型钢米重表 3
- 格式:pdf
- 大小:356.11 KB
- 文档页数:1
工字钢规格表及工字钢理论重量表工字钢也称钢梁,是截面为工字形的长条钢材.其规格以腰高(h)*腿宽(b)*腰厚(d)的毫数表示,如“工160*88*6”,即表示腰高为160毫米,腿宽为88毫米,腰厚为6毫米的工字钢。
工字钢的规格也可用型号表示,型号表示腰高的厘米数,如工16#。
腰高相同的工字钢,如有几种不同的腿宽和腰厚,需在型号右边加a b c 予以区别,如32a# 32b# 32c#等. 工字钢分普通工字钢和轻型工字钢,热轧普通工字钢的规格为10-63#。
经供需双方协议供应的热轧普通工字钢规格为12-55#.工字钢广泛用于各种建筑结构、桥梁、车辆、支架、机械等。
工字钢规格重量表:工字钢单位重量表:一、热轧普通工字钢每米重量表二、热轧轻型工字钢每米重量表方通规格表方管规格壁厚规格壁厚15×15 0.8—1.2 50×50 1.2-4.0 16×16 0。
6—1。
5 60×60 1.5-4。
0 18×18 0.6-1.8 70×70 1。
5-4。
0 20×20 0。
6-1.8 80×80 1.7-4。
0 25×25 0.8-2.5 90×90 1.7—4.0 30×30 0。
8-2。
75 100×100 1。
5—4。
0 40×40 1.0-4.0 0 0方管最大可做到400*400壁厚12毫米矩形管规格壁厚规格壁厚20×10 0。
8-2。
5 50×40 1。
5—4。
0 30×20 0.8—2。
5 50×70 1.5-4。
0 40×20 0.8—2.75 60×30 1。
5-4。
0 40×25 1.2—3.0 60×80 1.5—4。
0 40×30 1。
5-3。
75 60×90 1.5—4。
圆钢方钢直径重量对边重量40.09970.3950.15480.55.50.18790.6460.222100.796.50.26110.9570.30212 1.1380.39513 1.3390.49914 1.54100.61715 1.77 110.74616 2.01 120.88817 2.2713 1.0418 2.5414 1.2119 2.8315 1.3920 3.1416 1.5821 3.4617 1.7822 3.818219 2.2320 2.4721 2.7222 2.9824 3.5525 3.8526 4.1728 4.8330 5.5532 6.31347.13357.55367.99388.9409.87六角钢六角钢内切圆直径重量内切圆直径重量80.43530 6.1290.55132 6.96100.68347.86 110.823368.81 120.979389.8213 1.154010.8814 1.334211.9915 1.534513.7716 1.744815.6617 1.965016.9918 2.25319.119 2.455621.3220 2.725822.082136024.522 3.296326.9823 3.596528.724 3.926831.4325 4.257033.326 4.5927 4.9628 5.33型号理论重量表面积kg/m M2/t∟20*30.8991.789∟20*4 1.1571.266∟25*3 1.1290.747∟25*4 1.4669.911∟30*3 1.3789.148∟30*4 1.7968.533∟30*5 2.1868.533∟32*3 1.46∟32*4 1.91∟35*4 2.57∟35*5 2.6555.203∟36*3 1.6688.472∟36*4 2.1667.784∟36*5 2.6555.203∟38*4 2.26∟38*5 2.79∟40*3 1.8588.121∟40*4 2.4267.382∟40*5 2.9854.839∟45*3 2.0987.931∟45*4 2.7467.105∟45*5 3.3754.497∟45*6 3.9946.073∟50*3 2.3387.479∟50*4 3.0666.688∟50*5 3.7754.111∟50*6 4.4745.689∟56*3 2.6286.932∟56*4 3.4566.195∟56*5 4.2553.66∟56*8 6.5734.73∟63*4 3.9165.742∟63*5 4.8253.267∟63*6 5.7244.897∟63*8 4.4757.475∟63*109.1528.068∟70*4 4.3765.325∟70*5 5.4052.918∟70*6 6.4144.583∟70*77.4038.605∟70*88.3734.11∟75*5 5.8252.595∟75*6 6.9144.316∟75*77.9838.365∟75*89.0333.887∟75*1011.0927.595∟80*5 6.2152.552∟80*67.3844.252∟80*78.5338.287∟80*89.6633.796∟80*1011.8727.489∟90*68.3543.976∟90*79.6638.028∟90*810.9533.547∟90*1013.4827.248∟90*1215.9423.036∟100*69.3743.562∟100*710.8337.673∟100*812.2833.236∟100*1015.1226.984∟100*1217.9022.796∟100*1420.6119.795∟100*1623.2617.543∟110*711.9337.626∟110*813.5333.166∟110*1016.6926.89∟110*1219.7822.687∟110*1422.8119.676∟120*1018.3026.656∟120*1221.7022.471∟120*1425.1019.471∟120*1628.4019.471∟120*1831.6019.471∟125*815.5032.895∟125*1019.1326.656∟125*1222.7022.471∟125*1426.1919.471∟130*1019.8026.582∟130*1223.6022.381∟130*1427.3019.369∟130*1630.9017.105∟140*1021.4926.582∟140*1225.5222.381∟140*1429.4919.369∟140*1633.3917.105∟150*1227.4022.381∟150*1431.7019.369∟150*1636.0017.105∟150*1840.1017.105∟150*2044.3017.105∟160*1024.7326.398∟160*1229.3922.211∟160*1433.9919.207∟160*1638.5216.948∟180*1233.1622.148∟180*1438.3819.133∟180*1643.5416.866∟180*1848.6315.101∟200*1442.8919.024∟200*1648.6816.763∟200*1854.4015∟200*2060.0613.587∟200*2471.1711.466∟220*1447.40∟220*1653.83∟220*2066.43∟220*2478.80∟220*2891.00∟250*1661.55∟250*1868.86∟250*2076.12不等边角钢表面积对照表序号型号理论重量表面积kg/m M2/t1∟2.5*1.6*30.9198.684 2∟2.5*1.6*4 1.1876.531 3∟3.2*2*3 1.1797.353 4∟3.2*2*4 1.5274.901 5∟4*2.5*3 1.4896.361 6∟4*2.5*4 1.9473.864 7∟4.5*2.8*3 1.6995.436 8∟4.5*2.8*4 2.2073.082 9∟5*3.2*3 1.9194.34 10∟5*3.2*4 2.4972.173 11∟5.6*3.6*3 2.1593.823 12∟5.6*3.6*4 2.8171.835 13∟5.6*3.6*5 3.4758.28 14∟6.3*4*4 3.1971.272 15∟6.3*4*5 3.9257.908 16∟6.3*4*6 4.6448.944 17∟6.3*4*7 5.3442.517 18∟7*4.5*4 3.5770.868 19∟7*4.5*5 4.4057.461 20∟7*4.5*6 5.2248.486 21∟7*4.5*7 6.0142.09 22∟7.5*5*5 4.8157.196 23∟7.5*5*6 5.7048.254 24∟7.5*5*87.4337.007 25∟7.5*5*109.1030.226 26∟8*5*5 5.0157.143 27∟8*5*6 5.9448.189 28∟8*5*7 6.8541.764 29∟8*5*87.7536.927 30∟9*5.6*5 5.6656.704 31∟9*5.6*6 6.7247.789 32∟9*5.6*77.7641.387 33∟9*5.6*88.7836.565 34∟10*6.3*67.5547.55 35∟10*6.3*78.7241.16 36∟10*6.3*89.8836.343 37∟10*6.3*1012.1429.567 38∟10*8*68.3547.425 39∟10*8*79.6641.011 40∟10*8*810.9536.178 41∟10*8*1013.4829.386 42∟11*7*68.3547.425 43∟11*7*79.6641.011 44∟11*7*810.9536.178 45∟11*7*1013.4829.386 46∟12.5*8*711.0740.75547∟12.5*8*812.5535.933 48∟12.5*8*1015.4729.146 49∟12.5*8*1218.3324.604 50∟14*9*814.1635.734 51∟14*9*1017.4828.956 52∟14*9*1220.7224.416 53∟14*9*1423.9121.164 54∟16*10*1019.8728.784 55∟16*10*1223.5924.246 56∟16*10*1427.2520.993 57∟16*10*1630.8418.55 58∟18*11*1022.2728.645 59∟18*11*1226.4624.108 60∟18*11*1430.5920.857 61∟18*11*1634.6518.413 62∟20*12.5*1229.7624.025 63∟20*12.5*1434.4420.763 64∟20*12.5*1639.0518.312 65∟20*12.5*1843.5916.404宽度(mm)厚度(mm)456789101112每米重量(Kg)120.380.470.570.660.75140.440.550.660.770.88160.50.630.750.881 1.15 1.26180.570.710.850.99 1.13 1.27 1.41200.630.790.94 1.1 1.26 1.41 1.57 1.73 1.88 220.690.86 1.04 1.21 1.38 1.55 1.73 1.9 2.07 250.790.98 1.18 1.37 1.57 1.77 1.96 2.16 2.36 280.88 1.1 1.32 1.54 1.76 1.98 2.2 2.42 2.64 300.94 1.18 1.41 1.65 1.88 2.12 2.36 2.59 2.83 32 1.01 1.25 1.5 1.76 2.01 2.26 2.54 2.76 3.01 36 1.13 1.41 1.69 1.97 2.26 2.51 2.82 3.11 3.39 40 1.26 1.57 1.88 2.2 2.51 2.83 3.14 3.45 3.77 45 1.41 1.77 2.12 2.47 2.83 3.18 3.53 3.89 4.24 50 1.57 1.96 2.36 2.75 3.14 3.53 3.93 4.32 4.71 56 1.76 2.2 2.64 3.08 3.52 3.95 4.39 4.83 5.27 60 1.88 2.36 2.83 3.3 3.77 4.24 4.71 5.18 5.65 63 1.98 2.47 2.97 3.46 3.95 4.45 4.94 5.44 5.93 65 2.04 2.55 3.06 3.57 4.08 4.59 5.1 5.61 6.12 70 2.2 2.75 3.3 3.85 4.4 4.95 5.5 6.04 6.59 75 2.36 2.94 3.53 4.12 4.71 5.3 5.89 6.487.07 80 2.51 3.14 3.77 4.4 5.02 5.65 6.28 6.917.54 85 2.67 3.344 4.67 5.34 6.01 6.677.348.01 90 2.83 3.53 4.24 4.95 5.65 6.367.077.778.48 100 3.14 3.93 4.71 5.5 6.287.077.858.649.42142.753.083.3 3.513.954.44.955.56.15 6.596.927.147.698.248.799.349.8910.99厚度(mm)每平方米重量(Kg)菱形扁豆形2.521.621.1 325.624.43.529.528.4 433.432.44.537.336.4 542.340.55.546.244.3 650.148.4 75956 866.863.8工字钢表面积对照表序号型号高宽厚理论重量表面积(mm)kg/m M2/t1工1010068 4.511.2641.913 2工1212074 5.013.9938.385 3工1314.2238.596 4工1414080 5.516.8935.576 5工1616088 6.020.5132.818 6工1818094 6.524.1430.534 7工20a2001007.027.9328.719 8工20b2001029.031.0725.936 9工22a2201107.533.0726.694 10工22b2201129.536.5224.274 11工24a2401168.037.4825.262 12工24b24011810.041.2523.044 13工25a38.1125.381 14工25b42.0323.099 15工27a2701228.542.8324.078 16工27b27012410.547.0821.998 17工28a43.4924.177 18工28b47.8822.057 19工30a3001269.048.0823.045 20工30b30012811.052.7921.059 21工30c30013013.057.5019.399 22工32a52.7222.075 23工32b57.7420.235 24工32c62.7718.674 22工33a3301309.553.4023工33b33013211.558.6024工33c33013413.563.8025工36a36013610.060.0421.129 26工36b36013812.065.6919.381 27工36c36014014.071.3417.898 28工40a40014210.567.6020.329 29工40b40014412.573.8818.651 30工40c40014614.580.1617.248 31工45a45015011.580.4218.737 32工45b45015213.587.4917.266 33工45c45015415.594.5516.025 34工50a50015812.093.6517.515 35工50b50016014.0101.5016.197 36工50c50016216.0109.3515.077 37工55a55016612.5105.3616.837 38工55b55016814.5113.9715.597 39工55c55017016.5122.6114.536 40工56a106.3216.877 41工56b115.1115.62 42工56c123.9014.54943工60a60017613.0118.0044工60b60017815.0128.0045工60c60018017.0137.0043工63a121.4116.284 44工63b131.3015.085 45工63c141.1914.06110420.31000855.352035.09 17.665419.3280218.0563114.10865工字钢表面积对照表序号型号高宽厚理论重量(mm)kg/m1工1010055 4.59.46 2工1212064 4.811.50 3工1414073 4.913.70 4工1616081 5.015.00 5工1818090 5.118.40 6工18a180100 5.119.80 7工20200100 5.221.00 8工20a200110 5.222.70 9工22220110 5.424.00 10工22a220120 5.425.80 11工24240115 5.627.30 12工24a240125 5.629.40 13工27270125 6.031.50 14工27a270135 6.033.90 15工30300135 6.536.50 16工30a300145 6.539.20 17工333301407.042.20 18工363601457.548.90 19工404001558.056.10 20工454501608.665.20 21工5050017809.576.80 22工5555018010.389.80 23工6060019011.1104.00 24工6565020012.0120.00 25工7070021013.0138.00 26工70a70021015.0158.00对照表表面积M2/t41.91338.38535.57632.81830.53430.53428.71925.93626.69424.27425.26223.04424.07821.99823.04521.05921.12920.32918.73717.51516.83716.28415.08514.061槽钢表面积对照表序号型号理论重量表面积kg/m M2/t1[5 5.4444.846 2[6.3 6.6342.492 3[6.5 6.7142.57 4[88.0539.304 5[1010.00738.826 6[1212.0637.294 7[12.612.3237.488 8[14a14.5435.088 9[14b16.7330.7 10[16a17.2433.078 11[1619.7529.059 12[18a20.1731.255 13[1823.0027.576 14[20a22.6430.558 15[2025.7826.98 16[22a25.0029.934 17[2228.4526.463 18[24a26.5529.551 19[24b30.6326.037 20[24c34.4023.319 21[25a27.4129.702 22[25b31.3426.1 23[25c35.2623.326 24[27a30.8428.205 25[27b35.0824.929 26[27c39.3222.335 27[28a31.4328.325 28[28b35.8224.979 29[28c40.2222.341 30[30a34.4627.391 31[30b39.1724.192 32[30c43.8821.68 33[32a38.0826.151 34[32b43.1123.189 35[32c48.1320.845 36[36a47.8123.175 37[36b53.4720.795 38[36c59.1218.869 39[40a58.9320.409 40[40b65.2018.502 41[40c71.4916.94槽钢表面积对照表序号型号理论重量表面积kg/m M2/t[5 4.8444.846[6.5 5.9042.57 [87.0539.304 [108.59038.826 [1210.4037.294 [1412.3035.088 [14a13.3030.7 [1614.2029.059 [16a15.3033.078 [1816.3027.576 [18a17.4031.255 [2018.4026.98 [20a19.8030.558 [2221.0026.463 [22a22.6029.934 [2424.0029.551 [24a25.8026.037 [2727.7028.205 [3031.8027.391 [3336.5026.151 [3641.9023.175 [4048.3020.409H型钢表面积对照表类别型号截面尺寸腹厚边厚表面积理论重量高*宽H*B(mm)t1t2M2/m kg/mHW宽翼缘100*100100*1006817.2 125*125125*125 6.5923.8 150*150150*15071031.9 175*175175*1757.51140.3 200*200200*20081250.5200*204121256.7 250*250250*25091472.4250*255141482.2 300*300294*302121285300*300101594.5300*3051515106 350*350344*3481016115350*3501219137 400*400388*4021515141394*3981118147400*4001321172400*4082121197414*4051828233428*4072035284458*4173050415498*4324570605HM中翼缘150*100148*1006921.4 200*150194*1506931.2 250*175244*17571144.1 300*200294*20081257.3 350*250340*25091479.7 400*300390*3001016107 450*300440*3001118124 500*300482*3001115115488*3001118129 600*300582*3001217137588*3001220151594*3021423175窄翼缘100*50100*50579.54 125*60125*606813.4 150*75150*755714.3 175*90175*905818.2 200*100198*99 4.5718.5200*100 5.5821.7 250*125248*1245825.8250*1256929.7 300*150298*149 5.5832.6300*150 6.5937.3 350*175346*1746941.8350*17571150400*150400*15081355.8400*200396*19971156.7 400*20081366450*200446*19981266.7 450*20091476.5500*150500*150101677.1500*200496*19991479.5 500*200101689.6 506*2011119103600*200596*199101595.1 600*2001117106 606*2011220120700*300692*3001320166 700*3001324185800*300792*3001422191 800*3001426210900*300890*2991523213 900*3001628243 912*3021834286HN窄翼缘表面积M2/t32.58831.59728.33926.20323.92121.44620.88418.51621.25919.21717.22618.2715.4617.09916.36114.07612.37610.5248.7786.2024.44132.61731.92327.16624.41521.26718.68216.9271917.03117.42315.88713.8公称直径壁厚每米重量mm(英寸)mm Kg15 1/2 2.75 1.3320 3/4 2.75 1.73251 3.25 2.5732 1 1/4 3.25 3.3240 1 1/2 3.5 4.0750 2 3.5 5.1765 2 1/2 3.757.0470 2 1/2 3.757.0480 3 48.84100 4 411.5 125 5 4.516.85 150 6 4.522.29W=0.02466*δ(D-δ)直径壁厚每米重量直径外径mm Kg1521.25 2.75 1.252026.75 2.75 1.632533.50 3.25 2.423242.25 3.25 3.134048.00 3.5 3.845060.00 3.5 4.887075.50 3.75 6.648088.5048.3490101.2049.5 100114 410.85 125140 4.515.4 150165 4.517.81 200219 631.52 250273 745.92 300325 862.54种别型号断面尺寸(mm)重量高底宽头宽腰厚Kg/m轻轨963.563.532.1 5.98.94 1269.8569.8538.17.5412.2 1579.3779.3742.868.3315.2 2293.6693.6650.810.7222.3 30107.95107.9560.3312.330.1重轨601001507316.560.759 501521327015.551.514 451451266714.545.546 431401147014.544.653 381341146814.538.733计算式W=0.0157S(A+A-2.8547S)长(A)宽(A)厚(S)质量(1m) 35352 2.02 35353 2.89 40402 2.33 30602 2.65 2020 1.50.84 30302 1.70 6060 2.5 4.43 70703 6.19不锈钢质量(1m)2.0187规格腹高翼缘宽腹厚35020010350200103503501030020010500200124002001050030012翼缘厚面积(1m)m2/t12.00 1.432022.6331663.27 14.00 1.424020.5661569.24 14.00 2.024019.80237102.21 12.00 1.332022.4431359.35 16.00 1.712018.1490594.33 14.00 1.524020.8310673.16 16.00 2.112017.68104119.45型号及名称托臂。
工字钢规格表及工字钢理论重量表工字钢也称钢梁,是截面为工字形的长条钢材。
其规格以腰高( h)*腿宽 (b)* 腰厚 (d)的毫数表示,如“工160*88*6 ”,即表示腰高为160毫米,腿宽为88 毫米,腰厚为 6 毫米的工字钢。
工字钢的规格也可用型号表示,型号表示腰高的厘米数,如工 16#。
腰高相同的工字钢,如有几种不同的腿宽和腰厚,需在型号右边加a b c 予以区别,如 32a# 32b# 32c#等。
工字钢分普通工字钢和轻型工字钢,热轧普通工字钢的规格为10-63#。
经供需双方协议供应的热轧普通工字钢规格为12-55#。
工字钢广泛用于各种建筑结构、桥梁、车辆、支架、机械等。
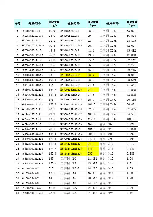
工字钢规格重量表 :工字钢型号尺寸( mm)截面面积( cm2)重量( kg/m )高腿宽腹厚1010068 4.514.311.2 1212074 5.017.814.0 1414080 5.521.516.9 1616088 6.026.120.5 1818094 6.530.624.1 20A2001007.035.527.9 20B2001029.039.531.1 22A2201107.542.033.0 22B2201129.546.436.4 24A2401168.047.737.4 24B24011810.052.641.2 27A2701228.554.642.8 27B27012410.560.047.1 30A3001269.061.248.0 30B30012811.067.252.7 30C30013013.073.457.436A36013610.076.359.936B36013812.083.565.636C36014014.090.771.240A40014210.586.167.640B40014412.594.173.840C40014614.5102工字钢单位重量表 :一、热轧普通工字钢每米重量表尺寸(毫米)截面面积理论重量型号(cm2)(kg/m)h b d t r11010068 4.57.6 3.314.311.212.61267458.4 3.518.114.21414080 5.59.1 3.821.516.9 161608869.9426.120.5 1818094 6.510.7 4.330.624.1 20a200100711.4 4.535.527.9 20b200102911.4 4.539.531.1 22a2201107.512.3 4.84233 22b2201129.512.3 4.846.436.4 25a250116813548.538.1 25b2501181013553.542 28a2801228.513.7 5.355.4543.4 28b28012410.513.7 5.361.0547.9 32a3201309.515 5.867.0552.7 32b32013211.515 5.873.4557.7 32c32013413.515 5.879.9562.8 36a3601361015.8676.359.9 36b3601381215.8683.565.6 36c3601401415.8690.771.2 40a40014210.516.5 6.386.167.6 40b40014412.516.5 6.394.173.8 40c40014614.516.5 6.310280.1 45a45015011.518 6.810280.445b45015213.518 6.811187.4 45c45015415.518 6.812094.5 50a5001581220711993.6 50b50016014207129101 50c50016216207139109 56a56016612.5217.3135.25106.2 56b56016814.5217.3146.45115 56c56017016.5217.3157.85123.9 63a63017613227.5154.9121.6 63b63017815227.5167.5131.5 63c63018017227.5180.1141二、热轧轻型工字钢每米重量表尺寸(毫米)截面面积理论重量型尺寸(毫米)截面面积理论重量型号h b d t( cm2)(kg/m)号h b d t(cm2) (kg/m) 10100 55 4.57.212.09.461818090 5.18.123.418.4 12120 64 4.87.314.711.518a1801005.1 8.325.419.914140 73 4.97.517.413.7202001005.2 8.426.821.0 16160 81 5.07.820.21520a2001105.2 8.628.922.7 22220 110 5.48.730.624.0404001558.013.071.456.1 22a220 120 5.48.932.825.8454501608.614.283.065.2 24240 115 5.69.534.827.3505001709.515.297.876.8 24a240 125 5.69.837.529.455550180 10.3 16.511489.8 27270 125 6.09.840.231.560600190 11.1 17.8132104 27a270 135 6.010.243.233.965650200 1219.2153120 30300 135 6.510.246.536.570700210 1320.8176138 30a300 145 6.510.749.939.270a700210 1524.0202158 33330 140 7.011.253.842.270b700210 17.5 28.2234184 36360 145 7.512.361.948.6方通规格表方管规格壁厚规格壁厚15× 15 0.8-1.250× 50 1.2-4.016× 16 0.6-1.560× 60 1.5-4.018× 18 0.6-1.870× 70 1.5-4.020× 20 0.6-1.880× 80 1.7-4.025× 25 0.8-2.590× 90 1.7-4.030× 30 0.8-2.75100× 100 1.5-4.040× 40 1.0-4.0 0 0方管最大可做到400*400 壁厚 12 毫米矩形管规格壁厚规格壁厚20× 100.8-2.550× 40 1.5-4.030× 200.8-2.550× 70 1.5-4.040× 200.8-2.7560× 30 1.5-4.040× 251.2-3.060× 80 1.5-4.040× 301.5-3.7560× 90 1.5-4.040× 601.5-4.080× 100 1.5-4.040× 801.0-4.0100× 40 1.5-4.050× 251.0-4.0100× 50 1.5-4.050× 301.0-4.0120× 50 1.5-4.0矩形管最大到 400*300 壁厚 12 毫米方钢管规格 :方管100*100*6mm 方管150*150*(5-20mm) 方管250*250*(5-25mm) 方管 180*180* (5-18mm) 方管 280*280*(5-25mm) 方管 356*356*(5-25mm)方管200*200* ( 5-20mm )方管300*300* (5-25mm) 方管350*350*(5-25mm) 方管 220*220*(5-20mm) 方管 400*400*(5-25mm) 方管406*406* (5-25mm)焊接钢管理论重量表公称口径普通钢管加厚钢管( mm)( in )壁厚( mm)理论重量( Kg/m)壁厚( mm)理论重量( Kg/m)6 1./820.39 2.50.4681/4 2.250.62 2.750.73103/8 2.250.32 2.750.97151/2 2.75 1.26 3.25 1.45203/4 2.75 1.63 3.5 2.01251 3.25 2.424 2.913211/ 4 3.25 3.134 3.784011/2 3.5 3.84 4.25 4.58502 3.5 4.88 4.5 6.166513.75 6.644.57.88 2 /280348.34 4.759.81 1004410.85513.44 1255 4.515.04 5.518.24 1506 4.517.81 5.521.63圆钢规格重量表规格截面面积重量( kg/m)Ф 3.59.620.075Ф 412.570.098Ф 519.630.154Ф 5.523.760.187Ф 5.624.630.193Ф 628.270.222Ф 6.331.170.245Ф 6.533.180.260Ф 738.480.302Ф 7.544.180.347Ф 850.270.395Ф 963.630.499Ф1078.540.617Ф1195.030.746Ф12113.100.888Ф13132.70 1.04Ф14153.90 1.21Ф15176.70 1.39Ф16201.10 1.58Ф17227.00 1.78Ф18254.50 2.00Ф19283.50 2.23Ф20314.20 2.47Ф21346.40 2.72Ф22380.10 2.98Ф24452.40 3.55Ф25490.90 3.85Ф26530.90 4.17Ф28615.80 4.83Ф30706.90 5.55Ф32804.20 6.31Ф34907.907.13Ф 628.270.222Ф 6.331.170.245Ф 6.533.180.260Ф 738.480.302Ф 7.544.180.347Ф 850.270.395Ф 963.630.499Ф1078.540.617Ф1195.030.746Ф12113.100.888Ф13132.70 1.04Ф14153.90 1.21Ф15176.70 1.39Ф16201.10 1.58Ф17227.00 1.78Ф18254.50 2.00Ф19283.50 2.23Ф20314.20 2.47Ф21346.40 2.72Ф22380.10 2.98Ф24452.40 3.55Ф25490.90 3.85Ф26530.90 4.17Ф28615.80 4.83Ф30706.90 5.55Ф32804.20 6.31Ф34907.907.13Ф 628.270.222Ф 6.331.170.245Ф 6.533.180.260Ф 738.480.302Ф 7.544.180.347Ф 850.270.395Ф 963.630.499Ф1078.540.617Ф1195.030.746Ф12113.100.888Ф13132.70 1.04Ф14153.90 1.21Ф15176.70 1.39Ф16201.10 1.58Ф17227.00 1.78Ф18254.50 2.00Ф19283.50 2.23Ф20314.20 2.47Ф21346.40 2.72Ф22380.10 2.98Ф24452.40 3.55Ф25490.90 3.85Ф26530.90 4.17Ф28615.80 4.83Ф30706.90 5.55Ф32804.20 6.31Ф34907.907.13Ф 628.270.222Ф 6.331.170.245Ф 6.533.180.260Ф 738.480.302Ф 7.544.180.347Ф 850.270.395Ф 963.630.499Ф1078.540.617Ф1195.030.746Ф12113.100.888Ф13132.70 1.04Ф14153.90 1.21Ф15176.70 1.39Ф16201.10 1.58Ф17227.00 1.78Ф18254.50 2.00Ф19283.50 2.23Ф20314.20 2.47Ф21346.40 2.72Ф22380.10 2.98Ф24452.40 3.55Ф25490.90 3.85Ф26530.90 4.17Ф28615.80 4.83Ф30706.90 5.55Ф32804.20 6.31Ф34907.907.13Ф 628.270.222Ф 6.331.170.245Ф 6.533.180.260Ф 738.480.302Ф 7.544.180.347Ф 850.270.395Ф 963.630.499Ф1078.540.617Ф1195.030.746Ф12113.100.888Ф13132.70 1.04Ф14153.90 1.21Ф15176.70 1.39Ф16201.10 1.58Ф17227.00 1.78Ф18254.50 2.00Ф19283.50 2.23Ф20314.20 2.47Ф21346.40 2.72Ф22380.10 2.98Ф24452.40 3.55Ф25490.90 3.85Ф26530.90 4.17Ф28615.80 4.83Ф30706.90 5.55Ф32804.20 6.31Ф34907.907.13Ф 628.270.222Ф 6.331.170.245Ф 6.533.180.260Ф 738.480.302Ф 7.544.180.347Ф 850.270.395Ф 963.630.499Ф1078.540.617Ф1195.030.746Ф12113.100.888Ф13132.70 1.04Ф14153.90 1.21Ф15176.70 1.39Ф16201.10 1.58Ф17227.00 1.78Ф18254.50 2.00Ф19283.50 2.23Ф20314.20 2.47Ф21346.40 2.72Ф22380.10 2.98Ф24452.40 3.55Ф25490.90 3.85Ф26530.90 4.17Ф28615.80 4.83Ф30706.90 5.55Ф32804.20 6.31Ф34907.907.13Ф 628.270.222Ф 6.331.170.245Ф 6.533.180.260Ф 738.480.302Ф 7.544.180.347Ф 850.270.395Ф 963.630.499Ф1078.540.617Ф1195.030.746Ф12113.100.888Ф13132.70 1.04Ф14153.90 1.21Ф15176.70 1.39Ф16201.10 1.58Ф17227.00 1.78Ф18254.50 2.00Ф19283.50 2.23Ф20314.20 2.47Ф21346.40 2.72Ф22380.10 2.98Ф24452.40 3.55Ф25490.90 3.85Ф26530.90 4.17Ф28615.80 4.83Ф30706.90 5.55Ф32804.20 6.31Ф34907.907.13Ф 628.270.222Ф 6.331.170.245Ф 6.533.180.260Ф 738.480.302Ф 7.544.180.347Ф 850.270.395Ф 963.630.499Ф1078.540.617Ф1195.030.746Ф12113.100.888Ф13132.70 1.04Ф14153.90 1.21Ф15176.70 1.39Ф16201.10 1.58Ф17227.00 1.78Ф18254.50 2.00Ф19283.50 2.23Ф20314.20 2.47Ф21346.40 2.72Ф22380.10 2.98Ф24452.40 3.55Ф25490.90 3.85Ф26530.90 4.17Ф28615.80 4.83Ф30706.90 5.55Ф32804.20 6.31Ф34907.907.13Ф 628.270.222Ф 6.331.170.245Ф 6.533.180.260Ф 738.480.302Ф 7.544.180.347Ф 850.270.395Ф 963.630.499Ф1078.540.617Ф1195.030.746Ф12113.100.888Ф13132.70 1.04Ф14153.90 1.21Ф15176.70 1.39Ф16201.10 1.58Ф17227.00 1.78Ф18254.50 2.00Ф19283.50 2.23Ф20314.20 2.47Ф21346.40 2.72Ф22380.10 2.98Ф24452.40 3.55Ф25490.90 3.85Ф26530.90 4.17Ф28615.80 4.83Ф30706.90 5.55Ф32804.20 6.31Ф34907.907.13Ф 628.270.222Ф 6.331.170.245Ф 6.533.180.260Ф 738.480.302Ф 7.544.180.347Ф 850.270.395Ф 963.630.499Ф1078.540.617Ф1195.030.746Ф12113.100.888Ф13132.70 1.04Ф14153.90 1.21Ф15176.70 1.39Ф16201.10 1.58Ф17227.00 1.78Ф18254.50 2.00Ф19283.50 2.23Ф20314.20 2.47Ф21346.40 2.72Ф22380.10 2.98Ф24452.40 3.55Ф25490.90 3.85Ф26530.90 4.17Ф28615.80 4.83Ф30706.90 5.55Ф32804.20 6.31Ф34907.907.13Ф 628.270.222Ф 6.331.170.245Ф 6.533.180.260Ф 738.480.302Ф 7.544.180.347Ф 850.270.395Ф 963.630.499Ф1078.540.617Ф1195.030.746Ф12113.100.888Ф13132.70 1.04Ф14153.90 1.21Ф15176.70 1.39Ф16201.10 1.58Ф17227.00 1.78Ф18254.50 2.00Ф19283.50 2.23Ф20314.20 2.47Ф21346.40 2.72Ф22380.10 2.98Ф24452.40 3.55Ф25490.90 3.85Ф26530.90 4.17Ф28615.80 4.83Ф30706.90 5.55Ф32804.20 6.31Ф34907.907.13。
H型钢理论重量表H型钢(公斤/米)(H高度,B宽度,t1腹板厚度,t2翼缘厚度)类别型号H*B(mm) t1(mm) t2(mm) 理论重量HW 200*200 200*200 8 12200*204 12 12250*250 250*250 9 14250*255 14 14300*300 294*302 12 12 85300*300 10 15300*305 15 15 106 350*350 344*348 10 16 115350*350 12 19 137 400*400 388*402 15 15 141394*398 11 18 147400*400 13 21 172400*408 21 21 197414*405 18 28 233428*407 20 35 284458*417 30 50 415498*342 45 70 605 HM 150*100 148*100 6 9200*150 194*150 6 9250*175 244*175 7 11300*200 294*200 8 12350*250 340*250 9 14400*300 390*300 10 16 107450*300 440*300 11 18 124500*300 482*300 11 15 115488*300 11 18 129 600*300 582*300 12 17 137588*300 12 20 151594*302 14 23 175 HN 100*50 100*50 5 7125*60 125*60 6 8150*75 150*75 5 7175*90 175*90 5 8200*100 198*99 7200*100 8250*125 248*124 5 8250*125 6 9300*150 298*149 8300*150 9350*175 346*174 6 9350*175 7 11 50 400*150 400*150 8 13400*200 396*199 7 11400*200 8 13 66 450*150 450*150 9 14450*200 446*199 8 12450*200 9 14500*150 500*150 10 16500*200 496*199 9 14500*200 10 16506*201 11 19 103 600*200 596*199 10 15600*200 11 17 106606*201 12 20 120 700*300 692*300 13 20 166 700*300 13 24 185 800*300 792*300 14 22 191 800*300 14 26 210 900*300 890*299 15 23 213 900*300 16 28 243912*302 18 34 286槽钢理论重量规格型号重量/米(kg) 50*37* 5#63**40* #65*40* #80*43*5 8#100*48* 10#120*53* 12#126*53* #140*60*8 14#A140*60*8 14#B160*63* 16#A160*65* 16#B180*68*7 18#A180*70*9 18#B 23 200*73*7 20#A200*75*9 20#B220*77*7 22#A220*79*9 22#B240*78*7 24#A240*80*9 24#B250*78*7 25#A250*80*9 25#B270*82* 27#A270*84* 27#B280*82* 28#A280*84* 28#B300*85* 30#A300*87* 30#B320*88*8 32#A320*90*10 32#B360*96*9 36#A360*98*11 36#B400*100* 40#A400*102* 40#B圆钢理论重量表大全圆钢直径D(型号) 理论重量KG/M 圆钢直径D(型号) 理论重量kg/m136 14157 168 179 18 210 19* 11 2012 2122 63* 23 * 65 2624 * 6825 7026 75* 27 8028 85* 29 9030 95* 31 10032 105 68* 33 11034 115* 35 12036 12538 130 10440 140 12142 150 13945 160 15848 170 17850 180 20053 190 223* 55 200 24756 220 298* 58 250 38560热轧不等边角钢理论重量表型号尺寸(MM)长边宽短边宽边厚理论重量(kg/m)16 25 16 325 16 42 32 20 332 20 44/ 40 25 340 25 445 28 345 28 45/ 50 32 350 32 456 36 356 36 456 36 54 63 40 463 40 563 40 663 40 77/ 70 45 470 45 570 45 670 45 75 75 50 575 50 675 50 875 50 108/5 80 50 580 50 680 50 780 50 89/ 90 56 590 56 690 56 790 56 810/ 100 63 6100 63 7100 63 8100 63 1010/8 100 80 6100 80 7100 80 8100 80 1011/7 110 70 6110 70 7110 70 8110 70 108 125 80 7125 80 8125 80 10125 80 1214/9 140 90 8140 90 10140 90 12140 90 1416/10 160 100 10160 100 12160 100 14160 100 1618/11 180 110 10180 110 12180 110 14180 110 1620/ 200 125 12200 125 14200 125 16200 125 18不等边角钢理重计算:W(kg/m)=*边厚*(长边宽+短边宽边厚)钢板理论重量表厚度(mm)理论重量(kg/m2)厚度(mm)理论重量(kg/m2)厚度(mm)理论重量(kg/m2)中厚理论重量表厚度(mm)理论重量(kg/m2)厚度(mm)理论重量(kg/m2)厚度(mm)理论重量(kg/m2)16 385 18 4020 426 22 447 24 458 25 469 26 4810 28 5011 30 5212 32 5413 34 5514 35 5615 36 58。
一、H型钢理论重量表二、钢板理论重量表中厚钢板理论重量表(中厚钢板钢板的理论重量)三、工字钢理论重量表热轧普通工字钢每米重量表热轧轻型工字钢每米重量表四、槽钢理论重量表五、角钢理论重量角钢理论重量表及角钢理论重量计算等边角钢理论重量计算钢材理论重量计算的计量单位为公斤( kg )。
其基本公式为:W (重量, kg ) = F (断面积 mm2 )× L (长度, m )×ρ(密度, g/cm3 )× 1/1000钢的密度为: 7.85g/cm3 ,各种钢材理论重量计算公式如下:名称(单位)计算公式符号意义计算举例等边角钢(kg/m)W= 0.00785 ×[d (2b ?C d )+0.215 (R2 ?C 2r 2 )]b= 边宽d= 边厚R= 内弧半径r= 端弧半径求 20 mm × 4mm 等边角钢的每m 重量。
从冶金产品目录中查出4mm × 20 mm 等边角钢的R 为3.5 ,r 为1.2 ,则每m 重量=0.00785 ×[4 ×(2 ×20 ?C 4 )+0.215 ×(3.52 ?C 2 ×1.2 2 )]=1.15kg热轧等边角钢尺寸及重量计算公式:W(kg/m)=0.00785*边厚*(2边宽-边厚)不等边角钢理论重量计算钢材理论重量计算的计量单位为公斤( kg )。
其基本公式为:W (重量, kg ) = F (断面积 mm2 )× L (长度, m )×ρ(密度, g/cm3 )× 1/1000钢的密度为: 7.85g/cm3 ,各种钢材理论重量计算公式如下:名称(单位)计算公式符号意义计算举例不等边角钢(kg/m)W= 0.00785 ×[d (B+b ?C d )+0.215 (R2 ?C 2 r 2 )] B= 长边宽b= 短边宽d= 边厚R= 内弧半径r= 端弧半径求 30 mm × 20mm × 4mm 不等边角钢的每m 重量。