财务管理开卷课的计算题及答案
- 格式:doc
- 大小:51.50 KB
- 文档页数:18
财务管理学试题及答案一、单项选择题(每题2分,共20分)1. 企业财务管理的核心是()。
A. 资金筹集B. 资金分配C. 资金运用D. 资金管理答案:D2. 下列哪项不是企业财务分析的主要方法?()A. 比率分析B. 趋势分析C. 因素分析D. 回归分析答案:D3. 企业筹资的目的是()。
A. 扩大生产规模B. 提高企业盈利C. 偿还债务D. 增加股东权益答案:A4. 企业财务风险主要来源于()。
A. 经营风险B. 财务风险C. 市场风险D. 法律风险答案:B5. 企业财务报表分析的主要目的是()。
A. 评价企业财务状况B. 评价企业经营成果C. 评价企业盈利能力D. 评价企业偿债能力答案:A6. 企业财务杠杆系数的计算公式是()。
A. 总资产/净资产B. 净利润/总资产C. 净利润/净利润-利息D. 净利润/净利润-利息-税答案:C7. 在财务管理中,投资组合理论主要解决的问题是()。
A. 如何筹集资金B. 如何分配资金C. 如何运用资金D. 如何管理资金答案:B8. 企业财务预算编制的依据是()。
A. 历史数据B. 市场预测C. 企业战略D. 企业政策答案:C9. 企业财务分析中,流动比率的计算公式是()。
A. 流动资产/流动负债B. 流动负债/流动资产C. 总资产/总负债D. 总负债/总资产答案:A10. 企业财务决策的基本原则是()。
A. 利润最大化B. 成本最小化C. 风险最小化D. 股东财富最大化答案:D二、多项选择题(每题3分,共15分)1. 企业财务管理的目标包括()。
A. 利润最大化B. 股东财富最大化C. 企业价值最大化D. 成本最小化答案:BC2. 企业财务分析的内容包括()。
A. 资产负债分析B. 盈利能力分析C. 偿债能力分析D. 营运能力分析答案:ABCD3. 企业筹资方式主要包括()。
A. 内部筹资B. 外部筹资C. 自筹资金D. 债务筹资答案:AB4. 企业财务风险的类型包括()。
财务管理学(计算题总结及答案)1.某企业资产总额为780万,负债总额300万,年市场利润为60万,资本总额400万,资本利润率为12%,每股股价100元。
要求:分析法综合法计算每股股价。
⑴分析法:P=(780-300)÷400×100=120元⑵综合法:P=(60÷12%)÷400×100=125元2.某企业从银行介入资金300万,借款期限2年,复利年利率12%. 要求:⑴若每年记息一次,借款实际利率是多少⑵若每半年记息一次,借款实际利率是多少⑶若银行要求留存60万在银行,借款实际利率是多少⑴K=[(1+12%)2-1]÷2=12.72%⑵K=[(1+6%)4-1]÷2=13.12%⑶60÷300×100%=20% K=12%÷(1-12%)=15%3.某企业发行面值10000元,利率10%,期限10年的长期债券。
要求:计算债券发行价格,当⑴市场利率10%⑵市场利率15%⑶市场利率5% ⑴当市场利率等于票面利率时,等价发行。
所以债券发行价格为其面值00000元。
⑵10000×PVIF15%,10 +1000×PVI**15%,10=7459元⑶10000×PVIF5%,10 +1000×PVI**5%,10=13862元4.某企业拟筹资2000万,为此,采取发行债券、普通股、银行借款、投资者投资四种筹资方式。
⑴发行债券300万,筹资费率3%,利率10%,所得税33% ⑵发行普通股800万,筹资费率4%,第一年股利率12%,以后年增长率5% ⑶银行借款500万,年利率8%,所得税33% ⑷吸收投资者投资400万,第一年投资收益60万,预计年增长率4% 要求:⑴计算各种筹资方式的资金成本率。
⑵加权平均的资金成本率。
债券K=10%(1-33%)÷(1-3%)=6.9% 普通股K=12%÷(1-4%)=17.5% 银行存款K=8%(1-33%)=5.36%收益K=60/400+4%=19%加权平均K=300/2000×6.9%+800/2000×17.5%+500/2000× 5.36%+400/2000×19%=13.18%5某企业01年实现销售收入3600万,02年计划销售收入将增长20%,02年度流动资金平均占用额990万,比01年增长10%.要求:计算流动资金相对节约额。
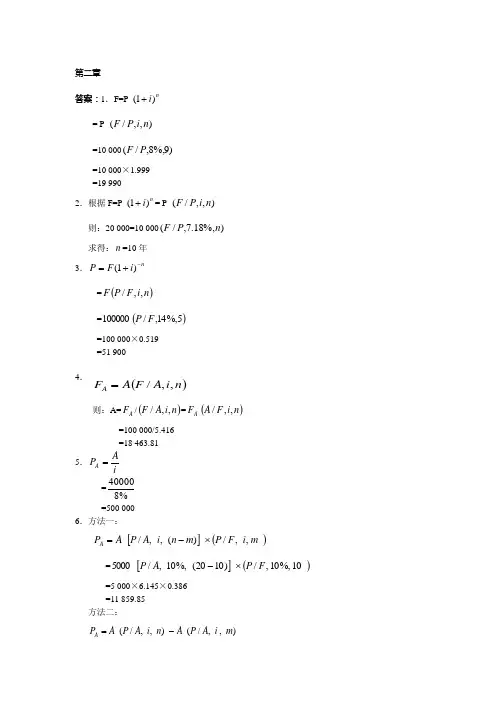
习题与答案第二章1.某人将10 000元投资于一项产业,年报酬率为8%,问9年后的本利和为多少?2.某人存入银行10 000元,年利率为7.18%,按复利计算,多少年后才能达到20 000元?3.某人拟在5年后获得10万元,假如投资报酬率为14%,问现在应投入多少资金?4.某人拟在5年后获得10万元,银行年利率为4%,按复利计算,从现在起每年年末应存入银行多少等额款项?5.某校要建立一项永久性科研基金,每年支付40 000元,若银行利率为8%,问现在应存入多少款项?6.某企业向银行借入一笔款项,银行贷款年利率为10%,每年复利一次。
银行规定前10年不用还本付息,从第11年到第20年,每年年末偿还本息5000万元,计算这笔借款的现值。
7.某君现在存入银行一笔款项,计划从第五年年末起,每年从银行提取10 000元,连续8年提完。
若银行存款年利率为3%,按复利计算,该君现在应存入银行多少钱?8.某公司年初向银行借款106 700元,借款年利率为10%,①银行要求企业每年年末还款20 000元,问企业几年才能还清借款本息?②银行要求分8年还清全部本利额,问企业每年年末应偿还多少等额的本利和?9.某企业初始投资100万元,有效期8年,每年年末收回20万元,求该项目的投资报酬率。
10.某企业基建3年,每年年初向银行借款100万元,年利率为10%,(1)银行要求建成投产3年后一次性还本付息,到时企业应还多钱?(2)如果银行要求企业投产2年后,分3年偿还,问企业平均每年应偿还多钱?11.某企业有一笔6年期的借款,预计到期应归还本利和为480万元。
为归还借款,拟在各年提取等额的偿债基金,并按年利率5%计算利息,问每年应提取多少偿债基金?12.某企业库存A商品1000台,每台1000元。
按正常情况,每年可销售200台,5年售完。
年贴现率为10%。
如果按85折优惠,1年内即可售完。
比较哪种方案有利?13.某企业购买一套设备,一次性付款需500万元。
财务管理计算题答案1时间价值计算题1、A*(F/A,6%,5)=40000,A=7095.97元2、P=500*(P/A,10%,5)*(P/F,10%,2)=1565.683、A=20000/(P/A,6%,10)=2717.39元4、答案:方案1 P=20*[(P/A,10%,10-1)+1]=20*(5.759+1)=135.18万元方案2P=25*(P/A,10%,10)*(P/F,10%,3)=25*6.145*0.751=115.38万元5、答案:甲方案的现值P=10万元乙方案的现值P=3+4*(1+10%)-1+4*(1+10%)-2=3+4*0.909+4*0.826=9.94万元6、租设备的现值为2000*(P/A,6%,10)=14720元设备买价16000元,所以租为最优方案7、(1)租赁设备在整个租赁期间现金流出量的现值=14000×(P/A,3%,10)=14000×8.5302=119422.8(元)因为租赁设备现金流出量的现值119422.8元<购买设备价款120000元,所以租赁较好。
(2)第一种方法:125000+6448=12000*[(P/A,3%,n-1)+1](P/A,3%,n-1)=9.954n-1=12 n=13甲应至少出租7年时间或者采用第二种方法:120000+6448=12000×(P/A,3%,n)×(1+3%);131448=12360×(P/A,3%,n);(P/A,3%,n)=10.635使用插值法求n:查表得,(P/A,3%,13)=10.635则,n=13,故甲公司至少应出租7年才能收回投资。
风险收益计算题1、(1)市场风险报酬率=12%-4%=8%(2)必要报酬率=4%+1.5*8%=16%(3)必要报酬率=4%+0.8*8%=10.4%必要报酬率10.4%>期望报酬率10.98%,故不应当进行投资。
财务管理学计算题(另外附答案)计算题【1】某⼈存⼊银⾏10万,若银⾏存款利率为5%,5年后的本利和?【2】某⼈存⼊⼀笔钱,想5年后得到20万,若银⾏存款利率为5%,问,现在应存⼊多少?【3】某⼈拟购房,开发商提出两种⽅案,⼀是5年后付120万元,另⼀⽅案是从现在起每年末付20万,连续付5年,若⽬前的银⾏存款利率是7%,应如何付款?【4】某公司股票每年分配股利2元,若投资者要求的最低报酬率为16%,要求计算该股票的价值。
【5】假设某公司本年每股将派发股利0.2元,以后每年的股利按4%递增,必要投资报酬率为9%,要求计算该公司股票的内在价值。
【6】按复利⽅式计算、按年付息的债券某种债券⾯值1000元,票⾯利率为10%,期限5年,甲公司准备对这种债券进⾏投资,已知市场利率为12%。
要求计算债券的价值。
【7】⼀次还本付息且不计复利的债券如上例,若市场利率为8%,债券到期⼀次还本付息,则债券价格为多少?【8】某企业拟筹资4000万元。
其中,按⾯值发⾏债券1000万元,筹资费率2%,债券年利率为5%;普通股3000万元,发⾏价为10元/股,筹资费率为4%,第⼀年预期股利为1.2元/股,以后各年增长5%。
所得税税率为33%。
计算该筹资⽅案的加权平均资⾦成本。
【9】某企业拟筹集5000万元资⾦,其中发⾏企业债券2000万元,筹资费⽤率为3%,债券利息率为8%,所得税率为40%;发⾏优先股⾯值为500万元,发⾏价格为1000万元,筹资费⽤率为5%,股利率为12%;发⾏普通股⾯值为1000万元,发⾏价格为2000万元,筹资费⽤率为5%,上年股利率为12%,以后每年增加4%。
(1)计算该企业债券、优先股、普通股的资本成本。
(2)计算该企业综合资本成本。
【10】B企业年销售额为1 000万元,变动率60%,息税前利润为250万元,全部资本500万元,负债⽐率40%,负债平均利率10%。
要求:(1)计算B企业的经营杆杆系数、财务杠杆系数和总杠杆系数。
财务管理答案1.一项合约中,你可以有两种选择:一是从现在起的6年后收到25000元;二是从现在起的12年后收到50000元。
在年利率为多少时,两种选择对你而言是没有区别的?答案:50000=25000〔1+i〕6,i=12.24%2.现借入年利率为14%的四年期贷款10000元。
此项贷款在四年内等额还清,归还时间是每年年末。
⑴在四年内分期还清此项贷款,每年应偿付多少?〔结果可以近似到整数〕⑵在每一笔等额偿付中,利息额是多少?本金额是多少?〔结果可以近似到整数〕答案:⑴1000=A〔P/A,i,n〕, A=3432〔元〕;⑵3. 你的父亲容许你,在接下来的20年内,每隔一年的年末都给你1000元。
每一笔现金流量发生在两年后的年未。
在年利率为10%时,这种不规那么现金流模式的现值是多少?答案:⑴i=(1+10%)2—1=21%;⑵ P=1000×(P/A,21%,10)=4054(元)4.某公司有一台铣床需要在第5年末更新。
估计到那时的残值为200元,清理费用为328.5元,新铣床的买价、运杂费和安装费为20000元,银行存款利率为7%。
问在这五年内,每年年末存入银行的折旧基金存款应为多少,才能恰好保证第五年末更新铣床之需?答案:第五年末需要的年金终值S=20000+328.5-200=20128.5元20128.5每年年末存入的折旧基金存款A=────────〔A/S,7%,5〕=3500元5.某公司欲购置一台设备,设备供给商有三种销售方式:⑴从现在起,每年年初支付20000元,连续支付10年。
⑵从第5年开始,每年年末支付25000,连续支付10年。
⑶一次付清设备款150000元。
假定贴现率为10%,问该公司应如何选择付款方式?答案:⑴ P=2×[〔P/A,10%,9〕+1]=〔万元〕⑵ P=×[〔P/A,10%,14〕]—〔P/A,10%,4〕=〔万元〕⑶ P=15〔万元〕选第二种方式付款。
财务管理计算题1。
某企业计划购入国债,每手面值1000元,该国债期限为5年,年利率为6。
5%(单利),则到期时每手可获得本利和多少元?答:F =P(1+i×n)=1000×(1+6.5%×5)=1000×1.3250= 3312500(元)2。
某债券还有3年到期,到期的本利和为153。
76元,该债券的年利率为8%(单利),则目前的价格为多少元?答:P = F/(1+ i n)=153。
76 / (1+8%×3)=153。
76 / 1.24=124(元)3。
企业投资某基金项目,投入金额为1280000元,该基金项目的投资年收益率为12%,投资的年限为8年,如果企业一次性在最后一年收回投资额及收益,则企业的最终可收回多少资金?答:F =P(F/P,i,n)=1280000×(F/P,12%,8)=1280000×2.4760=3169280 (元)4。
某企业需要在4年后有1500000元的现金,现在有某投资基金的年收益率为18%,如果,现在企业投资该基金应投入多少元?答:P =F×(P/F,i ,n)=1500000×(P/F,18%,4)=1500000×0。
5158=773700(元)5。
某人参加保险,每年投保金额为2400元,投保年限为25年,则在投保收益率为8%的条件下,(1)如果每年年末支付保险金25年后可得到多少现金?(2)如果每年年初支付保险金25年后可得到多少现金?答:(1)F =A×(F/A,i ,n)=2400×( F/A, 8%, 25)=2400×73。
106=175454。
40(元)(2)F =A×[(F/A,i ,n+1)-1]=2400×[(F/A,8%,25+1)-1]=2400×(79。
954—1)=189489.60(元)6.某人购买商品房,有三种付款方式.A:每年年初支付购房款80,000元,连续支付8年.B:从第三年开始,在每年的年末支付房款132,000元,连续支付5年。
<财务管理>典型计算题及答案财务管理典型计算题类型举例1.华丰公司正在购买一建筑物,该公司已取得了一项10年期的抵押贷款1000万元。
此项贷款的年复利率为8%,要求在10年内分期偿付完,偿付都在每年年末进行,问每年偿付额是多少?2.某人准备购买一套住房,他必须现在支付15万元现金,以后在10年内每年年末支付1.5万元,若以年复利率5%计,则这套住房现价多少?(5分)3、华丰公司准备筹集长期资金1500万元,筹资方案如下:发行长期债券500万元,年利率6%,筹资费用率2%;发行优先股200万元,年股息率8%,筹资费用率3%;发行普通股800万元,每股面额1元,发行价为每股4元,共200万股;今年期望的股利为每股0.20元,预计以后每年股息率将增加4%,筹资费用率为3.5%,该企业所得税率为33%。
该企业的加权平均资金成本为多少?(7分)4、华丰公司现有资金200万元,其中债券100万元(年利率10%),普通股100万元(10万股,每股面值1元,发行价10元,今年股利1元/股,以后各年预计增长5%)。
现为扩大规模,需增资400万元,其中,按面值发行债券140万元,年利率10%,发行股票260万元(26万股,每股面值1元,发行价10元,股利政策不变)。
所得税率30%。
计算企业增资后:(1)各种资金占总资金的比重。
(2)各种资金的成本。
(3)加权资金成本。
5、华丰公司资金总额为5000万元,其中负债总额为2000万元,负债利息率为10%,该企业发行普通股60万股,息税前利润750万元,所得税税率33%。
计算(1)该企业的财务杠杆系数和每股收益。
(2)如果息税前利润增长15%,则每股收益增加多少?6、华丰公司只生产一种产品,每生产一件该产品需A零件12个,假定公司每年生产品15万件产品,A零件的每次采购费用为1000元,每个零件的年储存保管费用为1元.(1)确定A零件最佳采购批量;(2)该公司的存货总成本是多少?(3)每年订货多少次最经济合理?7、华丰公司准备买一设备,该设备买价32万元,预计可用5年,其各年年末产生的现金流量预测如下:现金流量单位:万元年份 1 2 3 4 5现金流量 8 12 12 12 12若贴现率为10%,试计算该项投资的净现值和现值指数,并说明是否应投资该设备。
{财务管理财务知识}财务管理开卷课的计算题及答案
1.计算公司投资收入的期末现金余额:
2.公司处理经营困难的最终方案应是?
答案:进行重组、破产重整或者根据法律规定对公司进行清算。
3.公司发生的可视为借款的交易应记账至?
答案:应记账至借方应收账款核算项目。
4.公司的资产负债表(B/(L)S)的列放顺序是?
答案:资产应按其可供使用的期限分为流动资产和非流动资产,负债按其还款期限分为流动负债和非流动负债。
5.公司派发的投资收益的税前应税损益账户收支对应?
答案:应收投资收益账户借方,利润分配及盈余公积账户贷方。
6.按现行税法规定,经营活动应收账款的预计坏账损失怎么计算?
答案:按照税法规定,应收账款的预计坏账损失,应当以账面余额乘以账面点数计算,以时日币结算,根据业务情况,预先借款,贷款或其他应收款项的预计坏帐率也可以根据相关权威部门统计的调查数据,来定性地计量,再将预计坏账损失计入利润表。
第二章答案:1.F=P n i )1(+ = P ),,/(n i P F=10 000)9%,8,/(P F =10 000×1.999 =19 9902.根据F=P n i )1(+= P ),,/(n i P F 则:20 000=10 000)%,18.7,/(n P F 求得:n =10年 3.n i F P -+=)1(=()n i F P F ,,/=()5%,14,/100000F P =100 000×0.519=51 900 4.()n i A F A F A ,,/=则:A=A F /()n i A F ,,/=A F ()n i F A ,,/ =100 000/5.416 =18 463.815.i A P A = =%840000=500 000 6.方法一:[])(m i F P m n i A P A P A ,,/)(,,/⨯-==[])(10%,10,/)1020(%,10,/5000F P A P ⨯- =5 000×6.145×0.386 =11 859.85 方法二:),,/(),,/(m i A P A n i A P A P A -=1=)10,%10,/(5000)20%,10,/(5000A P A P - =5 000×8.514—5 000×6.145 =11 845 7. 方法一:[])(m i F P m n i A P A P A ,,/)(,,/⨯-==[])(4%,3,/)412(%,3,/10000F P A P ⨯-=10 000×7.020×0.888 =62 337.6 方法二:),,/(),,/(m i A P A n i A P A P A -==)4,%3,/(10000)12%,3,/(10000A P A P - =10 000×9.954—10 000×3.717 =62 3708.(1)()n i A P A P A ,,/=则: 106 700=20 000×()n A P %,10,/()n A P %,10,/=5.335查表求得:n =8 年(2)()n i A P A P A ,,/= A =A P /()n i A P ,,/ =106 700/()8%,10,/A P =106 700/5.335 =20 000 9.()n i A P A P A ,,/=1 000 000=200 000(P/A,i,8) 则 (P/A,i,8)=5查表得(P/A,11%,8)=5.146 (P/A,12%,8)=4.968 利用插值法: 解得i=11.82% 10.(1)投产前求的是预付年金终值,投产后求的是复利终值,有两种求法:()[]()()()()(万元),,,,,,或万元6.4846%101005%101004%10100)(6.4843%,10,113%,10,100=++==⨯-+=AFAF A FF PFAF F(2) 根据题意:11.12.13.14.第三章 答案:1.销售额÷年末存货=15 (1)()[]()())(1613%,10,%101113%,10,100万元==+-+A AP A A F()()())(57.70%51%54801111%548066万元则:根据。
<财务管理>典型计算题及答案财务管理典型计算题类型举例1.华丰公司正在购买一建筑物,该公司已取得了一项10年期的抵押贷款1000万元。
此项贷款的年复利率为8%,要求在10年内分期偿付完,偿付都在每年年末进行,问每年偿付额是多少?2.某人准备购买一套住房,他必须现在支付15万元现金,以后在10年内每年年末支付1.5万元,若以年复利率5%计,则这套住房现价多少?(5分)3、华丰公司准备筹集长期资金1500万元,筹资方案如下:发行长期债券500万元,年利率6%,筹资费用率2%;发行优先股200万元,年股息率8%,筹资费用率3%;发行普通股800万元,每股面额1元,发行价为每股4元,共200万股;今年期望的股利为每股0.20元,预计以后每年股息率将增加4%,筹资费用率为3.5%,该企业所得税率为33%。
该企业的加权平均资金成本为多少?(7分)4、华丰公司现有资金200万元,其中债券100万元(年利率10%),普通股100万元(10万股,每股面值1元,发行价10元,今年股利1元/股,以后各年预计增长5%)。
现为扩大规模,需增资400万元,其中,按面值发行债券140万元,年利率10%,发行股票260万元(26万股,每股面值1元,发行价10元,股利政策不变)。
所得税率30%。
计算企业增资后:(1)各种资金占总资金的比重。
(2)各种资金的成本。
(3)加权资金成本。
5、华丰公司资金总额为5000万元,其中负债总额为2000万元,负债利息率为10%,该企业发行普通股60万股,息税前利润750万元,所得税税率33%。
计算(1)该企业的财务杠杆系数和每股收益。
(2)如果息税前利润增长15%,则每股收益增加多少?6、华丰公司只生产一种产品,每生产一件该产品需A零件12个,假定公司每年生产品15万件产品,A零件的每次采购费用为1000元,每个零件的年储存保管费用为1元.(1)确定A零件最佳采购批量;(2)该公司的存货总成本是多少?(3)每年订货多少次最经济合理?7、华丰公司准备买一设备,该设备买价32万元,预计可用5年,其各年年末产生的现金流量预测如下:现金流量单位:万元年份 1 2 3 4 5现金流量 8 12 12 12 12若贴现率为10%,试计算该项投资的净现值和现值指数,并说明是否应投资该设备。
(完整版)财务管理计算题试题和答案《财务管理U 》作业⼀1. 假设圣才⼯⼚有⼀笔123 600元的资⾦,准备存⼊银⾏,并希望 7年后能利⽤这笔款项的本利和购买⼀套⽣产设备。
⽬前银⾏存款利率为复利 10%该设备的预计价格为240 000元。
要求:⽤具体数据说明7年后圣才⼯⼚可否⽤这笔款项的本利和成功购买上述⽣产设备。
解:由复利终值的计算公式可知:FV 7 PV FVIF j ,n123600 1.9487 240859.32(元)从上述计算可知,7年后这笔存款的本利和为240859.32元,⽐设备价值⾼出859.32元。
故圣才⼯⼚7年后可以⽤这笔存款的本利和购买设备。
2. 王先⽣希望在15年后拥有10万元的存款。
为了实现这⼀⽬标,他准备每年年底在银⾏存⼊⼀笔等额的资⾦,存款的年利率为 7%且按复利计息,第⼀笔存款在今年年底存⼊(设现在为年初)。
问:(1)为实现既定⽬标,王先⽣每年需要存⼊多少钱?(2)如果王先⽣希望通过在今年年底⼀次性存⼊⼀笔钱,⽽不是每年存⼊等额的资⾦,在15年后实现10万元存款的⽬标,他需要存⼊多少钱(假定年利率仍为7% ?(3)如果在第五年年底王先⽣可额外获得 2万元现⾦,并将其存⼊银⾏(年利率仍为7%以帮助实现最初的存款⽬标。
那么王先⽣每年应等额地存⼊多少钱?解:(1)已知年⾦终值,要求年⾦:(2)这⾥需注意期限问题(年末存⼊,实际只有 14年):PV FV n PVIF j,n 100000 0.3878 38780 (元)100000 20000 (1 7%)10FVIFA 7%,15 100000-20000 1.967225.129 作业1. 华新股份有限公司拟以500万元投资筹建电⼦管⼚,根据市场预测,预计FVA nFVIFA i,n 100000 FVIFA 7%,5 3979.47 (元)(3) A 2417.37 (元)每年可获得的收益及其概率如下表所⽰。
华新公司预计收益及概率表若电⼦⾏业的风险价值系数为6%计划年度利率(时间价值)为8%要求:(1)计算该项投资的收益期望值;(2)计算该项投资的标准离差和标准离差率;(3)导⼊风险价值系数,计算该⽅案要求的风险价值;(4)计算该⽅案预测的风险价值,并评价该投资⽅案是否可⾏。
《财务管理》试题及答案四、计算题(每题10分,共10×5=50分)1、ABC公司年度销售净额为28000万元,息税前利润为8000万元,固定成本为3200万元,变动成本为60%;资本总额为20000万元,其中债权资本比例占40%,平均年利率为8%。
试分别计算该公司的营业杠杆系数、财务杠杆系数和联合杠杆系数。
【正确答案】贡献毛益=28000×(1-60%)=11200万元EBIT=11200-3200=8000万元营业杠杆系数=11200/8000=1.40六郎公司每年利息=20000×40%×8%=640万元财务杠杆系数=8000/(8000-640)=1.09联合杠杆系数=1.4×1.09=1.532、假设ABC公司准备进行一项投资,其各年的现金流量和分析人员确定的约当系数如下表所示,公司的资金成本为10%,分析该项目是否可行。
年份01234净现金流(万元)—200006000700080009000约当系数 1.00.950.90.80.8【正确答案】:该项目的净现值为:NPV=1.0×(-20000)+0.95×6000×PVIF10%,1+0.9×7000×PVIF10%,2 +0.8×8000×PVIF10%,3+0.8×9000×PVIF10%,4=109.1(千元)由于该项目按风险程度对现金流量进行调整后,计算出来的净现值大于0,所以该项目值得投资。
3、1、某公司持有由甲、乙、丙三种股票构成的证券组合,它们的贝他系数分别为2.0,1.0和0.5,它们在证券组合中所占的比重分别为60%,30%和10%,股票的市场报酬率为14%,无风险报酬率为10%。
试确定这种证券组合的风险报酬率。
【正确答案】1)确定证券组合的贝他系数β+⨯60=⨯⨯+=%%5.055.1100.10.230%(2)计算该证券组合的风险报酬率()()%2.6%10%1455.1=-⨯=-⨯=F m R K K K β4、甲公司以1020元的价格购入债券A ,债券A 是2001年9月1日发行的,5年期债券,其面值为1000元,票面利率为8%。
财务治理开卷课的计算题及答案财务治理作业及答案〔一〕某公司预备购置一套办公用房,有两个付款方案可供选择:1.甲方案:从现在起每年年初付款200万元,连续支付10年,共计2000万元。
2.乙方案:从第五年起,每年年初付款250万元,连续支付10年,共计2500万元。
假定该公司的资金本钞票为10%,通过计算讲明应选择哪个方案。
〔二〕某企业存进银行100万元,存款年利率为16%,时刻为5年,每季计算一次利息。
要求:1.计算该项存款的实际年利率;2.该项存款5年后的本利和。
〔三〕某公司购置一处房产,现在一次性付款为100万元。
假设分三年付款,1 —3年各年初的付款额分不为30万元、40万元、 40万元。
假定利率为10%,哪种付款方式较优?〔四〕某公司持有A、 B、 C三种股票构成的证券组合,它们的β系数分不为2. 1、1.0、0.5,它们在证券组合中所占的比例分不为50%、40%、10%,股票的市场收益率为14%,无风险收益率为10%。
要求:〔1〕计算投资组合的风险收益率,假设投资总额为30万元,风险收益额是多少?〔2〕计算投资组合的必要收益率。
〔五〕练习资金本钞票的计算某公司拟筹资5000万元,其中按面值发行债券2000万元,票面利率为10%,筹资费率2%;发行优先股800万元,股息率为12%,筹资费率3%;发行一般股22 00万元,筹资费率5%,估量第一年股利率为12%,以后每年按4%递增,所得税税率为33%。
要求:〔1〕计算债券资金本钞票;〔2〕计算优先股资金本钞票;〔3〕计算一般股资金本钞票;〔4〕计算综合资金本钞票。
△〔六〕练习财务杠杆的计算某企业的长期资金总额为5000万元,借进资金占总资本的50%,债券资金的利率为15%,企业的息税前利润为1000万元。
要求:计算财务杠杆系数。
〔七〕某企业预备购进一设备以扩充生产能力。
现有甲、乙两个方案可供选择。
甲方案需投资20000元,使用寿命5年,采纳直线法计提折法,5年后无残值,5年中每年销售收进为15000元,每年付现本钞票为5000元。
财务管理习题(含参考答案)1、计算先付年金现值时可以应用下列(( )公式。
A、V0=A×PVIFi,nB、V0=A×PVIFi,n×1+iC、V0=A×PVIFAi,n×1+iD、V0=A×PVIFAi,n答案:C2、为了保持财务结构的稳健和提高资产营运效率在结构上通常应保持合理对应关系的是( )。
A、资金来源与资金运用B、长期资金和短期资金C、银行借款和应收账款D、对外投资和对内投资答案:A3、某企业某年的财务杠杆系数为2.5息税前利润的计划增长率是10%假定其他因素不变则该年普通股每股收益的增长率为( )。
A、20%B、4%C、25%D、5%答案:C4、当公司采用宽松的短期资产持有政策时采用()短期筹资政策可以在一定程度上平衡公司持有过多短期资产带来的低风险、低报酬。
A、稳健型B、配合型C、激进型D、任意一种答案:C5、在不考虑筹款限制的前提下,下列筹资方式中个别资本成本最高的通常是A、留存收益筹资B、长期借款筹资C、发行公司债券D、发行普通股答案:D6、企业在选择筹资渠道时需要优先考虑的因素是()。
A、偿还方式B、融资期限C、资金成本D、企业类型答案:C7、在杜邦财务分析体系中综合性最强的财务比率是()。
A、总资产周转率B、总资产净利率C、股东权益报酬率D、营业净利率答案:C8、如果向一只β=1.0 的投资组合中加人一只β>1.0 的股票则下列说法中正确的是( )。
A、投资组合的β值和风险都上升B、投资组合的β值上升风险下降C、投资组合的β值下降风险上升D、投资组合的β值和风险都下降答案:A9、在下列财务分析主体中必须高度关注企业资本的保值和增值状况的是()。
A、企业所有者B、短期投资者C、企业债权人D、税务机关答案:A10、相对于股票筹资而言银行借款筹资的缺点是()。
A、筹资速度慢B、限制条款多C、筹资成本高D、财务风险小答案:B11、下列各项中不影响经营杠杆系数的是( )。
财务管理习题及答案第一题某公司在第一季度的财务报表中显示,其总资产为1000万元,总负债为500万元。
请计算该公司的所有者权益及负债比率。
解答所有者权益 = 总资产 - 总负债 = 1000万元 - 500万元 = 500万元负债比率 = 总负债 / 总资产 * 100% = 500万元 / 1000万元 * 100% = 50%第二题某公司在某年度的财务报表中显示,其净利润为500万元,权益乘数为1.5。
请计算该公司的总资产周转率。
解答权益乘数 = 总资产 / 所有者权益总资产周转率 = 净利润 / 所有者权益根据题目可得:总资产 = 权益乘数 * 所有者权益 = 1.5 * 所有者权益总资产周转率 = 500万元 / (1.5 * 所有者权益)第三题某公司在某年度的财务报表中显示,其销售收入为200万元,销售成本为100万元,利润率为25%。
请计算该公司的销售毛利率。
解答利润率 = 销售利润 / 销售收入 * 100%销售毛利率 = 销售毛利 / 销售收入 * 100%利润率 = 销售收入 - 销售成本 / 销售收入 * 100%根据题目可得:销售毛利率 = (销售收入 - 销售成本) / 销售收入 * 100% = (200万元 - 100万元) / 200万元 * 100% = 50%第四题某公司在某年度的财务报表中显示,其应收账款为50万元,坏账准备为5万元。
请计算该公司的资产负债比率。
解答资产负债比率 = 借款总额 / 总资产 * 100%借款总额 = 总资产 - 所有者权益 = 总资产 - (应收账款 - 坏账准备) = 总资产 - 应收账款 + 坏账准备 = 总资产 - 50万元 + 5万元根据题目可得:资产负债比率 = (总资产 - 50万元 + 5万元) / 总资产 * 100%第五题某公司在某年度的财务报表中显示,其营业收入为1000万元,营业成本为600万元,应付账款为50万元。
财务管理开卷课的计算题及答案财务管理开卷课的计算题及答案财务管理作业及答案(一)某公司准备购买一套办公用房,有两个付款方案可供选择:1.甲方案:从现在起每年年初付款200万元,连续支付10年,共计2000万元。
2.乙方案:从第五年起,每年年初付款250万元,连续支付10年,共计2500万元。
假定该公司的资金成本为10%,通过计算说明应选择哪个方案。
(二)某企业存入银行100万元,存款年利率为16%,时间为5年,每季计算一次利息。
要求:1.计算该项存款的实际年利率;2.该项存款5年后的本利和。
(三)某公司购买一处房产,现在一次性付款为100万元。
若分三年付款,1—3年各年初的付款额分别为30万元、40万元、40万元。
假定利率为10%,哪种付款方式较优?(四)某公司持有A、B、C三种股票构成的证券组合,它们的β系数分别为2.1、1.0、0.5,它们在证券组合中所占的比例分别为50%、40%、10%,股票的市场收益率为14%,无风险收益率为10%。
要求:(1)计算投资组合的风险收益率,若投资总额为30万元,风险收益额是多少?(2)计算投资组合的必要收益率。
(五)练习资金成本的计算某公司拟筹资5000万元,其中按面值发行债券2000万元,票面利率为10%,筹资费率2%;发行优先股800万元,股息率为12%,筹资费率3%;发行普通股2200万元,筹资费率5%,预计第一年股利率为12%,以后每年按4%递增,所得税税率为33%。
要求:(1)计算债券资金成本;(2)计算优先股资金成本;(3)计算普通股资金成本;(4)计算综合资金成本。
△(六)练习财务杠杆的计算某企业的长期资金总额为5000万元,借入资金占总资本的50%,债券资金的利率为15%,企业的息税前利润为1000万元。
要求:计算财务杠杆系数。
(七)某企业准备购入一设备以扩充生产能力。
现有甲、乙两个方案可供选择。
甲方案需投资20000元,使用寿命5年,采用直线法计提折法,5年后无残值,5年中每年销售收入为15000元,每年付现成本为5000元。
乙方案需投资30000元,采用直线法计提折旧,使用寿命也是5年,5年后有残值收入4000元,5年中每年销售收入为17000元,付现成本第一年为5000元,以后逐年增加修理费用200元,另需垫支营运资金3000元。
假设所得税税率为40%,资金成本为12%。
要求:(1)计算两个方案的现金流量;(2)计算两个方案的净现值;(3)计算两个方案的现值指数;(4)计算两个方案的内含报酬率;(5)计算两个方案的投资回收期;(6)试判断应采用哪个方案。
(八)练习股票的估价方法先锋公司准备购入甲、乙、丙三个公司的股票,经过调查分析和专家预测得知,甲公司的股票6个月后每股发放股利4元,此后的价格将达到每股36元;乙公司的股票现在每股的价格为27元,乙公司的股票为优先股,每年的股利为每股2.7元;丙企业的股票上年的股利每股3元,预计以后每年以4%的增长率增长。
假设先锋公司要求的必要收益率为12%,乙公司股票和丙公司股票准备长期持有。
要求:试对上述三公司的股票进行估价。
(九)某企业现金收支状况比较稳定,预计全年需要现金400000元,一次转换成本为400元,有价证券收益率为20%。
运用现金持有量确定的存货模式计算:(1)最佳现金持有量;(2)确定转换成本、机会成本;(3)最佳现金管理相关总成本;(4)有价证券交易间隔期。
(十)练习成本中心考核指标的计算A成本中心生产某产品,预算产量为600件,预算单位责任成本150元;实际产量800件,实际单位责任成本130元。
要求:计算A中心的成本降低额和降低率。
(十一)练习投资中心考核指标的计算某集团公司下设甲、乙两个投资中心,甲中心的投资额为300万元,投资利润率为15%;乙中心的投资利润率为18%;剩余收益为12万元,集团公司要求的平均投资报酬率为12%。
集团公司决定追加投资100万元,若投向甲中心,每年增加利润25万元;若投向乙中心,每年增加利润20万元。
要求:(1)计算追加投资前甲中心的剩余收益;(2)计算追加投资前乙中心的投资额;(3)计算追加投资前集团公司的投资利润率;(4)若甲中心接受追加投资,计算其剩余收益;(5)若乙中心接受追加投资,计算其投资利润率。
(十二)练习财务指标的分析某企业年销售额(全部赊销)为500000元,毛利率为20%,流动资产为100000元,流动负债为80000元,存货为40000元,现金5000元(1年按360天计算)。
要求:(1)计算该企业的流动比率、速动比率和现金比率;(2)如该企业要求存货年周转次数达16次,问企业年平均存货持有量应为多少?(3)如果该企业要求应收账款平均持有量为40000元水平,问应收账款回收期应为多少天?答案一)甲方案:付款总现值=200×[(P/A,10%,10-1)+1]=200×(5.759+1)=1351.80(万元)乙方案:付款总现值=250×(P/A,10%,10)×(P/F,10%,3)=250×6.145×0.751=1153.72(万元)通过计算可知,该公司应选择乙方案。
(二)1.年实际利率=(1+4%)4-1=17%2.5年后本利和=100×(F/P,4%,20)=219.11(万元)(三)三年分期付款的现值=30+40×(P/F,10%,1)+40×(P/F,10%,2)=30+40×0.909+40×0.826=99.40(万元)通过计算三年分期付款的现值99.40万元,小于现在一次性付款100万元,因此分期付款较优。
(四)(1)投资组合的β系数=50%×2.1+40%×1.0+10%×0.5=1.5投资组合的风险收益率=1.5×(14%-10%)=6%按资组合风险收益额=30×6%=1.8(万元)(2)投资组合的必要收益率=10%+1.5(14%-10%)=16%(五)(1)债券资金成本=10%×(1-33%)/(1-2%)=6.84%(2)优先股资金成本=12%/(1-3%)=12.37%(3)普通股资金成本=12%/(1-5%)+4%=16.63%(4)综合资金成本=2000/5000×6.84%+800/5000×12.37%+2200/5000×16.63%=12.03%(六)财务杠杆系数=1000/[1000-(5000×50%×15%)]=1.6(七)(1)计算两个方案的现金流量①计算年折旧额甲方案年折旧额=20000/5=4000(元)乙方案年折旧额=(30000-4000)/5=5200(元)②列表计算两个方案的营业现金流量和现金净流量,如表1、表2所示。
年份项目1 2 3 4 5甲方案:销售收入付现成本折旧15000500040001500050004000150005000400015000500040001500050004000税前利润所得税(40%)税后利润 600024003600600024003600600024003600600024003600600024003600营业现金流量 7600 7600760076007600乙方案:表2 投资项目现金净流量计算表单位:元\\年份项目\\\0 l 2345销售收入付现成本折旧17000500052001700052005200170005400520017000560052001700058005200税前利润所得税(40%)税后净利 680027204080660026403960640025603840620024803720600024003600营业现金流量 9280 9160904089208800甲方案:固定资产投资营业现金流量一20007600 7600760076007600现金净流量一20007600 7600760076007600乙方案:固定资产投资营运资金垫支营业现金流量固定资产残值营运资金收回一3000—30009280 91609040 8920 880040003000现金净流一量3300092809160904089201580(2)计算两个方案的净现值,以该企业的资金成本12%为贴现率NPV甲=7600×(P/A,12%,5)-20000=7600×3.605-20000=7398(元)NPV乙=9280×0.893+9160×0.797+9040×0.712+8920×0.636+15800×0.567-33000=3655.76(元)(3)计算现值指数:PVI甲=27398/20000=1.3699=1.37PVI乙=36655.76/33000=1.1108=1.11(4)计算两个方案的内含报酬率①甲方案每年现金流量相等,设现金流入的现值与原始投资相等:20000=7600×(P/A,i,5)(P/A,i,5)=2.632查年金现值系数表,与2.632最接近的年金现值系数2.689和2.436分别指向25%和30%,则:内含报酬率=25%+(2.689-2.632)/(2.689-2.436)×(30%-25%)=26.13%②乙方案每年现金流量不相等,使用“逐步测试法”:测试i=16%NPV=9280×0.862+9160×0.743+9040×0.641+8920×0.552+15800×0.476-33000=44.52(元)测试i=17%NPV=9280×0.855+9160×0.731+9040×0.624+8920×0.534+15800×0.456-33000=760.6(元)内含报酬率=16%+(44.52-0)/[44.52-(-760.6)]×(17%-16%)=16.06%(5)计算两个方案的投资回收期甲方案投资回收期=20000/7600=2.63(年)乙方案投资回收期=3+(33000-9280-9160-9040)/8920=3.62(年)(6)由以上计算得知,甲方案净现值、现值指数、内含报酬率均大于乙方案,投资回收期也短于乙方案,应淘汰乙方案,选用甲方案。
(八)甲公司股票的估计价值:V=(36+4)÷(1+12%/2)=37.736(元)乙公司股票的估计价值:V=2.7÷12%=22.5(元)丙公司股票的估计价值:V=3×(1+4%)÷(12%-4%)=39(元)(九)(1)最佳现金持有量=2×400000×400/20%=40000(元)(2)转换成本=400000÷40000×400=4000(元)机会成本=40000÷2×20%=4000(元)(3)最佳现金管理相关总成本=8000(元)(4)有价证券交易次数=400000÷40000=10(次)有价证券交易间隔期=360÷10=36(天)(十)A中心成本降低额=800×(150-130)=16000(元)A中心成本降低率=16000÷(800×150)=13.3%(十一)(1)追加投资前甲中心的剩余收益为:300×15%-300×12%=9(万元)(2)追加投资前乙投资中心的投资额为:12÷(18%-12%)=200(万元)(3)追加投资前集团公司的投资利润率为:(300×15%+200×18%)÷(300+200)=16.2%(4)若甲投资中心接受追加投资,其剩余收益为:(300×15%+25)-(300+100)×12%=22(万元)(5)若乙投资中心接受追加投资,其投资利润率为:(200×18%+20)÷(200+100)=18.66%(十二)(1)流动比率=100000÷80000=1.25速动比率=100000-40000÷80000=0.75现金比率=5000÷80000=0.0625(2)毛利额=销售收入×毛利率=500000×20%=100000(元)销货成本=500000-100000=400000(元)平均存货:400000/16=25000(元)(3)应收账款回收期=360×40000/500000=28.8(天)。