最新国家普通话考试3分钟说话题模板(A4打印版)
- 格式:doc
- 大小:58.00 KB
- 文档页数:8
1、我的愿望(或理想)我很小时候就有一个愿望,就是长大后当一名优秀的教师。
我喜欢当教师有几个原因,外在原因是觉得教师这个职业很神圣,我觉得做教师的最大价值在于把自己的知识传授给学生,用自己的人格魅力影响学生,实现自己的社会价值.其次当教师有许多业余时间,可以做自己想做的事情,比如,每年有两个假期,寒假与暑假,每周有两天休息日,我可以利用这些时间来学习,回顾或总结。
并且父母都希望我将来能有一份稳定的工作,那样就不必再为生活奔波。
其实,我喜欢当教师的最大的原因是受我的一位初中老师的影响。
他不仅仅在学习上帮助我们,而且在其他方面也是处处为学生考虑,处处维护自己的学生。
从那时起我就暗暗地对自己说,我长大后也要当一名这样的教师,当一个全心全意为了学生的教师。
为了实现我当教师的心愿,我在学习上更加努力,并且报名参加了普通话考试,进一步,我将报考教师资格考试。
我想,这是我一生中做出的最明智的选择。
我希望以后能够从事教师这个职业,达成我从小以来的理想,作一名人类灵魂的工程师!我一定要实现自己的愿望。
2.我的学习生活人常说:活到老,学到老。
这足以说明学习应该贯穿人一生。
可以说我是一个热爱学习的人,从来不以学习为苦,因为学习使我增长知识、开阔眼界。
学生时代就是以学习为主要任务,而我也总是把学习放在第一位。
还记得我中考前夕,爸爸下班回家,买了许多我爱吃的水果,可当时我正在做一套数学模拟试卷,我给自己规定了答题时的间,所以当爸爸叫我快去吃水果的时候,我没有去。
我告诉爸爸,我要把这套数学题做完才吃水果。
说实话,那时的学习的确很辛苦,因为当时的压力是很大的:上重点高中是有分数限制的,如果在中考中达不到规定的分数,就要按照差的分数用钱来补齐。
叫做:“择校费。
”而我是一个很要强的孩子,不想让父母为我上学多拿钱,所以当时的我,压力是很大的。
爸爸很理解我,也很心疼我,想让我放松一下精神,缓解一下压力,但最后,他还是没有勉强我,只是把洗好的水果放在了我的桌子上,就悄悄的走出了房间。
普通话水平测试三分钟说话范文(通用3篇)普通话考试3分钟说话篇一我从小就喜欢读书。
没钱的日子,只要有书看就不难过。
诸多的烦恼并不可怕,只要有书读。
我是一个农民的女儿,拮据的日子常常给我和我心爱的书开着种种或悲或喜的玩笑。
逛书店时发现一本好书,要等到有一天从可怜的生活费中挤够钱时才能去买。
然而,这时“好书已随新人走,此地空余旧人愁”了,我没钱买书经常到书店去看书而遭受服务员的白眼和冷语,“没钱买就别翻,撕烂了你赔得起吗?”我愿意这样?可又有什么办法呢。
在饱餐、新衣、好书的选择中,我会毫不犹豫地选择后者。
没有新衣穿,我不感觉自己不潇洒,没有饱餐,我不感觉饥,没有好书,我感觉不到自己活着,瘪着肚皮读自己心爱的书。
这滋味是别人难以理解的。
我常常以读书来解除我心中的痛苦。
是书擦亮了我的眼睛,带我走出那无知的盐碱地。
不光知道冰心、鲁迅、叶圣陶,还知道泰戈尔,莫泊桑,我开始历险试着让自己闯一闯写稿的关。
我不甘心让自己失败,我开始用自己的眼光去看社会,用自己的笔墨写人生,为社会尽义务。
我深深体会到,读书是一种享受,只要有书读,便是一种幸福,任何烦恼也可以丢开,读书是一种解除痛苦的灵丹妙药。
每当我走进房间,在明亮的灯光下,展开心爱的书,用心品读,书的馨香不知不觉地透过窗纱,在天籁中飘荡,心也明亮多了,这时世事的繁杂与纷争,我身心的痛苦和烦恼,会荡然无存。
不管人生是辉煌还是黯淡,不管别人是关心还是冷眼,不管道路是平坦还是曲折,我的读书生活让我战胜了烦恼,迎来了快乐。
难忘的旅行普通话考试三分钟篇二每次寒假或暑假的时候我就会去旅游,然而这个暑假我去的是石家庄。
那里景色优美环境很好,风景漂亮,风景漂亮还有很多好玩的地方,比如公园、山、花园都很惹人注意,我去的时候住在龙海苑的小区里,刚去休息了一天,第二天就去爬山了,早上的景色很好,我跟我姐姐还有一个我姐姐的好朋友,我们便爬上边说话,爬着爬着很累,我就跟姐姐说:“咱们歇会吧,太累了。
可能有人会说,三十个命题说话那么多,如果每篇都找范文,就算只背框架那也还是有点太没效率了。
但是如果仔细研究这几个题目的话,你会发现其实有好几个题目都是属于一个类型的话题,只要这个类型的范文有了,其中的任何一个题目只需稍加变通就可以很好的吻合不跑题(个人认为只记住一个做西红柿炒蛋,然后想在命题说话环节走遍天下还是不太可行的,评分老师很容易就会察觉)。
下面就是范文分享啦!类型一(适合话题:我的学习生活我最尊敬的人童年的记忆我喜欢的职业我的朋友学习普通话的体验我的成长之路)我选的这篇范文虽然说的是“自己的愿望”,但是你只需要开头结尾改一改,就可以变成我的老师朋友啊,小学老师带给我的童年记忆啊之类的,适合的话题还是蛮多的。
范文展示:每个人都有属于自己的愿望,但是每个人的愿望都不同,有的想当一位老板,有的想当一位科学家。
而我想当一位出色的教师。
其实,我喜欢当教师的最大的原因是受我的一位高中老师的影响。
她是那种外表虽不突出,但是很有人格魅力的人。
她不仅仅在学习上帮助我们,而且在其他方面也是处处为学生考虑,处处维护自己的学生。
从那时起我就暗暗地对自己说,我长大后也要当一名这样的教师,当一个全心全意为了学生的教师。
我觉得有这样一种比喻说得很好:如果老师是一位辛勤的园丁,我们就是被他们精心照料的小树苗;如果老师是一位细心的画家,那我们就是老师笔下一幅幅美丽的画。
老师是我们人生路上一座明亮的指明灯,指引我们一步步长大成人。
而对我影响最大,让我确立自己的人生理想是成为一名优秀教师的,就是我的高中时的语文老师李老师。
接下来我想说的是为什么她对我的职业理想有这么大的影响。
李老师个子不高也不矮,她身材比较匀称;声音不算甜美,但很温柔;圆圆的脸,浓眉大眼,总是对我们笑。
她的发型是那种很清爽的马尾辫,她总爱穿着衬衣,看起来很干练。
李老师对我的影响主要有两方面:学习和品德。
在学习上,记得高一时,我的学习很一般,也不爱和同学交流,父母都没打算我能考上多好的大学。
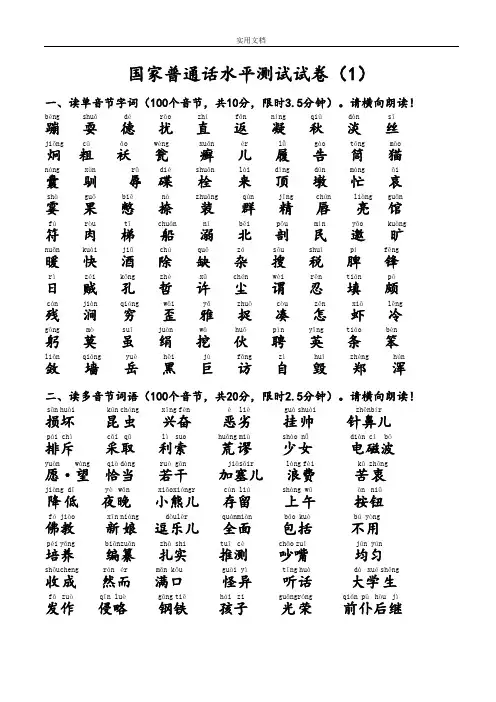
国家普通话水平测试试卷(1)一、读单音节字词(100个音节,共10分,限时3.5分钟)。
请横向朗读!蹦b èng 耍shu ǎ 德d é 扰r ǎo 直zh í 返f ǎn 凝n íng 秋qi ū 淡d àn 丝s ī炯ji ǒng 粗c ū 袄ǎo 瓮w èng 癣xu ǎn 儿ér 履l ǚ 告g ào 筒t ǒng 猫m āo囊n áng 驯x ùn 辱r ǔ 碟di é 栓shu ān 来l ái 顶d ǐng 墩d ūn 忙m áng 哀āi霎sh à 果gu ǒ 憋bi ē 捺n à 装zhu āng 群q ún 精j īng 唇ch ún 亮li àng 馆gu ǎn符f ú 肉r òu 梯t ī 船chu án 溺n ì 北b ěi 剖p ōu 民m ín 邀y āo 旷ku àng暖nu ǎn 快ku ài 酒ji ǔ 除ch ú 缺qu ē 杂z á 搜s ōu 税shu ì 脾p í 锋f ēng日r ì 贼z éi 孔k ǒng 哲zh é 许x ǔ 尘ch én 谓w èi 忍r ěn 填ti án 颇p ō残c án 涧ji àn 穷qi óng 歪w āi 雅y ǎ 捉zhu ō 凑c òu 怎z ěn 虾xi ā 冷l ěng躬g ōng 莫m ò 虽su ī 绢ju àn 挖w ā 伙hu ǒ 聘p ìn 英y īng 条ti áo 笨b èn敛li ǎn 墙qi áng 岳yu è 黑h ēi 巨j ù 访f ǎng 自z ì 毁hu ǐ 郑zh èng 浑h ún二、读多音节词语(100个音节,共20分,限时2.5分钟)。
国家普通话考试——3分钟说话题模板(A4打印版,各省市普通话测试中心通用)(一)《我的愿望或理想》====(六)《我喜爱的职业》1.介绍自己的愿望每个人都有自己的愿望,有些人想当科学家,有些人想做大老板,有些人想成为一名军人,而我的愿望则是当一名老师。
2.解释为什么A,我喜欢当老师B,爸妈都是老师,受父母的影响,从小耳濡目染C,当老师可以为我们的下一代,将来把他们培养成有用的人才,把自己所知道的道理告诉他们,我觉得特别有意义D,小学时看到老师讲课特别崇拜,励志长大了一定要当一名老师3,讲述怎么做如果我以后当上了老师,我会尽自己的努力去帮助他们成长,而且我是一个对孩子很有耐心的人,我不会因为他们做错事而责罚他们,我更愿意用道理来让他们明白他们错在哪里。
4.所以说,“我的愿望”是当一名人民教师,我坚信自己能做的很好!(二)《我的学习生活》1.我的学习生活内容丰富,形式多样。
2.读小学的时候,语文,数学,课余时间打乒乓球3.读初中的时候,新增英语,物理,化学4.读高中的时候,文理科5.读大学的时候,计算机专业,没兴趣,考研6.现在,我正在攻读研究生学位,学的是人力资源管理,先看书,再跟导师做项目提升自己。
7. 课外时间还看些小说8. 看书开拓我们的视野,武装我们的头脑,充实我们的心灵,所以我们应该多看书多学习。
(三)《我尊敬的人》在我的心中,值得尊敬的人很多。
但是,最让我尊敬的人是我的父亲。
父亲的一生很辛苦,他兄弟姐妹很多,他是老大。
在很小的时候,父亲就担起了照顾弟妹的担子。
每当春天来临,衣衫褴褛的父亲便拖上弟弟妹妹去挖苦菜、上山砍柴,只有这样,全家才能吃上一顿饱饭。
穷人家的孩子早当家,为了养家糊口,十五岁那年,父亲便只身闯东北,走上一条艰难的路程。
每当说起这些,父亲的声音如泣如诉,眼里总是噙着泪花。
在我幼年的印象中,父亲就象是一座山,用他高而瘦的身体默默地为我们撑起一片蓝天。
父亲长得瘦,便却是庄稼地里的好手。
国家普通话水平测试话题范文话题1、我的愿望(我的梦想)话题2.我的学习生活话题话题3、我最尊敬的人话题4、我最喜欢的动物(或植物)话题5、童年的记忆话题6、我喜欢的职业话题7、难忘的旅行话题8、我的朋友话题9、我喜欢的文学(或其他)艺术形式话题10、谈谈卫生与健康话题11《我的读书生活》话题12、我的业余生活话题13、我喜欢的季节(或天气)话题14、学习普通话的体验话题15、我的假日生活话题16、我的成长之路话题17、谈谈科技发展与社会生活话题18、我知道的风俗话题19、我和体育话题20、我的家乡(或熟悉的地方)话题21、谈谈美食话题22、我喜欢的节日话题23、我所在的集体(学校、机关、公司等)话题24、谈谈社会公德(或职业道德)话题25、谈谈个人修养话题26、我喜欢的明星(或其他知名人士)话题27、我喜爱的书刊话题28、谈谈对环境保护的认识话题29、我向往的地方话题30、购物(消费)的感受话题31《谈谈自己对某一社会现象的看法》话题32《《花季、雨季》观后感》话题33《我最得意的一件事》话题34《一句格言给我的启示》话题35《我的家庭》话题36《商品质量和我》话题37《自然环境和我》话题38《我最感兴趣的一件事》话题39《谦虚是美德》话题40《说勤俭》话题41《广告评说》话题42《记忆深刻的故事》话题43《我的拿手菜》话题44《我看语言美》话题45《我最喜欢听的一首歌》话题46《给我深刻印象的一部电影》话题47《雨》话题48《谈谈邻里关系》话题49《谈谈社会公德》话题50《我和电视》话题51《怎样与同事(同学)相处》话题52 电脑给生活带来的变化话题53 谈谈服饰话题54 北方的气候话题1、我的愿望(我的梦想)范文1人是要有愿望(梦想)的。
人没了愿望(梦想),就像发动机没有了动力;人没愿望(梦想),就等于生命缺少了阳光雨露。
人在社会上扮演了多重角色,有着多重的愿望(梦想)。
我是一位青年,我渴求进步;我是一位父亲,我期望女儿健康成长;我是一名教师,我希望我的学生早日成为栋梁。
普通话3分钟说话模板
对于假日经济的看法
对于XXX的看法,我有自己的认识/感觉,这种认识/感觉与社会上一般认识是不完全相同,但又是从这些一般认识中脱胎而出的。
简单说来,对于XXX的看法,就如我对四季变换的看法一样。
这个世界,所有的东西都遵循着天道循环,而四季变化就是最为大众接受的一种天道循环。
最早,我对于XXX的看法,就像春天,春天百花盛开,万物欣欣向荣,对于XXX的看法是粗浅的、懵懂的、初级的、简单的,我就是一个天真的XXX,无忧无虑,简单快乐。
后来,进入了夏天,夏天天气炎热,阳气生发,万事万物都进入了最旺盛也是最有活力的时候,我认为这时候的XXX也应当是有活力、有冲劲和不同凡响的。
慢慢,进入到了秋天,秋天是收获的季节,对于XXX的看法也就趋向了成熟,我对于XXX的认识也从与大众相同变为了与大众不同。
最后,来到了冬天,冬天是对四季的总结,一切收获都已经变成精华留存下来,就如一场寒冷的大雪一样,让我对XX的看法沉淀了下来,慢慢的融入到我的生命里,直到永远。
模板说明:夫人准备去考普通话,但说话部分不会组织,让我给她做一个模板。
就随手写了一个,不管什么话题,把话题名字套进去稍加改动就可以了,实在不会改动就直接念,二级甲等以下的水平不会纠结于你的逻辑水平,关键是不要出现明显的错误即可。
国家普通话水平测试试卷(1)一、读单音节字词(100个音节,共10分,限时3.5分钟)。
请横向朗读!蹦b èng 耍shu ǎ 德d é 扰r ǎo 直zh í 返f ǎn 凝n íng 秋qi ū 淡d àn 丝s ī炯ji ǒng 粗c ū 袄ǎo 瓮w èng 癣xu ǎn 儿ér 履l ǚ 告g ào 筒t ǒng 猫m āo囊n áng 驯x ùn 辱r ǔ 碟di é 栓shu ān 来l ái 顶d ǐng 墩d ūn 忙m áng 哀āi霎sh à 果gu ǒ 憋bi ē 捺n à 装zhu āng 群q ún 精j īng 唇ch ún 亮li àng 馆gu ǎn符f ú 肉r òu 梯t ī 船chu án 溺n ì 北b ěi 剖p ōu 民m ín 邀y āo 旷ku àng暖nu ǎn 快ku ài 酒ji ǔ 除ch ú 缺qu ē 杂z á 搜s ōu 税shu ì 脾p í 锋f ēng日r ì 贼z éi 孔k ǒng 哲zh é 许x ǔ 尘ch én 谓w èi 忍r ěn 填ti án 颇p ō残c án 涧ji àn 穷qi óng 歪w āi 雅y ǎ 捉zhu ō 凑c òu 怎z ěn 虾xi ā 冷l ěng躬g ōng 莫m ò 虽su ī 绢ju àn 挖w ā 伙hu ǒ 聘p ìn 英y īng 条ti áo 笨b èn敛li ǎn 墙qi áng 岳yu è 黑h ēi 巨j ù 访f ǎng 自z ì 毁hu ǐ 郑zh èng 浑h ún二、读多音节词语(100个音节,共20分,限时2.5分钟)。
1.我的愿望我的说话题目是《我的愿望》。
从小到大,我有很多愿望。
初中时,我的愿望是成为一名光荣的人民教师,成为我的英语老师那样的人,因为他在学习和生活上给了我很多无微不至的关怀和帮助。
今天,我就和大家聊聊我的愿望。
师者,传道授业解惑也。
老师是一个神圣的职业,肩负着培养祖国未来的重任,所以这个职业是伟大的!当老师,就是我的愿望。
上小学时,文化课主要是语文和数学,我的成绩一直名列前茅,经常受到老师的表扬,数学经常考满分,语文作文更是经常被老师当做范文在班里朗读。
初一时,开始学习英语,对于那些奇奇怪怪的字母、单词,还有那些复杂的语法,我感觉非常的不适应,经常搞混淆,英语成绩一直上不去,慢慢地导致我情绪低落,不愿意与人交流。
这个情况被我的班主任,也就是我的英语老师发现了,英语老师私下找我谈话,了解我的英语学习情况,帮助我查找英语学习中的薄弱环节。
他给我补习音标,鼓励我开口念英语,开口说英语,不要怕别人笑话。
给我补习基本的英语语法,解决了困惑我的时态问题、句子结构问题等等。
有时候补习时间太晚了,他还邀请我去他家里吃饭,我们成为了很好的朋友。
经过一个多月的补习,我的英语成绩有了明显的提升,渐渐地达到班里前几名的水平。
于是我又变的自信开朗了,身边的朋友也越来越多。
几个英语差的同学主动找我,询问我的英语学习经验,我也毫不保留的把我学习到的知识教给他们,和他们共同进步。
如果没有英语老师的及时点拨,也许我的英语成绩会一直烂下去,会考不上好的高中,考不上好的大学。
英语老师用他的那份爱心和责任感,给我的生命里照进了一束光,让我在迷茫之中找到了前进的方向,重拾了学习的信心。
初中毕业后,我就再也没有见过这位英语老师。
但是他却时常在我的脑海中浮现,鼓励着我不怕挫折,勇往直前。
目前,我正在准备普通话考试和教师资格证考试,我想我也会成为英语老师那样的人,这就是我的愿望。
2.尊敬的人我的说话题目是《尊敬的人》。
从小到大,我尊敬的人很多,初中的时候,我尊敬的人是我的初一英语老师,也是我当时的班主任,因为他在学习和生活上给予我无微不至的关怀和帮助,今天呢,我就和大家聊聊我尊敬的人。
国家普通话考试——3分钟说话题模板(20篇A4打印版,各省市普通话测试中心通用)1、我喜爱的职业(3分钟)一直觉得,作为女孩子,从事教师这一行业是最适合不过的了,稳定之余,可以天天和孩子在一起,心态都会年轻一些!是的,教师是我最喜爱的职业!在我看来,教师是太阳底下最崇高的职业。
之所以说是“最崇高的职业”,是因为,教师是“人类灵魂的工程师”。
建造一座房子或桥梁,我们称他为建筑工程师;设计工厂的合理流程,我们称他为工业工程师;研究更好地养花种花、美化环境,我们称他为园艺工程师。
然而教师却是灵魂的工程师,那就意味着是塑造人类的思想、建设人们的精神世界,是精神文明的设计者和创造者,是精神花园里的一个园丁。
无论在中国还是外国,久远以来,教师这一行业就已经作为独立的一门职业门类而存在了。
在中国,早在西周时期就有了“学在官府”的记载,到了春秋时期,以孔子为首的一大批私学大师相继涌现出来,成为中国教育史上最早的专职教师。
教师的出现,极大地推动了教育事业的发展,人才的培养也变得普及起来。
“师者,所以传道、授业、解惑也。
”传播人生道理,讲授专业知识,解除心中困惑。
在这个过程中,等于是把知识的火炬一代一代地传递下去。
所以,在我看来,教师还像一个接力赛的队员。
这个接力赛的总长度是人类的整个时间长河,前不见古人,后不见来者,悠悠无尽头。
历史赋予我们特定的一程,我们从上一代手中接过知识接力棒,然后跟时间赛跑,直到跑完我们的这一段,把接力棒传递给下一代的人。
当然,教师之所以崇高,还因为教师对学生的爱是无私的,这在当今社会,真是难能可贵的。
我希望能成为一名教师,不为别的,只为在街上遇到学生的时候,他们能叫我一句:“老师好!”只这简单的一句话,我就满足了。
光荣的人民教师,就是我最喜爱也最向往的职业。
2、我喜欢的明星(或其他知名人士)我喜欢的名人很多,但是真正让我喜欢和尊敬的名人是周恩来。
因为在我们国家那么多的历史名人当中,周恩来是最注重个人修养的,真正为了人民鞠躬尽瘁,死而后已的人。
1、我的愿望我的愿望,愿望,这是小时候的我们,最经常使用的一个词。
那时候我们常常说:我希望明天考试拿一百分;或者说,我的愿望是爸爸明天带我去公园玩儿。
我们经常说,是因为我们的愿望很简单,并且我们的愿望经常发生变化。
可是长大之后,似乎说得很少了。
因为我们开始不知道自己能有什么样的愿望,开始认不清自己想要的什么东西,开始只在生日那天吹蜡烛的时候逼着自己数出三个愿望来。
人的愿望是没有止境的。
愿望也会随着年龄的增长而变化,当一个愿望得到满足后,另一个新的愿望又产生了。
于是,人们似乎一直生活在不停地追求,不断的求取中。
我就是这样,一路走来,我有过许多许多的愿望,大到改变宇宙,小到能吃上一碗自己家里煮的米饭。
很小的时候,脑袋里面尽是些天马行空的想法,有开着太空飞船遨游银河访问宇宙的远大志向,有希望一次考试作文能拿满分受到老师表扬的迫切心情,甚至还有欺负我的男孩子回家的时候大大的摔一跤的想法。
现在想来可能会觉得有些好笑,有些幼稚,可这些就是我小时侯的愿望,我曾经很认真的,小心翼翼的把它们藏在我的心里,期待着它们能够实现... 就算在我以为自己已经遗忘了它的时候,它依然留在我的心中。
在我心房的最最深处,有它栖息的空间。
2、我的学习生活我的学习生活,人常说:活到老,学到老。
这足以说明学习是贯穿人一生的内容。
可以说我是一个热爱学习的人,从来不以学习为苦,学习使我增长知识、丰富自我。
学生时代学习是我的主要任务,而我也总是把学习放在第一位。
在学习中我不惧怕任何的困难,因为家人总是告诉我:办法总比困难多,而真正的困难是没有办法去应对困难。
我的座佑铭是:一个真正的人,在困难面前是战斗,在战斗面前是胜利,在胜利面前是谦虚。
每个人都想成为一个真正的人,所以每当我在学习中遇到困难想退缩的时候,我总会想起这句话,在我每一阶段的学习生活中,这句话一直都在激励着我。
学习伴我成长,给我的生活带来快乐。
带给我很多的收获,让我感觉到自己在进步,在朝好的方向前进,社会在不停地向前发展,知识的更新换代很快,需要我学习的东西还很多,我会继续学习下去,用它充实我的生活。
国家普通话考试3分钟命题说话万能模板普及和用字规范化有利于提高语言文字信息处理和交换的效益和水平。
师生员工只有说好普通话,用好规范字,才能适应信息技术教育的需要。
以下是整理的国家普通话3分钟命题说话万能模板,希望对您有所帮助!【篇一】《我最要好的朋友》好朋友丽的个子不高,短头发,最引人注目的是她两眉之间的那粉红的美人痣。
她是个性格开朗,活泼好动的女孩。
和丽相识是在初一时候,回想刚到中学那天,早到校的同学早已三三两两的结伴上街逛去了,宿舍里只有我和丽两个人。
我在整理着我的行李,而丽呢?则是双手枕着头睡在床上,望着天花板,无所事事。
两个人就这样默默地各干自己的事,大约过了十几分钟,丽首先忍不住的找话题了:“这位同学,看你这么眼熟,好像在哪儿见过你,你家住在哪里?”待我说出我家的住址后,她说像发现新大陆一样兴奋地叫了起来:“我家住在某某某,你家离我家很近哩!从那以后,我们之间成了形影不离的好朋友,不但吃饭回家总在一起,睡觉也要挤在同一张床睡。
现在,由于种种原因,初中毕业后她就不读了,进了一家公司工作,而我继续升学。
可我们友情并没有因此而变淡,反而更加深厚了,每次放假回家妈妈都会告诉我:“丽昨天问我,你回来了没有,她叫你回到家后马上去她家。
”而我的反应就是丢下行李,跑去她家住一两天,好好的跟她聊聊。
希望我和丽的友谊地久天长,同时也希望丽在今后的人生道路上一切如意。
【篇二】《我和电视》随着社会的发展,人们生活水平的日益提高,各式各样的现代化家电进入千家万户,从父亲兴高采烈地把电视机扛回家的那一刻起,我就和电视结下了不解之缘。
由于科学技术的不断提高,电视机也不断地变花样,先有黑白电视机,接着是彩色电视机,频道也由原来的广西、广东两个频道,到现在能收看十几个频道,节目也不断地在翻新,越来越精彩了,开播的时间也长了,由原来午夜12点钟就说再见,到现在可以一天24小时收看,电视这个既能说话,又有影像的东西,深深地吸引着我,快乐时伴着我,忧伤时也伴着我,白天看,晚上看,电视对我的帮助可大了,体育频道使我懂得了很多体育知识,文艺晚会提高了我的欣赏水平,新闻联播使我了解国内外发生的重大事情。
普通话考试_3分钟说话30题篇目---------------------------------------说话30题篇目1、我的愿望(或理想)成为导演,用影像表达自己的观点。
说起这个愿望,它和我小时候生活的环境是密不可分的。
小的时候家离电影院特别近,检票的大爷和我家住在一个筒子楼里,总是有免费的电影票让我的周末在光影里度过。
等到了高年级,我出于某种虚荣和愿望,我一头扎进了炫目的电影世界,当然那时最喜欢的片子无非是那些色彩绚烂的动画。
而真正让我产生做一名导演的想法的是,新浪潮的开创者特吕弗和香港新浪潮的名导演许鞍华。
特吕弗迫使我从看电影的热情中抽离,割裂地看待电影,而女导演许鞍华剪短头发的狠劲却是无奈告诉我,女性在电影圈的弱势。
西方人的观点里总有很多随性因子,强调自由,特吕弗是一不小心用长镜头开创了自己的梦想地,而抛去家庭优势,留学伦敦的许鞍华也是以愣头青的糊里糊涂,把自己嵌进了香港电影史。
有时清醒地知晓自己的梦想或许不是件明智的事儿,但是如若连自己到底喜欢什么都不明白该是有些可怕了。
2、我的学习生活大学生学习生活和此前的学习生活的不同图书馆里的日子:书、人3、我尊敬的人4、我喜爱的动物(或植物)法国梧桐,南京大批砍伐法国梧桐的时政评析家乡的梧桐,四季的梧桐5、童年的记忆长江两岸,江北的童年是锁闭的,江南的童年是敞亮的6、我喜爱的职业摄影记者。
刚刚揭晓的普利策奖。
纪实主义。
7、难忘的旅行入殓的凤凰山,接待灵车,接待从四面八方来的亲友,入殓8、我的朋友大宝姐9、我喜爱的文学(或其他)艺术形式行为艺术,先锋艺术。
以影像为承载方式。
10、谈谈卫生与健康11、我的业余生活读万卷书,行万里路影像里的旁观者臆想每天冲刺的生活12、我喜欢的季节(或天气)夏天:炽热,轻松,冰欺凌13、学习普通话的体会学习普通话的必要性:学习普通话的趣事成就感14、谈谈服饰服饰的时代变迁街拍的火爆混搭是中生活态度15、我的假日生活疯狂英语之行:人、事、情16、我的成长之路叛逆不成,一晃二十岁读书和不读书的日子17、谈谈科技发展与社会生活科技与生活效率科技与生活情趣18、我知道的风俗腊八吃腊八粥冬至吃饺子龙舟节19、我和体育足球,乒乓球、羽毛球、网球、F120、我的家乡(或熟悉的地方)荆州,历史与现在21、谈谈美食酸菜黑鱼,哥哥和母亲22、我喜欢的节日端午,龙舟节23、我所在的集体(学校、机关、公司等)山西大学24、谈谈社会公德(或职业道德)社会公德事件,志愿者高速救猫事件。
普通话考试三分钟命题说话范文一般话考试最终三分钟命题讲话范文一、我的愿望(六、我喜欢的职业)每个人都有自个儿的愿望,有的人希翼当一名大夫,有的人希翼当一名科学家,我非常小的时候就希翼长大后能考上师范院校,当一名优秀的教师。
(有的人想当一名大夫,因为大夫能救人于危难之中,有的人想做一名律师,因为律师能够为人们伸张正义,而我比较喜欢教师这一职业,可能从非常小的时候开始就喜爱了。
)(括号里的是对应上面题目的第六个,我喜爱的职业,就开头变,下面的别变)我想当教师的缘故有几个,首先,从我读小学开始,我就觉得教师那个职业是多么神圣,我希翼我也能像教我的老师一样,把自个儿所学的所有知识都传授给我的学生。
其次,当教师有非常多业余时刻能做自个儿想做的事,例如寒假和暑假,我能够利用这些假期去进修,或者去旅游,如此一来,就能充分地享受日子的乐趣。
再次,父母都以为教师这一职业比较稳定,日子也别用这么奔波。
于是,高考填报志愿时,我坚决果断地挑选了就读师范院校。
现在,我已是师范学校大二的学生了,还有两年多的时刻,我将走出校门,踏上说台,开始我的教书育人之路。
不过在这往常,我需要做的情况还非常多,例如要仔细学习,别断地充实自个儿。
因为教师这一职业是神圣的,我必须要有真材实料才干把学生教好,假如随便对付,那算是亵渎了教师之名。
在过去的一年多里,我学到了非常多,在接下来的两年中,我将接着努力,别断提高自个儿,我相信我未来一定能成为一名优秀的教师!二、我的学习日子(十六、我的成长之路)我觉得人一辈子算是一具学习的过程,要想自个儿进步,就要别断学习。
所谓活到老,学到老,而我算是在别断的学习中成长的。
我的学习日子(成长之路)要紧分为以下几个时期。
我是从六岁开始进幼儿园学习的,要紧学习一些单字,从游戏中认识新东西,结识新的朋友,没有压力,那是人一辈子中最开心的时期。
从小学到高中,爸爸都在抓紧我的学习。
在我读小学时,当不的同学把作业做完了开始玩时,我却仍要背诵唐诗三百首,三字经之类的。
普通话三分钟说话题普通话,作为现代汉民族的共同语言,在我们的日常生活、学习和工作中都发挥着至关重要的作用。
说起普通话,我想起了自己学习普通话的经历。
小时候,我生活在一个方言氛围浓厚的环境里,周围的大人小孩都说着地道的方言。
那时候,我觉得方言亲切又自然,没有意识到普通话的重要性。
直到上了学,老师开始用普通话授课,我才发现自己在发音上存在很多问题。
平舌音和翘舌音不分,前鼻音和后鼻音也常常混淆。
为了纠正这些错误,我下了不少功夫。
每天跟着课文录音朗读,对着镜子练习口型,还请老师和同学帮忙纠正。
经过一段时间的努力,我的普通话有了明显的进步。
在后来的学习和生活中,我越来越感受到普通话的重要性。
比如,在课堂上回答问题,如果能用标准的普通话清晰地表达自己的观点,不仅能让老师和同学们更好地理解,还能增强自己的自信心。
参加各种演讲比赛、朗诵活动时,标准的普通话更是能够为表现加分。
在大学期间,我参加了一次志愿者活动,负责为外地游客提供引导和帮助。
在这个过程中,我深刻体会到了普通话作为沟通桥梁的作用。
面对来自天南海北的游客,只有用普通话才能准确、快速地为他们解决问题。
如果我的普通话不够标准,或者表达不够清晰,很可能会给游客带来不便,也影响我们的服务质量。
工作之后,普通话更是成为了必备的技能。
在与同事交流、与客户沟通时,都需要使用普通话。
一个良好的普通话水平,不仅能够提高工作效率,还能给人留下专业、靠谱的印象。
然而,尽管普通话已经得到了广泛的推广和应用,但在一些地区,方言仍然占据着主导地位。
这在一定程度上影响了交流的效率和准确性。
比如在一些偏远的农村地区,很多老年人不会说普通话,这给他们外出就医、办事带来了很大的困难。
为了更好地推广普通话,我认为可以从以下几个方面入手。
首先,学校要加强普通话教育,从娃娃抓起,培养孩子们正确的发音和语言习惯。
其次,媒体也应该发挥作用,通过电视剧、广播、网络等渠道,传播标准的普通话。
再者,政府可以组织各种普通话推广活动,鼓励人们积极学习和使用普通话。
5【童年的记忆】1【我的愿望】\29【我向往的地方】6【我喜爱的职业】\ 3【我尊敬的人】\ 22【我喜欢的节日】26【我喜欢的知名人物】我最喜欢的知名人物是戴旭。
戴旭先生是空军大校军衔,毕业于空军电讯工程学院和空军政治学院。
现任国防大学教授,还是北京大学中国战略研究中心研究员。
他点评军事,直言敢谏。
他解析国际关系,透彻犀利。
他写过好多书,有《海图腾》《C形包围》《盛世狼烟》等,深沉的表达了对祖国的热爱。
“国家兴亡匹夫有责”,或许我们不能像戴旭先生那样专业透彻的看懂国际局势,但是我们可以积极地关注时事政治。
我在人人网担任戴旭战略思想公共主页的管理员,对于戴旭先生,我们私下里都称呼他为戴老板。
作为戴老板公共主页的管理员,不论男女,读戴老板的书是我们的必修科目。
我房间的书架上就摆着戴老板写的《不战之困》。
说实话,女孩子看这样的书确实是有些吃力的,书中那些严密的逻辑关系和各类武器装备的型号参数,也真的让我眼花缭乱过。
但是熟能生巧,当我反复多看几遍的时候,我就觉得顺畅多了。
戴老板提出的“8000里外拦截战争”让我觉得视野一下子被打开了。
是啊,军队要有把战争拦截在祖国本土之外的能力。
只有这样,我们才能在西方国家对中国的C型包围圈中突围。
戴老板表示,不理解中国发展军事的只是那些居心叵测的国家。
对于他们,中国就算是赤手空拳它也不会满意。
于是我才懂了为什么西方有媒体叫嚣中国威胁论。
因为有了这样的基础,我才有资格以一个女生的身份进入公共主页,今年是我做主页管理员的第三个年头。
如果那时没有看到戴老板的文章,或许我只是个三天打鱼两天晒网的孩子;如果那时我没有看到戴老板的文章,或许我只是个懂得化妆品和衣服品牌的浮躁学生;如果那时我没有看到戴老板的文章,或许我只是个人云亦云盲目从众的青年。
我很庆幸,这些假设都不成立。
我很喜欢现在的自己,有自己的想法,凡事讲根据。
7【难忘的旅行】\15【我的假期生活】我的旅行之路一般都是追随者解放军的足迹的,最难忘的旅行是那次暑假去青岛。
2024年普通话考试说话模版没来师范前,总认为普通话是很好说的,只要把家乡话变换一下就行了,有什么难的?可是一到师范,才知道,说普通话并不是我想象的那么容易。
记得刚到师范的时候,自己不敢和同学说话,因为自己说的普通话别人一句也听不懂。
所以我只有沉默,不懂得以后该怎么办。
到二年级的时候。
上级有文件规定,从我们这一届的学生开始要拿到普通话水平测试相当等级证书才能毕业,我真正认真学讲普通话就从这一天开始了。
要学会说普通话,必须从拼音b、p、m、f学起。
每天早读的时候我就在教室练,不懂的就问同学,可是由于自己基础差,学起来特别艰难,有时为了读准一个拼音,经常练到嘴巴痛,舌头发硬。
刚开始学发鼻韵母,自己根本一点都不懂,找不到发音的要领,我就虚心地问其他同学,有时候问多了,她们也不耐烦,所以只有自己艰难地学着。
经过这样不断的努力,我的普通话水平终于有了很大的提高。
学说普通话的过程,有苦也有乐。
苦的是自己对着那些音节,怎样读也读不准;乐的是自己说的普通话不再是别人一句也听不懂了。
现在,我可以在公开场合和其他同学一起高声谈论天下大事了。
学习普通话,使我又恢复了本来的自信,找回我了自己,我不再是个沉默的人。
2024年普通话考试说话模版(2)稿尊敬的考官,大家好!我是来参加2023年普通话考试的考生,很荣幸能站在这里向大家展示我的普通话水平。
下面我将为大家带来一些我自己的学习经验和感悟。
首先,我认为学好普通话需要坚持日常的口语练习。
只有经常练习口语,我们才能更好地掌握语音语调、词汇和语法等基本要素。
平时可以多与人交流,多听多说多读多写,提高口语表达能力。
同时,利用互联网资源,如听力材料、学习网站和语音识别软件等,来帮助自己提高普通话水平。
其次,我们要注重发音准确。
普通话的发声辅音有区别音、不区别音,声母和韵母也要分清楚。
在发音时要注意口腔的舒张与协调,声音要清晰而自然,避免夹杂方言或个人口音。
另外,对于一些常见的易混淆音,我们需要特别加以强化练习,以提高自己的发音准确性。
国家普通话考试——3分钟说话题模板(A4打印版,各省市普通话测试中心通用)(一)《我的愿望或理想》====(六)《我喜爱的职业》1.介绍自己的愿望每个人都有自己的愿望,有些人想当科学家,有些人想做大老板,有些人想成为一名军人,而我的愿望则是当一名老师。
2.解释为什么A,我喜欢当老师B,爸妈都是老师,受父母的影响,从小耳濡目染C,当老师可以为我们的下一代,将来把他们培养成有用的人才,把自己所知道的道理告诉他们,我觉得特别有意义D,小学时看到老师讲课特别崇拜,励志长大了一定要当一名老师3,讲述怎么做如果我以后当上了老师,我会尽自己的努力去帮助他们成长,而且我是一个对孩子很有耐心的人,我不会因为他们做错事而责罚他们,我更愿意用道理来让他们明白他们错在哪里。
4.所以说,“我的愿望”是当一名人民教师,我坚信自己能做的很好!(二)《我的学习生活》1.我的学习生活内容丰富,形式多样。
2.读小学的时候,语文,数学,课余时间打乒乓球3.读初中的时候,新增英语,物理,化学4.读高中的时候,文理科5.读大学的时候,计算机专业,没兴趣,考研6.现在,我正在攻读研究生学位,学的是人力资源管理,先看书,再跟导师做项目提升自己。
7. 课外时间还看些小说8. 看书开拓我们的视野,武装我们的头脑,充实我们的心灵,所以我们应该多看书多学习。
(三)《我尊敬的人》在我的心中,值得尊敬的人很多。
但是,最让我尊敬的人是我的父亲。
父亲的一生很辛苦,他兄弟姐妹很多,他是老大。
在很小的时候,父亲就担起了照顾弟妹的担子。
每当春天来临,衣衫褴褛的父亲便拖上弟弟妹妹去挖苦菜、上山砍柴,只有这样,全家才能吃上一顿饱饭。
穷人家的孩子早当家,为了养家糊口,十五岁那年,父亲便只身闯东北,走上一条艰难的路程。
每当说起这些,父亲的声音如泣如诉,眼里总是噙着泪花。
在我幼年的印象中,父亲就象是一座山,用他高而瘦的身体默默地为我们撑起一片蓝天。
父亲长得瘦,便却是庄稼地里的好手。
地里无论什么活,样样拿得起。
人见人夸。
至今,我还记得在我很小的时候他干活的那一幕幕:骄阳下,父亲正在围场收拾稻谷,汗水象断线的珠子摔在滚烫的地上:父亲的手中握着木锨,象机器人一样机械地重复着一个动作,金黄的谷子听话在地落到一边……月光下,父亲正在编筐,那佝偻的身影如座雕像刻在我的心上。
“没有花香,没有树高,我是一颗无人知道的小草……”每当听到这首歌,我就想到我的父亲,父亲就如一颗无名的小草,默默地为我们的家奉献着他的一切。
父亲就是我最尊敬的人。
(四)《我喜爱的动物(或植物)》我喜爱的动物是狗。
因为狗对人很忠诚,不会背叛主人。
只要你把它喂饱了,它就会对你摇尾巴,对你任劳任怨,从不离开不背叛。
狗的好处:1.狗也是人类的好伙伴好帮手。
狗的嗅觉也超级灵敏,因此狗可以帮助人类破案2.看家3.宠物狗,当我们比较烦闷的时候,狗会逗我们开心我家养了一只非常可爱的小白狗。
它还很小,长着一个园园的脸,鼻子是黑色的,最可爱的是它那一双又大又园的黑眼睛,非常惹人喜爱,我给它取了个名字叫“贝贝”。
每天,我和妈妈一回家,第一个冲上来的就是贝贝。
它活蹦乱跳的跟着我,我走哪它就跟到哪,想把它赶走都不行。
后来贝贝生了三个小宝宝。
(五)《童年的记忆》====(七)《难忘的旅行》武汉是湖北省的省会,它是由武昌、汉口、汉阳三地合并组建的。
武汉是我国中部地区最大的城市,独特的地理优势造就了得天独厚的交通优势。
京广、京九、武九、汉丹 4 条铁路干线,以及京珠、泸蓉等 6 条国道在此交汇,是中国内陆最大的水陆空交通枢纽,历来被称为“九省通衢”。
武昌、汉口、汉阳被称为“武汉三镇”。
武昌兴起最早,是武汉市的文化中心,武汉的高校基本上都在武昌区,是出名的大学城。
汉口在明朝开始强势崛起,工商业基础较好,是武汉的经济商业中心,因此比较繁华。
汉阳的经济基础较为薄弱,方便重新规划,是武汉政府重点建设中心。
武汉的旅游景点有很多,比较出名的有黄鹤楼,东湖,木兰天池等等。
黄鹤楼是中国三大名楼之一,黄鹤楼已经成为武汉的标志,是大家到武汉旅游的必到之出。
东湖是华中地区最大的风景游览地,是中国最大的城中湖,也是中国最大的赏花胜地,四季皆可游览,风景非常漂亮。
木兰天池拥有丰富的森林资源和良好的生态环境,是游客进行森林沐浴的最佳去处。
至于武汉的美食,我想最出名的就属司门口户部巷的小吃了。
那里的小吃多种多样,而且味道特别棒,每到节假日总是挤满了人在那品尝各种美味佳肴。
我想这也是我向往武汉的原因之一吧。
(八)《我的朋友》我的朋友有很多,不过最令我难忘的一个朋友是刘亚乐。
刘亚乐是一个长得很斯文的帅小伙,性格很随和,他乐于助人,是那种可以为了朋友两肋插刀的人,所以在众多朋友中很受大家欢迎。
我们一起互相帮助:1.学习上他帮助我2.我帮他搞腾讯比赛3.经常一起吃饭,一起出去游玩如今我们天各一方,我在南昌继续深造,他在北京准备创业开公司了,我们经常互通电话,交流彼此的近况,有什么事情互相参考对方的意见,我觉得他是一个真诚可交的真心朋友,好兄弟。
我在这里祝愿他的事业能蒸蒸日上!(九)《我喜爱的文学(或其他的)艺术形式》我喜欢的艺术形式是摄影和小说。
先来说说摄影。
虽然在摄影方面我并不是很专业,但是从摄影中我找到了很大的乐趣。
生活中的摄影无处不在,我会随身携带相机,有时因为各种各样的原因没有带时就会用手机的拍摄功能。
因为喜爱拍摄,就会处处留心观察身边的一切。
我发现这样的心境让我发现了很多平时容易被忽略的视角,有时会拍出事物不一样的美。
在旅游中的摄影,更是意义非凡。
沿途记录下窗外的风景,捕捉运动中的美;游玩时用画面记录下每一个同行人灿烂的笑容;在标志性建筑前留下大家的身影。
有时候,一张照片能承载很多的内容,或是一段故事,或是摄影者的一份心情,或是一个你未曾在意的地方。
摄影所带来的真实画面,将带给人一种美好的回忆。
另外,我还喜欢把我拍的照片传到博客,和大家分享。
这样可以把这些欢乐带给认识或是不认识的朋友,有时的旅游经历还可以给他们作个参考。
再来说说小说。
小说有趣、好看、吸引人,许多人都很爱看,我也很爱看,很多小说是根据现实来编写的,它能反映社会现实。
我最喜欢看的小说是。
所以,摄影和小说是我最喜欢的艺术形式。
(十)《谈谈卫生与健康》1.说到卫生与健康,大家都知道,讲卫生才能健康,不讲卫生则易生病;2. 其实卫生是处处都必须注意的,在路边、大街上、小巷中,在那些小摊小贩的摊子上,经常做一些油饼、臭豆腐之类的食品,我觉得这些东西尽量不要去吃,因为这些东西都不太卫生,吃了容易生病,甚至造成腹泻、头晕之类的症状。
有些老年人过于节约,舍不得倒掉变质的剩饭菜,如果吃了这些变质了的剩饭剩菜导致生病,那就得不偿失了。
饭前便后要洗手,这也是讲卫生的行为。
3. 说到健康,也许有人会说:“吃多了东西也就健康了吧!”其实健康并不在于多吃东西,你还要常运动、多喝水,每天定时定量吃饭,按时睡觉等等,这样才会健康。
多吃水果、蔬菜、多补充维生素,这样对身体大有好处。
4. 卫生与健康是紧密相连的。
不讲卫生不仅使身体容易生病,有时连你宝贵的双眼也会受到侵袭。
当你接触过钱、霉旧的书之类的东西,你可千万不要去揉眼睛,否则,沾你手上的细菌就会跑进眼睛,这样会使你患上沙眼,导致视力下降。
5. 为了有个健康的好身体,平时我们要养成良好的卫生习惯。
良好的卫生习惯不是抽象的概念,而是表现为一点一滴的生活小事。
比如,要保持个人清洁卫生,衣服要勤换洗,勤洗澡,勤剪指甲;饭前便后要洗手;经常打扫环境卫生;适当参加体育锻炼,增强身体免疫力。
(十一)《我的业余生活》====(十五)《我的假日生活》我喜欢追求高质量的生活。
这其中就包括高质量的学习、日常生活以及假日生活(业余生活)的安排。
那么我的假日生活一般都是怎样度过的呢?收拾卫生----喊上朋友一起打球----回来洗澡----上网看电影打游戏----看看书--------有时候会出去逛逛,逛街,吃大餐如果假期长的话,有可能出去旅行,暑假去过凤凰古城,下一次假期准备去云南,期待下一次的假期。
(十二)《我喜欢的季节(或天气)》我喜欢的季节是夏天1.夏天是炎热的。
我喜欢在夏天做强烈运动,我最喜欢打篮球。
然后出一身汗,之后用温水洗一个澡,就再也不用空调了,真的很舒服很凉爽。
2.夏天是多彩的。
到了夏天各种各样的花就开放了,白的、黄的、红的、紫的……和路旁翠绿的小草组成一道美丽的风景。
3.夏天是有趣的。
记得很小的时候,一到夏天,天气热了,我就会与村里的小孩子到水库去游泳,那时候水库的安全系数还不是很高,几乎每年都有事故发生,父母是不让我们去的。
知道之后当然就是一顿责骂或是处罚了。
可是那时候很叛逆,不知道什么叫做危险,责骂之后下次还是会偷偷去的。
4.夕阳落山了,我就会拿着各种渔具去捉鱼,那时候最开心的就是捉鱼了,因为既可以玩水,晚饭有可以多了一道菜。
5.晚饭过后,村里的大人就出来纳凉聊天,而我们小孩子就在一旁捉萤火虫。
我喜欢夏天就是因为夏天的炎热,夏天的多彩以及夏天的有趣。
(十三)《学习普通话的体会》普通话是我国的通用语言,是我们日常交流沟通的工具。
我认为学好普通话很重要,尤其是在教师的行业中则更重要。
要学好普通话,我觉得学习方法方面非常重要:1,在我学习普通话的过程,我注意安排一个学习计划,每天抽出1小时,专门学习普通话,这是学习好普通话的时间保证。
2,除此之外,我还勤向普通话标准的老师学习。
因为那些老师不仅具有扎实的语音学基础知识,经过专业训练,而且老师离自己最近,请教也最方便。
因此,在我遇到不懂的和难以纠正的问题时,就及时向老师请教好的学习方法。
3,在平时,我还跟普通话好的同学一起学习。
和他们交往,或在一起活动,能够在最平实的交流中提高普通话水平。
4,而且我还发现,经常看新闻联播对学习好普通话有很大帮助,因为那些播音员都是全国普通话水平最高的人了,经常听他们讲对自己的发音有很大的帮助。
经过长时间的学习和积累,我很高兴的看到自己的进步。
也让我知道了,一分耕耘,一分收获的道理。
我期望自己能够在这次考试中取得理想的成绩。
因为,我的愿望是成为一名人民教师,所以能讲一口标准的普通话是非常重要的。
所以,不论这次的结果怎样,我都会在今后学习普通话的过程中再接再厉。
(十四)《谈谈服饰》====(三十)《购物(消费)的感受》人活在这个世上,就离不开衣食住行。
很显然,穿衣是排在第一位的,这是因为衣服不仅直接或间接的显示出一个人的身份、地位,更重要的是衣服可以显示出一个人的精神面貌。
所以,人们对衣服的要求是不一样的,在不同场合要穿不同的衣服。
现在,购物买衣服得人越来越多,服饰的款式更是琳琅满目。
至于我,对衣服倒是没什么特别得要求,只要穿着舒服就好。
每到换季东西都会大减价,这时也是我大大出手得时候。