2011安徽理科二本投档线
- 格式:doc
- 大小:644.50 KB
- 文档页数:12
2011高考录取分数线概况2011年是中国高考制度改革初见成效的一年。
在这一年的高考中,全国范围内的高中毕业生进行了统一的考试,以便评估他们的学术水平和适应大学生活的能力。
高考成绩被视为决定学生是否能进入大学的关键因素。
各省分数线以下是2011年全国各省的高考录取分数线。
不同省份的高考分数线有所不同,主要是由于各省的经济发展水平以及教育资源的分布不均所导致的。
北京•文科:505分•理科:488分上海•文科:514分•理科:528分广东•文科:499分•理科:517分江苏•文科:499分•理科:513分浙江•文科:514分•理科:518分湖南•文科:495分•理科:506分四川•文科:490分•理科:502分山东•文科:490分•理科:502分河北•文科:486分•理科:498分河南•文科:491分•理科:504分湖北•文科:496分•理科:507分辽宁•文科:492分•理科:503分陕西•文科:493分•理科:501分山西•文科:483分•理科:494分安徽•文科:489分•理科:501分福建•文科:494分•理科:500分黑龙江•文科:484分•理科:496分江西•文科:492分•理科:504分河南•文科:491分•理科:504分湖北•文科:496分•理科:507分吉林•文科:493分•理科:506分山西•文科:483分•理科:494分贵州•文科:485分•理科:497分重庆•文科:491分•理科:501分天津•文科:498分•理科:506分新疆•文科:480分•理科:492分云南•文科:485分•理科:497分海南•文科:482分•理科:492分甘肃•文科:482分•理科:493分宁夏•文科:484分•理科:496分青海•文科:475分•理科:489分西藏•文科:475分•理科:489分内蒙古•文科:479分•理科:489分结尾以上是2011年高考录取分数线的一份概览。
这些分数线是通过对各省份的高考成绩进行统计和分析得出的。
腾讯⾼考讯安徽2011年⾼考录取分数线公布。
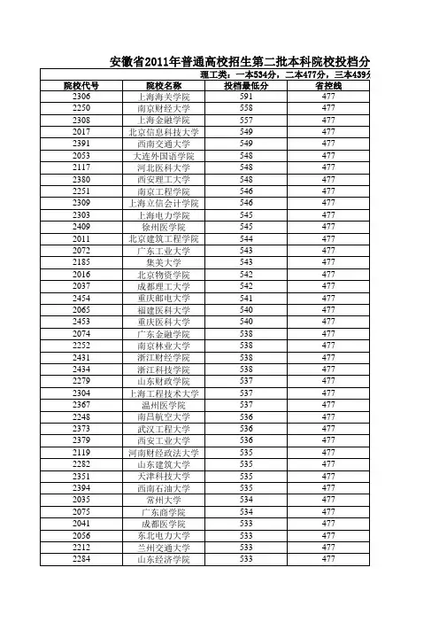
安徽省2011年普通⾼校招⽣⽂史、理⼯类最低控制分数线⼀览表科类/批次⼀本⼆本三本⾼职(专科)⽂史 547 510 487 200理⼯ 534 477 439 200安徽省2011年普通⾼校招⽣艺、体类⽂化课最低控制分数线⼀览表科类/批次艺术类(本科) 艺术类(⾼职专科) 体育类(本科) 体育类(⾼职专科) ⽂史 318 140 382 331理⼯ 297 140 357 310安徽省2010年普通⾼校招⽣⽂史、理⼯类最低控制分数线⼀览表科类/批次⼀本⼆本三本⾼职(专科)⽂史 573 534 516 320理⼯ 562 507 477 260安徽省2010年普通⾼校招⽣艺、体类⽂化课最低控制分数线⼀览表科类/批次艺术类(本科) 艺术类(⾼职专科) 体育类(本科) 体育类(⾼职专科) ⽂史 334 224 400 347理⼯ 316 182 380 329安徽省2009年普通⾼校招⽣⽂史、理⼯类最低控制分数线⼀览表科类/批次⼀本⼆本三本⾼职(专科)⽂史 543 501 488 365理⼯ 579 520 498 326安徽省2008年普通⾼校招⽣⽂、理科最低控制分数线⼀览表批次科类⼀本⼆本三本⼀专(参考线)⼆专(参考线)备档线⽂科 553 513 500 459 377 330理科 563 507 489 437 366 320安徽省2007年普通⾼校招⽣⽂、理科最低控制分数线⼀览表批次科类⼀本⼆本三本⼀专⼆专(参考线)备档线⽂科 551 515 493 448 342 312理科 563 505 476 415 308 278。
安徽省2011年普通高校招生文史、理工类最低控制分数线一览表安徽省2011年普通高校招生艺、体类文化课最低控制分数线一览表2010(365) 5安徽工贸职业技术学院6安徽工业职业技术学院 335 安徽工业职业技术学院 365安徽文达信息技术职业学院 346 安徽文达信息技术职业学院 365合肥通用职业技术学院 349 合肥通用职业技术学院 365安徽中澳科技职业学院 340(占地面积224亩) 安徽中澳科技职业学院 3653合肥信息技术职业学院 346(占地面积304.96亩)合肥信息技术职业学院 365 6万博科技职业学院 (占地面积200多亩) 364 万博科技职业学院 3721合肥滨湖职业技术学院(占地面积428亩) 365 合肥滨湖职业技术学院 3714安徽绿海商务职业学院 367 安徽绿海商务职业学院 3712安徽城市管理职业学院 375 安徽城市管理职业学院 365安徽涉外经济职业学院 377 安徽涉外经济职业学院 365安徽新闻出版职业技术学院 390 安徽新闻出版职业技术学院 378安徽林业职业技术学院 390 安徽林业职业技术学院 373合肥经济技术职业学院 398 合肥经济技术职业学院 377安徽经济管理干部学院 423 安徽经济管理干部学院 365安徽水利水电职业技术学院 441 安徽水利水电职业技术学院 365安徽审计职业学院 470 安徽审计职业学院 411安徽交通职业技术学院 457 安徽交通职业技术学院 391合肥财经职业学院 452 合肥财经职业学院 409安徽职业技术学院 488 安徽职业技术学院 435安徽商贸职业技术学院 464 安徽商贸职业技术学院 414安徽国际商务职业学院 404 安徽国际商务职业学院 365安徽财贸职业学院 497 安徽财贸职业学院 450安徽工业经济职业技术学院 451 安徽工业经济职业技术学院 407安徽工商职业学院 478 安徽工商职业学院 432安徽省2010年高招一本院校投档分数及排名公布/ 2010-07-17 12:18来源:中安教育网网友评论 (0)安徽省2010年普通高校招生第一批本科院校投档分数及排名(理工)注:投档人数是在部分院校调增计划后按学校提出的调档比例执行的实际投档人数。
2011年普通高校招生本二批次录取分数线公布来源:虞威的日志江苏省2011年普通高校招生本科第二批投档线(文科)院校代号院校名称选测等级投档最低分辅助排序分0306中国民用航空飞行学院BB3282311106南京信息工程大学BB3422511110南京工业大学BB3382331111南京邮电大学BB3402461112南京医科大学BB3372381113南京中医药大学BB3312301114南京工程学院BB3412421115南京林业大学BC3392381116南京财经大学BB3422421117南京体育学院BC3191119南京审计学院BB3422371120南京晓庄学院BC335237BB3292281121南京师范大学浦口校区(与江苏教育学院联合办学)1122江苏警官学院BB3362391123南京人口管理干部学院BC3232311125南京师范大学人民武装学院BC3191128金陵科技学院BB3372361201江苏大学BB3352331202江苏科技大学BB3382421221河海大学(常州校区)BB3402451222常州大学BB3352391223常州工学院BC3302321224江苏技术师范学院BB3282441271苏州大学BB3382461272苏州科技学院BB3252251274常熟理工学院BB3262351275江苏科技大学(张家港校区)BB3332441291南通大学BB3322331301盐城工学院BC3252291302盐城师范学院BC3212271311淮海工学院BC3262351322徐州师范大学BB3292401323徐州医学院BB324226 1324徐州工程学院BC321234 1341淮阴师范学院BC323233 1342淮阴工学院BC322230 1351有关高校联建宿迁学院计划BC321223 1361扬州大学BB3332451423徐州师范大学南京校区(与江BB321231苏城市职业学院联合办学)BC3191424徐州师范大学(与连云港师范高等专科学校合作办学)1711淮海工学院BC3191713南京中医药大学BC3191714南京工程学院BC323227 1716南京财经大学BB341241 1719南京审计学院BB339238 1720南京晓庄学院BC3191721南京邮电大学BB332234 1722常州大学BC321241 1723徐州师范大学BC3191724江苏技术师范学院BC3191728金陵科技学院BC3191729盐城师范学院BC3191732常州工学院BC3191734徐州工程学院BC3191741淮阴师范学院BC3191742淮阴工学院BC3191761扬州大学BB321229 1791南通大学BC327222 1801南京大学金陵学院BC323227 1802东南大学成贤学院BC323230 2111上海师范大学BB340242 2116上海海洋大学BB338230 2118上海电力学院BB336241 2119上海体育学院BB327220 2120上海工程技术大学BB333238 2122上海音乐学院BB331238 2123上海应用技术学院BB333239 2124上海第二工业大学历史B,另一门C337235 2125上海政法学院BB3432382131上海海关学院BB354253 2133上海金融学院BB344243 2136上海电机学院BC332230 2137上海立信会计学院BB347251 2141上海商学院BB338237 2202中国计量学院BB333230 2208杭州电子科技大学BB341232 2209杭州师范大学BB335235 2211浙江传媒学院BB333239 2212浙江科技学院BB322220 2213浙江财经学院BB339239 2214浙江农林大学BB328228 2223绍兴文理学院BB327232 2228温州大学BB323234 2231嘉兴学院BB325233 2240浙江外国语学院BB321231 2251浙江海洋学院BB325225 2261湖州师范学院BB327229 2306安徽农业大学BB326224 2309安徽师范大学BB334231 2310安徽科技学院历史B,另一门C321239 2321安徽财经大学BB339241 2327合肥学院BB326229 2341安徽理工大学BB3192342宿州学院BC320237 2343安庆师范学院BB319218 2349皖南医学院BB3192351淮北师范大学BB3192361安徽工业大学BB337235 2408龙岩学院BB3192409闽江学院BB3192410三明学院BB3192412集美大学BB340238 2413厦门理工学院BB334224 2422华侨大学BB3192437武夷学院BB320223 2502华东交通大学BB332243 2504江西中医学院BC3272352506南昌航空大学BB3192507江西科技师范学院BB319221 2508江西农业大学BB321224 2510江西师范大学BB329236 2511南昌工程学院BB319216 2512江西警察学院BB3192521江西理工大学BB328231 2522赣南医学院BB3192523赣南师范学院BB3192527新余学院BB3192531景德镇陶瓷学院BC3192541东华理工大学BB3192551宜春学院BB3192561九江学院BB3192571上饶师范学院BB3192581井冈山大学BB3192602济南大学BC335247 2603山东财政学院BB336231 2606山东经济学院BC337239 2607山东建筑大学BB331241 2609山东交通学院BB3192610山东轻工业学院BC3192613枣庄学院BB3192622青岛理工大学BC339238 2631山东农业大学BC329235 2633山东科技大学BB336236 2635潍坊学院BC319228 2642聊城大学BB327235 2643青岛农业大学BB328234 2645临沂大学BC323230 2650滨州学院BC3192651烟台大学BC331246 2652山东工商学院BC324235 2653鲁东大学BB326231 2669菏泽学院BC3192671曲阜师范大学BB3192683德州学院BC3192691泰山医学院BB3192701山东女子学院BB3192702济宁学院BB3192706泰山学院BB3193136北京物资学院BB332231 3137北京信息科技大学B+B340233 3139北京印刷学院BB322236 3145北京建筑工程学院BB328235 3152中华女子学院BB330227 3153华北科技学院BB325221 3154首都经济贸易大学BB339245 3169中国劳动关系学院BB332232 3204天津师范大学BB339233 3205中国民航大学BB341239 3207天津商业大学BB332238 3208天津科技大学BB332228 3211天津外国语大学BB345235 3213天津农学院BB328230 3217天津体育学院BB3193218天津职业技术师范大学BB3193305石家庄经济学院BB327227 3310河北经贸大学BB330232 3312河北大学B+B+338233 3314河北师范大学BB329232 3315河北金融学院BB3193318防灾科技学院BB3193332河北联合大学BB3193333衡水学院BB320227 3341北华航天工业学院BC3193403山西财经大学BB338239 3406太原工业学院BB3193408山西中医学院BB326230 3410山西农业大学BB3193415山西师范大学BB322232 3416太原师范学院BB3193417山西大同大学BB3193418运城学院BB3193432晋中学院BC3193506内蒙古民族大学BB3193507内蒙古财经学院BC322223 3511内蒙古科技大学BB3194108沈阳工业大学BB3194109沈阳理工大学BB328233 4110沈阳航空航天大学BB331234 4112鞍山师范学院BB3194114辽宁中医药大学BB3194116沈阳体育学院BB3194135大连外国语学院BB341246 4136大连大学BB331241 4139大连交通大学BB324238 4140大连民族学院BB322233 4152渤海大学BB3194181辽宁石油化工大学BB3194192辽宁科技学院BC3194204长春大学BB327230 4205长春工业大学历史B,另一门C322226 4206吉林财经大学BB334249 4207长春师范学院BB3194209长春工程学院BB3194210吉林建筑工程学院BB3194212吉林工程技术师范学院BB3194215吉林师范大学历史B+,另一门B319232 4220吉林警察学院历史B,另一门C3194225吉林农业科技学院BB3194232北华大学BB3194237吉林工商学院BB325237 4306黑龙江工程学院BB3194307哈尔滨商业大学BB333237 4310黑龙江科技学院BB3194311黑龙江大学BB3194312哈尔滨师范大学BB322227 4315哈尔滨金融学院BC329241 4323哈尔滨学院BB321237 4332齐齐哈尔大学BC320220 4337绥化学院BC3194352黑龙江八一农垦大学BB3195103中原工学院BC3195104河南工业大学BC319227 5105郑州航空工业管理学院BB3195106郑州轻工业学院BB322227 5110河南科技学院BC3195114河南中医学院BC333234 5117河南农业大学BC3195118信阳师范学院BC319228 5119河南财经政法大学BB339240 5122河南工程学院BC327238 5125周口师范学院BB3195131洛阳理工学院BB323230 5132河南科技大学BB323223 5133洛阳师范学院BC3195141河南大学BB327230 5151河南理工大学BB327236 5161安阳工学院BC3195162安阳师范学院BB3195173新乡学院BB3195181南阳师范学院BC3195182南阳理工学院BB3195193河南城建学院BB3195198商丘师范学院BC3195208中南民族大学BB327231 5211湖北中医药大学BB330233 5212武汉纺织大学BB329231 5213武汉体育学院BC3195215武汉工程大学BB333237 5216武汉工业学院BB3195218江汉大学BB325234 5219湖北工业大学BB320236 5220湖北第二师范学院BC327232 5221湖北经济学院BB330232 5243长江大学BB326234 5251三峡大学BB3195256湖北医药学院BB3195261湖北师范学院BC319226 5265黄石理工学院BB320229 5271湖北警官学院BB3232325285荆楚理工学院BB3195290襄樊学院BC3195305湖南农业大学BB322232 5306湖南商学院BB327231 5307长沙理工大学BB320231 5308长沙学院BB3195320湖南财政经济学院BB323216 5321湖南科技大学BB330242 5322湖南工程学院BB3195327湖南工学院BC319232 5331中南林业科技大学BB330245 5332湖南工业大学(株洲)BB320222 5341南华大学BB3195342衡阳师范学院BB3195343湖南文理学院BB3195349湖南第一师范学院BC326220 5351湖南理工学院BB324240 5355湖南城市学院BC320229 5361吉首大学BB3195371邵阳学院BC3195381湘南学院BC3195385怀化学院BB3195391湖南科技学院BB3195393湖南女子学院BC3195410广东工业大学BB338232 5412广东金融学院BB335227 5414广东商学院BB335238 5431广东海洋大学BB323235 5441广东石油化工学院BC320227 5502广西中医学院BB321214 5503广西财经学院BB3195505玉林师范学院BC3195508广西医科大学BB321225 5509百色学院BC3195511广西师范大学BC319226 5512桂林理工大学BB320220 5513桂林电子科技大学BC319225 5518广西民族师范学院BC3195531广西工学院BB3195532广西民族大学BC320206 5561梧州学院BB3195601海南大学BC332229 5602海南师范大学BB322219 5603海南医学院BB329231 5604琼州学院BB319240 6102西南交通大学B+B334241 6105西南民族大学BB3196106成都理工大学BB320213 6107成都信息工程学院BB326226 6108成都体育学院BC3196110西华大学BC320229 6111成都中医药大学BB325230 6114成都学院BB326227 6117西昌学院BC3196120四川警察学院BC3196131西南科技大学BB323233 6141西南石油大学BB319222 6142西华师范大学BC3196143泸州医学院历史B,另一门C327240 6144绵阳师范学院BC3196151乐山师范学院BC3196181宜宾学院BC3196206重庆工商大学BB335234 6207重庆交通大学B+B333227 6208重庆理工大学BC328229 6210重庆师范大学B+B324227 6212四川外语学院BC336240 6213重庆三峡学院BB3196214长江师范学院BB3196215重庆文理学院BB322242 6221重庆科技学院BB3196302贵阳中医学院BB328245 6304贵州财经学院BB322235 6305贵州民族学院BC3196306贵州师范大学BC3196308安顺学院BC3196309贵阳学院BC3196310黔南民族师范学院BC3196315毕节学院BC3196402云南师范大学BB320226 6404昆明理工大学BB320226 6405云南农业大学BC3196406昆明医学院BC3196407玉溪师范学院BC3196408云南财经大学BC338239 6409楚雄师范学院BC3196410昆明学院BC3196411大理学院BC3196413红河学院BB3196414云南民族大学BC3196421云南警官学院BC323231 7109西北政法大学BC341244 7110西安工程大学BC319230 7111西安财经学院BC339244 7113西安石油大学BB327229 7114西安医学院BC3197115西安工业大学BB334233 7116西安邮电学院BB333235 7117西安外国语大学BB337232 7122西安文理学院BB323225 7140渭南师范学院BC3197142延安大学BB320244 7167陕西理工学院BB3197202兰州理工大学BB326236 7203兰州商学院BB3197204兰州交通大学BB320222 7205西北民族大学BB319214 7206甘肃农业大学BB3197207甘肃政法学院BC323228 7209甘肃中医学院BB3197211陇东学院BC3197214西北师范大学BB319230 7216天水师范学院BB3197218兰州城市学院BC3197302青海民族大学BB3197401北方民族大学BB3192327505新疆财经大学B+B+3192257511石河子大学BB3252277521伊犁师范学院BC319注:投档过程中对总分相同的考生,按其辅助排序分(语、数两门原始分与附加分之和)从高到低排序投档。
地区2011年高考分数线2010年高考分数线2009年高考分数线新疆区文科一批504分,理科473分文科二批433分,理科407分文科一批485分,理科471分文科二批433分,理科415分文科一批499,理科480文科二批445,理科426海南省文科一批671分,理科615分文科二批595分,理科548分文科一批670分,理科624分文科二批600分,理科563分文科一批670,理科632文科二批600,理科573福建省文科一批564分,理科573分文科二批473分,理科460分文科一批557分,理科539分文科二批494分,理科472分文科一批582,理科569文科二批518,理科500文科三批481,理科451山西省文科一批543分,理科570分文科二批496分,理科520分文科一批533分,理科536分文科二批492分,理科491分文科一批548,理科547文科二批507,理科505陕西省文科一批543分,理科540分文科二批495分,理科488分文科一批559分,理科556分文科二批500分,理科500分文科一批540,理科537文科二批495,理科495文科三批440,理科430湖南省文科一批583分,理科572分文科二批528分,理科492分文科一批578分,理科567分文科二批523分,理科494分文科一批554,理科534文科二批507,理科471辽宁省文科一批535分,理科520分文科二批475分,理科452分文科一批531分,理科518分文科二批465分,理科442分文科一批560,理科520文科二批495,理科438文科三批435,理科365吉林省文科一批537分,理科548分文科一批517分,理科530分理科一本539,文科530理科二本466,文科466理科三本406,文科386广东省文科一批580分,理科568分文科二批A536分,理科504分文科一批595分,理科621分文科二批A554分,理科567分文科二批B518分,理科527分文科一批587,理科585湖北省文科一批547分,理科571分文科二批507分,理科517分文科一批530,理科557分文科二批488分,理科506分文科一批518,理科540文科二批491/478,理科506/495文科三批410,理科406青海省文科一批430分,理科380分文科二批380分,理科331分文科一本430分,理科405分文科二批386分,理科363分文科一批443,理科400文科二批405,理科365文科三批370,理科338黑龙江文科一批540分,理科551分文科二批462分,理科465分文科一批523分,理科532分文科二批450分,理科448分文科一批531,理科538文科二批467,理科464上海市文科一批468分,理科462分文科二批412分,理科393分文科一批464分,理科465分文科二批404分,理科400分文科一批471,理科455文科二批429,理科389四川省文科一批533分,理科519分文科二批473分,理科448分文科一批543分,理科512分文科二批483分,理科441分文科一批540,理科498文科二批480,理科436文科三批451,理科412江苏省文科一批343分,理科345分文科二批319分,理科320分文科一批345分,理科355分文科二批321分,理科328分文科一批348,二批326云南省文科一批495分,理科465分文科二批445分,理科380分文科一批495分,理科500分文科二批450分,理科430分文科一本520,理科500文科二本478,理科442文科三本445,理科415河南省文科一批562分,理科582分文科二批515分,理科531分文科一批532分,理科552分文科二批489分,理科500分文科一批552,理科567文科二批510,理科520文科三批476,理科476山东省文科一批570分,理科567分文科一本606分,理科580分文科一批596,理科586甘肃省文科一批501分,理科504分文科二批448分,理科458分文科一批511分,理科531分文科二批467分,理科481分一本文科516,理科521二本文科466,理科470安徽省文科一批547分,理科534分文科二批510分,理科477分文科一批573分,理科562分文科二批534分,理科507分文科三批516分,理科477分文科一批543,理科579文科二批501,理科520文科三批488,理科498北京市文科一批524分,理科484分文科一批524分,理科494分文科一批线532,理科501文科二批481分,理科435分文科二批474分,理科441分文科二批线489,理科459文科三批线458,理科432贵州省文科一批516分,理科448分文科二批446分,理科376分文科一本514分,二本448分理科一本481分,二本415分文科一批532,理科477文科二批471,理科422江西省文科一批532分,理科531分文科二批484分,理科474分文科一批521分、理科515分文科二批479分、理科462分文科一批515,理科518文科二批482,理科466重庆市文科一批564分,理科533分文科二批504分,理科479分文科一批573分,理科533分文科二批510分,理科478分文科一批546,理科557文科二批480,理科502文科三批438,理科471内蒙古文科一批486分,理科482分文科二批430分,理科409分文科一本475分,理科510分文科二本423分,理科442分文科一批497,理科501文科二批452,理科444文科三批381,理科357河北省文科一批562分,理科581分文科二批524分,理科535分文科一批539分,理科561分文科二批504分,理科518分文科一批539,理科569文科二批502,理科524文科三批435,理科432天津市文科一批519分,理科515分文科二批460分,理科429分文科一批519分,理科509分文科二批466分,理科445分文科一批511,理科502文科二批462,理科435浙江省文科一批571分,理科550分文科一批590分,理科551分文科一批606,理科605广西区文科一批519分,理科506分文科二批456分,理科424分文科一批510分,理科500分文科二批453分,理科433分理科一本507,文科523理科二本443,文科467理科三本406,文科432宁夏区文科一批500分,理科486分文科二批463分,理科444分] 文科一批496分,理科474分文科二批464分,理科436分理科一批468,文科501理科二批428,文科467吉林省文科一批537分,理科548分文科二批437分,理科443分文科一批517分,理科530分理科一本539,文科530理科二本466,文科466理科三本406,文科386西藏区文科重本485分,理科450分文科汉族455分,理科455分文科一批线532,理科501文科二批线489,理科459 文科三批线458,理科432。
北京2011年录取分数线(>>详细)2010年录取分数线(>>详细)2009年录取分数线(>>详细)2008年录取分数线(>>详细) 文科理科文科理科文科理科文科理科一批524 484 524 494 532 501 515 502 二批481 435 474 441 489 459 472 455 三批443 396 439 401 458 432 439 430上海2011年录取分数线(>>详细)2010年录取分数线(>>详细)2009年录取分数线(>>详细)2008年录取分数线(>>详细) 文科理科文科理科文科理科文科理科一批468 462 464 465 471 455 471 467 二批412 393 404 400 429 389 428 399重庆2011年录取分数线(>>详细)2010年录取分数线(>>详细)2009年录取分数线(>>详细)2008年录取分数线(>>详细) 文科理科文科理科文科理科文科理科一批564 533 573 533 546 557 576 544 二批504 479 510 478 480 502 510 488 三批450 446 462 445 438 471 466 456天津2011年录取分数线(>>详细)2010年录取分数线(>>详细)2009年录取分数线(>>详细)2008年录取分数线(>>详细) 文科理科文科理科文科理科文科理科一批519 515 519 509 511 502 523 522 二批460 429 466 445 462 435 483 466河南2011年录取分数线(>>详细)2010年录取分数线(>>详细)2009年录取分数线(>>详细)2008年录取分数线(>>详细) 文科理科文科理科文科理科文科理科一批562 582 532 552 552 567 557 563 二批515 531 489 500 510 520 513 517 三批460 455 450 444 476 476 480 480山东2011年录取分数线(>>详细)2010年录取分数线2009年录取分数线2008年录取分数线(>>详细) (>>详细) (>>详细) 文科理科文科理科文科理科文科理科一批570 567 606 580 596 586 584 582 二批————578 542 576 557 567 557广东2011年录取分数线(>>详细)2010年录取分数线(>>详细)2009年录取分数线(>>详细)2008年录取分数线(>>详细) 文科理科文科理科文科理科文科理科一批580568595 621 587 585 570 564 二批536504554 567 540 530 524 510 三批439483518 527 448 450 455 447湖北2011年录取分数线(>>详细)2010年录取分数线(>>详细)2009年录取分数线(>>详细)2008年录取分数线(>>详细) 文科理科文科理科文科理科文科理科一批547 571 530 557 518 540 532 548 二批507 517 488 506 491 506 508 516 三批430 410 413 400 410 406 492 504湖南2011年录取分数线(>>详细)2010年录取分数线(>>详细)2009年录取分数线(>>详细)2008年录取分数线(>>详细) 文科理科文科理科文科理科文科理科一批583 572 578 567 554 534 581 536 二批528 492 523 494 507 471 537 482 三批499 455 495 460 447 411 477 422河北2011年录取分数线(>>详细)2010年录取分数线(>>详细)2009年录取分数线(>>详细)2008年录取分数线(>>详细) 文科理科文科理科文科理科文科理科一批562 581 539 561 539 569 537 552 二批524 535 504 518 502 524 503 514 三批441 390 423 396 435 432 430 422安徽2011年录取分数线(>>详细)2010年录取分数线(>>详细)2009年录取分数线(>>详细)2008年录取分数线(>>详细)文科理科文科理科文科理科文科理科一批547 534 573 562 543 579 553 563 二批510 477 534 507 501 520 513 507 三批487 439 516 477 488 498 500 489四川2011年录取分数线(>>详细)2010年录取分数线(>>详细)2009年录取分数线(>>详细)2008年录取分数线(>>详细) 文科理科文科理科文科理科文科理科一批533 519 543 512 540 498 598 593 二批473 448 483 441 480 436 548 534 三批441 416 451 413 451 412 522 510福建2011年录取分数线(>>详细)2010年录取分数线(>>详细)2009年录取分数线(>>详细)2008年录取分数线(>>详细) 文科理科文科理科文科理科文科理科一批564 573 557 539 582 569 547 534 二批473 460 494 472 518 500 487 471 三批————464 433 481 451 452 428江苏2011年录取分数线(>>详细)2010年录取分数线(>>详细)2009年录取分数线(>>详细)2008年录取分数线(>>详细) 文科理科文科理科综合综合一批343 345 345 355 348 330二批319 320 321 328 326 300云南2011年录取分数线(>>详细)2010年录取分数线(>>详细)2009年录取分数线(>>详细)2008年录取分数线(>>详细) 文科理科文科理科文科理科文科理科一批495 465 495 500 520 500 550 530 二批445 380 450 430 478 442 510 475 三批390 335 415 400 445 415 470 445黑龙江2011年录取分数线(>>详细)2010年录取分数线(>>详细)2009年录取分数线(>>详细)2008年录取分数线(>>详细) 文科理科文科理科文科理科文科理科一批540 551 523 532 531 538 569 577 二批462 465 450 448 467 464 504 508吉林2011年录取分数线(>>详细)2010年录取分数线(>>详细)2009年录取分数线(>>详细)2008年录取分数线(>>详细) 文科理科文科理科文科理科文科理科一批537 548 517 530 530 539 565 569 二批437 443 425 427 466 466 497 493 三批364 377 346 366 386 406 403 410辽宁2011年录取分数线(>>详细)2010年录取分数线(>>详细)2009年录取分数线(>>详细)2008年录取分数线(>>详细) 文科理科文科理科文科理科文科理科一批535 520 531 518 559 520 538 515 二批475 452 465 442 495 438 470 433 三批420 390 415 365 435 365 408 370陕西2011年录取分数线(>>详细)2010年录取分数线(>>详细)2009年录取分数线(>>详细)2008年录取分数线(>>详细) 文科理科文科理科文科理科文科理科一批543 540 559 556 540 537 557 527 二批495 488 500 500 495 495 520 490 三批————400 400 440 430 400 360青海2011年录取分数线(>>详细)2010年录取分数线(>>详细)2009年录取分数线(>>详细)2008年录取分数线(>>详细) 文科理科文科理科文科理科文科理科一批430 380 430 405 433 390 490 438 二批380 331 386 363 475 365 470 418 三批342 300 350 328 370 338 425 388甘肃2011年录取分数线(>>详细)2010年录取分数线(>>详细)2009年录取分数线(>>详细)2008年录取分数线(>>详细) 文科理科文科理科文科理科文科理科一批504 501 511 531 516 521 560 558二批458 448 467 481 ————501 507山西2011年录取分数线(>>详细)2010年录取分数线(>>详细)2009年录取分数线(>>详细)2008年录取分数线(>>详细) 文科理科文科理科文科理科文科理科一批543 570 533 536 548 547 545 546 二批496 518 492 491 507 505 510 511江西2011年录取分数线(>>详细)2010年录取分数线(>>详细)2009年录取分数线(>>详细)2008年录取分数线(>>详细) 文科理科文科理科文科理科文科理科一批532 531 521 515 515 518 520 512 二批484 474 479 462 482 466 487 461 三批413 343 411 366 ————————贵州2011年录取分数线(>>详细)2010年录取分数线(>>详细)2009年录取分数线(>>详细)2008年录取分数线(>>详细) 文科理科文科理科文科理科文科理科一批516 448 514 481 532 477 566 521 二批446 376 448 415 471 422 503 468内蒙古2011年录取分数线(>>详细)2010年录取分数线(>>详细)2009年录取分数线(>>详细)2008年录取分数线(>>详细) 文科理科文科理科文科理科文科理科一批486 482 475 510 497 501 543 548 二批430 409 423 442 452 444 502 497 三批373 340 345 326 381 357 447 428海南2011年录取分数线(>>详细)2010年录取分数线(>>详细)2009年分数线(>>详细)2008年录取分数线(>>详细) 文科理科文科理科文科理科文科理科一批671 615 670 624 670 632 658 625 二批595 548 600 563 600 573 597 566广西2011年录取分数线(>>详细)2010年录取分数线2009年录取分数线2008年录取分数线(>>详细) (>>详细) (>>详细) 文科理科文科理科文科理科文科理科一批519 506 510 500 523 507 528 501 二批456 424 453 433 467 443 470 440 三批396 334 383 351 432 406 412 370宁夏2011年录取分数线(>>详细)2010年录取分数线(>>详细)2009年录取分数线(>>详细)2008年录取分数线(>>详细) 文科理科文科理科文科理科文科理科一批500 486 496 474 501 468 532 498 二批463 444 464 436 467 428 488 457 三批365 345 ————————————浙江2011年录取分数线(>>详细)2010年录取分数线(>>详细)2009年录取分数线(>>详细)2008年录取分数线(>>详细) 文科理科文科理科文科理科文科理科一批571 550 590 551 606 605 550 550 二批————————478 429 516 504 三批————————————468 442西藏2011年录取分数线(>>详细)2010年录取分数线(>>详细)2009年录取分数线(>>详细)2008年录取分数线(>>详细) 文科理科文科理科文科理科文科理科一批即时更新即时更新455 455 450 450 500 500 二批即时更新即时更新315 315 315 315 360 365新疆2011年录取分数线(>>详细)2010年录取分数线(>>详细)2009年录取分数线(>>详细)2008年录取分数线(>>详细) 文科理科文科理科文科理科文科理科一批504 473 485 471 499 480 525 515 二批433 407 433 415 445 426 467 454 三批370 360 385 380 385 380 385 380。
2011安徽大学理科录取分数线(山东)小编为方便您今年的报考工作,特意为您收集整理了2010年的高考录取分数线,更多更详细的高考资讯,尽在高考频道。
如果您有问题,可以随时联系我们。
我们新增了高考满分作文频道,欢迎您进入。
本页内容主要有2011年山东地区安徽大学理科高考分数线信息。
为您作为今年的高考报考提供尽所能及的帮助。
谢谢您的访问!最后,预祝各位考生在今年的高考中能够取得优异成绩。
安徽大学在山东地区录取分数线--文科专业类型平均分最高分最低分录取批次统计学595 599 -- 第一批光信息科学与技术599 602 -- 第一批化学工程与工艺595 602 -- 第一批材料物理588 596 -- 第一批材料化学592 593 -- 第一批应用物理学595 598 -- 第一批生物工程594 595 -- 第一批数学类602 603 -- 第一批机械设计制造及其自动化605 615 -- 第一批信息管理与信息系统588 591 -- 第一批化学类596 600 -- 第一批测控技术与仪器594 598 -- 第一批高分子材料与工程600 605 -- 第一批生物科学类598 618 -- 第一批电子科学与技术593 594 -- 第一批电气信息类600 607 -- 第一批环境科学587 598 -- 第一批地理信息系统589 596 -- 第一批查看:2013山东高考分数线 2011山东高考分数线专题:全国历年高考理科分数线汇总全国历年高考文科分数线汇总安徽大学介绍:安徽大学坐落于全国科教城市安徽省省会合肥市,拥有四个校区和一个大学科技园。
学校是国家“211工程”重点建设高校,安徽省属重点综合性大学。
作为安徽现代高等教育的开端,安徽大学创建于1928年。
1958年9月16日,毛泽东同志亲笔为学校题写校名。
在安徽省委、省政府重点支持下,学校秉承“至诚至坚,博学笃行”的校训精神,加快发展,争创一流,取得了显著的发展成就。