印江土家族苗族自治县沙子坡镇桂花村一组贵州省铜仁市江口县德旺乡德旺村大潮组德江县青龙镇钟山西路58~1贵州省江口县闵孝镇鱼良溪村阴溪组贵州省铜仁市江口县明和乡艾坪村坡背组贵州省江口县太平乡苗匡村云组贵州省江口县官和乡泗渡村瓦屋沟组贵州省江口县双江镇金钟村五里二组贵州省铜仁市江口县官和乡江溪屯村胡家屯组。
年级编号班级编号班级名称学号民族代码姓名性别出生日期231120110120113717220722203881刘肖飞11997-11-6 231120110120113717220722203861王浩11999-10-28 231120110120113717220722203911门娅11999-8-10 231120110120113717220722203901孙路11999-10-30 231120110120113717220722200041陈凯11999-2-27 231120110120113717220722200071樊现太11998-12-7 231120110120113717220722200081张宇11998-6-6 231120110120113717220722200091付可11998-6-22 231120110120113717220722200111安阳11999-9-4 231120110120113717220722200131赵云鹏11999-8-19 231120110120113717220722200141刘公建11998-1-12 231120110120113717220722200191李文化11999-3-19 231120110120113717220722200241魏新海11998-5-3 231120110120113717220722200261魏新春12000-2-4 231120110120113717220722200271冯浩12000-3-28 231120110120113717220722200301韦冬青11999-12-16 231120110120113717220722200321付壮11999-11-2 231120110120113717220722200331司传旗11998-6-3 231220110220113717220722200651杨森11999-5-17 231220110220113717220722200691高云丰12000-1-11 231220110220113717220722200771樊明11998-1-2 231220110220113717220722200791李国庆11999-10-18 231220110220113717220722200801张洪森12000-5-19 231220110220113717220722200831刘良11999-3-18 231220110220113717220722200841韩兴松11998-10-28 231220110220113717220722200861刘雷11998-10-17 231220110220113717220722200891门修顺11999-10-20 231220110220113717220722200901魏辉11998-2-10 231220110220113717220722200911双军伟11997-6-4 231220110220113717220722200931周家宝11997-4-18 231220110220113717220722200941凡现亭11997-10-20 231220110220113717220722200961王宗保11998-12-7 231220110220113717220722200971李威11996-2-2 231220110220113717220722200981崔宾12000-10-29 231220110220113717220722201001韦钦政11999-12-18 231220110220113717220722201011王洪领11999-11-9 231220110220113717220722201021范兴壮11998-9-9 231220110220113717220722201031赵群11999-6-15 231320110320113717220722201301陆现振11999-2-2 231320110320113717220722201321许宏圆11996-5-14 231320110320113717220722201331徐基品11998-10-26 231320110320113717220722201351谢颂利11999-9-20 231320110320113717220722201361谢颂海11999-10-12 231320110320113717220722201371张通11998-2-16 231320110320113717220722201381杨瑞11996-11-19231320110320113717220722201391刘洋11999-9-10 231320110320113717220722201401孙鹏11999-1-23 231320110320113717220722201411李国强11999-1-19 231320110320113717220722201421张宁11999-2-22 231320110320113717220722201441张洪现11998-7-8 231320110320113717220722201471张凯11999-9-29 231320110320113717220722201491尤慧明11997-9-10 231320110320113717220722201501蔡本航12000-1-12 231320110320113717220722201511张汉收11999-6-30 231320110320113717220722201531魏新华11998-5-12 231320110320113717220722201581韦可11999-1-6 231320110320113717220722201591韦冲11999-1-30 231320110320113717220722201601苗佳顺11999-7-29 231320110320113717220722201611韦安基11998-3-29 231320110320113717220722201631施乾帅11997-7-28 231320110320113717220722201651刘永灯11998-5-26 231320110320113717220722201661杨成立12000-1-2 231320110320113717220722201671高强11999-2-26 231420110420113717220722201961王奇12000-11-10 231420110420113717220722201981许成文11997-7-11 231420110420113717220722201991苏文帝11996-6-6 231420110420113717220722202001王奇11996-10-15 231420110420113717220722202031刘辉11998-4-16 231420110420113717220722202041谢硕11998-8-15 231420110420113717220722202081王海洋11998-4-10 231420110420113717220722202091李恒11998-8-18 231420110420113717220722202111周家浩11999-5-23 231420110420113717220722202121王恩11999-7-5 231420110420113717220722202141张迪11999-10-18 231420110420113717220722202161孙浩11998-3-20 231420110420113717220722202171杨圣威11997-12-9 231420110420113717220722202181张汉成11999-11-10 231420110420113717220722202221陈佰玉11998-9-18 231420110420113717220722202231袁顺11996-12-20 231420110420113717220722202261王垒11998-1-19 231420110420113717220722202281王港帅11997-5-22 231420110420113717220722202291曹硕11999-9-23 231420110420113717220722202301韩广利11999-9-29 231420110420113717220722202311邵光顺11997-6-22 231420110420113717220722202321高潮11999-2-8 231420110420113717220722202331崔金豹11995-10-5 231420110420113717220722202341石国旗11998-8-9 231520110520113717220722202601高旭11999-2-26 231520110520113717220722202631许传魁11997-11-4 231520110520113717220722202641许宽12000-3-15 231520110520113717220722202651刘杰11999-5-2231520110520113717220722202661樊延顺11998-6-18 231520110520113717220722202671许海军11999-5-17 231520110520113717220722202681陆金良11997-8-27 231520110520113717220722202701谢良鑫11998-2-26 231520110520113717220722202711王鹏飞12000-3-16 231520110520113717220722202731徐富豪11999-3-4 231520110520113717220722202771张威11998-11-12 231520110520113717220722202791黄争11998-5-28 231520110520113717220722202801杨澳11999-3-21 231520110520113717220722202821李通11998-7-10 231520110520113717220722202831凡朋11998-12-17 231520110520113717220722202841魏存巍11998-12-6 231520110520113717220722202881刘宁11999-12-20 231520110520113717220722202921韦航11999-10-15 231520110520113717220722202931石东方11998-3-3 231520110520113717220722202951韦超振11998-5-22 231520110520113717220722202961刘国庆11999-9-22 231520110520113717220722202971郝国文12000-11-26 231620110620113717220722203251高宁11998-9-10 231620110620113717220722203271于江涛11999-2-21 231620110620113717220722203291司金山11999-6-18 231620110620113717220722203301陈新11997-7-8 231620110620113717220722203331刘震11994-8-7 231620110620113717220722203341王星辰11998-9-12 231620110620113717220722203351付恒11999-7-13 231620110620113717220722203361刘菲11999-2-2 231620110620113717220722203371郝现振11997-2-23 231620110620113717220722203391耿非11998-5-20 231620110620113717220722203401郭林11999-1-25 231620110620113717220722203431刘亚东12000-2-25 231620110620113717220722203441赵衡11998-3-4 231620110620113717220722203451王国强11997-11-18 231620110620113717220722203471王闯11997-9-4 231620110620113717220722203501施乾恩12000-11-5 231620110620113717220722203531翟文昌11998-12-6 231620110620113717220722203561于聚唐11998-9-15 231120110120113717220722203931韦亚平21998-4-15 231120110120113717220722200011王珍21999-2-21 231120110120113717220722200021孟凡倩21999-11-5 231120110120113717220722200031解婷22000-1-15 231120110120113717220722200051王珊珊21999-4-7 231120110120113717220722200061魏钦萌21998-12-1 231120110120113717220722200121李欢21998-8-13 231120110120113717220722200151李妍21999-11-20 231120110120113717220722200161孙硕硕21999-9-10 231120110120113717220722200171王玉21999-9-30231120110120113717220722200181张敏21998-11-5 231120110120113717220722200201李文诗21997-4-11 231120110120113717220722200221于露21999-4-5 231120110120113717220722200231张雪22000-1-2 231120110120113717220722200251魏珍妮21999-10-21 231120110120113717220722200281曹梦爽21999-8-20 231120110120113717220722200291韦缦缦21998-12-30 231120110120113717220722200311蔡欢21998-7-26 231220110220113717220722200661高云莹21999-10-28 231220110220113717220722200671高岩21998-11-3 231220110220113717220722200681许美连21998-5-3 231220110220113717220722200701王可21999-8-7 231220110220113717220722200711付蕊22000-2-20 231220110220113717220722200721王晨21998-7-16 231220110220113717220722200731高秀真21998-2-1 231220110220113717220722200741付雪21999-8-20 231220110220113717220722200751马明芝21998-10-25 231220110220113717220722200761马梦迪21999-4-27 231220110220113717220722200781张心雨22000-2-10 231220110220113717220722200811智照倩21997-7-16 231220110220113717220722200821孔雪晴22000-11-2 231220110220113717220722200851杨妮21999-9-20 231220110220113717220722200871安爽22000-8-2 231220110220113717220722200921魏鲁月21998-8-4 231220110220113717220722200951魏倩21998-10-21 231220110220113717220722201041李翠21998-11-7 231220110220113717220722201051孔配21995-10-4 231320110320113717220722201291李俊芳21998-8-4 231320110320113717220722201311张婷21999-10-28 231320110320113717220722201341许亚男21998-5-3 231320110320113717220722201941付海燕21997-9-3 231320110320113717220722201481赵敏21996-1-11 231320110320113717220722201521魏梦21998-5-24 231320110320113717220722201541朱艳君21999-3-12 231320110320113717220722201551万雨21999-9-20 231320110320113717220722201561韦学影21999-11-24 231320110320113717220722201571蔡欣21999-1-17 231320110320113717220722201621韦金花22000-1-23 231320110320113717220722201641刘爽21999-5-19 231420110420113717220722201951王盼盼22000-5-20 231420110420113717220722202011翟文娇22000-8-14 231420110420113717220722202021刘梦茹21999-5-24 231420110420113717220722202051苗蕊21999-10-23 231420110420113717220722202061谢蕊22000-5-1 231420110420113717220722202071李冉21999-10-24 231420110420113717220722202101李莹莹21999-2-15231420110420113717220722202131马琪月21994-10-9 231420110420113717220722202191张娣21998-9-18 231420110420113717220722202201张景21999-6-15 231420110420113717220722202211凡文娣21998-4-16 231420110420113717220722202241穆成琳21997-11-23 231420110420113717220722202251张芸21999-7-29 231420110420113717220722202271张淼21998-9-4 231420110420113717220722202351樊贤芬21999-12-25 231420110420113717220722202361刘雨21997-2-19 231420110420113717220722202371张倩21999-3-20 231520110520113717220722202611王颖22000-7-25 231520110520113717220722202621陈梦21999-7-3 231520110520113717220722202691谢丽21999-9-19 231520110520113717220722202721王海云21999-10-16 231520110520113717220722202741范菲菲21996-12-20 231520110520113717220722202751李颖21997-11-1 231520110520113717220722202761李婷22000-4-12 231520110520113717220722202781李新悦22000-4-21 231520110520113717220722202851蔡敏21998-2-13 231520110520113717220722202861张舒文21999-10-11 231520110520113717220722202871凡慧敏21998-12-11 231520110520113717220722202891邵倩21999-6-17 231520110520113717220722202911袁雪楠21999-12-5 231520110520113717220722202941李娜21999-9-15 231520110520113717220722202981智舒情21997-11-8 231620110620113717220722203241王鹤菲21999-6-15 231620110620113717220722203261许雪玲21998-11-21 231620110620113717220722203281许舒文22000-8-4 231620110620113717220722203311高春燕21999-1-9 231620110620113717220722203321王玉佩21999-7-9 231620110620113717220722203381陈福香21997-6-5 231620110620113717220722203411刘苗21997-8-6 231620110620113717220722203421张舒舒21999-1-5 231620110620113717220722203461王英21998-7-22 231620110620113717220722203481韦姣姣22000-10-11 231620110620113717220722203491刘书21999-12-29 231620110620113717220722203511高盼盼21999-11-5 231620110620113717220722203521凡迎春22000-5-11 231620110620113717220722203541施文伟22000-9-7 231620110620113717220722203551郝娅茹21999-3-28 231620110620113717220722203891张淼21999-4-2家庭住址身高体重肺活量50米跑立定跳远坐位体前屈800米跑山东省单县高老家乡1704527008.4 1.7511山东省单县高老家乡1635227008.2 1.7211山东省单县高老家乡1704526008.9 1.712山东省单县高老家乡1705227008.3 1.7518山东省单县高老家乡1684528008.5 1.7813山东省单县高老家乡1754529008.7 1.8213高老家乡张乃庙1755727009 1.6815高老家乡张乃庙1704528008.6 1.7811王堂1807529008.3 1.9413李油坊1767527008.4 1.7511曹叵集1705325008.9 1.7612刘庄集1606327008.3 1.7715曹叵集1706227008.9 1.786曹叵集1804532007.5 2.356高老家乡1706526009.5 1.888高老家乡1554523009.7 1.659高老家乡李庄1705326008.9 1.785高老家乡1604524508.4 1.611山东省单县高老家乡1705226008.9 1.811山东省单县高老家乡1676526008.9 1.95山东省单县高老家乡1704527008.3 1.87山东省单县高老家乡1685124009.4 1.765山东省单县高老家乡1655625009.4 1.729山东省单县高老家乡1594325008.6 1.7412.5山东省单县高老家乡1605332007.5 2.113.9山东省单县高老家乡170453510 6.4 2.3414.5山东省单县高老家乡165453200 6.5 2.2513高老家乡李桥170652900 6.6 2.2113曹叵集1585926007.5 1.815曹叵集1734529007.5213.1陆庄1685332007.8 2.211.11张柿园174593456 6.9 2.2513李油坊1705235007 2.213张柿园1654535007 2.213曹叵集1706423007.5 1.913曹叵集170453400 6.8 2.3913刘庄集160753000 6.8 1.513陆庄165753000 6.5 1.813山东省单县高老家乡1704530007.8 1.813山东省单县高老家乡170453500 5.6 2.113山东省单县高老家乡175654500 6.5 2.3510.2山东省单县高老家乡1605330007 1.613山东省单县高老家乡1756528007 1.8513山东省单县高老家乡1707538006 2.213.9高老家乡张乃庙1754535006 2.3513.9王堂1756230006 2.3513.9张柿园1775636006 2.113.5曹叵集1706536008 2.3513曹叵集1759521007 1.7513曹叵集1754535007 2.2113.9曹叵集157******** 3.1高老家乡1604515006 1.7513高老家乡1604528007 1.9513山东省单县高老家乡1704528007211山东省单县高老家乡1694527007 2.0513山东省单县高老家乡1554526007 1.5518山东省单县高老家乡1704528006 1.922山东省单县高老家乡1767528007 1.9513山东省单县高老家乡1766528007214山东省单县高老家乡1706528007 1.9516山东省单县高老家乡1704526007 1.9517邵楼1554526007 1.5519韦楼村1724528007211山东省单县高老家乡1705227007 1.912山东省单县高老家乡1604528007 1.922山东省单县高老家乡1756530007 2.321山东省单县高老家乡1704528007 1.912山东省单县高老家乡1754529007 1.911山东省单县高老家乡1584529007 1.8515山东省单县高老家乡1553729007213内蒙古自治区乌海市乌达区1654529007 1.911王堂1734524007214山东省单县1706528008 1.6511山东省单县1704528007 1.88曹叵集1706528007 1.816曹叵集1654528007218曹叵集1654528007 1.722李油坊1735728007218曹叵集1786528007 2.311王堂1754528007 2.216高老家乡1656528007223高老家乡1644528007225高老家乡1654528007 1.712高老家乡1635328007 1.6527山东省单县高老家乡1706528007222山东省单县高老家乡1726130007 2.2216山东省单县高老家乡1686529007 1.7812山东省单县高老家乡1484529007 1.5421山东省单县高老家乡1504529007 1.7927山东省单县高老家乡1734529007 2.2216山东省单县高老家乡1714529007 2.2116山东省单县高老家乡1655829007.2 2.2121山东省单县高老家乡1676528008 2.2113山东省单县高老家乡170452785 6.9 2.2510山东省单县高老家乡1656529587.5 1.87.2山东省单县高老家乡175452938 6.5 1.8722山东省单县高老家乡1755227757.4 1.6922王堂1656528937.3 2.1211王堂1705125437 2.1213山东省单县高老家乡180652800 6.8 2.4413曹叵集1655328007 1.9614曹叵集170752800 6.7 2.111高老家乡170452800 6.8 2.3513高老家乡170452800 6.2 1.9821高老家乡170452800 6.2 2.612高老家乡170452800 6.8 2.1412高老家乡165452900 5.8 2.113山东省单县高老家乡1756529007.5 1.913山东省单县高老家乡1806527007.5 1.7522高老家樊辛庄马堂村4号1705827717 1.8511山东省单县高老家乡1504530129 1.9822山东省单县高老家乡1746528008.4 2.188.5山东省单县高老家乡177452900 6.5 2.87.5山东省单县高老家乡1553725009.3 1.68.8山东省单县高老家乡178732800 6.7 2.358.2山东省单县高老家乡1758527007.22 1.888.3山东省单县高老家乡172652800 6.55 1.888.3曹叵集1674527007.9 1.778.3曹叵集1706527008.5 1.568.3曹叵集1794525008.4 1.918.1李乔1704524008 1.88.1曹叵集180652900 6.2 2.5611曹叵集1704530007 2.558.1于楼1704527008.2 1.6816高老家乡1784529008 2.814山东省单县高老家乡1704528007 1.911高老家乡1705125009.9 1.515山东省单县高老家乡1605626008.9 1.7123'51山东省单县高老家乡1654525009 1.74103’56山东省单县高老家乡1705226008.6 1.73133'53山东省单县高老家乡1655824008.8 1.69113'56山东省单县高老家乡1634523009 1.6893’58山东省单县高老家乡1594524008.9 1.72123’54山东省单县高老家乡1625827008.4 1.74143’56于庄17065260010.2 1.6483'52山东单县高老家乡韦洼村1636225009.8 1.67113'45山东单县高老家乡韦洼村1655126008.9 1.72103'42山东省单县高老家乡1604526008.6 1.72143'38山东省单县高老家1676725009.7 1.72113'56单县高老家乡司楼村24号1604525009 1.73123'56张集镇汪楼1604526008.8 1.71133'45山东省单县高老家乡1605826009.1 1.74113'56山东省菏泽市单县高老家乡1635226008.5 1.74173’58单县高老家乡门庄村1614525008.5 1.74153’56曹县青固集韦庄行政村1605326008.5 1.67153'36高老家乡1604524008.9 1.65153'45高老家乡1604526008.3 1.66143'33高老家乡1604524008.6 1.65123'42山东省单县高老家乡1625925008.8 1.67123'54山东省单县高老家乡1655226009.1 1.69153'33山东省单县高老家乡1584525009.4 1.76183'17山东省单县高老家乡1635826008.4 1.8253'12山东省单县高老家乡1625626008.9 1.69223'26山东省单县高老家乡1754525008.8 1.8233'43山东省单县高老家乡1604527008.5 1.7263'55山东省单县高老家乡1655825008.5 1.72153'43山东省单县高老家乡1605626008.8 1.75143'36山东单县高老家乡韦洼村1625226009.2 1.67143'56山东单县高老家乡韦洼村1594524008.4 1.76153'35山东单县高老家乡韦洼村1585624008.5 1.8514.55'34山东省单县高老家1635726507.2 1.8514.55'23山东省单县高老家1554523508 1.815.85'25山东省单县高老家1554529008 1.79134'40山东省单县高老家1574523008 1.7314.25'30山东单县高老家乡韦洼村1604524007 1.7144'40山东单县高老家乡韦洼村1725125007.8 1.73135'05山东单县高老家乡韦洼村1605823007.8 1.73134'50山东省单县高老家1604523007.8 1.73135'09山东省单县高老家1535327007.7 1.7315.95'07山东省单县高老家乡1484523007 1.73135'06山东省单县高老家1604530007 1.6135'21山东省单县高老家1605630006 1.7135'21山东省单县高老家1634535007 1.73137'23山东省单县高老家1606535009 1.7313.28'34单县高老家乡高集村1604535007 1.75136'32山东省单县高老家乡1554535008 1.1136'12山东省单县高老家乡1634535009 1.7313.38'33山东省单县高老家乡1534535007 1.75136'30山东省单县高老家乡1605935008 1.3 2.18'31山东省单县高老家乡1553526007 1.65124'30山东省单县高老家乡1655726007 1.9154'36山东省单县高老家乡1555126007 1.65154'40山东省单县高老家乡1554526007 1.65165'12山东省单县高老家乡1503627007 1.5126'23邵楼1554526007 1.53115'33韦楼1604524008 1.6155'34邵楼1535224009 1.5175'33山东省单县1654524008 1.7135'32山东单县高老家乡韦洼村1654524008 1.7115'11山东单县高老家乡韦洼村1553528008 1.65145'30山东省单县高老家1605227008 1.57185'30山东省单县高老家1694527008 1.74225'30山东省单县高老家1605128008 1.57175'30山东省单县高老家乡1654528008 1.6115'30山东省单县高老家乡1595229008 1.56195'30山东省单县高老家乡1644524007 1.85135'11山东省单县高老家乡1604525008 1.585'30山东省单县高老家乡16565280082135'30韦楼1674528008 1.7135'30邵楼1654528008 1.23275'11高老家乡刘庄1504526008 1.76295'25山东单县高老家乡韦洼村1655628007.6 2.2145'14山东单县高老家乡韦洼村1654526007.5 1.85135'33山东单县高老家乡韦洼村1574526007 1.56225'44山东单县高老家乡韦洼村1634528007.5 1.76265'30山东单县高老家乡韦洼村1654528007.5 1.89135'44山东单县高老家乡韦洼村1605329007 1.34125'33山东省单县高老家1656526007.25 1.49195'23山东省单县高老家乡1584528008 1.7395'10山东省单县高老家乡1634528007.8 1.98195'39山东省单县高老家乡1634531007.5 1.89165'40山东省单县高老家乡160573125 6.5 1.8135'23山东省单县高老家乡160562758 6.9 1.8145'14山东省单县高老家乡1724530307 2.13145'48韦楼1554527777.7 1.85135'58高老家乡韦柚1604529348 1.7395'50山东单县高老家乡韦洼村1606531197.5 1.89126'11山东单县高老家乡韦洼村1605630038.5 1.78125'32山东单县高老家乡韦洼村160582976 6.5 1.96105'53山东省单县高老家1635128007.4 1.7312.25'10山东省单县高老家乡1624528007 1.89225'32山东省单县高老家乡1706528007 2.12126'30山东省单县高老家1654528008.1 1.89135'12韦新庄1605626008.8 1.718.93'121000米跑一分钟仰卧起引体向上左眼视力右眼视力4'3512 4.8 4.5 4'3411 4.3 4.2 4'3211 4.6 4.7 4'4014 4.5 4.3 4'3215 4.6 4.5 4'3412 4.6 4.6 4'5716 4.6 4.8 4'4416 4.8 4.7 3'4523 4.7 4.5 4'3333 4.6 4.7 4'4323 4.1 4.1 3'4522 4.5 4.7 3'5629 4.8 4.6 3'3333 4.5 4.5 4'1223 4.6 4.7 4'559 4.5 4.6 4'4412 4.5 4.6 4'3315 4.7 4.5 4'4212 4.5 4.5 4'3315 4.5 4.6 3'5623 4.5 4.6 4'2413 4.4 4.5 4'359 4.6 4.6 4'5414 4.6 4.6 5'3015 4.6 4.5 4'4015 4.5 4.6 4'5015 4.6 4.5 8'3215 3.8 3.8 8'2314 4.5 4.6 6'4315 4.6 4.5 5'5315 3.4 3.4 6'0915 4.5 4.5 7'2312 4.6 4.5 7'5412 4.5 4.7 6'3212 4.3 4.5 5'0814 4.5 4.6 5'0713 4.5 4.6 5'3013 4.6 4.5 5'3212 4.5 4.4 5'0712 3.7 3.6 4'2015 4.6 4.5 4'3517 4.5 4.6 5'362 4.6 4.6 6'3015 4.6 4.6 4'2315 5.1 5.24'1115 5.15 6'22155 4.9 8'23155 4.9 8'12105 4.9 5'30155 4.9 8'2115 4.9 8'34155 4.9 4'3420 4.6 4.5 5'33235 4.9 4'4023 4.9 4.8 4'3225 4.7 4.5 4'3428 4.9 4.7 5'3026 4.4 4.5 6'3029 4.9 4.8 4'4030 4.4 4.5 4'3229 4.8 4.6 4'3428 4.8 4.7 5'3030 4.7 4.5 5'2130 4.8 4.7 4'4028 4.7 4.8 4'5030 4.6 4.7 5'2229 4.6 4.7 5'2027 4.8 4.7 5'3328 4.8 4.9 5'2228 4.8 4.6 5'1130 4.8 4.6 5'4327 4.8 4.7 5'3225 4.8 4.6 5'2228 4.9 4.8 4'3035 4.7 4.6 5'3027 4.8 4.7 5'3029 4.8 4.9 5'33303 3.1 5'22303 3.2 5'30355 4.9 4'50305 4.9 5'2229 4.5 4.6 5'3028 4.5 4.3 5'3025 4.5 4.4 5'30263 3.2 5'5323 5.7 5.6 5'3022 5.3 4.8 5'3612 5.3 5.3 5'5315 5.1 4.9 5'301255 5'3412 4.8 4.85'3012 4.5 4.5 5'4512 4.8 4.8 5'308 4.9 4.9 5'403 4.5 4.5 4'5011 4.3 4.3 5'301255 5'408 4.2 4.2 5'328 4.5 4.5 5'5320 3.5 3.5 5'225 5.65 5'225 5.75 5'2212 5.45 4'4412 5.35 5'2211 5.2 5.2 5'128 5.2 5.4 5'2114 5.35 4'445 5.15 5'1211 4.5 4.5 5'217 4.2 4.2 8'111255 4'115 4.5 4.7 5'2117 3.7 3.6 4'556 4.4 4.2 5'2110 4.1 4.3 4'552 4.2 3.3 5'218 4.2 4.1 4'552 4.2 4.1 4'4512 4.3 4.1 4'5517 4.2 4.1 4'3312 4.1 4.2 3'2210 4.1 4.2 3'599 4.1 4.3 3'3310 3.1 2.8 3'2210 5.5 5.5 4'458 3.2 3.3 5'220 4.1 4.228 4.5 4.729 4.6 4.631 4.7 4.828 4.4 4.526 4.6 4.729 4.7 4.430 4.7 4.822 4.5 4.624 4.7 4.628 4.6 4.631 4.8 4.7 25 3.9 3.8 34 4.4 4.4 27 4.6 4.8 31 4.4 4.326 4.6 4.827 4.7 4.8 24 4.6 4.6 29 4.8 4.8 32 4.6 4.7 27 4.6 4.6 23 4.4 4.5 21 4.6 4.7 23 4.6 4.6 28 4.5 4.5 22 4.5 4.4 26 4.5 4.7 23 4.6 4.5 23 4.7 4.8 21 4.5 4.5 25 4.7 4.7 24 4.7 3.8 38 4.7 4.7 40 4.5 4.6 38 4.5 4.6 25 4.6 4.536 4.5 4.637 4.7 4.5 26 4.6 4.5 35 3.5 3.4 35 4.3 4.5 35 4.6 4.5 35 4.7 4.6 30 4.6 4.5 25 4.5 4.6 35 4.6 4.5 6 4.7 4.6 45 4.6 4.5 30 4.6 4.6 30 4.5 4.4 37 4.6 4.5 0 4.5 4.5 30 4.8 4.5 30 4.4 4.2 40 4.14 30 4.7 4.830 4.7 4.5 334 4.1 39 4.7 4.6 32 4.6 4.7 36 4.9 4.8 36 4.9 4.7 30 4.9 4.8 28 4.5 3.6 303 3.2 40 4.5 4.4 35 4.5 4.6 37 4.5 4.6 40 3.7 4.226 4.2 4.227 4.5 4.5 19 4.5 4.521 4.5 4.522 4.9 4.9 3655 40 4.9 4.9 23 4.2 4.2 2255 23 4.3 4.3 22 4.1 4.1 17 4.5 4.5 34 4.5 4.5 4044 32 4.8 4.8 37 4.5 4.5 4044 25 4.3 4.3 40 4.5 4.5 55 4.5 4.5 3444 40 4.5 4.5 3444 3255 21 5.85 32 5.25 40 5.25 38 4.9 4.7。
年级编号班级编号班级名称学号民族代码姓名性别出生日期21130112013070013杨建财12000-05-12 21130112013070023杨瑞霞22000-10-01 21130112013070033马婧22001-09-02 21130112013070043王艳21999-06-03 21130112013070053白一帆12001-12-01 21130112013070063马朋11999-01-29 21130112013070073马鑫瑞12001-04-27 21130112013070083李小霞22001-01-25 21130112013070093柯万强12000-01-14 21130112013070103李小伟12000-02-06 21130112013070113马小雪22001-08-26 21130112013070123马宗文12001-03-14 21130112013070133丁宏12001-12-10 21130112013070143金花22000-12-22 21130112013070153何龙12001-11-09 21130112013070163张学燕22000-12-03 21130112013070173李进国11999-06-10 21130112013070183冯兴祥11999-02-16 21130112013070193马小龙12000-11-03 21130112013070203田玉梅22000-02-05 21130112013070213张汉麒12000-03-08 21130112013070223李进才12001-04-15 21130112013070233李小燕22000-02-15 21130112013070243马朋11999-06-06 21130112013070253李增权12001-07-26 21130112013070263马强11999-04-10 21130112013070273马力红11999-09-06 21130112013070283李向玉12000-04-06 21130112013070303锁文岩11998-08-28 21130112013070313锁国江12002-01-15 21130112013070323马玉琴22001-02-10 21130112013070333锁马萍21998-08-07 21130112013070343马静22001-03-14 21130112013070353李海旺12000-02-10 21130112013070361车强国12001-05-26 21130112013070373吴彦国12001-02-10 21130112013070383金旭东12000-12-09 21130112013070393杨洋22000-03-05 21130112013070403何思荣22001-12-29 21130112013070413李明11999-11-04 21130112013070423杨学明12000-01-21 21130112013070433何瑞东11997-03-16 21130112013070443马媛22001-03-12 21130112013070453黑智豪12000-10-06 21130112013070463杨囝12000-01-04 21130112013070473杨萍22000-11-10 21130112013070483马燕22000-08-15 21130112013070493马建龙12001-12-21 21130112013070503贺真龙12000-08-09 21130112013070513杨思齐22001-10-0321130112013070523田芳22000-10-05 21130112013070533李玉龙12001-02-05 21130112013070543杨琴21999-03-19 21130112013070553李保国11999-01-18 21130112013070563吴文博12000-08-20 21130222013070573李伟12001-04-26 21130222013070583马晶22002-04-05 21130222013070593杨林11998-11-18 21130222013070603杨胡12001-10-19 21130222013070613马振东12000-10-09 21130222013070623李刚12002-10-13 21130222013070633纪丽飞22001-05-14 21130222013070643周荣22000-01-10 21130222013070653吴军12000-10-10 21130222013070663杨霞21999-05-06 21130222013070673丁荣22001-03-08 21130222013070683冯春燕22001-09-19 21130222013070693马嘉军12000-08-20 21130222013070703马海亮11999-12-05 21130222013070713丁雪22000-12-05 21130222013070723丁佳怡22002-06-08 21130222013070733金学伟12000-10-08 21130222013070743田彪11999-05-12 21130222013070753王银21999-06-20 21130222013070763丁勇12001-03-05 21130222013070773顾玲22000-01-08 21130222013070783田思源11999-03-01 21130222013070793马玉琛12000-07-01 21130222013070803李峰11999-06-07 21130222013070813杨天平11997-10-11 21130222013070823杨芯22000-08-09 21130222013070833马芳22000-03-18 21130222013070843马小龙12000-05-02 21130222013070853马荣21999-10-09 21130222013070863马成龙12000-01-02 21130222013070873锁向兰21999-10-08 21130222013070883马霄12001-01-05 21130222013070893丁小龙12000-08-15 21130222013070903马小咪22001-07-16 21130222013070913马倩娟21998-09-10 21130222013070923马力11999-11-24 21130222013070933马宇11998-11-16 21130222013070943锁箐箐22001-08-20 21130222013070953金晓玲22001-12-25 21130222013070963马贵品22000-10-24 21130222013070973马伟11999-12-08 21130222013070983丁小丽21999-04-05 21130222013070993马琳芝22001-01-15 21130222013071003周静22001-03-08 21130222013071011宋波12000-10-16 21130222013071023马峰11998-03-2021130222013071033罗忠林11998-09-01 21130222013071043丁涛11999-12-04 21130222013071053马文贞12000-01-12 21130222013071063马蓉12001-11-12 21130222013071073金鹏飞11997-04-04 21130222013071083马玉龙12000-07-15 21130222013071093贺伟12000-09-23 21130222013071103买耀忠11998-04-08 21130222013071113罗永龙12000-01-01 21130222013071123马豪男12000-09-27 21130332013071133田学伏12000-01-09 21130332013071143罗英鹞12000-02-14 21130332013071153王明12000-03-08 21130332013071163王雪22001-02-03 21130332013071173马海云12000-11-03 21130332013071183马海兰21996-09-08 21130332013071193马云12001-04-18 21130332013071203顾晓燕21999-09-28 21130332013071213李花花21998-07-14 21130332013071223金学伏12001-04-25 21130332013071233米晓花22001-05-18 21130332013071243马波12001-07-27 21130332013071253王龙11999-11-22 21130332013071263丁宁12002-01-02 21130332013071273田卫强11999-05-12 21130332013071283顾晓琴22000-06-01 21130332013071293罗莎莎21999-02-07 21130332013071303王明轩12000-10-05 21130332013071313顾才清12000-05-28 21130332013071323张佳兴12000-02-04 21130332013071333田贵莲21999-11-05 21130332013071343罗小海11999-01-05 21130332013071353张小龙12000-01-16 21130332013071363赵冰22000-09-10 21130332013071373田花22000-01-10 21130332013071383李慧21999-05-21 21130332013071393李龙12000-04-10 21130332013071403马小花22000-11-07 21130332013071413马阳12000-07-06 21130332013071423马成月21998-08-12 21130332013071433李小飞21997-04-02 21130332013071443马小梅22000-03-11 21130332013071463马平龙12000-03-27 21130332013071471刘国辉12000-04-20 21130332013071483马霞22001-10-19 21130332013071493李峰12001-01-05 21130332013071503王晓霞21995-06-05 21130332013071513虎晓洋12002-12-20 21130332013071523马小燕21998-04-16 21130332013071533李小虎11998-02-10 21130332013071543田立平11998-07-0621130332013071563丁玉坤12004-05-21 21130332013071573李晓龙11997-03-04 21130332013071583马少东12001-06-22 21130332013071593马晓东12001-10-08 21130332013071603马成12000-03-06 21130332013071613马嘉伟12001-07-09 21130332013071623马海12000-03-18 21130332013071633马旭渊12001-04-08 21130332013071643金文平12000-03-08 21130332013071653马小龙11998-01-07 21130332013071663罗小艳22000-10-01 21130332013071673马宏11996-02-18 21130332013071683吴娜22000-06-01 21130442013071693马瑞斌12003-08-28 21130442013071703马涛12001-04-10 21130442013071713李英花22001-09-20 21130442013071723白晶22001-12-18 21130442013071733马海毅12000-04-10 21130442013071743顾海军12000-11-02 21130442013071753李挺智11998-06-05 21130442013071763吴海龙12000-10-28 21130442013071773马虎11998-09-29 21130442013071783罗媛媛22001-03-27 21130442013071793金明宽12001-01-15 21130442013071803吴小栋12001-04-12 21130442013071813张玲玲22002-03-09 21130442013071823何成强11999-10-16 21130442013071833田燕121996-07-11 21130442013071843田青青21999-10-06 21130442013071853马鹏12001-08-13 21130442013071873田波12001-10-08 21130442013071883张学兵11998-01-10 21130442013071893田燕222001-06-10 21130442013071903马小花122000-05-25 21130442013071913李燕21998-04-28 21130442013071923马彩霞22000-06-08 21130442013071933马云海12000-05-17 21130442013071943李玉龙11999-07-11 21130442013071953马小花222000-05-14 21130442013071963马小燕22001-08-10 21130442013071973田海桢12000-10-22 21130442013071983马小娟122001-04-08 21130442013071991贺双全12000-03-08 21130442013072003马晓静22001-08-16 21130442013072013马小娟222000-04-17 21130442013072023马小燕22000-04-04 21130442013072033金小龙12000-07-17 21130442013072043杨彦海11999-08-08 21130442013072051刘丽22001-03-13 21130442013072063罗虎12001-08-19 21130442013072073杨蓉22001-07-1521130442013072083杨玲22001-09-05 21130442013072093马莉21999-12-15 21130442013072103丁璞22000-11-02 21130442013072113马力11999-03-10 21130442013072123黑冰12002-05-10 21130442013072133杨晶22002-09-10 21130442013072143贺小燕22001-12-03 21130442013072153何成英21996-08-07 21130442013072163吴彩虹21996-10-20 21130442013072173黑伏燕21999-08-01 21130442013072183田军11999-09-18 21130442013072193马鑫11998-12-15 21130442013072203陆荟22001-03-24 21130442013072213顾占明11998-08-15 21130442013072223马林11998-04-28 21130442013072233马亮12000-10-30 21130552013072243杨红伟12001-02-10 21130552013072253李凯煜12000-01-13 21130552013072263虎志强12001-10-20 21130552013072273马志祥12000-04-05 21130552013072283张文静22000-05-16 21130552013072293马鹏11999-11-14 21130552013072301张雨欣22001-07-06 21130552013072313洪鑫22001-03-21 21130552013072323吴晓燕22000-09-02 21130552013072333杨小兰22000-10-20 21130552013072343何蕊22000-08-07 21130552013072353高林中11998-10-20 21130552013072363丁娟21998-02-16 21130552013072373李晓梅21999-03-25 21130552013072383马明11999-01-03 21130552013072393马小林11999-10-21 21130552013072403马东12000-10-12 21130552013072413马小霞21999-04-15 21130552013072423吴晓东11999-12-01 21130552013072433李凤琴22000-02-10 21130552013072443罗琴琴22000-06-25 21130552013072453马楠21999-02-11 21130552013072463李廷虎11999-12-08 21130552013072473罗洋12000-02-08 21130552013072483田雨花22002-07-20 21130552013072493金龙12001-03-20 21130552013072503田龙12000-02-09 21130552013072513杨金11999-06-30 21130552013072523杨天龙12002-04-23 21130552013072533杨小娟21999-10-25 21130552013072543马慧22002-06-23 21130552013072553马立梅21998-07-02 21130552013072563李秀兰22000-06-08 21130552013072573冶燕22000-12-14 21130552013072583罗小勇11998-04-2921130552013072593周涛11998-09-23 21130552013072603杨存英21999-06-10 21130552013072613白亮12001-04-10 21130552013072623买冠军12000-10-16 21130552013072633杨维宾11997-01-01 21130552013072643马锐12001-11-02 21130552013072653罗琴琴21999-10-16 21130552013072663童亚琴22001-06-03 21130552013072673马瑞11999-12-03 21130552013072683田菲21999-11-25 21130552013072693丁丁22000-01-03 21130552013072703杨晓花22001-07-04 21130552013072713田进晶22000-01-10 21130552013072723马秀娟21999-08-05 21130552013072733金学荣21997-06-03 21130552013072743何小东11998-04-03 21130552013072753马志俊12001-03-05 21130552013072763丁佳俊12000-08-17 21130552013072773白耀宗11999-02-20 21130552013072783周倩22000-05-04 21130552013072793马忠亮11998-01-09 21130662013072803李凤龙12001-06-05 21130662013072813张月娇21999-04-13 21130662013072823马列12001-01-10 21130662013072833李杰11998-05-20 21130662013072843顾娟22000-04-25 21130662013072853马小林12000-06-11 21130662013072863杨清12000-01-15 21130662013072873丁小强11998-10-05 21130662013072883田进梅22000-03-15 21130662013072893王文慧22001-04-03 21130662013072903虎琴22000-04-08 21130662013072913王海佳22002-09-19 21130662013072923田彦俊11998-11-04 21130662013072933丁安鑫11999-11-18 21130662013072943马耀铎11999-01-20 21130662013072953马晓玫22001-10-18 21130662013072963田琴21999-08-10 21130662013072973田国栋12001-12-24 21130662013072983田红梅22000-11-21 21130662013072993周先蓉21999-01-10 21130662013073003李跃21998-03-16 21130662013073013田彦国12001-04-22 21130662013073023贺文奇11998-08-15 21130662013073033田博12000-10-25 21130662013073043田彦贵12000-08-26 21130662013073053周福红22001-02-18 21130662013073063罗亮12002-04-02 21130662013073073李兰花21995-01-01 21130662013073083马国成12000-03-17 21130662013073103马世林12001-11-1021130662013073113周芳21999-08-16 21130662013073123罗忠明11999-01-12 21130662013073141何鹏环11999-04-09 21130662013073153康自俊11999-06-12 21130662013073161宋克泽12001-09-23 21130662013073173马成涛11999-06-05 21130662013073183童玉花21999-02-05 21130662013073193杨得祖11998-10-07 21130662013073203马宗兵12000-01-03 21130662013073213马兴茹22002-03-21 21130662013073223杨岚22000-12-26 21130662013073233马海霞22001-12-14 21130662013073243马佐平11999-11-28 21130662013073253马红21998-02-09 21130662013073263金晓花21999-09-30 21130662013073273纪冰如22000-07-15 21130662013073283李恬蔼22001-03-31 21130662013073293李娜22001-11-15 21130662013073303杨小胜11998-08-12 21130662013073313周宏梅22000-07-19 21130662013073323李笑天12000-02-02 21130662013073333周飞11998-10-22 21130772013073343张希望12000-02-03 21130772013073353马小琴22000-01-05 21130772013073363马燕22000-03-25 21130772013073373马文科12001-02-10 21130772013073383李兰22000-03-12 21130772013073393马丽丽22001-04-06 21130772013073403丁文月22001-02-01 21130772013073413顾彩莲22000-06-05 21130772013073423丁燕22001-05-06 21130772013073433王建伟12001-08-25 21130772013073443田佳梅21998-05-28 21130772013073453赵海12000-03-17 21130772013073463田春燕21998-11-19 21130772013073473李萍22003-03-01 21130772013073483田士贵12001-03-15 21130772013073493李小花22003-06-16 21130772013073503丁玉海11999-07-15 21130772013073513拜铃22001-07-07 21130772013073523田晓兰22000-04-06 21130772013073533张学龙12000-01-14 21130772013073543金学锋12000-07-15 21130772013073553田洋12000-04-05 21130772013073563马平12000-05-11 21130772013073573周文涛12001-01-05 21130772013073583李成龙11999-10-05 21130772013073593顾春花21999-02-10 21130772013073603吴苹22000-10-15 21130772013073613冯兴林11997-05-05 21130772013073633李琴21998-10-2821130772013073643马力宝11999-03-20 21130772013073653李雅玲22001-06-09 21130772013073663马波11999-01-03 21130772013073673胡飞燕22003-02-07 21130772013073683周洁22002-01-12 21130772013073693周学玲22002-11-18 21130772013073703锁少科12001-03-18 21130772013073713罗建兵11999-12-05 21130772013073723马俊英22000-02-18 21130772013073733顾琴21998-04-24 21130772013073743马娅楠22000-05-16 21130772013073753李小婷22000-04-14 21130772013073763贺花21999-05-01 21130772013073773李思恬11999-09-09 21130772013073783李飞12000-12-08 21130772013073793锁国芸22000-07-18 21130772013073803纪忠义11999-10-20 21130772013073813李春云11998-08-20 21130772013073823马瑞硕11999-11-03 21130772013073833李倩21998-02-21 21130772013073843田军11999-09-30 21130772013073853李海宁11999-06-08 21130772013073863马伟强11999-05-20 21130772013073873周楠12000-01-17 21130772013073883马瑞11998-10-12 21130772013073893杨亚玲22000-11-08 21130882013073903马青弘12002-02-05 21130882013073913穆永奇12001-12-25 21130882013073923马伏忠12000-03-25 21130882013073933马鹏11998-07-06 21130882013073943王成云11998-07-05 21130882013073953马小艳22001-03-08 21130882013073963马倩茜21999-07-24 21130882013073973罗蓉21999-02-02 21130882013073983柯万英22003-02-10 21130882013073993马娟22000-01-13 21130882013074003马荣22002-08-20 21130882013074013李兵12001-10-05 21130882013074023马小雪22001-09-09 21130882013074033田进红21998-06-19 21130882013074043李挺智12001-03-14 21130882013074053马宇12000-09-20 21130882013074063陆晓云11999-11-15 21130882013074073罗晓花22001-01-12 21130882013074083杨霞22000-06-15 21130882013074093罗小花22000-05-11 21130882013074103田燕21999-07-08 21130882013074113田进伟11999-02-11 21130882013074123李芳22001-03-21 21130882013074133康晓燕22002-02-06 21130882013074143张婷22000-04-1521130882013074153杨俊杰12000-12-11 21130882013074163马立刚11998-11-18 21130882013074173马涛11999-02-22 21130882013074183马晓飞12001-05-27 21130882013074193李建春12001-11-09 21130882013074203锁琴21999-04-30 21130882013074213李勇12000-01-12 21130882013074223李林11999-09-14 21130882013074231车学燕22000-07-08 21130882013074243杨佳丁12000-09-16 21130882013074253杨彦东12001-03-16 21130882013074263周煜12000-03-09 21130882013074273李岩12001-02-03 21130882013074283马博12001-06-10 21130882013074293马玉仁12000-08-26 21130882013074303马宁祚12000-07-04 21130882013074311张健11999-06-05 21130882013074323李思雨21997-08-15 21130882013074333杨海军11999-03-07 21130882013074343马小云11998-02-10 21130882013074363周静22002-08-15 21130882013074373李海平12000-07-01 21130882013074383贺丽娟21999-01-10 21130882013074393贺如意21999-02-28 21130882013074403纪少斌11999-09-20 21130882013074413马国涛12000-07-04 21130882013074423杨德林11999-04-20 21130882013074433杨伊卓22006-05-02 21130882013074441张佳龙12000-03-10 21130882013074453马轩11999-02-22 21130992013074463白婧22000-09-27 21130992013074473杨国庆12001-08-25 21130992013074483罗兵12000-01-05 21130992013074493马佳婷22000-08-20 21130992013074503马向慧22001-05-02 21130992013074513吴洋12000-03-07 21130992013074523李廷成12000-03-07 21130992013074533周俊军12001-04-07 21130992013074543田春妮21999-10-27 21130992013074553王婷22001-08-10 21130992013074563罗兰22001-04-01 21130992013074573杨凡11998-10-15 21130992013074583马天喜12000-06-01 21130992013074593苏龙飞12001-08-22 21130992013074603虎晓娟22000-08-14 21130992013074613马小梅21999-10-10 21130992013074623罗嘉瑞21999-12-18 21130992013074633马福忠11998-03-15 21130992013074643王亚荣22001-10-04 21130992013074653田花花22003-08-22 21130992013074663马龙12000-10-0521130992013074673罗玲玲22001-05-27 21130992013074683马勇11997-02-01 21130992013074693余丽丽21999-12-05 21130992013074703李佳乐12000-02-15 21130992013074713田希龙12000-06-07 21130992013074723杨楠12000-01-15 21130992013074733马林12001-05-02 21130992013074743杨小芳21999-08-07 21130992013074753马国明11999-02-28 21130992013074763李鸿艳22000-04-16 21130992013074773马天宝12000-02-14 21130992013074783马芳21999-07-06 21130992013074793马英文12000-10-14 21130992013074803罗花21999-11-18 21130992013074813周英22000-04-08 21130992013074831鲍成12001-08-09 21130992013074843马小燕22001-08-09 21130992013074853马金22000-05-07 21130992013074863李亚琴22001-10-13 21130992013074873田进鹏11999-06-20 21130992013074883杨小云12000-03-05 21130992013074893马淑梅21999-02-21 21130992013074903李雅微22000-08-20 21130992013074913杨莉22000-05-10 21130992013074923马秀萍22000-10-01 21130992013074933李兴龙12001-09-09 21130992013074943周红梅22003-12-04 21130992013074953杨左龙11999-01-01 21130992013074963杨娜22001-03-02 21130992013074973童瑛瑛21999-07-10 21130992013074983马力11997-06-03 21130992013074993杨静22000-12-01 21130992013075003陈佳媛22001-03-15 21130992013075013马海娟22001-09-20 211310102013075021席娅楠22000-12-08 211310102013075033田伟龙12000-08-08 211310102013075043罗正升12000-04-05 211310102013075053赵兴凤21999-10-18 211310102013075063田芙蓉22000-10-01 211310102013075073顾芳21999-07-29 211310102013075083杨能22000-09-19 211310102013075093罗飞12000-04-18 211310102013075103马春花22000-01-06 211310102013075113田龙12000-06-12 211310102013075123撒伸龙12003-03-10 211310102013075143穆小萍21999-07-01 211310102013075153丁霞霞21999-08-05 211310102013075163丁梅22000-06-10 211310102013075173马洪海12000-01-20 211310102013075183王鹏12001-02-15 211310102013075193金志相12000-04-08211310102013075203杨丽娟21998-07-10 211310102013075213李虎12000-12-27 211310102013075223金海丽22000-08-04 211310102013075233杨建军11999-09-10 211310102013075243吴小丽22000-10-06 211310102013075253田坤11999-02-18 211310102013075263马燕22000-05-01 211310102013075273马荣21999-10-26 211310102013075283马小军12002-09-16 211310102013075293马小兰22000-02-28 211310102013075303苏军12000-07-09 211310102013075313李情22000-07-17 211310102013075321张廷民12000-02-19 211310102013075333杨丹22001-02-15 211310102013075343杨占梅22000-10-07 211310102013075353杨龙11999-10-13 211310102013075363康晓兰21998-02-03 211310102013075373杨飞艳22002-07-14 211310102013075383杨晨12002-07-10 211310102013075393李富成12000-11-20 211310102013075403杨卫龙12002-05-17 211310102013075413马瑞芳22000-02-14 211310102013075423马亚宁12002-08-15 211310102013075431郭宏洋12000-02-20 211310102013075443杨玲22000-04-07 211310102013075453李小鹏12000-12-28 211310102013075463马海洋12000-09-26 211310102013075473马东洋11998-08-15 211310102013075483丁唯21999-05-23 211310102013075493杨泽瑞11999-05-15 211310102013075503杨玲22000-05-30 211310102013075513黑海涛12000-08-06 211310102013075523罗志强12000-06-08 211310102013075533买俊11999-08-20 211310102013075543洪晓燕21999-08-20 211310102013075553洪娜21999-12-17 211310102013075563石荣荣21998-02-05 211310102013075573丁霞22000-07-17 211311112013075583杨启武12002-07-15 211311112013075593马立林楠12000-11-14 211311112013075603马慧22002-04-06 211311112013075613王玲花22001-10-02 211311112013075633周海鹏12001-01-05 211311112013075643马小芳22001-10-20 211311112013075653李晓兰21999-12-14 211311112013075663马刚12002-01-14 211311112013075673田红荣22000-02-12 211311112013075683马昕22000-10-01 211311112013075693马莉21998-12-05 211311112013075703罗志俊12001-06-14 211311112013075713田进梅22000-02-01211311112013075723顾义孝11998-05-11 211311112013075733田进平11995-05-17 211311112013075743顾应博12001-03-10 211311112013075753田小梅22001-08-15 211311112013075763周彦龙11999-02-28 211311112013075773田生11999-03-08 211311112013075783杨龙12000-07-01 211311112013075793录小梅22002-06-27 211311112013075803张鑫11999-12-18 211311112013075813马小玲22001-05-10 211311112013075823李金鹏11997-10-17 211311112013075833洪兵11998-01-02 211311112013075843李庆玲22001-08-08 211311112013075853买晓萍22001-05-25 211311112013075863李斐21999-07-12 211311112013075873李月芳21997-11-03 211311112013075883马婷婷22000-02-07 211311112013075893马布伏12000-09-05 211311112013075903马宣21999-07-04 211311112013075913锁娟21998-08-20 211311112013075923马莉22001-01-03 211311112013075933康佳欣22000-08-06 211311112013075943马彬12000-07-07 211311112013075953李雪22000-10-01 211311112013075963马佳鹏11999-05-03 211311112013075973杨辉龙12000-10-15 211311112013075983罗英虎11997-07-13 211311112013075993杨天凯12000-07-20 211311112013076003李小龙12002-05-15 211311112013076013田雪22001-08-04 211311112013076023马海龙11997-07-14 211311112013076033张学健11999-09-20 211311112013076043马海洲12000-09-26 211311112013076053田小琴22000-01-02 211311112013076063李嘉军12001-10-24 211311112013076073金雪龙12000-12-03 211311112013076083杨成东12000-10-20 211311112013076093马泽龙12000-03-08 211311112013076103锁婷21999-03-14 211311112013076113杨红梅22000-02-19 211311112013076123马雪儿22000-02-20 211311112013076133李玉斌11999-09-28 211312122013076143马佳文22002-01-03 211312122013076153买小明12001-04-20 211312122013076163杨军12000-02-04 211312122013076171刘柏鸿11999-06-20 211312122013076183虎强11998-03-20 211312122013076193余晓芳22000-11-13 211312122013076203马雯丽22001-08-30 211312122013076213丁鹏12001-02-05 211312122013076223马娟22001-08-05211312122013076233马蓉22000-11-05 211312122013076243文小花21997-01-04 211312122013076253张晶22001-04-02 211312122013076263丁晓雪22000-07-21 211312122013076273田文慧22000-11-10 211312122013076283李学武11999-01-20 211312122013076293杨小荣12001-11-05 211312122013076303李小林12001-03-04 211312122013076313马小燕22000-10-16 211312122013076323杨娟22000-08-08 211312122013076333马伏山11998-11-20 211312122013076343吴晓12001-06-23 211312122013076353丁玉娟21999-02-15 211312122013076363田风花21999-03-02 211312122013076373李兵贵12000-01-02 211312122013076383杨国龙11999-08-15 211312122013076403田龙12000-01-15 211312122013076413马彪龙12005-05-10 211312122013076423马小洋11999-11-17 211312122013076433李晓红22000-08-07 211312122013076443马小芳21999-02-03 211312122013076453马雪21999-01-08 211312122013076463锁梅21998-04-10 211312122013076473马春12001-07-10 211312122013076483马晓芳21999-09-19 211312122013076493马倩朵22001-10-16 211312122013076501赵连信12000-07-06 211312122013076513田红梅22001-07-18 211312122013076523张龙12000-08-17 211312122013076533苏菲菲22000-07-17 211312122013076543丁嘉辛12001-02-05 211312122013076553马学梅22002-11-10 211312122013076563罗发海12000-11-13 211312122013076573陈旭虎11999-02-06 211312122013076583王晓燕22001-10-11 211312122013076593张焱11998-06-07 211312122013076603马嘉琴21999-02-10 211312122013076613杨坤12001-10-02 211312122013076623周志琴22000-03-15 211312122013076633杨鹏12000-03-26 211312122013076653马剑12000-01-14 211312122013076663康小娟22001-08-20 211312122013076673马勇12000-01-25 211312122013076683李芳21998-03-20 211312122013076693李婷22000-04-16 211313132013076703杨小雪21999-06-09 211313132013076713金欣21999-05-04 211313132013076723张健康12001-03-15 211313132013076733买金龙12004-07-05 211313132013076743杨艳22001-02-12 211313132013076753马立武12001-01-15211313132013076763李小琴22000-01-05 211313132013076773杨志强12001-04-02 211313132013076783田燕21998-06-07 211313132013076793丁建鹏12002-02-13 211313132013076803王健林11999-03-23 211313132013076813金海龙12001-01-19 211313132013076823马小林11999-02-10 211313132013076833马玉龙12000-03-25 211313132013076843顾霞22000-08-25 211313132013076853田世杰12000-01-15 211313132013076863罗义海11999-07-15 211313132013076873田风礼11999-06-20 211313132013076883谭小鹏12001-08-16 211313132013076893周歧涛11991-05-10 211313132013076903张学虎12000-02-08 211313132013076913吴小玲21999-11-20 211313132013076923金欢12002-05-16 211313132013076933李财12001-01-02 211313132013076943杨雪22000-01-25 211313132013076953李洪武12000-04-16 211313132013076963杨天琴22000-07-01 211313132013076973马勇12000-04-17 211313132013076983罗成贵11999-03-19 211313132013076993李明翠21999-12-01 211313132013077003马如斌12001-02-10 211313132013077013杨晨12002-08-30 211313132013077023哈东鑫12001-10-30 211313132013077033马雯22001-08-06 211313132013077043罗阳11999-06-07 211313132013077053田晓燕22000-02-15 211313132013077063马晓梅22001-06-15 211313132013077073康自平12001-04-02 211313132013077083周涛12001-02-18 211313132013077093许婷22001-10-01 211313132013077103马艳22001-03-26 211313132013077113马杰12000-01-25 211313132013077123马倩22001-03-29 211313132013077133杨佳亮12000-10-25 211313132013077143李华12000-02-12 211313132013077153李天凤22000-05-05 211313132013077163杨玉千11998-11-25 211313132013077173李亚玲22000-04-01 211313132013077183李海龙11997-01-05 211313132013077193杨晓艳21998-05-27 211313132013077203杨乐22001-07-10 211313132013077213石云洋12000-09-08 211313132013077223马涛11999-02-23 211313132013077233杨鑫涛12001-09-08 211313132013077243白耀林12000-02-18 211313132013077253罗小洋11999-01-05 211314142013077263马佳军12000-05-02211314142013077273顾圆圆22002-11-21 211314142013077283李梅蓉22001-04-08 211314142013077293杨梅21999-10-22 211314142013077303王妍22000-01-15 211314142013077313马文兵12000-09-01 211314142013077321马小艳22000-08-27 211314142013077333田进龙12000-08-25 211314142013077343李佳茹22000-09-02 211314142013077353康晓雪22000-11-10 211314142013077363马海林12001-08-06 211314142013077373杨丽21998-12-05 211314142013077383王海龙11999-04-08 211314142013077393何兰兰21998-04-21 211314142013077403李小青22001-12-11 211314142013077413何平21998-02-10 211314142013077423何佳林11999-10-15 211314142013077433杨哲12000-06-11 211314142013077443金铁12000-06-29 211314142013077453顾兴军12001-05-12 211314142013077463马萍22001-01-04 211314142013077473李晓龙11999-12-06 211314142013077483李娜22000-05-06 211314142013077493李建华11999-03-25 211314142013077503田彦花21999-06-09 211314142013077513马成建12000-03-28 211314142013077523杨霞21996-08-16 211314142013077533马金花22001-12-01 211314142013077553李慧慧22001-07-01 211314142013077563杨月琴22001-06-03 211314142013077573杨玲22001-02-15 211314142013077583黑小龙12000-03-29 211314142013077593马涛12003-04-18 211314142013077603顾蓉蓉22001-04-06 211314142013077613锁忠良12004-08-01 211314142013077623田雅萍22000-08-08 211314142013077633马东东12000-07-09 211314142013077643马翠花22000-01-02 211314142013077653马学慧22001-08-01 211314142013077663李强12000-10-15 211314142013077673许白有12000-03-05 211314142013077683杨彦文12000-10-15 211314142013077693丁佳军12000-09-10 211314142013077703贺治铁12001-05-03 211314142013077713马洁22000-05-06 211314142013077723杨佳欢11998-06-27 211314142013077733罗智星12000-01-21 211314142013077743马文荟22000-05-12 211314142013077753杨梅21999-03-21 211314142013077763马军11999-11-03 211314142013077773马小琴22001-01-18 211314142013077783田红21999-02-20211314142013077793杨兰22000-05-08 211314142013077803李嘉斌12001-08-03 211315152013077813金亚君21999-09-09 211315152013077823马伟东12000-10-15 211315152013077833王若12000-12-02 211315152013077843李世明11998-05-09 211315152013077853马洋洋12000-07-29 211315152013077863顾占欣22000-05-15 211315152013077873杨少宏11999-04-25 211315152013077883丁天义12001-11-12 211315152013077893丁小飞12000-11-14 211315152013077903田佳兵12000-11-06 211315152013077913张鑫12001-04-20 211315152013077923余小梅21999-11-10 211315152013077933李鹏12000-05-01 211315152013077943杨正伟12000-01-01 211315152013077963顾俊涛12001-02-23 211315152013077973张大宝11999-09-05 211315152013077983李小刚11999-02-10 211315152013077993杨晶晶22000-02-26 211315152013078003顾燕22000-07-26 211315152013078013马学栋12000-02-10 211315152013078023马兰22000-07-28 211315152013078033吴宁12001-12-13 211315152013078043王斌12000-02-10 211315152013078053金雄12001-05-06 211315152013078063马文凯12000-08-01 211315152013078073马义12000-10-01 211315152013078083马成成11999-05-07 211315152013078093马玲22000-02-15 211315152013078103田燕22000-12-10 211315152013078113马波12001-03-13 211315152013078123马应举12000-07-15 211315152013078133王龙12001-12-17 211315152013078143马晓娜22000-07-10 211315152013078153李瑞12001-02-20 211315152013078163马晓福12000-06-10 211315152013078173杨琴琴22000-01-03 211315152013078183马学轩22002-07-18 211315152013078191寇雪玲21999-05-06 211315152013078203马国栋12000-04-07 211315152013078213田海洋12000-01-01 211315152013078223马文鑫12000-01-18 211315152013078233李海祥12000-06-18 211315152013078243马佳慧22001-08-20 211315152013078253马龙12000-05-20 211315152013078263田英22001-02-07 211315152013078273马玉花22001-10-15 211315152013078283马鑫12000-03-06 211315152013078293李军12000-10-05 211315152013078303周晓娟22000-03-15211315152013078313何菲菲22000-09-22 211315152013078323马静涛12001-03-18 211315152013078333李飞12001-05-28 211315152013078343苏斌12000-11-05 211315152013078353马银福12001-06-10 211315152013078363丁福12001-06-23 211316162013078373陆梅兰22001-03-07 211316162013078381锁花21999-10-12 211316162013078393马萍22001-08-08 211316162013078403杨洋22001-04-30 211316162013078413杨芳21998-12-14 211316162013078423罗艳22000-10-15 211316162013078433马小军11999-10-08 211316162013078441陈明星12001-01-05 211316162013078453马龙11999-01-02 211316162013078463张忠海12000-10-04 211316162013078473马飞11998-02-16 211316162013078483马晓伟11999-01-08 211316162013078493冯强11999-12-10 211316162013078503马占伟11999-01-04 211316162013078523马宝龙12000-03-01 211316162013078533田野12002-08-15 211316162013078543马超12000-01-15 211316162013078553杨晓龙11999-05-21 211316162013078563丁洋12000-12-01 211316162013078573丁小军12001-02-23 211316162013078583王小林12000-02-19 211316162013078593丁世龙12000-01-15 211316162013078603马成风22000-02-03 211316162013078613李青22001-03-09 211316162013078623杨飞燕22000-02-18 211316162013078631李晓娟21997-10-10 211316162013078643田进忠11998-08-12 211316162013078653田娜娜22000-01-15 211316162013078663杨萍22001-06-08 211316162013078673罗小兰21998-05-30 211316162013078683张美22002-12-25 211316162013078693柯晓玲22001-05-14 211316162013078703李安妮22000-06-11 211316162013078713杨雪22000-01-08 211316162013078723马芙蓉21998-08-12 211316162013078733马妍21999-07-17 211316162013078743罗晓霞22001-10-05 211316162013078753王晓娟22001-01-03 211316162013078763米小燕21999-12-11 211316162013078773马菊花21999-09-06 211316162013078783马浩12001-05-17 211316162013078793童瑛雪22000-07-08 211316162013078803李梅22001-05-25 211316162013078813杨林12000-01-10 211316162013078823田晶22000-03-02211316162013078833杨吉东11999-02-02 211316162013078843黑志虎12000-04-08 211316162013078853马龙12003-07-20 211316162013078863马云强12001-02-11 211316162013078873马文鑫11999-10-30 211316162013078883李勇12000-03-18 211316162013078893田磊11999-05-19 211316162013078903马晶22000-09-01 211316162013078913马维鸿11998-10-17。
年级编号班级编号班级名称学籍号民族代码姓名性别212015201初中2015级1班G5134342001010514001刘茹2 212015201初中2015级1班G5134342001052513971孟云虎1 212015201初中2015级1班G5134342001072422751刘明坤1 212015201初中2015级1班G5134342001091026981付生辉1 212015201初中2015级1班G5134342001091514061彭春琳2 212015201初中2015级1班G5134342001101622761文昊1 212015201初中2015级1班G51343420011018140X1周琳2 212015201初中2015级1班G5134342001102725201彭建宏2 212015201初中2015级1班G5134342002022525191彭鑫1 212015201初中2015级1班G5134342002070825201唐瑶2 212015201初中2015级1班G5134342002082913917何宇1 212015201初中2015级1班G5134342002110513991何毅1 212015201初中2015级1班G5134342003021900281唐雅丽2 212015201初中2015级1班G51343420030314228X1张欣2 212015201初中2015级1班G5134342003052914061宋茜2 212015201初中2015级1班G5134342003082014027付宇莲2 212015202初中2015级2班G5134342000052300117勿雷伟支1 212015202初中2015级2班G5134342000091317907吉克尼哈子1 212015202初中2015级2班G5134342000100525207吉布尔的木2 212015202初中2015级2班G5134342001041814037俄里阿加木2 212015202初中2015级2班G5134342001071827007刘新美2 212015202初中2015级2班G5134342001090883557吉叶伍呷1 212015202初中2015级2班G5134342001111727087吉克依乌木2 212015202初中2015级2班G5134342001120726967吉木五且1 212015202初中2015级2班G5134342001121927007吉木呷呷木2 212015202初中2015级2班G5134342002011881567吉勒弟弟1 212015202初中2015级2班G5134342002022026937八九拉机1 212015202初中2015级2班G5134342002070879547巴足木机1 212015202初中2015级2班G5134342002072030037吉木大尔木2 212015202初中2015级2班G5134342002092426987哈日木呷1 212015202初中2015级2班G5134342004011825177巫且阿木子1 212015203初中2015级3班G5134341998092081567吉布哈都1 212015203初中2015级3班G5134341999031579817俄尔布都2 212015203初中2015级3班G5134341999081522747加潘力沙1212015203初中2015级3班G5134342000010327397吉俄拉且1 212015203初中2015级3班G5134342000102913967吉克尼沙1 212015203初中2015级3班G5134342000110681537巴足尔布子1 212015203初中2015级3班G5134342001011622827拉衣阿各莫2 212015203初中2015级3班G5134342001031081677吉衣克的木2 212015203初中2015级3班G51343420010316269X7吉于杂木1 212015203初中2015级3班G5134342001060230037吉木阿衣2 212015203初中2015级3班G5134342001062627097吉衣阿呷木2 212015203初中2015级3班G5134342001070127017吉一尔古木2 212015203初中2015级3班G51343420010731139X7俄木布坡1 212015203初中2015级3班G5134342001112022847曲木五加莫2 212015203初中2015级3班G51343420011121228X7拉衣伍基莫2 212015203初中2015级3班G5134342001112627037布的约古木2 212015203初中2015级3班G5134342002032113997俄木五加1 212015203初中2015级3班G5134342002040327047巴足伍加木2 212015203初中2015级3班G5134342002112179507吉木里古1 212015203初中2015级3班G5134342003012781677巴久伍热莫2 212015203初中2015级3班G5134342003072825117吉米伍各1 212015204初中2015级4班G5134341999011527067布的加加木2 212015204初中2015级4班G51343419990208002X7支木克布木2 212015204初中2015级4班G5134341999101125117吉合小牛1 212015204初中2015级4班G5134341999101825287吉古阿谷木2 212015204初中2015级4班G51343420000325815X7吉木木沙1 212015204初中2015级4班G5134342000043026937布的罗机1 212015204初中2015级4班G51343420000526270X7吉木约布木2 212015204初中2015级4班G5134342000090325227巴木作布木2 212015204初中2015级4班G5134342000091325157吉日达哥1 212015204初中2015级4班G5134342001030427007吉木阿加木2 212015204初中2015级4班G5134342001060326987吉克伍沙1 212015204初中2015级4班G5134342001071514027吉日布古木2 212015204初中2015级4班G5134342001092857387吉克建平1 212015204初中2015级4班G5134342001121518027吉余伍呷木2 212015204初中2015级4班G5134342002040183557吉格尔的1 212015204初中2015级4班G5134342002080125247巴木阿呷木2 212015204初中2015级4班G5134342002081427247刘向2 212015205初中2015级5班G5134341998042527217八九拉沙木2 212015205初中2015级5班G5134341998111617997加足五牛子1 212015205初中2015级5班G5134341999062481687吉乃拉牛木2212015205初中2015级5班G5134342000021526957布谷约坡1 212015205初中2015级5班G5134342000032580537吉潘阿木1 212015205初中2015级5班G5134342000072827047吉克呷呷木2 212015205初中2015级5班G51343420000804269X7布过什布1 212015205初中2015级5班G51343420000805181X7吉斯木乃子1 212015205初中2015级5班G5134342000082579657巴久伍各木2 212015205初中2015级5班G5134342000100527237巴足阿牛木2 212015205初中2015级5班G5134342001011825237吉俄布都木2 212015205初中2015级5班G5134342001040700337俄尔木加1 212015205初中2015级5班G5134342001060527017吉木拉谷木2 212015205初中2015级5班G5134342001061027057伟色小明2 212015205初中2015级5班G5134342001081014077吉里布哈木2 212015205初中2015级5班G5134342001091500327吉日克古1 212015205初中2015级5班G51343420011005139X7俄里说认1 212015205初中2015级5班G5134342001101027087布各牛牛木2 212015205初中2015级5班G5134342001102527067俄木尾哈木2 212015205初中2015级5班G5134342001112026987俄里拉合1 212015205初中2015级5班G5134342002032581627地惹日布莫2 212015205初中2015级5班G5134342002040626987吉产伍呷1 212015205初中2015级5班G5134342002071025287吉布里则木2 212015205初中2015级5班G5134342004071030317吉木建国1 212015206初中2015级6班G5134341999040826947吉克伍卡1 212015206初中2015级6班G5134341999050281557拉马木乃1 212015206初中2015级6班G5134341999050679637巴久阿支2 212015206初中2015级6班G5134341999110527257八且作布木2 212015206初中2015级6班G5134342000041513977俄里小华1 212015206初中2015级6班G5134342000081525147吉都布古1 212015206初中2015级6班G5134342001070727047八且达机木2 212015206初中2015级6班G5134342001072381537曲木五沙子1 212015206初中2015级6班G5134342001080713917吉里阿牛木1 212015206初中2015级6班G5134342001101613967吉里小强1 212015206初中2015级6班G5134342002031625157拉马小龙1 212015206初中2015级6班G5134342002090879667巴久伍支2 212015206初中2015级6班G5134342002100226927吉木车古1 212015206初中2015级6班G5134342003060525387俄木友支1 212015206初中2015级6班G5134342003060822787勿里九仟1 212015206初中2015级6班G5134342003122379507吉足拉且1 212015207初中2015级7班G5134341998072325157拉马里真1 212015207初中2015级7班G5134341999063025157巴久伍达子1 212015207初中2015级7班G51343419990912251X7巴足古布1 212015207初中2015级7班G51343420001001142X7孟的金什2 212015207初中2015级7班G5134342001113014267刘学英2 212015207初中2015级7班G5134342001121126947布过医生1 212015207初中2015级7班G5134342002021230047吉木说吉木2212015207初中2015级7班G5134342002052079597巴久木呷1 212015207初中2015级7班G5134342002070427057布过布果木2 212015207初中2015级7班G5134342002070525167吉都五呷1 212015207初中2015级7班G51343420020722228X7彭泽阳2 212015207初中2015级7班G5134342002072430057拉机伍沙木2 212015207初中2015级7班G5134342002081714107俄里拉千1 212015207初中2015级7班G5134342002083113991倪彬1 212015207初中2015级7班G5134342002110626961刘忠德1 212015207初中2015级7班G5134342002112237791吴顺欢1 212015207初中2015级7班G5134342003033013911余承志1 212015207初中2015级7班G5139212003030215201康静2 212015208初中2015级8班G51343419990415001X7日伍支1 212015208初中2015级8班G5134342000022083537俄尔克古1 212015208初中2015级8班G5134342000061781557巴足阿且1 212015208初中2015级8班G5134342000081514077俄里约哈木2 212015208初中2015级8班G5134342000120714427威色拉布2 212015208初中2015级8班G5134342000122833147吉木伍哈1 212015208初中2015级8班G5134342001081527227吉尔伍加木2 212015208初中2015级8班G5134342001101227097吉尔里西木2 212015208初中2015级8班G5134342001111081677吉布阿吉莫2 212015208初中2015级8班G5134342001121227027吴倩2 212015208初中2015级8班G5134342002022014477吉布拉沙木2 212015208初中2015级8班G5134342002092300487拉衣大姐2 212015208初中2015级8班G5134342003041274877吉叶克布木2 222014201初中2014级1班G5134341996020527057吉克布都木2 222014201初中2014级1班G5134341997070827167阿牛药坡1 222014201初中2014级1班G5134341998032379847吉木伍沙木2 222014201初中2014级1班G5134341998091518077阿加拉布木2 222014201初中2014级1班G5134341998100530247阿尔阿支木2 222014201初中2014级1班G5134341998100817977曲木石都1 222014201初中2014级1班G5134341999020627297布谷阿英2 222014201初中2014级1班G5134341999030125207曲木大姐木2 222014201初中2014级1班G5134341999032027467海来伍谷木2 222014201初中2014级1班G51343419990420273X7吉一拉则1 222014201初中2014级1班G5134341999061226967曲木曲古子1 222014201初中2014级1班G5134341999070525117木洛拉布1 222014201初中2014级1班G5134341999092027047果吉阿沙莫2 222014201初中2014级1班G5134341999101526957巴足木果1 222014201初中2014级1班G5134341999111726987阿西尔机1 222014201初中2014级1班G5134341999111826937沈子尔古1 222014201初中2014级1班G5134341999112027387吉木车都1 222014201初中2014级1班G5134341999121022887勿里九妹2 222014201初中2014级1班G5134342000020530057曲木阿支木2 222014201初中2014级1班G5134342000021427027阿西石姑莫2222014201初中2014级1班G5134342000030125127曲木衣古子1 222014201初中2014级1班G5134342000031527187沈子拉哈子1 222014201初中2014级1班G51343420000317815X7阿都工作1 222014201初中2014级1班G5134342000032581687巴久伍沙莫2 222014201初中2014级1班G5134342000040233287曲木伍支木2 222014201初中2014级1班G5134342000040626937俄木小龙1 222014201初中2014级1班G5134342000041727107布的尼布1 222014201初中2014级1班G5134342000042879647曲木小梅2 222014201初中2014级1班G5134342000050323737阿西尔波1 222014201初中2014级1班G5134342000050914027的日阿妹2 222014201初中2014级1班G51343420000701251X7阿被克的1 222014201初中2014级1班G5134342000070925217巴木阿支木2 222014201初中2014级1班G5134342000071200437阿牛五沙木2 222014201初中2014级1班G5134342000080227017阿的曲沙木2 222014201初中2014级1班G5134342000080400457木色作古木2 222014201初中2014级1班G5134342000081925167马文兵1 222014201初中2014级1班G5134342000082926997俄木木支1 222014201初中2014级1班G5134342000091014287潘克支木2 222014201初中2014级1班G5134342000091281537阿尔阿木1 222014201初中2014级1班G5134342000092081617吉里阿沙木2 222014201初中2014级1班G5134342000100525127巫且木呷1 222014201初中2014级1班G5134342000111625107吉日伍呷子1 222014201初中2014级1班G5134342000121100347木出阿且1 222014201初中2014级1班G5134342001012027157阿都五呷1 222014201初中2014级1班G5134342001031518007木洛妞牛木2 222014201初中2014级1班G5134342001041481527瓦尔克古1 222014201初中2014级1班G5134342001041927007阿加有布木2 222014201初中2014级1班G51343420010516252X7阿被二机木2 222014201初中2014级1班G5134342001052317917谢小龙1 222014201初中2014级1班G5134342001052829947吉木阿且1 222014201初中2014级1班G5134342001062518077木洛克的木2 222014201初中2014级1班G5134342001071125187阿里阿沙1 222014201初中2014级1班G5134342001072025217吉坡阿衣木2 222014201初中2014级1班G5134342001072600197阿吾立布1 222014201初中2014级1班G5134342001080925127阿都拉布1 222014201初中2014级1班G5134342001081726947罗主约呷子1 222014201初中2014级1班G5134342001091325127阿支尔体子1 222014201初中2014级1班G5134342001100125347胡阿木1 222014201初中2014级1班G5134342001101125197吉克伍沙1 222014201初中2014级1班G5134342001120530067阿尔阿各木2 222014201初中2014级1班G5134342002012218177郎机尔且1 222014201初中2014级1班G5134342002020855977阿于木衣1 222014201初中2014级1班G5134342002021522867俄木热布莫2 222014201初中2014级1班G5134342002051225177达足木牛1222014201初中2014级1班G5134342002061322907拉衣阿来1 222014201初中2014级1班L5134341998021900457阿说伍加木2 222014201初中2014级1班L5134341998090200497沙马尼古木2 222014201初中2014级1班L5134341999011200697曲木阿衣木2 222014201初中2014级1班L5134341999012800977王恩平1 222014201初中2014级1班L5134341999081200617曲木阿沙木2 222014201初中2014级1班L5134341999112002147达足伍来1 222014201初中2014级1班L5134342000090502107说过杨健1 222014201初中2014级1班L5134342000110901077阿加尔布木2 222014201初中2014级1班L5134342001013001127吉于石切1 222014201初中2014级1班L5134342001112501477吉支伍支木2 222014202初中2014级2班G5134341996041579657曲木伍呷莫2 222014202初中2014级2班G5134341998040671987木洛杨胡1 222014202初中2014级2班G5134341998070730087海来牛牛木2 222014202初中2014级2班G5134341998102027127曲木木呷1 222014202初中2014级2班G5134341998111679557曲木伍合1 222014202初中2014级2班G5134341999040522847曲木车哈莫2 222014202初中2014级2班G5134341999041725187沙马木乃1 222014202初中2014级2班G5134341999050827177格衣木沙1 222014202初中2014级2班G5134341999060781547阿都克的1 222014202初中2014级2班G5134341999080625197吉克阿拉1 222014202初中2014级2班G5134341999081525307阿比格古1 222014202初中2014级2班G5134341999091025277阿里阿加木2 222014202初中2014级2班G5134341999092026917阿根克哈1 222014202初中2014级2班G5134341999092626947布谷医文1 222014202初中2014级2班G5134341999092826957吉一尔布1 222014202初中2014级2班G5134341999101817957拉衣依木子1 222014202初中2014级2班G5134341999110283627吉木吉布木2 222014202初中2014级2班G51343419991114251X7俄里建红1 222014202初中2014级2班G5134341999112025277俄木阿衣木2 222014202初中2014级2班G5134341999122126987阿说二万1 222014202初中2014级2班G5134342000020200437曲木阿牛2 222014202初中2014级2班G51343420000205004X7那尔呷呷2 222014202初中2014级2班G5134342000021527247吉木伍加木2 222014202初中2014级2班G5134342000030425277拉基热什木2 222014202初中2014级2班G5134342000031230017木苦阿沙木2 222014202初中2014级2班G5134342000040426927沙马阿哈1 222014202初中2014级2班G5134342000041027047王丽2 222014202初中2014级2班G5134342000043025114阿都木加1 222014202初中2014级2班G5134342000050126987的日什布1 222014202初中2014级2班G5134342000050622737衣来克哈1 222014202初中2014级2班G5134342000050825227沙马加叶木2 222014202初中2014级2班G5134342000051725287曲木石古莫2 222014202初中2014级2班G5134342000053022737阿约阿木子1222014202初中2014级2班G5134342000080526957阿说木呷1 222014202初中2014级2班G5134342000090326967布的达尔1 222014202初中2014级2班G51343420000908252X7木洛伍果2 222014202初中2014级2班G51343420001202251X7吉木热迁子1 222014202初中2014级2班G5134342001010283667呷哈约者木2 222014202初中2014级2班G5134342001030881867热尔阿妹2 222014202初中2014级2班G5134342001032026987王林1 222014202初中2014级2班G5134342001033017927木洛拉沙子1 222014202初中2014级2班G5134342001040127147海来阿木1 222014202初中2014级2班G5134342001040458907衣尔伍且1 222014202初中2014级2班G5134342001042027027曲木伍牛莫2 222014202初中2014级2班G5134342001050427127吉木曲哈1 222014202初中2014级2班G5134342001052525177曲木尔古子1 222014202初中2014级2班G5134342001052526997布的衣呷1 222014202初中2014级2班G5134342001061025107阿乃儿真1 222014202初中2014级2班G5134342001071518087甲古达尔木2 222014202初中2014级2班G5134342001073129907曲木呷体1 222014202初中2014级2班G5134342001090581647热尔阿作莫2 222014202初中2014级2班G51343420011015302X7沙日果各木2 222014202初中2014级2班G5134342001110627017沙马什真木2 222014202初中2014级2班G5134342001120526957果吉体直1 222014202初中2014级2班G5134342001121780527吉潘拉布1 222014202初中2014级2班G5134342002011614047吉牛尔姑莫2 222014202初中2014级2班G5134342002020701097阿牛阿支木2 222014202初中2014级2班G5134342002040525297沙马阿衣木2 222014202初中2014级2班G5134342002042122897木洛王雄莫2 222014202初中2014级2班G5134342002051026987曲木尔里1 222014202初中2014级2班G5134342002051527087沙马伍呷木2 222014202初中2014级2班G5134342004081200287罗阿中2 222014202初中2014级2班L5134341997040100557吉乃拉沙1 222014202初中2014级2班L5134341997040201147吉木都布1 222014202初中2014级2班L5134341998030400147吉木木果1 222014202初中2014级2班L5134341998091502147曲木阿莫1 222014202初中2014级2班L5134341999032502707的日衣古1 222014202初中2014级2班L5134341999032900537阿加阿哈1 222014202初中2014级2班L5134341999081100587罗伟哈1 222014202初中2014级2班L5134342000012400367吉巴小华1 222014202初中2014级2班L5134342000082800657达久阿支木2 222014202初中2014级2班L5134342001122801297曲木尼古木2 222014203初中2014级3班G5134341997072200237木洛拉古2 222014203初中2014级3班G5134341997101125687达足作布木2 222014203初中2014级3班G5134341998020525157格衣石打子1 222014203初中2014级3班G5134341998032181697马海伍各2 222014203初中2014级3班G5134341998070525147阿乃约支1222014203初中2014级3班G5134341999021925157果基伍哈子1 222014203初中2014级3班G5134341999042000217沙马伍沙木2 222014203初中2014级3班G5134341999051925107海日伍沙1 222014203初中2014级3班G5134341999052027157八九拉且1 222014203初中2014级3班G5134341999052027317吉克阿且1 222014203初中2014级3班G5134341999070525387吉坡阿木子1 222014203初中2014级3班G5134341999072379627莫洛阿沙2 222014203初中2014级3班G5134341999100627027吉于阿呷木2 222014203初中2014级3班G5134341999102017927布的五达1 222014203初中2014级3班G5134341999120479527莫可依布1 222014203初中2014级3班G5134341999120627067曲木伍支木2 222014203初中2014级3班G5134341999122581517曲莫大果1 222014203初中2014级3班G5134342000012013951廖阳1 222014203初中2014级3班G5134342000012449857沙马伍沙2 222014203初中2014级3班G5134342000022022857阿说尼古莫2 222014203初中2014级3班G5134342000022100237吉木比比2 222014203初中2014级3班G5134342000022327087八九伍谷木2 222014203初中2014级3班G5134342000030425197木洛尔古1 222014203初中2014级3班G5134342000031218237吉一伍牛2 222014203初中2014级3班G5134342000042027487俄里阿妹2 222014203初中2014级3班G5134342000050481727刘合小宁1 222014203初中2014级3班G5134342000051327027曲木五加木2 222014203初中2014级3班G5134342000053018011王杰2 222014203初中2014级3班G5134342000071722737阿尔牛西子1 222014203初中2014级3班G5134342000080922837海来车沙木2 222014203初中2014级3班G5134342000082126957的日小平1 222014203初中2014级3班G5134342000082525237吉支什呷木2 222014203初中2014级3班G5134342000090426917八九拉谷1 222014203初中2014级3班G5134342000092422711冯龙1 222014203初中2014级3班G5134342000100818077曲莫尔西木2 222014203初中2014级3班G5134342000102225267李小燕2 222014203初中2014级3班G5134342000110981687沈子里古木2 222014203初中2014级3班G5134342000113025287曲木衣生木2 222014203初中2014级3班G5134342001011014207孙小林2 222014203初中2014级3班G5134342001012118491沈青梅2 222014203初中2014级3班G5134342001012825247吴期石古木2 222014203初中2014级3班G5134342001021014067热机阿呷2 222014203初中2014级3班G5134342001022779547曲木伍牛1 222014203初中2014级3班G51343420010305180X7阿加大尔木2 222014203初中2014级3班G51343420010329270X7布各五呷木2 222014203初中2014级3班G5134342001040625191蒋德冲1 222014203初中2014级3班G5134342001050426917吉于伍沙1 222014203初中2014级3班G5134342001050722761郭靖1 222014203初中2014级3班G5134342001051600147拉衣伍牛1222014203初中2014级3班G5134342001060717931陈江1 222014203初中2014级3班G5134342001060814227陶什姑2 222014203初中2014级3班G5134342001070526907曲木尼古1 222014203初中2014级3班G51343420010723251X1张世勇1 222014203初中2014级3班G5134342001072826991李定银1 222014203初中2014级3班G51343420010815252X7甲卡衣布木2 222014203初中2014级3班G5134342001081581637木可衣哈莫2 222014203初中2014级3班G5134342001082314041李玉2 222014203初中2014级3班G5134342001082318261王霞2 222014203初中2014级3班G5134342001091013967的日母沙1 222014203初中2014级3班G5134342001101713911呼成越1 222014203初中2014级3班G5134342001110822781王芳健1 222014203初中2014级3班G5134342001120413981孟云宾1 222014203初中2014级3班G5134342001120414001肖琼霞2 222014203初中2014级3班G5134342002020722781黄闯1 222014203初中2014级3班G5134342002021114091卢春莉2 222014203初中2014级3班G5134342002030422817沙马尔古莫2 222014203初中2014级3班G5134342002031926937邱华1 222014203初中2014级3班G5134342002032125271陈玉新2 222014203初中2014级3班G5134342002051400297比尔阿各2 222014203初中2014级3班G5134342002051518447阿加拉古莫2 222014203初中2014级3班G5134342002060281517吉克五里1 222014203初中2014级3班G5134342002110214051王瑞娟2 222014203初中2014级3班G5134342003011181637阿都克哈木2 222014203初中2014级3班G5134342003020126947沙马布古1 222014203初中2014级3班L51343419981027007X7吉木体古1 222014203初中2014级3班L5134341999020501897曲木伍呷木2 222014203初中2014级3班L5134341999041702057吉布力古木2 222014203初中2014级3班L5134341999060502157布的伍且1 222014203初中2014级3班L5134341999080400457哈日阿嘎莫2 222014203初中2014级3班L5134342000050302637吉差五各木2 222014203初中2014级3班L5134342000062100717曲木伍呷1 222014203初中2014级3班L5134342000090101557毛可衣布1 222014203初中2014级3班L5134342000100503301王淏1 222014203初中2014级3班L5134342000101600897曲木罗英木2 222014203初中2014级3班L5134342001040602067吉布依古莫2 222014203初中2014级3班L5134342001062300887达久二几木2 222014203初中2014级3班L51343420010720018X7巫期伍哈木2 222014203初中2014级3班L5134342001090601687巴久伍机木2 222014204初中2014级4班G5134312000080951437阿余医生2 222014204初中2014级4班G5134341998022827087俄木阿呷木2 222014204初中2014级4班G5134341998100827307的日伍来1 222014204初中2014级4班G5134341998120530287勿里阿果木2 222014204初中2014级4班G5134341999010300477阿吾阿支木2222014204初中2014级4班G5134341999011479667马海小且木2 222014204初中2014级4班G5134341999040379657阿尔阿沙木2 222014204初中2014级4班G5134341999042000487阿罗阿支2 222014204初中2014级4班G51343419990506798X7马日阿加木2 222014204初中2014级4班G5134341999051225477沙马尔哈木2 222014204初中2014级4班G5134341999060614087曲木加甲木2 222014204初中2014级4班G5134341999060722707沙马力布1 222014204初中2014级4班G5134341999063000187曲木尔支1 222014204初中2014级4班G5134341999092000557阿罗阿木1 222014204初中2014级4班G5134341999102381657马曲里2 222014204初中2014级4班G5134341999110925167格衣阿德1 222014204初中2014级4班G5134342000020117967吉木建华1 222014204初中2014级4班G5134342000020426997曲木尼姑子1 222014204初中2014级4班G5134342000032000897勿雷阿呷木2 222014204初中2014级4班G5134342000040527007罗花2 222014204初中2014级4班G51343420000407001X7阿约伍良1 222014204初中2014级4班G5134342000040700367甲卡伍合1 222014204初中2014级4班G5134342000040825127格衣阿德1 222014204初中2014级4班G5134342000042522867勿里克古莫2 222014204初中2014级4班G5134342000050127277阿里约古木2 222014204初中2014级4班G51343420000506229X7曲木里哈1 222014204初中2014级4班G5134342000050826967曲木友友1 222014204初中2014级4班G5134342000071013957甲斯阿木1 222014204初中2014级4班G5134342000080725147曲木伍哈1 222014204初中2014级4班G5134342000081359337吉皮衣且1 222014204初中2014级4班G5134342000083026907俄里阿且1 222014204初中2014级4班G5134342000101627037阿说伍沙木2 222014204初中2014级4班G5134342001012926937格坡阿且1 222014204初中2014级4班G5134342001020326907阿日石古1 222014204初中2014级4班G5134342001020518087吉斯拉谷木2 222014204初中2014级4班G5134342001020825167布德作且子1 222014204初中2014级4班G5134342001021017997格衣医生1 222014204初中2014级4班G5134342001021125197甲卡石坡1 222014204初中2014级4班G5134342001032900267杨明2 222014204初中2014级4班G5134342001032923207阿西克支木2 222014204初中2014级4班G5134342001040225257木洛里布木2 222014204初中2014级4班G5134342001041625287曲木格格木2 222014204初中2014级4班G5134342001042881557曲木克布1 222014204初中2014级4班G5134342001050800227曲木伍支2 222014204初中2014级4班G5134342001052263787吉木布火1 222014204初中2014级4班G51343420010606004X7沙马石姑2 222014204初中2014级4班G5134342001061826967吉克石体1 222014204初中2014级4班G5134342001070525277吉木石布木2 222014204初中2014级4班G5134342001071025477阿术阿各木2222014204初中2014级4班G5134342001071027077吉产阿牛木2 222014204初中2014级4班G5134342001071325197曲木莫沙子1 222014204初中2014级4班G51343420010728482X7蒋阿衣2 222014204初中2014级4班G5134342001072925127胡达哥1 222014204初中2014级4班G5134342001090125297曲木阿牛木2 222014204初中2014级4班G5134342001090126927布谷尔古1 222014204初中2014级4班G5134342001090979567海来五加1 222014204初中2014级4班G51343420010911228X7勿里阿呷木2 222014204初中2014级4班G5134342001091714077吉布里阿莫2 222014204初中2014级4班G5134342001101137731任昌平1 222014204初中2014级4班G5134342002032525377海来木呷子1 222014204初中2014级4班G5134342002060979587阿别阿来1 222014204初中2014级4班G5134342002111026947阿加木乃1 222014204初中2014级4班G5134342003121525197木色二王1 222014204初中2014级4班L5134341996070801157阿子木沙1 222014204初中2014级4班L5134341998101000897沙马阿沙2 222014204初中2014级4班L5134342000051004287海来阿依木2 222014204初中2014级4班L5134342000071701477八久作三木2 222014204初中2014级4班L5134342000090101127吉于依古1 222014204初中2014级4班L5134342000111201937沈子里布1 222014204初中2014级4班L5134342001112801197吉帕尔布1 222014205初中2014级5班G5134322001051500247阿胡伍牛2 222014205初中2014级5班G5134341997030580067阿根衣吾木2 222014205初中2014级5班G5134341997090225227果吉里布木2 222014205初中2014级5班G5134341997102831217曲木伍加2 222014205初中2014级5班G5134341998080354337沙马阿来1 222014205初中2014级5班G5134341998102125157木色木呷子1 222014205初中2014级5班G5134341999020613987木洛伟机1 222014205初中2014级5班G5134341999031326967曲木友沙1 222014205初中2014级5班G5134341999062854447马海阿机2 222014205初中2014级5班G5134342000011126917八且里达1 222014205初中2014级5班G5134342000021413981余兴浩1 222014205初中2014级5班G5134342000030814117俄木伍各1 222014205初中2014级5班G51343420000315270X7吉克拉古木2 222014205初中2014级5班G5134342000051563687阿西伍牛木2 222014205初中2014级5班G5134342000061679827吉俄大姐2 222014205初中2014级5班G5134342000081025257达足阿衣木2 222014205初中2014级5班G5134342000102713957马红明1 222014205初中2014级5班G5134342000111414021冯琼2 222014205初中2014级5班G5134342000111514087果基布古木2 222014205初中2014级5班G5134342000112091717俄木尔达1 222014205初中2014级5班G5134342000120114077王丽2 222014205初中2014级5班G5134342000120279517王涛1 222014205初中2014级5班G5134342000120914001王雪2222014205初中2014级5班G5134342000122018091张瑞琪2 222014205初中2014级5班G5134342001011514017罗琼2 222014205初中2014级5班G5134342001020213937沈良友1 222014205初中2014级5班G5134342001020614081肖云月2 222014205初中2014级5班G5134342001031514057王尼布莫2 222014205初中2014级5班G51343420010318299X7吉克曲达1 222014205初中2014级5班G5134342001032027437俄木阿支木2 222014205初中2014级5班G5134342001042727007罗娜2 222014205初中2014级5班G5134342001050425287吉支阿比木2 222014205初中2014级5班G5134342001051014281李忠霞2 222014205初中2014级5班G51343420010510272X7哈日阿衣木2 222014205初中2014级5班G5134342001072214071周运2 222014205初中2014级5班G5134342001080114017吉尔小明2 222014205初中2014级5班G5134342001080614251李晏2 222014205初中2014级5班G5134342001081413961罗直帅1 222014205初中2014级5班G5134342001090130037马明2 222014205初中2014级5班G5134342001092625287木洛衣布木2 222014205初中2014级5班G5134342001102779547阿扭扯布1 222014205初中2014级5班G51343420020112139X1蒋玉轲1 222014205初中2014级5班G5134342002031414071邓巧2 222014205初中2014级5班G51343420020707140X1王梦月2 222014205初中2014级5班G5134342002080981617曲木伍呷木2 222014205初中2014级5班G5134342002090834207基依阿呷莫2 222014205初中2014级5班G5134342002120114011林静2 222014205初中2014级5班L5134341997122501717吉觉阿呷木1 222014205初中2014级5班L5134342000121900547王友1 222014205初中2014级5班L5134342001111800621程梦茹2 23201510495491班G5134341995051625747阿铁子1 23201510495491班G51343419960411333X7吉木伍尼1 23201510495491班G5134341996052700707阿尔吉古1 23201510495491班G5134341998042525297阿里阿妹2 23201510495491班G5134341998052327067格坡阿哈木2 23201510495491班G5134341998072122741张超1 23201510495491班G5134341998090514191赵斌1 23201510495491班G5134341998100126957伟色拉且1 23201510495491班G5134341998100827147莫洛木呷1 23201510495491班G5134341998101226917曲木衣古1 23201510495491班G5134341998110727027吉木伍机木2 23201510495491班G5134341998120313987的日木呷1 23201510495491班G5134341999012025237阿里果各木2 23201510495491班G5134341999081013971陈盼1 23201510495491班G5134341999081709827曲木大机2 23201510495491班G5134341999090227037格坡阿牛木2 23201510495491班G5134341999091000547曲木约哈123201510495491班G5134341999102325217巴足五谷木2 23201510495491班G51343419991202251X7洛五拉铁1 23201510495491班G5134342000010622767解足尔布1 23201510495491班G5134342000012025157阿来为布1 23201510495491班G5134342000020822791郭嘉杰1 23201510495491班G5134342000021514227吉布拉布木2 23201510495491班G5134342000022017921张冰1 23201510495491班G5134342000031622707曲木木乃1 23201510495491班G5134342000032622711陈亮1 23201510495491班G5134342000041914011林玲2 23201510495491班G5134342000050527027沈子尼古木2 23201510495491班G51343420000509251X7曲木尔铁1 23201510495491班G5134342000051425211韩雪2 23201510495491班G5134342000072014171赵雷1 23201510495491班G5134342000072027007罗星2 23201510495491班G5134342000081013977俄木克哈1 23201510495491班G5134342000091030367勿里拉古1 23201510495491班G5134342000102530237阿来阿支木2 23201510495491班G5134342000111014197阿比石且1 23201510495491班G5134342000122425127沙马里古1 23201510495491班G5134342001022418047木洛阿牛木2 23201510495491班G51343420010321228X7解足阿呷莫2 23201510495491班G5134342001041525307阿都小立子1 23201510495491班G51343420020315227X7拉衣小罗1 23201510495491班G5134361999070124167潘拉铁1 23201510495491班L5134341997080400247曲木依姑木2 23201510495491班L5134341998011001087曲木五沙2 23201510495491班L5134341998050200847的日五呷2 23201510495491班L5134341998052000857木岀五各木2 23201510495491班L5134341998053000277吉克阿秀莫2 23201510495491班L5134341999020300227木怕五牛木2 23201510495491班L5134341999061000247木洛达机木2 23201510495491班L5134341999062001217曲木阿来木2 23201510495491班L5134341999062700827阿西五呷木2 23201510495491班L5134341999071700247王阿依2 23201510495491班L5134341999080301467索日阿牛莫2 23201510495491班L5134341999081001407阿加阿依木2 23201510495491班L5134341999092300867曲木热则木2 23201510495491班L51343420000608014X7阿牛阿梅木2 23201510495491班L5134342000081600717吴期依坡1 23201510495491班L5134342000102800487阿里布吉木2 23201510495491班L5134342001091800987吉瓦五呷1 23201510495503班G5134341996032881547阿都克基1 23201510495503班G5134341996071327047吉列五加木223201510495503班G5134341996123084521吉约木沙1 23201510495503班G5134341997040422767衣来尔哈1 23201510495503班G5134341997050274737吉叶木乃1 23201510495503班G5134341997061512577阿西尔平1 23201510495503班G5134341997080525277拉基作布2 23201510495503班G5134341997092079657吉布伍呷2 23201510495503班G5134341997110700137勿雷伟日1 23201510495503班G5134341998010214267吉木阿支木2 23201510495503班G5134341998011230007勿里晓敏2 23201510495503班G5134341998012100247阿罗阿加2 23201510495503班G5134341998021025197沙马阿木子1 23201510495503班G5134341998022222891周霞2 23201510495503班G5134341998040125177阿尔木沙1 23201510495503班G5134341998040427167阿都尔布1 23201510495503班G5134341998051026967木洛布古1 23201510495503班G5134341998052027187阿尔木乃1 23201510495503班G5134341998082027057俄木阿加木2 23201510495503班G5134341998091400757阿约友支1 23201510495503班G5134341998101500437阿牛五热木2 23201510495503班G5134341998102122917曲木阿木1 23201510495503班G5134341998122925127达足约古1 23201510495503班G51343419990201003X7沙马阿沙1 23201510495503班G5134341999020122707阿西拉沙1 23201510495503班G5134341999032014011俞明瑶2 23201510495503班G5134341999040822727曲木阿木1 23201510495503班G5134341999050322777曲木木且1 23201510495503班G5134341999050826967曲木尔坡1 23201510495503班G5134341999052425147吉潘木乃1 23201510495503班G5134341999061525377达足木牛子1 23201510495503班G5134341999091025357阿西木乃1 23201510495503班G51343419991001142X7海来阿支木2 23201510495503班G5134341999100625267巴足伍加木2 23201510495503班G5134341999101079667张学花2 23201510495503班G5134341999122100277阿尔姐芝2 23201510495503班G5134342000011730057阿加牛牛木2 23201510495503班G5134342000071725211彭龙秋2 23201510495503班G51343420000728251X7阿都尔且1 23201510495503班G5134342000080225251邓微2 23201510495503班G5134342000082414021黄华睿2 23201510495503班G5134342000100227007阿说阿梅2 23201510495503班G5134342001012413941吴泽京1 23201510495503班G5134342001021500137木色木加1 23201510495503班G5134342001052845517阿的木乃1 23201510495503班G5134342001060322847热夫伍呷莫223201510495503班G5134342001091000277马海阿呷2 23201510495503班G5134342001100122861邓燕2 23201510495503班G5134342003041822831邓娜2 23201510495503班G5134342003092826971胡鑫1 23201510495503班L5134341996100100547果基医生1 23201510495503班L5134341998040400407阿牛阿呷2 23201510495503班L5134341998080300187沈子子龙1 23201510495503班L5134341999041400307海来衣坡1 23201510495503班L5134341999050700897吉鱼五牛木2 23201510495503班L5134341999072700337阿约健康1 23201510495503班L5134341999082000887曲木阿呷木(丁山)2 23201510495503班L5134342000062000417曲木阿呷木(南箐)2 23201510495515班G5134321997051673187瓦渣久格1 23201510495515班G5134332000050171267马立真莫2 23201510495515班G51343419970920270X7吉克阿衣木2 23201510495515班G5134341997111600357俄木伍各1 23201510495515班G51343419980413125X1朱拉加1 23201510495515班G5134341998041517957木洛约古子1 23201510495515班G5134341998072018077曲莫约古木2 23201510495515班G5134341998090500107木出阿且1 23201510495515班G5134341998101300187吉木约呷1 23201510495515班G5134341998122565547曲木拉机1 23201510495515班G51343419990116001X7吉瓦小比1 23201510495515班G5134341999021000517甲朵不平1 23201510495515班G5134341999030714087威色阿衣2 23201510495515班G5134341999042014031艾佳文2 23201510495515班G51343419990507301X7马泽1 23201510495515班G5134341999051974777阿来伍哈1 23201510495515班G5134341999061614097沙马五认莫2 23201510495515班G5134341999062714057马红琼2 23201510495515班G51343419990908228X1罗丽2 23201510495515班G5134341999092914281王丹2 23201510495515班G5134341999101127067格坡达机木2 23201510495515班G5134341999101513937果基约达子1 23201510495515班G5134341999110113921孟云飞1 23201510495515班G5134341999111514081林婉莹2 23201510495515班G5134341999112414547马海小兵1 23201510495515班G51343419991207140X1杨雪梅2 23201510495515班G5134342000011313901曹红1 23201510495515班G5134342000020314121杨欣1 23201510495515班G5134342000031518037阿尔阿加木2 23201510495515班G5134342000040113941彭春龙1 23201510495515班G5134342000050322771王方舟1 23201510495515班G5134342000051527031刘忠叶2。
年级编号班级编号班级名称学号民族代码姓名性别出生日期家庭住址212013201一班011闫夏欣女20010518212013201一班021李耀青女19990309212013201一班031张开峰男20010426212013201一班041郭旭艳女20001123212013201一班051郭斌男20000928212013201一班061崔亚梅女20000601212013201一班071郝彦东男20001129212013201一班081张宇男19990728212013201一班091景少鹏男20000901212013201一班101郑佳丽女20001011212013201一班111郭荣男20000720212013201一班121李慧利女19981103212013201一班131王慧玲女20010123212013201一班141武玄丽女20000508212013201一班151尹文莉女20020301212013201一班161程美芬女19990526212013201一班171郝肖然女20001205212013201一班181孙建文男19980513212013201一班191褚倩倩女20000813212013201一班201刘丽芬女20000906212013201一班211王志新女19990723212013201一班221王鑫宇男20010406212013201一班231李伟浩男20000505212013201一班241王茂锦女20000501212013201一班251王文斌男20000710212013201一班261王宏女20000309212013201一班271张进东男19990820212013201一班281张婷婷女20000419212013201一班291王国强男20000810212013201一班301郭鑫男20000414212013201一班311闫文丽女20001003212013201一班321郭仁杰男20000220212013201一班331梁旭东男20001205212013201一班341李亮芬女20000311212013201一班351梁永红男20000618212013201一班361程一红女20001205212013201一班371李欣女20010409身高体重肺活量50米跑立定跳远坐位体前屈800米跑1000米跑一分钟仰卧起1664830009'17 1.615.94'02"31 156********'95 1.7514.23'41"321.4944.128008'46 1.88173'55"152********'50 1.615.13'33"41 13733.427008'22 1.78153'49"1584329008'95 1.6134'10"43 1484434008'66 1.6511.74'34"1635029008'76 2.1615.24'06"1.4642.228008'50 1.959.24'12"151********'73 1.6514.34'12"47 1604021008'99 1.6617.53'52"1565329009'18 1.46154'00"36 1503927008'41 1.759.44'24"37 1584026009'51 1.714.34'05"331.5250270010'06 1.5713.64'00"341535125008'60 1.710.94'05"36 1463720009'51 1.6216.54'15"35 16153.925008'2228.84'03"1584734009'18 1.62174'42"37 1413224009'97 1.4812.64'05"38 1644924009'59 1.828.44'08"39 1463729008'07 1.89.44'45"1604625007'40 2.0120.54'07"146402800 1.56164'35"4'20481.545125007'802.0612.34'08"14136280010'26 1.59.24'01"37 16044.730008'56 1.9813.94'03"1473731009'97 1.5511.93'55"34 15542.924008'64 1.98.84'11"1413427008'9 1.57.74'09"1554028008'12 1.961.74'35"36 15042.629007'86 1.999.74'36"14436.730008'93 1.8512.34'24"1534728008'93 1.8516.84'10"39 14533.127009'06 1.8814.64'08"1524229008'20 1.910.24'01"41 1504630009'05 1.6614.64'12"42引体向上左眼视力右眼视力5.3 5.25.3 5.315 5.3 4.85.3 4.917 5.2 4.65.2 5.119 5.355 4.8513 4.9 5.14.6 4.515 5.15 5.25 5.35.2 4.85.2 4.95.3 4.64.85.17 4.955.355.3 5.15.3 4.57 5.2 5.28 5.2 5.29 5.3 5.310 4.8 4.84.9 4.912 4.6 4.65.1 5.16557555.2 5.29 5.2 5.210 5.3 5.34.8 4.812 4.9 4.95.3 5.35.3 5.3。
崇文中学学生体质健康数据上报测试表
崇文中学学生体质健康数据上报测试表
崇文中学学生体质健康数据上报测试表
崇文中学学生体质健康数据上报测试表
崇文中学学生体质健康数据上报测试表
崇文中学学生体质健康数据上报测试表
崇文中学学生体质健康数据上报测试表
崇文中学学生体质健康数据上报测试表
崇文中学学生体质健康数据上报测试表
崇文中学学生体质健康数据上报测试表
崇文中学学生体质健康数据上报测试表
崇文中学学生体质健康数据上报测试表
崇文中学学生体质健康数据上报测试表
崇文中学学生体质健康数据上报测试表
崇文中学学生体质健康数据上报测试表
崇文中学学生体质健康数据上报测试表
崇文中学学生体质健康数据上报测试表
崇文中学学生体质健康数据上报测试表
崇文中学学生体质健康数据上报测试表
崇文中学学生体质健康数据上报测试表
崇文中学学生体质健康数据上报测试表
崇文中学学生体质健康数据上报测试表
崇文中学学生体质健康数据上报测试表
崇文中学学生体质健康数据上报测试表
崇文中学学生体质健康数据上报测试表
崇文中学学生体质健康数据上报测试表
崇文中学学生体质健康数据上报测试表
崇文中学学生体质健康数据上报测试表
崇文中学学生体质健康数据上报测试表
崇文中学学生体质健康数据上报测试表
崇文中学学生体质健康数据上报测试表
崇文中学学生体质健康数据上报测试表
崇文中学学生体质健康数据上报测试表
崇文中学学生体质健康数据上报测试表
崇文中学学生体质健康数据上报测试表
崇文中学学生体质健康数据上报测试表
崇文中学学生体质健康数据上报测试表
崇文中学学生体质健康数据上报测试表
崇文中学学生体质健康数据上报测试表
崇文中学学生体质健康数据上报测试表
崇文中学学生体质健康数据上报测试表
崇文中学学生体质健康数据上报测试表
崇文中学学生体质健康数据上报测试表
崇文中学学生体质健康数据上报测试表
崇文中学学生体质健康数据上报测试表
崇文中学学生体质健康数据上报测试表
崇文中学学生体质健康数据上报测试表
崇文中学学生体质健康数据上报测试表
崇文中学学生体质健康数据上报测试表
崇文中学学生体质健康数据上报测试表。