Z变换习题(1)
- 格式:pdf
- 大小:207.83 KB
- 文档页数:17
一、多选题1、A/D输入通道的实现方式有()。
A.DAM方式B.DMA方式C.查询方式D.中断方式正确答案:B、C、D2、D/A 12位转换器有()主要芯片。
A.DAC1210B.DAC1209C. DAC1207D.DAC1208正确答案:A、B、D二、判断题1、D/A转换器的分辨率是指输入模拟量发生单位数码变化时输出数字量的变化量。
()正确答案:×2、根据输入模拟信号的动态范围可以选择A/D转换器位数。
()正确答案:√3、保持器是指将模拟信号转换为数字信号的装置,具体指A/D环节,实际上相当于一个低通滤波器。
()正确答案:×4、在进行计算机控制系统的分析和设计时,我们往往不仅关心系统在采样点上的输入和输出关系,还要求关心采样点之间的输入、输出关系,为了达到这个目的,必须对z变换作适当的扩展或改进,即为扩展z变换。
()正确答案:√5、D/A转换器的字长可以由计算机控制系统中D/A转换器后面的执行机构的动态范围来选定。
()正确答案:√三、填空题1、Z变换的方法包括:级数求和法,________,留数法。
正确答案:部分分式法2、A/D的精度指转换后所得数字量相当于实际_________的准确度,即指对应一个给定的数字量的实际模拟量输入与理论模拟量输入接近的程度。
(填数字量/模拟量)正确答案:模拟量3、对于一些快速系统,如直流调速系统、随动系统,要求响应快,抗干扰能力强,采样周期可以根据_________指标来选择。
正确答案:动态品质4、从幅频特性来看,零阶保持器具有_________特性。
从相频特性来看,零阶保持器增加了滞后相位移。
正确答案:低通滤波5、A/D的转换速率与A/D转换器的__________有关。
正确答案:位数6、A/D转换时间的倒数称为______________。
正确答案:转换速率7、一阶保持器的幅频特性比零阶保持器的要_________。
(高/低)正确答案:高8、一般来说,A/D的位数越大,则相应的转换速率就越________。
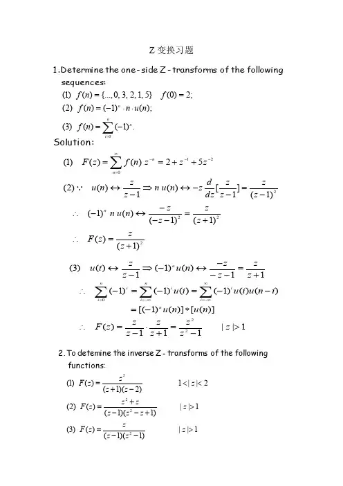
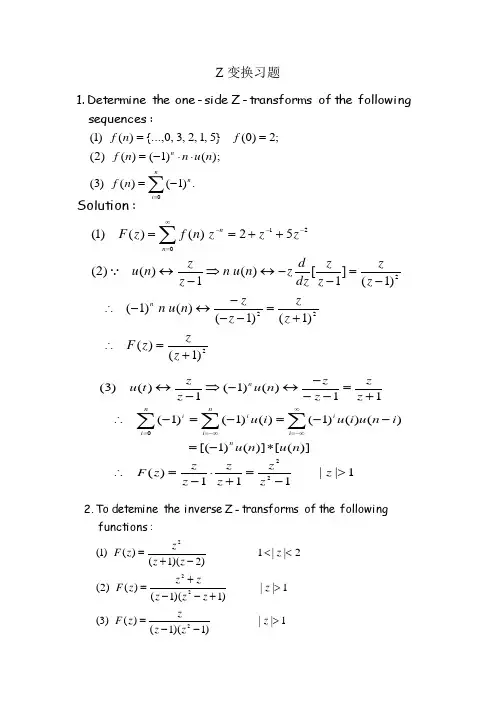
Z 变换习题.)1()()3();()1()()2(;2)0(}5,1,2,3,0{...,)()1(0∑=-=⋅⋅-===ni n n n f n u n n f f n f :sequences following the of transforms -Z side -one the Determine 1.2222210)1()()1()1()()1()1(]1[)(1)()2(52)()()1(+=∴+=---↔-∴-=--↔⇒-↔++==--∞=-∑z zz F z z z z n u n z z z z dz d z n u n z z n u z z z n f z F nn n :Solution 1||111)()]([)]()1[()()()1()()1()1(11)()1(1)()3(22>-=+⋅-=∴*-=--=-=-∴+=---↔-⇒-↔∑∑∑∞-∞=-∞==z z z z z z z z F n u n u i n u i u i u z zz z n u z z t u n i i ni ini in 1||)1)(1()()3(1||)1)(1()()2(2||1)2)(1()()1(2222>--=>+--+=<<-+=z z z zz F z z z z zz z F z z z z z F :functions following the of transforms -Z inverse the detemine To 2.)1(232)()1(31)(232131)(21)2)(1()()1(3231----=⇒-++=⇒-++=-+=n u n u n f z zz z z F z z z z z z z F n n:Solution sequence.side left a is sequence. side right a is sequence. sides double a is :Notice )1()2(122||)()1(11||1)(2||122---↔--=-⇒<-↔---=+⇒<⇒<<n u z z z n u z z z z z n f z n z z n ⎪⎩⎪⎨⎧-==-====--++-++=+--+=*11....2....:)2321()2321(1)1)(1(1)()2(23213212k k k k where j z k j z k z k z z z z z z F )2321()2321(12)(j z zj z zz zz F ---+--+=∴)()]3cos(2[)()3cos()(2)()()(2)(2321,23213333n u n n u n n u n u en u en u n f e j e j njnjj j ππππππ-=-=--=∴=-=+--Condition: All poles should be inside the unit circle in z-plane except z=1(one order pole).⎪⎪⎪⎩⎪⎪⎪⎨⎧-=-==-==+=-+-++=-+=--===-=41])()1[(21)()1(41)()1(:1)1(1)1)(1(11111)()3(122212211122221122z z z z z F z dz d k z z F z k z z F z k where z k z k z k z z z z z z F)(]12)1[(41)(41)(21)()1(41)(1||)1(41])1([21)1(41)(2n u n n u n u n n u n f z z zz z z z z F n n -+-=-+-=∴>---++=∴2||)1)(2()()2(1||)21)(1(1)()1()(),1(),0(22>--=>+-++=∞z z z z z F z z z z z z F f f f .transforms -Z followingthe to ing correspond Detemine 3.2......)()1(lim )(23......)]0()([lim )1(1)21)(1(1lim )0()1(12==-=∞==-==+-++=→→∞→∞z F z f f z F z f z z z z f z z z :SolutionCondition: All poles should be inside the unit circle in z-plane except z=1(one order pole).Scaling propertyexistence. not is theorm. valuefinal of condition the of beyond is )(2||:3......)]0()([lim )1(1......)(lim )0()2(∞∴>==-====→∞→∞f z ROC f z F z f z F f z z).2()1()(-*+=n u n u n f :n convolutio the Detem ine 4.)()(]1[)1(]1[]1[)(11)2(11)1(212122n u n n f z zdz d z z z z z z z n f z zz z z n u z z z z z n u =∴--=-=--↔∴-=-↔--=-↔+---:Solution transform .-Zside -one its detem ine to , For 5.∑∞=-=0)](2[2)(m mnm n u n f )2)(4()()12)(22()2()](2[2)1)(2(12)()(2)()(2)](2[222--=∴--↔-∴--=--↔*=-=-∑∑∑∞=∞-∞=∞=z z z z F z z z m n u z z z z z z z n u n u m n u m u m n u m m n n m m m m:Solution).()31()()4()];10()([)21()()3();1()21()()2();()31()()1(n u n f n u n u n f n u n f n u n f n n nn -=--=---=-=:sequences following the of transforms -Z sides -two the Determine 6.zz z z n u z X n n n nn n n 311)3()31()()31()(01-===-=∑∑∑∞=-∞=--∞-∞= (1)31||<z :ROC 210112122111)2(1)2()21()1()21()(-=--=--=-=-=-=---=∑∑∑∑∞=∞=--∞=-∞-∞=z zz z zz z z z n u z X n nn nn nn n n n(2)21||<z :ROC(3))21(1)21(1)21()]10()([)21()(11019--=--∞-∞=--==--=∑∑z z z z n u n u z X n n n n n n 0||>z :ROC)21()21()21(1)21(1)(910101101--=--=--z z z z z z X )1(21);9(0orders z orders z ==∴ :poles )9...,,2,1,0(21102==∴k e z k j π:z eros out. cancel pole and z eros 2121==z z .:ROC 0>∴|z|3)3()()31()(01-===∑∑∞=--∞-∞=-z zz z n u z X n nn n n(4)3||>z :ROC |1|||1)()4(21||11)()3(21||15.01)()2(5.0||5.011)()1(112411212811431az az az z F z zz z F z z z z z F z z z F >--=>--=>++-=>+=-------:functions following the of transforms -Z inverse the detemine To 7.:Solution )()5.0()(5.05.011)(1n u n x z z z z F n-=⇒+=+=- (1))(])41(3)21(4[)(34131441228)4)(2(5.01)(41211411211111811n u n x z z z z z z z z z zz z F nn ---=∴+-+=+-+=+-+=++-=------- (2))()21()())(()()(11)(2121212141221241121n u n x z z z z z z z z z z z z F n-=∴+=-+-=--=--=-- (3))()()1)(1()(11111)(11211n a n u aa a n x a z a a a a a z a a z az z F nδ--=∴----=---=--=---- (4).2||5.0)3(;5.0||)2(;2||)1(2523)(211<<<>+--=---z z z z z z z F ROC.ing -follow the to according sequence the determine then plot. zero -pole its draw to , For 8.:Solution .21,1:;0:))(1(2325232523)(212211===∴---=+--=+--=---z z poles z zero z z zz z z z z z z F ).1(2)()21()(25.0);1(])21(2[)(5.0);(]2)21[()(22)(21--+=<<---=<-=>∴---=n u n u n x |z|n u n x |z|n u n x |z|z z z z z F n n n n n n , when , when , when。
matlab中z变换例题Z变换是一种非常重要的信号处理工具,在Matlab中也有很多函数可以用来计算和分析Z变换。
下面是一些常见的Z变换的例题及其相关的参考内容。
例题1:计算Z变换求序列x(n) = {1, 2, 3, 4, 5}的Z变换。
解答:在Matlab中,可以使用ztrans函数来计算Z变换。
具体的函数调用是:X = ztrans(x)其中,x是输入序列,X是Z变换后的结果。
对于这个例子,可以这样计算:x = [1, 2, 3, 4, 5];X = ztrans(x)运行这段代码,将得到X的结果。
例题2:求反变换已知信号X(z) = 1 / (z - 0.5),求其反变换对应的序列。
解答:在Matlab中,可以使用iztrans函数来计算Z变换的反变换。
具体的函数调用是:x = iztrans(X)其中,X是输入的Z变换结果,x是反变换后的序列。
对于这个例子,可以这样计算:X = 1 / (z - 0.5);x = iztrans(X)运行这段代码,将得到x的结果。
除了以上这些基本的 Z 变换操作之外,Matlab 还提供了很多其他的函数来帮助进行 Z 变换的计算和分析。
例如:1. ztrans函数:计算 Z 变换。
2. iztrans函数:计算 Z 变换的反变换。
3. zpk函数:从传递函数或差分方程中获取零点、极点和增益。
4. tf函数:将传递函数转换为系统对象,以便进行细致的分析。
5. c2d函数:将连续时间系统转换为离散时间系统。
6. residue函数:将传递函数表示为部分分式展开形式。
7. freqz函数:计算数字滤波器的频率响应。
以上是一些常用的 Matlab 函数,用于 Z 变换计算和分析。
在实际应用中,可以根据具体的需求选择合适的函数进行操作。
此外,在阅读 Matlab 文档时,可以查看帮助文档或使用搜索引擎来了解更多关于特定函数的详细信息。
Matlab 官方网站上也提供了大量的教程、示例和文档,可以帮助深入学习和了解 Z 变换在 Matlab 中的应用。
Z 变换习题.)1()()3();()1()()2(;2)0(}5,1,2,3,0{...,)()1(0∑=-=⋅⋅-===n i n nn f n u n n f f n f :sequences following t he of t ransforms -Z side -one t he Det ermine 1.2222210)1()()1()1()()1()1(]1[)(1)()2(52)()()1(+=∴+=---↔-∴-=--↔⇒-↔++==--∞=-∑z z z F z z z z n u n z z z z dz d z n u n z z n u z z z n f z F nn n :Solut ion 1||111)()]([)]()1[()()()1()()1()1(11)()1(1)()3(220>-=+⋅-=∴*-=--=-=-∴+=---↔-⇒-↔∑∑∑∞-∞=-∞==z z z z z z z z F n u n u i n u i u i u z z z z n u z z t u n i i n i i n i i n1||)1)(1()()3(1||)1)(1()()2(2||1)2)(1()()1(2222>--=>+--+=<<-+=z z z zz F z z z z zz z F z z z z z F :functions following the of transforms -Z inverse the detemine To 2.)1(232)()1(31)(232131)(21)2)(1()()1(3231----=⇒-++=⇒-++=-+=n u n u n f z zz z z F z z z z z z z F n n :Solut ion sequence.side left a is sequence. side right a is sequence. sides double a is :Notice )1()2(122||)()1(11||1)(2||122---↔--=-⇒<-↔---=+⇒<⇒<<n u z z z n u z z z z z n f z n z z n ⎪⎩⎪⎨⎧-==-====--++-++=+--+=*11....2....:)2321()2321(1)1)(1(1)()2(23213212k k k k where j z k j z k z k z z z z z z F )2321()2321(12)(j z zj z zz zz F ---+--+=∴)()]3cos(2[)()3cos()(2)()()(2)(2321,23213333n u n n u n n u n u en u en u n f e j e j njnjj j ππππππ-=-=--=∴=-=+--Condition: All poles should be inside the unit circle in z-plane except z=1(one order pole).⎪⎪⎪⎩⎪⎪⎪⎨⎧-=-==-==+=-+-++=-+=--===-=41])()1[(21)()1(41)()1(:1)1(1)1)(1(11111)()3(122212211122221122z z z z z F z dz d k z z F z k z z F z k where z k z k z k z z z z z z F )(]12)1[(41)(41)(21)()1(41)(1||)1(41])1([21)1(41)(2n u n n u n u n n u n f z z zz z z z z F n n-+-=-+-=∴>---++=∴ 2||)1)(2()()2(1||)21)(1(1)()1()(),1(),0(22>--=>+-++=∞z z z z z F z z z z z z F f f f .t ransforms -Z following t he t o ing correspond Det emine 3.2......)()1(lim )(23......)]0()([lim )1(1)21)(1(1lim )0()1(12==-=∞==-==+-++=→→∞→∞z F z f f z F z f z z z z f z z z :Solut ionCondition: All poles should be inside the unit circle in z-plane except z=1(one order pole).Scaling propertyexist ence. not is t heorm.valuefinal of condit ion t he of beyond is )(2||:3......)]0()([lim )1(1......)(lim )0()2(∞∴>==-====→∞→∞f z ROC f z F z f z F f z z).2()1()(-*+=n u n u n f :n convolut io t he Det em ine 4.)()(]1[)1(]1[]1[)(11)2(11)1(212122n u n n f z zdz d z z z z z z z n f z z z z z n u z z z z z n u =∴--=-=--↔∴-=-↔--=-↔+--- :Solution t ransform. -Zside -one it s det em ine t o , F or 5.∑∞=-=0)](2[2)(m m n m n u n f )2)(4()()12)(22()2()](2[2)1)(2(12)()(2)()(2)](2[22020--=∴--↔-∴--=--↔*=-=-∑∑∑∞=∞-∞=∞=z z z z F z z z m n u z z z z z z z n u n u m n u m u m n u m m n n m m m m :Solut ion).()31()()4()];10()([)21()()3();1()21()()2();()31()()1(n u n f n u n u n f n u n f n u n f nnn n -=--=---=-=:sequences following t he of t ransforms -Z sides -t wo t he Determine 6.z z z z n u z X n n n n nn n 311)3()31()()31()(001-===-=∑∑∑∞=-∞=--∞-∞= (1)31||<z :ROC 210112122111)2(1)2()21()1()21()(-=--=--=-=-=-=---=∑∑∑∑∞=∞=--∞=-∞-∞=z zz z z z z z z n u z X n n n n n n n nn n (2)21||<z :ROC(3))21(1)21(1)21()]10()([)21()(11019--=--∞-∞=--==--=∑∑z z z z n u n u z X n n n n n n 0||>z :ROC)21()21()21(1)21(1)(910101101--=--=--z z z z z z X )1(21);9(0orders z orders z ==∴ :poles )9...,,2,1,0(21102==∴k e z k j π :zeros out . cancel pole and zeros 2121==z z .:ROC 0>∴|z|3)3()()31()(01-===∑∑∞=--∞-∞=-z zz z n u z X n n n n n(4)3||>z :ROC |1|||1)()4(21||11)()3(21||15.01)()2(5.0||5.011)()1(112411212811431a z a z az z F z z z z F z z z z z F z z z F >--=>--=>++-=>+=-------:functions following the of transforms -Z inverse the detemine To 7.:Solution )()5.0()(5.05.011)(1n u n x z zz z F n-=⇒+=+=- (1))(])41(3)21(4[)(34131441228)4)(2(5.01)(41211411211111811n u n x z z z z z z z z z zz z F nn ---=∴+-+=+-+=+-+=++-=------- (2))()21()())(()()(11)(2121212141221241121n u n x z z z z z z z z z z z z F n-=∴+=-+-=--=--=-- (3))()()1)(1()(11111)(11211n a n u aa a n x a z a a a a a z a a z az z F n δ--=∴----=---=--=---- (4).2||5.0)3(;5.0||)2(;2||)1(2523)(211<<<>+--=---z z z z z z z F ROC. ing -follow t he t o according sequence t he det ermine t hen plot . zero -pole it s draw t o , For 8.:Solution .21,1:;0:))(1(2325232523)(212211===∴---=+--=+--=---z z poles z zero z z zz z z z z z z F ).1(2)()21()(25.0);1(])21(2[)(5.0);(]2)21[()(22)(21--+=<<---=<-=>∴---=n u n u n x |z|n u n x |z|n u n x |z|z z z z z F n n n n n n , when , when , when。
第二讲 Z变换例题重要概念:连续系统:傅里叶变换――――拉普拉斯变换离散系统:傅里叶变换――――Z 变换重点:Z变换收敛域,零极点的概念,Z变换的基本性质和定理,单位取样响应h(n)的Z变换---系统函数与系统稳定性之间的关系。
例1 求以下序列的Z变换,并求出对应的零极点和收敛域:(1)(2)(3)(4)分析:中,n的取值范围是的有值范围,z变换的收敛域是满足的z值范围。
解:(1)由z变换的定义可知:收敛域为即极点为零点为(2)由z变换的定义可知:收敛域为:极点为零点为:(3)由z变换的定义可知:收敛域为极点为零点为(4)由z变换的定义可知:与的收敛域相同,所以的收敛域是极点零点例2 假如的z变换表示式为下式,问可能有多少不同的收敛域,它们分别对应什么序列?分析:有限长序列的收敛域为特殊情况:右边序列的收敛域为 Rx- |z| ∞因果序列 Rx- |z|≤∞; 左边序列的收敛域为特例双边序列的收敛域为有三种收敛域:圆内,圆外,环状。
(需单独讨论。
)解:对X(z)的分子和分母因式分解,得从上式得出,X(z)的零点为 1/2, 极点为j/2, -j/2, -3/4。
所以 X(z) 的收敛域为:(1)为双边序列。
(2)为左边序列。
(3)为右边序列。
例3 用长除法,留数定理法,部分分式法求下列X(z)的z反变换。
分析:(1)长除法:对右边序列,分子分母都按z的降幂排列。
对左边序列分子分母都按z的升幂排列。
(2)部分分式法:若X(z)用z的正幂表示,则按X(z)/z写成部分分式,然后求各极点的留数,最后利用已知变换关系求z反变换可得x(n)。
(3)留数定理法:要化成的形式与抵消。
围线内极点留数时不取“-”,围线外极点留数时要取“-”,解:(a)长除法可知极点z=-1/2,而收敛域为,故x(n)为因果序列,所以分子分母按降幂排列。
即所以:(b)留数定理法:设c为内的逆时针方向闭合曲线。
当时在c内有z=-1/2一个单极点,则又因为x(n)是因果序列,故n 0时,x(n)=0 所以(c)部分分式法由题得因为所以例4 对因果序列,初值定理是,如果序列为n 0 时x(n)=0,问相应的定理是什么?讨论一个序列x(n),其Z变换为 X(z)的收敛域包括单位圆,试求其x(0)值。
Z 变换习题.)1()()3();()1()()2(;2)0(}5,1,2,3,0{...,)()1(0∑=-=⋅⋅-===ni n n n f n u n n f f n f :sequences following the of transforms -Z side -one the Determine 1.2222210)1()()1()1()()1()1(]1[)(1)()2(52)()()1(+=∴+=---↔-∴-=--↔⇒-↔++==--∞=-∑z zz F z z z z n u n z z z z dz d z n u n z z n u z z z n f z F nn n :Solution 1||111)()]([)]()1[()()()1()()1()1(11)()1(1)()3(22>-=+⋅-=∴*-=--=-=-∴+=---↔-⇒-↔∑∑∑∞-∞=-∞==z z z z z z z z F n u n u i n u i u i u z zz z n u z z t u n i i ni ini in 1||)1)(1()()3(1||)1)(1()()2(2||1)2)(1()()1(2222>--=>+--+=<<-+=z z z zz F z z z z zz z F z z z z z F :functions following the of transforms -Z inverse the detemine To 2.)1(232)()1(31)(232131)(21)2)(1()()1(3231----=⇒-++=⇒-++=-+=n u n u n f z zz z z F z z z z z z z F n n:Solution sequence.side left a is sequence. side right a is sequence. sides double a is :Notice )1()2(122||)()1(11||1)(2||122---↔--=-⇒<-↔---=+⇒<⇒<<n u z z z n u z z z z z n f z n z z n ⎪⎩⎪⎨⎧-==-====--++-++=+--+=*11....2....:)2321()2321(1)1)(1(1)()2(23213212k k k k where j z k j z k z k z z z z z z F )2321()2321(12)(j z zj z zz zz F ---+--+=∴)()]3cos(2[)()3cos()(2)()()(2)(2321,23213333n u n n u n n u n u en u en u n f e j e j njnjj j ππππππ-=-=--=∴=-=+--Condition: All poles should be inside the unit circle in z-plane except z=1(one order pole).⎪⎪⎪⎩⎪⎪⎪⎨⎧-=-==-==+=-+-++=-+=--===-=41])()1[(21)()1(41)()1(:1)1(1)1)(1(11111)()3(122212211122221122z z z z z F z dz d k z z F z k z z F z k where z k z k z k z z z z z z F)(]12)1[(41)(41)(21)()1(41)(1||)1(41])1([21)1(41)(2n u n n u n u n n u n f z z zz z z z z F n n -+-=-+-=∴>---++=∴2||)1)(2()()2(1||)21)(1(1)()1()(),1(),0(22>--=>+-++=∞z z z z z F z z z z z z F f f f .transforms -Z followingthe to ing correspond Detemine 3.2......)()1(lim )(23......)]0()([lim )1(1)21)(1(1lim )0()1(12==-=∞==-==+-++=→→∞→∞z F z f f z F z f z z z z f z z z :SolutionCondition: All poles should be inside the unit circle in z-plane except z=1(one order pole).Scaling propertyexistence. not is theorm. valuefinal of condition the of beyond is )(2||:3......)]0()([lim )1(1......)(lim )0()2(∞∴>==-====→∞→∞f z ROC f z F z f z F f z z).2()1()(-*+=n u n u n f :n convolutio the Detem ine 4.)()(]1[)1(]1[]1[)(11)2(11)1(212122n u n n f z zdz d z z z z z z z n f z zz z z n u z z z z z n u =∴--=-=--↔∴-=-↔--=-↔+---:Solution transform .-Zside -one its detem ine to , For 5.∑∞=-=0)](2[2)(m mnm n u n f )2)(4()()12)(22()2()](2[2)1)(2(12)()(2)()(2)](2[222--=∴--↔-∴--=--↔*=-=-∑∑∑∞=∞-∞=∞=z z z z F z z z m n u z z z z z z z n u n u m n u m u m n u m m n n m m m m:Solution).()31()()4()];10()([)21()()3();1()21()()2();()31()()1(n u n f n u n u n f n u n f n u n f n n nn -=--=---=-=:sequences following the of transforms -Z sides -two the Determine 6.zz z z n u z X n n n nn n n 311)3()31()()31()(01-===-=∑∑∑∞=-∞=--∞-∞= (1)31||<z :ROC 210112122111)2(1)2()21()1()21()(-=--=--=-=-=-=---=∑∑∑∑∞=∞=--∞=-∞-∞=z zz z zz z z z n u z X n nn nn nn n n n(2)21||<z :ROC(3))21(1)21(1)21()]10()([)21()(11019--=--∞-∞=--==--=∑∑z z z z n u n u z X n n n n n n 0||>z :ROC)21()21()21(1)21(1)(910101101--=--=--z z z z z z X )1(21);9(0orders z orders z ==∴ :poles )9...,,2,1,0(21102==∴k e z k j π:z eros out. cancel pole and z eros 2121==z z .:ROC 0>∴|z|3)3()()31()(01-===∑∑∞=--∞-∞=-z zz z n u z X n nn n n(4)3||>z :ROC |1|||1)()4(21||11)()3(21||15.01)()2(5.0||5.011)()1(112411212811431az az az z F z zz z F z z z z z F z z z F >--=>--=>++-=>+=-------:functions following the of transforms -Z inverse the detemine To 7.:Solution )()5.0()(5.05.011)(1n u n x z z z z F n-=⇒+=+=- (1))(])41(3)21(4[)(34131441228)4)(2(5.01)(41211411211111811n u n x z z z z z z z z z zz z F nn ---=∴+-+=+-+=+-+=++-=------- (2))()21()())(()()(11)(2121212141221241121n u n x z z z z z z z z z z z z F n-=∴+=-+-=--=--=-- (3))()()1)(1()(11111)(11211n a n u aa a n x a z a a a a a z a a z az z F nδ--=∴----=---=--=---- (4).2||5.0)3(;5.0||)2(;2||)1(2523)(211<<<>+--=---z z z z z z z F ROC.ing -follow the to according sequence the determine then plot. zero -pole its draw to , For 8.:Solution .21,1:;0:))(1(2325232523)(212211===∴---=+--=+--=---z z poles z zero z z zz z z z z z z F ).1(2)()21()(25.0);1(])21(2[)(5.0);(]2)21[()(22)(21--+=<<---=<-=>∴---=n u n u n x |z|n u n x |z|n u n x |z|z z z z z F n n n n n n , when , when , when。
1Z 变换阶段测试参考答案一、填空题 1. 序列{}2,5,3,2,1()k f k ↑==,其Z 变换的收敛域为0||z <<∞。
2. (2)u n −的z 变换是1z z a−−。
3. 序列x (n )满足条件|()|n x n ∞=−∞<∞∑,其Z 变换的收敛域为||x x R z R −+<<,则x R −应该满足条件1x R −<,x R +应该满足条件1x R +>。
二、选择题1. 双边Z 变换23()(1)(2)z X z z z =+−,其收敛域为12z <<,则其原序列()x n 等于 CA 、[(1)2(2)]()k k u k −+;B 、[(1)2(2)](1)k k u k −−−−−;C 、2(2)(1)(1)()k k u k u k −−−+−;D 、 [(1)2(2)](1)k k u k −+−−2. 离散LTI 系统的系统函数为110110()m m m m n n n n b z b z b H z a z a z a −−−−+++=+++ ,则系统是因果系统的条件是 DA 、1m n ≥+;B 、 m n ≥;C 、 1m n ≤+;D 、 m n ≤3. 已知)(3)(1n u n x n =,)1(2)(2−−=n u n x n ,则)()(21n x n x +的z 变换为 D :A、3||,)2)(3(2>−−z z z z ; B、2||,)2)(3(1<−−z z z ; C、3||2,)2)(3(<<−−z z z z; D、不存在4. 因果稳定的离散时间系统函数的极点必定在 Da) 单位圆以外; b) 实轴上; c) z 平面左半平面; d) 单位圆以内5. 已知离散时间LTI 系统的系统函数H(z)的收敛域为321<<z ,则该系统一定为: B A、因果稳定系统; B、非因果稳定系统;C 、因果不稳定系统;D 、非因果不稳定系统;26. 设离散时间信号()x n 的Z 变换为)(z X ,另设1(/2)()0 x n n x n n ⎧=⎨⎩,为偶数,为奇数,则1()x n 的Z 变换为 AA 、 2()X z ; B 、 (/2)X z ; C 、 2(/2)X z ; D 、 (/2), 0, X z ⎧⎨⎩单位圆外单位圆内三、简答题1、已知z 变换()()x n X z ↔,试证明1()()x n X z −−↔成立。
信号系统Z 变换习题讲解7-1 分别绘出下列各序列的图形。
(1)[](1/2)[]n x n u n = (2)[]2[]n x n u n = (3)[](1/2)[]n x n u n =- (4)[](2)[]n x n u n =- 解:7-2 分别绘出下列各序列的图形。
(1)[][]x n nu n =-- (2)[]2[]n x n u n -= (3)[](1/2)[]n x n u n -=- (4)[](1/2)[]n x n u n =-- 解:1234(1)01234(2)(3)[n ](2)(1)(4)7-3 分别绘出下列各序列的图形。
(1)[]sin 5n x n π⎛⎫= ⎪⎝⎭ (2)[]cos 105n x n ππ⎛⎫=- ⎪⎝⎭ 解:7-5 序列x [n ]如图题7-5所示,把x [n ]表示为δ[n ]的加权与延迟之线性组合。
图 题7-5解: []2[3][]3[1]2[3]x n n n n n δδδδ=-+-+-+-7-7 求下列序列的z 变换X (z ),并注明收敛域,绘出X (z )的零极点图。
(1)(1/2)nu [n ] +δ [n ] (4)(1/2)n {u [n ] - u [n -8]} (5)δ [n ] -15δ [n -2]解:1011(1)()[()[][]]()[]221212111222n n n nn n n X z u n n z z n z z z z z z δδ∞∞∞---=-∞==-∞=+=+-=+=>--∑∑∑(2)∞--=-∞=--=--=--==>--∑∑718881711(4)()()([][8])()22111()()220111()22n n n nn n X z u n u n z z z z z z z zδδ∞-=-∞-=--=->∑21(5)()([][2])51105n n X z n n z z z7-8 求双边序列x [n ] =||(1/2)n 的z 变换,标明收敛域及绘出零极点图。