高等数学上期末复习
- 格式:ppt
- 大小:906.50 KB
- 文档页数:23
高数期末必考知识点总结大一高数期末必考知识点总结高等数学是大一学生必须学习的一门重要课程,它在培养学生的数学思维、分析问题和解决问题的能力方面起着重要的作用。
期末考试是对学生整个学期所学知识的总结和检验,因此掌握必考的知识点至关重要。
本文将对高数期末必考的知识点进行总结和梳理,以帮助大家更好地备考。
一、函数与极限1. 函数的基本概念和性质:定义域、值域、奇偶性等。
2. 极限的定义与性质:极限存在准则、无穷大与无穷小、夹逼定理等。
3. 重要极限的求解方法:基本初等函数的极限、无穷小的比较、洛必达法则等。
二、导数与微分1. 导数的定义与性质:导数的几何意义、导数的四则运算、高阶导数等。
2. 基本初等函数的导数:常数函数、幂函数、指数函数、对数函数等。
3. 隐函数与反函数的导数:隐函数求导、反函数的导数等。
4. 微分的定义与性质:微分的几何意义、微分中值定理等。
三、不定积分与定积分1. 不定积分的定义与基本性质:不定积分的线性性质、换元积分法等。
2. 基本初等函数的不定积分:幂函数的不定积分、三角函数的不定积分等。
3. 定积分的定义与性质:定积分的几何意义、定积分的性质等。
4. 定积分的计算方法:换元法、分部积分法、定积分的性质等。
四、微分方程1. 微分方程的基本概念:微分方程的定义、阶数、解的概念等。
2. 一阶微分方程:可分离变量的微分方程、齐次线性微分方程等。
3. 高阶线性微分方程:齐次线性微分方程、非齐次线性微分方程等。
4. 常微分方程的初值问题:初值问题的存在唯一性、解的连续性。
五、级数1. 数项级数的概念与性质:数项级数的定义、级数的收敛与发散、级数的性质等。
2. 常见级数的判别法:比较判别法、比值判别法、根值判别法等。
3. 幂级数:幂级数的收敛半径、收敛域的判定、幂级数的和函数等。
综上所述,高数期末必考的知识点主要包括函数与极限、导数与微分、不定积分与定积分、微分方程以及级数等。
在备考期末考试时,同学们要重点复习这些知识点,并通过大量的练习题来巩固和提高自己的理论水平和解题能力。
大一上学期(第一学期)高数期末考试题及答案高等数学I(大一第一学期期末考试题及答案)1.当 $\alpha x$ 和 $\beta x$ 都是无穷小时,$\alpha(x)+\beta(x)$ 不一定是无穷小。
2.极限 $\lim\limits_{x\to a}\dfrac{\sin x+e^{2ax}-1}{x}$ 的值是 $2a$。
3.如果 $f(x)=\begin{cases}\dfrac{\ln(x+a)-\ln a}{x},& x\neq 0\\ \quad\quad 1,& x=0\end{cases}$ 在 $x=a$ 处连续,则$a=e^{-1}$。
4.如果 $f(x)$ 在 $x=a$ 处可导,则$f'(a)=\dfrac{1}{3}(f(a+2h)-f(a-h))$。
5.极限 $\lim\limits_{x\to a}\dfrac{\ln(x+a)-\ln a}{x}$ 的值是 $1/a$。
6.确定函数 $y(x)$,使得 $y(x)$ 的导函数为$y'(x)=\dfrac{y}{2\sin(2x)}+\dfrac{y e^{xy}}{x}-\dfrac{x}{y\ln x}$,则 $y(x)=\dfrac{1}{\ln x}$。
7.过点 $M(1,2,3)$ 且与平面 $x+2y-z=0$ 和 $2x-3y+5z=6$ 平行的直线 $l$ 的方程为 $\dfrac{x-1}{-1}=\dfrac{y-2}{-1}=\dfrac{z-3}{2}$。
8.函数 $y=2x-\ln(4x)$ 的单调递增区间为 $(-\infty,0)\cup(1,+\infty)$。
9.计算极限 $\lim\limits_{x\to 0}\dfrac{(1+x)^{-e^x}-e}{x}$,结果为 $-1/2$。
10.设 $f(x)$ 在 $[a,b]$ 上连续,则 $F(x)=\int_a^x(x-t)f(t)dt$ 的二阶导数为 $F''(x)=f(x)$。
《高等数学(一)》期末复习题一、选择题1、极限2lim()xxx x 的结果是(C )(A )0(B )(C )12(D )不存在2、方程3310xx 在区间(0,1)内(B)(A )无实根(B )有唯一实根(C )有两个实根(D )有三个实根3、)(x f 是连续函数, 则dx x f )(是)(x f 的(C)(A )一个原函数; (B) 一个导函数; (C) 全体原函数; (D)全体导函数;4、由曲线)0(sin xx y和直线0y所围的面积是(C )(A )2/1 (B) 1(C)2 (D)5、微分方程2x y满足初始条件2|0xy 的特解是 ( D)(A )3x(B )331x(C )23x (D )2313x6、下列变量中,是无穷小量的为( A )(A))1(ln x x (B))0(1lnxx(C) cos (0)x x(D))2(422xxx 7、极限011lim(sinsin )xx x xx的结果是(C)(A )0(B )1(C )1(D )不存在8、函数arctan xy ex 在区间1,1上( A)(A )单调增加(B )单调减小(C )无最大值(D )无最小值9、不定积分dx xx 12= (D)(A)2arctan xC (B)2ln(1)xC (C)1arctan 2x C (D)21ln(1)2xC10、由曲线)10(xe yx 和直线0y 所围的面积是( A)(A )1e(B)1 (C)2 (D)e11、微分方程dy xy dx的通解为( B )(A )2xy Ce(B )212x y Ce(C )Cxy e(D )2xy Ce12、下列函数中哪一个是微分方程032x y 的解( D )(A )2xy (B )3xy(C )23xy(D )3xy 13、函数1cos sin xx y 是( C )(A) 奇函数; (B) 偶函数;(C)非奇非偶函数; (D)既是奇函数又是偶函数.14、当0x 时,下列是无穷小量的是( B)(A )1x e(B))1ln(x (C) )1sin(x (D)1x15、当x时,下列函数中有极限的是( A)(A )211x x(B)cosx (C)1xe(D)arctan x16、方程310(0)x px p的实根个数是(B )(A )零个(B )一个(C )二个(D )三个17、21()1dxx( B )(A )211x(B )211Cx(C )arctan x (D )arctan x c18、定积分()baf x dx 是( C)(A )一个函数族(B )()f x 的的一个原函数(C )一个常数(D )一个非负常数19、函数2ln 1y x x是( A)(A )奇函数(B )偶函数(C )非奇非偶函数(D )既是奇函数又是偶函数20、设函数f x 在区间0,1上连续,在开区间0,1内可导,且0fx ,则( B ) (A)00f (B)10f f (C) 10f (D)1f f 21、设曲线221xye,则下列选项成立的是(C)(A) 没有渐近线 (B) 仅有铅直渐近线(C) 既有水平渐近线又有铅直渐近线 (D)仅有水平渐近线22、(cos sin )x x dx( D )(A )sin cos x x C (B )sin cos x x C(C )sin cos xxC(D )sin cos x x C23、数列})1({nnn的极限为( A)(A )1(B) 1(C) 0(D) 不存在24、下列命题中正确的是(B )(A )有界量和无穷大量的乘积仍为无穷大量(B )有界量和无穷小量的乘积仍为无穷小量(C )两无穷大量的和仍为无穷大量(D )两无穷大量的差为零25、若()()f x g x ,则下列式子一定成立的有( C)(A)()()f x g x (B)()()df x dg x (C)(())(())df x dg x (D)()()1f xg x 26、下列曲线有斜渐近线的是( C )(A)sin y x x (B)2sin yxx(C)1sinyx x(D)21sinyxx二、填空题1、21cos lim x x x122、若2)(2xex f ,则)0('f 23、131(cos 51)x x x dx 2 4、dxe tte xC5、微分方程0y y满足初始条件|2xy 的特解为2xy e6、224lim 3x xx 07、极限42lim222xxxx 438、设sin 1,y x x 则()2f 19、11(cos 1)x x dx210、231dx x3arctan x C11、微分方程ydyxdx 的通解为22yxC12、1415x dx 213、sin2limxxx x114、设2cos y x ,则dy22sin x x dx15、设cos 3,y x x则()f -116、不定积分xxdee Cx2e 2117、微分方程2xye的通解为212xyeC22222222222111120,201122xxxxx xxdy y y e y edy e dx dx ydy e dxe C yy x yCe ye y代入上式可得到所求的特解为或者18、微分方程x yln 的通解是xyeC19、xxx3)21(lim =6e20、,xyx y设函数则(ln 1)xx x 21、)21(lim 222nn nnn的值是1222、3(1)(2)lim23xx x x xx1223、,xyx dy设函数则(ln 1)xx x dx24、2231lim4xx x x1425、若2()sin6xf x e,则)0('f 226、25(1sin )a ax dx2().a 为任意实数27、设ln(1)xye ,则微分dy______1xx e dx e__________.28、3222(cos )d 1xxxx2三、解答题1、(本题满分9分)求函数162yx x 的定义域。
高数第一学期总复习题函数、极限、连续选择题1、下列函数中为偶函数的是( )。
A.2x xey -= B. x x y cos 2+= C. 2x x e e y --= D. 21sin xx+ 2、下列各对函数中是相同函数的是( )。
A.22)(,x y x y ==; B.1,112+=--=x y x x y ; C.)sin (cos ,22x x x y x y +== D.x y x y lg 2,lg 2==3、=⎪⎩⎪⎨⎧>+=<-=→),则设x f x x x x x x f x (lim 0,10,00,1)(0( ) A. 1- B. 0 C.1 D. 不存在4、,0()1sin 1,0x e x f x x x x ⎧>⎪=⎨+<⎪⎩,则0lim ()x f x →= ( ) A .不存在 B . 1 C . 2 D . 0 5、=-→2102lim x x ( )A .0B .1C .∞+D .∞- 6、=+∞→xxx x sin lim( )A.0B. 1C.不存在D.∞7、=∞→xx x 1sinlim ( ) A .-1 B .0 C .1 D .不存在 8、下列等式正确的是( ) A .01sinlim =∞→x x x B .11sin lim =∞→xx x C .1sin 1lim =∞→x x x D .0sin 1lim 0=→x x x9、下列各式正确的是( )。
A.e x xx =+∞→1)1(lim B. e x xx =+→)1(lim 0 C. e xx x =+∞→)11(lim D. e x x x =+∞→1)11(lim10、=→x xx 2sin lim0( ) A .21B .0C .1D .211、的是时,下列函数为无穷小当+→0x ( )A. x x 1sin ;B. x e 1; C. x ln ; D. x xsin 1;12、在指定变化过程中,( )是无穷小A. )0(,1sin →x xB.)0(,1→x e x C. )0(),1ln(→+x x D. )3(,932→--x x x13、函数⎪⎩⎪⎨⎧=≠=0,,3sin 1)(x a x x x x f 在),(+∞-∞上是连续函数,则a=( )A. 0 ;B. 1 ;C. 31; D. 3 ;14、函数⎪⎩⎪⎨⎧=≠-+-=2,2,223)(2x a x x x x x f 在处x=2处连续,则a=( ) A. 0 ; B. 1 ; C.2; D. 任意值;15、函数)1ln(2)(x x x f ++-=的连续区间是( )A .]2,1[- B.]2,1(- C.)2,1(- D.)2,1[-2)2()(1611--=-x e x x f x 、的连续区间是( )A.),2()2,(+∞⋃-∞B. ),1()1,(+∞⋃-∞C.),2()2,1()1,(+∞⋃⋃-∞D. )2,1()1,(⋃-∞填空题1、已知2211xx x x f +=⎪⎭⎫ ⎝⎛+,则=)(x f 2、=====)(,tan ,,32x f y x v v u y u则复合函数 3、函数⎩⎨⎧>≤+=0cos 02)(x xx ax x f 在0=x 处连续,则=a4、设⎪⎩⎪⎨⎧=≠-+=0024)(x k x xx x f ,在0=x 处连续,则=k . 5、432lim 23=-+-→x k x x x 存在, 则k= ,6、2lim(1)xx x→∞-=7、=++-+∞→552lim 32x x x x x ,=++∞→424532lim x x x x8、=++-→11sin)1(lim 1x x x 9、函数)2)(1(2)(++-=x x x x f 的连续区间是__________.10、函数2312+--=x x x y 的间断点为 计算题1、1)1sin(lim 21+--→x x x2、x x x x x +-→20sin lim3、⎪⎭⎫ ⎝⎛+-+-→1311lim 31x x x 4、()x x x x x --++∞→22lim5、xx x 11lim 0--→ 6、x x xx tan cos 1lim 0-→ 7、521lim5---→x x x 8、 xx x 311lim ⎪⎭⎫⎝⎛+∞→9、()xx x 1051lim +→ 10、x x x 2)41(lim -∞→ 11、 1231lim +∞→⎪⎭⎫⎝⎛+x x x 12、 )2sin(11lim 0x x x -+→导数与微分选择题1、设函数)(x f 在0x x =处可导,且2)(0'=x f ,则hx f h x f h )()(lim000--→=( )A .21 B . 2 C . 21- D . 2- 2、曲线x y =在点(4 , 2)处的切线方程为( )A.044=+-y xB. 044=++y x C . 044=++y x D . 044=+-y x 3、若x x x f cos sin )(+=,则='])3([πf ( )A .21+23 B .0 C .21-+23 D .2123-4、设2cos y x =,则dy =( );A、22cos x x dx - B、22cos x x dx C、22sin x x dx - D、22sin x x dx 5、设函数=y )(2x f -,则=dy ( )A .dx x f )(2-'B .dx x f x )(22-' C .)(22x f x -'- D .dx x f x )(22-'-6、设函数12)(-=x ex f ,则f (x )在0=x 处的二阶导数)0(f ''为( )A .0B .1-eC .41-e D . e7、若)1ln()(2xex f -+=,则=')0(f ( )A .1-B .1C .21 D .21- 8、已知一质点作变速直线运动的位移函数223,tS t e t =+为时间,则在时刻2t =处的速度和加速度分别为( )A 、44122,64e e ++ B 、44122,122e e ++ C 、4464,64e e ++ D 、4412,6e e ++ 9、曲线x x y 32-=上一点(1,-2)处的切线方程为( )(A ) 01=+-y x (B )01=--y x (C ) 01=-+y x (D ) 01=++y x填空题1、曲线26322-+=x x y 上一点M 的切线斜率为15,则点M 的坐标为 . 2、曲线x y ln =上点(1,0)处切线方程为 . 3、曲线x e x y +=在x=0处的切线方程是 ; 4、已知处可导,在0)(x x f ,则 =∆-∆-→∆xx f x f x )()x (lim 000.5、已知y xe y -=1,则dx dy= . 6、已知函数2x e y -=,则该函数的微分dy =7、设ln ,xy e x =则_______;dy =8、当物体的温度高于周围介质的温度时,物体 就不断冷却若物体 的温度T 与时间t 的函数关系为T=T (t ),则该物体在时刻t 的冷却速度为_____; 9、设在[0,t]这段时间内通过导线横截面的电荷为Q=Q(t),则在0t 时刻的电流为 10、一个质量非均匀的细杆放在x 轴上,在[0,x]上的质量为kg x m 23=,则当x=1m 时的线密度为计算题 A 、求导数1.x x x y cos 413-+=, 2.1123+-=x y x , 3. 4cos tan 2π+=x x y 4. 23cos 2y x x =+5.3)(l n x y =,6、)ln(ln x y =,7、xy 1cos=,8、x e y x 5sin = , 9、21arcsin x x x y --= 10、)ln(3x x y +=, 11、210(25)y x x =-+ , 12、)2(tan 23+=x yB.求微分1、x x y 31+=2、x e y cos =3、x e x y 22=4、21xx y +=C. 求下列隐函数的导数y '1. 0922=+-xy y 2. yxe y -=1 3. y e y x xsin 2=- 4.已知076333=--++y xy x y ,求2=x dxdy导数的应用选择题1、函数21)(x xx f +=( ) A .在),(+∞-∞内单调增加 B .在),(+∞-∞内单调减少 C .在)1,1(-内单调增加 D .在)1,1(-内单调减少 2、的单调增加区间是函数)1ln()(2x x f +=( )A.)5,5(-B.)0,(-∞C. ),0(+∞D.).(∞+-∞ 3、函数()y f x =在点0x 处取极值,则必有( );A 、0()0f x '=,B 、 0)(≠'x f ,C 、0()0f x '=或0()f x '不存在,D 、0()f x '不存在4、若()f x 在(,)a b 内二阶可导,且()0,()0,f x f x '''><则()y f x =在(,)a b 内( ):5、A 、单调增加且凸 B 、单调增加且凹 C 、单调减少且凸 D 、单调减少且凹 曲线16)(23++-=x x x x f 的凹区间是( )A .(-∞,2)B .( 2,+∞)C .( -∞,-2)D .(-2,2)6、设函数()f x 在[1,2]上可导,且()0,f x '<(1)0,(2)0f f ><,则()f x 在(1,2) 内( )。
《高等数学(一)》期末复习题一、选择题1. 极限)x x →∞的结果是 ( C ).(A )0 (B ) ∞ (C ) 12(D )不存在 2. 设()xxx f +-=11ln,则)(x f 是 ( A ). (A )奇函数 (B) 偶函数 (C )非奇非偶函数 (D )既奇又偶函数 3. 极限21lim sinx x x→= ( A ) . (A )0 (B) 1 (C )+∞ (D )-∞ 4. 方程3310x x -+=在区间(0,1)内( B ).(A )无实根 (B )有唯一实根 (C )有两个实根 (D )有三个实根 5. 设()()ln 1f x x =+,g (x )=x ,则当0x →时,()f x 是()g x 的( A ).(A )等价无穷小 (B) 低阶无穷小(C )高阶无穷小 (D) 同阶但非等价无穷小 6. 下列变量中,是无穷小量的为( A ).(A ))1(ln →x x (B ))0(1ln +→x x (C )cos (0)x x → (D ))2(422→--x x x 7. 极限011lim(sinsin )x x x x x→- 的结果是( C ).(A )0 (B ) 1 (C ) 1- (D )不存在8. 下列函数中满足罗尔定理条件的是( D ).(A )()2,[0,1]f x x x =-∈ (B) 3(),[0,1]f x x x =∈ (C )(),[1,1]f x x x =∈- (D)4(),[1,1]f x x x =∈-9. 函数1cos sin ++=x x y 是( C ).(A )奇函数 (B )偶函数 (C )非奇非偶函数 (D )既是奇函数又是偶函数 10. 当0→x 时, 下列是无穷小量的是( B ).(A )1+x e (B) )1ln(+x (C) )1sin(+x (D) 1+x11. 当x →∞时,下列函数中有极限的是( A ).(A )211x x +- (B) cos x (C) 1xe(D)arctan x 12. 方程310(0)x px p ++=>的实根个数是 ( B ).(A )零个 (B )一个 (C )二个 (D )三个 13.21()1dx x '=+⎰( B ).(A )211x + (B )211C x++ (C ) arctan x (D ) arctan x c + 14. 定积分()f x dx ⎰是( A ).(A )一个函数族 (B )()f x 的的一个原函数 (C )一个常数 (D )一个非负常数15.函数(ln y x =+是( A ).(A )奇函数 (B )偶函数 (C ) 非奇非偶函数 (D )既是奇函数又是偶函数 16. 设函数在区间上连续,在开区间内可导,且,则( B ).(A) (B) (C) (D) 17. 设曲线221x y e-=-,则下列选项成立的是( C ). (A) 没有渐近线 (B) 仅有铅直渐近线 (C) 既有水平渐近线又有铅直渐近线 (D) 仅有水平渐近线 18. 设是的一个原函数,则等式( D )成立.(A )(B) (C ) (D)19. 设⎰+=C x dx x xf arcsin )(,则⎰=dx x f )(1( B ). (A )C x +--32)1(43 (B )C x +--32)1(31 (C )C x +-322)1(43 (D )C x +-322)1(32()f x []0,1()0,1()0f x '>()00f <()()10f f >()10f >()()10f f <F x ()f x ()dd d x f x x F x (())()⎰='=+⎰F x x f x c()()d '=⎰F x x F x ()()d dd d xf x x f x (())()⎰=20. 数列})1({nn n-+的极限为( A ).(A )1(B) 1-(C) 0(D) 不存在21. 下列命题中正确的是( B ).(A )有界量和无穷大量的乘积仍为无穷大量(B )有界量和无穷小量的乘积仍为无穷小量 (C )两无穷大量的和仍为无穷大量 (D )两无穷大量的差为零 22. 若()()f x g x ''=,则下列式子一定成立的有( C ).(A)()()f x g x = (B)()()df x dg x =⎰⎰(C)(())(())df x dg x ''=⎰⎰(D)()()1f x g x =+ 23. 下列曲线有斜渐近线的是 ( C ).(A)sin y x x =+ (B)2sin y x x =+ (C)1siny x x =+ (D)21sin y x x=+ 24. 函数)1,0(11)(≠>+-=a a a a x x f x x ( B ).(A )是奇函数 (B )是偶函数(C )既奇函数又是偶函数 (D )是非奇非偶函数 25. 下列函数中满足罗尔定理条件的是( D ).(A )]1,0[,1)(∈-=x x x f (B)]1,0[,)(2∈=x x x f (C )()sin ,[1,1]f x x x =∈- (D)]1,1[,)(2-∈=x x x f26. 若函数221)1(xx x x f +=+,则=)(x f ( B ). (A )2x (B )22-x (C )2)1(-x (D )12-x 27. 设函数,ln )(x x x f =则下面关于)(x f 的说法正确的是( A ).(A )在(0,e 1)内单调递减 (B)在(+∞,1e)内单调递减 (C )在(0,+∞)内单调递减 (D)(0,+∞)在内单调递增28. 设1)(+=x x f ,则)1)((+x f f =( D ).(A )x (B )x + 1 (C )x + 2 (D )x + 329. 已知0)1(lim 2=--+∞→b ax x x x ,其中a ,b 是常数,则( C ).(A )1,1==b a , (B )1,1=-=b a (C )1,1-==b a (D )1,1-=-=b a 30. 下列函数在指定的变化过程中,( B )是无穷小量.(A ) (B )(C ) (D )31. 设函数(),2x xe ef x -+=则下面关于)(x f 的说法正确的是( B ) .(A )在(0,)+∞内单调递减 (B)在(,0)-∞内单调递减 (C )在(,0)-∞内单调递增 (D)在(,)-∞+∞内单调递增32. 下列函数中,在给定趋势下是无界变量且为无穷大的函数是( C ).(A ))(1sin∞→=x xx y (B )())(1∞→=-n n y n (C ))0(ln +→=x x y (D ))0(1cos 1→=x xx y33. 设⎪⎩⎪⎨⎧≤>=0,0,1sin )(x x x xx x f ,则)(x f 在0=x 处( B ). (A )连续且可导(B )连续但不可导 (C )不连续但可导(D )既不连续又不可导34. 在下列等式中,正确的是( C ).(A )()()f x dx f x '=⎰ (B) ()()df x f x =⎰(C )()()df x dx f x dx=⎰ (D)[()]()d f x dx f x =⎰ 35. 曲线x x y -=3在点(1,0)处的切线是( A ).(A )22-=x y(B )22+-=x ye 1xx ,()→∞sin ,()xxx →∞ln(),()11+→x x x xx +-→110,()(C )22+=x y(D )22--=x y36. 已知441x y =,则y ''=( B ). (A ) 3x (B )23x (C )x 6 (D ) 6 37. 若x xf =)1(,则=')(x f ( D ).(A )x 1 (B )21x (C )x 1- (D )21x-38. 下列各组函数中,是相同的函数的是( B ).(A )()()2ln 2ln f x x g x x == 和 (B )()||f x x = 和 ()g x =(C )()f x x = 和 ()2g x =(D )()||x f x x=和 ()g x =1 39. 函数()()20ln 10x f x x a x ≠=+⎨⎪=⎩ 在0x =处连续,则a =( B ).(A )0 (B )14(C )1 (D )240. 曲线ln y x x =的平行于直线10x y -+=的切线方程为( A ).(A )1y x =- (B )(1)y x =-+ (C )()()ln 11y x x =-- (D )y x = 41. 设函数()||f x x =,则函数在点0x =处( C ).(A )连续且可导 (B )连续且可微 (C )连续不可导 (D )不连续不可微 42. 设()f x 可微,则0()(2)limh f x f x h h→--=( D ).(A )()f x '- (B)1()2f x ' (C )2()f x '- (D)2()f x '43. 点0x =是函数4y x =的( D ).(A )驻点但非极值点 (B )拐点 (C )驻点且是拐点 (D )驻点且是极值点 44. 曲线1||y x =的渐近线情况是( C ). (A )只有水平渐近线 (B )只有垂直渐近线(C )既有水平渐近线又有垂直渐近线 (D )既无水平渐近线又无垂直渐近线45.211f dx x x⎛⎫' ⎪⎝⎭⎰的结果是( D ). (A )1f C x ⎛⎫-+ ⎪⎝⎭(B )1f C x ⎛⎫--+ ⎪⎝⎭(C )1f C x ⎛⎫+ ⎪⎝⎭(D )1f C x ⎛⎫-+ ⎪⎝⎭46.x x dxe e -+⎰的结果是( A ).(A )arctan x e C + (B )arctan x e C -+ (C )x x e e C --+ (D )ln()x x e e C -++47. 下列各组函数中,是相同函数的是( C ).(A) ()f x x =和()g x =()211x f x x -=-和1y x =+(C) ()f x x =和()22(sin cos )g x x x x =+ (D) ()2ln f x x =和()2ln g x x =48. 设函数()()2sin 21112111x x x f x x x x -⎧<⎪-⎪⎪==⎨⎪->⎪⎪⎩,则()1lim x f x →=( D ).(A) 0 (B) 1 (C) 2 (D)不存在49. 设函数22456x y x x -=-+,则2x =是函数的( A ).(A) 可去间断点 (B) 跳跃间断点 (C) 无穷间断点 (D) 振荡间断点 50. 设函数()y f x =在点0x 处可导,且()f x '>0, 曲线则()y f x =在点()()00,x f x 处的切线的倾斜角为( C ). (A) 0 (B)2π(C)锐角 (D)钝角 51. 曲线ln y x =上某点的切线平行于直线23y x =-,则该点坐标是( D ).(A) 12,ln2⎛⎫ ⎪⎝⎭ (B) 12,ln 2⎛⎫- ⎪⎝⎭ (C) 1,ln 22⎛⎫ ⎪⎝⎭ (D) 1,ln 22⎛⎫- ⎪⎝⎭52. 函数2x y x e -=及图象在()1,2内是( B ).(A)单调减少且是凸的 (B)单调增加且是凸的 (C)单调减少且是凹的 (D)单调增加且是凹的 53. 以下结论正确的是( C ).(A) 若0x 为函数()y f x =的驻点,则0x 必为函数()y f x =的极值点. (B) 函数()y f x =导数不存在的点,一定不是函数()y f x =的极值点. (C) 若函数()y f x =在0x 处取得极值,且()0f x '存在,则必有()0f x '=0. (D) 若函数()y f x =在0x 处连续,则()0f x '一定存在.54. 设函数22132x y x x -=-+,则1x =是函数的( A ).(A )可去间断点 (B) 跳跃间断点 (C) 无穷间断点 (D) 振荡间断点 55. 设函数()y f x =的一个原函数为12x x e ,则()f x =( A ).(A) ()121x x e - (B)12xx e - (C) ()121x x e + (D) 12xxe56. 若()()f x dx F x c =+⎰,则()sin cos xf x dx =⎰( D ).(A) ()sin F x c + (B) ()sin F x c -+ (C) ()cos F x c + (D) ()cos F x c -+57. 函数21,0e ,0xx x y x ⎧+<=⎨≥⎩在点0x =处( D ).(A )连续且可导 (B) 不连续且不可导 (C) 不连续但可导 (D) 连续但不可导 58. 函数 2)1ln(++-=x x y 的定义域是( C ).(A ) []1,2- (B ) [)1,2- (C )(]1,2- (D )()1,2- 59. 极限x x e ∞→lim 的值是( D ).(A )∞+ (B ) 0 (C )∞- (D )不存在 60. =--→211)1sin(limx x x ( C ).(A )1 (B ) 0 (C )21-(D )2161. 曲线 23-+=x x y 在点)0,1(处的切线方程是( B ).(A ) )1(2-=x y (B ))1(4-=x y (C )14-=x y (D ))1(3-=x y62. 函数, 0,0xx x y e x <⎧=⎨≥⎩在点0x =处( B ). (A )连续且可导 (B) 不连续且不可导 (C) 不连续但可导 (D) 连续但不可导 63. 下列各微分式正确的是( C ).(A ))(2x d xdx = (B ))2(sin 2cos x d xdx = (C ))5(x d dx --= (D )22)()(dx x d = 64. 设⎰+=C xdx x f 2cos 2)( ,则 =)(x f ( B ). (A )2sin x (B ) 2sin x - (C )C x +2sin (D )2sin 2x-65. 设()f x 可微,则0(2)()limh f x h f x h→+-=( D ).(A )()f x '- (B)1()2f x ' (C)2()f x '- (D)2()f x ' 66.⎰=+dx x xln 2( B ).(A )Cx x ++-22ln 212 (B )C x ++2)ln 2(21(C )C x ++ln 2ln (D )C xx++-2ln 1 67. 函数)1lg(12+++=x x y 的定义域是( B ).(A )()()+∞--,01,2 (B )()),0(0,1+∞- (C )),0()0,1(+∞- (D )),1(+∞-68. 设0tan 4()lim6sin x x f x x →+=,则0()lim x f x x→=( B ) .(A )1 (B )2 (C )6 (D )24 69. 下列各式中,极限存在的是( A ).(A ) x x cos lim 0→ (B )x x arctan lim ∞→ (C )x x sin lim ∞→ (D )x x 2lim +∞→70. =+∞→xx xx )1(lim ( D ). (A )e (B )2e (C )1 (D )e1 71. 设0sin 4()lim5sin x x f x x →+=,则0()lim x f x x→=( B ) .(A )0 (B )1 (C )5 (D )2572. 曲线x x y ln =的平行于直线01=+-y x 的切线方程是( C ).(A )x y = (B ))1)(1(ln --=x x y (C )1-=x y (D ))1(+-=x y73. 已知x x y 3sin = ,则=dy ( B ).(A )dx x x )3sin 33cos (+- (B )dx x x x )3cos 33(sin + (C )dx x x )3sin 3(cos + (D )dx x x x )3cos 3(sin + 74. 下列等式成立的是( C ).(A )⎰++=-C x dx x 111ααα (B )⎰+=C x a dx a x x ln (C )⎰+=C x xdx sin cos (D )⎰++=C xxdx 211tan 75. 极限01lim sinx x x→= ( A ) . (A ) 0 (B) 1 (C )+∞ (D) -∞ 76. 设()1cos f x x =-,()2g x x =,则当0x →时,()f x 是()g x 的( D ).(A )等价无穷小 (B) 低阶无穷小 (C ) 高阶无穷小 (D) 同阶但非等价无穷小 77. 计算⎰xdx x e x cos sin sin 的结果中正确的是( D ).(A )C e x +sin (B )C x e x +cos sin (C )C x e x +sin sin (D )C x e x +-)1(sin sin78. 5lg 1)(-=x x f 的定义域是( D ).(A )()),5(5,+∞∞- (B )()),6(6,+∞∞-(C )()),4(4,+∞∞- (D )())5,4(4, ∞- ()),6(6,5+∞79. 如果函数f (x )的定义域为[1,2],则函数f (x )+f (x 2)的定义域是( B ).(A )[1,2] (B )[1,2] (C )]2,2[- (D )]2,1[]1,2[ --80. 函数)1lg()1lg(22x x x x y -++++=( D ).(A )是奇函数,非偶函数 (B )是偶函数,非奇函数 (C )既非奇函数,又非偶函数 (D )既是奇函数,又是偶函数 81. 设()sin f x x x =,则)(x f 是( C ).(A )非奇非偶函数 (B) 奇函数 (C)偶函数 (D) 既奇又偶函数 82. 函数)10(1)(2≤≤--=x x x f 的反函数=-)(1x f( C ).(A )21x - (B )21x --(C ))01(12≤≤--x x (D ))01(12≤≤---x x 83. 下列数列收敛的是( C ).(A )1)1()(1+-=+n n n f n (B )⎪⎩⎪⎨⎧-+=为偶数为奇数n nn n n f ,11,11)((C )⎪⎩⎪⎨⎧+=为偶数为奇数n n n n n f ,11,1)( (D )⎪⎪⎩⎪⎪⎨⎧-+=为偶数为奇数n n n f nn n n ,221,221)(84. 设1111.0个n n y =,则当∞→n 时,该数列( C ).(A )收敛于0.1 (B )收敛于0.2 (C )收敛于91(D )发散 85. 下列极限存在的是( A ).(A )2)1(lim x x x x +∞→ (B )121lim -∞→x x (C )x x e 10lim → (D )x x x 1lim 2++∞→ 86. xx xx x x sin 2sin 2lim 22+-+∞→=( A ).(A )21(B )2 (C )0 (D )不存在 87. =--→1)1sin(lim 21x x x ( B ).(A )1 (B )2 (C )21(D )0 88. 下列极限中结果等于e 的是( B ).(A )xx x x x sin 0)sin 1(lim +→ (B )x xx x x sin )sin 1(lim +∞→ (C )xxx xxsin )sin 1(lim -∞→- (D )xxx xxsin 0)sin 1(lim +→89. 函数||ln 1x y =的间断点有( C )个. (A )1 (B )2 (C )3 (D )4 90. 下列结论错误的是( A ).(A )如果函数f (x )在点x =x 0处连续,则f (x )在点x =x 0处可导; (B )如果函数f (x )在点x =x 0处不连续,则f (x )在点x =x 0处不可导; (C )如果函数f (x )在点x =x 0处可导,则f (x )在点x =x 0处连续; (D )如果函数f (x )在点x =x 0处不可导,则f (x )在点x =x 0处也可能连续。
高数〔上册〕期末复习要点第一章:1、极限〔夹逼准则〕2、连续〔学会用定义证明一个函数连续,判断间断点类型〕第二章:1、导数〔学会用定义证明一个函数是否可导〕注:连续不一定可导,可导一定连续2、求导法则〔背〕3、求导公式也可以是微分公式第三章:1、微分中值定理〔一定要熟悉并灵活运用--第一节〕2、洛必达法则3、泰勒公式拉格朗日中值定理4、曲线凹凸性、极值〔高中学过,不需要过多复习〕5、曲率公式曲率半径第四章、第五章:积分不定积分:1、两类换元法〔变dx/变前面〕2、分部积分法〔注意加C 〕〔最好都自己推导一遍,好记〕定积分: 1、定义 2、反常积分第六章:定积分的应用主要有几类:极坐标、求做功、求面积、求体积、求弧长第七章:向量问题不会有很难1、方向余弦2、向量积3、空间直线〔两直线的夹角、线面夹角、求直线方程〕 3、空间平面4、空间旋转面〔柱面〕高数解题技巧。
〔高等数学、考研数学通用〕高数解题的四种思维定势●第一句话:在题设条件中给出一个函数f(x)二阶和二阶以上可导,“不管三七二十一”,把f(x)在指定点展成泰勒公式再说。
●第二句话:在题设条件或欲证结论中有定积分表达式时,则“不管三七二十一”先用积分中值定理对该积分式处理一下再说。
●第三句话:在题设条件中函数f(x)在[a,b]上连续,在(a,b)内可导,且f(a)=0或f(b)=0或f(a)=f(b)=0,则“不管三七二十一”先用拉格朗日中值定理处理一下再说。
●第四句话:对定限或变限积分,假设被积函数或其主要部分为复合函数,则“不管三七二十一”先做变量替换使之成为简单形式f(u)再说。
线性代数解题的八种思维定势●第一句话:题设条件与代数余子式Aij或A*有关,则立即联想到用行列式按行(列)展开定理以及AA*=A*A=|A|E。
●第二句话:假设涉及到A、B是否可交换,即AB=BA,则立即联想到用逆矩阵的定义去分析。
●第三句话:假设题设n阶方阵A满足f(A)=0,要证aA+bE可逆,则先分解因子aA+bE 再说。
《高等数学》(第一学期)期末试题一、选择题(每小题4分,共24分)1、f(x)=|x|在x =0处 ( )A 连续且可导B 不连续不可导C 连续但不可导D 可导但不连续 2、下列命题中,不正确的是A /()()f x dx f x ⎡⎤=⎣⎦⎰ B /()()f x dx f x c =+⎰ C /()0ba f x dx ⎡⎤=⎢⎥⎣⎦⎰ D ()()f x dx F x c =+⎰,其中/()()F x f x = 3、如果直线(0)y ax a =>是21y x =+的切线,则a = ( )A 0B 2C -2D ±24、0sin 3sin 2limx xx→= ( )A 23B 32C 0D 不存在 5、已知/(4)3f =,则0(42)(4)limh f h f h→+-= ( )A 3 B23C 6D 9 6、下列方程中是微分方程的是 ( )A 2350y x -+= B /43y x =+C 21y x =-D cos 0xdx =⎰二、填空题(每小题3分,共33分)7、1(1)lim x x x→∞+= 。
8、2221332lim n n n n n →∞+-=++ 。
9、若224y x x =+-,则在点(1,-1)处的切线方程为 。
10、若生产某种产品x 件的成本函数为2()0.15200C x x x =++,则边际成本函数为 。
11、某种汽车刹车后运动规律为319.20.4s t t =-,假设汽车作直线运动,则汽车在t = 4s 时的速度为 ,加速度为 。
12、y = 。
13、若sin 2x y e =,那么dy = . 14、微分方程22()24x y y x e '+=的阶数为 。
15、微分方程0xy y '+=的通解为 。
16、221x dx x=+⎰ 。
17、120(1)x dx -=⎰ 。
三、解答题:(18—22小题每小题7分,23小题8分,共43分) 18、求函数32391y x x x =--+单调区间与极值19、求32321y x x x =-+-的凹凸区间与拐点20、求320sin cos x x dx π⎰.21、求sin x e xdx ⎰.22、求方程30xy y '+=满足初始条件1|2x y ==的特解.23、求由1y x=,y x =,2x =,0y =围成的图形面积.。
一、 选择题1. 函数112-=x y 的定义域是( ) A .(-1,1)B .[-1,1]C .(,1][1,)-∞-⋃+∞D .(,1)(1,)-∞-⋃+∞ 2. 函数1()ln(2)f x x =-的定义域是( ) A.(2,)+∞ B.(3,)+∞ C.(2,3)(3,)+∞ D.(,2)(2,)-∞+∞3.函数13lg(2)y x x =+++的定义域是( ) A.(3,2)(1,)--⋃-+∞ B.(2,1)(1,)--⋃-+∞C. (3,1)(1,)--⋃-+∞D.(2,)-+∞4.设⎪⎪⎩⎪⎪⎨⎧>≤≤---<+=1,011,11,21)(2x x x x x x f ,则)2(-f = ( )A .23- B .3- C .0 D .25 5. 若0lim x x → f (x )存在, 则f (x )在点x 0是( ) A . 一定有定义 B .一定没有定义C .可以有定义, 也可以没有定义D .以上都不对6. 极限223712lim 43x x x x x →-+-+=( )。
A .1 B . 12- C .12D .1- 7. 极限2201lim 22x x x x x →-++-= ( )A. 21B. 1C.0D. 12- 8. 311lim 1x x x →-=-( ) A.1 B.2 C.3 D.49.极限=-++-→221lim 221x x x x x ( ) A. 21B. 1 C .0D .∞ 10.函数11)(2--=x x x f ,当1→x 时的极是( )A.2-B. 2C. ∞D.极限不存在 11.函数21()1x f x x -=+,当1x →-时的极限( )A .2B . 2-C . ∞D .012.下列各式中,运算正确的是( ) A.0lim 0sin x xx →= B.sin lim 1x xx →∞= C.lim 0sin x xx →∞= D.0lim 1sin x xx →=13. 下列各式中正确的是( )A .0sin lim 0=→x xx B .1sin lim =∞→x xxC .0sin lim 1=→x xx D .1sin lim 0=→x xx14. 设0sin lim 7x axx →= 时,则a 的值是( )A. 17 B.1 C.5 D.715.函数x xx x f sin )(+=,当∞→x 时的极限( )A .0B . ∞C . -1D .116.函数22x+1x<0f(x)=x +a x 0⎧⎨≥⎩在x=0处连续,则a 的值是( ) A .3 B .2 C .1 D .017.函数22x+3x<0f(x)=3x +a x 0⎧⎨≥⎩在x=0处连续,则a 的值是( ) A. 3 B. 2 C. 1 D. 018. 函数y=ln (2 - x - x 2)的连续区间为( )A .(-1,2)B .(-2,1)C .(- ∞,1)∪(- ∞,1)D .(- ∞,-2)∪(1,+∞)19.下列导数计算正确的是( )A.x x e e 22sin sin )(='B.()2112ln ln -='-x x C .22211(arcsin )()x x '=- D .x x 2sin )(sin 2='20.下列导数计算正确的是( )A.sin sin ()x x e e '=B.21(2log )2ln 2ln 2x x x x '+=+C.1()1x x x '+=+D.211)2ln (ln +='+x x 21.设ln y x x =+,则dy dx=( ) A.1x x + B.1x x + C.1x x +- D.1x x-+ 22. 设y =x -2,则='y ( )A .x -2ln2B . x 12--xC .-x 12--xD .-x -2ln223设()y f x =-,则y '=( )A.()f x 'B.()f x '-C.()f x '-D.()f x '--24.设2()43f x x =-,则()1f '等于( )A.0B.-6C.-3D.325. 设函数在点x 0可导, 且f '(x 0) >0, 则曲线y = f (x )在点(x 0, f (x 0))处的切线的倾斜角是( )A .00B .锐角C .900D .钝角26.设函数在点0x 可导,且0()f x '<0,则曲线()y f x =在点00(,())x f x 处的切线的倾斜角是( )A .0B .锐角C .钝角D .9027. 设函数在点0x 可导,且3)(0-='x f ,则曲线)(x f y =在点0x x =处的切线的倾斜角是( ).A .0°B .90°C .锐角D .钝角28.曲线32y x x =+-在点(1,0)处的切线方程为( )A.2(1)y x =-B.4(1)y x =-C.41y x =-D.3(1)y x =-29.曲线y = ln x 上某点的切线平行于直线y = 2x -3, 该点的坐标是 ( )A .(2, ln21) B .(2,-ln 21) C .(21,-ln2) D .(21,ln2) 30.下列说法错误的是( ) A .可导一定连续 B .不可导的点不一定没有切线C .不可导的点一定不连续D .不连续的点一定不可导31.函数f (x )在点 x 0连续是函数在该点可导的( )A .充分条件但不是必要条件B .必要条件但不是充分条件C .充分必要条件D .既不是充分条件, 也不是必要条件32.||x y =在0x =处( )A.连续不可导B.可导不连续C.可导且连续D.既不连续也不可导33.2(1)y x =-在1x =处( )A.连续B.不连续C.不可导D.既不连续也不可导34.已知函数f (x )=,0,10,12⎩⎨⎧>+≤-x x x x 则在x =0处( ) A .间断 B .连续 C .f '(0) =-1 D .f '(0) =135. 设f (x )可微,则d(e f (x ) ) =( )A .f '(x )d xB .e f (x )d xC .f '(x ) e f (x )d xD .f '(x ) d(e f (x ) )36.半径为R 的金属圆片,加热后半径伸长了dR ,则面积S 的微分dS 是( )A .RdR πB .RdR π2C .dR πD .dR π237. 函数)1ln()(x x x f +-=的单调减少区间是( )A.),0(+∞B.)0,(-∞C.(0,1)D.(-1,0)38. 函数x x x f -+=)1ln()(的单调减少区间是( )A .),0(+∞B .)0,(-∞C .(0,1)D .(-1,0)39.函数()y f x =在0x x =处连续,且取得极值,则有( )A.0()0f x '=B.0()0f x ''<C.00()0()f x f x ''=或者不存在D.0()f x '不存在40. 若()00f x '=,则0x 是函数()f x 的( )A.极值点B.最值点C.驻点D.非极值点41. 函数()y f x =在0x x =处取得极值,则有( )A .0()0f x '=B .00()0()f x f x ''=或者不存在C .0()0f x ''<D .0()f x '不存在42. 函数x e x x f -=)(的极值是( )A . 0B . 1C . -1D . 243.若曲线弧位于其上任一点切线的下方,则该曲线弧是( )A.单调增加B.单调减少C.凹弧D.凸弧44. 曲线3(1)y x =-的拐点是( )A.(1,8)-B.(1,0)C.(0,1)-D.(2,1)45. 点 x = 0是函数y = x 2 的( )A .驻点但非极值点B .拐点C .驻点且是拐点D .驻点且是极值点46. 点0x =是函数3y x =的( )A .极值点但不是驻点B .驻点但不是极值点C .驻点且是极值点D .极值点且是拐点47.下列说法正确的是( )A.驻点一定是极值点B. 极值点一定是驻点或导数不存在的点C.极值点一定是拐点D. 拐点一定是极值点48.若在(,)a b 内,函数()f x 的一阶导数()f x '<0,二阶导数()f x ''>0,则函数()f x 在此区间内( ) A.单调减少,曲线是凹的 B.单调减少,曲线是凸的C.单调增加,曲线是凹的D.单调增加,曲线是凸的49.函数y = x 2e -x 及其图形在区间(1, 2)内是( )A .单调增加且是凸的B . 单调减少且是凸的C .单调增加且是凹的D .单调减少且是凹的50. 曲线()y f x =在区间[,]a b 上单调减少且为凸的,则( )A .()f x '>0或()0f x ''>B .()f x '>0或()0f x ''<C .()f x '<0且()0f x ''>D .()f x '<0且()0f x ''<51. 曲线()y f x =在区间[,]a b 上单调增加且为凹的,则( )A .()f x '>0,()0f x ''>B .()f x '<0,()0f x ''<C .()f x '>0,()0f x ''<D .()f x '<0,()0f x ''>52.若()(),F x f x '=则()f x dx ⎰=( )A.()f xB.()F xC.()F x C +D.()f x C + 53. 若()(),F x f x '=则()dF x ⎰=( )A.()f xB.()F xC.()F x C +D. ()f x C +54.导数等于21sin2x 的函数是( ) A .21sin 2x B .41cos2x C .21cos 2x D .1-21cos2x 55.⎰=dx x xf dxd )( ( ) A.)(21x f B.dx x f )(21 C .)(x xf D .dx x xf )( 56. 若c x x dx x f ++=⎰cos sin )(,则,=)(x f ( ) A.x x cos sin + B.x x cos sin - C.x x sin cos - D.x x cos sin -- 57.()23sin x e x dx -⎰=( )A. 23cos x e x c ++B. 23cos x e x +C. 23cos x e x -D. 158. 设⎰dx x f )(= 2cos2x + C ,则f (x ) =( ) A .sin2x B .-sin 2x C .sin 2x + C D .-2sin 2x 59.dxd 52x xe dx ⎰= ( ) A .42x x e B .52x x e dx C .42x x e dx D .52x x e60.dx xx f 211⎰⎪⎭⎫ ⎝⎛'= ( ) A .)1(x f -+ C B .-)1(x f -+ C C .)1(x f + C D .-)1(xf + C 61. 若: 10(2)2x k dx +=⎰,则k =( ) A .0 B .1- C . 1 D .1262. 若: 12 0(3)2x k dx +=⎰,则k =( ) A . 1- B . 0C .12 D . 1 63. 若 10(2)1x k dx +=⎰,则k =( ) A.0 B.-1 C.1 D.12 64. 已知 10()1x a x dx -=⎰,则常数a =( ) A.83 B.13 C.34 D.23 65.下列积分正确的是( ) A. 1211 11||02x dx x --==⎰ B. 22 02sin 2sin 2xdx xdx πππ-==⎰⎰ C. 22sin 0x dx ππ-=⎰ D. 1 122 1 04(1)2(1)3x dx x dx --=-=⎰⎰ 66. 曲线2,2y x y x ==+所围成的区域面积表成定积分为( )A . 22 1(2)x x dx ---⎰B . 12 2(2)x x dx --+⎰ C . 22 1(2)x x dx -+-⎰ D . 12 2(2)x x dx -+-⎰ 67.曲线ln y x =与直线x e =及0y =所围成的区域面积A=( )A .1B .-e 1C .e1 D .e 68. 曲线y =e x , y =e -x 与直线x =1所围成的区域面积A=( )A .e +1-eB .e -1-e -2C .e -1-eD .e + 1-e -2二、填空题1. 函数x y arcsin =的定义域为 .2.函数2112++-=x x y 的定义域为 . 3. 函数y =22x -+ arcsin x 的定义域为____________.5. 函数y=lnx 定义域为 .6.函数2211x y x-=+的奇偶性为 . 7.函数)1)(1(-+=x x x y 的奇偶性为 .8.设u y arcsin =,2v u =,1+=x v ,则复合函数=y .9.设arcsin y u =,v u a =,v x =,则复合函数y =____________.10. 可以将复合函数分解arcsin 2x y =为 .11. 函数2(arcsin3)y x =的复合过程是 .12. 设复合函数)(2sin 2-=x y ,则它的复合过程是 .13. 设复合函数2arcsin 1y x =(+),则它的复合过程是 . 14. =++→4-32-lim 220x x x x x . 15. 2323lim 54x x x x →-=-+ . 16.极限sin limx x x→+∞的值为____________. 17.极限x x x 1sin lim 0→的值为____________. 18.=∞→x x x arctan lim . 19.0sin lim x x x→= , sin lim x x x →∞= .20. 函数y=2x x -连续区间为 ..21.设()2xf x -=,当x → 时为无穷小量.22.设y =x 1-1,则当x →_____时,y 是无穷大量;当x →_____时,y 是无穷小量.23.设x y xe =,则y '= .24.已知)34cos(x y -=,求y '= ,=''y .25. 已知函数f (x )=x sin x , 则f '(π)=__________________.26. 已知函数x xe y -=,则y '= .27. 已知函数y = x x e -,则y '' =____________________.28. 设y = arctan x , 则y '=____________, y ''=____________.29曲线x y e =在点(0,1)处的切线方程为 .30. 若曲线y = ax 3+2在点x =1 处的切线与直线y =2x +1垂直,则a =__________.31. 曲线y = x 2-x 上过M (1,0)点的切线方程是__________________.32. 曲线x x +cos 2y =在点(0,2)处的切线方程为 .33. 函数在点x 0处可微的充要条件是___________________.34. d ( )= xdx . 35. ()21d x -=________________.d ( )=x e dx -.36. d ( )=dx , x de-= . 37.d =xdx sin , d =211dx x -. 38. ( )sin d xdx =; =-x de .39. 函数f (x )=sin x -x 在定义域内单调___________.40.函数22ln y x x =-的单调递增区间是 .41.f (x )=x 3-3x 2+7的极大值为________,极小值为__________.42. 函数)1ln()(2x x f +=在[-1,2]上的最大值为 ,最小值为 .43. 函数1)1()(32+-=x x f 在]1,2[-上的最大值是 ,最小值是 .44.函1)1()(32+-=x x f 数在]1,2[-上的最大值是 ,最小值是 .45.曲线f (x )=xe x 的拐点的坐标为____ ______.46.若2()x f x dx e C =+⎰,则()f x = . 47.dxd dx x xf ⎰)(2= ____ ______. 48. ⎰=xdx 2sin ;cos3x dx =⎰ . 49. xdx ⎰= ;⎰dx = . 50. 3x dx =⎰ .51.232 2sin x xdx -=⎰ . 52.b a dx =⎰ , 14 1sin x xdx -⎰= . 53. 13 1cos x xdx -=⎰ ; 132 1sin x xdx -=⎰ . 54. 曲线x y s i n =在[]0,π上和x 轴围成图形的面积用定积分表示为A= .55.178 1cos x xdx -⎰=___________________. 56.b a dx =⎰ . 57.=⎰xdx x sin 22-2 . 58.14 1sin x xdx -⎰= .三、计算题1. 求极限132123lim 22+---∞→x x x x x2. 求极限222372lim x x x x --+∞→3.求极限)1311(lim 31x x x ---→4.求极限x x x 5sin sin3lim 0→5. x x x x -→20sin lim6.求极限2cot 0lim(1tan )x x x →+ 7.求极限∞→x lim x x x ⎪⎭⎫ ⎝⎛+-31 8. 求极限x e x x 1lim 0-→ 9.已知arcsin y x =,求dy dx10.已知x x y 2sin 2=,求y ' 11.已知2ln 1y x =+ 求y ' 12.已知y =6sin 1322π+-⋅x x x ,求dx dy 13.已知y =(ln2x )cos3x ,求dx dy 14. 已知1010x y x +=,求y '' 15.已知x y arctan =,求dy 16.已知2ln(21)y x =- 求dy17. y=ln(5+3x ),求dy 18.已知22x y x e =,求dy 19. 求函数y =21ln x -的微分20.已知y =cos(3)x e x --,求dy 21. 求不定积分dx x x )2(-⎰22. 求不定积分dx x x x ⎰⎪⎭⎫ ⎝⎛+-3312 23.求不定积分⎰+dx x x cos 1sin 2 24.求定积分⎰+dx x x 1 25.求不定积分tan xdx ⎰ 26. 求不定积分211x dx x ++⎰27.求不定积分221x dx x +⎰ 28.求不定积分求tan xdx ⎰ 29.求定积分 20cos sin x xdx π⎰ 30. 求定积分 12 01x x dx -⎰ 31. 求定积分dx x x ⎰-1 021 32.求定积分dx x x ⎰+1 0 21arctan 33.求定积分 11||x dx -⎰ 34. 求定积分 21|1|x dx --⎰ 四、应用题1. 设有函数2sin y x x =+,求点(0,0)处的切线方程和法线方程.2.求函数x e x x f -+=)2()(在(0,2)点切线和法线方程.3.半径为15cm 的球,半径伸长2mm ,球的体积增加约多大?4.求函数y =x -ln(1+x )的极值.5. 求函数x e x x f -+=1)()(的极值.6.求曲线y =x 3-3x -2的单调区间,凹凸区间,拐点及极值.7.. 求曲线3231y x x =-+的单调区间,凹凸区间及极值.8.把一根半径为R 的圆木锯成矩形条木,问矩形的长和宽多大时,条木的截面积最大?9.某车间靠墙壁要盖一间长方形小屋,现有存砖只够砌20米长的墙壁,问应围成怎样的长方形才能使这间小屋的面积最大?10.要制造一个圆柱形有盖的油桶,若油桶的容积V 是常数,问底面半径r 和高h 之比等于多少时,才能使用料最省?11.欲做一个无盖圆柱形容器,其容积为V ,问当容器的底面半径为多少时,用料最少?12.曲线上任一点),(y x 切线的斜率为23x ,并且曲线经过)0,0(点,求此曲线方程13.计算由抛物线24y x =-和x 轴所围成图形的面积.14.求由直线23y x =+与曲线2y x =所围成平面图形的面积.15. 求由曲线12-=x y 与y=x+1所围成的平面图形面积. 16.求抛物线2x y =和直线x y =围成的平面图形的面积及该平面绕x 轴旋转而成的旋转体的体积.17. 求平面曲线2x y =、3x y =围成的平面图形绕x 轴旋转所生成的旋转体的体积.18.求由y =x 2与直线x+ y = 2轴所围成的平面图形绕x 轴旋转所形成的旋转体的体积.19.求由曲线x y =,x y =所围成的平面图形绕x 轴旋转所得的旋转体的体积.20.求由抛物线y =x 2与y 2 = x 所围成的平面图形绕x 轴旋转所形成的旋转体的体积.。
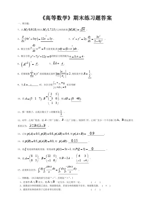
《高等数学》期末练习题答案一、填空题:一、填空题:1、点10918M (,,)到点21715M (,,)之间的距离12M M =14 ,2、()345x xy x ¶+=¶2125x y +, 3、342dy x y y,dx +==23324x y - ,4、微分方程58dy y x dx+=分离变量,得5(8)ydy x dx =-,5、微分方程7120y y y ¢¢¢-+=的特征方程的根为123,4r r ==,6、()11A --= A , 7、EA = A ,8、若幂级数n n n a x ¥=å的系数满足条件1lim2n n n a a +®¥=,则收敛半径R =12,9、当l= 1 时,齐次方程12120x x x x l +=ìí+=î有非零解有非零解1010、若、若()517A =,253013B æöç÷=-ç÷ç÷-èø,则AB =()046, 1111、掷一枚骰子,出现点数大于、掷一枚骰子,出现点数大于4的概率是13,1212、对甲、乙两厂检查,设、对甲、乙两厂检查,设A ={={甲厂合格甲厂合格甲厂合格}},B ={={乙厂合格乙厂合格乙厂合格}},则事件,则事件{{甲、乙两厂至少一个不合格}用A B 、的运算关系表示为:A B A B + 或 ,,1313、已知、已知()0.5,()0.8,()0.4p A p B p AB ===,则()p A B += 0.9 ,,1414、设、设()0.5,()0.3,p B p A B ==则 ()p AB = 0.15 ,,1515、设、设x 是连续性随机变量,密度函数()51p x x =-,则{5}P x == 0 。
高等数学期末复习题库一、选择题1. 函数f(x)=x^2+3x-2在区间[-5, 4]上的最大值是:A. 0B. 2C. 10D. 162. 曲线y=x^3-6x^2+9x+1在点(2,5)处的切线斜率是:A. 1B. -1C. 3D. -33. 定积分∫(0,1) x^2 dx的值是:A. 1/3B. 1/4C. 1/2D. 14. 幂级数Σ(n=1 to ∞) x^n/n 收敛的区间是:A. (-1, 1)B. (-∞, ∞)C. [1, ∞)D. [0, 1]5. 函数f(x)=sin(x)+cos(x)的周期是:A. πB. 2πC. π/2D. π/4二、填空题6. 函数f(x)=x^3-2x^2+x-3在x=______处取得极小值。
7. 若f(x)=e^x,g(x)=ln(x),则f(g(x))=______。
8. 函数y=x^2-4x+3的图像与x轴的交点坐标是(1, 0)和(______, 0)。
9. 若定积分∫(a,b) f(x) dx = 5,且a=1,f(x)=x^2,则b=______。
10. 利用泰勒公式展开e^x在x=0处的前三项是______。
三、解答题11. 求函数f(x)=x^3-6x^2+11x-6在区间[1, 3]上的最大值和最小值。
12. 证明:对于任意的正整数n,有1^2 + 1/2^2 + 1/3^2 + ... +1/n^2 < 2。
13. 解微分方程dy/dx + 2y = x^2,初始条件为y(0)=1。
14. 求定积分∫(0,π/2) sin(x) dx。
15. 利用傅里叶级数展开函数f(x)=x^2在区间[-π, π]上的周期延拓。
四、证明题16. 证明函数f(x)=x^3在R上是严格递增的。
17. 证明定积分∫(0,1) x ln(x) dx = -1/4。
18. 证明级数Σ(n=1 to ∞) (1/n^2)是收敛的。
五、应用题19. 一个物体从静止开始,以初速度为0,加速度为常数a=2m/s^2,求物体在t=3秒时的位置。
高等数学(同济版)上册期末复习题(含答案)一、填空题1.lim(e^3x-cos2x)/(3sin2x-2x^2) = 12.曲线y=xe的拐点是(2,2e)3.设f(x)在x=0处可导且f(0)=0,则lim(x→0) [f(x)/x] =f'(0)4.曲线y=(1-cos2x)/π+x在(-1,1)处的切线方程为y=x+15.曲线y=2x/(x^2-1)有垂直渐近线x=±1和水平渐近线y=06.设f(u)可导,y=sin[f(e)],则dy=sin2[f(e)]·f'(e)·e dx7.∫e^x dx = 2(e^2+1)8.若f'(x)=-3,则lim(h→0) [(f(x+h)-f(x))/h] = -39.若∫xp dx收敛,则p的范围是p<-110.lim(x→∞) [(2x+3)/(x+1)] = e11.设∫f(x)dx=F(x)+c,则∫f(2x)dx=F(2x)/2+c12.设f(x)的一个原函数是x ln x,则∫x f(x)dx = x^2 ln x - ∫x dx + C13.设f(x)={x^2.x>1.-x。
x≤1},则∫f(x)dx = -1614.过点(1,3)且切线斜率为2的曲线方程为y=x^2+115.已知函数f(x)={xsinx。
x≠a。
A。
x=a},则当x→∞时,函数f(x)是无穷小;当a=1时,函数f(x)在x=1处连续,否则x=a为函数的第一类间断点。
16.已知∫f(x)dx=F(x)+c,则∫f(arcsin x)dx=F(arcsin x)+c17.当x→0时,(1+ax)^(-1)与1-cosx是等价无穷小,则a=2/318.f(x)={x^3sin(1/x)。
x≠0.0.x=0}是连续函数,则a=1/319.f(x)在[0,1]上连续,且f(1)=1,[f(x)]dx=1,则∫0^1 xf(x)f'(x)dx = -1/220.Φ(x)=∫xe^tdt,则Φ(1)=e-1,Φ'(1)=e2.曲线y=f(x)在点(2,f(2))处的切线平行于直线y=3x+1,则f'(2)=33.设f(x)=arctanx,则当x→+∞时,lim f(x)=π/25.函数y=x的导数为y'=x(lnx+1)6.∫0+∞ xe^(-x) dx=27.∫-1^1 (x+2)/(√(1+x^2)(2+x)) dx=19.f(x)=x的积分曲线中过(1,-1)的那条曲线的方程为y=x^2-2x11.设s为曲线y=xlnx与x=1,x=e及x轴所围成的面积,则s=(e^2+1)/213.曲线y=ln(e^x)的全部渐近线为y=1,x=0,x=-1/e15.曲线y=x^2与y^2=x所围图形绕y轴旋转一周所成的旋转体体积为(π/5)(7-2√6)16.点(1,1,1)到平面2x+y-2z+2=0的距离为(√14)/318.设向量a=2i-j+k,b=4i-2j+λk,则当λ=-10时,a⊥b;当λ=2,a//b。
高等数学(上)期末复习训练题第一部分 判断1. 无限个无穷小的和、乘积仍为无穷小. ( )2.不存在为常数的无穷小量( )3.函数xy =+的反函数是ln(1)y x =-.( )4.函数4x y =是基本初等函数.( )5. 当x →∞时,函数sin x x +与cos x x -等价.( )6. 无穷小量与无穷大量之积必定是无穷小量.( )7. 所有初等函数在其定义域内连续.( )8若00lim ()()x x f x f x →=,则函数()f x 在点0x 连续. ( )9.)(sin )()sin (''='x e x e x x .( )10.若函数()f x 在点0x 左右可导,则()f x 必在点0x 可导。
( ) 11.若()f x 在区间(,)a b 上单调可导,则'()f x 在(,)a b 上必定单调( ) 12. 函数)(x f 在点0x 可导的充要条件是)(x f 在点0x 可微. ( )13.函数)(x f 在[,]a b 上连续,且)()(b f a f =,则至少存在一点),(b a ∈ξ,使0)(='ξf . 14.对于一00型未定式,如果运用洛必达法则后确定极限不存在,则原极限一定不存在( ) 15. 函数2=y 在闭区间[,]a b 上最大值和最小值都是2. ( ) 16可导函数)(x f 在点0x 取极值,则必有0()0f x '=( )17.若函数)(x f 在区间(,)a b 内仅有一个驻点,则该点一定是函数的极值点. ( ) 18.在整个实数轴上有界的函数必具有水平渐近线. ( ) 19. 闭区间[],a b 上的连续函数()f x 在此区间上一定可积.( ) 20. 若()d ()f x x F x C =+⎰,则22=+⎰()d ()f x x F x C .( ) 21.若()0f x ≥,则当a b <时,有0 ()d b af x x ≥⎰.( )22.已知()f x 在),(+∞-∞上连续,且T 为其周期,则dx x f dx x f baTb Ta ⎰⎰=++)()(( )第二部分 选择1.函数arcsin 2y x =的定义域是( ).A) (,)-∞+∞ B)[1,1]- C)[1/2,1/2]- D) [2,2]- 2.0x →时 ,sin x 与2x 相比是( )无穷小.A) 等价 B) 同阶但不等价 C)高阶 D) 低阶3.∞→x 时,下列各式中有几个是无穷小量?( )xx 1sin xx s i n xx cos x1sinA )1B )2C )3D )4 4.∞→x 时,下列哪一个不是无穷小量? .A )xx 1sin B )xx sin C )xx cos D )x1sin5.下列不正确的是 ( ) (A )0sin lim1x x x→= (B )0lim1sin x x x→= (C )1lim sin1x x x→∞= (D )01lim sin1x x x→=6.若lim ()x af x →=∞,lim ()x ag x →=∞,则必有 ( )A .lim[()()]x af xg x →+=∞ B .lim[()()]x af xg x →-=∞C .1lim()()x af xg x →=+ D .lim ()()x ag x f x →=∞7. 下列各式正确的是( ). A. 0lim0x →= B. sin lim1x x x→∞=C. 01lim2x x→=D. 2lim sec x x π→=∞8.下列各式正确的是( ).A. lim12x xx e e-→∞+=. B. 01lim sin0x x x→=.C. 1lim 2x x →=∞. D. 01lim2x x→=9.下列式子中错误的是 ( )(A )lim 20xx →+∞= (B )lim 20xx →-∞= (C )1lim 02xx →+∞⎛⎫= ⎪⎝⎭ (D )1lim 02xx -→-∞⎛⎫= ⎪⎝⎭10.当0x →时,下列变量中为无穷大量的是 ( ) (A )ln x (B )x e - (C )1cos x(D )1sinx11.下列函数中为隐函数的是 ( ) (A )y e = (B )22221x y ab+= (C )21y x =- (D )()y F t c =+12.若()f u 可导,且()x y f e =,则有 ( )(A )()x dy f e dx '= (B )()x x dy f e de '= (C )[()]x x dy f e de '= (D )()dy f x dx '= 13.函数11=-()f x x 在点1x =处( ).A. 连续 B.可导 C. 间断 D.可微14.若()200()()2()f x x f x x o x +∆-=∆+∆,则函数在0x x =处( ) A)可微但不可导 B )连续但不可导 C )可微且2()dy x =∆ D )可导 15.设2()3ln f x x x =+,则(1)f ''= ( )(A )3 (B )2 (C )1- (D )1 16.下列命题不正确的是( )A.函数=>(),0x f x x x 是初等函数.B. 函数3()sin cos f x x x x =是偶函数.C. 无穷大量与常数的乘积必定是无穷大量.D. 连续函数必有原函数. 17.下列命题不正确的是( )A.两个无穷大量之和一定是无穷大量.B.可导函数的极值点必是驻点.C.函数()s i n f x x =的n 阶导数()()sin()2n f x x n π=+⋅. D.在区间I 上连续的函数必有原函数.18.函数sin y x =的微分是 ( )A .cos x B .sin x C .cos xdx D .sin xdx 19.函数21y x =+在区间[2,0]-上是 ( )(A )单调增加 (B )单调减少 (C )不增不减 (D )有增有减 20. 设()sin f x x =,()d f x x '⎰=( )A. sin x C +B. cos x C +C. d cos xD. sin d x x21.已知11()xx f x e dx e c =+⎰,则()f x = ( )A .1 B .1x- C .x D .21x-22.设()F x ,()G x 都是()f x 的原函数,则必定有 ( ) (A )()()0F x G x -= (B )()()0F x G x += (C )()()F x G x C -= (D )()()F x G x C += 23.广义积分=⎰∞+121dx x( )A ) 0 B )1 C )1- D )224.设210xa edx -=⎰,221xb edx -=⎰,则 ( )(A )a b = (B )a b > (C )a b < (D )不能确定 25.设2()cos d x x t t Φ=⎰,则()'Φx =( )A. 2cos x . B. 2sin x . C. 22sin x x . D. 22cos x x第三部分 填空1.1)函数()arccos f x x =的连续区间是 2)函数221()1xf x x +=-的连续区间是 .2. 201sec lim 1tan x xx →-+= .0sin lim (3)x x x x →+ = 21lim 1nn n →∞⎛⎫- ⎪⎝⎭= . 0sin lim 1tan →+x x x = 3.1)213tan 2n x y x ++=,则d y = 2)4arccos 4ln 4x y x =++,则d y = 4.函数3=y x 拐点坐标是 .凹凸区间分别是 5.1)曲线2sin 1x y x =-的竖直渐近线是 .2)曲线4122-+=x x y 的水平渐近线是6.201⎡⎤+⎢⎥⎣⎦⎰ d ()d d x t t x = sec d x x =⎰ ()='⎰dx x 3 . 7. 722cos d x x x ππ-=⎰2sin b ad x dxdx⎰=22ππ-=⎰x第四部分 计算1. 求极限mxnx x sin tan lim→,()xx x2cot21lim +→.2→-sin limtan x x x x x, ⎪⎭⎫⎝⎛--→111lim 0xx e xnx xx ln lim+∞→, ()x x x tan sec lim 2-→π2. 1)求由方程22221x y ab-=确定的隐函数()y y x =的导数xy '. 2)已知方程21(tan )y x y =+确定隐函数()y y x =,求x y '3. 1)求由方程2,12x at b y at bt =+⎧⎪⎨=+⎪⎩确定的函数的x y '.2)求由参数方程()⎩⎨⎧-=+=--tt et t y te x 221所表示曲线在0=t 处的切线方程和法线方程。
大一上学期高数期末考试重点在大一上学期的高等数学课程中,期末考试是一个非常重要的考核,对于学生来说准备充分是必不可少的。
为了帮助同学们更好地复习和备考,本文将介绍大一上学期高等数学期末考试的重点内容。
1. 极限与连续在高等数学中,极限与连续是一个重要的基础概念,也是后续学习的基础。
在期末考试中,会涉及到极限的定义、极限的性质、函数的连续性等内容。
重点内容包括:•极限的定义与性质•极限的四则运算法则•函数的连续性与间断点的分类•利用极限的定义证明函数的连续性•无穷大与无穷小的概念与性质2. 导数与微分导数与微分是大一上学期高等数学的重要内容,对于理解函数的变化规律以及求解优化问题有着重要作用。
在期末考试中,导数与微分也是考核的重点内容。
重点内容包括:•导数与微分的定义•基本初等函数的导数公式•导数的四则运算法则•高阶导数与隐函数求导•可导函数的判定条件•微分的概念与微分形式•极值与最值及其求解方法3. 积分与不定积分积分与不定积分是高等数学中的重要概念,它们与导数有着密切的联系。
在期末考试中,会涉及到定积分与不定积分的概念、性质以及基本的计算方法。
重点内容包括:•积分与不定积分的定义•基本初等函数的不定积分表•积分的线性运算法则•分部积分法•定积分的概念与性质•牛顿-莱布尼茨公式的应用•曲线长度、曲面面积与体积计算4. 习题与应用题在复习过程中,习题与应用题的练习也是非常重要的,可以帮助巩固知识点和提升解题能力。
推荐的练习方向包括:•课本习题,着重掌握基本概念和基本计算方法•历年期末考试试题,熟悉考试形式和题型,强化对知识点的理解和应用•相关应用题,如最值问题、最优化问题等,培养解决实际问题的能力5. 复习建议为了更好地应对期末考试,这里还给出了一些建议:•提前规划复习时间,合理安排学习计划•多做练习题,熟悉考试题型和解题方法•系统复习重点知识点,注重理解和记忆•与同学、老师进行讨论和交流,共同解决问题•注意复习的时候理论与实践的结合,注重应用能力的培养以上是大一上学期高等数学期末考试的重点内容和复习建议。
期末题型:10个单选(每题3分),7个大题(每题10分)一、单项选择题1. 下列各式中不是常微分方程的为 C . A. y y x '+= B.2y y y '''+= C.20ax bx c ++= D.d d 0x y y x +=2. 微分方程 y ′′−2y ′−3y =0 的通解为 A .A. y =C 1e 3x +C 2e −xB.y =C 1e −3x +C 2e −xC.y =C 1e 3x +C 2e xD.y =C 1e −3x +C 2e x3. 微分方程 y ′′−2y ′+y =0 的通解为 C .A. y =C 1e x +C 2e xB.y =Ce xC.y =(C 1+C 2x)e xD.y =(C 1+C 2x)e −x4. 微分方程 y ′′−2y ′+5y =0 的通解为 B .A. y =e 2x (C 1cos x +C 2sin x)B.y =e x (C 1cos 2x +C 2sin 2x)C. y =C 1cos x +C 2sin 2xD. y =C 1cos 2x +C 2sin x5.已知 a ⃗⃗⃗⃗ =(0,1,0), b ⃗⃗⃗⃗ =(0,1,−2),则 a ⃗⃗⃗⃗ ∙ b ⃗⃗⃗⃗ = C . A .0 B. −1 C. 1 D. 26.已知 a ⃗⃗⃗⃗ =(0,3,4), b ⃗⃗⃗⃗ =(2,1,−2),则 Prj a ⃗⃗⃗⃗ b ⃗⃗⃗⃗ = C . A .3 B. −53 C. −1 D. 17.已知a b ,两向量夹角为π4,且(2,1,2)b =−,则Pr a j b = C .A .32 B.13− C.2D.18.方程 z =√x 2+y 2 表示三维空间中的 B . .A .球面B .圆锥面C .圆柱面D .旋转抛物面 9.直线x−22=y+21=z−4−3=0 与平面 x +y +z =4 的关系是 A .A .直线在平面上B .平行C .垂直D .三者都不是10.函数(,)f x y 在点00(,)x y 偏导数存在是(,)f x y 在该点连续的 D . A .充分非必要条件 B .必要非充分条件 C .充分必要条件 D .既非充分也非必要条件11.若在点00(,)x y 处0f x ∂=∂,0fy∂=∂,则(,)f x y 在点00(,)x y 是 D . A .连续且可微 B .连续但不一定可微 C .可微但不一定连续 D .不一定可微也不一定连续12.考虑二元函数的下面4条性质:①(,)f x y 在点00(,)x y 处连续; ②(,)f x y 在点00(,)x y 处的两个偏导数连续; ③(,)f x y 在点00(,)x y 处可微; ④(,)f x y 在点00(,)x y 处的两个偏导数存在. 若用“P Q ⇒”表示可由性质P 推出性质Q ,则有 A . A .②⇒③⇒① B .③⇒②⇒① C .③⇒④⇒① D .③⇒①⇒④13.lim n→∞u n =0 是级数1nn u∞=∑收敛的 B .A. 充分非必要条件B.必要非充分条件C.充要条件D. 既非充分也非必要条件14.下列级数条件收敛的是 C .A. 1(1)1nn n n ∞=−+∑B.1(1)n ∞=−∑C.1(1)n n ∞=−∑D. 211(1)n n n ∞=−∑15.设幂级数nn n a x∞=∑在2x =处收敛,则该级数在1x =−处必定 C .A.发散B.条件收敛C.绝对收敛D.敛散性不能确定二、计算题1.求微分方程d 0xy x y =满足初始条件1e x y ==的特解.解:方程变形为d xy x y =1d x y y=,两端积分得211d 2y y =⎰1ln ln y C =+,由此得11)y C C C C =±==±记,满足初始条件1e x y ==,代入得e C =,所以特解为1y =.2.求过点 (2,1,0) 且与平面 2x 3y −5z −5= 0 平行的平面方程.解:设所求平面方程为2350x y z D +−+=,将点(2,1,0)代入平面方程得,7D =− 从而平面方程为23570x y z +−−=.3.求过点(3,2,5)−且与两平面430x z −−=和2510x y z −−−=平行的直线方程解:所求直线的方向向量可取10443215i j ks i j k =−=−−−−−,即(4,3,1)s =−−−(4,3,1),故直线方程为325431x y z +−−==.4.求过两点()1,1,1M −−和()2,2,4N 且与平面:0x y z ∏+−=垂直的平面方程. 解: ()11,3,5,(1,1,1)MN n ==− 平面的法向量为:1(4,3,1)n MN n =⨯=− 所求平面方程为:4(1)3(1)(1)0x y z −−+++= 即4360x y z −+−=L5. 计算极限 02tan()limx y xy x→→. 解:000222tan()tan()tan()limlim lim lim 12 2.x x xy y y y xy xy xy y y x xy xy →→→→→→=⋅=⋅=⋅=6. 计算极限00x y →→.解:000001.4x x x y y y →→→→→→−===7.设(32,42)z f x y x y =+−,其中(,)f u v 可微,求,,d z zz x y∂∂∂∂. 解:121234,22z zf f f f x y∂∂''''=+=−∂∂,()()1212d d d 34d 22d z z z x y f f x f f y x y ∂∂''''=+=++−∂∂.8.设333z xyz a −=,求,z zx y∂∂∂∂. 解:令33(,,)3F x y z z xyz a =−−,则3x F yz =−,3y F xz =−,233z F z xy =−;2x z F z yz x F z xy ∂∴=−=∂−,2y z F z xz yF z xy ∂=−=∂−.9.用二重积分的几何意义计算下列二重积分: (1)∬√4−x 2−y 2 dσD ,(22:4,0)D x y y +≤≥); (2)∬√x 2+y 2 dσD ,(22:1D x y +≤).提示:224,0x y y +≤≥⎰⎰σ表示半径为2的1/4球体的体积;221x y +≤⎰⎰σ表示半径和高都为1的圆柱体与圆锥体的体积之差.10.计算22d d Dx x y y⎰⎰,其中D 是由直线2,x y x ==与曲线1xy =所围成的闭区域. 解:如图9-4所示,区域1:12,D x y x x≤≤≤≤,则 原式22121d d xxx x y y =⎰⎰22111d xx x x y ⎡⎤=−⎢⎥⎣⎦⎰22423119()d .244x x x x x ⎡⎤=−+=−+=⎢⎥⎣⎦⎰11.计算22d Dx y σ+⎰⎰,其中D 是圆环形闭区域{}22(,)14x y x y +≤≤.解:22π22223011114πd d d d d 2π33DDx y σρρρθθρρρ⎡⎤+=⋅==⋅=⎢⎥⎣⎦⎰⎰⎰⎰⎰⎰.12.判断级数12!nn n n n ∞=∑的敛散性.解:因为11(1)11e 2(1)!lim lim 11222!n nn n n n n n n n n n ++→∞→∞++⎛⎫=+=> ⎪⎝⎭.由比值审敛法可知12!n n n n n ∞=∑发散.13.判断级数11πtan2n n n ∞+=∑的敛散性. 解:因为11ππtan()22~n n n n n ++→∞,即11πtan2lim1π2n n n n n +→∞+=. 又211π1112limlim 122π2n n n n n n n n ρ+→∞→∞+++===<,由比值审敛法可知11π2n n n ∞+=∑收敛, 再由比较审敛法的极限形式可知11πtan2n n n ∞+=∑收敛. 图 9-4。