无穷级数单元测试题答案知识分享
- 格式:doc
- 大小:378.50 KB
- 文档页数:7
无穷级数习题课1.判别级数的敛散性:(1)(2)(3)(4)(5)()211ln1nn n¥=+å()41tan1nn p¥=+å363663666-+-++×××+-++×××++×××21sinlnnnnp¥=æö+ç÷èøå()211lnnnn n¥=--å解:(1)为正项级数,当时, ,根据比较审敛准则,与有相同敛散性,根据积分审敛准则,与反常积分有相同敛散性, 而发散,故发散.()211ln 1n n n ¥=+ån ®¥()2111~2ln ln 1n u n n n n =+()211ln 1n n n ¥=+å21ln n n n ¥=å21ln n n n¥=å21ln dx x x +¥ò21ln dx x x +¥ò()211ln 1n n n ¥=+å(2)为正项级数,当时,,而收敛,根据比较审敛准则,收敛.()41tan 1n n p¥=+ån ®¥()422421tan1tan~21n u n n n n npp p =+-=++211n n ¥=å()41tan1n n p¥=+å(3)为正项级数, 令,其中,易证单调递增且,故收敛;令,由,两边取极限得,,(舍去);,,根据达朗贝尔比值审敛法,该级数收敛.363663666-+-++×××+-++×××++×××3n n u a =-666n a =++×××+{}n a 3n a <{}n a lim n n a a ®¥=16n n a a -=+6a a =+Þ260a a --=3a =2a =-111113311333n n n n n n n a a u u a a a +++++-+=×=-++1111lim lim 136n n n nn u u a +®¥®¥+==<+(4)看成交错级数,单调递减趋于0,根据Leibniz 定理,该级数收敛; 其绝对值级数发散(这是因为当时,,而且),故级数条件收敛. ()2211sin 1sin ln ln n n n n n n p ¥¥==æö+=-ç÷èøåå1sin ln n ìüíýîþ21sin ln n n ¥=ån ®¥11sin ~ln ln n n 1lim ln n n n®¥×=+¥(5)为交错级数,其绝对值级数为,当时,, 所以,该级数绝对收敛.()211ln nn n n¥=--å211ln n n n ¥=-ån ®¥2211~ln n n n-2. 设,且,证明级数条件收敛. ()01,2,n u n ¹= lim 1n nn u ®¥=()111111n n n n u u ¥-=+æö-+ç÷èøå证明:设级数的部分和为,则 ,因为,所以,于是 ,即级数收敛;其绝对值级数为,因为, 所以级数发散,故原级数条件收敛.()111111n n n n u u ¥-=+æö-+ç÷èøån s ()()211223111111111111n n n n n n n s u u u u u u u u ---+æöæöæöæö=+-+++-++-+ç÷ç÷ç÷ç÷èøèøèøèø()111111n n u u -+=+-lim1n nn u ®¥=()()1111111lim 1lim 101n n n n n n n u u n --®¥®¥+++-=-×=+()1111111lim lim 1n n n n n s u u u -®¥®¥+éù=+-=êúëû()111111n n n n u u ¥-=+æö-+ç÷èøå1111n n n u u ¥=++å11111lim lim 21n n n n n n n n nn u u u u n ®¥®¥+++×+=+×=+1111n n n u u ¥=++å3. 填空(1) _____(2) 设幂级数在处收敛, 则级数__收敛__.(收敛还是发散)(3) 设幂级数在处条件收敛,则幂级数在处( 绝对收敛 ),在处( 发散 ); (4)设,, ,则________;________.11(1)2n n n -¥=-=å130(1)nn n a x ¥=-å12x =-0(1)n n n a ¥=-å1()nn x a n ¥=-å2x =-1()2nn n x a ¥=+åln 2x =-x p =11,02()1,12x f x x x ì£<ïï=íï ££ïî1()sin nn s x bn xp ¥==å102()sin n b f x n xdx p =ò3()2s =34-5()2s =344. 求幂级数的收敛域2112sin 22nn x n x ¥=+æöæöç÷ç÷-èøèøå 解:令,原级数变为变量t的幂级数.因为,所以收敛半径.又时级数发散,时级数收敛, 故收敛域为;再由,解得, 原函数项级数的收敛域为.122xt x +=-21sin 2n n t n ¥=æöç÷èøå ()11sin21limlim 11sin2n n n nn a a n+®¥®¥+==1R =1t=21sin 2n n ¥=å1t=-()211sin 2nn n ¥=-å21sin 2n n t n ¥=æöç÷èøå [)1,1-12112x x +-££-133x -£<2112sin 22nn x n x ¥=+æöæöç÷ç÷-èøèøå 13,3éö-÷êëø5.求下列级数的和函数(1) (2)221212n n n n x ¥-=-å()()()201123!nn n n x n ¥=-++å解:(1).令,,所以收敛半径. 当时,级数发散,所以幂级数的收敛域为.设级数的和函数为,对幂级数逐项积分得,, 对上式两边求导得, .221212n n n n x ¥-=-å212n n n a -=11lim 2n n n a a +®¥=1212R ==2x =±()2,2D =-()s x ()212200112122n xx n n n n n n x s x dx x dx -¥¥-==-==ååòò222212xx x x ==--()2,2x Î-()()2222222x x s x x x ¢+æö==ç÷-èø-()2,2x Î-(2). 易求该幂级数的收敛域为;设级数的和函数为,,, 两边取积分,逐项求积分得, ()()()201123!nnn n x n ¥=-++å(),-¥+¥()s x ()()()()201123!nn n n s x xn ¥=-+=+å()()()()2101123!nn n n xs x x n ¥+=-+=+å()()()()()()21220000111123!223!nnxx n n n n n xs x dx x dx x n n ¥¥++==-+-==++ååòò当时,,求导得 , 当时,由所给级数知.因此. 0x ¹()()()()230111sin 223!2nxn n xs x dx x x x x n x¥+=-==-+åò()2sin 1sin cos 22x x x x xxs x x x ¢--æö==ç÷èø()3sin cos 2x x x s x x -=0x =()106s =()3sin cos ,021,06x x xx xs x x -ì¹ïï=íï=ïî6.求级数的和.()22112n n n ¥=-å解:考虑幂级数,收敛区间,设和函数为, 则当且时,,. ()2211nn x n ¥=-å()1,1-()s x 11x -<<0x ¹()()222211121211nnnn n n x x s x x n n n ¥¥¥=====--+-ååå112212121n n n n x x x n x n -+¥¥===--+åå11220121212n n n n x x x x x n x n -+¥¥==æö=---ç÷-+èøåå()11ln 12224x x x x æö=--++ç÷èø()2211311153ln ln 2242288412nn s n ¥=æö==++=-ç÷-èøå()()211ln 1ln 1222x x x x x x éù=-------êúëû7.设,试将展开成的幂级数.()111ln arctan 412x f x x x x +=+--()f x x 解:,取0到x 的定积分,幂级数逐项求积分, .()241111111114141211f x x x x x¢=++-=-+-+-44011n n n n x x ¥¥===-=åå()11x -<<()()()4410111041xx nn n n f x f f x dx x dx x n ¥¥+==¢=+==+ååòò1x <8.设在上收敛,试证:当时,级数必定收敛. ()0nn n f x a x ¥==å[]0,1010a a ==11n f n ¥=æöç÷èøå证明: 由已知在上收敛,所以,从而有界. 即存在,使得 ,所以,;级数收敛,根据比较审敛准则,级数绝对收敛.()0n n n f x a x ¥==å[]0,1lim 0n n a ®¥={}n a 0M>n a M£()1,2,n = 0123232323111111f a a a a a a n n n n n n æö=++++=++ç÷èø()2231111111n M M M n n n n næö£++==ç÷-èø- ()2n ³()211n n n ¥=-å11n f n ¥=æöç÷èøå9.已知为周期是的周期函数,(1)展开为傅立叶级数; (2)证明;(3)求积分的值.[)2(),0,2f x x x p =Î2p ()f x ()1221112n n np -¥=-=å()10ln 1x dx x +ò解:(1)在处间断,其它点处都连续.所以由Dirichlet 收敛定理,时,级数收敛于,所以当时,有,亦即:.()f x ()20,1,2,x k k p ==±± ()()22220011183a f x dx f x dx x dx pppp pp pp-====òòò222022014cos ,14sin ,1,2,n n a x nxdx n b x nxdx n npp p p p ====-=òò ()()221414cos sin 20,1,2,3n f x nx nx x k k nn p p p ¥=æö=+-¹=±±ç÷èøå ()22214114cos sin ,0,23n x nx nx x nn p p p ¥=æö=+-Îç÷èøå()20,1,2,x k k p ==±± ()()2002022f f p p ++-=()20,1,2,x k k p ==±± 222141423n np p ¥=+=å22116n n p ¥==å(2)是连续点,所以即:;x p =()f x 2221414cos ,3n n np p p ¥==+å()221112nn n p¥=-=-å()1221112n n n p-¥=-Þ=å(3)积分是正常积分,不是瑕点, 对,令,.()10ln 1x dx x +ò0x=()1,1t "Î-()()()()111112000111ln 1111n n n tt tn n nn n n x dx x dx x dx tx n nn---¥¥¥--===+---===åååòòò1t -®()10ln 1x dx x +ò()01ln 1lim t t x dx x -®+=ò()12111lim n n t n t n --¥®=-=å()12111lim n n t n t n --¥®=-=å()1221112n n np -¥=-==å10.证明下列展开式在上成立:(1);(2).并证明. []0,p ()221cos 26n nxx x n pp ¥=-=-å()()()31sin 21821n n xx x n p p¥=--=-å()()133113221n n n p -¥=-=-å证明:将函数展开为余弦级数和正弦级数.(1) 对作偶延拓,再作周期延拓,得到的周期函数处处连续,根据Dirichlet 定理,时,的余弦级数处处收敛于.,()()f x x x p =-[]0,x p Î()f x []0,x p Î()f x ()f x ()()0022a f x dx x x dx ppp p p==-òò23202233x x pp p p æö=-=ç÷èø, ,所以在上,.()()022cos cos n a f x nxdx x x nxdx ppp p p==-òò()()()()200022sin 2sin 2cos x x nx x nxdx x d nx n n pppp p p ppéù=---=-êúëûòò()2211nn éù=--+ëû()()202112cos 11cos 26n n n n a f x a nx nx n p ¥¥==éù=+=--+ëûåå221cos 26n nxnp ¥==-å[]0,x p Î[]0,p ()221cos 26n nxx x n p p ¥=-=-å(2)对作奇延拓,再作周期延拓,得到的周期函数处处连续,根据Dirichlet 定理,时,的正弦级数处处收敛于. , ()f x []0,x p Î()f x ()f x ()()0022sin sin n b f x nxdx x x nxdx p pp p p ==-òò()()()()200022cos 2cos 2sin x x nx x nxdx x d nx n n p p p p p p p p éù=----=-êúëûòò()3411n n p éù=--ëû, 所以在上,. 令,有. ()()3114sin 11sin n n n n f x b nx nx n p ¥¥==éù==--ëûåå()()31sin 21821n n x n p ¥=-=-å[]0,x p Î[]0,p ()()()31sin 21821n n xx x n p p ¥=--=-å2x p =()()23181sin 214221n n n p p p ¥==--åÞ()()133113221n n n p -¥=-=-å。
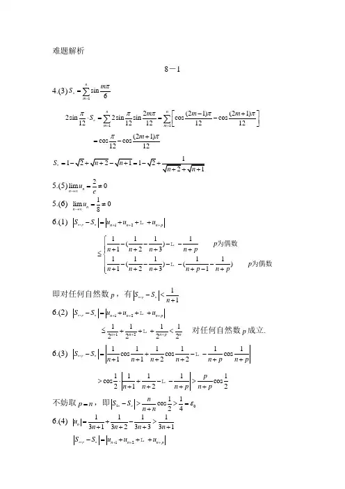
难题解析8-14.(3)1sin6nnm m S π==∑ 112(21)(21)2sin 2sin sin cos cos 1212121212n nnm m m m m S πππππ==-+⎡⎤⋅==-⎢⎥⎣⎦∑∑ (21)coscos1212m ππ+=-11n S =5.(5)2lim 0n n u e→∞=≠ 5.(6) 1lim 08n n u →∞=≠ 6.(1) 12n pnn n n p S S u u u ++++-=+++1111()12311111()()1231p n n n n p p n n n n p n p ⎧----⎪++++⎪≤⎨⎪-----⎪++++-+⎩为偶数为偶数即对任何自然数p ,有11n pnS S n +-<+ 6.(2) 12n pnn n n p S S u u u ++++-=+++1211112222n n n p n+++≤+++< 对任何自然数p 成立. 6.(3) 111111cos cos cos1122n pnS S n n n n n p n p +-=+--++++++ 11111cos cos 2122p n n n p n p >⋅+-->++++ 不妨取p n =,即2011cos 24nnn S S n n ε->>=+ 6.(4) 111131323331n u n n n n =+->++++ 12n p n n n n p S S u u u ++++-=+++1113437331331pn n n p n p >+++>++++++ 不妨取p n =,即01617nn p n S S n ε+->>=+ 8-2(A)1.(3)lim 1n n n→∞→∞== 4.(5) 22332321()1lim lim()111n n n n n n n n →∞→∞+++==+ 4.(6)2cos 3022n n n n n n a π<≤=,112n n →∞==<4.(8) 21lim11n n n n a a +→∞→∞==< 8-2(B)1.(1) 13lim12n n n a a +→∞=>1.(2) 119n =<1.(3) lim n n n b ba a→∞==, 当b a >时,级数发散; b a <时,级数收敛; b a =时,不能确定.1.(5)当1a >时,11()1nnn u a a =<+,级数收敛; 1a =时,1lim 02n n u →∞=≠,级数发散; 01a <<时,lim 10n n u →∞=≠,级数发散.1.(6) lim 1n n naa n →∞==+ 当1a >时,级数发散01a <<时,级数收敛;1a =时,11lim 011nn n u e n →∞⎛⎫ ⎪==≠ ⎪ ⎪+⎝⎭,级数发散. 1.(7) 1limlim 1(1)n n n n n u a au en+→∞→∞==+ 当a e >时,级数发散0a e <<时,级数收敛;a e =时,因为数列1(1)n n ⎧⎫+⎨⎬⎩⎭单调上升,所以1(1)n e n ⎧⎫⎪⎪⎨⎬⎪⎪+⎩⎭单调下降, 即1n n u u +>,级数发散. 1.(8)22110()(23)q qn n n=++ 当12q >时,级数收敛,12q ≤时,级数发散。
无穷级数习题答案无穷级数是数学中一个非常重要的概念,它在数学分析、物理学、工程学等领域都有广泛的应用。
无穷级数的求和问题一直是学生们在学习过程中面临的难题。
在这篇文章中,我将给出一些常见无穷级数习题的答案,并尝试解释其中的一些思路和技巧。
首先,让我们来看一个经典的无穷级数:1 + 1/2 + 1/4 + 1/8 + ... 这个级数被称为几何级数,它的通项为1/2的n次方。
我们的目标是求出这个级数的和。
要解决这个问题,我们可以使用一个重要的公式,即几何级数的求和公式。
根据这个公式,当公比小于1时,几何级数的和等于首项除以(1减公比)。
在这个例子中,首项是1,公比是1/2,因此这个级数的和等于1除以(1减1/2),即2。
所以,这个级数的和是2。
接下来,让我们考虑另一个无穷级数:1 + 1/3 + 1/5 + 1/7 + ... 这个级数的通项是1除以(2n-1)。
我们的目标是求出这个级数的和。
这个级数是一个调和级数的变形。
调和级数是指形如1 + 1/2 + 1/3 + 1/4 + ...的级数。
调和级数是发散的,也就是说它的和是无穷大。
但是,当我们去掉其中的偶数项时,级数的和会发生变化。
要解决这个问题,我们可以使用一个技巧,即将级数中的每一项乘以一个适当的因子。
在这个例子中,我们将每一项乘以2,得到2/1 + 2/3 + 2/5 + 2/7 + ... 这个级数的和等于2乘以(1 + 1/3 + 1/5 + 1/7 + ...)。
这个级数是一个调和级数,它的和是无穷大。
因此,原始级数的和也是无穷大。
除了几何级数和调和级数,还有许多其他类型的无穷级数。
其中一个常见的类型是幂级数,形如a0 + a1x + a2x^2 + a3x^3 + ...的级数。
幂级数在微积分中有广泛的应用。
让我们考虑一个幂级数的例子:1 + x + x^2 + x^3 + ... 这个级数的通项是x的n次方。
我们的目标是找到这个级数的和。
第十一章 无穷级数测试题一、单项选择题一、单项选择题 1、若幂级数1(1)nn n a x ¥=+å在1x =处收敛,则该幂级数在52x =-处必然( ) (A) 绝对收敛; (B) 条件收敛; (C) 发散;(D) 收敛性不定.2、下列级数条件收敛的是(). (A) 1(1);210nn nn ¥=-+å (B) 131(1);n n n-¥=-å(C) 111(1)();2nn n ¥-=-å(D) 113(1).n n n¥-=-å3、若数项级数1nn a¥=å收敛于S ,则级数()121nn n n aa a ¥++=++=å() (A) 1;S a + (B) 2;S a + (C) 12;S a a +-(D) 21.S a a +- 4、设a 为正常数,则级数21sin 3n na n n ¥=éù-êúëûå( ). (A) 绝对收敛; (B) 条件收敛; (C) 发散; (D) 收敛性与a 有关. 5、设2(),01f x x x =<≤,而1()sin π,n n S x b n x x ¥==-¥<<+¥å,其中102()sin π,(1,2,)n b f x n x n ==ò,则1()2S -等于() (A) 1;2- (B) 1;4- (C) 1;4(D) 12.二、填空题二、填空题 1、 设14nn u¥==å,则111()22n n n u ¥=-=å() 2、 设()111n n n a x ¥+=-å的收敛域为[)2,4-,则级数()11nn n na x ¥=+å的收敛区间为() 3、 设32,10(),01x f x x x -<ì=í<î≤≤,则以2为周期的傅里叶级数在1x =处收敛于( ) 4、 设2()π,ππf x x x x =+-<<的傅里叶级数为()01cos sin ,2n n n a a nx b nx ¥=++å则3b =()5、级数()1(1)221!n n n n ¥=-+å的和为( ) 三、计算与应用题三、计算与应用题 1、求级数()113;3nnn x n ¥=-×å的收敛域的收敛域2、求()21112n n n ¥=-×å的和的和 3、将函数()2()ln 12f x x x =--展开为x 的幂级数,并求()(1)0n f +4、求2012!nn n n x n ¥=+å的和函数的和函数 5、 已知()n f x 满足1()()e n x n n f x f x x -¢=+,n 为正整数,且e (1)nf n=,求函数项级数()1n n f x ¥=å的和函数.6、 设有方程10nx nx +-=,其n 中为正整数,证明此方程存在唯一正根0x ,并证明当1a >时,级数1n n x a¥=å收敛. 四、证明题四、证明题设π4tan d nn a x x =ò(1) 求()211n n n a a n ¥+=+å (2) 试证:对任意常数0l >,级数1n n a nl¥=å收敛收敛提示:()()2111n n a a n n n ++=+,()2111n n n a a n¥+=+=å.因为211n na an ++=+,所以111n a n n <<+,1111nn n a n n l l ¥¥+==<åå第十一章 无穷级数测试题答案与提示一、1、A ;2、D ;3、B ;4、C ;5、B. 二、二、1、1;2、()4,2-;3、32;4、2π3;5、cos1sin1-. 三、三、1、答案:[)0,6.2、答案:53ln 284-提示:原式为级数()211n n x n¥=-å的和函数在12x =点的值. 而()22221121211nn nn n n x x xn n n ¥¥¥====--+-ååå,分别求出2121n n x n ¥=-å和2121n n x n ¥=+å的和函数即可.3、答案:11(1)211(),,122n n n n f x xx n +¥+=--éö=Î-÷ê+ëøå()1(1)(1)20!1n nn f nn ++--=×+. 提示:()()()2()ln 12ln 12ln 1f x x xx x =--=-++4、答案:222011e 1,2!42x n n n n x x x x n ¥=æö+=++--¥<<+¥ç÷èøå 提示:()2011112!1!2!2n nn n n n n n nx x x n n n ¥¥¥===+æöæö=+ç÷ç÷-èøèøååå, 而()1011e ,e 1!!xn x n nn x x x n n ¥¥====-åå5、答案:()()[)1e ln 1,1,1xn n f x x x ¥==--Î-å提示:先解一阶线性微分方程,求出特解为()e xn x f x n=()111e e x xn n n n x x f x n n ¥¥¥=====ååå,记1()n x S x n¥==å,则可得()ln(1)S x x =--6、提示:设()1n n f x x nx =+-,则()()0,0n f x x ¢>>,故()n f x 在()0,+¥内最多有一个正根.而(0)10,(1)0nn f f n =-<=>,所以有唯一正根0x .由方程10n x nx +-=知,110nx x nn-<=<,故当1a > 时,级数1nn x a ¥=å收敛.四、提示:()()2111n n a a nn n ++=+,()2111n n n a a n¥+=+=å.因为211n n a a n ++=+,所以111n a n n <<+,1111nn n a n nl l ¥¥+==<åå第十章 曲线积分与曲面积分测试题一、单项选择题一、单项选择题1、已知()()2d d x ay x y y x y +++为某二元函数的全微分,则a 等于( ) (A) 1;- (B) 0; (C) 1;(D) 2. 2、设闭曲线c 为1x y +=的正向,则曲线积分d d cy x x yx y-++ò的值等于() (A) 0; (B) 2; (C) 4; (D) 6. 3、设S 为封闭柱面()22203x y az +=≤≤,其向外的单位法向量为{}c o s ,c o s,c o s n a b g =,则()cos cos cos d x y z s a b g S++òò等于( ) (A) 29π;a (B) 26π;;a (C) 23π;a(D) 0. 4、设曲线c 为22220x y z a x y z ì++=í++=î,则d c x s ò等于( ) (A) 23;a (B) 0; (C) 2;a(D) 213a . 5、设S 为下半球222z a x y =---的上侧,W 是由S 和0z =所围成的空间闭区域,则d d z x y åòò不等于()(A) d ;v W -òòò(B) 2π220d d aa r r r q -òò;(C) 2π22d d ;aa r r r q--òò(D) ()d d z x y x y å++òò.二、填空题二、填空题1、设c 是圆周222x y a +=,则()2d cx y s -=ò() 2、设质点在力()()32F y x i y x j =++-的作用下沿椭圆2244x y +=的逆时针方向运动一周,则F 所做的功等于() 3、设S 是平面6x y z ++=被圆柱面221x y +=所截下的部分,则d z s åòò等于() 4、设S 是球面2221x y z ++=的外侧,则()23222d d xy z xy zS++òò等于() 5、设22()d ()d 1cxf x y x f x yx -++ò与路径无关,其中()f x ¢连续且(0)0f =,则()f x =( ) 三、计算与应用题三、计算与应用题 1、求()()xysin d cos d LI e y b x y x e y ax y éù=-++-ëûò,其中,a b 为正常数,L 为从点()2,0A a 沿曲线22y ax x =-到点()0,0O 的弧.2、计算2d LI y s =ò,其中L 为圆周22220x y z a x y z ì++=í++=î.3、在变力F y z i z x j x y =++的作用下,质点由原点沿直线运动到椭球面2222221x y z a bc++=上第一卦挂线的点(),,M x h z ,问,,x h z 取何值时,力F 所做的功W 最大?并求出W 最大值.4、设S 为椭球面222122x y z ++=的上半部分,点(),,P x y z S Î,π为S 在点P 处的切平面,(),,x y z r 为点()0,0,0O 到平面π的距离,求()d ,,Sz s x y z r òò.5、求d d 2d d 3d d I xz y z zy z x xy x y S=++òò,其中S 为曲面()221014y z xx =--≤≤的上侧.6、设对于半空间0x >内任意光滑有向闭曲面S ,都有,,都有,2()d d ()d d e d d 0x Sxf x y z xyf x z x z x y --=òò,其中函数()f x 在()0,+¥内具有连续的一阶导数,且0lim ()1x f x +®=,求()f x . 答案:()e ()e 1xxf x x=-提示:由题设和高斯公式得提示:由题设和高斯公式得220()d d ()d d e d d ()()()e d xxSxf x y z xyf x z x z x y xf x f x xf x v W¢éù=--=±+--ëûòòòòò由S 的任意性,知2()()()e 0xxf x f x xf x ¢+--=,解此微分方程即可.四、证明题四、证明题 已知平面区域(){},0π,0πD x y x x =≤≤≤≤,L 为D 的正向边界,试证:的正向边界,试证:(1)sin sin sin sine d e d e d e d y x y xLLx y y x x y y x ---=-òò;(2)2sin sin 5πe d e d 2y x Lx y y x --ò≤第十章 曲线积分与曲面积分测试题答案与提示一、一、1、D ;2、C ;3、A ;4、B ;5、B. 二、二、1、3πa -;2、4π-;3、63π;4、4π3;5、211x +.三、三、1、答案:23ππ222I a b a æö=+-ç÷èø. 提示:添加从()0,0O 沿0y =到点()2,0A a 的有向直线段1L ,然后用格林公式. 2、答案:32π3I a =. 提示:利用变量“对等性”22231d d d d 3L L L LI y s x s z s a s ====òòòò.3、答案:,,333a b c x h z ===m a x 39W a b c =.提示:直线段:,,OM x t y t z t x h z ===,t 从0变到1,功W 为120d d d 3dOM W yz x zx y xy z t t xhz xhz =++==òò 再求W xhz =在条件2222221x y z a b c++=下的最大值即可.4、答案:、答案:()3d π,,2Szs x y z r =òò.提示:曲面S 在点(),,P x y z 处的法向量为{},,2x y z ,切平面方程为:022xyX Y zZ ++=, 点()0,0,0O 到平面π的距离()12222,,44x yx y z zr -æö=++ç÷èø.5、答案:d d 2d d 3d d πI xz y z zy z x xy x y S=++=òò.提示:添加曲面1S 为平面xoy 上被椭圆()221014y x x +=≤≤所围的下侧,在S 和1S 所围封闭曲面上用高斯公式. 注意到在1d d 2d d 3d d I xz y z zy z x xy x y S =++òò的积分等于3d d Dxy x y òò为0.6、提示:、提示:(1) 左边=()ππsinsinsin sin 0π0πed πed πe +e d yxx xy x x ---=òòò,同理,,同理,右边=()πsin sin 0πe+e d xx xx -ò(2) 由(1)得s i n s i n ed ed yxLx y y x --ò=()πsin sin 0πe+ed x xx -ò,而由sin ex 和sin ex-泰勒展开式知道式知道()π20π2sin d x x +ò≤()πsin sin 0πe +e d x x x -ò,而()π2205π2sin d π2x x +=ò.第九章 重积分测试题一、选择题一、选择题1、若区域D 是xoy 平面上以(1,1),(1,1)-和(1,1)--为顶点的三角形区域,1D 是D 在第一象限中的部分,则(cos sin )Dxy x y dxdy +=òò(). (A) 12cos sin D x ydxdy òò;(B) 2cos sin Dx ydxdy òò(C) 14(cos sin )D xy x y dxdy +òò(D) 0 2、设(,)f x y 连续,且(,)(,)d d Df x y xy f x y x y =+òò,其中D 是xoy 平面上由20,y y x ==和1x =所围区域,则(,)f x y 等于().(A) xy ;(B) 2xy ; (C) 1xy + ; (D) 18xy +3、设2222222123cos d d ,cos()d d ,cos()d d ,DDDI x y x y I x y x y I x y x y =+=+=+òòòòòò其中(){}22,1D x y xy =≤+,则(). (A) 321I I I >>;(B) 123I I I >>; (C) 213I I I >> ; (D) 312I I I >> 4、设空间闭区域W 由2221x y z ++≤及z 0≤确定,1W 为W 在第一挂限的部分,则( ). (A) 1d 4d x v x v WW =òòòòòò; (B)1d 4d y v y v WW =òòòòòò;(C)1d 4d z v z v WW =òòòòòò; (D) 1d 4d xyz v xyz v WW =òòòòòò5、设空间闭区域(){}2222,,2z x y zx y x yW =-≤≤+-,d I z v W=òòò,则下列将I化为累次积分中不正确的是( ). (A) 222π120d d d r r I r r z z q -=òòò; (B) π2π224000d d cos sin d I q j r j r j r =×òòò; (C) 12221πd π(2)d I z z z z z =+-òò;(D) 22222112004d d d y x y x yI x y z z --++=òòò二、填空题二、填空题1、设区域D 为222x y R +≤,则2222d d D x y I x y a b æö=+ç÷èøòò的值等于() 2、设(){}22,1D x y xy=≤+,则2221lim ln(1)d d πx y r Dex y x yr-®++òò的值等于() 3、积分222d e d yx I x y -=òò的值等于() 4、积分2222222()d x y z R I f x y z v ++=++òòò≤可化为定积分0()d Rx x j ò,则()x j 等于() 5、积分22221()d x y z I ax by v ++=+òòò≤的值等于() 三、计算与应用题三、计算与应用题 1、求()22d d DI x y y x y =++òò,其中D 是由圆224x y +=和22(1)1x y ++=所围的平面区域.2、求{}22max,ed d x y DI x y =òò,其中(){},1,1D x y x y =≤≤≤≤00.3、计算22()d I x y z v W =++òòò,其中W 由曲线220y zx ì=í=î绕z 轴旋转一周而成的旋转曲面与平面4z =所围的立体.4、计算()d I x z v W=+òòò,W 由22x y z +=及224x y z --=确定.5、计算112111224d e d d e d yyyyx x y I y x y x =+òòòò.6、设有一高度为()h t (t 为时间)的雪堆在融化过程中,其侧面满足方程222()()()x y z h t h t +=-(设长度单位为厘米,时间单位为小时),已知体积减少的速率与侧面积成正比(比例系数为0.9),问高度为130cm 的雪堆全部融化需多少小时?的雪堆全部融化需多少小时?四、证明题四、证明题设函数()f x 在[]0,1上连续,并设1()d f x x A =ò,证明11201d ()()d 2xI x f x f y y A ==òò.第九章 重积分测试题答案与提示一、一、1、A ;2、D ;3、A ;4、C ;5、B. 二、二、1、22222πR 4x y a b æö+ç÷èø;2、1;3、()411e 2--;4、224π()x f x ;5、()224π+15a b . 三、三、 1、答案:()163π-29I =.提示:将D 看成两个圆域的差,再考虑到奇偶对称性,利用极坐标计算便可. 2、答案:e 1I =-提示:为确定{}22max ,x y ,必须将D 分成两个区域,再考虑到积分次序的选取问题即可. 3、答案:256π3I =提示:旋转曲面的方程为222x y z +=,用柱面坐标计算22π2242002d d ()d r I r r r z z q =+òòò即可.4、答案:π8I =. 提示:d 0x v W=òòò,ππ122400d 4d d cos sin d z v q j r j r j r W=×òòòòòò.5、答案:3e e 82I =-. 提示:交换积分次序. 6、答案:100t =小时小时提示:先利用三重积分求出雪堆的体积222()31()()2πd d d ()4h t x y h t h t zV zx y h t éù+-ëû==òòò≤; 再求出雪堆的侧面积2222221()21313ππ1d d ()12xy x y h t S z z x y h t +=++=òò≤;由题意d 0.9d V S t=-,所以d ()13d 10h t t =-,解出()h t 并令其等于0,则可得结果.四、提示:交换积分次序,四、提示:交换积分次序,并利用11111d ()()d d ()()d d ()()d 2yxy f x f y x x f x f y y xf x f y y ==òòòòòò.第八章 多元函数微分法及应用测试题一、选择题一、选择题1、已知函数()f x 在[]1,1-上连续,那么sin cos ()x y f t dt x ¶=¶ò(). (A)(sin )(cos )f x f y - (B)(sin )cos (cos )sin f x x f y y - (C) (sin )cos f x x ; (D) (cos )sin f y y2、在矩形域00:,D x x y y d d -<-<内,(,)(,)0x y f x y f x y =º是(,)f x y c º(常数)的(的(). (A) 充要条件;充要条件; (B)充分条件;充分条件; (C) 必要条件; (D).既非充分又非必要条件既非充分又非必要条件 3、若函数(,)f x y 在区域D 内的二阶偏导数都存在,则(内的二阶偏导数都存在,则() (A ) (,)(,)xy yx f x y f x y =在D 内成立;内成立; (B )(,),(,)x yf x y f x y 在D 内连续; (C ) (,)f x y 在D 内可微分;内可微分; (D )以上结论都不对)以上结论都不对 4、42002lim 3x y xyx y ®®+的值为( ) (A)¥ ; (B) 不存在;不存在; (C) 23;(D) 0. 5、设有三元函数ln e 1xzxy z y -+=,据隐函数存在定理,存在点()0,1,1的一个邻域,在此邻域内该方程(). (A )只能确定一个具有连续偏导的隐函数(),z z x y =;(B )可确定两个具有连续偏导的隐函数(),z z x y =和(),y y x z =; (C )可确定两个具有连续偏导的隐函数(),z z x y =和(),x x y z =; (D )可确定两个具有连续偏导的隐函数(),x x y z =和(),y y x z =.二、填空题二、填空题1、设(,)cos()(1)arctan2xy x f x y e x y yp=+-,则(1,1)x f 的值为( ). 2、设(,)f x y 具有连续偏导数,且(1,1)1,(1,1),(x yf f a f b ¢¢===,令[]{}(),,(,)x f x f x f x x j =,则(1)j ¢的值为( ). 3、设2(,,)xf x y z e yz =,其中(,)z z x y =是由0x y z xyz +++=确定的隐函数,则(0,1,1)x f ¢-=( ).4、曲线222320x y z x y z ì++=í-+=î在点()1,1,1M 处的切线方程为( ).5、函数22223326u x y z xy x y z =++++--在点()0,0,0O 处沿( )方向的方向导数最大?)方向的方向导数最大? 三、三、 计算和应用题计算和应用题 1、设()()3222cos d 1sin 3d axy y x x by x x y y-+++为某一函数(,)f x y 的全微分,求a 和b 的值的值2、设()()ky x g y x y x f z +++-=,,g f ,具有二阶连续偏导数,且0º/¢¢g ,如果222222242fy z y x z x z ¢¢=¶¶+¶¶¶+¶¶,求常数k 的值. 3、在椭球2222221x y z a b c++=内嵌入一中心在原点的长方体,问长宽高各是多少时长方体的体积最大?4、设(,)y g x z =,而z 是由方程(,)0f x z xy -=所确定的,x y 的函数,求d d zx5、设),(y x f 有二阶连续偏导数, ),(),(22y x e f y x g xy+=, 且))1((1),(22y x o y x y x f +-+--=, 证明),(y x g 在)0,0(取得极值取得极值, ,判断此极值是极大值还是极小值极大值还是极小值, , 并求出此极值并求出此极值. .6、设有一小山,取它的底面所在的平面为xoy 坐标面,其底部所占的区域为(){}22,75D x y xy xy =≤+-,小山的高度函数为22(,)75h x y x y xy =--+(1) 设()000,M x y 为区域D 上一点,问(,)h x y 在该点沿平面上什么方向的方向导数最大?若记此方向导数的最大值为00(,)g x y ,试写出00(,)g x y 的表达式.(2) 现利用此小山开展攀岩活动,为此需在山脚下寻找一上山坡度最大的点作为攀登的起点,试确定攀登起点的位置. 四、证明题四、证明题设(,)F u v 可微,试证曲面(,)0x a y b F z c z c--=--上任一点处的切平面都通过定点上任一点处的切平面都通过定点. .第八章 多元函数微分法及应用测试题答案与提示一、一、1、C ;2、A ;3、D ;4、B ;5、D.二、二、1、πe 2-;2、23(1)a b b b +++;3、1;4、111101x y z ---==-;5、326ogradu i j k =--. 三、三、1、答案:2,2a b ==-.提示:提示:利用xy yx f f ¢¢¢¢=这一条件. 2、答案:1k =-.提示: g f f xz ¢+¢+¢=¶¶21,g k f f yz ¢+¢+¢-=¶¶21,g f f f x z ¢¢+¢¢+¢¢+¢¢=¶¶221211222,g k f f f yz ¢¢+¢¢+¢¢-¢¢=¶¶2221211222, g k f f y x z ¢¢+¢¢+¢¢-=¶¶¶22112,()g k k f y z y x z xz ¢¢+++¢¢=¶¶+¶¶¶+¶¶222222222142, 又因为0º/¢¢g ,所以0212=++k k ,1-=k .3、答案:232323,,333a b c .提示:设所嵌入的长方体在第一挂线的顶点坐标为(),,x y z ,则求体积8V xyz =在条件2222221x y z a b c ++=下的极值就可. 4、答案:1221122d d f yf xf g z xf xfg ¢¢¢¢++=¢¢¢-.5、答案:故0)0,1()0,0(==f g 是极大值.提示:由全微分的定义知提示:由全微分的定义知0)0,1(=f 1)0,1()0,1(-=¢=¢yx f f x f y e f g xy x 221×¢+×¢=¢ y f x e f g xy y 221×¢+×¢=¢ 0)0,0(=¢x g 0)0,0(=¢y g 2222121121122)2()2(2f x x f y e f y e f y e x f y e f g xyxy xy xy x ¢+×¢¢+×¢¢+×¢+×¢¢+×¢¢=¢¢ x y f x e f e xy e f y e y f x e f g xy xy xy xy xy xy 2)2()()2(222111211×¢¢+×¢¢++×¢+×¢¢+×¢¢=¢¢ 2222121121122)2()2(2f y y f x e f x e f x e y f x e f g xy xy xy xy y ¢+×¢¢+×¢¢+×¢+×¢¢+×¢¢=¢¢ A=2)0,1(2)0,0(22-=¢=¢¢f g x 1)0,1()0,0(1-=¢=¢¢=f g B xy2)0,1(2)0,0(22-=¢=¢¢=f g C y032>=-B AC , 且0<A , 故0)0,1()0,0(==f g 是极大值. 6、答案: ()()22220000000000(,)22558g x y y x x y x y x y =-+-=+-攀登起点的位置: ()()125,5,5,5M M --.提示提示: : 沿梯度方向的方向导数最大沿梯度方向的方向导数最大,,方向导数的最大值即为梯度的模方向导数的最大值即为梯度的模. . 然后再求(,)g x y 在条件22750x y xy --+=下的极大值点就可下的极大值点就可. . 四、答案四、答案: :通过定点(),,M a b c . 第六章 微分方程测试题一、选择题一、选择题1、设()y f x =是240y y y ¢¢¢-+=的解,若0()0f x >且0()0f x ¢=,则在0x 点()f x ( ). (A) 取极大值; (B) 取极小值; (C) 在0x 某邻域内单增; (D) 在0x 某邻域内单减.2、微分方程2448xy y y e¢¢¢-+=的一个特解应具有形式的一个特解应具有形式( ) (,,,a b c d 为常数). (A) 2;xce (B) 22;xdx e (C) 2;xcxe (D) 22().x bx cx e + 3、微分方程21sin y y x x ¢¢+=++的特解形式可设为(). (A) (A) *2(sin ecos );y ax bx c x d x x =++++ (B) *2(sin ecos );y x ax bx c d x x =++++ (C) *2sin ;y ax bx c d x =+++(D) *2ecos .y ax bx c x =+++ 4、设线性无关的函数123,,y y y 都是非齐次线性微分方程()()()y p x y q x y f x ¢¢¢++=的解,12,c c 是任意常数,则该方程的通解为(). (A) (A) 11223;c y c y y ++ (B) ()1122123;c y c y c c y +-+ (C) ()11221231;c y c y c c y +---(D) ()11221231.c y c y c c y ++--5、方程0xy y ¢+=满足(1)2y =的特解为(). (A) 21;xy = (B) 22;x y = (C) 2;xy = (D) 1.xy = 二、填空题二、填空题1、已知微分方程23e xy y y -¢¢¢--=有一个特解1e 4x y x *-=-,则其通解为(). 2、以12e ,ex xy y x --==为特解的二阶常系数齐次微分方程是(). 3、若连续函数()f x 满足()()e xf t f x dt =ò,则()f x 等于(). 4、已知函数()y y x =在任意点x 处的增量21y x y xa D D =++,其中a 是比x D (0)x D ®高阶的无穷小,且(0)πy =,则(1)y 等于(). 5、2e xy y y x ¢¢¢++=的通解为(). 三、计算和应用题三、计算和应用题1、 设2e (1)e xxy x =++是二阶常系数线性微分方程e xy y y a b g ¢¢¢++=的一个特解,求该微分方程的通解. 2、 设函数()y y x =在(),-¥+¥内具有二阶导数,且()0,y x x y ¢¹=是()y y x =的反函数.(1)(1)试将()x x y =所满足的微分方程()322d d sin 0d d x x y x y y æö++=ç÷èø变换为()y y x =所满足的微分方程;(2)(2)求变换后的微分方程满足条件3(0)0,(0)2y y ¢==的解.3、已知22123e e ,e e ,e e e x x x x x x x y x y x y x --=+=+=+-都是某二阶常系数非齐次线性微分方程的解,试求此微分方程分方程的解,试求此微分方程4、 已知连续函数()f x 满足320()()d e 3xx tf x f t =+ò,求()f x .5、 已知连续函数()f x 满足()100()()d e2()d xxf x x u f u u x f xu u +-=+òò,求()f x .6、设函数()f x 在[)1,+¥上连续恒正,若曲线()y f x =,直线()1,1x x t t ==>与x 轴所围成的平面图形绕x 轴旋转一周所成的旋转体的体积为2π()(1)3t f t f éù-ëû,试求()y f x =所满足的微分方程,并求该方程满足2(2)9f =的特解.四、证明题四、证明题证明方程()y y f x ¢¢+=(其中()f x 连续)的通解为连续)的通解为()120cos sin ()sin d xy c x c x f t x t t =++-ò,其中为任意常数,其中为任意常数.. 第六章 微分方程测试题答案与提示一、一、1、A ;2、B ;3、A ;4、D ;5、C. 二、 1、3121ee e 4xxxc c x --+-;2、20y y y ¢¢¢++=;3、ln(1)x +;4、π4πe ;5、()()121e 1e 4x xy c c x x -=++-.三、三、1、答案:2212e e e (1)e x x xx c c x ++++. 提示:将2e(1)e xxy x =++代入原方程,比较同类项系数,求出,,a b g 的值,然后再去求解微分方程.2、答案、答案: (1): (1)sin y y x ¢¢-=; (2) 1e e sin 2x x y x -=--.3、答案、答案: :2e 2e x x y y y x ¢¢¢--=-.提示:21312e ,=e xxy y y y --=-是对应齐次微分方程的特解,从而可得出对应齐次微分方程为20y y y ¢¢¢--=, 设非齐次线性微分方程为2()y y y f x ¢¢¢--=,再将其中任意个非齐次特解代入,得出()e 2e x x f x x =-.4、答案、答案: : 32()3e 2e x x f x =-.5、答案、答案: : 21()12e 2xf x xx æö=++ç÷èø. 提示:作代换xu t =,则12()d 2()dt xx f xu u f t =òò.6、答案、答案:: 3()1x f x x =+. 提示:依题意可得:221π()(1)π()d 3tt f t f f x x éù-=ëûò,然后两边求导.四、略四、略. . 第五章 定积分及应用测试题一、选择题一、选择题1、设()f x 连续,0()d ,0,0stI tf tx x t s =>>ò,则I 的值是(). (A ) 依赖于s 和t ; (B )是一个常数;)是一个常数; (C )不依赖于s 但依赖于t ; (D )依赖于s 但不依赖于t . 2、下列积分中,等于零的是( ). (A)12212cos ln(1)d x x x -+ò(B) 233(1)e d x x x -+ò(C) 4222sin cos d 1x xx x p p-+ò(C) 2121(1)d x x x --+ò3、设在[],a b 上()0,()0,()0f x f x f x ¢¢¢><>, 令()[]()1231()d ,(),()()2ba S f x x S fb b a S f a f b b a ==-=+-ò,则().(A) 321S S S >>;(B) 312S S S >>; (C) 213S S S >> ; (D) 132S S S >>. 4、已知sin πd 2x x x +¥=ò,则220sin d x x x +¥ò的值等于( ). (A) π;2(B) π; (C) 2π;4(D) π-1. 5、设()f x 在0处可导,且(0)0f =,则极限02()dt limxx f x t x ®-ò的值等于(). (A)不存在;不存在; (B) 0; (C) (0);f ¢ (D) 1(0).2f ¢ 二、填空题二、填空题1、设()f x 连续,310()dt x f t x -=ò,则(7)f 等于(). 2、定积分3π43π4(1arctan )1cos 2d x x x -++ò的值为(). 3、定积分11()e d xx x x -+ò的值为(). 4、若积分(21)d 4aax x --=-ò,则常数a 的值等于(). 5、曲线322y x x x =-++与x 轴所围成的面积值等于( ). 三、计算和应用题三、计算和应用题1、已知(π)1f =,且[]0()()sin d 3f x f x x x p ¢¢+=ò,求(0)f .2、计算21212(e e )d 11xxx x x x --+++-ò3、设2π20sin ()d 12cos tf x t x t x =++ò,求(1)(0)f f4、 计算π320sin d sin cos x x x x+ò.5、设3e e()ln ()d xf x x f x x =+ò,求()f x .6、设()f x 可导,(0)1f =,且[]1()()d f x xf xt t +ò与x 无关,求()f x .四、证明题四、证明题设函数()f x 在[],a b 上连续,在(),a b 内()0f x ¢>,证明存在唯一的(),a b x Î使曲线()y f x =和(),y f x a x ==所围面积1S 是()y f x =和(),y f x b x ==所围面积2S 的3倍.第五章 定积分及应用测试题答案与提示一、一、1、D ;2、C ;3、B ;4、A ;5、D. 二、二、 1、112;2、422-;3、2;4、2;5、3712.三、三、1、答案:(0)2f =. 提示:用分部积分提示:用分部积分. .2、答案:4π-.提示:利用奇偶对称性提示:利用奇偶对称性. . 3、答案:、答案:1. 1.提示:分别求出(0)f 和(1)f 的值即可. 4、答案:()1π14-. 提示:πππ33332220sin cos 1sin cos d d d sin cos sin cos 2sin cos x x x x x x x x xx xx x+==+++òòò.5、答案:ln 4()x f x x x=-. 6、答案:()e xf x -=.提示:令()[]11()()d ()()d ()()d xF x f x xf xt t f x x f xt t f x xf u u =+=+=+òòò,由()0F x ¢=得()()0f x f x ¢+=,所以e ()0x f x ¢éù=ëû. 四、提示:()()()10,,()()d tt a b S t t a f t f x x "Î=--ò,()()2()d ,bt S t f x x b t =--ò令()()12()3t S t S t j =-,用零点定理和单调性证明即可.第一章综合测试题一、单项选择题一、单项选择题1、()f x 当0x x ®时的左极限和右极限都存在且相等是0lim ()x x f x ®存在的()条件. (A) 充分; (B) 必要; (C) 充要; (D) 无关. 2、设22212lim()n n n n n®¥+++= ( ). (A) 22212lim lim lim 0n n n nn n n®¥®¥®¥+++=; (B) ¥;(C) 21+2+1lim 2n n n ®¥+=;(D) 极限不存在. 3、设()=232x xf x +-,则当0x ®,有,有( ). (A) ()f x 与x 是等价无穷小; (B) ()f x 与x 是同阶但非等价无穷小; (C) ()f x 是比x 高阶的无穷小;(D) ()f x 是比x 低阶的无穷小. 4、设11e 1()e 1xxf x -=+,则0x =是()f x 的(). (A) 可去间断点; (B) 跳跃间断点; (C) 第二类间断点;(D) 连续点.5、方程410x x --=至少有一个根的区间是( ).(A) 1(0,)2; (B) 1(,1)2; (C) (1,2); (D) (2,3).二、填空题二、填空题7、 若2211()3f x x xx+=++,则()f x =(). 8、 已知函数2(cos ), 0() , 0x x x f x a x -ì¹ï=í=ïî在0x =连续,则a = ( ). 9、 lim(3)1=n n n n ®¥+--().10、 设2013sin coslim(1cos )(e 1)xx x x xx ®+=+-( ). 5、已知25lim 232n a bn n ®¥++=-,则a =( ),b = ( ).三、计算与应用题三、计算与应用题1、设0,0(), 0x f x x x ì=í>î≤,20, 0(), 0x g x x x ì=í->î≤,求函数项级数[()]f f x ,[()],g g x [()],[()]f g x g f x .2、设21sin ,0(),0x x f x x a x x ì>ï=íï+î≤,要使()f x 在(,)-¥+¥内连续,应当怎样选择数a ? 3、设11e , 0()ln(1),10x x f x x x -ìï>=íï+-<î≤,求()f x 的间断点,并说明间断点所属类型.的间断点,并说明间断点所属类型. 4、计算极限tan π2lim(sin )xx x ®.5、计算极限123lim()21x x x x +®¥++6、设()f x 的定义域是[0,1],求函数11()()22f x f x ++-的定义域.四、证明题四、证明题证明方程sin 10x x ++=在开区间ππ(,)22-内至少有一个根.第一章综合测试题答案与提示一、一、1、C ;2、C ;3、B ;4、B ;5、C. 二、二、1、21x +;2、1;3、32;4、32;5、任意常数,6. 三、三、1、答案:[()] = (),f f x f x[()]0,g g x = [()]0,f g x =[()]()g f x g x =. 2、答案:0a =.3、答案: 0x =是第一类间断点,1x =是第二类间断点.是第二类间断点.4、答案:、答案: 1.5、答案:e .6、答案: 12x =.四、提示:利用零点定理.四、提示:利用零点定理.第二章综合测试题一、单项选择题一、单项选择题1、若 e , 0()sin 2, 0axx f x b x x ì<=í+î≥在0x =处可导,则a b 、的值应为( ). (A) 2,1a b ==; (B) 1,2a b ==; (C) 2,1a b =-=;(D)2,1a b ==-. 2、设222, 1() 1 , 1x x x f x x ì-+>=íî≤ (). (A)不连续; (B)连续,但不可导; (C)连续,且有一阶导数; (D) 有任意阶导数 3、若()f x 为(,)l l -内的可导奇函数,则()f x ¢ (). (A) 必为(,)l l -内的奇函数; (B) 必为(,)l l -内的偶函数;(C) 必为(,)l l -内的非奇非偶函数; (D) 在(,)l l -内,可能为奇函数,也可能为偶函数. 4、()f x 在0x 处可导,则000()()limx f x x f x x D ®-D -=D( ). (A) 02()f x ¢; (B)0()f x ¢-; (C) 0()f x ¢;(D) 0()f x ¢-.5、设()sin cos 2x f x x =+,则(15)(π)f = (). (A) 0; (B) 15112+; (C) 1-; (D) 1512-.二、填空题二、填空题 11、()f x 在点0x 可导是()f x 在点0x 连续的(连续的( 充分充分)条件,()f x 在点0x 可导是()f x 在点0x 可微的(可微的( )条件.)条件.12、 设()(1)(2)() (2)f x x x x x n n =+++≥,则(0)f ¢=( ). 13、 设()f x 为可微函数,则当0x D ®时,在点x 处的d y y D -是关于x D 的()无穷小.14、 已知(cos sin )(sin cos )x a t t t y a t t t =+ìí=-î,则3π4d d t x y== ( 1- ),223π4d d t x y == ( ) . 15、 设函数()y f x =由方程23ln()sin x y x y x +=+确定,则d d yx= ( ). 三、计算与应用题三、计算与应用题1、讨论函数1sin , 0 0 , 0x x y x x ì¹ï=íï=î在0x =处的连续性和可导性. 2、已知22e 1,0() 1 ,0x x f x x x ì-ï¹=íï=î,求 ()f x ¢. 3、设()(e )e x f x y f =且()f x ¢存在,求d dyx . 4、设7777xy x =++,求微分2d x y =.5、用对数求导法计算函数452(3)(1)x x y x +×-=+的导数的导数6、求函数2cos y x =的n 阶导数. 四、证明题四、证明题设)(x f 在),(+¥-¥内有定义,且,(,)x y "Î-¥+¥,恒有()()()f x y f x f y +=×,()1()f x xg x =+,其中0lim ()1x g x ®=,证明()f x 在),(+¥-¥内处处可导.第二章综合测试题答案与提示一、一、1、A ;2、C ;3、B ;4、D ;5、B . 二、二、1、充要;2、!n ;3、高阶;4、823πa -;5、1.三、三、1、答案:连续不可导.2、答案:223(22)e 2, 0() 0 ,0x x x f x x x ì-+ï¹¢=íï=î. 3、答案:()d e [(e )e (e )()]d f x x x xy f f f x x ¢¢=+.4、答案:67211d [7ln 7()]d 7xy xx x-=+-;7227d (ln 7)d 144x y x ==-×.5、答案:452(3)145[](1)2(2)31x x y x x x x +×-¢=×+-++-+.6、答案: ()1π2cos(2)2n n n yx -=+.四、提示: ,(,)x y "Î-¥+¥,有()[()1]()()y f x f x f x x g x =-=××,()limlim ()()().x x y f x f x g x f x x®®D ¢==×=D第三章综合测试题一、单项选择题一、单项选择题1、下列函数在[1,e]上满足拉格朗日定理条件的是上满足拉格朗日定理条件的是( ). (A) ln(ln )x ; (B) ln x ; (C) 1ln x;(D) ln(2)x -. 2、设00()()0f x f x ¢¢¢== ,0()0f x ¢¢¢>,则(). (A) 0()f x ¢是()f x ¢的极大值;(B) 0()f x 是()f x 的极大值; (C)0()f x 是()f x 的极小值;(D) 00(,())x f x 是曲线()y f x =的拐点。
无穷级数测试题一、单项选择(每小题2分,共20分) 1、级数∑+∞=1n n u 收敛的必要条件是( )。
A 、0lim =+∞→n n SB 、0lim =+∞→n n uC 、1lim 1<++∞→n n n u u D 、1lim 1>++∞→nn n u u2、若级数∑+∞=1n n u 发散,则下列级数一定发散的是( )。
A 、∑+∞=+15n n u B 、∑+∞=1n n au (a 为某常数) C 、∑+∞=-1)5(n n u D 、∑+∞=-1)1(n n nu3、下列级数收敛的是( )。
A 、∑+∞=-211n n B 、∑+∞=-2211n n C 、∑+∞=-21n n n D 、∑+∞=-2311n n 4.下列无穷级数中,发散的无穷级数为( )A.()∑∞=+111n n nB. ∑∞=⎪⎭⎫ ⎝⎛+13101n n C. ∑∞=⎪⎭⎫ ⎝⎛+121101n n n D. ∑∞=+1132n n n5.设正项级数∑∞=1n n u 收敛,则下列无穷级数中一定发散的是( )A .∑∞=+1100n n uB .∑∞=++11)(n n n u uC .∑∞=1)3(n n uD .∑∞=+1)1(n n u6、级数∑∞=0n n n x a 在3=x 处收敛,则∑∞=-0)2(n n n a ( )。
A 、绝对收敛B 、条件收敛C 、发散D 、无法判别敛散性7、已知∑+∞=1n nn x a (,...2,10=≠n a n ,)的收敛域为)1,1(-,则∑+∞=+1)1(n n n x a 的收敛域为( )。
A. )1,1(-B. )2,0(C. )0,2(-D. )2,2(-8、幂级数∑∞=0!2n nn x 的和函数为( ) A. x e 2 B. x e 2- C. x e 2- D. x e 29、将函数x e -展开成x 的幂级数为( )。
A 、∑+∞=0!n nn x B 、∑+∞=-0!n n n x C 、∑+∞=-0!)(n n n x D 、∑+∞=1!n n n x10、将函数x +21展开成x 的幂级数为( )。
无穷级数例题选解1.判别下列级数的敛散性:2.判别下列级数是绝对收敛,条件收敛,还是发散?(1);(2);(3)。
3.求幂级数的收敛区间。
4.证明级数当时绝对收敛,当时发散。
5.在区间内求幂级数的和函数6.求级数的和。
7.把展开成的幂级数,并求级数的和8.设()证明1)存在; 2)级数收敛。
9.设,1)求的值;2)试证:对任意的常数,级数收敛。
10.设正项数列单调减少,且发散,试问是否收敛?并说明理由。
11.已知,计算。
12.计算。
参考答案:1.解:(1),而收敛,由比较审敛法知收敛。
(2),而发散,由比较审敛法的极限形式知发散。
(3),,由比值审敛法知收敛。
(4),,由根值审敛法知收敛。
2.解:(1)对于级数,由,知级数绝对收敛,易知条件收敛,故条件收敛。
(2),由,知级数收敛,故绝对收敛。
(3)记,,而发散,故发散,令,,当时,,故在区间内单调增加,由此可知,又,故收敛,但非绝对收敛,即为条件收敛。
3.解:收敛半径为,当时,得级数,发散;当时,得交错级数,收敛。
所求收敛区间为。
4.证:收敛半径,当时幂级数绝对收敛,当时幂级数发散,当时,得级数,,,因单调增加,且,故,于是得,由此,故级数发散。
5.解:设(),,,,()。
6.解:设(),则,其中,()。
设,则,于是,从而()。
因此。
7.解:(),(),因在点处连续,而在点处收敛,从而()。
于是。
8.证:1)因,,故是单调减少有下界的数列,所以存在。
2)由(1)知,记,因存在,故存在,所以收敛,由比较审敛法知收敛。
9.证:1)因为,,所以。
2)因为,所以,由知收敛,从而收敛。
10.解:级数收敛。
理由:由于正项数列单调减少有下界,故存在,记,则。
若,则由莱布尼兹定理知收敛,与题设矛盾,故。
因为,由根值审敛法知级数收敛。
11.解:由(),得。
12.解:由,得,于是,从而。
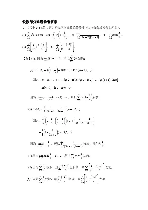
级数部分难题参考答案1. (书中P364,第1题)研究下列级数的敛散性(说出收敛或发散的理由): (1).)0(1>∑∞=a a n n;(2). 11ln 1n n ∞=⎛⎫+ ⎪⎝⎭∑;(3).()()113231n n n ∞=-+∑;(4).1sinn n nπ∞=∑;(5).()1112n n n n ∞=⎡⎤-+⎢⎥⎢⎥⎣⎦∑;(6).()111.n n n n ∞=⎡⎤-+⎢⎥⎢⎥⎣⎦∑ 【解】(1).因为10n =≠,所以1n ∞=发散;(2). 记 ()n n n u n ln 1ln 11ln -+=⎪⎭⎫⎝⎛+=(,...2,1=n )则()()()[]n n u u u s n n ln 1ln ..._2ln 3ln 1ln 2ln ...21-++-+-=+++= ()()1ln 1ln 1ln +=-+=n n因为 ()lim lim ln 1n n n s n →∞→∞=+=∞,所以11ln 1n n ∞=⎛⎫+ ⎪⎝⎭∑发散.(3). 记⎪⎭⎫⎝⎛+--=13123131n n u n (,...2,1=n )则⎥⎦⎤⎢⎣⎡⎪⎭⎫ ⎝⎛+--++⎪⎪⎭⎫ ⎝⎛⎪⎭⎫ ⎝⎛-+-=131231...714141131n n s n ⎪⎭⎫ ⎝⎛+-=131131n (,...2,1=n )因为 1lim ,3n n s →∞=,所以()()113231n n n ∞=-+∑收敛,且和为13.(4).因为lim sin0n n nππ→∞=≠,所以∑∞=1sinn nn π发散;(5).因为112n n ∞=∑收敛,且()11nn n ∞=-∑也收敛,故()∑∞=⎥⎦⎤⎢⎣⎡-+1121n n n n 收敛;(6). 因为11n n∞=∑发散,而()11nn n∞=-∑收敛,故()111n n n n ∞=⎡⎤-+⎢⎥⎢⎥⎣⎦∑发散.2. (书中P364,第2题)证明级数12nn n∞=∑收敛,并求出它的和. 【解】设 n n n n n n u u u s 221...232221...13221+-++++=+++=- ① 则 122221...232212--+-++++=n n n nn s ②②—①,得:n n n nn n n n n n s 22122211211221...21211112--=---=-++++=-- 因为 11l i m l i m 2 2.22n n n n n n s -→∞→∞⎛⎫=--=⎪⎝⎭所以12nn n∞=∑收敛,且和为2. 3. (书中P374,第1题)判别下列级数的敛散性(并为你的结论简要说明理由):(1).121n n n ∞=+∑;(2).2111n nn∞=++∑;(3). 321645n n n n n ∞=++-+∑;(4). 211n n ∞=⎛ ⎝∑; (5).()∑∞=+1211n n n ;(6)∑∞=+-132sin 121n n n ;(7). ∑∞=12log n n n;(8). ∑∞=13sin2n nn π;(9). ∑∞=1!n n nn ;(10).()()21!2!n n n ∞=∑;(11).11n n -∞=-;(12).()11nn ∞=-∑;(13).()()()1121!!12!n nn n n -∞=--∑;(14). (1sin .n ∞=∑【解】(1). 因为1lim 0212n n n →∞=≠+,所以121n nn ∞=+∑发散;(2). 因为211lim11n nn n →∞+=+,且11n n ∞=∑发散,所以2111n n n ∞=++∑发散; (3).因为32261lim 145n n n n n n →∞+=+-+,且211n n ∞=∑收敛,所以321645n n n n n ∞=++-+∑收敛; (4).因为211n n∞=∑收敛,且1n ∞=211n n ∞=⎛ ⎝∑发散; (5)因为1n =,且3121n n∞=∑收敛,所以()∑∞=+1211n n n 收敛(6).2323232111lim lim lim 1.121sin 221sin 1.cos 2n nn n n n n nn n n →∞→∞→∞===-+-+- (6). 因为32261lim 1,45n n n n n n →∞+=+-+且211n n ∞=∑收敛,故∑∞=+-++123546n n n n n 收敛; (7).因为322log 1lim lim 0n n x nnn →∞===,且3121n n∞=∑收敛,故∑∞=12log n n n 收敛; (8).因为22lim 2sinlim 2.3333nn n n nnn n πππ→∞→∞⎛⎫⎛⎫== ⎪ ⎪⎝⎭⎝⎭,且123nn ∞=⎛⎫ ⎪⎝⎭∑收敛,故 ∑∞=13sin2n nnπ收敛;(9).记n n n n u !=(,...2,1=n ),因为()()111!11!lim lim lim 1,111n n n n n n n nn u n n u en n ++→∞→∞→∞+===<+⎛⎫+ ⎪⎝⎭所以∑∞=1!n nnn 收敛; (10). 记()()!2!2n n u n =(,...2,1=n ) 因为()()()()()()()()()22211!1!1lim limlim 1,2!21!22214n n n n nn n n un n u n n +→∞→∞→∞++===<+++所以()()21!2!n n n ∞=∑收敛;(11).记()xn x u n +=1(,...2,1=n )则显然{}n u 单减;又,lim 0.n n n u→∞==所以,由莱布尼兹判别法知()111n n -∞=-∑收敛.另一方面,再考察()111|1|n n n -∞∞==-=∑的敛散性.因为lim 1,n n n n u →∞→∞===且1n ∞=所以,1n ∞=发散.总之,()111n n -∞=-∑条件收敛.(12).令1,....)n u n == 令()[)100,f x x =∈+∞. 则()()100,.100f x x x '==∈+∞+因此,当100x ≥时,()0.f x '<所以 ,当100n ≥时,有()()11(100)n n f n f n u u n +≥+⇒≥≥, 即当100n ≥时{}n u单减;又,lim 0.1100.n n n u n →∞→∞==+所以,由莱布尼兹判别法知()1001nn ∞=-∑收敛.再由收敛级数的性质,在级数前面加上有限多项不改变级数的敛散性,知原级数()11100nn n ∞=-+∑也收敛.另一方面,再考察()11|1|100100nn n n n ∞∞==-=++∑∑的敛散性.因为100lim lim 1,n n n n u →∞→∞+==且1n ∞=1100n n ∞=+∑发散.总之,()11nn ∞=-∑条件收敛.(13).().a 该级数是交错级数. 记()()!2!!12n n u n n -=(,...2,1=n )注意 ()()()()()n n n n n n u n n 2...6.4.2)12...(5.3.1!!2!!12!2!!12-=-=-=(,...2,1=n )因为122121<++=+n n u u n n ,所以{}n u 单减; 又根据瓦里斯公式,有()()()()21!!21!!lim lim lim 0.2!2!n n n n n n n n u n n →∞→∞→∞⎧⎫⎡--⎪====⎨⎢⎪⎣⎩ 所以由莱布尼兹判别法知()()()1121!!12!n nn n n -∞=--∑收敛. ().b 再考察()()()()()11121!!21!!|1|2!2!n nn n n n n n n -∞∞==---=∑∑的敛散性. 仍由瓦里斯公式,有()()21!!lim lim 2!n n n n n u n →∞→∞⎡-==⎢⎣1n ∞=发散, 故()()121!!2!nn n n ∞=-∑发散.(或者因为()()()()()()21!!21!!21!!11.2!2!!22!!22n n n n n u n n n n n ---===≥-,故()()121!!2!nn n n ∞=-∑的发散).总之,()()()1121!!12!n n n n n ∞-=--∑条件收敛.(14).(1sin .n ∞=∑(sin)sin n n ππ⎡⎤=+⎢⎥⎣⎦())()21sin 1nn n π⎡⎤=-=-⎢⎥⎣⎦. 原级数可化为()211nn ∞=-∑因为2202n n a ππ==<,所以,,N ∃当n N >时,202π<<,故当N n >时20.>故原级数可看作交错级数.().a 记na n a u n ++=222sinπ(,...2,1=n )因为221.n n u u +=>=且2lim 0n n n u →∞→∞==,所以,()211nn ∞=-∑收敛.().b 再考察()2211|1|nn n ∞∞==-=∑∑.因为2222n n a nπ→∞==,所以,21n ∞=∑∑∞=11n n同敛、散,故()21|1|nn ∞=-∑发散;总之,(1sin n ∞=∑条件收敛.4.(书中P374,第2题)关于参数x ,讨论下列级数的敛、散性(收敛时,指出是绝对收敛还是条件收敛)(1).1nn x ∞=∑;(2). 21nn x n∞=∑;(3).1!nn x n ∞=∑;(4). ()1!nn n x∞=∑.【解】(1).记()n n x x u =(,...2,1=n )(一)当0=x 时,级数显然收敛,且为绝对收敛;(二)当0≠x 时,()()()11limlim ||||n n n n n nu x x x x u x x ρ++→∞→∞=== (1)当1||<x 时,原级数绝对收敛; (2)当1||>x 时,原级数发散;(3)当1||=x 时,又分两种小情况来讨论: (i )1-=x 时,原级数变成()11nn ∞=-∑发散;(ii )1=x 时,原级数变成11n ∞=∑发散.(2).记()2nx x u nn =(,...2,1=n )(一)当0=x 时,级数显然收敛,且为绝对收敛;(二)当0≠x 时,()()()1lim||n n nu x x x u x ρ+→∞== (1)当1||<x 时,原级数绝对收敛; (2)当1||>x 时,原级数发散;(3)当1||=x 时,又分两种小情况来讨论: (i )1-=x 时,原级数变成()2111nn n∞=-∑绝对收敛; (ii )1=x 时,原级数变成211n n ∞=∑绝对收敛. (3).记()!n x x u nn =(,...2,1=n )(一)当0=x 时,级数显然收敛,且为绝对收敛;(二)当0≠x 时,因为对于任何0≠x ,都有()()()1lim01n n n u x x u x ρ+→∞==<,故对于任何0≠x ,1!nn x n ∞=∑绝对收敛.(4).记()n n x n x u !=(,...2,1=n )(一)当0=x 时,级数显然收敛,且为绝对收敛; (二)当0≠x 时,因为对于任何0≠x ,都有()()()()1limlim 1n n n n u x x n x u x ρ+→∞→∞==+=+∞, 故对于任何0≠x ,()1!n n n x ∞=∑发散.5.(书中P374,第3题)若级数21nn a ∞=∑和21nn b ∞=∑都收敛,证明:级数1n n n a b ∞=∑和()21n n n a b ∞=+∑也都收敛.【证明】(一)因为()2212n n n n a b a b ≤+,而21n n a ∞=∑和21n n b ∞=∑都收敛,故1n n n a b ∞=∑绝对收敛.(二)因为21nn a ∞=∑和21nn b ∞=∑,及12n n n a b ∞=∑都收敛,故()2212n n n n n a a b b ∞=++∑也收敛,即()21n n n a b ∞=+∑也都收敛.6.(书中P374,第4题)证明:若有极限lim 0,n n nu l →∞=>则级数1n n u ∞=∑发散.【证明】根据极限的保号性,存在正整数N ,当n N ≥时,有 0,n nu >从而当n N ≥时,有 0,n u >故可视1n n u ∞=∑为正项级数.再由题设条件l i m l i m 01nn n n u nu l n→∞→∞==>及级数11n n ∞=∑发散,知1n n u ∞=∑发散.(在级数前面加上有限多项不改变级数的敛散性)7.(书中P374,第5题)研究下列级数的敛散性:(1).1sin p n n π∞=∑;(2). 11ln 1pn n ∞=⎛⎫+ ⎪⎝⎭∑;(3). ()21ln pn nn ∞=∑【解】(1).因为1lim sin1pp n n n π→∞=,所以1sin p n n π∞=∑与11p n n∞=∑同敛散.故 当1p >时,1sinpn n π∞=∑收敛;而当1p ≤时,1sinpn n π∞=∑发散.(2).因为11lim ln 11p p n n n →∞⎛⎫+= ⎪⎝⎭,所以11ln 1p n n ∞=⎛⎫+ ⎪⎝⎭∑与11p n n∞=∑同敛散.故 当1p >时,1sinpn nπ∞=∑收敛;而当1p ≤时,1sinpn nπ∞=∑发散.(3).记()()11,2,.ln n pu n n n == 显然1+>n n u u (,...2,1=n )且()()21111111122ln 2ln 22ln 2k kkppp pk k k k k k u k k ∞∞∞∞=======∑∑∑∑是p -级数. 由书中第365页例2(柯西定理)知,级数()21ln pn n n ∞=∑与p -级数111ln 2p pk k ∞=∑同敛散.故当1p >时,()21ln pn n n ∞=∑收敛;当1p ≤时,()21ln pn n n ∞=∑发散.8. (书中P382,第1题)求下列各幂级数的收敛区间:(1).∑∞=12n n nn x ;(2).1nn ∞=;(3). ()()212!!n n n x n ∞=∑;(4). 11112n n x n ∞=⎛⎫+++ ⎪⎝⎭∑ ; (5). ()nn x n n ∑∞=++111ln ;(6).()211!12n n n n n x ∞-=-∑;(7).()()123nnn x n∞=--∑;(8). ()()1321.nn nn x n ∞=+-+∑【解】(1). 记nn n a 21=(,...2,1=n )().a ()111121lim ||lim ,122n n n n n nn a a n ρ++→∞→∞+===所以,2R =; ().b 在端点()112,1nn x n∞==-⇒-∑收敛; 在端点112,n x n∞==⇒∑,发散.总之,∑∞=12n n nn x 的收敛区间为[)2,2.-(2). 记na n 1=(,...2,1=n )().a 1lim ||1,n n n na a ρ+→∞→∞===所以,1R =; ().b 在端点()11,1nn x ∞==-⇒-∑在端点11,n x ∞==⇒,发散.总之,1nn ∞=[)1,1.- (3). 记()()2!!2n n a n =(,...2,1=n ) ().a ()()()()()()()212222!1!2221lim ||lim lim 4,2!1!n n n n n n n n n a n a n n ρ+→∞→∞→∞++⎡⎤++⎣⎦====+ 所以,1.4R =().b 在端点()()()()()()2112!21!!11,11.442!!!nn n n n n n x n n ∞∞==-⎛⎫=-⇒-=- ⎪⎝⎭∑∑(其中()()()()()()()()()()()22222222!2!2!2!2!14!!.22!!!.22!nn n n n n n n n n n n n n ⎛⎫==== ⎪⎝⎭⎡⎤⎣⎦()()()()()()21!!2!!21!!.2!!2!!2!!n n nn n n --==) 记()()!!2!!12n n u n -=(,...2,1=n )因为()()()()121!!2!!21.122!!21!!22n n n n u n u n n n +++==<+-+, 所以{}n u 单减; 又根据瓦里斯公式,有()()()()21!!21!!lim lim lim 0.2!!2!n n n n n n n u n n →∞→∞→∞⎧⎫⎡--⎪====⎨⎢⎪⎣⎩ 在端点()()()()2112!21!!11,.442!!!nn n n n x n n ∞∞==-⎛⎫=⇒= ⎪⎝⎭∑∑仍根据瓦里斯公式,有()()21!!limlim 2!n n n n n u n →∞→∞⎡-==⎢⎣且1n ∞=发散,故()()121!!2!!n n n ∞=-∑发散. 总之,()()212!!n n n x n ∞=∑的收敛区间为11,.44⎡⎫-⎪⎢⎣⎭ (4). 记na n 1...211+++=(,...2,1=n ) 根据等式 n n c n na ε++=+++=ln 1...211(,...2,1=n )得l i m n n a →∞=+∞,从而1lim0.n na →∞= ().a 因为1...211...211limlim1++++++++==∞→+∞→n n n a a n nn n ρ 11limlim11111001.11nn n n na a n n a →∞→∞====+⨯++++,所以, 1.R =().b 在端点()∑∞=⎪⎭⎫ ⎝⎛+++-⇒-=01...21111n n n x 因为+∞=⎪⎭⎫ ⎝⎛+++=∞→∞→n a n n n 1...211lim lim ,故()∞=⎪⎭⎫ ⎝⎛+++-∞→n n n 1...2111lim ,所以()∑∞=⎪⎭⎫⎝⎛+++-01 (2)111n nn 发散; 同理,在端点∑∞=⎪⎭⎫ ⎝⎛+++⇒=01 (21)11n n x 也发散.(5). ().a ()()1ln 22lim ||lim 1,ln 11n n n nn an n a n ρ+→∞→∞++===++所以,1R =;().b 在端点()()1ln 11,11nn n x n ∞=+=-⇒-+∑收敛; 在端点()1ln 11,1n n x n ∞=+=⇒+∑,发散. 总之,()nn x n n ∑∞=++111ln 的收敛区间为()1,1.- (6).记()22!11n n n n a --=(,...2,1=n )因为()()()()222112111!1!212lim ||lim lim .lim 0,!!222n n n n n n n n n nnn n a n n a n ρ++++→∞→∞→∞→∞+++===== (21112n n n ∞+=+∑收敛,所以,211lim 0.2n n n +→∞+=) 所以,R =+∞; 故()211!12n n nn n x ∞-=-∑的收敛区间为(),.-∞+∞(7).令3,t x =-则原级数变为:()12nn n t n∞=-∑因为()()()112lim ||lim 2,21n n n n n n n aa n ρ++→∞→∞-===-+所以,11.2R ρ== 又当12t =时,级数变为:()111n n n ∞=-∑,收敛;当12t =-时,级数变为:11n n ∞=∑,发散,因此,当1122t -<≤时,()12nn n t n ∞=-∑收敛.故当115732222x x -<-≤⇒<≤时原级数收敛,所以()()123nnn x n∞=--∑为57,.22⎛⎤ ⎥⎝⎦(8).()()1321.nn nn x n ∞=+-+∑令1,t x =+则原级数变为:()132.nn nn t n ∞=+-∑因为()()111232323213lim ||limlim .3,112113nn nn n n n n n n na n na n ρ+++→∞→∞→∞⎛⎫-- ⎪+-+-⎝⎭====+⎛⎫++- ⎪⎝⎭所以,11.3R ρ== 又当13t =-时,级数变为:()()1132112133n n n n n n n n n ∞∞==⎡⎤+-⎛⎫⎛⎫-=-+⎢⎥ ⎪ ⎪⎝⎭⎝⎭⎢⎥⎣⎦∑∑收敛; (两收敛级数之和仍然收敛.)而当13t =时,级数变为:()113211233n n n n n n n n ∞∞==⎡⎤+-⎛⎫⎛⎫=+⎢⎥ ⎪ ⎪⎝⎭⎝⎭⎢⎥⎣⎦∑∑,发散; (一个收敛级数与另一个发散级数之和是发散的.)因此,当1133t -≤<时,()132nn n n t n ∞=+-∑收敛.故当114213333x x -≤+<⇒-≤< 时原级数收敛,所以()()1321nn nn x n ∞=+-+∑的收敛区间为42,.33⎡⎫-⎪⎢⎣⎭9. (书中P383,第2题)求下列级数的和: (1).∑∞=++11414n n n x ;(2).()11.nn n n x ∞=+∑【解】(1).∑∞=++11414n n n x ;().a 记()1414+=+n x x u n n (,...2,1=n ),()()()14lim ||.n n nu x x x u x ρ+→∞== 如果()41x x ρ=<时,即1||<x 时,则∑∞=++11414n n n x 收敛;如果()41x x ρ=>时,即1||>x 时,则∑∞=++11414n n n x 发散;所以,R=1.又在端点()111,141n x n ∞==-⇒-+∑发散;又在端点111,41n x n ∞==⇒+∑发散.所以,∑∞=++11414n n n x 的收敛区间为()1,1.-.().b 设()()411,1,1.41n n x s x x n +∞==∈-+∑ 逐项求导后,有:()4144411.411n n n n x x s x x n x +∞∞=='⎛⎫'=== ⎪+-⎝⎭∑∑ 所以,()()()440001xxx s x s s x dx dx x '-==-⎰⎰111ln arctan .412x x x x +=+--故()s x 111ln arctan .412x x x x +=+--注意:其中()()().11ln lim lim 00=--==→→xx x s s x x (2). 记()()n n x n n x u 1+=(,...2,1=n ),()()()1lim||.n n n u x x x u x ρ+→∞==如果()1x x ρ=<时,即1||<x 时,则()11.n n n n x ∞=+∑收敛;如果()1x x ρ=>时,即1||>x 时,则()11.n n n n x ∞=+∑发散;所以,R=1.又在端点()()11,11nn x n n ∞==-⇒-+∑发散;又在端点()11,1n x n n ∞==⇒+∑发散.所以,()11.n n n n x ∞=+∑的收敛区间为()1,1.-.().b 设()()()11,1,1.n n s x n n x x ∞==+∈-∑逐项积分后,有:()()12111,1,1.xn n n n s x dx nxxnxx ∞∞+-====∈-∑∑⎰(1)记 ()()11,1,1.n n g x n x x ∞-==∈-∑ (2)则()()()2,1,1.xs x d x x g x x =∈-⎰(3) 又因为()01.1xnn xg x d x x x∞===-∑⎰(4) 所以,()()21.11x g x x x '⎛⎫== ⎪-⎝⎭- (5) 故()()220.1xx s x d x x =-⎰所以, ()()()2232.11x xs x x x '⎛⎫== ⎪ ⎪--⎝⎭()1,1.x ∈- 10.(书中P383,第5题)求下列广义幂级数的收敛域:(1).()121nn x n∞=+∑;(2).()1ln nn x ∞=∑;(3). 21n n n x∞=∑;(4).111.211nn x n x ∞=-⎛⎫ ⎪++⎝⎭∑ 【解】(1).令21,t x =+则原级数变为:1nn t n ∞=∑因为1lim ||lim 1,1n n n na na n ρ+→∞→∞===+所以,1 1.R ρ== 又当1t =-时,级数变为:()111nn n∞=-∑收敛;而当1t =时,级数变为:11n n∞=∑,发散.因此,当11t -≤<时,1nn t n∞=∑收敛.故当121110x x -≤+<⇒-≤<时原级数收敛,所以()121nn x n∞=+∑的收敛域为[)1,0.-(2).令ln ,t x =则原级数变为:1n n t ∞=∑因为1lim ||lim 1,1n n n na na n ρ+→∞→∞===+所以,1 1.R ρ== 又当1t =-时,级数变为:()11n ∞=-∑发散;而当1t =时,级数变为:11n ∞=∑,发散.因此,当11t -<<时,1n n t ∞=∑收敛.故当11ln 1x e x e --<<⇒<<时原级数收敛,所以()121nn x n∞=+∑的收敛域为()1,.e e -(3). 21n n n x∞=∑;令1t x =则原级数变为:21n n n t ∞=∑因为()2121lim ||lim 1,n n n n n a a n ρ+→∞→∞+===所以,11.R ρ== 又当1t =-时,级数变为:()211n n ∞=-∑收敛;而当1t =时,级数变为:21n n ∞=∑,发散.因此,当11t -<<时,21n n n t ∞=∑收敛.故当1111x x-<<⇒-∞<<-或1.x <<+∞时原级数收敛,所以21n n n x∞=∑的收敛域为()(),11,.-∞-⋃+∞(4). 111.211nn x n x ∞=-⎛⎫⎪++⎝⎭∑令11x t x -=+则原级数变为:11.21nn t n ∞=+∑因为121lim ||lim 1,23n n n na n a n ρ+→∞→∞+===+所以,1 1.R ρ== 又当1t =-时,级数变为:()11121nn n ∞=-+∑收敛; 而当1t =时,级数变为:1121n n ∞=+∑,发散.因此,当11t -≤<时,1121nn t n ∞=+∑收敛.故当11101x x x --≤<⇒>+ 时原级数收敛,所以111.211nn x n x ∞=-⎛⎫⎪++⎝⎭∑的收敛域为()0,.+∞11.(书中P389,第1题)利用基本展开式将下列函数展开成简单幂级数,并确定展开式成立的区间:(1).()()1112x x +-;(2). 2x x e e shx --=;(3). x 2sin ;(4). ⎪⎭⎫ ⎝⎛+-x x 11ln ;(5).(6).(7). arctan x ; (8). arcsin .x 【解】(1) ()()11212111...112312131231x x x x x x⎛⎫=+=+ ⎪+--+-+⎝⎭ .其中()100212111.22,.3123322n n n n n x x x x ∞∞+==⎛⎫==-<< ⎪-⎝⎭∑∑ ()()()001111.1,11.3133n n n n n x x x x ∞∞===-=--<<+∑∑ 所以()()()10111121,.112322nn n n x x x x ∞+=⎛⎫⎡⎤=+--<< ⎪⎣⎦+-⎝⎭∑ (2). 2xx e e shx --=;由 ()0,,.!nxn x e x n ∞==∈-∞+∞∑ 得 ()()01,,.!nnxn x ex n ∞-==-∈-∞+∞∑ 故 ()()1111.112222!x x nx x n n e e shx e e x n -∞-=-==-=--∑()()2101,,.21!k k x x k ∞+==∈-∞+∞+∑ ()()()()()2123.2sin .cos sin 2121!n nn x f x x x x n +∞='===-⇒+∑()()()()()()()()()21222100002011221!2221!n n xx n n n n n x x f x f f x dx dx n n n ++∞∞+==⎡⎤'=+=-=-⎢⎥+++⎢⎥⎣⎦∑∑⎰⎰()()()222112,.22!n nn n x x n +∞+==--∞<<+∞+∑.(4).因为()()(]10ln 11,1,11n nn x x x n +∞=+=-∈-+∑,()()()()[)1100ln 111,1,111n n nn n x x x x n n ++∞∞==--=-=-∈-++∑∑. 故 ()()()()11001ln ln 1ln 111111n n n n n x x x x x x n n ++∞∞==-⎛⎫=--+=--- ⎪+++⎝⎭∑∑ ()()()12100112,11.121n k nn n x xx n k ++∞∞==⎡⎤=---=--<<⎣⎦++∑∑(5)()3221!322112121!212121!21111x x x x x ⎪⎭⎫ ⎝⎛-⎪⎭⎫ ⎝⎛-+⎪⎭⎫ ⎝⎛-++=+=+...!121...12121...+⎪⎭⎫⎝⎛+-⎪⎭⎫ ⎝⎛-++n x n n ...232...232121!1...232121!312121!2121132+⎪⎭⎫ ⎝⎛--⎪⎭⎫ ⎝⎛-⎪⎭⎫ ⎝⎛-++⎪⎭⎫ ⎝⎛-⎪⎭⎫ ⎝⎛-+⎪⎭⎫ ⎝⎛-++=n x n n x x x ()()()()...212!!32!11...2!!3!31121!211211133222+⎪⎭⎫ ⎝⎛---++-+-++=-n n n x n n x x x ()()()()1223!!11.1122!!n nn n x x x n ∞-=-=++--≤≤∑(上述级数在端点处的敛散性请参考第3(13)题) (6)()3221!322112121!212121!211111x x x x x⎪⎭⎫ ⎝⎛--⎪⎭⎫ ⎝⎛--⎪⎭⎫ ⎝⎛-+⎪⎭⎫ ⎝⎛--⎪⎭⎫ ⎝⎛-+⎪⎭⎫ ⎝⎛-+=+=+-...!121...12121...+⎪⎭⎫⎝⎛+--⎪⎭⎫ ⎝⎛--⎪⎭⎫ ⎝⎛-++n x n n ...212...2321!1...252321!312321!2121132+⎪⎭⎫ ⎝⎛--⎪⎭⎫ ⎝⎛-⎪⎭⎫ ⎝⎛-++⎪⎭⎫ ⎝⎛-⎪⎭⎫ ⎝⎛-⎪⎭⎫ ⎝⎛-+⎪⎭⎫ ⎝⎛-⎪⎭⎫ ⎝⎛-+-=n x n n x x x ()()()()...212!!12!11...2!!5!3112!!3!2112111333222+⎪⎭⎫ ⎝⎛---++-+-+-=-n n n x n n x x x ()()n n nnx n n ∑∞=--+=12!!12!111()()()()11!!2!!12111≤<---+=∑∞=x x n n n n n . (上述级数在端点处的敛散性请参考第3(13)题)()()()2217.11n nn f x x x ∞='==-⇒+∑()()()()[]()()()()dx x f dx x f f f x f f x f xn n n x ⎰∑⎰⎥⎦⎤⎢⎣⎡-+='+=-+=∞=002010000 =()()[].1,1,121120-∈+-+∞=∑x n x n n n.(8). ()()()()122222111122211!2!f x x x x -⎛⎫⎛⎫⎛⎫---- ⎪ ⎪⎪⎝⎭⎝⎭⎝⎭⎡⎤'==+-=+-+-⎣⎦()()...!121...12121...!3221 (121212)32+-⎪⎭⎫ ⎝⎛+--⎪⎭⎫ ⎝⎛--⎪⎭⎫ ⎝⎛-++-⎪⎭⎫⎝⎛--⎪⎭⎫ ⎝⎛--⎪⎭⎫ ⎝⎛-+nx n n x()()nn nx n n 21!212...3.11∑∞=-+=()()n n x n n 21!!2!!121∑∞=-+=所以()()()()()()20121!!0012!!xx n n n f x f f x dx f x dx n ∞=⎡⎤-'=+=++⎢⎥⎣⎦∑⎰⎰()()21121!!,1 1.2!!21n n n x x x n n +∞=-=+-≤≤+∑12. (书中P390,第2题)将函数()()2ln 12f x x x =--: 展开成简单幂级数,并确定展开式成立的区间.【解】()()()()()()2ln 12ln 112ln 1ln 12.f x x x x x x x =--=+-=++-⎡⎤⎣⎦ 注意到()()(]10l n 11,1,11n nn x x x n +∞=+=-∈-+∑;()()()()111211ln 12112,,1122n n n n n n x x x x n n ++∞∞+==-⎡⎫-=-=-∈-⎪⎢++⎣⎭∑∑. 所以有()()()()1111100012112111nn n n nn n n n n x xf x x n n n +++∞∞∞++===--=-+-=+++∑∑∑,11,.22x ⎡⎫∈-⎪⎢⎣⎭13.(书中P390,第3题)按下面的要求,将函数()2132f x x x =++: (1) 展开成 简单幂级数(并指出收敛区间);(2) 在点04x =-展开成泰勒级数(并指出收敛区间). 【解】(1).()()()21111321212f x x x x x x x ===-++++++其中 ()()011,1,1.1n n n x x x ∞==-∈-+∑ ()()()10011111.11,2,2.2222212n n n n n n n x x x x x ∞∞+==⎛⎫==-=-∈- ⎪+⎝⎭+∑∑ 所以()()()()1100011111122n n n n n n n n n n n f x x x x ∞∞∞++===⎛⎫=---=-- ⎪⎝⎭∑∑∑,()1,1.x ∈- (2).()()()1111123424f x x x x x =-=-++-++-++ 又因为()()()1001111414,7,1.434333313n n n n n x x x x x ∞∞+==+⎛⎫=-=-=-+∈-- ⎪+-++⎝⎭-∑∑ ,()()()1001111414,6,2.24222212n n n n n x x x x ∞∞+==+⎛⎫=-=-=-+∈-- ⎪-++⎝⎭-∑∑ 所以,()()()110114,6,2.23n n n n f x x x ∞++=⎛⎫=-+∈-- ⎪⎝⎭∑ 14.(书中P390,第4题)把⎪⎪⎭⎫ ⎝⎛-x e dx d x 1展开成简单幂级数,并由此证明等式求()0 1.1!n n n ∞==+∑ 【解】(一)因为(),,!11∞+∞-∈=-∑∞=x n x e n nx()∑∑∞=∞=-+==-011!1!1n nn n x n x n x x e . =()()().,!1!11110∞+∞-∈+='⎥⎦⎤⎢⎣⎡+=⎪⎪⎭⎫ ⎝⎛-∑∑∞=-∞=x n nx n x x e dx d n n n n x (二)将1=x 代入(20)式,得:()().1111!1||1210=+-=⎪⎪⎭⎫ ⎝⎛-=+==∞=∑x x x x n x e x x e dx d n n。
无穷级数敛散性练习题(含答案)1.判断级数∑∞=1n n的敛散性。
解:u n =n, s n =1+2+3+…+n, →n lim s n =s ,该极限存在故原级数是收敛的2.判断级数∑∞=121n n的敛散性解:u n=21n,u n =21×21n-1,q =21<1,故原级数是收敛的若q ≥1,则说明级数是发散的3.若级数)(∑∞=-12n n u 是收敛的,求n n u lim ∞→解:有题意可知,)(n n u -∞→2lim =0,则n n u ∞→lim =2 若级数∑∞=1n n u 收敛,则通项n u 必趋于零,即n n u lim ∞→=0反之,未必成立4.证明调和级数∑∞=11n n 是发散的证明:取前2n项和n s 2=1+21+31+41+…+n21n s 2=1+21+31+41+51+61+71+81+…+n21=1+21+(31+41)+(51+61+71+81)+…+(1211+-n +…+n21)>21+(41+41)+(81+81+81+81)+…+(n21+n21+…+n21)=21+21+21+…+21 =2n n s n 2lim∞→≥2limn n ∞→=+∞,所以该级数是发散的若级数∑∞=1n n u 的通项u n ,当∞→n 时(注意是∞→n ,而不是1→n 或0→n )n n u ∞→lim ≠0,则级数∑∞=1n n u 是发散的5.p 级数的敛散性,级数∑∞=11n pn,当p ≤1时发散,当p >1时收敛 讨论级数∑∞=+12)1(1n n 的敛散性解:因为2)1(1+n <)1(1+n n ∑∞=+1)1(1n n n ,u n=)1(1+n n =(n 1-11+n )s n=(1-21+21-31+31+…+11-n -n 1)s n=(1-n1),n n s l i m ∞→=1故该级数是收敛的令u n =2)1(1+n ,v n =)1(1+n n6.判别级数∑∞=+1211n n的敛散性解:因为调和级数∑∞=11n n 发散nn n 1112lim+∞→=1,0<1<+∞故级数∑∞=+1211n n是发散的设级数∑∞=1n n u 与级数∑∞=1n n v 都是正项级数,且nn n v u lim∞→=L若L=0,且级数∑∞=1n n v 收敛,则级数∑∞=1n n u 收敛若L=+∞且级数∑∞=1n n v 发散,则级数∑∞=1n n u 发散7.p 级数敛散性的经验判别法∑∞=1n nu ,nu 关于n 的有理分式,当分子n 的最高次数为k ,分母n 的最高次数为m 若m -k >1,该级数是收敛的 若m -k ≤1,该级数是发散的例如级数∑∞=+121n n n,k=1,m=2,故该级数是发散的8.比值判别法 设∑∞=1n n u 为正项级数,且nn n u u 1lim+∞→=ρ(n u 中含n a ,n!) 当ρ<1,级数收敛当ρ>1(或ρ=+∞),级数发散 当ρ=1,级数可能收敛也可能发散 判别级数∑∞=1!n n nn 的敛散性解:n u =n n n !nn n n n n n !)1()!1(1lim+∞→++=!)1()1(!1limn n n n n nn n ∙+++∞→ =nnn n n )1(lim+∞→ =nn n n ⎥⎦⎤⎢⎣⎡+∞→1lim=⎥⎥⎥⎥⎦⎤⎢⎢⎢⎢⎣⎡⎪⎭⎫ ⎝⎛+∞→nn n 111lim=e1 ρ=e1<1故该级数收敛。
无穷级数例题选解1.判别下列级数的敛散性:212111111!21(1)sin;(2)ln(1);(3);(4)()32n nn n n n n n nnnn ∞∞∞∞+====++-∑∑∑∑2.判别下列级数是绝对收敛,条件收敛,还是发散?(1)211(1)[3n nn n ∞-=-+∑; (2)21cos 3nn n n ∞=∑; (3)11(1)n n ∞-=-∑。
3.求幂级数0nn ∞=∑的收敛区间。
4.证明级数1!nnn n x n∞=∑当||x e <时绝对收敛,当||x e ≥时发散。
5.在区间(1,1)-内求幂级数11n n xn+∞=∑的和函数6. 求级数∑∞=-222)1(1n nn 的和。
7.把()arctan f x x =展开成 x 的幂级数,并求级数 0(1)3(21)nnn n ∞=-+∑ 的和8.设11112,()2n n na a a a +==+(1,2,n = )证明1)lim n n a →∞存在; 2)级数11(1)n n n a a ∞=+-∑收敛。
9.设40tan nn a xdx π=⎰,1) 求211()n n n a a n∞+=+∑的值;2) 试证:对任意的常数0λ>,级数1n n a nλ∞=∑收敛。
10.设正项数列}{n a 单调减少,且∑∞=-1)1(n n n a 发散,试问∑∞=⎪⎪⎭⎫⎝⎛+111n nn a 是否收敛?并说明理由。
11.已知222111358π+++= ,计算1011ln 1xdx x x +-⎛⎜⎠。
12.计算48371115!9!3!7!11!πππππ++++++。
参考答案:1.解:(1)2211sin n n<,而∑∞=121n n收敛,由比较审敛法知∑∞=121sinn n收敛。
(2))(1~)11ln(∞→+n nn,而∑∞=11n n 发散,由比较审敛法的极限形式知∑∞=+1)11ln(n n发散。
第10章 无穷级数练习和习题解答练 习 10.11.写出下列级数的一般项: (1) +-+-+-111111; 解:该级数一般项为1)1(--=n n u(2) +-+-97535432a a a a ; 解:该级数一般项为12)1(11+-=++n a u n n n (3)++++1741035221; 解:该级数一般项为12+=n nu n(4) +++++-635241021.解:该级数一般项为12+-=n n u n2.用定义判断下列级数的收敛性: (1)∑∞=-0)1(n n解: 01111112=-++-+-= n S ,1111111112=+-++-+-=+ n S 显然n n S ∞→lim 不存在,故原级数发散.(2)∑∞=+11lnn nn 解:ln )1ln(1ln-+=+=n nn u n [])1ln(ln )1ln()3ln 4(ln )2ln 3(ln )1ln 2(ln +=-+++-+-+-=n n n S n∞=∞→n n S lim ,故原级数发散.(3)∑∞=⋅15199n n解:)511(49951)511(51995199519911nn n k k n k k n S -=--==⋅=∑∑== 499lim =∞→n n S ,故原级数收敛. (4)∑∞=-0)1(n nn x 解:x x x x x x S nn n k kn k kkn +--=----=-=-=∑∑-=-=1)(1)(1)(1)()1(110 ⎪⎩⎪⎨⎧≥-≤<<-+=+--=∞→∞→时或不存在,时1111,111)(1lim lim x x x xx x S nn n n ,所以当11<<-x 时原级数收敛,当1-≤x 或 1≥x 时原级数发散.(5)∑∞=+-1)12)(12(1n n n 解:⎥⎦⎤⎢⎣⎡+--=+-=)12(1)12(121)12)(12(1n n n n u n⎥⎦⎤⎢⎣⎡+-=)12(1121n S n ,21lim =∞→n n S ,故原级数收敛.练 习 10.21.根据级数收敛的性质判断下列级数的敛散性: (1)∑∞=-1212n n n ; 解:因为通项)(1212∞→→-=n nn u n ,不满足通项极限为零的级数收敛的必要条件,故原级数发散.(2)∑∞=16sinn n π; 解:因为6sinlim lim πn u n n n ∞→∞→=不存在,不满足通项极限为零的级数收敛的必要条件,故原级数发散.(3)∑∞=⋅11sin n n n ;解:因为011sin lim lim ≠==∞→∞→nn u n n n ,故原级数发散. (4)∑∞=151n n;解:因为0151lim lim ≠==∞→∞→nn n n u ,故原级数发散. (5)∑∞=-1623n nnn ; 解:因为∑∑∑∞=∞=∞=⎥⎥⎦⎤⎢⎢⎣⎡⎪⎭⎫ ⎝⎛-⎪⎭⎫ ⎝⎛=⎥⎦⎤⎢⎣⎡-=-11131216263623n n n n n n n n n nn n ,而级数∑∞=⎪⎭⎫⎝⎛121n n 和∑∞=⎪⎭⎫ ⎝⎛131n n 均为公比小于1的几何级数,都收敛,因此原级数收敛.(6)∑∑∞==+1011001212n n n n ; 解:因为级数∑∞=10121n n收敛,在其前面加上100项后的新级数仍然收敛. (7)∑∞=+1)2131(n n n 解:因为级数∑∞=131n n 为发散调和级数,而级数∑∞=121n n 为收敛的几何级数,收敛级数和发散级数之和发散.2.若级数∑∞=1n nu收敛,指出下列哪些级数是一定收敛的,哪些级数是发散的.(1)∑∞=--21)(n n nu u;解:因为级数∑∞=1n nu收敛,所以级数∑∞=2n nu和∑∞=-21n n u也收敛,因此原级数也收敛.(2)∑∞=+1n kn u( k 为某一确定的自然数)解:因为级数∑∞=1n nu收敛,而级数∑∞=+1n kn u相当于级数∑∞=1n nu去除前k 项后的新级数也收敛.(3)∑∞=11n nu 解:因为级数∑∞=1n n u 收敛,所以0lim =∞→n n u ,故∞=∞→nn u 1lim ,即级数∑∞=11n n u 发散.练 习 10.31.用比较判别法判别下列级数的敛散性:(1)121nn n n ∞=⎛⎫⎪+⎝⎭∑;解:因为通项nnnn n n n n u ⎪⎭⎫ ⎝⎛=⎪⎭⎫ ⎝⎛<⎪⎭⎫ ⎝⎛+=21212,而级数∑∞=⎪⎭⎫⎝⎛121n n为收敛的几何级数,根据比较判别法,级数∑∞=⎪⎭⎫⎝⎛+112n nn n 收敛.(2)21121n n∞=+∑;解:因为通项221121n n u n <+=,而级数∑∞=121n n为收敛的p -级数,根据比较判别法,级数21121n n∞=+∑收敛.(3)1n ∞=;解:因为通项21)2(1)2(12+=+>+=n n n n u n ,而级数∑∞=+121n n 相当于发散调和级数∑∞=31n n,根据比较判别法,级数1n ∞=发散.(4)11n na b∞=+∑ )0,0(>>b a ;解:因为通项)(11b a n b na u n +>+=,又调和级数∑∞=11n n 发散,因此级数∑∞=+1)(1n b a n 也发散,根据比较判别法,原级数∑∞=+11n bna 也发散. (5)311031n nn ∞=-∑; 解:令13103-=n n u n ,21n v n =,显然参照级数∑∞=021n n为收敛的p -级数,而2311310limlim n n nv u n nn n -=∞→∞→3101310lim 33=-=∞→n n n ,根据比较判别法的极限形式,可知原级数311031n nn ∞=-∑也收敛. (6)2111n n n ∞=++∑; 解:令112++=n n u n ,21n v n =,显然参照级数∑∞=021n n为收敛的p -级数,而111lim lim 22=++=∞→∞→nn n v u n nn n ,根据比较判别法的极限形式,可知原级数2111n n n ∞=++∑也收敛.(7)1n ∞=; 解:令1212-++=n n n u n ,2/31n v n =,显然参照级数∑∞=02/31n n为收敛的p -级数,而2/321121lim lim n n n n v u n nnn -++=∞→∞→1121lim 22/3=-++=∞→n n n n n ,根据比较判别法的极限形式,可知原级数1n ∞=也收敛.(8)n ∞=解:因为通项2/34411nn nn n u n =<+=,参照级数∑∞=02/31n n 为收敛的p -级数,根据比较判别法,原级数1n ∞=也收敛.2.用比值判别法或根值判别法判别下列级数的敛散性: (1)∑∞=+112tann n n π;解:因为1212t a n 2t a n 1(l i m l i m 121<=+=++∞→+∞→n n n nn n n n u uππ),根据比值判别法,原级数∑∞=+112tann n n π收敛.(2)∑∞=⋅123n nnn ; 解:因为12323lim lim >=⋅=∞→∞→nn n n nn n n u ,根据根值判别法,原级数∑∞=⋅123n n nn 发散. (3)11nn n∞=∑;解:因为101lim 1lim lim <===∞→∞→∞→n n u n n n n nn n ,根据根值判别法,原级数11n n n∞=∑收敛.(4)2113n n n n n ∞=+⎛⎫⎪⎝⎭∑; 解:因为13311lim 31limlim 2<=⎪⎭⎫⎝⎛+=⎪⎭⎫⎝⎛+=∞→∞→∞→e n n n u nn nn n n n n n ,根据根值判别法,原级数2113n n n n n ∞=+⎛⎫ ⎪⎝⎭∑收敛.(5)211(1)n n n ∞=-∑; 解:因为1111lim 11lim lim 2<=⎪⎭⎫ ⎝⎛-=⎪⎭⎫ ⎝⎛-=∞→∞→∞→en n u nn n n n n n n ,根据根值判别法,原级数211(1)n n n ∞=-∑收敛. (6)[]11ln(1)nn n ∞=+∑.解:因为()10)1ln(1lim )1ln(1lim lim <=+=+=∞→∞→∞→n n u n nn n n n n ,根据根值判别法,原级数[]11ln(1)nn n ∞=+∑收敛.3. 判别下列级数的敛散性,若收敛,指出是绝对收敛还是条件收敛:(1)1(1)21nn n ∞=--∑;解:该级数为交错级数,令121-=n u n ,由于11)1(21121+=-+>-=n n u n n u ,且0121lim lim =-=∞→∞→n u n n n ,根据交错级数收敛判别法,该级数收敛.又由于∑∞=0n n u 是发散的调和级数,因此原级数1(1)21n n n ∞=--∑条件收敛.(2)11(1)(1)n nnn n n -∞=-+∑; 解:由于01111lim 1lim )1(lim lim ≠=⎪⎭⎫ ⎝⎛+-=⎪⎭⎫ ⎝⎛+=+=∞→∞→∞→∞→e n n n n n u nn n n n n n n n ,不满足级数收敛的必要条件,因此原级数11(1)(1)n nnn n n -∞=-+∑发散. (3)11(1)2n n n n ∞+=-∑;解:该级数为交错级数,其对应的正项级数∑∞=12n nn收敛,因此该级数绝对收敛.(4)11cos 4nn n ππ∞=∑; 解:令4cos 1ππn u n n =,由于n n n n u πππ14cos 1≤=,而级数∑∞=01n n π是收敛的p -级数,根据比较判别法级数∑∞=0n n u 收敛,因此原级数11cos4nn n ππ∞=∑绝对收敛. (5)11(1)n pn n -∞=-∑. 解:该级数为交错级数,令p n nu 1=,根据p -级数的收敛性质,我们知道,1>p 时,∑∞=01n pn收敛,因此原级数11(1)n pn n -∞=-∑绝对收敛;10≤<p 时,∑∞=01n pn发散,n p p n u n n u =<+=+1)1(11,且0lim =→∞n n u ,根据莱布尼茨判别法,原级数11(1)n p n n -∞=-∑收敛,且为条件收敛;0≤p 时,p n nu 1=单调递增,0lim ≠∞→n n u ,不满足级数收敛的必要条件,原级数11(1)n pn n -∞=-∑发散.练 习 10.41.求下列幂级数的收敛域: (1)11ln(1);1n n n x n ∞+=++∑ 解:令1)1ln(++=n n a n ,1)1ln(12)2ln(lim lim 1=++++=→∞+→∞n n n n a a n nn n ,收敛半径1=R ,收敛区间为)1,1(-,当1=x 时,级数∑∞=++11)1ln(n n n 发散,当1-=x 时,级数∑∞=+++-111)1ln()1(n n n n 收敛,所以原级数的收敛域为)1,1[-.(2)1(2);!nn x n ∞=∑解:令!2n a n n =,012lim 2!)!1(2lim lim 11=+=⋅+=→∞+→∞+→∞n n n a a n n n n nn n ,所以收敛半径为+∞=R ,原级数的收敛域为),(+∞-∞.(3)1();nn nx ∞=∑解:令nn n a =,+∞=++=+=→∞+→∞+→∞)1()1(lim )1(lim lim 11n n n n n a a n nn n n n nn n ,所以收敛半径为0=R ,原级数只在0=x 处收敛.(4)21;n n n x ∞=∑解:令n n n n a 2)1(-+=,2x t =,原关于2x 的幂级数化为关于t 的幂级数∑∞=-+12)1(n n n t n n ,n n n nn n n n n n a a 2)1(2)12(lim lim 11-++-+=+→∞+→∞ 21212lim =+++++⋅=→∞n n nn n ,∑∞=-+12)1(n nn t n n 收敛半径211=R ,∑∞=-+122)1(n nn x n n 的收敛半径为222=R ,当22±=x 时,级数∑∑∞=∞=-+=⎪⎪⎭⎫ ⎝⎛-+112)1(222)1(n n nnn n n n 发散,因此,原幂级数的收敛域为⎪⎪⎭⎫⎝⎛-22,22. (5) nn n x n)1(21-∑∞=解:设1-=x y ,na nn 2=,原关于1-x 的幂级数转化为关于y 的幂级数.22lim lim ==→∞→∞n n n n n n n a ,幂级数n n n y n∑∞=12的收敛半径为21=R ,收敛区间为⎪⎭⎫⎝⎛-21,21因此幂级数n n n x n)1(21-∑∞=的收敛半径也为21=R ,收敛区间为⎪⎭⎫⎝⎛23,21,当21=x 时,级数∑∑∞=∞=-=-111)1()21(2n n n n n n n 收敛,当23=x 时,级数∑∑∞=∞==111)21(2n n n n n n 发散,因此,幂级数n n n x n)1(21-∑∞=的收敛域为⎪⎭⎫⎢⎣⎡23,21.2.利用例10-33的结果,求级数12(1)!n n n +∞=+∑的和.解:根据例10-33,0,(,).!nx n x e x n ∞==∈-∞+∞∑∑∞=++01)!1(2n n n ∑∞==1!2n n n 1!20-=∑∞=n nn 12-=e . 3.求幂级数21021n n x n +∞=+∑的和函数,并求级数21011212n n n ∞+=+∑的和. 解:设∑∞=++=01212)(n n n x x S ,两边同时对x 求导,得'⎪⎪⎭⎫ ⎝⎛+='∑∞=+01212)(n n n x x S ∑∞=+'⎪⎪⎭⎫ ⎝⎛+=01212n n n x ∑∞==02n nx 211x -=,11<<-x 两边同时在],0[x 上积分,得='⎰xdx x S 0)(⎰-xdx x 0211xx S x S -+=-11ln 21)0()(,由0)0(=S ,得 xx x S -+=11ln 21)(,11<<-x ,即 21021n n x n +∞=+∑x x -+=11ln 21,11<<-x3ln 2121211ln21)21(2112121121120120=-+==⎪⎭⎫⎝⎛+=++∞=+∞=∑∑S n n n n n n . 练 习 10.51. 写出下列函数的n 阶麦克劳林公式:(1))1ln()(x x f += 解:x x f +='11)(,2)1(1)(x x f +-='',kk k x k x f )1()!1()1()(,1)(+--=- , ,3,2=k , 0)0(=f ,1)0(='f ,)!1()1()0(1)(--=-k f k k , ,3,2=k)(!)0()1ln()(0)(x R x k f x x f n knk k +=+=∑= 1111)1)(1()1(1)1(++=-++-+-=∑n n n k nk k x n x k ξ,ξ在0到x 之间,]1,1(-∈x (2).)1()(αx x f +=解:1≠α时,1-)1()(ααx x f +=',2-)1(1-)(αααx x f +='')(,1)0(=f ,k k x k x f -++--=αααα)1)(1(1)()( )()1(1)0()(+--=k f k ααα )(, )(!)0()1()(0)(x R x k f x x f n knk k +=+=∑=α)(!)1()1(!2)1(12x R x n n x x n n ++--++-++=αααααα其中11!)1)(()1()(+--+--=n n n x n x n x R αθααα ,10<<θ.2.将下列函数展开成x 的幂级数,并求收敛域: (1)22)(x e x x f =;解:由于 +++++=!!212n x x x e nx,+∞<<∞-x所以 +++++=!2!2221222n x x x e n nx ,+∞<<∞-x)!2!2221()(22222 +++++==n x x x x e x x f n nx+++++=+!2!22222432n x x x x n n∑∞=+=02!2n n n n x ,+∞<<∞-x (2)2cos)(2x x f =; 解: 2cos 12cos )(2x x x f +==x cos 2121+= 由于∑∞=-=02)!2()1(cos n nn n x x ,+∞<<∞-x∑=-+=+=n n nn n x x x f 02)!2()1(2121cos 2121)(,+∞<<∞-x (3))1ln()(2x x x f ++=.解: 212222111122111)(-+=+=⎪⎪⎭⎫ ⎝⎛++++='(x xx x x x x f 根据++--++-++=+n x n n x x x !)1()1(!2)1(1)12ααααααα(,11<<-x ,可知2121)()(x x f +=' +-----++--+-=n x n n x x 242!)212()25)(23)(21(!2)23)(21(211+-⋅⋅⋅⋅-++⋅+-=n n n x n n x x 2422!2)12(5311!2231211)( +-⋅⋅⋅⋅-+=∑∞=12!2)12(53111n nn nx n n )(,11<<-x两边在],0[x 上积分∑∞=++-⋅⋅⋅⋅-+=-112)12(!2)12(5311)0()(n n nnx n n n x f x f )(,11≤≤-x由于0)0(=f ,所以∑∞=++--+=++=1122)12(!)!2(!)!12(1)1ln()(n n nx n n n x x x x f )(,11≤≤-x 3.将函数x x f ln )(=展开成1-x 的幂级数. 解:对)(x f 求导,得 x x f 1)(=')1(11-+=x 由于∑∞=-=+-++-+-=+032)1()1(111n n n nn x x x x x x ,11<<-x所以∑∞=--=-+='0)1()1()1(11)(n n n x x x f ,111<-<-x上式两边在区间],1[x 上积分,得∑∞=++--=-011)1()1()1()(n n nn x f x f ,111≤-<-x 由于0)1(=f ,因此∑∞=---==11)1()1(ln )(n nn nx x x f ,210≤-<x . 4.利用函数的幂级数展开式求下列各数的近似值: (1)e (精确到0.001)解:根据)(!0x R k x e n nk kx+=∑=,1)!1()(++=n n x n e x R ξ,ξ在0到x 之间21=x 时,只要 311021)!1()21(-+<⎪⎭⎫⎝⎛+=n n n e R ξ,即只要 3111021)!1(221)!1()21(-++<⎪⎭⎫⎝⎛+<⎪⎭⎫ ⎝⎛+=n n n n n e R ξ当4=n 时,3414102!5121)!14(2-+<⋅=⎪⎭⎫⎝⎛+,所以只要去展开式的前5项就可得到满足精度的近似值:648.121234121231212121121!14324021≈⎪⎭⎫⎝⎛⋅⋅+⎪⎭⎫ ⎝⎛⋅+⎪⎭⎫ ⎝⎛++=⎪⎭⎫ ⎝⎛≈∑=k k k e(2)5250(精确到0.001)解:515555243713737243250⎪⎭⎫ ⎝⎛+=+=+= 根据)(!)1()1(!2)1(1)12x R x n n x x x n n++--++-++=+ααααααα (,11<<-x 取51=α,2437=x ,001.051!)51()251)(151(5151!)51)(()1()51(111<⎪⎭⎫ ⎝⎛---<⎪⎭⎫ ⎝⎛+--=++--n n n n n n n n R αθααα当3=n ,003.000022.051!)51()251)(151(51)51(1<≈⎪⎭⎫ ⎝⎛---<+n n n n R0057.12437!3)251)(151(512437!2)151(512437511)243713251≈⎪⎭⎫ ⎝⎛--+⎪⎭⎫ ⎝⎛-++=+( 017.30057.13243713250515=⨯≈⎪⎭⎫ ⎝⎛+=(3)3ln (精确到0.0001) 解:)31ln(1)31(ln ))3(ln(3ln eee e e e e -++=-+=-+= 根据1111)1)(1()1(1)1()1ln(++=-++-+-=+∑n n n k nk k x n x k x ξ,ξ在0到x 之间,]1,1(-∈x 取eex -=3,1113)1(1)1)(1()1(+++⎪⎭⎫ ⎝⎛-+≤++-n n n n e e n x n ξ,当3=n 时,0001.00000288.03)1(1)1)(1()1(111<≈⎪⎭⎫ ⎝⎛-+≤++-+++n n n n e e n x n ξ,取展开式的前3项即可得到近似值:0986.133********)1(1)31ln(13ln 32311≈⎪⎭⎫⎝⎛-+⎪⎭⎫ ⎝⎛--⎪⎭⎫ ⎝⎛-+=⎪⎭⎫ ⎝⎛--+=-++=∑=-e e e e e e e e k e e k k k (4)。
无穷级数一、判断下列级数的敛散性,若收敛,求出其和1、1n∞=∑解:因为111nnknkS===⎡⎤=-⎣⎦=-=+-∑∑所以lim1nnS→∞=故11n∞==-∑2、1n∞=解:因为10n==≠,所以1n∞=发散。
3、13(1)nnnnn∞=+∑解:因为313lim3lim01(1)(1)nnn n nnn en→∞→∞==≠++,所以13(1)nnnnn∞=+∑发散。
4、11123n nn∞=⎛⎫+⎪⎝⎭∑解:111111111332.11232321123n n n n n n n ∞∞∞===⎛⎫+=+=+= ⎪--⎝⎭∑∑∑注:常用极限及公式:11, (0), 1, lim 1.nn n n a e n →∞⎛⎫=>=+= ⎪⎝⎭[]1(1)()(1)(1)n n k S f k f k f n f ==+-=+-∑,11||1, .1n n a q aq q∞-=<=-∑ 二、 用比较判别法判断下列正项级数的敛散性1、11cos n nπ∞=⎛⎫- ⎪⎝⎭∑解: 因为 2221cos2sin22n u nnn πππ=-=≤而级数 222211122n n n n ππ∞∞===∑∑收敛,故11cos n n π∞=⎛⎫- ⎪⎝⎭∑收敛。
2、11235(21)n n n -∞=⋅⋅-∑L解:因为 112235(21)3n n n u n --⎛⎫=≤ ⎪⋅⋅-⎝⎭L而级数1123n n -∞=⎛⎫⎪⎝⎭∑收敛,故11235(21)n n n -∞=⋅⋅-∑L 收敛。
3、125n n n n ∞=⎛⎫⎪+⎝⎭∑解:因为 1252nnn n u n ⎛⎫⎛⎫=≤ ⎪ ⎪+⎝⎭⎝⎭而级数112n n ∞=⎛⎫ ⎪⎝⎭∑收敛,故125nn n n ∞=⎛⎫⎪+⎝⎭∑收敛。
4、12(21)3nnn n ∞=-⋅∑解:因为 22(21)33nn n nu n ⎛⎫=≤ ⎪-⋅⎝⎭而级数123nn ∞=⎛⎫⎪⎝⎭∑收敛,故12(21)3n nn n ∞=-⋅∑收敛。
无穷级数单元测试题
答案
精品资料
仅供学习与交流,如有侵权请联系网站删除 谢谢
2
第十二章 无穷级数单元测试题答案
一、判断题
1、对;2、对;3、错;4、对;5、对;6、对;7、对;8、错;
9、错;10、错
二、选择题
1、A 2、A 3、D 4、C 5、D 6、C 7、C 8、B
三、填空题
1、2ln 2、收敛 3、5 4、33,1248,
,...3,1,21,...4,2,0,21)(k
k
kS
四、计算题
1、判断下列级数的收敛性
(1)1131arcsin)1(nnn
解:这是一个交错级数,
1arcsin31arcsin13lim13nnunnn,所以nu发散。
又由莱布尼茨判别法得
111arcsinarcsin33(1)nnuunn
并且1limlimarcsin03nnnun,满足交错级数收敛条件,
精品资料
仅供学习与交流,如有侵权请联系网站删除 谢谢
3
故该交错级数条件收敛。
(2)11nnnn
解:limlim()[lim()]1011nnnnnnnnunn
不满足级数收敛的必要条件,故级数发散。
(3)
)0,(,31211ba
bababa
解:另设级数1()nvnab
1111111(1)()23nnnvnababn
上式为1ab与一个调和级数相乘,故发散
又11()nnuvnabnab,
由比较审敛法可知,原级数发散。
(4)nn134232
解:1limlim10nnnnun
不满足级数收敛的必要条件,故该级数发散
2、利用逐项求导数或逐项求积分或逐项相乘的方法,求下列级数在
收敛区间上的和函数
(1) 753753xxxx
解:设357()357xxxfxx(补充条件1x,或求出R)
精品资料
仅供学习与交流,如有侵权请联系网站删除 谢谢
4
逐项求导,得24621()11fxxxxx
(这是公比21qx的几何级数)
积分,得2001()()1xxfxfxdxdxx
=0111()211xdxxx=11ln21xx
即753753xxxx=11ln21xx
(2)433221432xxx
解:设234()122334xxxfx(补充条件1x,或求出R)
逐项求导,得23()123nxxxxfxn
再逐项求导,得21()1nfxxxx
积分一次,得001()()ln(1)1xxfxfxdxdxxx
再积分一次,得00()()ln(1)(1)xxfxfxdxxdx
= 0(1)ln(1)(1)ln(1)xxxxdx = 0(1)ln(1)(1)xxxdx
= (1)ln(1)xxx
即433221432xxx=(1)ln(1)xxx
(3)13951392xxx
解:设5913()5913xxxfx(补充条件1x,或求出R)
逐项求导,得448124()1xfxxxxx
(这是公比41qx的几何级数)
精品资料
仅供学习与交流,如有侵权请联系网站删除 谢谢
5
积分,得4001()()(1)1xxfxfxdxdxx
= 220111()211xxdxxx= 111lnarctan412xxxx
即59135913xxx=111lnarctan412xxxx
3、将下列函数展开为x的幂级数,并指出其收敛半径
(1)xtdt041
解:411t是级数481441(1)nnttt之和
所以481444001(1(1))1xxnndttttdtt
=1591343111(1)591343nnxxxxxn
收敛半径141limlim143nnnnanRan
(2))1ln(2xx
解:2222121[ln(1)](1)1211xxxxxxx
所以12222001ln(1)(1)1xxxxdxxdxx
=2222011111(1)(1)(1)122222[1()()]22!!xnnxxxdxn
=357212131352(2)!(1)()232452467(!)(21)2nnxxxnxxnn
收敛半径为1R
(3)xarcsin
解:122200arcsin(1)1xxdxxxdxx
精品资料
仅供学习与交流,如有侵权请联系网站删除 谢谢
6
=242011111(1)(1)(1)122222[1()]22!!xnnxxxdxn
=357212131352(2)!()232452467(!)(21)2nxxxnxxnn
收敛半径为1R (arcsin,1yxx)
(4) xex3
解:因为 21112!!xnexxxn,
所以2111()()()2!!xnexxxn
=2111()2!!nxxxn
因此3()xfxxe=3211(1())2!!nxxxxn
=345311()2!!nxxxxn
=30(1)!nnnxn (,)x
4.将函数)0()(xxxf分别展开成正弦级数和余弦级数.
解:(1)先求正弦级数,,将()fx奇周期延拓
0na,只有nb,
02()sinnbfxnxdx=02()sinxnxdx
=0022sinsinnxdxxnxdx
=0022cos(cos)nxxdnxnn
=0022(cos1)[coscos]nxxnxnxdxnn
=222[(1)1](1)nnnnn
所以()fx展开成正弦级数为
精品资料
仅供学习与交流,如有侵权请联系网站删除 谢谢
7
111()sin2sinnnnfxbnxnxn
在端点0x时,级数之和不能代表原函数,
x
时,级数之和能够代表原函数,所以(0,]x
(2)再求余弦函数,将()fx偶周期延拓
0nb,只有0a,na
2000221()[]2axdxxx=
02()cosnafxnxdx=02()cosxnxdx
=0022coscosnxdxxnxdx
=00221sin(sin)nxxdnxnn
=22(cos1)nn=22[1(1)]nn
=20,24,21(21)nmnmm
所以()fx展开成余弦级数为
0
1()cos2nnafxanx2141cos(21)2(21)nmxm
,[0,]x