云南省电话区号及邮政编码表
- 格式:xls
- 大小:26.00 KB
- 文档页数:2
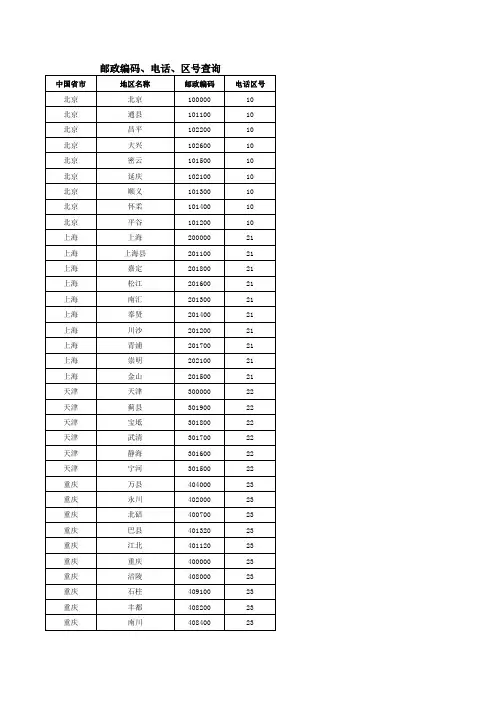
各省邮政编码及电话区号作者: 日期:区码地区区号下属各市、县、区、镇A广州020越秀区、荔湾区、海珠区、天河区、白云区、黄埔区、番禺区、花都区、南沙区、罗岗区、增城市、从化市B深圳0755福田区、罗湖区、南山区、宝安区、龙岗区、盐田区C珠海0756香洲区、斗门县D汕头0754达濠区、龙湖区、金园区、升平区、河浦区、南澳县、潮阳市、澄海市E佛山0757禅城区、南海区、顺德区、三水区、高明区F韶关0751北江区、武江区、浈江区、曲江县、始兴县、仁化县、翁源县、乳源瑶族自治县、新丰县、乐昌县、南雄县G湛江0759赤坎区、霞山区、坡头区、麻章区、遂溪县、徐闻县、廉江市、雷州市、吴川市H肇庆0758端州区、鼎湖区、广宁县、怀集县、封开县、德庆县、咼要市、四会市J江门0750蓬江区、江海区、台山市、新会市、开平市、鹤山市、恩平市K茂名0668茂南区、茂港区、电白县、咼州市、化州市、信宜市L惠州0752惠城区、博罗县、惠东县、龙门县、惠阳市M梅州0753梅江区、梅县、大埔县、丰顺县、五华县、平远县、蕉岭县、兴宁市N汕尾0660城区、海丰县、陆河县、陆丰市P河源0762源城区、紫金县、龙川县、连平县、和平县、东源县Q阳江0662江城区、阳东县、阳春市R清远0763清城区、佛冈县、阳山县、连山壮族瑶族自治县、连南瑶族自治县、清新县、英德市、连州市S东莞0769莞城区、万江区、东城区、南城区、中堂镇、高埗镇、石碣镇、石龙镇、麻涌镇、望牛墩镇、茶山镇、石排镇、企石镇、洪梅镇、道窖镇、寮步镇、横沥镇、东坑镇、桥头镇、常平镇、沙田镇、厚街镇、大岭山镇、大朗镇、黄江镇、樟木头镇、谢岗镇、虎门镇、长安镇、塘夏镇、清溪镇、凤岗镇石岐区、东区、南区、西区、火炬区、黄圃镇、东凤镇、小榄镇、民众镇、东升镇、古镇镇、沙溪镇、坦洲镇、港口镇、三角镇、横栏镇、南头镇、阜沙镇、南朗镇、三T中山0760乡镇、板芙镇、大涌镇、神湾镇、五桂山镇U潮州0768湘桥区、潮安县、饶平县V揭阳0663榕城区、揭东县、揭西县、惠来县、普宁县、东山区W云浮0766云城区、新兴县、郁南县、云安县、罗定市地区邮政编码区号下属各市、县、区、镇防城港5380000770港口区、防城区、上思县、东兴市崇左5322000771江州区、扶绥县、大新县、天等县、宁明县、龙州县、凭祥市南宁5300000771兴宁区、青秀区、江南区、西乡塘区、良庆区、邕宁区、武鸣县、横县、宾阳县、上林县、隆安县、马山县来宾5461000772兴宾区、象州县、武宣县、金秀瑶族自治县、忻城县、合山市柳州5450000772城中区、鱼峰区、柳南区、柳北区、柳江县、柳城县、鹿寨县、融安县、二江侗族自治县、融水苗族自治县秀峰区、叠彩区、象山区、七星区、雁山区、阳朔县、临桂县、灵川县、全州县、兴安县、永福县、灌阳县、龙胜各族自治县、资源县、平乐县、荔浦县、恭城桂林5410000773瑶族自治县贺州5428000774八步区、昭平县、钟山县、富川瑶族自治县梧州5430000774万秀区、蝶山区、长洲区、苍梧县、藤县、蒙山县、岑溪市贵港5370000775港北区、港南区、覃塘区、平南县、桂平市玉林5370000775玉州区、容县、陆川县、博白县、兴业县、北流市百色5330000776右江区、田阳县、田东县、平果县、德保县、靖西县、那坡县、凌云县、乐业县、田林县、隆林各族自治县、西林县钦州5350000777钦南区、钦北区、灵山县、浦北县河池5470000778金城江区、罗城仫佬族自治县、环江毛南族自治县、南丹县、天峨县、凤山县、东兰县、巴马瑶族自治县、都安瑶族自治县、大化瑶族自治县、宜州市北海5360000779海城区、银海区、铁山港区、合浦县—邮政编码区号下属各市、县、区、镇地区岳阳4140000730岳阳楼区、君山区、云溪区、临湘市、汨罗市、岳阳县、湘阴县、平江县、华容县长沙4100000731岳麓区、芙蓉区、天心区、开福区、雨花区、浏阳市、长沙县、望城县、宁乡县湘潭4111000732岳塘区、雨湖区、湘乡市、韶山市、湘潭县株洲4120000733天兀区、荷塘区、芦淞区、石峰区、醴陵市、株洲县、炎陵县、茶陵县、攸县衡阳4210000734雁峰区、珠晖区、石鼓区、蒸湘区、南岳区、耒阳市、常宁市、衡阳县、衡东县、衡山县、衡南县、祁东县郴州4230000735北湖区、苏仙区、资兴市、宜章县、汝城县、安仁县、嘉禾县、临武县、桂东县、永兴县、桂阳县常德4150000736武陵区、鼎城区、津市市、澧县、临澧县、桃源县、汉寿县、安乡县、石门县益阳4130000737赫山区、资阳区、沅江市、桃江县、南县、安化县娄底4170000738娄星区、冷水江市、涟源市、新化县、双峰县邵阳4220000739双清区、大祥区、北塔区、武冈市、邵东县、洞口县、新邵县、绥宁县、新宁县、邵阳县、隆回县、城步苗族自治县湘西土家族4160000743吉首市、古丈县、龙山县、永顺县、凤凰县、泸溪县、保靖县、花垣县苗族自治州张家界4270000744永定区、武陵源区、慈利县、桑植县怀化4180000745鹤城区、洪江市、会冋县、沅陵县、辰溪县、溆浦县、中方县、新晃侗族自治县、芷江侗族自治县、通道侗族自治县、靖州苗族侗族自治县、麻阳苗族自治县永州4250000746冷水滩区、零陵区、祁阳县、蓝山县、宁远县、新田县、东安县、江永县、道县、双牌县、江华瑶族自治县地区邮政编码区号下属各市、县、区、镇武汉430000027江岸区、武昌区、江汉区、硚口区、汉阳区、青山区、洪山区、东西湖区、汉南区、蔡甸区、江夏区、黄陂区、新洲区襄樊4410000710襄城区、樊城区、襄阳区、老河口市、枣阳市、宜城市、南漳县、谷城县、保康县鄂州4360000711鄂城区、华容区、梁子湖区孝感4320000712孝南区、应城市、安陆市、汉川市、云梦县、大悟县、孝昌县黄冈4380000713黄州区、麻城市、武穴市、红安县、罗田县、浠水县、蕲春县、黄梅县、英山县、团风县黄石4350000714黄石港区、西塞山区、下陆区、铁山区、大冶市、阳新县咸宁4370000715咸安区、赤壁市、嘉鱼县、通山县、崇阳县、通城县荆州4340000716沙市区、荆州区、洪湖市、石首市、松滋市、监利县、公安县、江陵县宜昌4430000717西陵区、伍家岗区、点军区、猇亭区、夷陵区、宜都市、当阳市、枝江市、秭归县、远安县、兴山县、五峰土家族自治县、长阳土家族自治县恩施土家族4450000718恩施市、利川市、建始县、来凤县、巴东县、鹤峰县、宣恩县、咸丰县苗族自治州十堰4420000719吉张湾区、茅箭区、丹江口市、郧县、竹山县、房县、郧西县、竹溪县随州4413000722曾都区、广水市荆门4480000724东宝区、掇刀区、钟祥市、京山县、沙洋县潜江市4331000728天门市4317000728仙桃市4330000728神农架林区4424000719四川各地邮编及电话区号地区邮编区号下属市、县、区、镇成都610000028青羊区、锦江区、武侯区、成华区、金牛区、龙泉驿区、青白江区、高新区、金堂县、双流县、温江区、崇州市、新都区、都江堰市、邛崃市、郫县、蒲江县、新津县、大邑县、彭州市自贡6430000813自流井区、贡井区、大安区、沿滩区、荣县、富顺县攀枝花6170000812东区、西区、仁和区、米易县、盐边县泸州6460000840江阳区、龙马潭区、纳溪区、泸县、合江县、叙永县、古蔺县德阳6180000838旌阳区、广汉市、什邡市、绵竹市、中江县、罗江县绵阳6210000816涪城区、游仙区、江油市、平武县、安县、梓潼县、北川羌族自治县、盐亭县、三台县广元6280000839市中区、兀坝区、朝天区、剑阁县、旺苍县、青川县、苍溪县遂宁6290000825船山区、安居区、蓬溪县、射洪县、大英县内江6410000832市中区、东兴区、资中县、威远县、隆昌县资阳6413000832雁江区、简阳市、安岳县、乐至县眉山6200000833东坡区、仁寿县、彭山县、洪雅县、青神县、丹棱县乐山6140000833市中区、五通桥区、沙湾区、金口河区、峨眉山市、犍为县、夹江县、井研县、峨边彝族自治县、沐川县、马边彝族自治县南充6370000817阆中市、顺庆区、咼坪区、嘉陵区、营山县、仪陇县、蓬安县、南部县、西充县雅安6250000835雨城区、名山县、石棉县、天全县、芦山县、宝兴县、荥经县、汉源县广安6380000826广安区、岳池县、武胜县、邻水县、华蓥市巴中6360000827巴州区、通江县、南江县、平昌县达州6350000818通川区、达县、宣汉县、大竹县、开江县、万源市、渠县宜宾6440000831翠屏区、江安县、长宁县、高县、筠连县、屏山县、珙县、兴文县、宜宾县、南溪县阿坝6240000837汶川县、松潘县、南坪县、金川县、小金县、阿坝县、黑水县、壤塘县、马尔康县、理县、茂县、若尔盖县、红原县、九寨沟县甘孜6260000836康定县、泸定县、丹巴县、九龙县、雅江县、道孚县、炉霍县、甘孜县、新龙县、德格县、白玉县、石渠县、色达县、理塘县、巴塘县乡城县、稻城县、得荣县凉山6150000834西昌市、盐源县、德昌县、会理县、昭觉县、美姑县、雷波县、木里藏族自治县、会东县、宁南县、普格县、布拖县、金阳县、喜德县、冕宁县、越西县、甘洛县贵州各地邮编及电话区号地区邮编区号下属市、县、区、镇贵阳5500000851修文县、息烽县、开阳县、清镇市、小河区、白云区、花溪区、云岩区、南明区、乌当区六盘水5530000858钟山区、六枝特区、盘县、水城县红花岗区、汇川区、赤水市、仁怀市、正安县、桐梓县、遵义县、凤冈县、余庆县、湄潭县、绥阳县、习水县、道真仡佬族苗族自治县、务川仡佬族苗族自治县遵义5630000852安顺5610000853西秀区、普定县、平坝县、关岭布依族苗族自治县、镇宁布依族苗族自治县、紫云苗族布依族自治县黔南5580000854都匀市、福泉市、瓮安县、贵定县、惠水县、长顺县、独山县、荔波县、平塘县、罗甸县、龙里县、三都水族自治县黔西南5624000859兴义市、普安县、晴隆县、贞丰县、册亨县、望谟县、安龙县、兴仁县镇远县、天柱县、榕江县、岑巩凯里市、雷山县、黎平县、施秉县、麻江县、锦屏县、台江县、剑河县、三穗县、黄平县、从江县、县、黔东南5560000855丹寨县铜仁市、万山特区、德江县、思南县、江口县、石阡县、沿河土家族自治县、印江土家族苗族自治县、松桃苗族自治县、玉屏侗族自治县铜仁5543000856毕节5517000857毕节市、大方县、黔西县、金沙县、纳雍县、织金县、赫章县、威宁彝族回族苗族自治县云南各地邮编及电话区号地区邮编区号下属市、县、区、镇昆明市」6500000871盘龙区、五华区、官渡区、西山区、东川区、高新开发区、滇池旅游区、经济开发区、世博区、安宁市、呈贡区、晋宁县、富民县、宜良县、嵩明县、石林县、禄劝县、寻甸县曲靖市6550000874麒麟区、宣威市、会泽县、陆良县、富源县、罗平县、马龙县、师宗县、沾益县玉溪市6531000877红塔区、华宁县、澄江县、易门县、通海县、江川县、元江县、新平县、峨山县保山市6780000875隆阳区、施甸县、昌宁县、龙陵县、腾冲县昭通市6570000870昭阳区、永善县、绥江县、镇雄县、大关县、盐津县、巧家县、彝良县、威信县、水富县、鲁甸县普洱市6650000879思茅区、宁洱县、镇沅县、景东县、景谷县、墨江县、澜沧县、江城县、孟连县、西盟县、临沧市6770000883临翔区、镇康县、凤庆县、云县、永德县、双江县、沧源县、耿马县、丽江市6741000888华坪县、永胜县、古城区、宁蒗县、玉龙县文山州6630000876文山市、麻栗坡县、砚山县、广南县、马关县、富宁县、西畴县、丘北县红河州6614000873弥勒县、红河县、绿春县、蒙自市、个旧市、开远市、泸西县、建水县、兀阳县、石屏县、金平县、河口县、屏边县西双版纳州6661000691景洪市、勐海县、勐腊县楚雄州6750000878楚雄市、兀谋县、南华县、牟定县、武定县、大姚县、双柏县、禄丰县、永仁县、姚安县大理州6710000872大理市、剑川县、弥渡县、云龙县、洱源县、鹤庆县、祥云县、宾川县、永平县、漾濞县、巍山县、南涧县德宏州6784000692芒市、畹町市、瑞丽市、盈江县、梁河县、陇川县怒江州6731000886泸水县、福贡县、兰坪县、贡山县迪庆州6744000887香格里拉县、德钦县、维西县。
中国电话区号及邮政编码表电话区号表邮政编码表北京市北京:010上海市上海:021天津市天津:重庆市重庆:河北省承德:沧州:邯郸:山西省太原:大同:0352 阳泉:0353 榆次:0354长治:0355 晋州:0356 临汾:0357离石:0358 孝义:0358 运城:0359内蒙古自治区呼和浩特:0471 海拉尔:0470 满洲里:0470包头:0472 乌海:0473 集宁:0474通辽:0475 赤峰:0476 巴林左旗:0476 东胜:0477 准格尔旗:0477 临河:0478锡林浩特:0479 二连浩特:0479 乌兰浩特:0482 辽宁省沈阳:024 大连:0411 鞍山:0412抚顺:0413 本溪:0414 丹东:0415锦州:辽阳:吉林省长春:敦化:白城:扶余:临江:加格达奇:0457 漠河:0457 伊春:0458大庆:0459 阿城:0450 依安:4623嘉荫:4681江苏省南京:025 无锡0510 镇江:0511丹阳:0511 扬中:0511 句容:0511苏州:0512 吴江:0512 南通:0513海门:0513 启东:0513 南通:0513如东:0513 海安:0513 如皋:0513扬州:0514 江都:0514 胥浦:0514盐城:0515 徐州:0516 淮阴:0517连云港:0518 常州:0519 金坛:0519溧阳:昆山:姜堰(浙江省杭州:富阳:淳安:德清:嘉兴:海盐:宁波:慈溪:0574 宁海:0574 象山:0574绍兴:0575 上虞:0575 嵊州:0575诸暨:0575 临海(台州):0576 黄岩:0576 椒江:0576 永嘉:0577 乐清:0577瑞安:0577 平阳:0577 青田:0578温州:0577 丽水:0578 金华:0579义乌:0579 衢州:0570 龙游:0570舟山:0580 岱山:0580 普陀:0580安徽省合肥:0551 滁州:0550 全椒:0550蚌埠:0552 芜湖:0553 芜湖县:0553准南:0554 凤台:0554 马鞍山:0555安庆:萧县:黄山:六安:福建省福州:莆田:漳州:南平:江西省南昌:临川(抚州):0794 宜春:0795 吉安:0796 赣州:0797 景德镇:0798 萍乡:0799 新余:0790 分宜:0790 鹰潭:0701 山东省济南:0531 青岛:0532 胶州:0532淄博:0533 德州:0534 烟台:0535莱阳:0535 潍坊:0536 济宁:0537 梁山:0537 腾州:0537 曲阜:0537 兖州:0537 邹县:0537 微山:0537 鱼台:0537 嘉祥:0537 泗水:0537 汶上:0537 泰安:0538 临沂:0539 菏泽:0530 郓城:0530 威海:0631日照:河南省郑州:许昌:南阳:商丘:濮阳:湖北省武汉:孝感:大冶:沙市:0716 宜昌:0717 恩施:0718 十堰:0719 荆门:0724湖南省长沙:0731 湘潭:0732 株洲:0733 衡阳:0734 郴州:0735 常德:0736 益阳:0737 娄底:0738 邵阳:0739邵东:0739 岳阳:0730 张家界:0744 怀化:0745 冷水滩:0746广东省广州:020 潮阳:0661 揭阳:0663江门:0750 新会:0750 开平:0750韶关:0751 惠州:0752 梅县:0753汕头:佛山:肇庆:潮州:南宁:梧州:钦州:海南省海口:通什:定安:0898 文昌:0898四川省成都:028 攀枝花:0812 自贡:0813 永川:0814 温江:0815 金堂:0815 绵阳:0816 江油:0816 南充:0817 达县:0818 万县:0819 涪陵:0810泸州:0830 宜宾:0831 内江:0832 乐山:0833 五通桥:0833 沙湾:0833 西昌:0834 雅安:0835 康定:0836 马尔康:0837 德阳:0838 广元:0839 贵州省贵阳:0851 遵义:0852 安顺:0853都匀:毕节:云南省昆明:个旧:文山:楚雄:丽江:拉萨:陕西省西安:029 临潼:029 咸阳:0910延安:0911 榆林:0912 渭南:0913商州:0914 安康:0915 汉中:0916宝鸡:0917 铜川:0919甘肃省兰州:0931 定西:0932 平凉:0933庆阳:0934 西峰:0934 金昌:0935武威:0935 张掖:0936 玉门:0937敦煌:0937 酒泉:0937 天水:0938陇南:0939 临夏:0930 银川:0951宁夏回族自治区银川:0951 石嘴山:0952 青铜峡:0953吴忠:青海省西宁:共和:昌吉:香港特别行政区HONGKONG:00852澳门MACAU:00853台湾省TAIWAN:00886 北京市北京:100000 通县:101100 门头沟区:102300 房山区:102400 平谷:101200 顺义:101300 怀柔:101400 密云:101500 延庆:102100昌平:102200 大兴:102600上海市上海:200000 郊区:200100 上海县:201100 川沙:201200 南汇:201300 奉贤:201400 金山:201500 松江:201600 青浦:201700 嘉定:201800 宝山:201900 崇明:202100天津市天津:宁河:宝坻:乌海:宁城:林西:025200 巴林右旗:025100克什克腾旗:025300 巴林左旗:025400阿鲁科尔沁旗:025500 集宁:012000本镇:012100 察哈尔右翼前旗:012200 卓资:012300 清水河:011600察哈尔右翼后旗:012400 和林洛尔:011500武川:011700 四子王旗:011800达尔罕茂明安:011900 化德:013300商都:013400 察哈尔右翼中旗:013500 兴和:013600 凉城:013700锡林浩特:026000 阿巴嘎旗:026100西乌珠穆沁旗:026200 东乌珠穆沁旗:026300多伦:通辽:库伦旗:288200 奈曼旗:028300开鲁:028400 扎鲁特旗:029100霍林郭勒旗:029200 东胜:017000准格尔旗:017100 科尔沁左翼中旗:029300 伊金霍洛旗:017200 乌审旗:017300杭锦旗:017400 达拉特旗:014300鄂托克前旗:016200 鄂托克前旗:015000 临河:015100 五原:015200磴口:015300 乌拉特持后旗:015400 乌拉善左旗:015500 阿拉善右旗:014400 突泉:735400 额济纳旗:750300 乌兰浩特:737300 扎资特期:137400山西省太原:娄烦:孟县:襄垣:沁县:壶关:黎城:沁水:左云:037100 右玉:037200 大同:037300 浑源:037400 广灵:037500 应县:037600 阳高:038100 天镇:038200 与仁:038300 山明:038400 朔县:038500 平鲁:038600 灵丘:034400 原平:034100 沂洲:034000 代县:034200 繁崎:034300 静乐:035100定襄:035400 五台:035500 宁武:036000神池:036100 五寒:036200 岢岚:036300偏关:036400 河幽:036500 保德:036600太谷:030800 祁县:030900 榆次:030600平遥:031100 介休:031200 灵石:031300寿阳:031700 榆社:031000 左汉:032600和顺:方山:中阳:兴县:孝义:蒲县:襄汾:大宁:浮山:翼城:洪洞:万荣:044200 平陆:044300 夏县:044400水济:044500 芮城:044600 新绛:043100稷山:043200 河津:043300 绛县:043600垣曲:043700 闻喜:043800河北省石家庄050000 井阽矿区:050100 获鹿:050200井陉:050300 正定:050800 奕城:051400 邯郸:056000 峰峰矿区:056200 武安:056300 刑台县:054000 刑台市:054000 保定:071000 清苑:071100 满城:072100 张家口:075000 庞家保:075200 下花园:075100 宣化:075100 承德:067000 寿王坟:067100 古治:063100承德:唐海:乐亭:玉田:迁安:青龙:青县:行唐:赞皇:藁城:无极:052400 深泽:052500 涉县:056400 磁县:056500 临漳:056600 成安:056700 魏县:056800 大名:056900 永年:057100 曲周:057200 鸡泽:057300 丘县:057400 肥乡:057500 广平:057600 馆陶:057700 宁晋:051600 新河:051700 南宫:051800沙河:054100 内丘:054200 临城:054300 南和:054400 平乡:054500 广宗:054600 威县:054700 清河:054800 任县:055100 巨鹿:055200 隆尧:055300 柏乡:055400 临西:057800 安国:071200 博野:071300 蠡县:071400 高阳:071500 安新:071600容城:唐县:定兴:曲阳:涞水:怀来:蔚县:万全:沽源:兴隆:隆化:围场:068400 滩坊:102800 固安:102700 三河:101600 大广:101700 香河:302500 永清:302600 霸县:302700 文安:302800 大城:302900 黄骅:061100 海兴:061200 盐山:061300 孟村:061400 南皮:061500 东光:061600 吴桥:061800 泊头:062100献县:062200 肃宁:062300 河间:062400 任丘:062500 衡水:053000 枣强:053100 翼县:053200 武强:053300 武邑:053400 景县:053500 安平:052600 饶阳:052700 深县:052800 阜城:061700 故城:253800 辽宁省沈阳:大连:金县:庄河:台安:本溪:丹东:东沟:义县:锦西:营口:115000 营口县:115100 朝阳:122000 北票:122100 建昌:122200 喀喇沁左翼:122300 建平:122400 凌源:125000 朝阳县:122600 吉林省长春130000 农安:130200 德惠:130300 榆树:130400 九台:130500 双阳:130600吉林:132000 永吉:132200 磐石:132300 桦甸:132400 蛟河:132500 舒兰:132600 四平:136000 公主岭:136100 辽源:136200 东丰:136300 东辽:136600 白城:137000 洮南:137100 通榆:137200 镇赉:137300 长岭:131500 延吉:133000 图们:138100汪清:和龙:讷河:拜泉:南岔:林口:157600 密山:158300 虎林:158400 佳木斯:154400 桦川:154300 桦南:154400 汤原:154700 依兰:154800 富锦:156100 建三江:156300 同江:156400 抚远:156500 宝清:156600 饶河:156700 友谊:156900 七台河:154600 勃利:154500 绥化:152000望奎:152100 绥棱:152200 海伦:152300 庆安:152400 肇源:151300 安达:151400 兰西:151500 青冈:151600 明水:151700 黑河:154300 德都:164000 五大连池:164500 嫩江:161400 延寿:150700 方正:150800 通河:150900 巴彦:151800 木兰:151900漠河:江苏省南京:高淳:镇江:丹阳:江阴:赣榆:盐城:射阳:建湖:224700 杨州:225000 南通:226000 海门:226100 南通市:227300 如东:226400 如皋:226500 海安:225600安徽省合肥:230000 长丰:231100 肥西:231200 肥东:231600 淮南:232000 风台:232100蚌埠:233000 五河:233300 怀远:233400 固镇:233700 淮北:235000 芜湖:241000 安庆:246000 黄山:245000 宣州:242000 郎溪:242100 广德:242300 宁国:243400 六安:237000 六安县:237100 霍山:237200 金寨:237300 霍丘:237400 舒城:231300寿阳:岳阳:定远:山东省济南:青岛:淄博:滕县:昌乐:乳山:烟台:泗水:273500 平邑:273300 东明:274500 浙江省杭州:310000 湖州:313100 镇海:315200 宁海:315600 安吉:313300 绍兴:312000 奉化:315500 嘉兴:314000 平湖:314200 海盐:314300 温州:325000 永嘉:325100瑞安:325200 江山:324100 庆元:323800仙居:317300 天台:317200 三门:317100桐乡:314500 义乌:322000 青田:323900缙云:321400江西省南昌:330000 新建:330100 南昌县:330200安义:湖口:永修:分宜:清江:安福:广昌:福建省福州:连江:厦门:宁化:365400 永安:366000 泉州:362000惠安:362100 德化:362500 宁德:352100福安:355000 顺昌:353200 南平:353000屏南:352300 拓荣:355300湖南省长沙:410000 望城:410200 长沙县:410100浏阳:410300 宁乡:410600 株州:412000 酸陵:412200 攸县:412800 株州县:412100 茶陵:412400 郡县:412500 湘潭:411100 临湘:414300 汩罗:414400 平江:410400 湘阴:410500 益阳:413000 益阳县:413000 沅江:413100 南昌:413200 桃江:413400安化:临澄:湖北省武汉:新洲:十堰:鄂州:襄樊:宜城:江陵:京山:潜江:433100 洪湖:433100 监利:433300 松滋:434200 公安:434300 石首:434400 孝感:432100河南省郑州:450000 荣阳:450100 新郑:451100 巩县:451200 中牟:451400 资县:452300登封:452400 新乡:453000 汲县:453100 延津:453200 封丘:453300 长垣:453400 原阳:453500 辉县:453600 新乡:453700 获嘉:453800 焦作:454100 修武:454300 博爱:454400 沁阳:454500 济源:454600 孟县:454700 温县:454800 武陟:464900广东省广州:增城:曲江:南雄:乳源:佛冈:连山:梅州:大埔:兴宁:海南省海口:575000 琼山:571100 定安:571200 文昌:571000 琼海:571400 万宁:571500 偏县:571700 三亚:572100 通什:572200 保亭:572300 陵水:572400 乐东:572500 东方:572600 昌江:572700 白沙:572800琼中:572900 西南中沙群岛:573100广西壮族自治区南宁:530000 武鸣:530100 邑宁:530200 柳州:545000 柳江:545100 柳城:545200 桂林:541000 临桂:541100 阳翔:541000 梧州:543000 苍梧:543100 北海:536000合浦:德保:平果:贵县:北流:陆川:贵州省贵阳:毕节黔西:织金:纳雍:552300 安顺:561000 平坝:561100 镇宁:561200 关岭:561300 修文:550200 开阳:550300 紫云:550800 息峰:551100 清镇:551400 普定:562100 遵义:563000 绥阳:563300 桐梓:563200 遵义县:563100 四川省成都:610000 龙泉区:610100 青白江区:613000 双流:610200 金堂:610400 新都:610500温江:611100 崇安:611200 大邑:611300新津:611400 邛崃:611600 蒲江:611600郫县:611700 灌县:611800 彭县:611900绵阳:621000 三台:621100 盐亭:621600江油:安县:青川:苍溪:射洪:陕西省西安:户县:临潼:宜君:陇县:太白:721600 凤县:721700 抚凤:722200眉县:722300 歧山:722400 咸阳:712000杨陵:712100 淳化:711200甘肃省兰州:730000 榆中:730100 皋兰:730200永登:730300 河西:737600 金昌:737100永昌:737200 白银:730900 景泰:730400靖远:730600 会宁:743200 天水:741000甘徐:741200 武山:741300 清水:741400秦安:741650 嘉峪关:735100 张家川:741500 定西:748000 陇西:748100 渭源:748200漳县:748300 岷县:748400 通渭:743300临洮:银川:石咀山平罗:中宁:盐池:固原:隆德:青海省西宁:平安:810600 互助:810500 乐都:810700民和:810800 化隆:818900 循化:811100同德:813100 兴海:813300 贵德:811700同仁:811300 尖扎:811200 龙羊峡:811800 泽库:811400 河南:811500 玛沁:814000玛多:813500 甘德:814100 花石峡:813100达日:814200 班玛:814600 久治:814700玉树:815000 称多:815100 裹谦:815200杂多:815300 治多:815400 曲麻菜:815500 乌兰:817000 乌兰县:817100新疆维吾尔自治区乌鲁木齐:830000 克拉玛依:834000鄯善:哈密:伊吾:墨玉:策勒:民丰:喀什:伽师:莎车:叶城:844900 巴楚:843800西藏自治区拉萨:850000 达孜:850100 墨竹工卡:850200 曲水:850600 尼木:851300 堆龙德庆:851400 当雄:851500 林周:851600 那曲:852000巴青:852100 索县:852200 比如:852300嘉黎:852400 班戈:852500 尼玛:852600 申扎:853100 文部:853200 双湖:853300 安多:853400 聂荣:853500 昌都:844000 江达:854100 贡觉:854200 察雅:854300 左贡:854400 芒康:854500 八宿:854600 盐井:854700 妥坝:854800 碧土:854900洛隆:丁青:。
保山市昌宁县(678100) 龙陵县(678300)隆阳区(678000) 施甸县(678200)腾冲县(679100)楚雄彝族自治州楚雄市(675000) 大姚县(675400)禄丰县(651200) 牟定县(675500)南华县(675200) 双柏县(675100)武定县(651600) 姚安县(675300)永仁县(651400) 元谋县(651300)大理白族自治州宾川县(671600) 大理市(671000)洱源县(671200) 鹤庆县(671500)剑川县(671300) 弥渡县(675600)南涧彝族自治县(675700)巍山彝族回族自治县(672400)祥云县(672100) 漾濞彝族自治县(672500) 永平县(672600) 云龙县(672700)德宏傣族景颇族自治州梁河县(679200) 陇川县(678700)潞西市(678400) 瑞丽市(678600)盈江县(679300)迪庆藏族自治州德钦县(674500) 维西傈僳族自治县(674600) 香格里拉县(674400) 红河哈尼族彝族自治州个旧市(661000) 河口瑶族自治县(661300)红河县(654400) 建水县(654300)金平苗族瑶族傣族自治县(661500) 开远市(661600) 绿春县(662500) 蒙自县(661100)弥勒县(652300) 屏边苗族自治县(661200)石屏县(662200) 元阳县(662400)泸西县(652400)昆明市安宁市(650300) 呈贡县(650500)东川区(654100) 富民县(650400)官渡区(650200) 晋宁县(650600)禄劝彝族苗族自治县(651500) 盘龙区(650000)石林彝族自治县(652200) 五华区(650000)西山区(650100) 寻甸回族彝族自治县(655200)宜良县(652100) 嵩明县(651700)丽江市古城区(674100) 华坪县(674800)宁蒗彝族自治县(674300) 永胜县(674200)玉龙纳西族自治县(674100)临沧市沧源佤族自治县(677400) 凤庆县(675900)耿马傣族佤族自治县(677500) 临翔区(677000)双江拉祜族佤族布朗族傣族自治县(677300)永德县(677600)云县(675800) 镇康县(677700)怒江傈僳族自治州福贡县(673400) 贡山独龙族怒族自治县(673500) 兰坪白族普米族自治县(671400) 泸水县(673200) 曲靖市富源县(655500) 会泽县(654200)陆良县(655600) 罗平县(655800)马龙县(655100) 师宗县(655700)宣威市(655400) 沾益县(655500)麒麟区(655000)思茅市翠云区(665000) 江城哈尼族彝族自治县(665900) 景东彝族自治县(676200)景谷傣族彝族自治县(666400)澜沧拉祜族自治县(665600)孟连傣族拉祜族佤族自治县(665800)墨江哈尼族自治县(654800)普洱哈尼族彝族自治县(665100)西盟佤族自治县(665700)镇沅彝族哈尼族拉祜族自治县(666500)文山壮族苗族自治州富宁县(663400) 广南县(663300)麻栗坡县(663600) 马关县(663700)丘北县(663200) 文山县(663000)西畴县(663500) 砚山县(663100) 西双版纳傣族自治州景洪市(666100) 勐海县(666200)勐腊县(666300)玉溪市澄江县(652500) 峨山彝族自治县(653200)红塔区(653100) 华宁县(652800)江川县(652600) 通海县(652700)新平彝族傣族自治县(653400) 易门县(651100) 元江哈尼族彝族傣族自治县(653300)昭通市大关县(657400) 鲁甸县(657100)巧家县(654600) 水富县(657800)绥江县(657700) 威信县(657900)盐津县(657500) 彝良县(657600)永善县(657300) 昭阳区(657000)镇雄县(657200)。
云南省行政区划代码、电话区号、邮编、车牌号大全
云南简称简称云或滇,位于西南部边疆,省会昆明,有“彩云之南”的美称。
云南东与广西壮族自治区和贵州省毗邻,北以金沙江为界与四川省隔江相望,西北隅与西藏自治区相连,西部与缅甸唇齿相依,南部和东南部分别与老挝、越南接壤。
云南,即“彩云之南”,另一说法是因位于“云岭之南”而得名。
云南省行政区划图
地区区划代码电话区号邮编车牌号
昆明市530100 0871 650000 云A
曲靖市530300 0874 655000 云D
玉溪市530400 0877 653100 云F
保山市530500 0875 678000 云M 昭通市530600 0870 657000 云C 丽江市530700 0888 674100 云P 普洱市530800 0879 665000 云J 临沧市530900 0883 677000 云S 楚雄州532300 0878 675000 云E 红河州532500 0873 661100 云G 文山州532600 0876 663000 云H 西双版纳州532800 0691 666100 云K 大理州532900 0872 671000 云L 德宏州533100 0692 678400 云N 怒江州533300 0886 673200 云Q 迪庆州533400 0887 674400 云R。
全国各地电话号码升位详情及电话区号表发表于 2009-2-28 13:38 | 只看该作者发表的帖子1#全国各地电话号码升位详情(版本一)1.青海省原6位号码升7位,首位号码前加"8",湟中、湟源两县首位号码前加"2",区号改为0971;2.成都市电话升8位,首位号码前加"8";3.苏州市电话升8位,取消区号"0520",统一使用长途区号"0512",原0512区(苏州市区.吴江)用户号码前加"6",原0520区(常熟、张家港、昆山、太仓)用户号码前加"5";4.深圳电话升8位,首位是2、3、4的号码前加"8",首位是5、6、7、8的号码前加"2";5.南京电信升位,市内固定电话(含小灵通)首位数为3、4、5、6的号码升位后前面加8,首位2、7、8的号码前面加5;6.大连市内四区及县市区固定电话、小灵通号码由7位升至8位,所有固定电话、小灵通号码前加"8";7.哈尔滨市所属的市区及十二郊县,升位方法为:原号码首位为3、5、7的前加5,原号码首位为2、4、6、8的前加8.8.顺德固定电话(含小灵通)将于2003年12月6日零时起由7位升至8位,顺德改长途区号0757,在原电话号前加2。
9.2004年8月8日零时起,福建省福州、泉州两地固定电话(含小灵通)号码将从7位升至8位:福州在原首位号为3、5、7的7位用户号码前加"8",在原首位号为2、4、6、8的7位用户号码前加"2",特服号码、短号码不变;泉州:在原首位号为2、3、4的7位用户号码前加"2",在原首位号为5、6、7、8的7位用户号码前加"8",特服号码、短号码不变。
序号DISTRICTNAME OTHERNAME provice_name TELAREACODE1北京市北京北京市010 2天津市天津天津市022 3上海市上海上海市021 4重庆市重庆重庆市023 5武汉市武汉湖北省027 6广州市广州广东省020 7佛山市佛山广东省0757 8深圳市深圳广东省755 9成都市成都四川省028 10南京市南京江苏省025 11杭州市杭州浙江省0571 12青岛市青岛山东省0532 13石家庄市石家庄河北省0311 14太原市太原山西省0351 15呼和浩特市呼和浩特内蒙古自治区0471 16沈阳市沈阳辽宁省024 17长春市长春吉林省0431 18哈尔滨市哈尔滨黑龙江省0451 19合肥市合肥安徽省0551 20福州市福州福建省0591 21南昌市南昌江西省0791 22济南市济南山东省0531 23郑州市郑州河南省0371 24长沙市长沙湖南省0731 25南宁市南宁广西壮族自治区0771 26海口市海口海南省0898 27贵阳市贵阳贵州省0851 28昆明市昆明云南省0871 29拉萨市拉萨西藏自治区0891 30西安市西安陕西省029 31兰州市兰州甘肃省0931 32西宁市西宁青海省0971 33银川市银川宁夏回族自治区0951 34乌鲁木齐市乌鲁木齐新疆维吾尔自治区0991 35珠海市珠海广东省0756 36汕头市汕头广东省0754 37东莞市东莞广东省0769 38中山市中山广东省0760 39湛江市湛江广东省0759 40惠州市惠州广东省0752 41宁波市宁波浙江省0574全国地级市电话区号对照表42温州市温州浙江省0577 43嘉兴市嘉兴浙江省0573 44湖州市湖州浙江省0572 45绍兴市绍兴浙江省0575 46金华市金华浙江省0579 47无锡市无锡江苏省0510 48苏州市苏州江苏省0512 49扬州市扬州江苏省0514 50南通市南通江苏省0513 51连云港市连云港江苏省0518 52镇江市镇江江苏省0511 53烟台市烟台山东省0535 54威海市威海山东省0631 55淄博市淄博山东省0533 56潍坊市潍坊山东省0536 57德州市德州山东省0534 58柳州市柳州广西壮族自治区0772 59桂林市桂林广西壮族自治区0773 60梧州市梧州广西壮族自治区0774 61大连市大连辽宁省0411 62鞍山市鞍山辽宁省0412 63抚顺市抚顺辽宁省0413 64芜湖市芜湖安徽省0553 65滁州市滁州安徽省0550 66厦门市厦门福建省0592 67泉州市泉州福建省0595 68六盘水市六盘水贵州省0858 69遵义市遵义贵州省0852 70三亚市三亚海南省0898 71秦皇岛市秦皇岛河北省0335 72邯郸市邯郸河北省0310 73开封市开封河南省0378 74洛阳市洛阳河南省0379 75大庆市大庆黑龙江省0459 76齐齐哈尔市齐齐哈尔黑龙江省0452 77荆州市荆州湖北省0716 78荆门市荆门湖北省0724 79株洲市株洲湖南省0733 80湘潭市湘潭湖南省0732 81常德市常德湖南省0736 82张家界市张家界湖南省0744 83吉林市吉林吉林省0432 84九江市九江江西省0792 85景德镇市景德镇江西省0798 86萍乡市萍乡江西省0799 87赣州市赣州江西省0797 88大同市大同山西省035289绵阳市绵阳四川省0816 90自贡市自贡四川省0813 91攀枝花市攀枝花四川省0812 92南充市南充四川省0817 93宜宾市宜宾四川省0831 94包头市包头内蒙古自治区0472 95韶关市韶关广东省0751 96江门市江门广东省0750 97茂名市茂名广东省0668 98肇庆市肇庆广东省0758 99梅州市梅州广东省0753 100汕尾市汕尾广东省0660 101河源市河源广东省0762 102阳江市阳江广东省0662 103清远市清远广东省0763 104潮州市潮州广东省0768 105揭阳市揭阳广东省0663 106云浮市云浮广东省0766 107衢州市衢州浙江省0570 108舟山市舟山浙江省0580 109台州市台州浙江省0576 110丽水市丽水浙江省0578 111徐州市徐州江苏省0516 112常州市常州江苏省0519 113淮安市淮安江苏省0517 114盐城市盐城江苏省0515 115泰州市泰州江苏省0523 116宿迁市宿迁江苏省0527 117枣庄市枣庄山东省0632 118东营市东营山东省0546 119济宁市济宁山东省0537 120泰安市泰安山东省0538 121日照市日照山东省0633 122莱芜市莱芜山东省0634 123临沂市临沂山东省0539 124聊城市聊城山东省0635 125滨州市滨州山东省0543 126菏泽市菏泽山东省0530 127钦州市钦州广西壮族自治区0777 128贵港市贵港广西壮族自治区0775 129玉林市玉林广西壮族自治区0775 130百色市百色广西壮族自治区0776 131贺州市贺州广西壮族自治区0774 132河池市河池广西壮族自治区0778 133来宾市来宾广西壮族自治区0772 134崇左市崇左广西壮族自治区0771 135北海市北海广西壮族自治区0779136防城港市防城港广西壮族自治区0770 137唐山市唐山河北省0315 138邢台市邢台河北省0319 139保定市保定河北省0312 140张家口市张家口河北省0313 141承德市承德河北省0314 142沧州市沧州河北省0317 143廊坊市廊坊河北省0316 144衡水市衡水河北省0318 145阳泉市阳泉山西省0353 146长治市长治山西省0355 147晋城市晋城山西省0356 148朔州市朔州山西省0349 149晋中市晋中山西省0354 150运城市运城山西省0359 151忻州市忻州山西省0350 152临汾市临汾山西省0357 153吕梁市吕梁山西省0358 154本溪市本溪辽宁省0414 155丹东市丹东辽宁省0415 156锦州市锦州辽宁省0416 157营口市营口辽宁省0417 158阜新市阜新辽宁省0418 159辽阳市辽阳辽宁省0419 160盘锦市盘锦辽宁省0427 161铁岭市铁岭辽宁省0410 162朝阳市朝阳辽宁省0421 163葫芦岛市葫芦岛辽宁省0429 164四平市四平吉林省0434 165辽源市辽源吉林省0437 166通化市通化吉林省0435 167白山市白山吉林省0439 168松原市松原吉林省0438 169白城市白城吉林省0436170延边朝鲜族自治州延边吉林省0433171伊春市伊春黑龙江省0458 172佳木斯市佳木斯黑龙江省0454 173牡丹江市牡丹江黑龙江省0453 174黑河市黑河黑龙江省0456 175大兴安岭地区大兴安岭地黑龙江省0457 176鸡西市鸡西黑龙江省0467 177双鸭山市双鸭山黑龙江省0469 178七台河市七台河黑龙江省0464 179鹤岗市鹤岗黑龙江省0468 180绥化市绥化黑龙江省0455 181蚌埠市蚌埠安徽省0552182淮南市淮南安徽省0554 183马鞍山市马鞍山安徽省0555 184淮北市淮北安徽省0561 185铜陵市铜陵安徽省0562 186安庆市安庆安徽省0556 187黄山市黄山安徽省0559 188阜阳市阜阳安徽省0558 189宿州市宿州安徽省0557 190巢湖市巢湖安徽省0565 191六安市六安安徽省0564 192亳州市亳州安徽省0558 193池州市池州安徽省0566 194宣城市宣城安徽省0563 195莆田市莆田福建省0594 196三明市三明福建省0598 197漳州市漳州福建省0596 198南平市南平福建省0599 199龙岩市龙岩福建省0597 200宁德市宁德福建省0593 201新余市新余江西省0790 202鹰潭市鹰潭江西省0701 203吉安市吉安江西省0796 204宜春市宜春江西省0795 205抚州市抚州江西省0794 206上饶市上饶江西省0793 207平顶山市平顶山河南省0375 208安阳市安阳河南省0372 209鹤壁市鹤壁河南省0392 210新乡市新乡河南省0373 211焦作市焦作河南省0391 212濮阳市濮阳河南省0393 213许昌市许昌河南省0374 214漯河市漯河河南省0395 215三门峡市三门峡河南省0398 216南阳市南阳河南省0377 217商丘市商丘河南省0370 218信阳市信阳河南省0376 219周口市周口河南省0394 220驻马店市驻马店河南省0396 221济源市省直辖河南省0391 222黄石市黄石湖北省0714 223十堰市十堰湖北省0719 224宜昌市宜昌湖北省0717 225襄樊市襄樊湖北省0710 226鄂州市鄂州湖北省0711 227孝感市孝感湖北省0712 228黄冈市黄冈湖北省0713229咸宁市咸宁湖北省0715 230随州市随州湖北省0722 231恩施市恩施湖北省0718 232仙桃市仙桃湖北省0728 233潜江市潜江湖北省0728 234天门市天门湖北省0728 235神农架林区神农架湖北省0719 236衡阳市衡阳湖南省0734 237邵阳市邵阳湖南省0739 238岳阳市岳阳湖南省0730 239益阳市益阳湖南省0737 240郴州市郴州湖南省0735 241永州市永州湖南省0746 242怀化市怀化湖南省0745 243娄底市娄底湖南省0738244湘西土家族苗族自治州湘西州湖南省0743245泸州市泸州四川省0830 246德阳市德阳四川省0838 247广元市广元四川省0839 248遂宁市遂宁四川省0825 249内江市内江四川省0832 250乐山市乐山四川省0833 251眉山市眉山四川省0833 252广安市广安四川省0826 253达州市达州四川省0818 254雅安市雅安四川省0835 255巴中市巴中四川省0827 256资阳市资阳四川省0832257阿坝藏族羌族自治州阿坝四川省0837258甘孜藏族自治州甘孜四川省0836 259凉山彝族自治州凉山四川省0834 260安顺市安顺贵州省0853 261铜仁市铜仁地区贵州省0856262黔西南布依族苗族自治州黔西南贵州省0859263毕节市毕节地区贵州省0857264黔东南苗族侗族自治州黔东南贵州省0855265黔南布依族苗族自治州黔南贵州省0854266曲靖市曲靖云南省0874 267玉溪市玉溪云南省0877 268保山市保山云南省0875 269昭通市昭通云南省0870 270丽江市丽江云南省0888271思茅市思茅云南省0879 272临沧市临沧云南省0883 273楚雄彝族自治州楚雄云南省0878274红河哈尼族彝族自治州红河云南省0873275文山壮族苗族自治州文山云南省0876276西双版纳傣族自治州西双版纳云南省0691277大理白族自治州大理云南省0872278德宏傣族景颇族自治州德宏云南省0692279怒江傈僳族自治州怒江云南省0886280迪庆藏族自治州迪庆云南省0887 281铜川市铜川陕西省0919 282宝鸡市宝鸡陕西省0917 283咸阳市咸阳陕西省0910 284渭南市渭南陕西省0913 285延安市延安陕西省0911 286汉中市汉中陕西省0916 287榆林市榆林陕西省0912 288安康市安康陕西省0915 289商洛市商洛陕西省0914 290嘉峪关市嘉峪关甘肃省0937 291金昌市金昌甘肃省0935 292白银市白银甘肃省0943 293天水市天水甘肃省0938 294武威市武威甘肃省0935 295张掖市张掖甘肃省0936 296平凉市平凉甘肃省0933 297酒泉市酒泉甘肃省0937 298庆阳市庆阳甘肃省0934 299定西市定西甘肃省0932 300陇南市陇南甘肃省0939 301临夏回族自治州临夏甘肃省0930 302甘南藏族自治州甘南甘肃省0941 303海东地区海东地区青海省0972 304海北藏族自治州海北青海省0970 305黄南藏族自治州黄南青海省0973 306海南藏族自治州海南青海省0974 307果洛藏族自治州果洛青海省0975 308玉树藏族自治州玉树青海省0976309海西蒙古族藏族自治州海西青海省0977310乌海市乌海内蒙古自治区0473 311赤峰市赤峰内蒙古自治区0476312通辽市通辽内蒙古自治区0475 313鄂尔多斯市鄂尔多斯内蒙古自治区0477 314呼伦贝尔市呼伦贝尔内蒙古自治区0470 315巴彦淖尔市巴彦淖尔内蒙古自治区0478 316乌兰察布市乌兰察布内蒙古自治区0474 317兴安盟兴安内蒙古自治区0482 318锡林郭勒盟锡林郭勒内蒙古自治区0479 319阿拉善盟阿拉善内蒙古自治区0483 320石嘴山市石嘴山宁夏回族自治区0952 321吴忠市吴忠宁夏回族自治区0953 322固原市固原宁夏回族自治区0954 323中卫市中卫宁夏回族自治区0955 324昌都地区昌都地区西藏自治区0895 325山南地区山南地区西藏自治区0893 326日喀则地区日喀则地区西藏自治区0892 327那曲地区那曲地区西藏自治区0896 328阿里地区阿里地区西藏自治区0897 329林芝地区林芝地区西藏自治区0894 330克拉玛依市克拉玛依新疆维吾尔自治区0990 331吐鲁番地区吐鲁番地区新疆维吾尔自治区0995 332哈密地区哈密地新疆维吾尔自治区0902 333昌吉回族自治州昌吉新疆维吾尔自治区0994334博尔塔拉蒙古自治州博尔塔拉新疆维吾尔自治区0909335巴音郭楞蒙古自治州巴音郭楞新疆维吾尔自治区0996336克孜勒苏柯尔克孜自治州克孜勒苏新疆维吾尔自治区0908337喀什地区喀什地区新疆维吾尔自治区0998 338和田地区和田地新疆维吾尔自治区0903339伊犁哈萨克自治州伊犁新疆维吾尔自治区0999340塔城地区塔城地区新疆维吾尔自治区0901 341阿勒泰地区阿勒泰地区新疆维吾尔自治区0906 342石河子市石河子新疆维吾尔自治区0993 343阿拉尔市阿拉尔新疆维吾尔自治区0997 344阿克苏地区阿克苏新疆维吾尔自治区0997 345五家渠市五家渠新疆维吾尔自治区0994 346图木舒克市图木舒克新疆维吾尔自治区0998347海南省直辖行政单位省直辖海南省0898。
全国各地电话区号大全全国各地邮政编码2008年05月25日星期日 11:46省级地名市级地名区号北京市△ . 010上海市△ . 021天津市△ . 022重庆市△ . 023河北省△ 石家庄市 0311邯郸市 0310邢台市 0319保定市 0312张家口市 0313承德市 0314唐山市 0315秦皇岛市 0335沧州市 0317廊坊市 0316衡水市 0318山西省△ 太原市 0351大同市 0352阳泉市 0353长治市 0355朔州市 0349榆次市 0354孝义市 0358临汾市 0357运城市 0359内蒙古△ 呼和浩特 0471包头市 0472巴林左旗 0476二连浩特市 0479满洲里市 0470通辽市 0475准格尔旗 0477乌兰浩特市 0482辽宁省△ 沈阳市 024大连市 0411鞍山市 0412抚顺市 0413本溪市 0414锦州市 0416营口市 0417阜新市 0418辽阳市 0419铁岭市 0410吉林省△ 长春市 0431吉林市 0423四平市 0434辽源市 0437通化市 0435临江市 0439大安市 0436敦化市 0433珲春市 0440黑龙江省△ 哈尔滨市 0451 齐齐哈尔市 0452大庆市 0459伊春市 0458牡丹江市 0453佳木斯市 0454缓化市 0455漠河县 0457黑河市 0456江苏省△ 南京市 025徐州市 0516连云港市 0518淮安市 0517宿迁市 0527盐城市 0515扬州市 0514南通市 0513镇江市 0511常州市 0519无锡市 0510苏州市 0512常熟市 0520浙江省△杭州市 0571 宁波市 0574嘉兴市 0573湖州市 0572绍兴市 0575金华市 0579衢州市 0570温州市 0577台州市 0576安徽省△ 合肥市 0551 淮南市 0554蚌埠市 0552马鞍山市 0555安庆市 0556黄山市 0559滁州市 0550宿州市 0557巢湖市 0565宣州市 0563福建省△ 福州市 0591 厦门市 0592三明市 0598莆田市 0594泉州市 0595漳州市 0596南平市 0599宁德市 0593龙岩市 0597江西省△ 南昌市 0791 景德镇市 0798新余市 0790九江市 0792鹰潭市 0701上饶市 0793宜春市 0795临川市 0794吉安市 0796赣州市 0797山东省△ 济南市 0531 青岛市 0532淄博市 0533潍坊市 0536烟台市 0535威海市 0631兖州市 0537日照市 0633德州市 0534郓城县 0530河南省△ 郑州市 0371 开封市 0378洛阳市 0379新乡市 0373濮阳市 0393商丘市 0370南阳市 0377周口市 0394汝南县 0396湖北省△ 武汉市 027 黄石市 0714襄樊市 0710十堰市 0719宜昌市 0717荆门市 0724孝感市 0712黄冈市 0713恩施市 0718荆沙 0716湖南省△ 长沙市 0731 株州市 0733湘潭市 0732衡阳市 0734岳阳市 0730常德市 0736郴州市 0735益阳市 0737冷水滩 0746怀化市 0745张家界 0744广东省△ 广州市 020 深圳市 0755珠海市 0756汕头市 0754韶关市 0751惠州市 0752东莞市 0769中山市 0760佛山市 0757湛江市 0759广西省△ 南宁市 0771 柳州市 0772桂林市 0773梧州市 0774北海市 0779钦州市 0777海南省△ 海口市 0898三亚市 0899儋州市 0890四川省△ 成都市 028攀枝花市 0812德阳市 0838绵阳市 0816自贡市 0813内江市 0832乐山市 0833泸州市 0830宜宾市 0831贵州省△ 贵阳市 0851遵义市 0852安顺市 0853六盘水市 0858云南省△ 昆明市 0871昭通市 0870曲靖市 0874江川市 0877思茅市 0879丽江县 0888开远市 0873楚雄市 0878陕西省△ 西安市 029铜川市 0919宝鸡市 0917渭南市 0913商州市 0914西藏自治区△ 拉萨市 0891 日喀则市 0892仁布县 08018丁青县 08059阿里地区 0897甘肃省△ 兰州市 0931金昌市 0935天水市 0938平凉市 0933玉门市 0937敦煌市 0937青海省△ 西宁市 0971平安县 0972格尔木市 0979玛沁县 0975宁夏自治区△ 银川市 0951 石嘴山市 0952青铜峡市 0953海原县 0954新疆自治区△ 乌鲁木齐市 0991 克拉玛依市 0990吐鲁番市 0995喀什市 0998阿图什市 0908库尔勒市 0996香港△ 00852澳门△ 00853台湾省△ 00886。
全国各地电话区号大全全国各地邮政编码省级地名市级地名区号北京市△ . 010上海市△ . 021天津市△ . 022重庆市△ . 023河北省△ 石家庄市 0311邯郸市 0310邢台市 0319保定市 0312张家口市 0313承德市 0314唐山市 0315秦皇岛市 0335沧州市 0317廊坊市 0316衡水市 0318山西省△ 太原市 0351大同市 0352阳泉市 0353长治市 0355朔州市 0349榆次市 0354孝义市 0358临汾市 0357运城市 0359内蒙古△ 呼和浩特 0471包头市 0472巴林左旗 0476二连浩特市 0479满洲里市 0470通辽市 0475准格尔旗 0477乌兰浩特市 0482辽宁省△ 沈阳市 024大连市 0411鞍山市 0412抚顺市 0413本溪市 0414丹东市 0415锦州市 0416营口市 0417阜新市 0418辽阳市 0419铁岭市 0410吉林省△ 长春市 0431 吉林市 0423四平市 0434辽源市 0437通化市 0435临江市 0439大安市 0436敦化市 0433珲春市 0440黑龙江省△ 哈尔滨市 0451 齐齐哈尔市 0452大庆市 0459伊春市 0458牡丹江市 0453佳木斯市 0454缓化市 0455漠河县 0457黑河市 0456江苏省△ 南京市 025徐州市 0516连云港市 0518淮安市 0517宿迁市 0527盐城市 0515扬州市 0514南通市 0513镇江市 0511常州市 0519无锡市 0510苏州市 0512常熟市 0520浙江省△杭州市 0571 宁波市 0574嘉兴市 0573湖州市 0572绍兴市 0575金华市 0579衢州市 0570舟山市 0580温州市 0577台州市 0576安徽省△ 合肥市 0551 淮南市 0554蚌埠市 0552马鞍山市 0555安庆市 0556黄山市 0559滁州市 0550宿州市 0557巢湖市 0565宣州市 0563福建省△ 福州市 0591 厦门市 0592三明市 0598莆田市 0594泉州市 0595漳州市 0596南平市 0599宁德市 0593龙岩市 0597江西省△ 南昌市 0791 景德镇市 0798新余市 0790九江市 0792鹰潭市 0701上饶市 0793宜春市 0795临川市 0794吉安市 0796赣州市 0797山东省△ 济南市 0531 青岛市 0532淄博市 0533潍坊市 0536。