苏教版数学高一-高中数学校本课程 第4课时 三角函数的趣题—直角三角形 徐珺
- 格式:doc
- 大小:105.50 KB
- 文档页数:2
高中数学苏教版必修4三角函数知识点总结一、角的概念和弧度制:(1)在直角坐标系内讨论角:角的顶点在原点,始边在x 轴的正半轴上,角的终边在第几象限,就说过角是第几象限的角。
若角的终边在坐标轴上,就说这个角不属于任何象限,它叫象限界角。
(2)①与α角终边相同的角的集合:},2|{},360|{0Z k k Z k k ∈+=∈+=απββαββ或与α角终边在同一条直线上的角的集合: ; 与α角终边关于x 轴对称的角的集合: ; 与α角终边关于y 轴对称的角的集合: ; 与α角终边关于x y =轴对称的角的集合: ;②一些特殊角集合的表示:终边在坐标轴上角的集合: ;终边在一、三象限的平分线上角的集合: ; 终边在二、四象限的平分线上角的集合: ; 终边在四个象限的平分线上角的集合: ; (3)区间角的表示:①象限角:第一象限角: ;第三象限角: ;第一、三象限角: ;②写出图中所表示的区间角:(4)正确理解角:要正确理解“oo90~0间的角”= ;“第一象限的角”= ;“锐角”= ; “小于o90的角”= ; (5)由α的终边所在的象限,通过 来判断2α所在的象限。
来判断3α所在的象限 x y O x y O(6)弧度制:正角的弧度数为正数,负角的弧度数为负数,零角的弧度数为零;任一已知角α的弧度数的绝对值rl =||α,其中l 为以角α作为圆心角时所对圆弧的长,r 为圆的半径。
注意钟表指针所转过的角是负角。
(7)弧长公式: ;半径公式: ;扇形面积公式: ;二、任意角的三角函数:(1)任意角的三角函数定义:以角α的顶点为坐标原点,始边为x 轴正半轴建立直角坐标系,在角α的终边上任取一个异于原点的点),(y x P ,点P 到原点的距离记为r ,则=αsin ;=αcos ;=αtan ;=αcot ;=αsec ;=αcsc ;如:角α的终边上一点)3,(a a -,则=+ααsin 2cos 。
《趣味数学》目录第1课时集合中的趣题—“集合”与“模糊数学 (2)第2课时函数中的趣题—一份购房合同 (3)第3课时函数中的趣题—孙悟空大战牛魔王 (4)第4课时三角函数的趣题—直角三角形 (6)第5课时三角函数的趣题—月平均气温问题 (7)第6课时数列中的趣题—柯克曼女生问题 (9)第7课时数列中的趣题—数列的应用 (11)第8课时不等式性质应用趣题―两边夹不等式的推广及趣例 (13)第9课时不等式性质应用趣题―均值不等式的应用 (15)第10课时立体几何趣题—正多面体拼接构成新多面体面数问题 (16)第11课时立体几何趣题—球在平面上的投影 (19)12课时解析几何中的趣题―神奇的莫比乌斯圈 (21)13课时解析几何中的趣题―最短途问题 (22)14课时排列组合中的趣题―抽屉原理 (23)15课时排列组合中的趣题―摸球游戏 (24)第16课时概率中的趣题 (25)第17课时简易逻辑中的趣题 (28)第18课时解数学题的策略 (31)第1课时 集合中的趣题——“集合”与“模糊数学”教学要求:启发学生能够发现问题和提出问题,善于独立思考,学会分析问题和创造地解决问题;教学过程:一、 情境引入1965年,美国数学家扎德发表论文《模糊集合》,开辟了一门新的数学分支——模糊数学。
二、 实例尝试,探求新知模糊数学是经典集合概念的推广。
在经典集合论当中,每一个集合都必须由确定的元素构成,元素对于集合的隶属关系是明确的,这一性质可以用特征函数:(){)(,1)(,0A x A x A x ∈∉=χ来描述。
扎德将特征函数)(x A χ改成所谓的“隶属函数”,1)(0:)(≤≤x x A A μμ,这里A 称为“模糊函数”,()x A μ称为x 对A 的“隶属度”。
经典集合论要求隶属度只能取0,1二值,模糊集合论则突破了这一限制,()x A μ=1时表示百分之百隶属于A ;()x A μ=0时表示不属于A 还可以有百分之二十隶属于A ,百分之八十不隶属于A ……等等,这些模糊集合为对由于外延模糊而导致的事物是非判断上的上的不确性提供了数学描述。
1.2.1 任意角的三角函数1.三角函数的定义如图:P (x ,y ),OP =r ,一般地,对任意角α,我们规定:(1)比值y r 叫做α的正弦,记作sin α,即sin α=yr ;(2)比值x r 叫做α的余弦,记作cos α,即cos α=xr;(3)比值y x (x ≠0)叫做α的正切,记作tan α,即tan α=yx.预习交流1三角函数值的大小与P 点位置的选取有关系吗?提示:三角函数值是比值,是一个实数,这个实数的大小与点P (x ,y )在终边上的位置无关,只由角α的终边位置决定,即三角函数值的大小只与角有关.2.三角函数值在各象限的符号正弦函数值的符号与y 的符号相同,余弦函数值的符号与x 的符号相同.此符号规律可用口诀:“一全正、二正弦、三两切、四余弦”来记忆(只记函数值为正的情况,“一、二、三、四”指象限).预习交流2 三角函数值在各象限的符号由什么来确定?提示:由三角函数的定义可知,三角函数值在各象限的符号由角α终边上任意一点P 的坐标x ,y 的正负来确定.3.有向线段与三角函数线(1)有向线段:规定了方向(即规定了起点和终点)的线段叫做有向线段.类似地,把规定了正方向的直线称为有向直线.若有向线段AB 在有向直线l 上或与有向直线l 平行,根据有向线段AB 与有向直线l 的方向相同或相反,分别把它的长度添上正号或负号.这样所得的数,叫做有向线段的数量,记为AB .(2)三角函数线:如图,把有向线段MP ,OM ,AT 分别叫做角α的正弦线、余弦线和正切线.它们统称为三角函数线.当角α在不同象限时,其三角函数线见课本第13页图128.当角α的终边在x 轴上时,正弦线、正切线分别变成一个点;当角α的终边在y 轴上时,余弦线变成一个点,正切线不存在.预习交流3 正弦线、余弦线、正切线方向有何特点?提示:正弦线方向由垂足指向α的终边与单位圆的交点;余弦线方向由原点指向垂足;正切线方向由切点指向切线与α的终边(或反向延长线)的交点.预习交流4(1)角α终边上一点P (3,n ),且sin α=45,则n =______;(2)若角α的终边过点(sin 30°,-cos 30°),则sin α=______;(3)若-π2<α<0,则点(tan α,cos α)位于第______象限.提示:(1)4 (2)-32(3)二一、利用定义求三角函数值已知角θ的终边上有一点P (-3,m ),且sin θ=24m ,求cos θ与tan θ的值. 思路分析:此类问题的解答一般根据三角函数的定义求解.对于本题可由定义求出m 的值,再求cos θ与tan θ的值.解:由已知有,24m =m3+m 2,得m =0,或m =±5.(1)当m =0时,cos θ=-1,tan θ=0;(2)当m =5时,cos θ=-64,tan θ=-153;(3)当m =-5时,cos θ=-64,tan θ=153.已知点P (5,a )是角α的终边上一点,且tan α=-125,求sin α+cos α的值.解:∵x =5,y =a ,∴tan α=y x =a 5=-125,∴a =-12,r =52+(-12)2=13.则sin α=y r =-1213,cos α=x r =513,sin α+cos α=-1213+513=-713.已知角的终边上一点,求该角的三角函数值,一般是先求出该点到原点的距离r ,再由三角函数的定义,求出三角函数值.若点的坐标有字母时,由于字母符号未知,所以点所在象限不确定,因此要根据情况进行分类讨论,避免漏解.二、三角函数值的符号的应用判断下列各式的符号:(1)tan 120°·sin 269°;(2)cos 4·tan ⎝⎛⎭⎫-23π4. 思路分析:此类问题的解决一是要弄清角的终边所在的象限,二是要熟记三角函数值在各象限的符号.解:(1)∵120°是第二象限角,∴tan 120°<0; ∵269°是第三象限角,∴sin 269°<0, ∴tan 120°·sin 269°>0.(2)∵π<4<3π2,∴4弧度角是第三象限角,∴cos 4<0;∵-23π4=-6π+π4,∴-23π4是第一象限角,∴tan ⎝⎛⎭⎫-23π4>0,∴cos 4·tan ⎝⎛⎭⎫-23π4<0.1.若角α的终边经过点P (-2,-1),则①sin α·tan α>0;②cos α·tan α>0,③sin α·cos α>0;④sin α·tan α<0中成立的是__________(填序号).答案:③④解析:∵P (-2,-1)是第三象限内的点,∴角α为第三象限角,∴sin α<0,cos α<0,tan α>0,∴①②不正确,③④正确.2.已知点P (tan α,cos α)在第三象限,求角α的终边所在的象限. 解:方法一:∵P (tan α,cos α)在第三象限,∴tan α<0且cos α<0.由tan α<0,知α为第二或第四象限角,由cos α<0,知α为第二或第三象限角,∴α的终边在第二象限.方法二:由P 为第三象限,知tan α<0且cos α<0.设角α终边上一点的坐标为(x ,y ),则由三角函数定义知,tan α=y x <0,cos α=xr <0,∴x <0且y >0.故α的终边在第二象限.三角函数值“符号看象限”:根据符号规律,结合具体函数及角的所在象限进行判断,如第二象限角,其正弦值为正,而余弦与正切值为负.由点所在象限求角所在象限时,关键是弄清已知点的坐标符号,以此判定点所在象限即知角的终边所在象限.三、作三角函数线作出3π4的正弦线、余弦线和正切线.思路分析:利用三角函数线的作法即可完成.解:在直角坐标系中作单位圆,如图所示.以x 轴正半轴为始边作3π4角,角的终边与单位圆交于点P .作PM ⊥x 轴,垂足为M ,过单位圆与x 轴正方向的交点A 作x 轴的垂线与OP的反向延长线交于点T ,则sin 3π4=MP ,cos 3π4=OM ,tan 3π4=AT ,即3π4的正弦线为MP ,余弦线为OM ,正切线为AT .在单位圆中画出满足sin α=12的角α的终边.解:所给函数是正弦函数,故作直线y =12交单位圆于点P ,Q ,连结OP ,OQ ,则射线OP ,OQ 即为角α的终边.作正弦线、余弦线时,首先找到角的终边与单位圆的交点,然后过此点作x 轴的垂线,得垂足,从而可得正弦线与余弦线.作正切线时,应从A (1,0)点引单位圆的切线,与角的终边(角α为第一或第四象限角时)或终边的反向延长线(角α为第二或第三象限角时)交于一点T ,即可得到正切线AT .三角函数线的主要作用是求函数定义域、值域、解三角不等式、比较两三角函数值的大小等.1.已知在△ABC 中,sin A ·cos B <0,则△ABC 的形状是__________. 答案:钝角三角形解析:在△ABC 中,由sin A ·cos B <0,可知sin A >0,cos B <0,故∠B 为钝角,即此三角形为钝角三角形.2.已知角α的终边经过点P (5,12),则sin α=______,cos α=______,tan α=______.答案:1213 513 125解析:由x =5,y =12,得r =52+122=13.∴sin α=y r =1213,cos α=x r =513,tan α=y x =125.3.已知cos θ·tan θ<0,那么θ是第______或第______象限角. 答案:三 四 解析:由cos θ·tan θ<0,知sin θ<0,且θ的终边不在坐标轴上,由此知θ的终边在第三或第四象限.4.若600°角的终边上有一点(-4,a ),则a 的值是__________. 答案:-4 3解析:在坐标系中把600°角的终边找到,看其在第几象限,再利用数形结合思想来求a 的值.因为600°=360°+240°,所以600°的终边与240°的终边重合,如图所示,设P (-4, a ),作PM ⊥x 轴于M ,由sin 240°=a 16+a 2=-32,得a =-4 3.5.已知角θ的终边上一点P (5a,12a ),且a ≠0,180°<θ<270°,求角θ的三个三角函数值.解:因为180°<θ<270°,所以a <0,从而r =(5a )2+(12a )2=-13a ,所以sin θ=y r =-1213,cos θ=x r =-513,tan θ=y x =125.。
闽侯一中校本选修课程课程名称:趣味数学数学组周受萍《趣味数学》校本课程纲要一、课程开发原则与开发背景1、开发原则:《趣味数学》课程就是要把“数学有趣,数学有用,数学不难”的理念放在第一位,故名“趣味数学”。
本课程让学生在趣味化、生活化的数学教学活动中,自主地建构数学知识,创设轻松、活泼的教学氛围,使教学活动源于学生生活,源于学生好奇之事,引导学生积极运用自己有的生活经验去探索、去发现、去体验,让他们亲身感悟数学知识。
根据自己对中学数学节本的了解,设计出有趣的数学课程,对学生进行无痕的引导,降低学生接受的难度。
通过学生的探究和发现感受到有趣有用的数学。
同时体会我们中国古代光辉的数学成就,有信心学好数学。
游戏是学生很好的学习方式和途径,而数学语言却以简练和逻辑为特点。
为了把抽象的数学符号变为生动活泼的形象符号,让学生更乐于接受,更容易掌握,《趣味数学》将寓教于乐的传统教学理念移植到单调枯燥的数学教学中,让学生在潜移默化地掌握操作学习法、阅读学习法、迁移类推学习法、发现学习法、尝试学习法等众多学习方法,让学生通过饶有兴趣的认知方式轻松掌握所学的知识。
2、开发背景:“数学是思维的体操”。
作为一门研究数量关系与空间形式的科学,数学不仅具有高度的抽象性、严密的逻辑性,而且具有广泛的应用性。
数学以高度智力训练价值以及学科本身所具有的特点,为培养发展学生的创造性思维品质提供了极大的空间。
数学是学习现代科学技术必不可少的基础和工具,是基础教育的重要组成部分,通过数学思维训练,不仅使学生能够掌握渊博的数学知识,也使那些数学尖子有发挥自己特长的用武之地,更重要的是可以训练他们的思维,增强分析问题和解决问题的能力,促使学生发展,形式健全人格,具有终身持续发展能力的力量源泉。
开展教学思维训练活动,对于扩大学生的视野,拓宽知识,培养兴趣爱好,发展教学才能,提供了最佳的舞台,未来的数学家、科学家、诺贝尔奖金的获得者就在他们当中诞生。
1.2任意角的三角函数1.2.1任意角的三角函数1.理解三角函数的定义,会使用定义求三角函数值.(重点、易错点)2.会判断给定角的三角函数值的符号.(重点)3.会利用三角函数线比较两个同名三角函数值的大小及表示角的范围.(难点)[基础·初探]教材整理1任意角三角函数的定义阅读教材P11~P12第一自然段的有关内容,完成下列问题.在平面直角坐标系中,设α的终边上任意一点P的坐标是(x,y),它与原点的距离是r(r=x2+y2>0),那么名称定义定义域正弦sin α=yr R余弦cos α=xr R正切tan α=yx⎩⎪⎨⎪⎧⎭⎪⎬⎪⎫α⎪⎪⎪α≠π2+kπ,k∈Zsin α函数.若角α的终边经过点P ⎝⎛⎭⎪⎫22,-22,则sin α=________;cos α=________;tan α=________. 【解析】 由题意可知 |OP |=⎝ ⎛⎭⎪⎫22-02+⎝ ⎛⎭⎪⎫-22-02=1, ∴sin α=-221=-22; cos α=221=22; tan α=-2222=-1.【答案】 -22 22 -1 教材整理2 三角函数值的符号阅读教材P 12第二自然段的有关内容,完成下列问题. 三角函数在各象限符号:图1-2-1(1)若α在第三象限,则sin αcos α________0;(填“>”,“<”) (2)若α在第二象限,则sin αtan α________0.(填“>”“<”) 【解析】 (1)∵α在第三象限,∴sin α<0,cos α<0,∴sin αcos α>0.(2)∵α在第二象限,∴sin α>0,tan α<0.∴sin αtan α<0.【答案】(1)>(2)<教材整理3三角函数线阅读教材P12第三自然段~P14例1以上部分的内容,完成下列问题.1.有向线段:规定了方向(即规定了起点和终点)的线段.2.三角函数线判断(正确的打“√”,错误的打“×”)(1)α一定时,单位圆的正弦线一定.()(2)在单位圆中,有相同正弦线的角必相等.()(3)α与α+π有相同的正切线.()【解析】结合三角函数线可知(1)(3)正确,(2)错误.【答案】(1)√(2)×(3)√[质疑·手记]预习完成后,请将你的疑问记录,并与“小伙伴们”探讨交流:疑问1:解惑:疑问2:解惑:疑问3:解惑:[小组合作型]三角函数的定义及应用在平面直角坐标系中,角α的终边在直线y=-2x上,求sin α,cos α,tan α的值.【精彩点拨】以α的终边分别在第二、四象限为依据,分别取特殊点求sin α,cos α,tan α的值.【自主解答】当α的终边在第二象限时,在α终边上取一点P(-1,2),则r=(-1)2+22=5,所以sin α=25=255,cos α=-15=-55,tan α=2-1=-2.当α的终边在第四象限时,在α终边上取一点P′(1,-2),则r=12+(-2)2=5,所以sin α=-25=-255,cos α=15=55,tan α=-21=-2.1.已知角α的终边在直线上的问题,常分两类情况分别计算sin α,cos α,tan α的值.2.当角α的终边上点的坐标以参数形式给出时,要根据问题的实际情况对参数进行分类讨论.[再练一题]1.已知角α的终边上有一点P (-3a,4a )(a ≠0),求2sin α+cos α的值.【导学号:06460006】【解】 ∵x =-3a ,y =4a , ∴r =(-3a )2+(4a )2=5|a |.当a >0时,r =5a ,角α为第二象限角, ∴sin α=y r =4a 5a =45, cos α=x r =-3a 5a =-35, ∴2sin α+cos α=2×45-35=1.当a <0时,r =-5a ,角α为第四象限角, ∴sin α=y r =4a -5a =-45,cos α=x r =-3a -5a =35,∴2sin α+cos α=2×⎝ ⎛⎭⎪⎫-45+35=-1.三角函数值的符号(1)α是第四象限角,sin α·tan α; (2)sin 3·cos 4·tan ⎝ ⎛⎭⎪⎫-23π4.【精彩点拨】 先确定各角所在象限,再判定各个三角函数值符号,然后判定三角函数式的符号.【自主解答】(1)∵α是第四象限角, ∴sin α<0,tan α<0, ∴sin α·tan α>0. (2) ∵π2<3<π,π<4<3π2, ∴sin 3>0,cos 4<0. 又∵-23π4=-6π+π4, ∴tan ⎝ ⎛⎭⎪⎫-23π4>0,∴sin 3·cos 4·tan ⎝ ⎛⎭⎪⎫-23π4<0.对于已知角α,判断α的相应三角函数值的符号问题,常依据三角函数的定义,或利用口诀“一全正、二正弦、三正切、四余弦”来处理.[再练一题]2.确定下列式子的符号:(1)tan 108°·cos 305°;(2)cos 5π6·tan 11π6sin 2π3;(3)tan 120°·sin 269°.【解】 (1)∵108°是第二象限角,∴tan 108°<0. ∵305°是第四象限角,∴cos 305°>0. 从而tan 108°·cos 305°<0.(2)∵5π6是第二象限角,11π6是第四象限角,2π3是第二象限角,∴cos 5π6<0,tan11π6<0,sin 2π3>0.从而cos5π6·tan11π6sin2π3>0.(3)∵120°是第二象限角,∴tan 120°<0,∵269°是第三象限角,∴sin 269°<0.从而tan 120°sin 269°>0.[探究共研型]应用三角函数线解三角不等式探究1在单位圆中,满足sin α=12的正弦线有几条?试在图中明确.图1-2-2【提示】两条,如图所示,MP1与NP2都等于12.探究2满足sin α≥12的角的范围是多少?试在上述单位圆中给予明确.【提示】如图中阴影部分所示,所求角α的取值范围为α⎪⎪⎪2kπ+π6≤α≤2kπ+5π6,k∈Z.求函数f (x )=1-2cos x +ln ⎝ ⎛⎭⎪⎫sin x -22的定义域.【精彩点拨】 借助单位圆解不等式组⎩⎨⎧1-2cos x ≥0sin x -22>0便可.【自主解答】 由题意,自变量x 应满足不等式组⎩⎨⎧1-2cos x ≥0,sin x -22>0,即⎩⎪⎨⎪⎧cos x ≤12,sin x >22.则不等式组的解的集合如图(阴影部分)所示,∴⎩⎪⎨⎪⎧⎭⎪⎬⎪⎫x ⎪⎪⎪2k π+π3≤x <2k π+34π,k ∈Z .求三角函数定义域时,一般应转化为求不等式(组)的解的问题.利用数轴或三角函数线是解三角不等式常用的方法.解多个三角不等式时,先在单位圆中作出使每个不等式成立的角的范围,再取公共部分.[再练一题]3.在单位圆中画出适合下列条件的角α的终边的范围,并由此写出角α的集合:(1)sin α≥32;(2)cos α≤-12.【解】 (1)作直线y =32交单位圆于A ,B 两点,连接OA ,OB ,则OA 与OB 围成的区域(图①阴影部分)即为角α的终边的范围,故满足条件的角α的集合为⎩⎪⎨⎪⎧⎭⎪⎬⎪⎫α⎪⎪⎪2k π+π3π≤α≤2k π+2π3π,k ∈Z.(2)作直线x =-12交单位圆于C 、D 两点,连接OC 、OD ,则OC 与OD 围成的区域(图②阴影部分)即为角α终边的范围,故满足条件的角α的集合为⎩⎪⎨⎪⎧⎭⎪⎬⎪⎫α⎪⎪⎪2k π+23π≤α≤2k π+43π,k ∈Z. [构建·体系]1.若角α的终边经过点P (-2,2),则sin θ=________. 【解析】 由题意可知,OP =(-2)2+22=8,∴sin θ=28=22. 【答案】 222.若sin α<0,tan α>0,则α为第________象限角.【解析】 由sin α<0可知α的终边落在第三、四象限及y 轴的负半轴上. 由tan α>0可知α的终边落在第一、三象限内.故同时满足sin α<0,tan α>0的角α为第三象限角. 【答案】 三3.角α的终边经过点P (-b,4)且cos α=-35,则b 的值为________.【导学号:06460007】【解析】 由三角函数的定义可知 -bb 2+16=-35, ∴⎩⎪⎨⎪⎧b >0,b 2b 2+16=925,解得b =3.【答案】 34.利用三角函数线比较下列各组数的大小(用“>”或“<”连接): (1)sin 2π3________sin 4π5; (2)cos 2π3________cos 4π5; (3)tan 2π3________tan 4π5.【解析】 借助单位圆中的三角函数线易得sin 2π3>sin 4π5;cos 2π3>cos 4π5;tan 2π3<tan 4π5.【答案】 (1)> (2)> (3)<5.已知角α的终边在直线3x +4y =0上,求sin α,cos α,tan α的值. 【解】 ∵角α的终边在直线3x +4y =0上,∴在角α的终边上任取一点P (4t ,-3t )(t ≠0),则x =4t ,y =-3t ,r =x 2+y 2=(4t )2+(-3t )2=5|t |,当t >0时,r =5t ,sin α=y r =-3t 5t =-35,cos α=x r =4t 5t =45,tan α=y x =-3t4t =-34.当t <0时,r =-5t ,sin α=y r =-3t -5t =35,cos α=x r =4t -5t=-45,tan α=y x =-3t 4t =-34.综上可知,sin α=-35,cos α=45,tan α=-34;或sin α=35,cos α=-45,tan α=-34.我还有这些不足:(1)(2)我的课下提升方案:(1)(2)学业分层测评(三) 任意角的三角函数(建议用时:45分钟)[学业达标]一、填空题1.已知sin α=35,cos α=-45,则角α终边在第________象限.【解析】 由sin α=35>0得,角α的终边在第一或第二象限;由cos α=-45<0得,角α的终边在第二或第三象限,故角α的终边在第二象限.【答案】 二2.若角α的终边落在y =-x 上,则tan α的值为________.【解析】设P(a,-a)是角α上任意一点,若a>0,P点在第四象限,tan α=-aa=-1,若a<0,P点在第二象限,tan α=-aa=-1.【答案】-13.有三个结论:①π6与5π6的正弦线相等;②π3与4π3的正切线相等;③π4与5π4的余弦线相等.其中正确的是________.【解析】在单位圆中画出相应角的正弦线、正切线,余弦线,分析可知①正确,②正确,③错误.【答案】①②4.在△ABC中,若sin A·cos B·tan C<0,则△ABC是________三角形.【解析】∵A,B,C是△ABC的内角,∴sin A>0.∵sin A·cos B·tan C<0,∴cos B·tan C<0,∴cos B和tan C中必有一个小于0,即B,C中必有一个钝角,故△ABC是钝角三角形.【答案】钝角5.(2016·扬州高一检测)如果α的终边过点P(2sin 30°,-2cos 30°),则sin α的值等于________.【解析】∵P(1,-3),∴r=12+(-3)2=2,∴sin α=-32.【答案】-3 26.(2016·南通高一检测)在(0,2π)内,使sin α>cos α成立的α的取值范围是________.【解析】 如图所示,当α∈⎝ ⎛⎭⎪⎫π4,5π4时,恒有MP >OM ,而当α∈⎝ ⎛⎭⎪⎫0,π4∪⎝ ⎛⎭⎪⎫5π4,2π时,则是MP <OM . 【答案】 ⎝ ⎛⎭⎪⎫π4,5π4 7.若α为第二象限角,则|sin α|sin α-cos α|cos α|=________.【解析】 由已知sin α>0,cos α<0,∴|sin α|sin α-cos α|cos α|=sin αsin α-cos α(-cos α)=1+1=2. 【答案】 28.(2016·无锡高一检测)已知角α的终边经过点(3a -9,a +2),且sin α>0,cos α≤0,则α的取值范围是________.【解析】 因为cos α≤0,sin α>0,所以角α的终边在第二象限或y 轴非负半轴上.因为α的终边过点(3a -9,a +2),所以{3a -9≤0,a +2>0,所以-2<a ≤3. 【答案】 (-2,3]二、解答题9.判断下列各式的符号:(1)sin 340°cos 265°;(2)sin (cos θ)cos (sin θ)(θ为第二象限角). 【导学号:06460008】 【解】 (1)∵340°是第四象限角,265°是第三象限角,∴sin 340°<0,cos 265°<0,∴sin 340°cos 265°>0.(2)∵θ为第二象限角,∴0<sin θ<1<π2,-π2<-1<cos θ<0,∴sin(cos θ)<0,cos(sin θ)>0,∴sin (cos θ)cos (sin θ)<0. 10.已知1|sin α|=-1sin α,且lg cos α有意义.(1)试判断角α所在的象限;(2)若角α的终边上一点M ⎝ ⎛⎭⎪⎫35,m ,且|OM |=1(O 为坐标原点),求m 的值及sin α的值.【解】 (1)由1|sin α|=-1sin α可知sin α<0,∴α是第三或第四象限角或终边在y 轴的负半轴上的角.由lg cos α有意义可知cos α>0,∴α是第一或第四象限角或终边在x 轴的正半轴上的角.综上可知角α是第四象限的角.(2)∵|OM |=1,∴⎝ ⎛⎭⎪⎫352+m 2=1, 解得m =±45.又α是第四象限角,故m <0,从而m =-45.由正弦函数的定义可知sin α=y r =m |OM |=-451=-45.[能力提升]1.(2016·南京高一检测)若α为第四象限角,则下列函数值一定是负值的是________.(填序号)①sin α2;②cos α2;③tan α2;④cos 2α.【解析】 由α为第四象限角,得2k π+3π2<α<2k π+2π(k ∈Z ),故k π+3π4<α2<k π+π(k ∈Z ).当k =2n (n ∈Z )时,α2∈⎝ ⎛⎭⎪⎫2n π+3π4,2n π+π, 此时,α2是第二象限角;当k =2n +1(n ∈Z )时,α2∈⎝ ⎛⎭⎪⎫2n π+7π4,2n π+2π,此时,α2是第四象限角. 故无论α2落在第二还是第四象限,tan α2<0恒成立.又4k π+3π<2α<4k π+4π,(k ∈Z ).故cos 2α有可能为正也有可能为负.【答案】 ③2.若角α的终边与直线y =3x 重合,且sin α<0,又P (m ,n )是角α终边上一点,且|OP |=10,则m -n 等于________.【解析】 由题意得{ n =3m <0,m 2+n 2=10, ∴⎩⎪⎨⎪⎧m =-1,n =-3,∴m -n =2. 【答案】 23.点P 从(1,0)出发,沿单位圆x 2+y 2=1逆时针方向运动23π弧长到达点Q ,则点Q 的坐标为________.【解析】 设Q (cos α,sin α),由2π3=α·1可知α=2π3,所以Q ⎝ ⎛⎭⎪⎫cos 2π3,sin 2π3,即Q ⎝ ⎛⎭⎪⎫-12,32. 【答案】 ⎝ ⎛⎭⎪⎫-12,32 4.已知:cos α<0,tan α<0.(1)求角α的集合;(2)试判断角α2是第几象限角;(3)试判断sin α2,cos α2,tan α2的符号.【解】 (1)因为cos α<0,所以角α的终边位于第二或第三象限或x 轴负半轴上.因为tan α<0,所以角α的终边位于第二或第四象限,所以角α的终边只能位于第二象限.故角α的集合为⎩⎪⎨⎪⎧⎭⎪⎬⎪⎫α⎪⎪⎪ π2+2k π<α<π+2k π,k ∈Z . (2)因为π2+2k π<α<π+2k π(k ∈Z ),所以π4+k π<α2<π2+k π(k ∈Z ).当k =2n (n ∈Z )时,π4+2n π<α2<π2+2n π(n ∈Z ).所以α2是第一象限角;当k =2n +1(n ∈Z ),5π4+2n π<α2<3π2+2n π(n ∈Z ),所以α2是第三象限角.(3)当α2为第一象限角时,sin α2>0,cos α2>0,tan α2>0.当α2为第三象限角时,sin α2<0,cos α2<0,tan α2>0.。
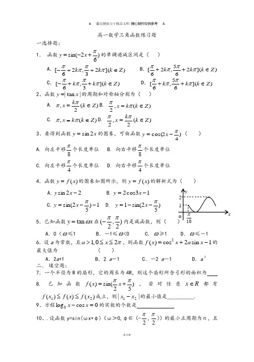
高一数学三角函数练习题一选择题:1. 函数)62sin(π+-=x y 的单调递减区间是( )A .)](23,26[Z k k k ∈++-ππππ B .)](265,26[Z k k k ∈++ππππC .)](3,6[Z k k k ∈++-ππππD .)](65,6[Z k k k ∈++ππππ2、函数|tan |x y =的周期和对称轴分别为( )A. )(2,Z k k x ∈=ππB. )(,2Z k k x ∈=ππ C. )(,Z k k x ∈=ππ D. )(2,2Z k k x ∈=ππ3、要得到函数x y 2sin =的图象,可由函数)42cos(π-=x y ( )A. 向左平移8π个长度单位 B. 向右平移8π个长度单位 C. 向左平移4π个长度单位 D. 向右平移4π个长度单位4.函数)(x f y =的图象如图所示,则)(x f y =的解析式为( )A.22sin -x yB.13cos 2-=x yC.1)52sin(--=πx y D. )52sin(1π--=x y5.已知函数tan y x ω=在(,)22ππ-内是减函数,则(A .0 <ω≤1B .-1≤ω<0C .ω≥1D .ω≤-16.设a 为常数,且1,02a x π>≤≤,则函数2()cos 2sin 1f x x a x =+-的最大值为( )A .2a +1B .2 a -1C .-2 a -1D .a 2二. 填空题:7.一个半径为R 的扇形,它的周长为4R ,则这个扇形所含弓形的面积为8. 已知函数)52sin()(ππ+=x x f ,若对任意R x ∈都有)()()(21x f x f x f ≤≤成立,则||21x x -的最小值是__________. 9、方程0cos log 8=-x x 的实数的个数是10、.设函数y=sin(ωx+φ)(ω>0,φ∈(-2π,2π))的最小正周期为π,且其图象关于直线x=12π对称,则在下面四个结论中:①图象关于点(4π,0)对称;②图象关于点(3π,0)对称;③在0,6π⎡⎤⎢⎥⎣⎦上是增函数;④在,06π⎡⎤-⎢⎥⎣⎦上是增函数.所有正确结论的编号为__________.三、解答题:11.已知角α终边上一点P (-4,3),求)29sin()211cos()sin()2cos(απαπαπαπ+---+的值 12.已知函数)2||,0,0)(sin()(πϕωωϕω<>>+=A x A x f 在一个周期内的图象 下图所示。
妙用三角函数定义解题三角函数是用比值来定义的,因此,利用三角函数的定义的基本求解策略是:将所给问题转化为比值,对其实施代数运算以达到目的此策略应用思路明确,规律性强,易于掌握一、求三角函数值例1 已知角α的终边上一点(34)0P t t t ≠,,,求sin cos tan ααα,,的值. 解:∵3x t =,4y t =,∴5r t =,当0t >时,5r t =,有443344sin cos tan 555533t t t t t t ααα======,,, 当0t <时,5r t =-,有44sin 55t t α==--,33cos 55t t α==--,44tan 33t t α== 二、求三角函数式的值 例2 设0πα<<,7sin cos 13αα+=,求1tan 1tan αα-+的值 解:设()P x y ,为角α的终边上异于原点的任意一点,且(0)OP r r =>,222x y r +=, 则由7sin cos 13αα+=,得713x y r r +=,∴713x y r +=, 两边平方,得222492169x xy y r ++=, ∴21202169xy r =-,∴20xy <, 由于0πα<<,∴ 00x y <>,.∴11tan 171tan 7113y x y r x αα--=====-++. 三、求三角函数的定义域 例3求函数()lg csc f θθ=的定义域 解:原函数的定义域为不等式cot sin 0csc 0θθθ⎧⎨>⎩·≥,的解集 设()P x y ,为角θ的终边上异于原点的任意一点,且(0)OP r r =>,222x y r +=.0000x y x y r y y x⎧>>⎪>⎧⎪⇒⎨⎨>⎩⎪>⎪⎩,,.∴故θ为第一象限角, ∴函数()f θ的定义域为π|2π2π2k k k θθ⎧⎫<<+∈⎨⎬⎩⎭Z ,. 四、化简三角函数式例4 化简:1sec tan 1cos sin 1sec tan 1sin ααααααα+++--+-- 解:设()P x y ,是角α终边上异于原点的任意一点,且(0)OP r r =>,222x y r +=,则原式1111r y x y x r y x r y x x r r r y y x r y r y x x r+++-+++-=-=-+--+--22()()()()()()()()r y x r y x r y r y x r y x r y r y x r y r y r y x r y r y -+++--+-+-=-=--+---+--2()()()()()()x r y x x r y x r x y x r y r y x r y r y r y x r y r y -++-+-+-=-=--+---+-- 1x x r y r y r y+-=-=--- 五、证明三角函数等式例5 求证:(sin tan )(cos cot )(1sin )(1cos )αααααα++=++. 证明:设()P x y ,是角α终边上异于原点的任意一点,且(0)OP r r =>,则左边y y x x r x r y ⎛⎫⎛⎫=++= ⎪ ⎪⎝⎭⎝⎭1111y x r x r y ⎛⎫⎛⎫++ ⎪ ⎪⎝⎭⎝⎭111111y x y x y r x r r r ⎡⎤⎛⎫⎡⎤⎛⎫⎛⎫⎛⎫=++=++⎢⎥ ⎪ ⎪ ⎪⎪⎢⎥⎝⎭⎝⎭⎝⎭⎣⎦⎝⎭⎣⎦ (1sin )(1cos )αα=++=右边.即(sin tan )(cos cot )(1sin )(1cos )αααααα++=++.。
第4课时 三角函数的趣题—直角三角形教学要求:探索直角三角形在生活中应用,进一步体会三角函数在解决问题过程中的应用。
教学过程:一、 情境引入直角三角形就像一个万花筒,为我们展现出了一个色彩斑澜的世界.我们在欣赏了它神秘的“勾股”、知道了它的边的关系后,接着又为我们展现了在它的世界中的边角关系,它使我们现实生活中不可能实现的问题,都可迎刃而解.它在航海、工程等测量问题中有着广泛应用,例如测旗杆的高度、树的高度、塔高等.二、 例题分析例1、海中有一个小岛A ,该岛四周10海里内有暗礁.今有货轮由西向东航行,开始在A 岛南偏西55°的B 处,往东行驶20海里后,到达该岛的南偏西25°的C 处,之后,货轮继续往东航行,你认为货轮继续向东航行途中会有触礁的危险吗?解析:过A 作BC 的垂线,交BC 于点D.得到Rt △ABD 和Rt △ACD ,从而BD=AD tan55°,CD =ADtan25°,由BD-CD =BC ,又BC =20海里.得ADtan55°-ADtan25°=20.AD(tan55°-tan25°)=20, AD=︒-︒25tan 55tan 20≈20.79(海里). 这样AD ≈20.79海里>10海里,所以货轮没有触礁的危险例2、如图,某货船以20海里/时的速度将一批重要物资由A 处运往正西方向的B 处,经16小时的航行到达,到达后必须立即卸货.此时.接到气象部门通知,一台风中心正以40海里/时的速度由A 向北偏西60°方向移动,距台风中心200海里的圆形区域(包括边界)均受到影响.(1)问:B 处是否会受到台风的影响?请说明理由.(2)为避免受到台风的影响,该船应在多少小时内卸完货物?解析:(1)过点B 作BD ⊥AC.垂足为D.依题意,得∠BAC =30°,在Rt △ABD 中,BD= 21AB=21×20×16=160<200, ∴B 处会受到台风影响.(2)以点B 为圆心,200海里为半径画圆交AC 于E 、F ,由勾股定理可求得DE=120.AD=1603.AE=AD-DE=1603 -120,∴401203160 =3.8(小时). 因此,陔船应在3.8小时内卸完货物.练习:一个人从山底爬到山顶,需先爬40°的山坡300 m ,再爬30°的山坡100 m ,求山高.(结果精确到0.01 m)三、四、 本课小结本节课我们运用三角函数解决了与直角三角形有关的实际问题,提高了我们分析和解决实际问题的能力.五、 作业如图,Rt △ABC 是一防洪堤背水坡的横截面图,斜坡AB 的长为12 m ,它的坡角为45°,为了提高该堤的防洪能力,现将背水坡改造成坡比为1:1.5的斜坡AD ,求DB 的长.(结果保留根号)。
高中数学苏教版必修4三角函数知识点总结一、角的概念和弧度制:(1)在直角坐标系内讨论角:角的顶点在原点,始边在x 轴的正半轴上,角的终边在第几象限,就说过角是第几象限的角。
若角的终边在坐标轴上,就说这个角不属于任何象限,它叫象限界角。
(2)①与α角终边相同的角的集合:},2|{},360|{0Z k k Z k k ∈+=∈+=απββαββ或 ②一些特殊角集合的表示:终边在坐标轴上角的集合: ;终边在一、三象限的平分线上角的集合: ; 终边在二、四象限的平分线上角的集合: ; (3)区间角的表示:①象限角:第一象限角: ;第三象限角: ;第一、三象限角: ;②写出图中所表示的区间角:(4)由α的终边所在的象限,通过 来判断2α所在的象限。
来判断3α所在的象限 ,判断2α所在的象限(5)弧度制:正角的弧度数为正数,负角的弧度数为负数,零角的弧度数为零;任一已知角α的弧度数的绝对值rl =||α,其中l 为以角α作为圆心角时所对圆弧的长,r 为圆的半径。
注意钟表指针所转过的角是负角。
(6)弧长公式: ;半径公式: ;扇形面积公式: ;二、任意角的三角函数:(1)任意角的三角函数定义:以角α的顶点为坐标原点,始边为x 轴正半轴建立直角坐标系,在角α的终边上任取一个异于原点的点),(y x P ,点P 到原点的距离记为r ,则=αsin ;=αcos ;=αtan ;如:角α的终边上一点)3,(a a -,则=+ααsin 2cos 。
注意r>0(2)在图中画出角α的正弦线、余弦线、正切线;比较)2,0(π∈x ,x sin ,x tan ,x 的大小关系: 。
(3)特殊角的三角函数值:三、同角三角函数的关系与诱导公式:(1)同角三角函数的关系作用:已知某角的一个三角函数值,求它的其余各三角函数值。
(2)诱导公式:诱导公式可用概括为:2K π±α,-α,2π±α,π±α,23π±α的三角函数 奇变偶不变,符号看象限 α的三角函数作用:“去负——脱周——化锐”,是对三角函数式进行角变换的基本思路.即利用三角函数的奇偶性将负角的三角函数变为正角的三角函数——去负;利用三角函数的周期性将任意角的三角函数化为角度在区间[0o ,360o )或[0o ,180o )内的三角函数——脱周;利用诱导公式将上述三角函数化为锐角三角函数——化锐.(3)同角三角函数的关系与诱导公式的运用:①已知某角的一个三角函数值,求它的其余各三角函数值。
高中数学第一章三角函数1.2.1 任意角的三角函数(1)课时训练(含解析)苏教版必修4编辑整理:尊敬的读者朋友们:这里是精品文档编辑中心,本文档内容是由我和我的同事精心编辑整理后发布的,发布之前我们对文中内容进行仔细校对,但是难免会有疏漏的地方,但是任然希望(高中数学第一章三角函数1.2.1 任意角的三角函数(1)课时训练(含解析)苏教版必修4)的内容能够给您的工作和学习带来便利。
同时也真诚的希望收到您的建议和反馈,这将是我们进步的源泉,前进的动力。
本文可编辑可修改,如果觉得对您有帮助请收藏以便随时查阅,最后祝您生活愉快业绩进步,以下为高中数学第一章三角函数1.2.1 任意角的三角函数(1)课时训练(含解析)苏教版必修4的全部内容。
1.2。
1 任意角的三角函数(一)课时目标1.借助单位圆理解任意角的三角函数(正弦、余弦、正切)定义.2。
熟记正弦、余弦、正切函数值在各象限的符号.1.任意角三角函数的定义设角α终边上任意一点的坐标为(x,y),它与原点的距离为r,则sin α=________,cos α=________,tan α=________。
2.正弦、余弦、正切函数值在各象限的符号一、填空题1.若角α的终边过点P(5,-12),则sin α+cos α=________.2.点A(x,y)是300°角终边上异于原点的一点,则错误!的值为________.3.若sin α〈0且tan α〉0,则α是第____象限角.4.角α的终边经过点P(-b,4)且cos α=-错误!,则b的值为________.5.已知x为终边不在坐标轴上的角,则函数f(x)=错误!+错误!+错误!的值域是________.6.α是第一象限角,P(x,错误!)为其终边上一点且cos α=错误!x,则x=________。
7.已知α终边经过点(3a-9,a+2),且sin α〉0,cos α≤0,则a的取值范围为________.8.代数式:sin 2cos 3tan 4的符号是________.9.已知点P错误!落在角θ的终边上,且θ∈[0,2π),则θ的值为________.10.若角α的终边与直线y=3x重合且sin α〈0,又P(m,n)是α终边上一点,且OP =错误!,则m-n=________.二、解答题11.确定下列各式的符号:(1)tan 120°·sin 273°;(2)错误!;(3)sin 错误!·cos 错误!·tan 错误!π。
一.常规知识点1.常见三角不等式(1)若(0,)2x π∈,则sin tan x x x <<. (2) 若(0,)2x π∈,则1sin cos 2x x <+≤.(3) |sin ||cos |1x x +≥. 2.同角三角函数的基本关系式22sin cos 1θθ+=,tan θ=θθcos sin . 3.正弦、余弦的诱导公式(奇变偶不变,符号看象限) 212(1)sin ,sin()2(1)s ,n n n co απαα-⎧-⎪+=⎨⎪-⎩ 212(1)s ,s()2(1)sin ,n n co n co απαα+⎧-⎪+=⎨⎪-⎩3.三角函数的周期公式 函数sin()y x ωϕ=+,x ∈R 及函数cos()y x ωϕ=+,x ∈R(A,ω,ϕ为常数,且A ≠0,ω>0)的周期2T πω=;函数tan()y x ωϕ=+,,2x k k Z ππ≠+∈(A,ω,ϕ为常数,且A ≠0,ω>0)的周期T πω=.二.注意点1..在解三角问题时,注意正切函数的定义域2.在三角中,常数 “1”的种种代换有着广泛的应用.(x x 22cos sin 1+= ====⋅=0cos 2sin 4tan cot tan ππx x 这些统称为1的代换)3. 三角化简题的要求:项数最少、函数种类最少、分母不含三角函数、且能求出值的式子,一定要算出值来)4. 在弧度制下弧长公式和扇形面积公式:(lr S r l 21,==扇形α) 5. 三角函数的定义,单位圆中三角函数线的定义sin cos tan ααα===MP OM AT ,, yT A xαB S O M P又如:求函数的定义域和值域。
y x =--⎛⎝ ⎫⎭⎪122cos π (n 为偶数) (n 为奇数)(n 为偶数) (n 为奇数)(∵)122120--⎛⎝ ⎫⎭⎪=-≥cos sin πx x∴,如图:sin x ≤22()∴,25424012k x k k Z y ππππ-≤≤+∈≤≤+6.正弦、余弦、正切函数的图象,及其单调区间、对称点、对称轴的表示:sin cos x x ≤≤11,y xO -π2π2πy t g x=对称点为,,k k Z π20⎛⎝ ⎫⎭⎪∈()y x k k k Z =-+⎡⎣⎢⎤⎦⎥∈sin 的增区间为,2222ππππ()减区间为,22232k k k Z ππππ++⎡⎣⎢⎤⎦⎥∈()()图象的对称点为,,对称轴为k x k k Z πππ02=+∈[]()y x k k k Z =+∈cos 的增区间为,22πππ[]()减区间为,222k k k Z ππππ++∈ ()图象的对称点为,,对称轴为k x k k Z πππ+⎛⎝ ⎫⎭⎪=∈20 y x k k k Z =-+⎛⎝⎫⎭⎪∈tan 的增区间为,ππππ22 ()()[]ϕωϕω+=x A y c o s +x A s i n =y 8.或的图象和性质要熟记。
1.2 任意角的三角函数1.2.1 任意角的三角函数的定义及应用在初中我们已经学了锐角三角函数,知道它们都是以锐角为自变量、边的比值为函数值的三角函数.你能用平面直角坐标系中角的终边上的点的坐标来表示锐角三角函数吗?改变终边上的点的位置,这个比值会改变吗?把角扩充为任意角,结论成立吗?一、任意角的三角函数1.单位圆:在平面直角坐标系中,以原点O 为圆心,以单位长度为半径的圆称为________.2.三角函数的定义:设角α的顶点与原点重合,始边与x 轴非负半轴重合.在平面直角坐标系中,角α终边与单位圆交于一点P (x ,y ),则r =|OP |=1.那么:(1)y 叫做________,记作sin α,即y =sin α; (2)x 叫做________,记作cos α,即x =cos α; (3)y x 叫做________,记作tan α,即y x=tan α(x ≠0).正弦、余弦、正切都是以角为自变量,以单位圆上点的坐标或坐标的比值为函数值的函数,我们把它们统称为________.答案:1.单位圆2.(1)α的正弦 (2)α的余弦 (3)α的正切 三角函数二、三角函数值在各个象限内的符号1.由三角函数的定义,以及各象限内的点的坐标的符号,可以确定三角函数在各象限的符号.sin α=y r,其中r >0,于是sin α的符号与y 的符号相同,即:当α是第________象限角时,sin α>0;当α是第________象限角时,sin α<0.cos α=x r,其中r >0,于是cos α的符号与x 的符号相同,即:当α是第__________象限角时,cos α>0;当α是第________象限角时,cos α<0.tan α=y x,当x 与y 同号时,它们的比值为正,当x 与y 异号时,它们的比值为负,即:当α是第________象限角时,tan α>0;当α是第 ________象限角时,tan α<0.2.根据终边所在位置总结出形象的识记口诀1:“sin α=yr :上正下负横为0;cos α=x r :左负右正纵为0;tan α=y x:交叉正负.” 形象的识记口诀2:“一全正、二正弦、三正切、四余弦.” 答案:1.一、二 三、四 一、四 二、三 一、三 二、四三、诱导公式一由定义可知,三角函数值是由角的终边的位置确定的,因此,终边相同的角的同一三角函数的值________,这样就有下面的一组公式(诱导公式一):sin(2k π+α)=sin α,cos(2k π+α)=cos α,tan(2k π+α)=tan α,k ∈Z. 答案:相等四、三角函数线1.有向线段:有向线段是规定了方向(即起点、终点)的线段,它是________、 ________的.在平面直角坐标系中,和坐标轴同向的有向线段为正,反向的为负.2.正弦线、余弦线、正切线:三角函数线是用来形象地表示三角函数值的有向线段.有向线段的________表示三角函数值的________,有向线段的________表示三角函数值的绝对值的________.三角函数线的作法如下:设角α的终边与单位圆的交点为P ,过点P 作x 轴的垂线,垂足为M ,则有向线段MP ,OM 就分别是角α的正弦线与余弦线,即MP =y =sin α,OM =x =cos α.过点A (1,0)作单位圆的切线,设这条切线与角α的终边(或终边的反向延长线)交于点T ,则有向线段AT 就是角α的正切线,即AT =tan α.3.填写下表中三角函数的定义域、值域:函数定义域值域 y =sin α y =cos α y =tan α答案:1.有长度 有正负 2.方向 正负 长度 大小 3.函 数定 义 域值 域 y =sin α R [-1,1] y =cos α R[-1,1]y =tan α⎩⎨⎧⎭⎬⎫α⎪⎪⎪α≠π2+k π,k ∈ZR任意角的三角函数的定义1.正弦、余弦、正切可分别看成是从一个角的集合到一个比值的集合的映射,它们都是以角为自变量,以比值为函数值的函数.2.三角函数值是比值,是一个实数.这个实数的大小和点P (x ,y )在终边上的位置无关,而是由角α的终边位置所决定.对于确定的角α,其终边的位置也是唯一确定的.因此,三角函数是角的函数.(1)三角函数值只与角α的终边所在的位置有关,与点P 在终边上的位置无关. (2)三角函数值是一个比值,没有单位.三角函数值的符号三角函数值在各象限的符号取决于终边所在的位置,具体说取决于x,y的符号,记忆时结合三角函数定义式记,也可用口诀只记正的“一全正、二正弦、三正切、四余弦”.三角函数线对于三角函数线,须明确以下几点:(1)当角α的终边在y轴上时,余弦线变成一个点,正切线不存在.(2)当角α的终边在x轴上时,正弦线、正切线都变成点.(3)正弦线、余弦线、正切线都是与单位圆有关的有向线段,所以作某角的三角函数线时,一定要先作单位圆.(4)线段有两个端点,在用字母表示正弦线、余弦线、正切线时,要先写起点字母,再写终点字母,不能颠倒;或者说,含原点的线段,以原点为起点,不含原点的线段,以此线段与x轴的公共点为起点.(5)三种有向线段的正负与坐标轴正负方向一致,三种有向线段的长度与三种三角函数值相同.三角函数的定义域1.由三角函数的定义式可以知道,无论角α终边落在哪里,sin α,cos α都有唯一的值与之对应,但对正切则要求α终边不能落在y轴上,否则正切将无意义.2.角和实数建立了一一对应关系,三角函数就可以看成是以实数为自变量的函数,所以就可以借助单位圆,利用终边相同的角的概念求出任意角的三角函数.基础巩固1.sin 810°+tan 765°+tan 1125°+cos 360°=________.答案:42.若α的终边过点P(2sin 30°,-2cos 30°),则sin α的值为________.答案:-3 23.若角α的终边过点P (3cos θ,-4cos θ)(θ为第二象限角),则sin α=________.答案:454.cos θ·tan θ<0,则角θ是________象限角. 答案:第三或第四5.已知点P (tan α,cos α)在第三象限,则角α的终边在第________象限. 答案:二6.角α的正弦线与余弦线长度相等,且符号相同,那么α(0<α<2π)的值为________.答案:π4或54π7.sin 1,sin 1.2,sin 1.5三者的大小关系是________. 答案:sin 1.5>sin 1.2>sin 1能力升级8.函数y =sin x +-cos x 的定义域是________.解析:∵⎩⎪⎨⎪⎧sin x ≥0,-cos x ≥0,∴⎩⎪⎨⎪⎧sin x ≥0,cos x ≤0,即角x 的终边落在第二象限内和两个半轴上.∴2k π+π2≤x ≤2k π+π,k ∈Z.答案:⎣⎢⎡⎦⎥⎤2k π+π2,2k π+π(k ∈Z)9.已知角α的终边在直线y =kx 上,若sin α=-255,cos α<0,则k =________.解析:∵sin α=-255,cos α<0,∴α的终边在第三象限.令角α的终边上一点的坐标为(a ,ka ),a <0,则r =-1+k 2·a ,sin α=-ka 1+k 2a=-255,∴k =2. 答案:210.在(0,2π)内,满足tan 2α=-tan α的α的取值X 围是________. 解析:由tan 2α=-tan α,知tan α≤0,在单位圆中作出角α的正切线,知π2<α≤π或3π2<α<2π. 答案:⎝ ⎛⎦⎥⎤π2,π∪⎝ ⎛⎭⎪⎫3π2,2π11.解不等式2+2cos x ≥0. 解析:2+2cos x ≥0⇔cos x ≥-22,利用单位圆,借助三角函数线(如图)可得出解集是⎣⎢⎡⎦⎥⎤2k π-34π,2k π+34π(k ∈Z).12.若π4<θ<π2,则下列不等式中成立的是( )A .sin θ>cos θ>tan θB .cos θ>tan θ>sin θC .sin θ>tan θ>cos θD .tan θ>sin θ>cos θ解析:作出角θ的三角函数线(如图),数形结合得AT >MP >OM ,即tan θ>sin θ>cosθ.答案:D13.函数y =sin x |sin x |+cos x |cos x |+tan x|tan x |的值域是( C )A .{-1,0,1,3}B .{-1,0,3}C .{-1,3}D .{-1,1}14.若0<α<π2,证明:(1)sin α+cos α>1; (2)sin α<α<tan α.证明:(1)在如图所示单位圆中, ∵0<α<π2,|OP |=1,∴sin α=MP ,cos α=OM . 又在△OPM 中,有 |MP |+|OM |>|OP |=1. ∴sin α+cos α>1.(2)如图所示,连接AP ,设△OAP 的面积为S △OAP ,扇形OAP 的面积为S 扇形OAP ,△OAT 的面积为S △OAT .∵S △OAP <S 扇形OAP <S △OAT , ∴12OA ·MP <12AP ︵·OA <12OA ·AT .∴MP <AP ︵<AT ,即sin α<α<tan α.15.已知f (n )=cosn π5(n ∈Z),求f (1)+f (2)+f (3)+…+f (2 014)的值.解析:角n5π(n =1,2,…,10)表示10个不同终边的角,这10条终边分成五组,每组互为反向延长线.∴f (1)+f (2)+…+f (10)=0,f (11)+f (12)+…+f (20)=0,…f (2 001)+f (2 002)+…+f (2 010)=0.∴f (1)+f (2)+…+f (2 010)=0.∴f (1)+f (2)+…+f (2 014)=f (2 011)+f (2 012)+f (2 013)+f (2 014)=cos π5+cos 2π5+cos 3π5+cos 4π5.由定义知cos π5与cos 4π5,cos 2π5与cos 3π5互为相反数,故f (1)+f (2)+…+f (2 014)=0.。
第4课时 三角函数的趣题—直角三角形教学要求:探索直角三角形在生活中应用,进一步体会三角函数在解决问题过程中的应用。
教学过程:一、 情境引入直角三角形就像一个万花筒,为我们展现出了一个色彩斑澜的世界.我们在欣赏了它神秘的“勾股”、知道了它的边的关系后,接着又为我们展现了在它的世界中的边角关系,它使我们现实生活中不可能实现的问题,都可迎刃而解.它在航海、工程等测量问题中有着广泛应用,例如测旗杆的高度、树的高度、塔高等.二、 例题分析例1、海中有一个小岛A,该岛四周10海里内有暗礁.今有货轮由西向东航行,开始在A岛南偏西55°的B 处,往东行驶20海里后,到达该岛的南偏西25°的C 处,之后,货轮继续往东航行,你认为货轮继续向东航行途中会有触礁的危险吗?解析:过A 作BC 的垂线,交BC 于点D .得到Rt △ABD 和Rt △ACD ,从而BD=A D tan55°,C D=AD tan25°,由BD-CD=BC,又BC=20海里.得AD tan55°-ADtan 25°=20.A D(tan55°-t an25°)=20,AD=︒-︒25tan 55tan 20≈20.79(海里). 这样AD ≈20.79海里>10海里,所以货轮没有触礁的危险例2、如图,某货船以20海里/时的速度将一批重要物资由A 处运往正西方向的B 处,经16小时的航行到达,到达后必须立即卸货.此时.接到气象部门通知,一台风中心正以40海里/时的速度由A 向北偏西60°方向移动,距台风中心200海里的圆形区域(包括边界)均受到影响.(1)问:B 处是否会受到台风的影响?请说明理由.(2)为避免受到台风的影响,该船应在多少小时内卸完货物?解析:(1)过点B 作BD ⊥AC.垂足为D.依题意,得∠BA C=30°,在Rt △AB D中,BD = 21AB=21×20×16=160<200,∴B处会受到台风影响.(2)以点B 为圆心,200海里为半径画圆交AC 于E 、F,由勾股定理可求得DE=120.AD=1603.AE=AD-DE=1603 -120,∴401203160 =3.8(小时). 因此,陔船应在3.8小时内卸完货物.练习:一个人从山底爬到山顶,需先爬40°的山坡300 m,再爬30°的山坡100 m ,求山高.(结果精确到0.01 m)三、 本课小结本节课我们运用三角函数解决了与直角三角形有关的实际问题,提高了我们分析和解决实际问题的能力.四、 作业如图,Rt △ABC 是一防洪堤背水坡的横截面图,斜坡AB 的长为12 m ,它的坡角为45°,为了提高该堤的防洪能力,现将背水坡改造成坡比为1:1.5的斜坡AD,求DB 的长.(结果保留根号)。
典题精讲例1 计算sin33°cos27°+sin57°cos63°.思路解析:题目中都是非特殊角,不能直接计算,可将sin57°化为cos33°,cos63°化为sin27°,再逆用两角和差的正、余弦公式,则迎刃而解.解:原式=sin33°cos27°+cos33°sin27°=sin(33°+27°)=sin60°=23. 或:原式=cos57°cos27°+sin57°sin27°=cos(57°-27°)=cos30°=23. 绿色通道:从整体出发,对局部进行三角变换,出现特殊值是求值常用的方法.变式训练 1(陕西高考,文13) cos43°cos77°+sin43°cos167°的值为__________.思路解析:cos43°cos77°+sin43°cos167°=cos43°cos77°-sin43°sin77°=cos120° =-21. 答案:-21 例2 已知α,β∈(2π-,2π),tanα,tanβ是一元二次方程x 2+33x+4=0的两根,求α+β. 思路解析:由根与系数关系可得tanα+tanβ,tanαtanβ,因此可先求tan(α+β),根据其正切值就可以求得其角度.解:由题意,知tanα+tanβ=33-,tanαtanβ=4,①∴tan(α+β)=3tan tan 1tan tan =-+βαβα. 又∵α,β∈(2π-,2π),且由①知α∈(2π-,0),β∈(2π-,0)∴α+β∈(-π,0).∴α+β=32π-. 黑色陷阱:本题易由α,β∈(2π-,2π),得α+β∈(-π,π),从而得出α+β=32π-或3π,而忽视了隐含条件tanα<0,tanβ<0对α,β范围的限制.变式训练 2(湖北高考,理3) 若△ABC 的内角A 满足sin2A=32,则sinA+cosA 等于( ) A.315 B.315- C.35 D.35- 思路解析:由sin2A =2sinAcosA>0,可知A 为锐角,所以sinA+cosA>0,又(sinA+cosA)2=1+sin2A=35 答案:A例3 已知tanα=71,tanβ=31,0<α<β<2π,则α+2β等于( )A.45πB.4πC.45π或4π D.47π 思路解析:选求α+2β的某一三角函数值,显然选择正切较简单.但得出tan(α+2β)=1,就判断选项为B ,则非明智之举.解:∵tan2β=43tan 1tan 22=-ββ,∴tan(α+2β)=28314371-+=1, ∵tanα=71<1,∴0<α<4π.tan2β=43<1, ∴0<2β<4π,∴0<α+2β<43π.∴α+2β=4π. 答案:B黑色陷阱:若本题只考虑0<α<β<2π,则∴α+2β∈(0,23π),误解为4π或45π,原因是忽视了tanα,tanβ的值对α,β取值范围的进一步限制.变式训练 3(2006福建高考,文4) 已知α∈(2π,π),sinα=53,则tan(α+4π)等于( ) A.71 B.7 C.-71 D.-7 思路解析:由α∈(2π,π),sinα=53, 则tanα=43-,tan(α+4π)=ααtan 1tan 1-+=71. 答案:A例4 (2006浙江高考,理6) 函数y=21sin2x+sinx,x ∈R 的值域是( ) A.[-21,23] B.[23-,21] C.[22-+21,22+21] D.[22--21,22-21] 思路解析:本题考查三角函数的性质,基础题.首先要对所给的函数表达式进行变换,用降幂公式化为Asin(ωx+φ)+B 的形式再解.解:y=21sin2x+sin 2x=21sin2x-21cos2x+21=22sin(2x-4π)+21. 答案:C绿色通道:三角函数的最值一般有两种思路,一是化为Asin(ωx+φ)+B 的形式,二是化为A(sinx-b)2+c 的形式利用二次函数的图象求解.变式训练 4当x ∈[2π-,2π]时,求f(x)=sin 2x+2sinxcosx+3cos 2x 的周期,最大值及此时的x 值.思路解析:首先要对所给的函数表达式进行变换,用降幂公式化为Asin(ωx+φ)+B 的形式再解. 解:f(x)=1+cos2x+1+sin2x=2sin(2x+4π)+2. 周期T=π.当x ∈[2π-,2π]时,2x+4π∈[,45,43ππ-]. sin(2x+4π)∈[-1,1],∴f(x)∈[2-2,2+2]. ∴f(x)max =2+2.由2x+4π=2kπ+2π得x=kπ+8π. 又∵x ∈[2π-,2π],∴x=8π.即当x=8π时,f(x)的最大值为2+2. 问题探究问题1 如图3-1-1,在直角坐标系xOy 中,单位圆O 与x 轴交于P 0,以Ox 为始边分别作出角α,β,α-β,其终边分别和单位圆交于P 1,P 2,P 3,由|30P P |=|12P P |,你能否导出两角差的余弦公式?图3-1-1导思:利用向量将三角公式与几何图形联系起来,向量的“曼妙”让令人生厌的三角公式摇身一变为婀娜多姿的几何图形,起到了化腐朽为神奇的效果!探究:能,由已知条件可知点P 0,P 1,P 2, P 3的坐标分别是P 0(1,0),P 1(cosα,sinα)P 2(cosβ,sinβ),P 3(cos(α-β),sin(α-β)),|30P P |=)(sin ]1)[cos(22βαβα-+--,|12P P |=22)sin (sin )cos (cos βαβα-+-,由|30P P |=|12P P |导出公式:[cos(α-β)-1]2+sin 2(α-β)=(cosα-cosβ)2+(sinα-sinβ)2.展开并整理得2-2cos(α-β)=2-2(cosαcosβ+sinαsinβ).所以cos(α-β)=cosαcosβ+sinαsinβ(C (α+β)).。
江苏省淮安市高中数学第一章三角函数1.4 三角函数的图像与性质(4)课时作业(无答案)苏教版必修4编辑整理:尊敬的读者朋友们:这里是精品文档编辑中心,本文档内容是由我和我的同事精心编辑整理后发布的,发布之前我们对文中内容进行仔细校对,但是难免会有疏漏的地方,但是任然希望(江苏省淮安市高中数学第一章三角函数1.4 三角函数的图像与性质(4)课时作业(无答案)苏教版必修4)的内容能够给您的工作和学习带来便利。
同时也真诚的希望收到您的建议和反馈,这将是我们进步的源泉,前进的动力。
本文可编辑可修改,如果觉得对您有帮助请收藏以便随时查阅,最后祝您生活愉快业绩进步,以下为江苏省淮安市高中数学第一章三角函数1.4 三角函数的图像与性质(4)课时作业(无答案)苏教版必修4的全部内容。
三角函数的图像与性质(4)班级 姓名 成绩 1。
)4tan(x y -=π的定义域为_________________。
2.1sin ,2sin ,3sin ,4sin 的大小为___________________(用“〈”连接).3。
1tan ,2tan ,3tan 的大小为____________ _(用“<”连接). 4.)4cos(2π+=x y 的单调增区间为___________ __。
5.)3tan(π+=x y 的单调增区间为__________ __。
6。
x y tan =(324ππ≤≤x )的值域为_________________。
8。
已知)4tan()(π+=x x f ,则)1(-f ,)0(f ,)1(f 大小关系为______________。
9.求函数)32tan(π+=x y 的定义域、周期和单调区间。
第4课时 三角函数的趣题—
直角三角形
教学要求:探索直角三角形在生活中应用,进一步体会三角函数在解决问题过程中的应用。
教学过程:
一、 情境引入
直角三角形就像一个万花筒,为我们展现出了一个色彩斑澜的世界.我们在欣赏了它神秘的“勾股”、知道了它的边的关系后,接着又为我们展现了在它的世界中的边角关系,它使我们现实生活中不可能实现的问题,都可迎刃而解.它在航海、工程等测量问题中有着广泛应用,例如测旗杆的高度、树的高度、塔高等.
二、 例题分析
例1、海中有一个小岛A ,该岛四周10海里内有暗礁.今有货轮由西向东航行,开始在A 岛南偏西55°的B 处,往东行驶20海里后,到达该岛的南偏西25°的C 处,之后,货轮继续往东航行,你认为货轮继续向东航行途中会有触礁的危险吗?
解析:过A 作BC 的垂线,交BC 于点D.得到Rt △ABD 和Rt △ACD ,从而BD=AD
tan55°,CD =ADtan25°,由BD-CD =BC ,又BC =20海里.得
ADtan55°-ADtan25°=20.
AD(tan55°-tan25°)=20,
AD=︒
-︒25tan 55tan 20≈20.79(海里). 这样AD ≈20.79海里>10海里,所以货轮没有触礁的危险
例2、如图,某货船以20海里/时的速度将一批重要物资由A 处运往正西方向的B 处,经16小时的航行到达,到达后必须立即卸货.此时.接到气象部门通知,一台风中心正以40海里/时的速度由A 向北偏西60°方向移动,距台风中心200海里的圆形区域(包括边界)均受到影响.
(1)问:B 处是否会受到台风的影响?请说明理由.
(2)为避免受到台风的影响,该船应在多少小时内卸完货物?
解析:(1)过点B 作BD ⊥AC.垂足为D.
依题意,得∠BAC =30°,在Rt △ABD 中,BD= 21AB=2
1×20×16=160<200, ∴B 处会受到台风影响.
(2)以点B 为圆心,200海里为半径画圆交AC 于E 、F ,由勾股定理可求得DE=120. AD=1603.
AE=AD-DE=1603 -120,
∴40
1203160 =3.8(小时). 因此,陔船应在3.8小时内卸完货物.
练习:一个人从山底爬到山顶,需先爬40°的山坡300 m ,再爬30°的山坡100 m ,求山高.(结果精确到0.01 m)
三、 本课小结
本节课我们运用三角函数解决了与直角三角形有关的实际问题,提高了我们分析和 解决实际问题的能力.
四、 作业
如图,Rt △ABC 是一防洪堤背水坡的横截面图,斜坡AB 的长为12 m ,它的坡角为45°,为了提高该堤的防洪能力,现将背水坡改造成坡比为1:1.5的斜坡AD ,求DB 的长.(结果保留根号)。