交联聚氯乙烯绝缘电缆直埋敷设时允许载流量共61页
- 格式:ppt
- 大小:7.20 MB
- 文档页数:61
电力电缆载流量标准1KV聚氯乙烯绝缘聚氯乙烯护套电力电缆载流量电缆型号:VV. VLV 约定条件:空气敷设运行时环境温度:40℃直埋敷设运行时土壤温度:25℃1KV交联聚乙烯绝缘聚氯乙烯护套电力电缆载流量电缆型号:YJV. YJLV 约定条件:空气敷设运行时环境温度:40℃直埋敷设运行时土壤温度:25℃1KV聚氯乙烯绝缘聚乙烯护套电力电缆载流量电缆型号:YJV. YJLV1KV交联聚氯乙烯绝缘聚氯乙烯护套铠装电力电缆载流量电缆型号:YJV22. YJLV22. YJV32 YJLV32 YJV42 YJLV42约定条件:空气敷设运行时环境温度:40℃直埋敷设运行时土壤温度:25℃10~35KV交联聚乙烯绝缘电力电缆载流量电缆型号:YJV. YJLV 约定条件:空气敷设运行时环境温度:40℃直埋敷设运行时土壤温度:25℃750V级以下聚氯乙烯绝缘电线(缆)载流量电缆型号:BV. BLV BVV BLVV约定条件:环境温度:40℃空气中敷设通用橡套软电缆载流量电缆型号:YQ YQW YZ YZW YC YCW约定条件:环境温度:40℃空气中敷设35及电力以下交联绝缘电力电缆电缆使用特性1.导体最高工作温度90℃;短路时电缆导体的最高温度不超过250℃,持续时间不超过5S;敷设电缆时的环境温度应不低于0℃。
2.电缆的最小弯曲半径不小于下列规定:(D为电缆的实际直径)单芯电缆:无铠装电缆20D,有铠装电缆15D;三芯电缆:无铠装电缆15D,有铠装电缆12D。
电缆的试验电压及最大放电量表(局部放电试验)电缆的工频耐压试验表(工频耐压试验)0.6/1KV聚氯乙烯绝缘电力电缆电缆使用特性1.电缆导体长期允许工作温度不超过70℃短路时间最长持续时间不超过5S,电缆导体的最高温度应不超过160℃。
2.敷设电缆时的环境温度不低于0℃3.电缆的最小弯曲半径不小于下列规定:(D为电缆的实际直径)单芯电缆:无铠装电缆20D,有铠装电缆15D;三芯电缆:无铠装电缆15D,有铠装电缆12D。
常用电线长期连续负荷允许载流量
常用电线的长期连续负荷允许载流量是指,在正常使用情况下,电线能够连续运行的电流负荷,超过这个负荷会导致电线过热、起
火等安全隐患。
根据国家相关规定,常用电线长期连续负荷允许载
流量如下:
1、耐热聚氯乙烯(70℃)绝缘的电线,允许载流量为10A/mm²;
2、交联聚乙烯(90℃)绝缘的电线,允许载流量为15A/mm²;
3、聚氯乙烯(70℃)绝缘的电线,允许载流量为6A/mm²;
4、交联聚氯乙烯(90℃)绝缘的铜芯电缆,允许载流量为
20A/mm²;
需要注意的是,这只是一般情况下的允许载流量,如果电线的
环境温度较高或者在特殊的使用条件下,其允许载流量可能会有所
不同,因此在使用电线时一定要按照相关标准及时计算其合理的负荷,以确保电线运行的安全可靠。
1。
电缆允许载流量计算书三相电动机电流计算方法:电流=功率除以(根号3乘以电压乘以电动机的功率因素乘以电动机的效率)功率因素和效率在未知的情况下定为0.8515KW计算法为15000/380*根号3*0.85*0.85=31.6安经验公式:铜导线面积等于负载功率千瓦数乘以0.65,得数小于或等于导线实际截面的就选其值,大于的选粗一级的导线,铝线在算出铜线结果的基础上粗一级。
如:1、15Kw电机求导线截面?千瓦数15×0.65=9.75。
这时就要选择10mm²铜线,铝线则选16mm²。
2、3500 W空调求导线面积?千瓦数3.5×0.65=2.275。
这时应选择2.5mm²铜线足矣,铝线则选4mm²。
导线一般是:1.5m㎡、2.5m㎡、4m㎡、6m㎡、10m㎡、16mm²、25mm²、35mm²、50mm²、70mm²、95mm²、120mm²、150mm²、185mm²一、电缆允许载流量的计算公式1)根据《电线电缆手册》第三篇 3 .4.1 关于电缆允许载流量的计算,当已知需要传输的负载设计所需的电缆时,往往给出的是负载的功率(容量)。
输电线路的功率又分视在功率、有功功率、无功功率三种量,如果线路的电流为I(安),线路电压为U(千伏),负载功率因数为COSφ,则有如下关系:视在功率 P S=√3 UI(千伏安)有功功率 P =√3 UICOSφ无功功率Pq=√3 UISINφP S=√ P2+Pq2I= Pq/√3 USINφP S—输电线路视在功率 P--输电线路有功功率Pq--输电线路无功功率 COSφ---负载功率因数U---输电线路电压 I---输电线路电流二、各种电缆的最高允许长期工作温度三、各种电缆的连续负荷允许载流量一、油浸纸绝缘电力电缆连续负荷允许载流量1-3千伏有外护层的三芯电缆载流量(空气敷设)电缆型号ZQ、ZLQ、ZL、ZLL导线最高允许温度80℃环境温度25℃6千伏有外护层的三芯电缆载流量(空气敷设)电缆型号ZQ、ZLQ、ZL、ZLL导线最高允许温度80℃环境温度25℃二、聚氯乙烯绝缘及护套电力电缆连续负荷允许载流量1千伏无铠装聚氯乙烯电缆载流量(空气敷设)电缆型号VV、VLV导线最高允许温度65℃环境温度25℃1千伏聚氯乙烯铠装电缆载流量(空气敷设)电缆型号VV、VLV导线最高允许温度65℃环境温度25℃6千伏聚氯乙烯铠装电缆载流量(空气敷设)电缆型号VV、VLV导线最高允许温度65℃环境温度25℃三、交联聚氯乙烯绝缘电缆连续负荷允许载流量10千伏交联聚氯乙烯绝缘电缆载流量(空气敷设)电缆型号VV、VLV导线最高允许温度90℃环境温度25℃。
详细介绍:电线电缆载流量、电线电缆载流量表0.6/kV交联聚乙烯绝缘电力电缆(含普通型,阻燃型,耐火型,无卤低烟阻燃型)1.产品特点及用途交联聚乙烯绝缘电力电缆具有高机械强度、耐环境应力好、优良的电气性能和耐化学腐蚀等特点,重量轻,结构简单,使用方便。
本产品适用于交流额定电压Uo/U为0.6/1kV及以下的输配电线路上。
阻燃电力电缆的主要特点是电缆不易着火或着火时延燃仅局限在一定范围内,适用于电缆敷设密集程度较高的发电站、地铁、隧道、高层建筑、大型工矿企业、油田、煤矿等场所。
耐火电力电缆的主要特点是电缆除了能在正常的工作条件下传输电力外,电缆在着火燃烧时仍能保持一定时间的正常运行,适用于核电站、地铁、隧道、高层建筑等与防火安全和消防救生有关的地方。
低烟无卤阻燃型电缆的特点是电缆不仅具备阻燃性能,而且具有低发烟性和无害性(毒性和腐蚀性较小),适用于对电缆阻燃、烟密度、毒性指数等有特别要求的场所,如地铁、隧道、核电站等。
2.产品标准本产品按GB/T 12706-2002或IEC 60502标准组织生产,还可按用户要求的其他标准生产。
阻燃型电缆除按上述标准外,其阻燃性能按GB/T18380.3-2 001标准规定分成A、B、C三种不同的阻燃类别,A级类别的阻燃性能最优,用户可根据需要选用。
耐火型电缆的耐火性能应符合GB/119216.21-2003。
无卤低烟阻燃型电缆按企业标准组织生产,阻燃性能按GB/ T18380.3-2001标准规定分为A、B、C种不同的阻燃类别,烟浓度通过GB/T17651-1998规定的试验,PH值及导电率应符合GB/ T17650.2-1998的规定。
3.产品型号普通型电缆型号YJV、YJLV交联聚乙烯绝缘聚氯乙烯护套电力电缆YJY、YJLY交联聚乙烯绝缘聚乙烯护套电力电缆YJV22、YJLV22交联聚乙烯绝缘钢带铠装聚氯乙烯护套电力电缆YJV23、YJLV23 交联聚乙烯绝缘钢带铠装聚乙烯护套电力电缆YJV32、YJLV32 交联聚乙烯绝缘细钢丝铠装聚氯乙烯护套电力电缆YJV33、YJLV33 交联聚乙烯绝缘细钢丝铠装聚乙烯护套电力电缆阻燃型电缆型号在普通型电力电缆型号前加ZA、ZB、ZC耐火型电缆型号在普通型电力电缆型号前加N无卤低烟型电缆型号WDZ-YJY、WDZ-YJLY-交联聚乙烯绝缘阻燃聚烯烃护套无卤电缆WDZ-YJY22、WDZ-YJLY22-交联聚乙烯绝缘钢带铠装阻燃聚烯烃护套无卤电缆WDZ-YJY32、WDZ-YJLY32-交联聚乙烯绝缘细钢丝铠装阻燃聚烯烃护套无卤电缆四、产品使用特性(1)额定电压Uo/U为0.6/1kV。
6kV~35kV高压电缆载流量表6kV~35kV交联聚乙烯绝缘电力电缆交联聚乙烯绝缘电力电缆是采用化学方法或物理方法,使聚乙烯分子由线型分子结构转变为三维网状结构,由热塑性的聚乙烯变成热固性的交联聚乙烯,从而提高了聚乙烯的耐老化性能、机械性能和耐环境能力,并保持了优良的电气性能。
交联聚乙烯绝缘电力电缆导体的允许长期最高温为90℃,较低绝缘电缆、聚氯乙烯绝缘电缆和聚乙烯绝缘电缆高,且具有重量轻、结构简单、使用方便、耐化学腐蚀和敷设不受落差限制等优点。
一、适用X围本产品适用于固定敷设在交流50Hz额定电压为35kV与以下输配电线路上使用二、使用特性· 工频额定电压U0/U为3.6/6kv~26/35kv。
· 电缆导体的最高允许工作温度:90℃。
· 短路时(最长时间不超过5s)电缆导体的最高温度不超过250℃。
· 电缆敷设时环境温度应不低于0℃。
· 电缆弯曲半径:三芯电缆不小于电缆外径15倍;单芯电缆不小于电缆外径20倍。
三、规格型号:额定电压6kV~35kV YJV22、YJLV22 3×1.5~800mm2XX五丰高压电力电缆载流量表8.7/10(8.7/15)KV交联聚乙烯绝缘电力电缆允许持续载流量额定电压U。
/U8.7/10(8.7/15)KV型号YJV、YJLV、YJY、YJLY、YJV22、YJLV22、YJV23、YJLV23、JYV32,YJLV32、YJV33、YJLV33YJV、YJLV、YJY、YJLY芯数三芯单芯敷设空气中土壤中空气中土壤中单芯电缆排列方式导体材质铜铝铜铝铜铝铜铝铜铝铜铝标称截面(mm 2)253512014090110125155100120140170110135165205130155150180115135160190120145 5070165210130165180220140170205260160200245305190235215265160200225275175215 95120255290200225265300210235315360240280370430290335315360240270330375255290 150185330375225295340380260300410470320365490560380435405455305345425480330370 240300435495345390445500350395555640435500665765515595530595400455555630435490 400500565...450...520...450...7458555856808901030695810680765520595725825565650环境温度(℃)40 25 40 2526/35KV电力电缆允许持续载流量26/35KV交联聚乙烯绝缘电力电缆允许持续载流量额定电压U。
10kv电缆载流量表[1]1〜3 kV油纸、聚氯乙烯绝缘电缆空气中敷设时允许载流量(A)2单芯只适用于直流。
1〜3 kV油纸、聚氯乙烯绝缘电缆直埋敷设时允许载流量(A)185 441 275 424 273 410 264 (mm2) 240 512 320 502 319 483 310300 584 356 561 347 543 347400 676 639 625500 776 729 715630 904 846 819800 1032 981 963土壤热阻系数(K?m/W ) 1.5 1.2环境温度(C) 25注:1适用于铝芯电缆;铜芯电缆的允许持续载流量值可乘以 1.292单芯只适用于直流。
1〜3 kV交联聚乙烯绝缘电缆空气中敷设时允许载流量(A)电缆芯数三芯单芯单芯电缆排列方式品字形水平形金属层接地点单侧双侧单侧双侧电缆导体材质铝铜铝铜铝铜铝铜铝铜电缆导体截面(mm2)25 91 118 100 132 100 132 114 150 114 150 35 114 150 127 164 127 164 146 182 141 178 50 146 182 155 196 155 196 173 228 168 209 70 178 228 196 255 196 251 228 292 214 264 95 214 273 241 310 241 305 278 356 260 310 120 246 314 283 360 278 351 319 410 292 351 150 278 360 328 419 319 401 365 479 337 392 185 319 410 372 479 365 461 424 546 369 438 240 378 483 442 565 424 546 502 643 424 502 300 419 552 506 643 493 611 588 738 479 552 400 611 771 579 716 707 908 546 625 500 712 885 661 803 830 1026 611 693 630 826 1008 734 894 963 1177 680 757环境温度(C)40电缆导体最高工作温度(C) 90注:1水平形排列电缆相互间中心距为电缆外径的2倍1〜3 kV交联聚乙烯绝缘电缆直埋敷设时允许载流量(A)电缆芯数三芯单芯单芯电缆排列方式品字形水平形金属层接地点单侧单侧电缆导体材质铝铜铝铜铝铜电25 91 117 104 130 113 143注:水平形排列电缆相互间中心距为电缆外径的2倍6kV三芯电力电缆直埋敷设时允许载流量(A)注:适用于铝芯电缆,铜芯电缆的允许持续载流量值可乘以 1.29。
截面mm 铜 芯铝 芯0.75 1660 1.0 1960 1.5 241860 2.5 322560442326065542601075596016 105806025 138 105 6035 170 130 6050 215 165 6070 265 205 6095 325 250 60120 375 285 60 150 430 325 60185490380 60截面mm铜芯铝芯铜芯铝芯铜芯铝芯0.12 543 0.2 7 5.5 4 0.3 975三芯电线(2)聚氯乙烯绝缘软线、聚氯乙烯绝缘聚氯乙烯护套电线在空气中使用长期连续负荷允许载流量(见表2) 适用电线型号:RV、RVV、RVB、RVS、BVV、BLVV 导电线芯最高允许工作温度:+65℃ 周围环境温度:+25℃表2 RV、RVV、RVB、RVS、BVV、BLVV电线在空气中使用长期连续负荷允许载流量长期连续负荷允许载流量A 一芯电线二芯电线一、塑料绝缘电线载流量1、空气中敷设的载流量表1 500V单芯聚氯乙烯塑料绝缘电线在空气中敷设长期连续负荷允许载流量长期连续负荷允许载流量A相应电线表面温度℃(1)500V单芯聚氯乙烯塑料绝缘电线在空气中敷设长期连续负荷允许载流量 适用电线型号:BV BLV BVR 导电线芯最高允许工作温度:+65℃ 周围环境温度:+25℃0.4 11 8.5 6 0.5 12.5 9.5 7 0.75 16 12.5 9 1.0 191511 1.5 2419142282217 2.5 3225262020164423436262622655434733322510155965515240截面mm铜芯铝芯铜芯铝芯铜芯铝芯0.75 1.0 141311 1.5 191517131612 2.5 26202418221543527312428226473541323728106549574450381682637356655025107 809570856535 133 100 115 90 105 8050 165 125 146 110 130 100 70 205 155 183 143 165 127 95 250 190 225 170 200 152 120 290 220 260 195 230 172150 330 250 300225 265 200 185 380 285 340 255 300 230 穿四根电线注:穿管用铁管尺寸见表52、500V单芯聚氯乙烯绝缘电线铁管或塑料管时在空气中敷设长期连续负荷允许载流量(见表3、表4) 适用电线型号:BV、BLV 导电线芯最高允许工作温度:+65℃ 周围环境温度:+25℃表3 500V单芯聚氯乙烯绝缘电线铁管时在空气中敷设长期连续负荷允许载流量长期连续负荷允许载流量A 穿二根电线穿三根电线截面mm铜芯铝芯铜芯铝芯铜芯铝芯0.75 1.0 121110 1.5 161315 11.5 1310 2.5 2418211619144312428222519641313627322510564249384433167255654957442595738565755735120 90 105 80937050 150 114 132 102 117 9070 185 145 167 130 148 115 95 230 175 205 158 185 140 120 270 200 240 180 215 160150 305230 275 207 250 185 185 355 265 310 235 280 212 公制mm 12.7 15.9 19.0 25.4 31.7 3850.863.5 76.2 英制inch1/25/83/411.25 1.522.53截面5、塑料绝缘电线穿管用管线内径5 塑料绝缘电线穿管用管线配合参考表管子内径 inch 注:表中系数适用于管与管紧靠敷设场合。
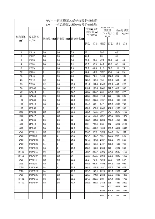
1~6KV聚氯乙烯绝缘电力电缆载流量1. 0.6/1kv,vv及vlv型聚氯乙烯绝缘及护套电缆长期连续负荷允许载流量
3+1芯或4芯长期连续负荷允许载流量/A
2. 3.6/6kv,vv及vlv型聚氯乙烯绝缘及护套电缆长期连续负荷允许载流量
3.交联聚氯乙烯绝缘电力电缆的类型及主要技术特征
电缆载流量
1.1~10kv电缆载流量
(1)电缆载流量确定条件
线芯最高工作温度:90℃;短路温度:250℃;敷设环境温度:在空气中40℃,土壤中25℃;直埋敷设深度:100cm;土壤热阻系数:1km/W;聚氯乙烯热阻系数:75 km/W。
电缆载流量确定条件如下:
导电线芯最高工作温度:90℃;空气敷设环境温度:30℃;直埋土壤温度:25℃;埋地深度:100cm;单芯电缆三相水平布置,电缆间净距:7cm;土壤热阻系数:1km/W;交联聚乙烯热阻系数:3.5km/W;聚氯乙烯热阻系数:6km/W。
适用电缆型号:YJSV,YJLSV。
3.矿用橡套软电缆的类型与主要技术特征
4.矿用橡套软电缆结构、参考外径及质量、允许载流量
UG.UGF型电压等级6000v橡皮护套电缆。