2015四川高考录取分数线及历年录取分数段汇总
- 格式:pdf
- 大小:206.22 KB
- 文档页数:2
分数人数累计638分332 637分436 636分440 635分343 634分548 633分452 632分759 631分867 630分673 629分780 628分787 627分1299 626分12111 625分15126 624分9135 623分16151 622分16167 621分20187 620分19206 619分22228 618分12240 617分21261 616分40301 615分26327 614分28355 613分25380 612分28408 611分35443 610分46489 609分35524 608分37561 607分47608 606分36644 605分52696 604分49745 603分55800 602分65865 601分60925600分62987 599分691056 598分561112 597分681180 596分631243 595分741317 594分851402 593分941496 592分901586 591分941680 590分871767 589分1121879 588分991978 587分972075 586分1212196 585分1222318 584分1202438 583分1102548 582分1212669 581分1342803 580分1142917 579分1423059 578分1473206 577分1473353 576分1523505 575分1653670 574分1553825 573分1844009 572分1694178 571分1704348 570分1784526 569分2004726 568分2094935 567分2115146 566分2145360 565分2075567 564分2285795 563分2406035 562分2686303561分2416544 560分2536797 559分2827079 558分2997378 557分2757653 556分2747927 555分3178244 554分2938537 553分3058842 552分3429184 551分3589542 550分3379879 549分36210241 548分38610627 547分35010977 546分36011337 545分36111698 544分41212110 543分43212542 542分43612978 541分43513413 540分44513858 539分45714315 538分46514780 537分46115241 536分50115742 535分51016252 534分49416746 533分53517281 532分55417835 531分50018335 530分57418909 529分62519534 528分61820152 527分57220724 526分64621370 525分60421974 524分54922523 523分60423127522分61323740 521分64224382 520分64525027 519分67325700 518分68726387 517分65527042 516分69327735 515分62128356 514分68829044 513分63929683 512分69930382 511分71031092 510分72031812 509分73032542 508分71433256 507分75134007 506分75334760 505分73335493 504分73836231 503分71336944 502分77637720 501分76838488 500分71039198 499分77439972 498分73640708 497分76441472 496分82542297 495分78343080 494分80643886 493分80044686 492分79545481 491分80046281 490分79247073 489分77947852 488分76548617 487分80749424 486分85550279 485分77451053 484分78451837483分75852595 482分80253397 481分77054167 480分77154938 479分76855706 478分79456500 477分78757287 476分73258019 475分80558824 474分78959613 473分77360386 472分80861194 471分72861922 470分76162683 469分75763440 468分69864138 467分77664914 466分80165715 465分77466489 464分77767266 463分72267988 462分79868786 461分74469530 460分73270262 459分76171023 458分79171814 457分79572609 456分75973368 455分73674104 454分71574819 453分71675535 452分73576270 451分70776977 450分67377650 449分74978399 448分71879117 447分75579872 446分72580597 445分72881325444分73982064 443分74082804 442分69083494 441分70484198 440分70284900 439分69685596 438分68286278 437分73887016 436分72587741 435分72988470 434分66789137 433分70489841 432分65290493 431分69991192 430分69391885 429分65092535 428分72393258 427分71093968 426分67394641 425分67695317 424分70496021 423分70896729 422分70897437 421分71698153 420分67798830 419分67199501 418分690100191 417分687100878 416分697101575 415分707102282 414分693102975 413分641103616 412分699104315 411分730105045 410分685105730 409分684106414 408分648107062 407分675107737 406分685108422405分730109152 404分677109829 403分735110564 402分658111222 401分668111890 400分652112542 399分678113220 398分729113949 397分679114628 396分680115308 395分707116015 394分731116746 393分695117441 392分747118188 391分706118894 390分718119612 389分700120312 388分680120992 387分658121650 386分645122295 385分697122992 384分716123708 383分661124369 382分694125063 381分700125763 380分667126430 379分716127146 378分703127849 377分754128603 376分654129257 375分623129880 374分700130580 373分674131254 372分727131981 371分708132689 370分693133382 369分686134068 368分728134796 367分703135499366分640136139 365分673136812 364分693137505 363分680138185 362分734138919 361分708139627 360分666140293 359分738141031 358分686141717 357分690142407 356分647143054 355分692143746 354分687144433 353分660145093 352分716145809 351分729146538 350分715147253 349分669147922 348分685148607 347分706149313 346分653149966 345分652150618 344分668151286 343分663151949 342分680152629 341分685153314 340分674153988 339分632154620 338分703155323 337分689156012 336分669156681 335分690157371 334分647158018 333分650158668 332分691159359 331分651160010 330分671160681 329分661161342 328分610161952326分613163241 325分643163884 324分635164519 323分648165167 322分650165817 321分641166458 320分618167076 319分615167691 318分598168289 317分657168946 316分635169581 315分623170204 314分618170822 313分619171441 312分648172089 311分625172714 310分635173349 309分621173970 308分600174570 307分623175193 306分610175803 305分593176396 304分569176965 303分603177568 302分641178209 301分566178775 300分630179405 299分609180014 298分578180592 297分596181188 296分550181738 295分610182348 294分579182927 293分560183487 292分580184067 291分512184579 290分575185154 289分546185700287分554186822 286分555187377 285分613187990 284分529188519 283分567189086 282分580189666 281分541190207 280分562190769 279分519191288 278分508191796 277分552192348 276分524192872 275分546193418 274分547193965 273分530194495 272分547195042 271分514195556 270分528196084 269分516196600 268分468197068 267分527197595 266分537198132 265分513198645 264分487199132 263分483199615 262分484200099 261分484200583 260分487201070 259分462201532 258分477202009 257分501202510 256分450202960 255分456203416 254分478203894 253分459204353 252分441204794 251分476205270 250分451205721249分443206164 248分440206604 247分448207052 246分435207487 245分452207939 244分422208361 243分405208766 242分416209182 241分385209567 240分368209935 239分391210326 238分390210716 237分363211079 236分401211480 235分403211883 234分342212225 233分369212594 232分397212991 231分353213344 230分329213673 229分392214065 228分340214405 227分359214764 226分344215108 225分332215440 224分347215787 223分295216082 222分339216421 221分324216745 220分318217063 219分310217373 218分306217679 217分345218024 216分315218339 215分282218621 214分294218915 213分288219203 212分276219479 211分291219770210分267220037 209分285220322 208分305220627 207分250220877 206分260221137 205分244221381 204分228221609 203分219221828 202分236222064 201分217222281 200分220222501 199分240222741 198分217222958 197分188223146 196分195223341 195分191223532 194分221223753 193分199223952 192分178224130 191分204224334 190分171224505 189分196224701 188分161224862 187分160225022 186分149225171 185分152225323 184分163225486 183分138225624 182分157225781 181分143225924 180分128226052 179分122226174 178分114226288 177分112226400 176分116226516 175分126226642 174分116226758 173分117226875 172分126227001171分105227106 170分97227203 169分103227306 168分89227395 167分86227481 166分96227577 165分76227653 164分83227736 163分89227825 162分76227901 161分79227980 160分89228069 159分84228153 158分56228209 157分73228282 156分66228348 155分69228417 154分61228478 153分40228518 152分60228578 151分48228626 150分50228676 149分40228716 148分48228764 147分63228827 146分41228868 145分29228897 144分46228943 143分36228979 142分45229024 141分36229060 140分34229094 139分37229131 138分29229160 137分31229191 136分33229224 135分27229251 134分27229278 133分29229307132分29229336 131分33229369 130分28229397 129分20229417 128分16229433 127分18229451 126分16229467 125分15229482 124分20229502 123分15229517 122分10229527 121分20229547 120分15229562 119分11229573 118分12229585 117分15229600 116分9229609 115分9229618 114分11229629 113分13229642 112分10229652 111分11229663 110分9229672 109分10229682 108分7229689 107分9229698 106分5229703 105分11229714 104分7229721 103分5229726 102分7229733 101分11229744 100分7229751 99分9229760 98分8229768 97分5229773 96分9229782 95分8229790 94分322979392分7229810 91分3229813 90分7229820 89分6229826 88分2229828 87分4229832 86分3229835 85分6229841 84分4229845 83分5229850 82分4229854 81分5229859 80分3229862 79分5229867 77分7229874 76分4229878 75分3229881 74分3229884 73分5229889 72分3229892 71分5229897 70分3229900 69分2229902 68分1229903 67分5229908 66分5229913 65分1229914 64分4229918 63分3229921 62分2229923 61分5229928 60分1229929 58分1229930 57分3229933 56分3229936 55分1229937 54分1229938 53分422994251分2229945 50分1229946 49分1229947 48分1229948 45分1229949 44分1229950 43分1229951 42分2229953 39分1229954 38分1229955 36分1229956 35分1229957 34分2229959 33分1229960 31分2229962 27分1229963 26分1229964 24分5229969 23分1229970 22分1229971 20分1229972 19分2229974 17分4229978 16分2229980 15分2229982 14分4229986 13分1229987 12分2229989 10分1229990 9分1229991 8分2229993 6分1229994 3分1229995 1分1229996 0分3941233937。
2015年四川高考成绩分段表理科分数人数累计文科分数人数累计666分1360638分332 665分1171637分436 664分980636分440 663分888635分343 662分16104634分548 661分14118633分452 660分10128632分759 659分9137631分867 658分17154630分673 657分18172629分780 656分27199628分787 655分15214627分1299 654分34248626分12111 653分31279625分15126 652分27306624分9135 651分19325623分16151 650分33358622分16167 649分27385621分20187 648分39424620分19206 647分42466619分22228 646分40506618分12240 645分44550617分21261 644分48598616分40301 643分44642615分26327 642分53695614分28355 641分57752613分25380 640分58810612分28408 639分52862611分35443 638分66928610分46489 637分69997609分35524 636分681065608分37561 635分591124607分47608 634分871211606分36644 633分871298605分52696 632分941392604分49745 631分821474603分55800 630分971571602分65865 629分901661601分60925 628分1111772600分62987 627分1081880599分691056 626分1051985598分561112 625分1162101597分681180 624分1192220596分631243 623分1132333595分741317 622分1312464594分851402 621分1222586593分941496 620分1352721592分901586 619分1532874591分941680 618分1773051590分871767 617分1863237589分1121879 616分1573394588分991978 615分1633557587分972075614分1713728586分1212196 613分1693897585分1222318 612分1754072584分1202438 611分1954267583分1102548 610分2064473582分1212669 609分2184691581分1342803 608分2384929580分1142917 607分2095138579分1423059 606分2495387578分1473206 605分2305617577分1473353 604分2605877576分1523505 603分2406117575分1653670 602分2326349574分1553825 601分3026651573分1844009 600分2946945572分1694178 599分2697214571分1704348 598分2757489570分1784526 597分2977786569分2004726 596分3018087568分2094935 595分3238410567分2115146 594分3228732566分2145360 593分3389070565分2075567 592分3079377564分2285795 591分3659742563分2406035 590分37110113562分2686303 589分36510478561分2416544 588分37210850560分2536797 587分35911209559分2827079 586分38811597558分2997378 585分39711994557分2757653 584分38312377556分2747927 583分40612783555分3178244 582分41613199554分2938537 581分39513594553分3058842 580分42214016552分3429184 579分44214458551分3589542 578分43814896550分3379879 577分47815374549分36210241 576分45715831548分38610627 575分49916330547分35010977 574分49516825546分36011337 573分51817343545分36111698 572分52617869544分41212110 571分51618385543分43212542 570分54218927542分43612978 569分53119458541分43513413 568分55620014540分44513858 567分59620610539分45714315 566分60021210538分46514780 565分65621866537分46115241 564分57522441536分50115742 563分62023061535分51016252 562分62823689534分49416746 561分69224381533分53517281560分65125032532分55417835 559分64125673531分50018335 558分61326286530分57418909 557分63126917529分62519534 556分70927626528分61820152 555分69428320527分57220724 554分70729027526分64621370 553分72029747525分60421974 552分71530462524分54922523 551分76431226523分60423127 550分75131977522分61323740 549分74432721521分64224382 548分79233513520分64525027 547分79334306519分67325700 546分80635112518分68726387 545分82635938517分65527042 544分84036778516分69327735 543分77537553515分62128356 542分78538338514分68829044 541分84839186513分63929683 540分84540031512分69930382 539分89040921511分71031092 538分92241843510分72031812 537分86442707509分73032542 536分93743644508分71433256 535分95344597507分75134007 534分90445501506分75334760 533分93846439505分73335493 532分90847347504分73836231 531分95348300503分71336944 530分94749247502分77637720 529分97950226501分76838488 528分99751223500分71039198 527分98252205499分77439972 526分99253197498分73640708 525分97054167497分76441472 524分103855205496分82542297 523分106356268495分78343080 522分104357311494分80643886 521分104758358493分80044686 520分103559393492分79545481 519分106160454491分80046281 518分111561569490分79247073 517分103162600489分77947852 516分107363673488分76548617 515分110864781487分80749424 514分107165852486分85550279 513分111266964485分77451053 512分110868072484分78451837 511分117069242483分75852595 510分110470346482分80253397 509分118971535481分77054167 508分113772672480分77154938 507分120873880479分76855706506分121475094478分79456500 505分114476238477分78757287 504分118677424476分73258019 503分122878652475分80558824 502分115279804474分78959613 501分122381027473分77360386 500分120782234472分80861194 499分124383477471分72861922 498分122084697470分76162683 497分124485941469分75763440 496分125587196468分69864138 495分121088406467分77664914 494分117889584466分80165715 493分126990853465分77466489 492分121692069464分77767266 491分126893337463分72267988 490分125994596462分79868786 489分122695822461分74469530 488分121497036460分73270262 487分118298218459分76171023 486分121399431458分79171814 485分1201100632457分79572609 484分1214101846456分75973368 483分1215103061455分73674104 482分1247104308454分71574819 481分1221105529453分71675535 480分1226106755452分73576270 479分1234107989451分70776977 478分1220109209450分67377650 477分1222110431449分74978399 476分1220111651448分71879117 475分1294112945447分75579872 474分1240114185446分72580597 473分1292115477445分72881325 472分1244116721444分73982064 471分1210117931443分74082804 470分1179119110442分69083494 469分1194120304441分70484198 468分1171121475440分70284900 467分1172122647439分69685596 466分1190123837438分68286278 465分1251125088437分73887016 464分1156126244436分72587741 463分1237127481435分72988470 462分1192128673434分66789137 461分1207129880433分70489841 460分1197131077432分65290493 459分1141132218431分69991192 458分1138133356430分69391885 457分1162134518429分65092535 456分1154135672428分72393258 455分1136136808427分71093968 454分1157137965426分67394641 453分1085139050425分67695317452分1151140201424分70496021 451分1171141372423分70896729 450分1126142498422分70897437 449分1133143631421分71698153 448分1086144717420分67798830 447分1134145851419分67199501 446分1081146932418分690100191 445分1107148039417分687100878 444分1093149132416分697101575 443分1097150229415分707102282 442分1078151307414分693102975 441分1033152340413分641103616 440分1009153349412分699104315 439分1045154394411分730105045 438分1038155432410分685105730 437分1017156449409分684106414 436分1039157488408分648107062 435分1066158554407分675107737 434分1002159556406分685108422 433分1017160573405分730109152 432分1056161629404分677109829 431分948162577403分735110564 430分945163522402分658111222 429分993164515401分668111890 428分981165496400分652112542 427分994166490399分678113220 426分981167471398分729113949 425分908168379397分679114628 424分921169300396分680115308 423分975170275395分707116015 422分931171206394分731116746 421分925172131393分695117441 420分930173061392分747118188 419分945174006391分706118894 418分889174895390分718119612 417分964175859389分700120312 416分887176746388分680120992 415分882177628387分658121650 414分888178516386分645122295 413分838179354385分697122992 412分891180245384分716123708 411分827181072383分661124369 410分851181923382分694125063 409分860182783381分700125763 408分812183595380分667126430 407分845184440379分716127146 406分801185241378分703127849 405分805186046377分754128603 404分842186888376分654129257 403分824187712375分623129880 402分780188492374分700130580 401分806189298373分674131254 400分791190089372分727131981 399分793190882371分708132689398分802191684370分693133382 397分735192419369分686134068 396分777193196368分728134796 395分758193954367分703135499 394分759194713366分640136139 393分727195440365分673136812 392分777196217364分693137505 391分738196955363分680138185 390分684197639362分734138919 389分743198382361分708139627 388分729199111360分666140293 387分667199778359分738141031 386分696200474358分686141717 385分735201209357分690142407 384分732201941356分647143054 383分695202636355分692143746 382分680203316354分687144433 381分722204038353分660145093 380分637204675352分716145809 379分655205330351分729146538 378分662205992350分715147253 377分673206665349分669147922 376分669207334348分685148607 375分680208014347分706149313 374分617208631346分653149966 373分653209284345分652150618 372分664209948344分668151286 371分640210588343分663151949 370分642211230342分680152629 369分609211839341分685153314 368分622212461340分674153988 367分598213059339分632154620 366分601213660338分703155323 365分566214226337分689156012 364分566214792336分669156681 363分577215369335分690157371 362分601215970334分647158018 361分599216569333分650158668 360分568217137332分691159359 359分592217729331分651160010 358分567218296330分671160681 357分606218902329分661161342 356分598219500328分610161952 355分563220063327分676162628 354分577220640326分613163241 353分534221174325分643163884 352分596221770324分635164519 351分536222306323分648165167 350分544222850322分650165817 349分554223404321分641166458 348分520223924320分618167076 347分523224447319分615167691 346分516224963318分598168289 345分516225479317分657168946344分589226068316分635169581 343分522226590315分623170204 342分551227141314分618170822 341分531227672313分619171441 340分536228208312分648172089 339分542228750311分625172714 338分539229289310分635173349 337分516229805309分621173970 336分540230345308分600174570 335分533230878307分623175193 334分488231366306分610175803 333分511231877305分593176396 332分519232396304分569176965 331分523232919303分603177568 330分483233402302分641178209 329分511233913301分566178775 328分468234381300分630179405 327分495234876299分609180014 326分468235344298分578180592 325分464235808297分596181188 324分472236280296分550181738 323分468236748295分610182348 322分435237183294分579182927 321分493237676293分560183487 320分421238097292分580184067 319分469238566291分512184579 318分440239006290分575185154 317分466239472289分546185700 316分462239934288分568186268 315分450240384287分554186822 314分449240833286分555187377 313分439241272285分613187990 312分442241714284分529188519 311分455242169283分567189086 310分431242600282分580189666 309分426243026281分541190207 308分427243453280分562190769 307分433243886279分519191288 306分405244291278分508191796 305分394244685277分552192348 304分451245136276分524192872 303分397245533275分546193418 302分397245930274分547193965 301分387246317273分530194495 300分390246707272分547195042 299分388247095271分514195556 298分425247520270分528196084 297分408247928269分516196600 296分399248327268分468197068 295分387248714267分527197595 294分393249107266分537198132 293分388249495265分513198645 292分422249917264分487199132 291分371250288263分483199615290分375250663262分484200099 289分392251055261分484200583 288分365251420260分487201070 287分421251841259分462201532 286分363252204258分477202009 285分358252562257分501202510 284分370252932256分450202960 283分354253286255分456203416 282分366253652254分478203894 281分378254030253分459204353 280分368254398252分441204794 279分370254768251分476205270 278分373255141250分451205721 277分347255488249分443206164 276分350255838248分440206604 275分356256194247分448207052 274分341256535246分435207487 273分329256864245分452207939 272分370257234244分422208361 271分352257586243分405208766 270分338257924242分416209182 269分393258317241分385209567 268分351258668240分368209935 267分344259012239分391210326 266分302259314238分390210716 265分335259649237分363211079 264分306259955236分401211480 263分345260300235分403211883 262分319260619234分342212225 261分332260951233分369212594 260分310261261232分397212991 259分315261576231分353213344 258分342261918230分329213673 257分337262255229分392214065 256分313262568228分340214405 255分311262879227分359214764 254分293263172226分344215108 253分314263486225分332215440 252分276263762224分347215787 251分307264069223分295216082 250分332264401222分339216421 249分308264709221分324216745 248分318265027220分318217063 247分318265345219分310217373 246分283265628218分306217679 245分309265937217分345218024 244分312266249216分315218339 243分310266559215分282218621 242分316266875214分294218915 241分278267153213分288219203 240分306267459212分276219479 239分291267750211分291219770 238分264268014210分267220037 237分279268293209分285220322236分312268605208分305220627 235分318268923207分250220877 234分303269226206分260221137 233分279269505205分244221381 232分258269763204分228221609 231分256270019203分219221828 230分277270296202分236222064 229分247270543201分217222281 228分280270823200分220222501 227分281271104199分240222741 226分234271338198分217222958 225分271271609197分188223146 224分268271877196分195223341 223分255272132195分191223532 222分252272384194分221223753 221分272272656193分199223952 220分280272936192分178224130 219分261273197191分204224334 218分283273480190分171224505 217分235273715189分196224701 216分262273977188分161224862 215分243274220187分160225022 214分234274454186分149225171 213分246274700185分152225323 212分258274958184分163225486 211分259275217183分138225624 210分229275446182分157225781 209分258275704181分143225924 208分216275920180分128226052 207分217276137179分122226174 206分232276369178分114226288 205分227276596177分112226400 204分261276857176分116226516 203分248277105175分126226642 202分235277340174分116226758 201分219277559173分117226875 200分253277812172分126227001 199分210278022171分105227106 198分213278235170分97227203 197分248278483169分103227306 196分194278677168分89227395 195分224278901167分86227481 194分189279090166分96227577 193分216279306165分76227653 192分214279520164分83227736 191分191279711163分89227825 190分245279956162分76227901 189分195280151161分79227980 188分217280368160分89228069 187分204280572159分84228153 186分213280785158分56228209 185分197280982157分73228282 184分194281176156分66228348 183分215281391155分69228417182分172281563154分61228478 181分198281761153分40228518 180分176281937152分60228578 179分184282121151分48228626 178分204282325150分50228676 177分176282501149分40228716 176分167282668148分48228764 175分165282833147分63228827 174分162282995146分41228868 173分163283158145分29228897 172分152283310144分46228943 171分141283451143分36228979 170分149283600142分45229024 169分174283774141分36229060 168分155283929140分34229094 167分152284081139分37229131 166分159284240138分29229160 165分151284391137分31229191 164分126284517136分33229224 163分140284657135分27229251 162分132284789134分27229278 161分136284925133分29229307 160分106285031132分29229336 159分135285166131分33229369 158分107285273130分28229397 157分136285409129分20229417 156分124285533128分16229433 155分101285634127分18229451 154分107285741126分16229467 153分103285844125分15229482 152分120285964124分20229502 151分97286061123分15229517 150分96286157122分10229527 149分852********分20229547 148分95286337120分15229562 147分95286432119分11229573 146分93286525118分12229585 145分93286618117分15229600 144分78286696116分9229609 143分93286789115分9229618 142分67286856114分11229629 141分58286914113分13229642 140分74286988112分10229652 139分60287048111分11229663 138分57287105110分9229672 137分80287185109分10229682 136分61287246108分7229689 135分32287278107分9229698 134分40287318106分5229703 133分50287368105分11229714 132分52287420104分7229721 131分58287478103分5229726 130分40287518102分7229733 129分48287566101分11229744128分35287601100分7229751 127分3528763699分9229760 126分3928767598分8229768 125分3628771197分5229773 124分2728773896分9229782 123分3328777195分8229790 122分2728779894分3229793 121分3028782893分10229803 120分2728785592分7229810 119分2128787691分3229813 118分2428790090分7229820 117分3228793289分6229826 116分1628794888分2229828 115分2228797087分4229832 114分1128798186分3229835 113分2228800385分6229841 112分1428801784分4229845 111分1228802983分5229850 110分2128805082分4229854 109分1128806181分5229859 108分1428807580分3229862 107分928808479分5229867 106分1228809677分7229874 105分1028810676分4229878 104分1028811675分3229881 103分1428813074分3229884 102分928813973分5229889 101分428814372分3229892 100分428814771分5229897 99分628815370分3229900 98分528815869分2229902 97分328816168分1229903 96分528816667分5229908 95分528817166分5229913 94分928818065分1229914 93分1128819164分4229918 92分1028820163分3229921 91分428820562分2229923 90分428820961分5229928 89分828821760分1229929 88分428822158分1229930 87分628822757分3229933 86分628823356分3229936 85分228823555分1229937 84分428823954分1229938 83分428824353分4229942 82分528824852分1229943 81分428825251分2229945 80分628825850分1229946 79分528826349分1229947 78分328826648分1229948 77分728827345分1229949 76分328827644分1229950 75分628828243分122995174分528828742分2229953 73分628829339分1229954 72分528829838分1229955 71分128829936分1229956 70分328830235分1229957 69分228830434分2229959 68分528830933分1229960 67分328831231分2229962 66分628831827分1229963 65分428832226分1229964 62分228832424分5229969 61分128832523分1229970 60分228832722分1229971 58分128832820分1229972 57分128832919分2229974 56分328833217分4229978 55分328833516分2229980 54分328833815分2229982 53分128833914分4229986 52分228834113分1229987 51分328834412分2229989 49分128834510分1229990 48分12883469分1229991 47分12883478分2229993 46分32883506分1229994 45分12883513分1229995 44分22883531分1229996 42分22883550分3941233937 41分228835740分128835835分128835934分228836131分128836229分128836327分128836426分128836524分128836622分128836721分128836820分128836919分328837217分428837616分128837715分12883786分22883804分12883812分12883820分2940291322。
2015四川高考文科成绩一分一段统计表为了帮助考生考生更好地进行高考志愿填报,考生可参考“2015四川高考文科成绩一分一段统计表”,并结合自己的高考成绩进行判断,更多高考资讯,关注猎学网。
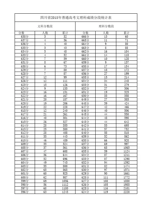
四川省2015年普通高考文科成绩分段统计表分数人数累计分数人数累计分数人数累计638分 3 32402分658 111222166分96 227577637分 4 36401分668 111890165分76 227653636分 4 40400分652 112542164分83 227736635分 3 43399分678 113220163分89 227825634分 5 48398分729 113949162分76 227901633分 4 52397分679 114628161分79 227980632分7 59396分680 115308160分89 228069四川省2015年普通高考文科成绩分段统计表631分8 67395分707 116015159分84 228153630分 6 73394分731 116746158分56 228209629分7 80393分695 117441157分73 228282628分7 87392分747 118188156分66 228348627分12 99391分706 118894155分69 228417626分12 111390分718 119612154分61 228478625分15 126389分700 120312153分40 228518624分9 135388分680 120992152分60 228578623分16 151387分658 121650151分48 228626四川省2015年普通高考文科成绩分段统计表622分16 167386分645 122295150分50 228676621分20 187385分697 122992149分40 228716620分19 206384分716 123708148分48 228764619分22 228383分661 124369147分63 228827618分12 240382分694 125063146分41 228868617分21 261381分700 125763145分29 228897616分40 301380分667 126430144分46 228943615分26 327379分716 127146143分36 228979614分28 355378分703 127849142分45 229024四川省2015年普通高考文科成绩分段统计表613分25 380377分754 128603141分36 229060612分28 408376分654 129257140分34 229094611分35 443375分623 129880139分37 229131610分46 489374分700 130580138分29 229160609分35 524373分674 131254137分31 229191608分37 561372分727 131981136分33 229224607分47 608371分708 132689135分27 229251606分36 644370分693 133382134分27 229278605分52 696369分686 134068133分29 229307四川省2015年普通高考文科成绩分段统计表604分49 745368分728 134796132分29 229336603分55 800367分703 135499131分33 229369602分65 865366分640 136139130分28 229397601分60 925365分673 136812129分20 229417600分62 987364分693 137505128分16 229433599分69 1056363分680 138185127分18 229451598分56 1112362分734 138919126分16 229467597分68 1180361分708 139627125分15 229482596分63 1243360分666 140293124分20 229502四川省2015年普通高考文科成绩分段统计表595分74 1317359分738 141031123分15 229517594分85 1402358分686 141717122分10 229527593分94 1496357分690 142407121分20 229547592分90 1586356分647 143054120分15 229562591分94 1680355分692 143746119分11 229573590分87 1767354分687 144433118分12 229585589分112 1879353分660 145093117分15 229600588分99 1978352分716 145809116分9 229609587分97 2075351分729 146538115分9 229618四川省2015年普通高考文科成绩分段统计表586分121 2196350分715 147253114分11 229629585分122 2318349分669 147922113分13 229642584分120 2438348分685 148607112分10 229652583分110 2548347分706 149313111分11 229663582分121 2669346分653 149966110分9 229672581分134 2803345分652 150618109分10 229682580分114 2917344分668 151286108分7 229689579分142 3059343分663 151949107分9 229698578分147 3206342分680 152629106分5 229703四川省2015年普通高考文科成绩分段统计表577分147 3353341分685 153314105分11 229714576分152 3505340分674 153988104分7 229721575分165 3670339分632 154620103分5 229726574分155 3825338分703 155323102分7 229733573分184 4009337分689 156012101分11 229744572分169 4178336分669 156681100分7 229751571分170 4348335分690 157371 99分9 229760 570分178 4526334分647 158018 98分8 229768 569分200 4726333分650 158668 97分 5 229773四川省2015年普通高考文科成绩分段统计表332568分209 4935691 159359 96分9 229782分331651 160010 95分8 229790 567分211 5146分330566分214 5360671 160681 94分 3 229793分329565分207 5567661 161342 93分10 229803分328564分228 5795610 161952 92分7 229810分327563分240 6035676 162628 91分 3 229813分326562分268 6303613 163241 90分7 229820分325561分241 6544643 163884 89分 6 229826分324560分253 6797635 164519 88分 2 229828分四川省2015年普通高考文科成绩分段统计表323559分282 7079648 165167 87分 4 229832分322650 165817 86分 3 229835 558分299 7378分321557分275 7653641 166458 85分 6 229841分320556分274 7927618 167076 84分 4 229845分319555分317 8244615 167691 83分 5 229850分318554分293 8537598 168289 82分 4 229854分317553分305 8842657 168946 81分 5 229859分316552分342 9184635 169581 80分 3 229862分315551分358 9542623 170204 79分 5 229867分四川省2015年普通高考文科成绩分段统计表314550分337 9879618 170822 77分7 229874分313619 171441 76分 4 229878 549分362 10241分312548分386 10627648 172089 75分 3 229881分311547分350 10977625 172714 74分 3 229884分310546分360 11337635 173349 73分 5 229889分309545分361 11698621 173970 72分 3 229892分308544分412 12110600 174570 71分 5 229897分307543分432 12542623 175193 70分 3 229900分306542分436 12978610 175803 69分 2 229902分四川省2015年普通高考文科成绩分段统计表305541分435 13413593 176396 68分 1 229903分304569 176965 67分 5 229908 540分445 13858分303539分457 14315603 177568 66分 5 229913分302538分465 14780641 178209 65分 1 229914分301537分461 15241566 178775 64分 4 229918分300536分501 15742630 179405 63分 3 229921分299535分510 16252609 180014 62分 2 229923分298534分494 16746578 180592 61分 5 229928分297533分535 17281596 181188 60分 1 229929分四川省2015年普通高考文科成绩分段统计表296532分554 17835550 181738 58分 1 229930分295610 182348 57分 3 229933 531分500 18335分294530分574 18909579 182927 56分 3 229936分293529分625 19534560 183487 55分 1 229937分292528分618 20152580 184067 54分 1 229938分291527分572 20724512 184579 53分 4 229942分290526分646 21370575 185154 52分 1 229943分289525分604 21974546 185700 51分 2 229945分288524分549 22523568 186268 50分 1 229946分四川省2015年普通高考文科成绩分段统计表287523分604 23127554 186822 49分 1 229947分286555 187377 48分 1 229948 522分613 23740分285521分642 24382613 187990 45分 1 229949分284520分645 25027529 188519 44分 1 229950分283519分673 25700567 189086 43分 1 229951分282518分687 26387580 189666 42分 2 229953分281517分655 27042541 190207 39分 1 229954分280516分693 27735562 190769 38分 1 229955分279515分621 28356519 191288 36分 1 229956分四川省2015年普通高考文科成绩分段统计表278514分688 29044508 191796 35分 1 229957分277552 192348 34分 2 229959 513分639 29683分276512分699 30382524 192872 33分 1 229960分275511分710 31092546 193418 31分 2 229962分274510分720 31812547 193965 27分 1 229963分273509分730 32542530 194495 26分 1 229964分272508分714 33256547 195042 24分 5 229969分271507分751 34007514 195556 23分 1 229970分270506分753 34760528 196084 22分 1 229971分四川省2015年普通高考文科成绩分段统计表269505分733 35493516 196600 20分 1 229972分268468 197068 19分 2 229974 504分738 36231分267503分713 36944527 197595 17分 4 229978分266537 198132 16分 2 229980 502分776 37720分501768 38488 265分513 198645 15分 2 229982分500710 39198 264分487 199132 14分 4 229986分499774 39972 263分483 199615 13分 1 229987分498736 40708 262分484 200099 12分 2 229989分497764 41472 261分484 200583 10分 1 229990分四川省2015年普通高考文科成绩分段统计表496825 42297 260分487 201070 9分 1 229991 分495783 43080 259分462 201532 8分 2 229993 分494806 43886 258分477 202009 6分 1 229994 分493800 44686 257分501 202510 3分 1 229995 分492795 45481 256分450 202960 1分 1 229996 分491800 46281 255分456 203416 0分3941 233937 分490792 47073 254分478 203894分489779 47852 253分459 204353分488765 48617 252分441 204794分四川省2015年普通高考文科成绩分段统计表487807 49424 251分476 205270分486855 50279 250分451 205721分485774 51053 249分443 206164分484784 51837 248分440 206604分483758 52595 247分448 207052分482802 53397 246分435 207487分481770 54167 245分452 207939分480771 54938 244分422 208361分479768 55706 243分405 208766分四川省2015年普通高考文科成绩分段统计表478794 56500 242分416 209182分477787 57287 241分385 209567分476732 58019 240分368 209935分475805 58824 239分391 210326分474789 59613 238分390 210716分473773 60386 237分363 211079分472808 61194 236分401 211480分471728 61922 235分403 211883分470761 62683 234分342 212225分四川省2015年普通高考文科成绩分段统计表469757 63440 233分369 212594分468698 64138 232分397 212991分467776 64914 231分353 213344分466801 65715 230分329 213673分465774 66489 229分392 214065分464777 67266 228分340 214405分463722 67988 227分359 214764分462798 68786 226分344 215108分461744 69530 225分332 215440分四川省2015年普通高考文科成绩分段统计表460732 70262 224分347 215787分459761 71023 223分295 216082分458791 71814 222分339 216421分457795 72609 221分324 216745分456759 73368 220分318 217063分455736 74104 219分310 217373分454715 74819 218分306 217679分453716 75535 217分345 218024分452735 76270 216分315 218339分四川省2015年普通高考文科成绩分段统计表451707 76977 215分282 218621分450673 77650 214分294 218915分449749 78399 213分288 219203分448718 79117 212分276 219479分447755 79872 211分291 219770分446725 80597 210分267 220037分445728 81325 209分285 220322分444739 82064 208分305 220627分443740 82804 207分250 220877分四川省2015年普通高考文科成绩分段统计表442690 83494 206分260 221137分441704 84198 205分244 221381分440702 84900 204分228 221609分439696 85596 203分219 221828分438682 86278 202分236 222064分437738 87016 201分217 222281分436725 87741 200分220 222501分435729 88470 199分240 222741分434667 89137 198分217 222958分四川省2015年普通高考文科成绩分段统计表433704 89841 197分188 223146分432652 90493 196分195 223341分431699 91192 195分191 223532分430693 91885 194分221 223753分429650 92535 193分199 223952分428723 93258 192分178 224130分427710 93968 191分204 224334分426673 94641 190分171 224505分425676 95317 189分196 224701分四川省2015年普通高考文科成绩分段统计表424704 96021 188分161 224862分423708 96729 187分160 225022分422708 97437 186分149 225171分421716 98153 185分152 225323分420677 98830 184分163 225486分419671 99501 183分138 225624分418690 100191 182分157 225781分417687 100878 181分143 225924分416697 101575 180分128 226052分四川省2015年普通高考文科成绩分段统计表415707 102282 179分122 226174分414693 102975 178分114 226288分413641 103616 177分112 226400分412699 104315 176分116 226516分411730 105045 175分126 226642分410685 105730 174分116 226758分409684 106414 173分117 226875分408648 107062 172分126 227001分407675 107737 171分105 227106分四川省2015年普通高考文科成绩分段统计表406685 108422 170分97 227203分405730 109152 169分103 227306分404677 109829 168分89 227395分403735 110564 167分86 227481分。
5 5 5 5 5 5 5 5 5 5 5 5 5 5 5 5 552015年文科2015理科年文科一本543一本528分数人数累计分数人数累计638分332666分1360 637分436665分1171 636分440664分980 635分343663分888 634分548662分16104 633分452661分14118 632分759660分10128 631分867659分9137 630分673658分17154 629分780657分18172 628分787656分27199 627分1299655分15214 626分12111654分34248 625分15126653分31279 624分9135652分27306 623分16151651分19325 622分16167650分33358 621分20187649分27385 620分19206648分39424 619分22228647分42466 618分12240646分40506 617分21261645分44550 616分40301644分48598 615分26327643分44642 614分28355642分53695 613分25380641分57752 612分28408640分58810 611分35443639分52862 610分46489638分66928 609分35524637分69997 608分37561636分681065 607分47608635分591124 606分36644634分871211 605分52696633分871298 604分49745632分941392 603分55800631分821474 602分65865630分971571 601分60925629分901661600分62987628分1111772599分691056627分1081880598分561112626分1051985597分681180625分1162101596分631243624分1192220595分741317623分1132333594分851402622分1312464593分941496621分1222586592分901586620分1352721591分941680619分1532874590分871767618分1773051589分1121879617分1863237588分991978616分1573394587分972075615分1633557586分1212196614分1713728585分1222318613分1693897584分1202438612分175********四川985录取率583分1102548611分1954267582分1212669610分2064473581分1342803609分2184691580分1142917608分2384929579分1423059607分2095138578分1473206606分2495387577分1473353605分2305617576分1523505604分2605877575分1653670603分2406117574分1553825602分2326349573分1844009601分3026651572分1694178600分2946945571分1704348599分2697214570分1784526598分2757489569分2004726597分2977786568分2094935596分3018087567分2115146595分3238410566分2145360594分3228732565分2075567593分3389070564分2285795592分3079377563分2406035591分3659742562分2686303590分37110113561分2416544589分365104781.47%。
普通高考理科成绩分段统计表分数人数累计666分1360665分1171664分980663分888662分16104661分14118660分10128659分9137658分17154657分18172656分27199655分15214654分34248653分31279652分27306651分19325650分33358649分27385648分39424647分42466646分40506645分44550644分48598643分44642642分53695641分57752640分58810639分52862638分66928637分69997636分681065635分591124634分871211633分871298632分941392631分821474630分971571629分901661628分1111772627分1081880626分1051985625分1162101624分1192220623分1132333622分1312464621分1222586 620分1352721 619分1532874 618分1773051 617分1863237 616分1573394 615分1633557 614分1713728 613分1693897 612分1754072 611分1954267 610分2064473 609分2184691 608分2384929 607分2095138 606分2495387 605分2305617 604分2605877 603分2406117 602分2326349 601分3026651 600分2946945 599分2697214 598分2757489 597分2977786 596分3018087 595分3238410 594分3228732 593分3389070 592分3079377 591分3659742 590分37110113 589分36510478 588分37210850 587分35911209 586分38811597 585分39711994 584分38312377 583分40612783 582分41613199 581分39513594 580分42214016 579分44214458 578分43814896 577分47815374 576分45715831 575分49916330 574分49516825 573分51817343 572分52617869 571分51618385570分54218927 569分53119458 568分55620014 567分59620610 566分60021210 565分65621866 564分57522441 563分62023061 562分62823689 561分69224381 560分65125032 559分64125673 558分61326286 557分63126917 556分70927626 555分69428320 554分70729027 553分72029747 552分71530462 551分76431226 550分75131977 549分74432721 548分79233513 547分79334306 546分80635112 545分82635938 544分84036778 543分77537553 542分78538338 541分84839186 540分84540031 539分89040921 538分92241843 537分86442707 536分93743644 535分95344597 534分90445501 533分93846439 532分90847347 531分95348300 530分94749247 529分97950226 528分99751223 527分98252205 526分99253197 525分97054167 524分103855205 523分106356268 522分104357311 521分104758358 520分103559393519分106160454 518分111561569 517分103162600 516分107363673 515分110864781 514分107165852 513分111266964 512分110868072 511分117069242 510分110470346 509分118971535 508分113772672 507分120873880 506分121475094 505分114476238 504分118677424 503分122878652 502分115279804 501分122381027 500分120782234 499分124383477 498分122084697 497分124485941 496分125587196 495分121088406 494分117889584 493分126990853 492分121692069 491分126893337 490分125994596 489分122695822 488分121497036 487分118298218 486分121399431 485分1201100632 484分1214101846 483分1215103061 482分1247104308 481分1221105529 480分1226106755 479分1234107989 478分1220109209 477分1222110431 476分1220111651 475分1294112945 474分1240114185 473分1292115477 472分1244116721 471分1210117931 470分1179119110 469分1194120304468分1171121475 467分1172122647 466分1190123837 465分1251125088 464分1156126244 463分1237127481 462分1192128673 461分1207129880 460分1197131077 459分1141132218 458分1138133356 457分1162134518 456分1154135672 455分1136136808 454分1157137965 453分1085139050 452分1151140201 451分1171141372 450分1126142498 449分1133143631 448分1086144717 447分1134145851 446分1081146932 445分1107148039 444分1093149132 443分1097150229 442分1078151307 441分1033152340 440分1009153349 439分1045154394 438分1038155432 437分1017156449 436分1039157488 435分1066158554 434分1002159556 433分1017160573 432分1056161629 431分948162577 430分945163522 429分993164515 428分981165496 427分994166490 426分981167471 425分908168379 424分921169300 423分975170275 422分931171206 421分925172131 420分930173061 419分945174006 418分889174895417分964175859 416分887176746 415分882177628 414分888178516 413分838179354 412分891180245 411分827181072 410分851181923 409分860182783 408分812183595 407分845184440 406分801185241 405分805186046 404分842186888 403分824187712 402分780188492 401分806189298 400分791190089 399分793190882 398分802191684 397分735192419 396分777193196 395分758193954 394分759194713 393分727195440 392分777196217 391分738196955 390分684197639 389分743198382 388分729199111 387分667199778 386分696200474 385分735201209 384分732201941 383分695202636 382分680203316 381分722204038 380分637204675 379分655205330 378分662205992 377分673206665 376分669207334 375分680208014 374分617208631 373分653209284 372分664209948 371分640210588 370分642211230 369分609211839 368分622212461 367分598213059366分601213660 365分566214226 364分566214792 363分577215369 362分601215970 361分599216569 360分568217137 359分592217729 358分567218296 357分606218902 356分598219500 355分563220063 354分577220640 353分534221174 352分596221770 351分536222306 350分544222850 349分554223404 348分520223924 347分523224447 346分516224963 345分516225479 344分589226068 343分522226590 342分551227141 341分531227672 340分536228208 339分542228750 338分539229289 337分516229805 336分540230345 335分533230878 334分488231366 333分511231877 332分519232396 331分523232919 330分483233402 329分511233913 328分468234381 327分495234876 326分468235344 325分464235808 324分472236280 323分468236748 322分435237183 321分493237676 320分421238097 319分469238566 318分440239006 317分466239472 316分462239934315分450240384 314分449240833 313分439241272 312分442241714 311分455242169 310分431242600 309分426243026 308分427243453 307分433243886 306分405244291 305分394244685 304分451245136 303分397245533 302分397245930 301分387246317 300分390246707 299分388247095 298分425247520 297分408247928 296分399248327 295分387248714 294分393249107 293分388249495 292分422249917 291分371250288 290分375250663 289分392251055 288分365251420 287分421251841 286分363252204 285分358252562 284分370252932 283分354253286 282分366253652 281分378254030 280分368254398 279分370254768 278分373255141 277分347255488 276分350255838 275分356256194 274分341256535 273分329256864 272分370257234 271分352257586 270分338257924 269分393258317 268分351258668 267分344259012 266分302259314 265分335259649264分306259955 263分345260300 262分319260619 261分332260951 260分310261261 259分315261576 258分342261918 257分337262255 256分313262568 255分311262879 254分293263172 253分314263486 252分276263762 251分307264069 250分332264401 249分308264709 248分318265027 247分318265345 246分283265628 245分309265937 244分312266249 243分310266559 242分316266875 241分278267153 240分306267459 239分291267750 238分264268014 237分279268293 236分312268605 235分318268923 234分303269226 233分279269505 232分258269763 231分256270019 230分277270296 229分247270543 228分280270823 227分281271104 226分234271338 225分271271609 224分268271877 223分255272132 222分252272384 221分272272656 220分280272936 219分261273197 218分283273480 217分235273715 216分262273977 215分243274220 214分234274454213分246274700 212分258274958 211分259275217 210分229275446 209分258275704 208分216275920 207分217276137 206分232276369 205分227276596 204分261276857 203分248277105 202分235277340 201分219277559 200分253277812 199分210278022 198分213278235 197分248278483 196分194278677 195分224278901 194分189279090 193分216279306 192分214279520 191分191279711 190分245279956 189分195280151 188分217280368 187分204280572 186分213280785 185分197280982 184分194281176 183分215281391 182分172281563 181分198281761 180分176281937 179分184282121 178分204282325 177分176282501 176分167282668 175分165282833 174分162282995 173分163283158 172分152283310 171分141283451 170分149283600 169分174283774 168分155283929 167分152284081 166分159284240 165分151284391 164分126284517 163分140284657160分106285031 159分135285166 158分107285273 157分136285409 156分124285533 155分101285634 154分107285741 153分103285844 152分120285964 151分97286061 150分96286157 149分85286242 148分95286337 147分95286432 146分93286525 145分93286618 144分78286696 143分93286789 142分67286856 141分58286914 140分74286988 139分60287048 138分57287105 137分80287185 136分61287246 135分32287278 134分40287318 133分50287368 132分52287420 131分58287478 130分40287518 129分48287566 128分35287601 127分35287636 126分39287675 125分36287711 124分27287738 123分33287771 122分27287798 121分30287828 120分27287855 119分21287876 118分24287900 117分32287932 116分16287948 115分22287970 114分11287981 113分22288003 112分14288017109分11288061 108分14288075 107分9288084 106分12288096 105分10288106 104分10288116 103分14288130 102分9288139 101分4288143 100分4288147 99分6288153 98分5288158 97分3288161 96分5288166 95分5288171 94分9288180 93分11288191 92分10288201 91分4288205 90分4288209 89分8288217 88分4288221 87分6288227 86分6288233 85分2288235 84分4288239 83分4288243 82分5288248 81分4288252 80分6288258 79分5288263 78分3288266 77分7288273 76分3288276 75分6288282 74分5288287 73分6288293 72分5288298 71分1288299 70分3288302 69分2288304 68分5288309 67分3288312 66分6288318 65分4288322 62分2288324 61分1288325 60分2288327 58分128832856分3288332 55分3288335 54分3288338 53分1288339 52分2288341 51分3288344 49分1288345 48分1288346 47分1288347 46分3288350 45分1288351 44分2288353 42分2288355 41分2288357 40分1288358 35分1288359 34分2288361 31分1288362 29分1288363 27分1288364 26分1288365 24分1288366 22分1288367 21分1288368 20分1288369 19分3288372 17分4288376 16分1288377 15分1288378 6分2288380 4分1288381 2分1288382 0分2940291322。
2015年四川高考理科成绩排名一分一段分数人数累计666分1360665分1171664分980663分888662分16 104661分14 118660分10 128659分9 137658分17 154657分18172656分27 199655分15 214654分34 248653分31 279652分27 306651分19 325650分33 358649分27 385648分39 424647分42 466646分40506645分44 550644分48 598643分44 642642分53 695641分57 75258 810639分52 862638分66 928637分69 997636分68 1065635分59634分87 1211633分87 1298632分94 1392631分82 1474630分97 157190 1661628分111 1772627分108 1880626分105 1985625分116 2101624分119623分113 2333622分131 2464621分122 2586620分135 2721619分153 2874177 3051617分186 3237616分157 3394615分163 3557614分171 3728613分169612分175 4072611分195 4267610分206 4473609分218 4691608分238 4929209 5138606分249 5387605分230 5617604分260 5877603分240 6117602分232601分302 6651600分294 6945599分269 7214598分275 7489597分297 7786301 8087595分323 8410594分322 8732593分338 9070592分307 9377591分365590分371 10113589分365 10478588分372 10850587分359 11209586分388 11597397 11994584分383 12377583分406 12783582分416 13199581分395 13594580分422579分442 14458578分438 14896577分478 15374576分457 15831575分499 16330495 16825573分518 17343572分526 17869571分516 18385570分542 18927569分531568分556 20014567分596 20610566分600 21210565分656 21866564分575 22441620 23061562分628 23689561分692 24381560分651 25032559分641 25673558分613557分631 26917556分709 27626555分694 28320554分707 29027553分720 29747715 30462551分764 31226550分751 31977549分744 32721548分792 33513547分793546分806 35112545分826 35938544分840 36778543分775 37553542分785 38338848 39186540分845 40031539分890 40921538分922 41843537分864 42707536分937535分953 44597534分904 45501533分938 46439532分908 47347531分953 48300947 49247529分979 50226528分997 51223527分982 52205526分992 53197525分970524分1038 55205523分1063 56268522分1043 57311521分1047 58358520分1035 593931061 60454518分1115 61569517分1031 62600516分1073 63673515分1108 64781514分1071513分1112 66964512分1108 68072511分1170 69242510分1104 70346509分1189 715351137 72672507分1208 73880506分1214 75094505分1144 76238504分1186 77424503分1228502分1152 79804501分1223 81027500分1207 82234499分1243 83477498分1220 846971244 85941496分1255 87196495分1210 88406494分1178 89584493分1269 90853492分1216491分1268 93337490分1259 94596489分1226 95822488分1214 97036487分1182 982181213 99431485分1201 100632484分1214 101846483分1215 103061482分1247 104308481分1221480分1226 106755479分1234 107989478分1220 109209477分1222 110431476分1220 1116511294 112945474分1240 114185473分1292 115477472分1244 116721471分1210 117931470分1179469分1194 120304468分1171 121475467分1172 122647466分1190 123837465分1251 1250881156 126244463分1237 127481462分1192 128673461分1207 129880460分1197 131077459分1141458分1138 133356457分1162 134518456分1154 135672455分1136 136808454分1157 1379651085 139050452分1151 140201451分1171 141372450分1126 142498449分1133 143631448分1086447分1134 145851446分1081 146932445分1107 148039444分1093 149132443分1097 1502291078 151307441分1033 152340440分1009 153349439分1045 154394438分1038 155432437分1017436分1039 157488435分1066 158554434分1002 159556433分1017 160573432分1056 161629948 162577430分945 163522429分993 164515428分981 165496427分994 166490426分981425分908 168379424分921 169300423分975 170275422分931 171206421分925 172131930 173061419分945 174006418分889 174895417分964 175859416分887 176746415分882414分888 178516413分838 179354412分891 180245411分827 181072410分851 181923860 182783408分812 183595407分845 184440406分801 185241405分805 186046404分842403分824 187712402分780 188492401分806 189298400分791 190089399分793 190882802 191684397分735 192419396分777 193196395分758 193954394分759 194713393分727。
2015四川理科一分一段【原创实用版】目录1.2015 年四川理科一分一段的背景和意义2.理科一分一段的具体内容和特点3.理科一分一段对考生和教育工作者的影响正文2015 年四川理科一分一段的背景和意义2015 年,四川省首次实行了理科一分一段的录取方式,这是一项具有重要意义的改革举措。
理科一分一段是指在高考录取过程中,按照理科考生的成绩从高到低,将考生分为若干段,每一段内的考生成绩相同,不同段之间的成绩有差距。
这种录取方式的推行,旨在更加公平、合理地进行高考录取,使成绩相近的考生能够在同一平台上竞争,从而提高高考录取的公正性。
理科一分一段的具体内容和特点理科一分一段的具体内容是指将理科考生按照成绩从高到低划分为若干段,每段内考生的成绩相同。
这种划分方式的特点如下:1.公平性:理科一分一段的录取方式使得成绩相近的考生能够在同一平台上竞争,避免了因偶然因素导致优秀考生被淘汰的情况,提高了高考录取的公平性。
2.透明性:理科一分一段的录取方式使得考生和家长能够更加清晰地了解录取情况,便于监督和评价。
3.灵活性:理科一分一段的录取方式使得高校能够根据考生的实际成绩和需求,更加灵活地调整录取计划,提高录取效率。
理科一分一段对考生和教育工作者的影响理科一分一段的录取方式对考生和教育工作者产生了积极的影响:1.对考生而言,这种录取方式使得成绩相近的考生能够在同一平台上竞争,提高了公平性,有利于选拔出真正优秀的考生。
同时,它也使得考生在填报志愿时能够更加明确自己的定位,提高录取成功率。
2.对教育工作者而言,理科一分一段的录取方式有助于提高高考录取的公正性,使他们能够更加专注于教育教学工作,提高教育质量。
总之,2015 年四川省实行理科一分一段的录取方式,是一项具有重要意义的改革举措。
2015四川高考理科成绩分段统计表高考频道讯:四川省2015年普通高考理科成绩分段统计表分数人数累计666分 13 60665分 11 71664分 9 80663分 8 88662分 16 104661分 14 118660分 10 128659分 9 137658分 17 154657分 18 172656分 27 199655分 15 214654分 34 248653分 31 279652分 27 306651分 19 325650分 33 358649分 27 385648分 39 424647分 42 466646分 40 506645分 44 550644分 48 598643分 44 642642分 53 695641分 57 752640分 58 810 639分 52 862 638分 66 928 637分 69 997 636分 68 1065 635分 59 1124 634分 87 1211 633分 87 1298 632分 94 1392 631分 82 1474 630分 97 1571 629分 90 1661 628分 111 1772 627分 108 1880 626分 105 1985 625分 116 2101 624分 119 2220 623分 113 2333 622分 131 2464 621分 122 2586 620分 135 2721 619分 153 2874 618分 177 3051 617分 186 3237 616分 157 3394 615分 163 3557 614分 171 3728 613分 169 3897 612分 175 4072 611分 195 4267609分 218 4691 608分 238 4929 607分 209 5138 606分 249 5387 605分 230 5617 604分 260 5877 603分 240 6117 602分 232 6349 601分 302 6651 600分 294 6945 599分 269 7214 598分 275 7489 597分 297 7786 596分 301 8087 595分 323 8410 594分 322 8732 593分 338 9070 592分 307 9377 591分 365 9742 590分 371 10113 589分 365 10478 588分 372 10850 587分 359 11209 586分 388 11597 585分 397 11994 584分 383 12377 583分 406 12783 582分 416 13199 581分 395 13594579分 442 14458 578分 438 14896 577分 478 15374 576分 457 15831 575分 499 16330 574分 495 16825 573分 518 17343 572分 526 17869 571分 516 18385 570分 542 18927 569分 531 19458 568分 556 20014 567分 596 20610 566分 600 21210 565分 656 21866 564分 575 22441 563分 620 23061 562分 628 23689 561分 692 24381 560分 651 25032 559分 641 25673 558分 613 26286 557分 631 26917 556分 709 27626 555分 694 28320 554分 707 29027 553分 720 29747 552分 715 30462 551分 764 31226549分 744 32721 548分 792 33513 547分 793 34306 546分 806 35112 545分 826 35938 544分 840 36778 543分 775 37553 542分 785 38338 541分 848 39186 540分 845 40031 539分 890 40921 538分 922 41843 537分 864 42707 536分 937 43644 535分 953 44597 534分 904 45501 533分 938 46439 532分 908 47347 531分 953 48300 530分 947 49247 529分 979 50226 528分 997 51223 527分 982 52205 526分 992 53197 525分 970 54167 524分 1038 55205 523分 1063 56268 522分 1043 57311 521分 1047 58358519分 1061 60454 518分 1115 61569 517分 1031 62600 516分 1073 63673 515分 1108 64781 514分 1071 65852 513分 1112 66964 512分 1108 68072 511分 1170 69242 510分 1104 70346 509分 1189 71535 508分 1137 72672 507分 1208 73880 506分 1214 75094 505分 1144 76238 504分 1186 77424 503分 1228 78652 502分 1152 79804 501分 1223 81027 500分 1207 82234 499分 1243 83477 498分 1220 84697 497分 1244 85941 496分 1255 87196 495分 1210 88406 494分 1178 89584 493分 1269 90853 492分 1216 92069 491分 1268 93337489分 1226 95822 488分 1214 97036 487分 1182 98218 486分 1213 99431 485分 1201 100632 484分 1214 101846 483分 1215 103061 482分 1247 104308 481分 1221 105529 480分 1226 106755 479分 1234 107989 478分 1220 109209 477分 1222 110431 476分 1220 111651 475分 1294 112945 474分 1240 114185 473分 1292 115477 472分 1244 116721 471分 1210 117931 470分 1179 119110 469分 1194 120304 468分 1171 121475 467分 1172 122647 466分 1190 123837 465分 1251 125088 464分 1156 126244 463分 1237 127481 462分 1192 128673 461分 1207 129880459分 1141 132218 458分 1138 133356 457分 1162 134518 456分 1154 135672 455分 1136 136808 454分 1157 137965 453分 1085 139050 452分 1151 140201 451分 1171 141372 450分 1126 142498 449分 1133 143631 448分 1086 144717 447分 1134 145851 446分 1081 146932 445分 1107 148039 444分 1093 149132 443分 1097 150229 442分 1078 151307 441分 1033 152340 440分 1009 153349 439分 1045 154394 438分 1038 155432 437分 1017 156449 436分 1039 157488 435分 1066 158554 434分 1002 159556 433分 1017 160573 432分 1056 161629 431分 948 162577429分 993 164515 428分 981 165496 427分 994 166490 426分 981 167471 425分 908 168379 424分 921 169300 423分 975 170275 422分 931 171206 421分 925 172131 420分 930 173061 419分 945 174006 418分 889 174895 417分 964 175859 416分 887 176746 415分 882 177628 414分 888 178516 413分 838 179354 412分 891 180245 411分 827 181072 410分 851 181923 409分 860 182783 408分 812 183595 407分 845 184440 406分 801 185241 405分 805 186046 404分 842 186888 403分 824 187712 402分 780 188492 401分 806 189298399分 793 190882 398分 802 191684 397分 735 192419 396分 777 193196 395分 758 193954 394分 759 194713 393分 727 195440 392分 777 196217 391分 738 196955 390分 684 197639 389分 743 198382 388分 729 199111 387分 667 199778 386分 696 200474 385分 735 201209 384分 732 201941 383分 695 202636 382分 680 203316 381分 722 204038 380分 637 204675 379分 655 205330 378分 662 205992 377分 673 206665 376分 669 207334 375分 680 208014 374分 617 208631 373分 653 209284 372分 664 209948 371分 640 210588369分 609 211839 368分 622 212461 367分 598 213059 366分 601 213660 365分 566 214226 364分 566 214792 363分 577 215369 362分 601 215970 361分 599 216569 360分 568 217137 359分 592 217729 358分 567 218296 357分 606 218902 356分 598 219500 355分 563 220063 354分 577 220640 353分 534 221174 352分 596 221770 351分 536 222306 350分 544 222850 349分 554 223404 348分 520 223924 347分 523 224447 346分 516 224963 345分 516 225479 344分 589 226068 343分 522 226590 342分 551 227141 341分 531 227672339分 542 228750 338分 539 229289 337分 516 229805 336分 540 230345 335分 533 230878 334分 488 231366 333分 511 231877 332分 519 232396 331分 523 232919 330分 483 233402 329分 511 233913 328分 468 234381 327分 495 234876 326分 468 235344 325分 464 235808 324分 472 236280 323分 468 236748 322分 435 237183 321分 493 237676 320分 421 238097 319分 469 238566 318分 440 239006 317分 466 239472 316分 462 239934 315分 450 240384 314分 449 240833 313分 439 241272 312分 442 241714 311分 455 242169309分 426 243026 308分 427 243453 307分 433 243886 306分 405 244291 305分 394 244685 304分 451 245136 303分 397 245533 302分 397 245930 301分 387 246317 300分 390 246707 299分 388 247095 298分 425 247520 297分 408 247928 296分 399 248327 295分 387 248714 294分 393 249107 293分 388 249495 292分 422 249917 291分 371 250288 290分 375 250663 289分 392 251055 288分 365 251420 287分 421 251841 286分 363 252204 285分 358 252562 284分 370 252932 283分 354 253286 282分 366 253652 281分 378 254030279分 370 254768 278分 373 255141 277分 347 255488 276分 350 255838 275分 356 256194 274分 341 256535 273分 329 256864 272分 370 257234 271分 352 257586 270分 338 257924 269分 393 258317 268分 351 258668 267分 344 259012 266分 302 259314 265分 335 259649 264分 306 259955 263分 345 260300 262分 319 260619 261分 332 260951 260分 310 261261 259分 315 261576 258分 342 261918 257分 337 262255 256分 313 262568 255分 311 262879 254分 293 263172 253分 314 263486 252分 276 263762 251分 307 264069249分 308 264709 248分 318 265027 247分 318 265345 246分 283 265628 245分 309 265937 244分 312 266249 243分 310 266559 242分 316 266875 241分 278 267153 240分 306 267459 239分 291 267750 238分 264 268014 237分 279 268293 236分 312 268605 235分 318 268923 234分 303 269226 233分 279 269505 232分 258 269763 231分 256 270019 230分 277 270296 229分 247 270543 228分 280 270823 227分 281 271104 226分 234 271338 225分 271 271609 224分 268 271877 223分 255 272132 222分 252 272384 221分 272 272656219分 261 273197 218分 283 273480 217分 235 273715 216分 262 273977 215分 243 274220 214分 234 274454 213分 246 274700 212分 258 274958 211分 259 275217 210分 229 275446 209分 258 275704 208分 216 275920 207分 217 276137 206分 232 276369 205分 227 276596 204分 261 276857 203分 248 277105 202分 235 277340 201分 219 277559 200分 253 277812 199分 210 278022 198分 213 278235 197分 248 278483 196分 194 278677 195分 224 278901 194分 189 279090 193分 216 279306 192分 214 279520 191分 191 279711189分 195 280151 188分 217 280368 187分 204 280572 186分 213 280785 185分 197 280982 184分 194 281176 183分 215 281391 182分 172 281563 181分 198 281761 180分 176 281937 179分 184 282121 178分 204 282325 177分 176 282501 176分 167 282668 175分 165 282833 174分 162 282995 173分 163 283158 172分 152 283310 171分 141 283451 170分 149 283600 169分 174 283774 168分 155 283929 167分 152 284081 166分 159 284240 165分 151 284391 164分 126 284517 163分 140 284657 162分 132 284789 161分 136 284925159分 135 285166 158分 107 285273 157分 136 285409 156分 124 285533 155分 101 285634 154分 107 285741 153分 103 285844 152分 120 285964 151分 97 286061 150分 96 286157 149分 85 286242 148分 95 286337 147分 95 286432 146分 93 286525 145分 93 286618 144分 78 286696 143分 93 286789 142分 67 286856 141分 58 286914 140分 74 286988 139分 60 287048 138分 57 287105 137分 80 287185 136分 61 287246 135分 32 287278 134分 40 287318 133分 50 287368 132分 52 287420 131分 58 287478129分 48 287566 128分 35 287601 127分 35 287636 126分 39 287675 125分 36 287711 124分 27 287738 123分 33 287771 122分 27 287798 121分 30 287828 120分 27 287855 119分 21 287876 118分 24 287900 117分 32 287932 116分 16 287948 115分 22 287970 114分 11 287981 113分 22 288003 112分 14 288017 111分 12 288029 110分 21 288050 109分 11 288061 108分 14 288075 107分 9 288084 106分 12 288096 105分 10 288106 104分 10 288116 103分 14 288130 102分 9 288139 101分 4 28814399分 6 288153 98分 5 288158 97分 3 288161 96分 5 288166 95分 5 288171 94分 9 288180 93分 11 288191 92分 10 288201 91分 4 288205 90分 4 288209 89分 8 288217 88分 4 288221 87分 6 288227 86分 6 288233 85分 2 288235 84分 4 288239 83分 4 288243 82分 5 288248 81分 4 288252 80分 6 288258 79分 5 288263 78分 3 288266 77分 7 288273 76分 3 288276 75分 6 288282 74分 5 288287 73分 6 288293 72分 5 288298 71分 1 28829969分 2 288304 68分 5 288309 67分 3 288312 66分 6 288318 65分 4 288322 62分 2 288324 61分 1 288325 60分 2 288327 58分 1 288328 57分 1 288329 56分 3 288332 55分 3 288335 54分 3 288338 53分 1 288339 52分 2 288341 51分 3 288344 49分 1 288345 48分 1 288346 47分 1 288347 46分 3 288350 45分 1 288351 44分 2 288353 42分 2 288355 41分 2 288357 40分 1 288358 35分 1 288359 34分 2 288361 31分 1 288362 29分 1 28836326分 1 288365 24分 1 288366 22分 1 288367 21分 1 288368 20分 1 288369 19分 3 288372 17分 4 288376 16分 1 288377 15分 1 288378 6分 2 2883804分 1 2883812分 1 2883820分 2940 291322。
四川历年高考录取分数线四川历年高考录取分数线汇总四川历年高考录取分数线(2006-2020)四川2020理科二本443四川2020理科一本529四川2020文科二本459四川2020文科一本527四川2019理科二本459四川2019理科一本547四川2019文科二本472四川2019文科一本540四川2018理科二本458四川2018理科一本546四川2018文科二本492四川2018文科一本553四川2017理科二本436四川2017理科一本511四川2017文科二本436四川2017文科一本551四川2016理科二本543四川2016理科一本532四川2016文科二本480四川2016文科一本540四川2015理科二本445四川2015理科一本528四川2015文科二本473四川2015文科一本534四川2014理科二本475四川2014年理科一本540四川2014年文科二本500四川2014年文科一本551四川2013年理科本科三批460 四川2013年文科本科三批477 四川2013年理科本科二批492 四川2013年文科本科二批505 四川2013年理科本科一批562 四川2013年文科本科一批567 四川2013年理科专科二批215 四川2013年文科专科二批225 四川2013年理科专科一批413 四川2013年文科专科一批443 四川2012年理科本科三批416 四川2012年文科本科三批427 四川2012年理科本科二批445 四川2012年文科本科二批454 四川2012年理科本科一批518四川2012年理科专科一批180 四川2012年文科专科一批190 四川2011年理科专科一批200 四川2011年文科专科一批210 四川2011年理科本科三批416 四川2011年文科本科三批441 四川2011年理科本科二批448 四川2011年文科本科二批473 四川2011年理科本科一批519 四川2011年文科本科一批533 四川2010年理科本科三批413 四川2010年文科本科三批451 四川2010年理科本科二批441 四川2010年文科本科二批483 四川2010年理科本科一批512 四川2010年文科本科一批543 四川2009年理科专科一批280 四川2009年文科专科一批300 四川2009年理科本科三批412 四川2009年文科本科三批451 四川2009年理科本科二批436 四川2009年文科本科二批480四川2009年文科本科一批540 四川2008年理科本科三批510 四川2008年文科本科三批522 四川2008年理科本科二批534 四川2008年文科本科二批548 四川2008年理科本科一批593 四川2008年文科本科一批598 四川2007年理科本科三批448 四川2007年文科本科三批485 四川2007年理科本科二批474 四川2007年文科本科二批510 四川2007年理科本科一批533 四川2007年文科本科一批559 四川2006年理科专科一批300 四川2006年文科专科一批300 四川2006年文科本科二批502 四川2006年理科本科一批560 四川2006年文科本科一批550 四川2006年理科本科三批485 四川2006年文科本科三批478 四川2006年理科本科二批512上述的便是四川历年高考录取分数线的,是从2006至2020的分数线总结,以便于学生在复习的后期去不断的努力,去不断地学习,其实只要我们制定一个目标,我们就会去不断的努力,这样就能考取理想的成绩。
北京大学668清华大学664复旦大学658上海交通大学656北京大学医学部653上海交通大学医学院648浙江大学647复旦大学医学院647中国人民大学644中国科学技术大学642中国科学院大学642上海财经大学640南京大学637同济大学635北京航空航天大学633中央财经大学632浙江大学医学院631南开大学630厦门大学629中国人民大学(苏州校区)628 对外经济贸易大学627北京外国语大学625中山大学624武汉大学622西安交通大学620天津大学619中国政法大学617东南大学617首都医科大学616上海外国语大学615哈尔滨工业大学614北京理工大学613华中科技大学613北京邮电大学612华南理工大学611电子科技大学610西南财经大学606中南财经政法大学605大连理工大学604重庆医科大学603西北工业大学601天津医科大学601南方医科大学600南京医科大学597四川大学596中国传媒大学(代码0013)596 华东理工大学596南京航空航天大学594北京电影学院594大连医科大学594中南大学593北京交通大学593山东大学592西安电子科技大学592华北电力大学(北京)592东北财经大学592重庆大学591天津财经大学591西南财经大学591中国医科大学591山西医科大学590北京中医药大学590湖南大学589北京科技大学589西南交通大学588中国农业大学588北京第二外国语学院588南京理工大学586南京审计学院585吉林大学585上海对外经贸大学585苏州大学585哈尔滨工业大学(威海) 585兰州大学584中国传媒大学(代码0513)584 武汉理工大学583电子科技大学(沙河校区)583中国药科大学582中国海洋大学582深圳大学582华东政法大学582广东外语外贸大学582广西医科大学582华北电力大学(保定) 582江西财经大学582上海大学581东北大学581中国石油大学(北京) 581首都经济贸易大学581北京语言大学581西南政法大学580上海金融学院580东华大学580河海大学579中央民族大学578福州大学578山东大学威海分校578北京化工大学577电子科技大学(沙河校区)577 哈尔滨工程大学576江南大学575长安大学574合肥工业大学574中国石油大学(华东) 574西南大学574四川医科大学574重庆工商大学573大连理工大学(盘锦校区)573 四川大学(代码0952)572 西北大学572汕头大学572南京邮电大学572北京邮电大学(宏福校区)571 四川外国语大学571中国地质大学(北京) 571哈尔滨医科大学571辽宁大学571北京林业大学571中国地质大学(武汉) 571南昌大学570东北大学秦皇岛分校570宁波诺丁汉大学569重庆邮电大学569南京航空航天大学569安徽财经大学569云南大学569北京工业大学569郑州大学568华南师范大学568大连海事大学568北京工商大学568河北工业大学568浙江工商大学568上海理工大学567安徽大学567西北农林科技大学567南京师范大学567北京建筑大学566南昌大学566西北政法大学566中国矿业大学(北京) 566南京财经大学566广州中医药大学566重庆交通大学566中国矿业大学565上海中医药大学565湖南中医药大学565首都师范大学565浙江工业大学564南京农业大学564杭州电子科技大学564西安建筑科技大学564江苏大学563西南政法大学563天津中医药大学563太原理工大学563湖南师范大学563中国农业大学563中国民航大学562四川大学562燕山大学561华中农业大学560中国民用航空飞行学院560 武汉科技大学560沈阳建筑大学560上海海事大学559浙江理工大学559贵州大学558天津商业大学558合肥工业大学(宣城校区)558 北京交通大学558浙江师范大学558北京体育大学557成都理工大学556宁波大学556川北医学院556湘潭大学555南华大学555上海师范大学555南京工业大学555集美大学555广州大学555广东工业大学555南京信息工程大学555海南大学555山东财经大学555西交利物浦大学553西安科技大学553西安理工大学553北京化工大学552广西大学552安徽理工大学552长沙理工大学552四川师范大学551青岛大学551成都中医药大学550遵义医学院550青岛理工大学550沈阳药科大学550西安石油大学550上海政法学院550华东交通大学550陕西师范大学549温州肯恩大学549山西财经大学549华南农业大学549东北林业大学548湖北大学548北京交通大学(威海校区)548沈阳航空航天大学548江苏科技大学548青海大学547北京信息科技大学547三峡大学547石家庄铁道大学546重庆师范大学546北京师范大学-香港浸会大学联合国际学院545 南昌航空大学544四川农业大学543河南大学543苏州科技学院542上海海洋大学542长江大学542长春理工大学541常州大学541浙江外国语学院541陕西科技大学541延边大学540吉林大学540宁夏大学540浙江海洋学院540西南石油大学540北方工业大学539中北大学539东北农业大学539青岛科技大学539重庆邮电大学538西南民族大学538上海工程技术大学538西南大学(农科类)538山西大学537济南大学537中南林业科技大学537武汉工程大学537江西理工大学536中华女子学院536石河子大学535湖南科技大学535沈阳理工大学535西华大学534内蒙古大学534东北石油大学534山东科技大学533成都信息工程大学533 新疆大学533西南大学533上海电机学院533辽宁工程技术大学533 福建师范大学532哈尔滨商业大学532厦门大学531福州大学530湖南农业大学530西南大学(荣昌校区) 530 西南科技大学530黑龙江大学528沈阳农业大学528山东师范大学528湖北工业大学528四川理工学院528成都学院528青海师范大学528西华师范大学528成都体育学院528四川大学锦城学院528 北京印刷学院528沈阳工业大学528福建农林大学528苏州大学528成都东软学院528黑龙江中医药大学528 西北农林科技大学528 哈尔滨理工大学528江西师范大学528广东海洋大学528重庆交通大学528重庆理工大学528。