第4章习题答案-(1)
- 格式:doc
- 大小:211.50 KB
- 文档页数:5
第四章 练习题参考答案【4-1】 已知某轴心受拉杆的截面尺寸300400b h mm mm ⨯=⨯,配有820φ钢筋,混凝土和钢筋的材料指标为:22.0/t f N mm =,42.110c E =⨯2/N mm ,2270/y f N mm =,522.110/s E N mm =⨯。
试问此构件开裂时和破坏时的轴向拉力分别为多少?【解】 配820φ钢筋,查混凝土结构设计规范(GB50010-2010)附录A ,表 A.0.1得22513s A mm =。
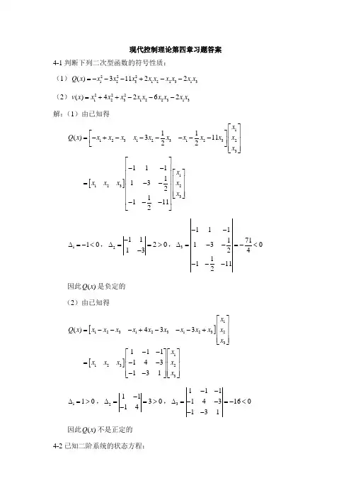
2513 2.09% 3.0%300400s A bh ρ===<⨯,2300400120000A bh mm ==⨯=, 542.110102.110s E c E E α⨯===⨯ (1)由式(4-5),开裂荷载为0(1)(1)tcr c E t t E N E A f A αρεαρ=+=+ 2.0120000(1100.0209)=⨯⨯+⨯290160N = 209.16kN =(2)由式(4-7),构件的抗拉极限承载力为2702513678510678.51tu y s N f A N kN ==⨯==【4-2】已知某钢筋混凝土轴心受拉构件,截面尺寸为200300b h mm mm ⨯=⨯,构件的长度2000l mm =,混凝土抗拉强度22.95/t f N mm =,弹性模量422.5510/c E N mm =⨯,纵向钢筋的截面积2615s A mm =,屈服强度2270/y f N mm =,弹性模量522.110/s E N mm =⨯,求(1)若构件伸长0.2mm ,外荷载是多少?混凝土和钢筋各承担多少外力? (2)若构件伸长0.5mm ,外荷载是多少?混凝土和钢筋各承担多少外力? (3)构件开裂荷载是多少?即将开裂时构件的变形是多少? (4)构件的极限承载力是多少?【解】615 1.025% 3.0%200300s A bh ρ===<⨯,则220030060000A bh mm ==⨯= 542.1108.2352.5510s E c E E α⨯===⨯,4042.95 1.157102.5510t t c f E ε-===⨯⨯ (1)○1由0.2l mm ∆=可知,构件的应变为4400.21.010 1.157102000t l l εε--∆===⨯<=⨯ 构件未开裂,处于弹性工作状态,c s εεε==,构件所受的拉力为44(1) 2.551060000(18.235 1.025%) 1.010t c E N E A αρε-=+=⨯⨯⨯+⨯⨯⨯3165.9110N =⨯165.91kN =○2此时混凝土承担的外力 4432.5510 1.010********.010153.0ts c N E A N kN ε-==⨯⨯⨯⨯=⨯=○3钢筋承担的外力 165.91153.012.91ts t tc N N N kN =-=-=(2)○1由0.5l mm ∆=可知,构件的应变为4400.5 2.510 1.157102000t l l εε--∆===⨯>=⨯,且35270 1.286102.110y y s f E εε-<===⨯⨯ 构件开裂,钢筋未屈服,s εε=,构件所受的拉力为542.110 2.51061532287.532.29t s s N E A N kN ε-==⨯⨯⨯⨯==○2此时,混凝土开裂,在开裂处混凝土应力 0c σ= ○3钢筋的应力 5422.110 2.51052.5/s s E N mm σε-==⨯⨯⨯= (3)○1开裂荷载为0(1)tcr c E t N E A αρε=+442.551060000(18.235 1.025%) 1.15710-=⨯⨯⨯+⨯⨯⨯191.96kN =○2即将开裂时构件的变形 40 1.1571020000.23t l l mm ε-∆=⋅=⨯⨯=(4)构件的极限承载力为270615166050166.05tu y s N f A N kN ==⨯==【4-3】某钢筋混凝土轴心受拉构件的截面尺寸为300300b h mm mm ⨯=⨯,配有822的纵向受力钢筋,已知22.3/t f N mm =,422.410/c E N mm =⨯,2345/y f N mm =,521.9610/s E N mm =⨯。
斜截面受剪承载力计算例题4-1解:1)剪力图见书,支座剪力为V =01170 3.6522ql =××=124.6kN2)复合截面尺寸h w =h 0=h -c -25/2=500-30-12.5=457.5 457.52.34200w h b ==<00.250.25 1.09.6200457.5219.6124.6c c f bh kN V kN β=××××=>=满足。
3)验算是否按计算配置腹筋00.70.7 1.1200457.570.5124.6t f bh kN V kN =×××=<=应按计算配置腹筋4)计算腹筋数量①只配箍筋由 000.7 1.25svt yvA V f bh f h s≤+ 得: 3312000.7124.61070.5100.4511.25 1.25210457.5sv t yv nA V f bh s f h −×−×≥==××mm 2/mm 选双肢φ8箍筋 1250.3223.10.4510.451sv nA s mm ×≤== 取 s=200mm验算最小配箍率1,min 250.3 1.10.00250.240.240.0013200200210sv t sv sv yv nA f bs f ρρ×===>==×=× 满足仅配箍筋时的用量为双肢φ8@200②即配箍筋又配弯筋a. 先选弯筋,再算箍筋根据已配的2 25+1 22纵向钢筋,将1 22的纵筋以45°角弯起,则弯筋承担的剪力:0.8sin 0.8380.130064.52sb y sb s V f A kN α==×××= 3330100.70.8sin 124.61070.51064.5101.25 1.25210457.5t y sb s sv yv V f bh f A nA s f h α−−×−×−×≥==××负值 按构造要求配置箍筋并满足最小配箍率要求选双肢φ6@200的箍筋,1,min 228.3 1.10.001420.240.240.0013200200210sv t sv sv yv nA f bs f ρρ×===>==×=× b. 先选箍筋,再算弯筋先按构造要求选双肢φ6@200的箍筋,1,min 228.3 1.10.001420.240.240.0013200200210sv t sv sv yv nA f bs f ρρ×===>==×=× 满足要求。
第4章 习题4-1 分析w C =0.2%、w C =0.6%、w C =1.2%的铁碳合金从液态平衡冷却至室温的转变过程,用冷却曲线和组织示意图说明各阶段的组织,并分别计算室温下的相组成物和组织组成物的含量。
解:在室温下,铁碳合金的平衡相是α-Fe (碳的质量分数是0.008%)和Fe 3C (碳的质量分数是6.69%),故(1) w C =0.2%的合金在室温时平衡状态下α相和Fe 3C 相的相对量分别为3 6.690.2%100%97.13%6.690.008%197.13% 2.87%Fe C α-=⨯=-=-= w C =0.2%的合金在室温下平衡态下的组织是α-Fe 和P ,其组织可近似看做和共析转变完时一样,在共析温度下α-Fe 碳的成分是0.0218%,P 的碳的成分为0.77%,故w C =0.2%的合金在室温时组织中P 和α的相对量分别为0.20.0218%100%23.82%0.770.0218%123.82%76.18%P α-=⨯=-=-= (2)w C =0.6%的合金在室温时平衡状态下α相和Fe 3C 相的相对量分别为3 6.690.6%100%91.14%6.690.008%191.14%8.86%Fe C α-=⨯=-=-= w C =0.6%的合金在室温下平衡态下的组织是α-Fe 和P ,在室温时组织中P 和α的相对量为0.60.0218%100%77.28%0.770.0218%177.28%22.72%P α-=⨯=-=-= (3)w C =1.2%的合金在室温时平衡状态下α相和Fe 3C 相的相对量分别为3 6.69 1.2%100%82.16%6.690.008%182.16%17.84%Fe C α-=⨯=-=-= w C =1.2%的合金在室温下平衡态下的组织是P 和Fe 3C ,在室温时组织中P 的相对量为3 6.69 1.2%100%92.74%6.690.77%192.74%7.3%P Fe C -=⨯=-=-=4-2 分析w C =3.5%、w C =4.7%的铁碳合金从液态平衡冷却至室温的平衡结晶过程,画出冷却曲线和组织变化示意图,并计算室温下的组织组成物和相组成物的含量。
第四章的习题及答案4-1 设有一台锅炉,水流入锅炉是之焓为62.7kJ ·kg -1,蒸汽流出时的焓为2717 kJ ·kg -1,锅炉的效率为70%,每千克煤可发生29260kJ 的热量,锅炉蒸发量为4.5t ·h -1,试计算每小时的煤消耗量。
解:锅炉中的水处于稳态流动过程,可由稳态流动体系能量衡算方程:Q W Z g u H s +=∆+∆+∆221体系与环境间没有功的交换:0=s W ,并忽 动能和位能的变化, 所以: Q H =∆设需要煤mkg ,则有:%7029260)7.622717(105.43⨯=-⨯m解得:kg m 2.583=4-2 一发明者称他设计了一台热机,热机消耗热值为42000kJ ·kg -1的油料0.5kg ·min -1,其产生的输出功率为170kW ,规定这热机的高温与低温分别为670K 与330K ,试判断此设计是否合理?解:可逆热机效率最大,可逆热机效率:507.06703301112max =-=-=T T η 热机吸收的热量:1m in210005.042000-⋅=⨯=kJ Q热机所做功为:1m in 102000m in)/(60)/(170-⋅-=⨯-=kJ s s kJ W该热机效率为:486.02100010200==-=Q W η 该热机效率小于可逆热机效率,所以有一定合理性。
4-3 1 kg 的水在1×105 Pa 的恒压下可逆加热到沸点,并在沸点下完全蒸发。
试问加给水的热量有多少可能转变为功?环境温度为293 K 。
解:查水蒸气表可得始态1对应的焓和熵为:H 1=83.93kJ/kg, S 1=0.2962kJ/kg.K 末态2对应的焓和熵为:H 2=2675.9kJ/kg, S 2=7.3609kJ/kg.K)/(0.259293.839.267512kg kJ H H Q =-=-=)/(0.522)2962.03609.7(15.2930.25920kg kJ S T H W sys id =-⨯-=∆-∆=4-4如果上题中所需热量来自温度为533 K 的炉子,此加热过程的总熵变为多少?由于过程的不可逆性损失了多少功? 解:此时系统的熵变不变)./(0647.7K kg kJ S sys =∆炉子的熵变为)./(86.45330.2592K kg kJ T H T Q S sur -=-=∆-==∆ )./(205.286.40647.7K kg kJ S t =-=∆ )/(0.646205.215.2930kg kJ S T W t l =⨯=∆=4-5 1mol 理想气体,400K 下在气缸内进行恒温不可逆压缩,由0.1013MPa 压缩到1.013MPa 。
现代控制理论第四章习题答案4-1判断下列二次型函数的符号性质:(1)222123122313()31122Q x x x x x x x x x x =---+-- (2)222123122313()4262v x x x x x x x x x x =++---解:(1)由已知得[]11231231232311232311()31122111113211112x Q x x x x x x x x x x x x x x x x x x ⎡⎤⎡⎤⎢⎥=-+------⎢⎥⎢⎥⎣⎦⎢⎥⎣⎦⎡⎤⎢⎥--⎡⎤⎢⎥⎢⎥⎢⎥=--⎢⎥⎢⎥⎢⎥⎢⎥⎣⎦⎢⎥---⎣⎦110∆=-<,2112013-∆==>-,31111711302411112--∆=--=-<--- 因此()Q x 是负定的 (2)由已知得[][]112312312323112323()433111143131x Q x x x x x x x x x x x x x x x x x x ⎡⎤⎢⎥=---+---+⎢⎥⎢⎥⎣⎦--⎡⎤⎡⎤⎢⎥⎢⎥=--⎢⎥⎢⎥⎢⎥⎢⎥--⎣⎦⎣⎦110∆=>,2113014-∆==>-,3111143160131--∆=--=-<--因此()Q x 不是正定的 4-2已知二阶系统的状态方程:11122122a a xx a a ⎛⎫= ⎪⎝⎭试确定系统在平衡状态处大范围渐进稳定的条件。
解:方法(1):要使系统在平衡状态处大范围渐进稳定,则要求满足A 的特征值均具有负实部。
即:111221222112211221221()0a a I A a a a a a a a a λλλλλ---=--=-++-= 有解,且解具有负实部。
即:1122112212210a a a a a a +<>且方法(2):系统的原点平衡状态0e x =为大范围渐近稳定,等价于T A P PA Q +=-。
(b)第4章 运动分析基础4-1 小环A 套在光滑的钢丝圈上运动,钢丝圈半径为R (如图所示)。
已知小环的初速度为v 0,并且在运动过程中小环的速度和加速度成定角θ,且 0 < θ <2π,试确定小环A 的运动规律。
解:Rv a a 2nsin ==θ,θsin 2R v a =θθtan cos d d 2tR v a tv a ===,⎰⎰=t v v t R vv 02d tan 1d 0θ t v R R v t s v 00tan tan d d -==θθ⎰⎰-=t s t t v R R v s 0000d tan tan d θθtv R R R s 0tan tan ln tan -=θθθ4-2 已知运动方程如下,试画出轨迹曲线、不同瞬时点的 1.⎪⎩⎪⎨⎧-=-=225.1324tt y tt x , 2.⎩⎨⎧==t y t x 2cos 2sin 3解:1.由已知得 3x = 4y (1) ⎩⎨⎧-=-=t y t x3344 t v 55-=⎩⎨⎧-=-=34y x5-=a 为匀减速直线运动,轨迹如图(a ),其v 、a 图像从略。
2.由已知,得2arccos 213arcsin y x =化简得轨迹方程:2942x y -=(2)轨迹如图(b ),其v 、a 图像从略。
4-3 点作圆周运动,孤坐标的原点在O 点,顺钟向为孤坐标的正方向,运动方程为221Rt sπ=,式中s 以厘米计,t 以秒计。
轨迹图形和直角坐标的关系如右图所示。
当点第一次到达y 坐标值最大的位置时,求点的加速度在x 和y 轴上的投影。
解:Rt s v π== ,R v a π==t ,222n Rt Rv a π==y 坐标值最大的位置时:R Rt s 2212ππ==,12=∴tR a a x π==t ,R a y 2π-=4-4 滑块A ,用绳索牵引沿水平导轨滑动,绳的另一端绕在半径为r 的鼓轮上,鼓轮以匀角速度ω转动,如图所示。
第四章习题答案4-1、填空题1.液压马达和液压缸是液压系统的(执行)装置,作用是将(液压)能转换为(机械)能。
2.对于差动液压缸,若使其往返速度相等,则活塞面积应为活塞杆面积的(2倍)。
3.当工作行程较长时,采用(柱塞) 缸较合适。
4.排气装置应设在液压缸的(最高)位置。
5.在液压缸中,为了减少活塞在终端的冲击,应采取(缓冲)措施。
4-2、问答题1.如果要使机床工作往复运动速度相同,应采用什么类型的液压缸?答:双杆活塞缸2.用理论流量和实际流量(q t 和q )如何表示液压泵和液压马达的容积效率?用理论转距和实际转距(T t 和T)如何表示液压泵和液压马达的机械效率?请分别写出表达式。
液压泵的容积效率:t V q q =η 液压马达的容积效率:q q t v =η 液压泵的机械效率: T T t m =η 液压马达的机械效率:t m T T=η4-3、计算题1.已知某液压马达的排量V =250mL/r ,液压马达入口压力为p 1=10.5MPa ,出口压力p 2=1.0MPa ,其机械效率ηm =0.9,容积效率ηv =0.92,当输入流量q =22L/min 时,试求液压马达的实际转速n 和液压马达的输出转矩T 。
答案:81r/min ;340N ﹒m2.如图4-12所示,四种结构形式的液压缸,分别已知活塞(缸体)和活塞杆(柱塞)直径为D 、d ,如进入液压缸的流量为q ,压力为p ,试计算各缸产生的推力、速度大小并说明运动的方向。
答案:a )4)(22d D p F -⋅=π;4)(22d D qv -=π;缸体左移b )42d p F π⋅=;42d qv π=;缸体右移 c )42D p F π⋅=; 42D qv π=;缸体右移d )42d p F π⋅=;42d qv π=;缸体右移3.如图4-13所示,两个结构相同的液压缸串联,无杆腔的面积A 1=100×10-4 m 2,有杆腔的面积A 2=80×10-4 m 2,缸1的输入压力p 1=0.9 MPa ,输入流量q 1=12L/min ,不计泄漏和损失,求:1) 两缸承受相同负载时,该负载的数值及两缸的运动速度。
习题4.1选择填空1、选用差分放大电路的原因是 A 。
A 、克服温漂B 、 提高输入电阻C 、稳定放入倍数2、用恒流源取代长尾式差分放大电路中的发射极电阻Re ,将使电路的 B 。
A 、差模放大倍数数值增大B 、抑制共模信号能力增强C 、差模输入电阻增大 3、差动放大器中的差模输入是指两输入端各加大小___相等_____、相位___相反____的信号。
4、设差放电路的两个输入端对地的电压分别为v i1和v i2,差模输入电压为v id ,共模输入电压为v ic ,则当v i1=50mV ,v i2=50mV 时,v id =_0mV __,v ic =_50mV __;当v i1=50mV ,v i2=-50mV 时,v id =_100mA __,v ic =_0mA__;当v i1=50mV ,v i2=0V 时,v id =_50mV __,v ic =_25mA __。
5、电流源常用于放大电路,作为_A ___(A.有源负载,B.电源,C.信号源),使得放大倍数__A __(A.提高,B.稳定)。
6、电压放大电路主要研究的指标是 a 、 b 、 c ;功率放大电路主要研究的指标是 d 、 e 、 f 、 g 、(a 电压放大倍数 b 输入电阻 c 输出电阻 d 输出功率 e 电源提供的功率 f 效率 g 管耗)7、功率放大电路中,___甲类____功率放大电路导通角最大;_____乙类___功率放大电路效率较高。
(甲类、乙类、甲乙类) 8、甲类功放效率低是因为 B 。
A 、只有一个功放管B 、 静态电流过大C 、管压降过大4.1对称差动放大电路如题图 4.1所示。
已知晶体管1T 和2T 的50=β,并设U BE (on )=0.7V,r bb ’=0,r ce =∞。
(1)求V 1和V 2的静态集电极电流I CQ 、U CQ 和晶体管的输入电阻r b’e 。
(2)求双端输出时的差模电压增益A ud ,差模输入电阻R id 和差模输出电阻R od 。
《机械制造技术基础》部分习题参考解答第四章机械加工质量及其控制4-1什么是主轴回转精度?为什么外圆磨床头夹中的顶尖不随工件一起回转,而车床主轴箱中的顶尖则是随工件一起回转的?解:主轴回转精度——主轴实际回转轴线与理想回转轴线的差值表示主轴回转精度,它分为主轴径向圆跳动、轴向圆跳动和角度摆动。
车床主轴顶尖随工件回转是因为车床加工精度比磨床要求低,随工件回转可减小摩擦力;外圆磨床头夹中的顶尖不随工件一起回转是因为磨床加工精度要求高,顶尖不转可消除主轴回转产生的误差。
4-2 在镗床上镗孔时(刀具作旋转主运动,工件作进给运动),试分析加工表面产生椭圆形误差的原因。
答:在镗床上镗孔时,由于切削力F的作用方向随主轴的回转而回转,在F作用下,主轴总是以支承轴颈某一部位与轴承内表面接触,轴承内表面圆度误差将反映为主轴径向圆跳动,轴承内表面若为椭圆则镗削的工件表面就会产生椭圆误差。
4-3为什么卧式车床床身导轨在水平面内的直线度要求高于垂直面内的直线度要求?答:导轨在水平面方向是误差敏感方向,导轨垂直面是误差不敏感方向,故水平面内的直线度要求高于垂直面内的直线度要求。
4-4某车床导轨在水平面内的直线度误差为0.015/1000mm,在垂直面内的直线度误差为0.025/1000mm,欲在此车床上车削直径为φ60mm、长度为150mm的工件,试计算被加工工件由导轨几何误差引起的圆柱度误差。
解:根据p152关于机床导轨误差的分析,可知在机床导轨水平面是误差敏感方向,导轨垂直面是误差不敏感方向。
水平面内:0.0151500.002251000R y∆=∆=⨯=mm;垂直面内:227()0.025150/60 2.341021000zRR-∆⎛⎫∆==⨯=⨯⎪⎝⎭mm,非常小可忽略不计。
所以,该工件由导轨几何误差引起的圆柱度误差0.00225R∆=mm。
4-5 在车床上精车一批直径为φ60mm、长为1200mm的长轴外圆。
已知:工件材料为45钢;切削用量为:v c=120m/min,a p=0.4mm, f =0.2mm/r; 刀具材料为YT15。
第四章习题及解答4-3 什么是进程?进程与程序的主要区别是什么?答:进程是一个具有一定独立功能的程序关于某个数据集合的一次活动。
进程与程序的主要区别是:(1) 程序是指令的有序集合,是一个静态概念。
进程是程序在处理机的一次执行过程,是一个动态概念。
进程是有生命期的,因创建而产生,因调度而执行,因得到资源而暂停,因撤消而消亡;(2) 进程是一个独立的运行单元,是系统进行资源分配和调度的独立单元,而程序则不是。
(3) 进程与程序之间无一一对应关系。
一个程序可以对应多个进程,一个进程至少包含一个程序。
4-4 图4.2标明程序段执行的先后次序。
其中:I表示输入操作,C表示计算操作,P 表示打印操作,下角标说明是对哪个程序进行上述操作。
请指明:(1)哪些操作必须有先后次序? 其原因是什么?(2)哪些操作可以并发执行? 其原因又是什么?答:(1) ①I n、C n和P n之间有先后顺序要求,这是由于程序本身的逻辑要求。
②使用同一设备的不同的程序段,如C1…C n,I1…I n,P1…P n,之间有先后顺序要求,这是由于设备某一时刻只能为一个程序服务。
(2) 不同程序使用不同设备时,占用不同设备,无逻辑关系,可以并发执行,如I2和C1;I3、C2和P1。
4-9 某系统进程调度状态变迁图如图4.31(1) 什么原因会导致发生变迁2、变迁3、变迁4 ?答:发生变迁2的原因:时间片到发生变迁3的原因:请求I/O或其他系统调用发生变迁4的原因:I/O完成或其他系统调用完成(2) 在什么情况下,一个进程的变迁3 能立即引起另一个进程发生变迁1 ?答:一个进程的变迁3 能立即引起另一个进程发生变迁的条件是,就绪队列非空。
(3) 下列因果变迁是否可能发生?若可能,需要什么条件?a. 2→1;b. 3→2;c. 4→1答:a. 2→1 不需要条件,一定会发生。
b. 3→2 不可能发生。
c. 4→1 可能发生,条件:就绪队列为空,或在可剥夺调度方式下,转变为就绪状态的进程优先级最高。
第四章的习题及答案4-1 设有一台锅炉,水流入锅炉是之焓为62.7kJ ·kg -1,蒸汽流出时的焓为2717 kJ ·kg -1,锅炉的效率为70%,每千克煤可发生29260kJ 的热量,锅炉蒸发量为4.5t ·h -1,试计算每小时的煤消耗量。
解:锅炉中的水处于稳态流动过程,可由稳态流动体系能量衡算方程:Q W Z g u H s +=∆+∆+∆221体系与环境间没有功的交换:0=s W ,并忽 动能和位能的变化, 所以: Q H =∆设需要煤mkg ,则有:%7029260)7.622717(105.43⨯=-⨯m解得:kg m 2.583=4-2 一发明者称他设计了一台热机,热机消耗热值为42000kJ ·kg -1的油料0.5kg ·min -1,其产生的输出功率为170kW ,规定这热机的高温与低温分别为670K 与330K ,试判断此设计是否合理?解:可逆热机效率最大,可逆热机效率:507.06703301112max =-=-=T T η 热机吸收的热量:1m in210005.042000-⋅=⨯=kJ Q热机所做功为:1m in 102000m in)/(60)/(170-⋅-=⨯-=kJ s s kJ W该热机效率为:486.02100010200==-=Q W η 该热机效率小于可逆热机效率,所以有一定合理性。
4-3 1 kg 的水在1×105 Pa 的恒压下可逆加热到沸点,并在沸点下完全蒸发。
试问加给水的热量有多少可能转变为功?环境温度为293 K 。
解:查水蒸气表可得始态1对应的焓和熵为:H 1=83.93kJ/kg, S 1=0.2962kJ/kg.K 末态2对应的焓和熵为:H 2=2675.9kJ/kg, S 2=7.3609kJ/kg.K)/(0.259293.839.267512kg kJ H H Q =-=-=)/(0.522)2962.03609.7(15.2930.25920kg kJ S T H W sys id =-⨯-=∆-∆=4-4如果上题中所需热量来自温度为533 K 的炉子,此加热过程的总熵变为多少?由于过程的不可逆性损失了多少功? 解:此时系统的熵变不变)./(0647.7K kg kJ S sys =∆炉子的熵变为)./(86.45330.2592K kg kJ T H T Q S sur -=-=∆-==∆ )./(205.286.40647.7K kg kJ S t =-=∆ )/(0.646205.215.2930kg kJ S T W t l =⨯=∆=4-5 1mol 理想气体,400K 下在气缸内进行恒温不可逆压缩,由0.1013MPa 压缩到1.013MPa 。
第4章习题14-1 消除以下文法的左递归性。
(1) S→SA|AA→SB|B|(S)|( ) B→[S]|[ ](2) S→AS|b A→SA|a(3) S→(T)|a|ε T→S|T,S4-2 对于如下文法,求各候选式的FIRST集和各非终结符号的FOLLOW集。
S→aAB|bA|ε A→aAb|ε B→bB|ε4-3 验证以下文法是否为LL(1)文法。
(1) S→AB|CDa A→ab|c B→dE|εC→eC|εD→fD|fE→dE|ε(2) S→aABbCD|ε A→ASd|ε B→SAc|eC|εC→Sf|Cg|εD→aBD|ε4-4 对于如下的文法G[S]:S→Sb|Ab|bA→Aa|a(1)构造一个与G等价的LL(1)文法G′[S];(2)对于G′[S],构造相应的LL(1)分析表;(3) 利用LL(1)分析法判断符号串aabb是否是文法G[S]的合法句子。
4-5 设已给文法S→SaB|bB A→S|a B→Ac(1) 构造一个与G等价的LL(1)文法G′[S];(2) 对于G′[S],构造相应的LL(1)分析表;(3) 利用LL(1)分析法判断符号串bacabc是否是文法G[S]的合法句子。
第4章习题答案4-1解:(1)文法G[S]中的S,A都是间接左递归的非终结符号。
将A产生式的右部代入产生式S→A中,得到与原文法等价的文法G′[S]:S→SA|SB|B|(S)|( )A→SB|B|(S)|( )B→[S]|[ ]文法G′[S]中的S是直接左递归的非终结符号,则消除S产生式的直接递归性后,我们便得到了与原文法等价且无任何左递归性的文法G"[S]:S→BS′|(S)S′|( )S′S′→AS′|BS′|εA→SB|B|(S)|( )B→[S]|[ ](2)文法G[S]中的S,A都是间接左递归的非终结符号。
将A产生式代入产生式S→AS中,得到与原文法等价的文法G′[S]:S→SAS|aS|bA→SA|a文法G′[S]中的S是直接左递归的非终结符号,则消除S产生式的直接递归性后,我们便得到了与原文法等价且无任何左递归性的文法G"[S]:S→aSS′|bS′S′→ASS′|εA→SA|a(3)文法G[S]中的T是直接左递归的非终结符号。
第4章4-1 试确定下列结构的超静定次数。
解 去掉7根斜杆,得到图(a-1)所示静定结构。
因此,原结构为7次超静定。
解 去掉一个单铰和一个链杆,得到图(b-1)所示静定结构。
因此,原结构为3次超静定。
(a)(a-1) (b)(b-1)解 去掉三个水平链杆,得到图(c-1)所示静定结构。
因此,原结构为3次超静定。
解 去掉两个单铰,得到图(d-1)所示静定结构。
因此,原结构为4次超静定。
解 去掉两个单铰,切断一个梁式杆,得到图(e-1)所示静定结构。
因此,原结构为7次超静定。
(d)(e) (c)(c-1)(d-1)(e-1)解 去掉四个支链杆,切断两个梁式杆,得到图(f-1)所示静定结构。
因此,原结构为10次超静定。
解 去掉一个单铰,两个链杆,切开一个封闭框,得到图(g-1)所示静定结构。
因此,原结构为7次超静定。
解 切开七个封闭框,得到图(g-1)所示静定结构。
因此,原结构为21次超静定。
(f)(g) (h)(f-1)(g-1)(h-1)2/8M 图解 切开两个封闭框,得到图(i-1)所示静定结构。
因此,原结构为6次超静定。
4-2 试用力法计算下列超静定梁,并作M 和F Q 图。
EI 为常数。
解 1111P 0X δ∆+= 34111P 13388l ql ql X EIEIδ∆-===(i)qq A2/2M P 图1(i-1)4-2 (b)解1111221P 2112222P 0X X X X δδ∆δδ∆++=++=2P 112212211P 2P 3616F l l lEI EI EIδδδδ∆∆-======,, P 12 8F lX X ==基本体系PM P 图2M 图1M 图F P l l /8 M 图F P l /84-2(c)解 1111P 0X δ∆+=;2P 111P 2F l lEI EIδ∆==、;P 12F l X -=。
(c )X 1基本体系P M P 图PF P l /2图M1M 图X 1=114-2 (d)解 1111P 0X δ+∆=;3111P 1213324l l ql EI EI EI δ=+∆=-, k =10时:32111P 22113024088l ql ql X EI EI δ=∆=-=1,, k =0.1时:32111P 1221110532444l ql ql X EI EI δ=∆=-=,, (d) I 1=kI 2,①k =10,②k =0.1基本体系25ql2ql 8M P 图4-3 试用力法计算下列超静定刚架,并作弯矩图。
四、习题解答4-1 如果某声压幅值增加至原来的3倍,问该声波的声强增至原来的几倍?如果使声波的声强增至原来的16倍,声压幅值必须增大多少倍?解:(1)已知312=m m p p 由声强与声压幅值的关系公式up I mρ22=得93)(2222122122212212=====m m m mm m p p p p up u p I I ρρ (2)已知1612=I I 则:212212212)(m m m mp p p p I I ==,4161212===I I p p m m 4-2 距一点声源10 m 的地方,某声强级是20 dB,若不计吸收衰减,求:(1)距离声源5 m 处的声强级?(2)距离声源多远,声音会听不见了?解:已知10=r m 处,20=L dB,声强为1I 。
5=r m 处,声强为2I ,声强级为2L 。
(1)根据声强级公式0lg10I IL =,1210110lg 10lg 1020-==I I I , 10101-=I W/m 2对于点声源(球面波)在不计吸收衰减的情况下,22212144I r I r ππ=,222121I r I r = 10102212121042510100--⨯=⨯==r I r I W/m 226104lg 1010104lg 10lg 102121002=⨯=⨯==--I I L dB (2)因为 323121I r I r =,则41210312123101010100=⨯==--I I r r m,2310=r m 4-3 由许多声源发至某一点的声波强度是各声波强度的和。
如果有5个相同的喇叭同时广播,所测得的声强级较一个喇叭多多少分贝?解:已知一个喇叭广播的声强和声强级分别为I 和1L ,则5个相同喇叭同时广播时的声强和声强级分别为I 5和2L ,则两者声强级的差值为75lg 105lg 10lg 10lg 10lg1012010212====-=-=II I I I I I I L L L ∆dB 4-4 一个窗户的面积是1 m 2,向街而开,窗外的声强级是60 dB,问传入窗内声波的声功率是多少?解:已知窗户面积1=S m 2,声强级60=L dB 根据声强级公式0lg 10I IL =可得 1210lg1060-=I ,610-=I W/m 2 声功率为 6610110--=⨯==IS P W4-5 震耳欲聋的雷声声强级是110 dB,树叶微动声约为10 dB,问其声强比是多少?解:已知雷声声强级为1101=L dB,树叶微动的声强级为102=L dB, 根据声强级公式0lg10I I L = 二者声强之比为:21020121lg 10lg 10lg10I I I I I I L L =-=- 2121lg 1010010110I I L L ==-=- 10lg21=I I ,102110=I I4-6一列火车以30 m/s 的速度在静止的空气中行驶,火车汽笛声的频率是500 Hz,声波在空气中传播速度为340 m/s。
10.根据下表的数据,求下列投资方案的静态和动态投资回收期(0i =10%)。
(单位:万元)
动态投资回收期341434.4
p T -=年=4-+
11.某项目初始投资为8 000元,在第一年末现金流入为2 000元,第二年末现金流入3000元,第三、四年末的现金流入均为4 000元,请计算该项目的净现值、净年值、净现值率、内部收益率、动态投资回收期(0i =10%)。
解:如图所示:NPV =2052元
0(/,,)
20520.3155647.4NAV NPV A P i n =⨯=元=
净现值率2052/80000.257NPVI ==
动态投资回收期700
1 3.32052
p T -=年=4-+
经过试算可知,112215%,925;20%,35.9i NPV i NPV ====-
采用线性内插法计算IRR ,1
12112()19.81%||
NPV IRR i i i NPV NPV ==+-+
12.在某个项目中,有两种机器可以选用,都能满足生产需要。
机器A 买价为10 000元,在第6年年末的残值为2 000元,前三年的年运行费用为5 000元,后三年为6 000元。
机器B 买价为8 000元,第6年年末的残值为1000元,其运行费用前三年为每年5 500元,后三年为每年6 500元。
基准收益率是15%。
试用费用现值和费用年值法选择机器。
解:两方案的费用现值为: 1100005000(/,15%,3)000(/,15%,3)(/,15%,3)
000(/,15%,6)100005000 2.28326000 2.28320.6575
20000.432310000114169007.2864.629558.6PC P A P A P F P F ⨯=+⨯+⨯⨯-⨯=++-=(元)=++6-2
280005500(/,15%,3)00(/,15%,3)(/,15%,3)000(/,15%,6)80005500 2.28326500 2.28320.6575
10000.4323800012557.69757.8432.329883.7PC P A P A P F P F ⨯=+⨯+⨯⨯-⨯=++-=(元)
=++65-1
两方案的费用年值为:
1229558.6(/,15%,6)29558.60.26427809.429883.7(/,15%,6)7895.3AC A P AC A P ⨯=⨯=⨯=元元=()
=()
=6 441(元)
根据费用最小的选优准则,方案1优于方案3。
14.某项目各年净现金流量如下表所示。
试求项目的内部收益率,若基准收益率0i =12%,判断该项目是否可行。
(单位:万元)
解:当112%i =时,
1000(/,12%,1)60(/,12%,2)40(/,12%,3)0(/,12%,2)(/,12%,3)8.26
NPV P F P F P F P A P F ⨯+⨯+⨯⨯==-2+4+8
当115%i =时,
1000(/,15%,1)60(/,15%,2)40(/,15%,3)0(/,15%,2)(/,15%,3)8.03
NPV P F P F P F P A P F ⨯+⨯+⨯⨯=-=-2+4+8
则IRR ≈1i 1
2112()||
NPV i i NPV NPV +-+
=12%+
8.26
%13.52%8.268.03
×3=+
由于IRR 12%>,所以该项目可以接受。
17.某人请一家咨询公司替他进行投资分析:他用30 000元买到镇边一块土地,究竟干什么可以取得最好的经济效益。
设基准投资收益率为10%。
咨询顾问提出四个方案供他选择,资料如表所示,试从多方案中选优。
(单位:元)
000500(/,10%,20)0005008.5136311.2A NPV P A =⨯=(元)
=-38+4-38+4
0005100(/,10%,20)30000(/,10%,20)
00051008.5236300000.14872068.6B NPV P A P F +=⨯⨯=-(元)=-50+-50++
00500(/,10%,20)30000(/,10%,20)
005008.5236300000.14871041.2c NPV P A P F +=⨯⨯=-(元)=-950+10-950+10+
0005000(/,10%,20)40000(/,10%,20)00050008.523600000.148716198D NPV P A P F +=⨯⨯=-(元)=-150+1-150+1+4
由于A NPV 最大,所以A 土地出租方案最好。
18.某项目生产所需的一台设备投资现值为120万元,年作业成本为30万元,预计10年后的产量将成倍增长,那时尚需要增加一台同样的设备,再投资120万,而作业成本将是60万元。
如果购置大型设备,现在投资为200万元,10年内作业成本为32万元/年,10年后产量成倍增长时不再投资,那时年作业成本为58万元,假设该厂设备寿命相当长,期望收益率为8%,试评价采用哪种设备为好。
解:若投资用K 表示,年作业成本用A 表示,则各方案的费用现值为: 112030(/,8%,10)0(/,8%,)](/,8%,10)
1
12030 6.71010]0.4632724.288%
PC P A P A P F ⨯∞⨯=⨯⨯⨯=(万元)
=++[120+6++[120+6 20032(/,8%,10)58(/,8%,)(/,8%,10)
1
20032 6.7101580.4632750.548%
PC P A P A P F ⨯∞⨯=⨯⨯
⨯=(万元)=2++++
投资现值为120万元的设备为好。
21.已知两个方案的数据如下表所示,设0i =10%,试用NPV 、NAV 指标进行这两个方案的比选。
项 目
方案A 方案B 投资(万元) 3 500 5 000 年收益值(万元) 1 900 2 500 年支出(万元) 645 1 383 寿命(年)
4
8
解:
3500(/,10%,8)3500(/,10%,4)35001255 5.334935000.6880787.3A NPV P A P F --=-+⨯-⨯=(万元)=+(1900-645)
5000(/,10%,8)
50001117 5.3349959.08B NPV P A -=-+⨯=(万元)
=+(2500-1383)
所以,用NPV 指标比选,B 方案好。
1900645)3500(/,10%,4)
A NAV A P --⨯万元=(=1255-35000.3155=150.75( )
25001383)5000(/,10%,8)
B NAV A P --⨯万元=(=1117-50000.1875=179.5( )
所以,用NAV 指标比选,也是B 方案好。
22.某公司有3个独立方案A ,B ,C ,寿命期均为10年,期初投资和每年净收益如表所示,当投资限额为800万元时,求最优方案组合(0i =10%,单位:万元)。
(单位:万元)
A A 375(/,10%,10)42.8
B NPV P A -=(万元)=+68,42.8/37511.42%A NPVI == 400(/,10%,10)60.8
C NPV P A -=(万元)
=+75,60.8/40015.21%C NPVI == 将NPVI 从高到低排列,可知选择A 、C 两方案为最优方案组合。