第3章习题答案上课讲义
- 格式:doc
- 大小:88.00 KB
- 文档页数:6
第3章生产和成本理论本章考情分析:年份 单选题 多选题 合计 2007年 1题1分 1题2分 3分 2008年 1题1分 1题2分 3分 2009年1题1分1题2分3分本章教材基本结构本章内容讲解:第一节生产者的组织形式和企业理论 考核内容:(1)生产者的的基本假定 (2)生产者的组织形式(3)科斯的企业理论的主要内容 具体内容:一、生产者及其组织形式生产者就是能够作出统一的生产决策的单个经济单位,即企业或厂商。
企业是产品生产过程中的主要组织形式,主要包括个人企业、合伙制企业和公司制企业。
类型 个人企业 (业主制企业) 合伙制企业 公司制企业(法人制企业)含义 由一个自然人投资,财产为投资人个人所有,投资人以其个人财产对企业债务承担无限责任的经营实体。
以两个或两个以上的个人财产为基础建立的,由各合伙人订立合伙协议,共同出资、合伙经营、共享收益、共担风险,并对合伙企业债务承担无限连带责任的营利性组织。
按照公司法规定的法定程序设立的,以营利为目的的企业法人。
公司有独立的法人财产,享有法人财产权。
包括有限责任公司和股份有限公司。
有限责任公司股东以其认缴的出资额为限对公司承担责任。
股份有限公司股东以其认购的股份为限对公司承担责任。
特点 企业所有者也是企业经营者。
(1)合伙人是财产所有者,共同拥有资源使用权和生产决策权; (1)公司为股东所有(2)公司股东承担有限责任。
(2)合伙人共同对其他要素所有者进行监督和管理。
(3)合伙人共同承担债务,共同享有企业剩余索取权。
(3)所有权与经营权相分离,分别由股东、董事会和经理层拥有。
公司为股东所有,公司的控制权在董事会监督下的经理层。
(4)可以通过发行股票和债券的形式筹集资金。
优缺点利润动机明确、决策灵活自由,但资金有限,规模小,抵御风险的能力弱。
资金较多、规模较大、较易于管理,分工和专业化得到加强,但合伙人承担无限责任,由于多人参与管理,不利于协调和统一,资金规模依然存在限制,在一定程度上不利于生产的发展和企业规模的扩大。
第三章相互作用(上)(2020新版)(重力、弹力和摩擦力)前言:《李老师物理教学讲义》由李老师高中物理教研室一线教师根据本人多年教学经验,以及人教版教学大纲(最新版)和教材,精心编撰的教学讲义。
本讲义以教材内容为主线,附有大量经典例题和习题,并附有详细答案或解析。
本讲义主要供广大高中物理一线教师教学参考之用,任何自然人或法人未经本教研室许可不得随意转载或用于其它商业用途。
——李老师高中物理教研室一、重力和弹力1.力(1)力是物体与物体之间的相互作用。
在国际单位制中,力的单位是牛顿,简称牛,符号N。
(2)力的三要素:力的大小、方向和作用点。
(3)力的性质:例题1-1.(2019·南充高一期中)下列说法中正确的是()A.“风吹草动”,草受到了力,但没有施力物体,说明没有施力物体的力也是存在的B.运动员将足球踢出,球在空中飞行是因为球在飞行中受到一个向前的推力C.甲用力把乙推倒,只是甲对乙用力,而乙对甲没用力D.两个物体发生相互作用不一定相互接触答案:D例题1-2.如图所示,用球拍击打乒乓球时,如果以球为研究对象,则施力物体是( )A.人 B.球拍C.乒乓球 D.无法确定答案:B(4)力的图示和力的示意图力可以用有向线段表示。
有向线段的长短表示力的大小,箭头表示力的方向,箭尾(或箭头)表示力的作用点。
如图3.1-4,球所受的重力大小为6N,方向竖直向下。
这种表示力的方法,叫作力的图示。
在不需要准确标度力的大小时,通常只需画出力的作用点和方向,即只需画出力的示意图。
例题1-3.下图甲、乙中物体A的重力均为10 N,画出它所受重力的图示。
答案:如图所示例题1-4.(2019 -温州模拟)足球运动员已将足球踢向空中,在下图描述足球在向斜上方飞行过程中某时刻的受力图中,正确的是()答案:B(5)力的分类2.重力(1)定义:由于地球的吸引而使物体受到的力叫作重力(gravity),单位是牛顿,简称牛,符号用N表示。
考点一牛顿第二定律的理解1.内容及表达式物体加速度的大小跟所受外力的合力成正比,跟它的质量成反比,加速度的方向跟合外力方向相同.表达式:F=ma.2.对定律的理解(1)矢量性a为研究对象在合外力作用下产生的加速度;a与合外力方向一致.(2)瞬时对应性一物体所受合外力恒定时,加速度恒定,物体做匀变速直线运动;合外力随时间改变时,加速度也随时间改变;合外力为0时,加速度为0,物体就处于静止或匀速直线运动状态.[思维深化]1.从牛顿第二定律知道,无论怎样小的力都可以使物体产生加速度.可是我们用力提一个很重的物体时却提不动它,这跟牛顿第二定律有无矛盾?为什么?答案没有矛盾,使物体运动,要有合力产生加速度,由于重力很大,合加速度仍为0.2.判断下列说法是否正确.(1)物体所受合外力越大,加速度越大.()(2)物体所受合外力越大,速度越大.()(3)物体在外力作用下做匀加速直线运动,当合外力逐渐减小时,物体的速度逐渐减小.()(4)物体的加速度大小不变一定受恒力作用.()1.[对牛顿第二定律的基本理解](多选)下列对牛顿第二定律的理解,正确的是()A.如果一个物体同时受到两个力的作用,则这两个力各自产生的加速度互不影响B.如果一个物体同时受到几个力的作用,则这个物体的加速度等于所受各力单独作用在物体上时产生加速度的矢量和C.平抛运动中竖直方向的重力不影响水平方向的匀速运动D.物体的质量与物体所受的合力成正比,与物体的加速度成反比2.[速度、加速度、合外力之间的关系](多选)下列关于速度、加速度、合外力之间的关系,正确的是() A.物体的速度越大,则加速度越大,所受的合外力也越大B.物体的速度为0,则加速度为0,所受的合外力也为0C.物体的速度为0,则加速度可能很大,所受的合外力也可能很大D.物体的速度很大,但加速度可能为0,所受的合外力也可能为03.[应用定律定性分析](多选)如图1所示,一木块在光滑水平面上受一恒力F作用,前方固定一足够长的弹簧,则当木块接触弹簧后()A.木块立即做减速运动B.木块在一段时间内速度仍可增大C.当F等于弹簧弹力时,木块速度最大D.弹簧压缩量最大时,木块加速度为01.分析物体的运动性质,要从受力分析入手,求合力,然后根据牛顿第二定律分析加速度的变化.2.特别要注意加速度与合力具有瞬时对应关系,而速度是不能突变的,速度的变化是需要时间的,Δv=aΔt.考点二应用牛顿第二定律分析瞬时问题两类模型(1)刚性绳(或接触面)——不发生明显形变就能产生弹力的物体,剪断(或脱离)后,其弹力立即消失,不需要形变恢复时间.(2)弹簧(或橡皮绳)——两端同时连接(或附着)有物体的弹簧(或橡皮绳),特点是形变量大,其形变恢复需要较长时间,在瞬时性问题中,其弹力的大小往往可以看成保持不变.[思维深化](1)如图2、图3中小球m1、m2原来均静止,现如果均从图中B处剪断,则图2中的弹簧和图3中的下段绳子,它们的拉力将分别如何变化?(2)如果均从图中A处剪断,则图2中的弹簧和图3中的下段绳子的拉力又将如何变化呢?(3)由(1)(2)的分析可以得出什么结论?答案(1)弹簧和下段绳的拉力都变为0.(2)弹簧的弹力来不及变化,下段绳的拉力变为0.(3)绳的弹力可以突变而弹簧的弹力不能突变.4.[静态的瞬时问题](多选)质量均为m的A、B两个小球之间连接一个质量不计的弹簧,放在光滑的台面上.A 球紧靠墙壁,如图4所示,今用恒力F将B球向左挤压弹簧,达到平衡时,突然将力撤去,此瞬间()A.A球的加速度为F2m B.A球的加速度为0C.B球的加速度为F2m D.B球的加速度为Fm5.[静态的瞬时问题](2015·海南单科·8)(多选)如图5所示,物块a、b和c的质量相同,a和b、b和c之间用完全相同的轻弹簧S1和S2相连,通过系在a上的细线悬挂于固定点O,整个系统处于静止状态.现将细线剪断.将物块a的加速度的大小记为a1,S1和S2相对于原长的伸长量分别记为Δl1和Δl2,重力加速度大小为g.在剪断的瞬间()A.a1=3g B.a1=0C.Δl1=2Δl2D.Δl1=Δl2考点三动力学中的图象问题1.动力学中常见的图象v-t图象、x-t图象、F-t图象、F-a图象等.2.解决图象问题的关键(1)看清图象的横、纵坐标所表示的物理量及单位并注意坐标原来是否从0开始.(2)理解图象的物理意义,能够抓住图象的一些关键点,如斜率、截距、面积、交点、拐点等,判断物体的运动情况或受力情况,再结合牛顿运动定律求解.[思维深化]图象问题反映的是两个变量之间的函数关系,因此在某些情况下,要用有关物理规律和公式进行推导,得到两个变量的关系来分析图象的有关问题.6.[图象物理意义的理解](2014·山东·15)(多选)一质点在外力作用下做直线运动,其速度v随时间t变化的图象如图6所示.在图中标出的时刻中,质点所受合外力的方向与速度方向相同的有()A.t1B.t2C.t3D.t47.[图象和牛顿第二定律的结合](2015·新课标全国Ⅰ·20)(多选)如图7a,一物块在t=0时刻滑上一固定斜面,其运动的v t图线如图b所示.若重力加速度及图b中的v0、v1、t1均为已知量,则可求出()A.斜面的倾角B.物块的质量C.物块与斜面间的动摩擦因数D.物块沿斜面向上滑行的最大高度8.[图象的应用]如图8所示,一长木板在水平地面上运动,在某时刻(t=0)将一相对于地面静止的物块轻放到木板上,已知物块与木板的质量相等,物块与木板间及木板与地面间均有摩擦,物块与木板间的最大静摩擦力等于滑动摩擦力,且物块始终在木板上.在物块放到木板上之后,木板运动的速度—时间图象可能是下列选项中的()求解图象问题的基本思路看清坐标轴所表示的物理量及单位并注意坐标原点是否从0开始,明确因变量与自变量间的制约关系,明确物理量的变化趋势,分析图线进而弄懂物理过程,写出相应的函数关系式,进而明确“图象与公式”“图象与物体”间的关系,以便对有关物理问题作出准确判断.考点四应用整体法与隔离法处理连接体问题1.连接体问题的类型物物连接体、轻杆连接体、弹簧连接体、轻绳连接体.2.整体法的选取原则若连接体内各物体具有相同的加速度,且不需要求物体之间的作用力,可以把它们看成一个整体,分析整体受到的合外力,应用牛顿第二定律求出加速度(或其他未知量).3.隔离法的选取原则若连接体内各物体的加速度不相同,或者要求出系统内各物体之间的作用力时,就需要把物体从系统中隔离出来,应用牛顿第二定律列方程求解.4.整体法、隔离法的交替运用若连接体内各物体具有相同的加速度,且要求出物体之间的作用力时,一般采用“先整体求加速度,后隔离求内力”.9.[物体与物体构成的连接体](2015·新课标全国Ⅱ·20)(多选)在一东西向的水平直铁轨上,停放着一列已用挂钩连接好的车厢.当机车在东边拉着这列车厢以大小为a 的加速度向东行驶时,连接某两相邻车厢的挂钩P 和Q 间的拉力大小为F ;当机车在西边拉着车厢以大小为23a 的加速度向西行驶时,P 和Q 间的拉力大小仍为F .不计车厢与铁轨间的摩擦,每节车厢质量相同,则这列车厢的节数可能为( )A .8B .10C .15D .1810.[弹簧与物体构成的连接体]如图9所示,质量分别为m 1、m 2的两个物体通过轻弹簧连接,在力F 的作用下一起沿水平方向做匀加速直线运动(m 1在光滑地面上,m 2在空中).已知力F 与水平方向的夹角为θ.则m 1的加速度大小为( )A.F cos θm 1+m 2B.F sin θm 1+m 2C.F cos θm 1D.F sin θm 211.[轻绳与物体构成的连接体]如图10所示,装有支架的质量为M (包括支架的质量)的小车放在光滑水平地面上,支架上用细线拖着质量为m 的小球,当小车在光滑水平地面上向左匀加速运动时,稳定后绳子与竖直方向的夹角为θ.求小车所受牵引力的大小.图1012.[轻杆与物体构成的连接体]如图11所示,固定在小车上的支架的斜杆与竖直杆的夹角为θ,在斜杆下端固定有质量为m 的小球,下列关于杆对球的作用力F 的判断中,正确的是( )A .小车静止时,F =mg sin θ,方向沿杆向上B .小车静止时,F =mg cos θ,方向垂直于杆向上C .小车向右以加速度a 运动时,一定有F =ma sin θD .小车向左以加速度a 运动时,F =(ma )2+(mg )2,方向斜向左上方,与竖直方向的夹角满足tan α=a g轻绳、轻杆和轻弹簧三种模型的异同1.三个模型的相同点:(1)“轻”——质量和重力均不计.(2)在任何情况下,绳中张力相等,绳、杆和弹簧两端受到的弹力也相等.2.三个模型的不同点:(1)施力和受力特点轻绳——只能产生沿绳方向的拉力.轻杆——不仅可以产生和承受沿杆方向的拉力和压力,还可以产生和承受不沿杆方向的拉力和压力. 轻弹簧——可以产生和承受沿弹簧伸缩方向的拉力和压力.(2)力的变化特点轻绳——拉力的产生、变化或消失不需要时间,具有突变性和瞬时性.轻杆——拉力和压力的产生、变化或消失不需要时间,具有突变性和瞬时性.轻弹簧——弹力的产生、变化或消失需要时间,不具有突变性,即只能渐变,但具有瞬时性,即不同形变的瞬间,对应不同的弹力.(注意:当轻弹簧的自由端无重物时,形变消失不需要时间,即具有突变性)考点五 动力学两类基本问题1.已知物体的受力情况,求解物体的运动情况 解这类题目,一般是应用牛顿第二定律求出物体的加速度,再根据物体的初始条件,应用运动学公式,求出物体的运动情况. 2.已知物体的运动情况,求解物体的受力情况解这类题目,一般是应用运动学公式求出物体的加速度,再应用牛顿第二定律求出物体所受的合外力,进而求出物体所受的某个力.13.[已知运动分析受力]如图12所示,一物体以v 0=2 m /s 的初速度从粗糙斜面顶端下滑到底端用时t =1 s .已知斜面长度L =1.5 m ,斜面的倾角θ=30°,重力加速度取g =10 m/s 2.求:(1)物体滑到斜面底端时的速度大小;(2)物体沿斜面下滑的加速度大小和方向;(3)物体与斜面间的动摩擦因数.14.[已知受力分析运动]如图13所示,楼梯口一倾斜的天花板与水平面成θ=37°,一装潢工人手持木杆绑着刷子粉刷天花板,工人所持木杆对刷子的作用力始终保持竖直向上,大小为F =10 N ,刷子的质量为m =0.5 kg ,刷子可视为质点,刷子与天花板间的动摩擦因数为0.5,天花板长为L =4 m ,取sin 37°=0.6,试求:(1)刷子沿天花板向上运动的加速度大小;(2)工人把刷子从天花板底端推到顶端所用的时间.15.[已知受力分析运动](2014·新课标全国Ⅰ·24)公路上行驶的两汽车之间应保持一定的安全距离.当前车突然停止时,后车司机可以采取刹车措施,使汽车在安全距离内停下而不会与前车相碰.通常情况下,人的反应时间和汽车系统的反应时间之和为1 s .当汽车在晴天干燥沥青路面上以108 km/h 的速度匀速行驶时,安全距离为120 m .设雨天时汽车轮胎与沥青路面间的动摩擦因数为晴天时的25.若要求安全距离仍为120 m ,求汽车在雨天安全行驶的最大速度.解决两类动力学问题的两个关键点1.把握“两个分析”“一个桥梁”两个分析:物体的受力情况分析和运动过程分析.一个桥梁:加速度是联系物体运动和受力的桥梁.2.寻找多过程运动问题中各过程间的相互联系.如第一个过程的末速度就是下一个过程的初速度,画图找出各过程的位移之间的联系.1.(2013·新课标Ⅱ·14)一物块静止在粗糙的水平桌面上.从某时刻开始,物块受到一方向不变的水平拉力作用.假设物块与桌面间的最大静摩擦力等于滑动摩擦力.以a 表示物块的加速度大小,F 表示水平拉力的大小.能正确描述F 与a 之间的关系的图象是( )2.如图14所示,弹簧左端固定,右端自由伸长到O 点并系住物体m ,现将弹簧压缩到A 点,然后释放,物体一直可以运动到B 点.如果物体受到的阻力恒定,则( )A .物体从A 到O 先加速后减速B .物体从A 到O 加速运动,从O 到B 减速运动C .物体运动到O 点时所受合力为0D .物体从A 到O 的过程中加速度逐渐减小3.如图15所示,质量为m 的小球用水平轻弹簧系住,并用倾角为30°的光滑木板AB 托住,小球恰好处于静止状态.当木板AB 突然向下撤离的瞬间,小球的加速度大小为( )A .0 B.233g C .g D.33g4.如图16所示,一小车上有一个固定的水平横杆,左边有一轻杆与竖直方向成θ角与横杆固定,下端连接一质量为m 的小球P .横杆右边用一根细线吊一相同的小球Q .当小车沿水平面做加速运动时,细线保持与竖直方向的夹角为α.已知θ<α,则下列说法正确的是( )A .小车一定向右做匀加速运动B .轻杆对小球P 的弹力沿轻杆方向C .小球P 受到的合力大小为mg tan θD .小球Q 受到的合力大小为mg tan α5.如图17甲所示,质量m =1 kg 的物块在平行斜面向上的拉力F 作用下从静止开始沿斜面向上运动,t =0.5 s 时撤去拉力,利用速度传感器得到其速度随时间的变化关系图象(v -t 图象)如图乙所示,g 取10 m/s 2,求:(1)2 s 内物块的位移大小x 和通过的路程L ;(2)沿斜面向上运动两个阶段加速度大小a 1、a 2和拉力大小F .练出高分 基础巩固1.(多选)由牛顿第二定律表达式F =ma 可知( )A .质量m 与合外力F 成正比,与加速度a 成反比B .合外力F 与质量m 和加速度a 都成正比C .物体的加速度的方向总是跟它所受合外力的方向一致D .物体的加速度a 跟其所受的合外力F 成正比,跟它的质量m 成反比2.一个小孩从滑梯上滑下的运动可看成匀加速直线运动.第一次小孩单独从滑梯上滑下,加速度为a 1,第二次小孩抱上一只小狗后再从滑梯上滑下(小狗不与滑梯接触),加速度为a 2,则( )A .a 1=a 2B .a 1<a 2C .a 1>a 2D .无法判断3.滑雪运动员由斜坡高速向下滑行时的v -t 图象如图1乙所示,则由图中AB 段曲线可知,运动员在此过程中( )A .所受外力的合力一定不断增大B .运动轨迹一定是曲线C .加速度一定减小D .斜坡对运动员的作用力一定是竖直向上的4.(多选)如图2所示,一质量为m 的滑块,以初速度v 0从倾角为θ的斜面底端滑上斜面,当其速度减为零后又沿斜面返回底端,已知滑块与斜面间的动摩擦因数为μ,若滑块所受的摩擦力为F f 、所受的合外力为F 合、加速度为a 、速度为v ,规定沿斜面向上为正方向,在滑块沿斜面运动的整个过程中,这些物理量随时间变化的图象大致正确的是( )5.如图3所示,放在固定粗糙斜面上的物块以加速度a 沿斜面匀加速下滑,若在物块上再施加一个竖直向下的恒力F ,则( )A .物块可能匀速下滑B .物块将以加速度a 匀加速下滑C .物块将以大于a 的加速度匀加速下滑D .物块将以小于a 的加速度匀加速下滑6.如图4所示,将一个质量为m 的三角形物体放在水平地面上,当用一水平推力F 经过物体的重心向右推物体时,物体恰好以一较大的速度做匀速直线运动,某一时刻保持力的大小不变立即使推力反向变成拉力,则推力反向的瞬间( )A .物体的加速度大小为F m ,方向水平向左B .物体的加速度大小为2F m,方向水平向右 C .地面对物体的作用力大小为mgD .地面对物体的作用力大小为(mg )2+F 27.如图5所示,A 、B 两球质量相等,光滑斜面的倾角为θ,图甲中,A 、B 两球用轻弹簧相连,图乙中A 、B 两球用轻质杆相连,系统静止时,挡板C 与斜面垂直,轻弹簧、轻杆均与斜面平行,则在突然撤去挡板的瞬间有( )A .两图中两球加速度均为g sin θB .两图中A 球的加速度均为0C .图乙中轻杆的作用力一定不为0D .图甲中B 球的加速度是图乙中B 球加速度的2倍综合应用8.(多选)如图6所示,bc 为固定在小车上的水平横杆,上面穿着质量为M的滑块,滑块又通过细线悬吊着一个质量为m的小铁球.此时小车正以大小为a的加速度向右做匀加速直线运动,而滑块、小铁球均相对小车静止,细线与竖直方向的夹角为θ.若小车的加速度逐渐增大,滑块始终和小车保持相对静止,当加速度增大到2a时()A.横杆对滑块向上的弹力不变B.横杆对滑块的摩擦力变为原来的2倍C.细线对小铁球的竖直方向的分力增大了D.细线对小铁球的水平方向的分力增大了,增大的倍数小于29.成都“欢乐谷”是大型的游乐性主题公园,园内有一种大型游戏机叫“跳楼机”.让人体验短暂的“完全失重”,非常刺激,参加游戏的游客被安全带固定在座椅上,由电动机将座椅沿光滑的竖直轨道提升到离地面50 m高处,然后由静止释放,为研究方便,认为人与座椅沿轨道做自由落体运动2 s后,开始受到恒定阻力而立即做匀减速运动,且下落到离地面5 m高处时速度刚好减小到0,然后再让座椅以相当缓慢的速度稳稳下落,将游客送回地面.(取g=10 m/s2)求:(1)座椅在自由下落结束时刻的速度是多大?(2)在匀减速阶段,座椅对游客的作用力大小是游客体重的多少倍?10.观光旅游、科学考察经常利用热气球,保证热气球的安全就十分重要,科研人员进行科学考察时,气球、座舱、压舱物和科研人员的总质量为M=800 kg,在空中停留一段时间后,由于某种故障,气球受到的空气浮力减小,当科研人员发现气球在竖直下降时,气球速度为v0=2 m/s,此时开始计时经过t0=4 s时间,气球匀加速下降了h1=16 m,科研人员立即抛掉一些压舱物,使气球匀速下降.不考虑气球由于运动而受到的空气阻力,重力加速度g=10 m/s2.求:(1)气球匀加速下降阶段的加速度大小a.(2)抛掉的压舱物的质量m是多大?(3)抛掉一些压舱物后,气球经过时间t1=5 s,气球下降的高度是多大?11.如图7甲所示,质量为m=1 kg的物体置于倾角为37°的固定斜面上(斜面足够长),对物体施加平行于斜面向上的恒力F,作用时间t1=1 s时撤去力F,物体运动的部分v-t图象如图乙所示,设物体受到的最大静摩擦力等于滑动摩擦力,取g=10 m/s2.求:(1)物体与斜面间的动摩擦因数;(2)拉力F的大小;(3)t=4 s时物体的速度.。
第3章 一次函数与一次不等式【知识衔接】————初中知识回顾————1、形如y=kx+b(k≠0)的函数叫做一次函数。
(1)它的图象是一条斜率为k ,过点(0,b )的直线。
(2)k>0⇔是增函数;k<0⇔是减函数。
2、不等式ax>b 的解的情况:(1)当a>0时,ab x >; (2)当a<0时,a b x <; (3)当a=0时,i) 若b≤0,则取所有实数;ii) 若b>0,则无解。
类似地,请同学们自行分析不等式ax <b 的解的情况。
————高中知识链接————一次函数y =kx +b (k ≠0,b ≠0)的图象所经过的象限有四种情况:①当k >0,b >0,函数y =kx +b 的图象经过第一、二、三象限;②当k >0,b <0,函数y =kx +b 的图象经过第一、三、四象限;③当k <0,b >0,函数y =kx +b 的图象经过第一、二、四象限;④当k <0,b <0,函数y =kx +b 的图象经过第二、三、四象限.一次函数y =kx +b (k ≠0)中,|k |越大,直线y =kx +b 越靠近y 轴,即直线与x 轴正半轴的夹角越大;|k |越小,直线y =kx +b 越靠近x 轴,即直线与x 轴的夹角越小.学#科网【经典题型】初中经典题型1.一次函数y =(m -2)x +3的图象如图所示,则m 的取值范围是( )A.m<2 B.0<m<2 C.m<0 D.m>2【答案】A【解析】如图所示,一次函数y=(m﹣2)x+3的图象经过第一、二、四象限,∴m﹣2<0,解得m<2,故选A.2.如图,把Rt∆ABC放在直角坐标系内,其中∠CAB=90°,BC=5,点A、B的坐标分别为(1,0)、(4,0).将∆ABC沿x轴向右平移,当点C落在直线y=2x﹣6上时,线段BC扫过的面积为()A.4 B.8 C.16 D.82【答案】C3.已知点A是直线y=x+1上一点,其横坐标为﹣,若点B与点A关于y轴对称,则点B的坐标为_____.【答案】(,)【解析】分析:利用待定系数法求出点A坐标,再利用轴对称的性质求出点B坐标即可;详解:由题意A(-,),∵A、B关于y轴对称,∴B(,),故答案为(,).4.星期天,小明上午8:00从家里出发,骑车到图书馆去借书,再骑车回到家.他离家的距离y(千米)与时间t(分钟)的关系如图所示,则上午8:45小明离家的距离是__千米.【答案】1.5.【解析】分析:首先设当40≤t≤60时,距离y(千米)与时间t(分钟)的函数关系为y=kt+b,然后再把(40,2)(60,0)代入可得关于k、b的方程组,解出k、b的值,进而可得函数解析式,再把t=45代入即可.点睛:本题主要考查了一次函数的应用,关键是正确理解题意,掌握待定系数法求出函数解析式.5.一元一次不等式组的解集在数轴上表示出来,正确的是()A. B. C. D.【答案】D【解析】分析:先求出不等式组的解集,再在数轴上表示. 详解:解不等式组得-3<x ≤2,在数轴上表示为:故选D .点睛:解一元一次不等式组,通常采用“分开解,集中定”的方法,即单独的解每一个不等式,而后集中找它们的解的“公共部分”.在找“公共部分”的过程中,可借助数轴或口诀两种方法确定不等式组的解集.其中确定不等组解集的方法为:“大大取大,小小取小,大小小大中间找,大大小小是无解”.在数轴上表示解集时,大于向右画,小于向左画,含等号取实心点,不含等号取空心圆圈.6.若实数3是不等式2x –a –2<0的一个解,则a 可取的最小正整数为( )A. 2B. 3C. 4D. 5【答案】D【解析】解:根据题意,x =3是不等式的一个解,∴将x =3代入不等式,得:6﹣a ﹣2<0,解得:a >4,则a 可取的最小正整数为5,故选D .学-科网点睛:本题主要考查不等式的整数解,熟练掌握不等式解得定义及解不等式的能力是解题的关键.高中经典题型1.若函数1y ax =+在[]1,2上的最大值与最小值之差为2,则实数a =( )A . 2B . 2-C . 2或2-D . 0【答案】C【解析】1y ax =+,若0a =,则y 的最大与最小之差为0(舍),若0a >,则()()max 221f x f a ==+,()()min 11f x f a ==+,则()2112a a a +-+==(符合),若0a <,则()()max 11f x f a ==+, ()()min 221f x f a ==+,则()1212a a a +-+=-=,则2a =-(符合),故选C . 2.若()()0f x ax b a =+>,且()()41ff x x =+,则()3f =__________. 【答案】193【解析】由()()()241f f x af x b a x ab b x =+=++=+, ()24,10a ab b a ∴=+=>,解得()112,,233a b f x x ==∴=+,于是()1933f =,故答案为193. 3.如图,已知函数f(x)的图象是两条直线的一部分,其定义域为(-1,0]∪(0,1),则不等式f(x)-f(-x)>-1的解集是______________.【答案】 (-1,- 12)∪[0,1)4.已知函数()()()110f x ax x a a =+->,且()f x 在[]0,1上的最小值为()g a ,求()g a 的最大值. 【答案】1【解析】试题分析:(1)由题意知()11f x a x a a ⎛⎫=-+ ⎪⎝⎭,分三种情况讨论,即可求解函数的最小值,得出()g a 的表达式,即可求解()g a 的最大值. 试题解析:由题意知()11f x a x a a ⎛⎫=-+ ⎪⎝⎭,(1)当a 1>时, 1a 0a ->,此时()f x 在[]0,1上为增函数,∴()()1g a f 0a ==;(2)当0a 1<<时, 1a 0a-<,此时()f x 在[]0,1上为减函数,∴()()g a f 1a == ;(3)当a 1=时, ()f x 1=,此时()g a 1=,∴(),01,g a { 1,1,aa a a <<=≥其在()0,1上为增函数,在[)1,∞上是减函数,又当a 1=时,有1a 1a==,∴当a 1=时, ()g a 取得最大值1. 点睛:本题考查了函数最值问题及其应用,其中解答中涉及到一次函数的单调性的应用,以及分段函数的性质,同时考查了分类讨论的思想方法,本题的解答中注意1a =的情况,容易导致错解,试题有一定的基础性,属于基础题.5.(1)求函数y =ax +1(a≠0)在[0,2]上的最值.(2)若函数y =ax +1在[0,2]上的最大值与最小值之差为2.求a 的值.【答案】(1)详见解析;(2) a =±1.6.某商店销售10台A 型和20台B 型电脑的利润为4000元,销售20台A 型和10台B 型电脑的利润为3500元.学-科网(1)求每台A 型电脑和B 型电脑的销售利润;(2)该商店计划一次购进两种型号的电脑共100台,其中B 型电脑的进货量不超过A 型电脑的2倍。
第13讲 坐标与轴对称模块一 思维导图串知识模块二 基础知识全梳理(吃透教材)模块三 核心考点举一反三 模块四小试牛刀过关测1.探索图形坐标变化的过程;2.了解掌握图形坐标变化与图形轴对称之间的关系;知识点一.坐标系中的平移:(1)将点向右(或向左)平移a 个单位可得对应点或.(2)将点向上(或向下)平移b 个单位可得对应点或.总结:点的左右平移横坐标满足左减右加,点的上下平移纵坐标满足上加下减.知识点二.坐标系中的对称:(1)点关于x 轴的对称点是,即横坐标不变,纵坐标互为相反数.(2)点关于y 轴的对称点是,即纵坐标不变,横坐标互为相反数.总结:点关于哪条坐标轴对称则哪个坐标不变,另外一个坐标变为原来的相反数.(3)点关于坐标原点的对称点是,即横坐标互为相反数,纵坐标也互为相反数.(4)点关于点的对称点是.(5)点关于的对称点是.(6)点关于的对称点是.(7)点关于一三象限的平分线的对称点为.(8)点关于二四象限的平分线的对称点为.考点一:求点沿x 轴,y轴平移后的坐标例八年级校考开学考试)已知点,将点度,再向上平移个单位长度到达点,则点的坐标为.八年级统考开学考试)将点向左平移个单位,再向下平移个单位得到点,则点的坐标为1-2】2023下在平面直角坐标系中,将点先向向右平移个单位长度,得到点,则点的坐标是个单位长度,再向下平移个单位长度后,得到点,则点考点二:关于x轴、y轴对称的点的坐标例八年级专题练习)点关于轴对称点的坐标是,关于轴对称点的坐标是【变式2-1】(2024·四川成都·一模)在平面直角坐标系中,点关于轴对称的点的坐标是()A.B.C.D.模拟预测)点的坐标是,则点关于轴对称的点的坐标是点关于轴对称的点的坐标是【变式2-3】八年级校考期末)若点与点关于考点三:利用轴对称求平面直角坐标系中线段和最小值问题例3. (22-23八年级上·广东东莞·期中)如图,点,,点P是在x轴上,且使最小,写出点P的坐标.【变式3-1】(23-24八年级上·山东菏泽·阶段练习)如图,已知,,,作关于x轴的对称图形,则点的坐标;P为x轴上一点,当的周长最小时的点P的坐标.【变式3-2】(23-24八年级上·陕西宝鸡·阶段练习)如图,在直角坐标系中,点,点是第一象限角平分线上的两点,点的纵坐标为1,且,在轴上存在一点,连接,,,,使四边形的周长最小,则点的坐标为.【变式3-3】如图,在平面直角坐标系中,点、在y轴上取一点P,使点P到点A和点B的距离之和最小,则点P的坐标是.考点四:作图——轴对称变换例4. 如图,的三个顶点的坐标分别为,,.(1)直接写出点C关于x轴对称的点的坐标;(2)画出关于y轴对称的,并写出点B的对应点的坐标;(3)在x轴上求作一点P,使点P到A、B两点的距离和最小,请标出点P.【变式4-1】(2023秋·河南信阳·八年级校联考期末)如图所示,在平面直角坐标系中,的三个顶点坐标分别为、、.(1)在图中画出关于轴对称的图形;(2)在图中,若与点关于一条直线成轴对称,则这条对称轴是__________,此时点关于这条直线的对称点的坐标为__________;(3)的面积为__________;写出计算过程.【变式4-2】(2023春·山东泰安·七年级校考开学考试)在平面直角坐标系中,点、点、点、点都在由边长为1的小正方形组成网格的格点上,的位置如图所示.(1)在图中画出关于轴对称的;(2)的顶点关于轴对称的点的坐标为:________;的顶点关于轴对称的点的坐标为:________;(3)求的面积.(4)在轴上求作一点,使的值最小,保留画图痕迹,并写出最小值________.【变式4-3】数形结合是一种非常重要的数学思想,借助于坐标系我们可以研究特殊的对称关系.已知,,、关于直线的对称点为、.(1)写出的坐标___________,的坐标___________;(2)写出关于的对称点的坐标___________;(3)写出点关于直线的对称点的坐标___________.一、单选题1.(23-24八年级下·河南南阳·期中)点关于轴对称点所在的象限是()A.第一象限B.第二象限C.第三象限D.第四象限2.(2024七年级下·北京·专题练习)在平面直角坐标系中,点关于x轴对称的点的坐标是( )A.B.C.D.3.(2024·浙江·三模)在平面直角坐标系中,点与点关于y轴对称,则m的值为()A.B.C.2D.44.(23-24八年级下·湖北武汉·阶段练习)如图,在平面直角坐标系中,、两点的坐标分别为,线段(点在点右侧)在轴上移动,且,连接.则的最小值为()A.B.C.3D.5.(2024·河南新乡·三模)如图,在平面直角坐标系中,的顶点A在x轴上,顶点B在y轴上,,轴,点C的坐标为,作关于直线的对称图形,其中点C的对称点为M,且交y轴于点N,则点N的坐标为()A.B.C.D.(二、填空题6.(2024·福建福州·模拟预测)在平面直角坐标系中,点关于y轴对称的点的坐标是.7.(2024·湖南邵阳·二模)若点与点关于x轴对称,则8.(2024·江苏常州·二模)点关于直线对称的点的坐标是.9.(23-24八年级下·河北邢台·期中)在平面直角坐标系中,已知,点与点关于轴对称,,则的面积为.10.(2024七年级下·北京·专题练习)在平面直角坐标系中,点,点,点,点C在x轴上.若,则点C的坐标为.三、解答题11.(23-24八年级下·黑龙江佳木斯·期中)如图,在直角坐标系中,的位置如图所示,请回答下列问题:(1)请直接写出,,三点的坐标;(2)画出关于轴对称的;(3)在轴上找到一点,使的周长最小,直接写出这个周长的最小值.12.(23-24八年级下·湖南娄底·阶段练习)在正方形网格中,建立如图所示的平面直角坐标系,的三个顶点都在格点上,关于y轴对称图形为(其中:A与,B与,C与相对应).(1)画出关于y轴对称的图形.(2)写出三个顶点的坐标.(3)求的面积.13.(23-24八年级上·甘肃兰州·期末)如图所示,在平面直角坐标系中,已知、、.(1)在平面直角坐标系中画出;(2)若点D与点C关于y轴对称,则点D的坐标为;(3)已知P为x轴上一点,若点P的坐标为,求的面积.14.(23-24八年级下·湖南永州·期中)阅读下列一段文字,回答问题.【材料阅读】平面内两点,则由勾股定理可得,这两点间的距离.例如.如图1,,则.【直接应用】(1)已知,求P、Q两点间的距离;(2)如图2,在平面直角坐标系中的两点,P为x轴上任一点,求的最小值;(3)利用上述两点间的距离公式,求代数式的最小值是多少?第13讲 坐标与轴对称模块一 思维导图串知识模块二 基础知识全梳理(吃透教材)模块三 核心考点举一反三 模块四小试牛刀过关测1.探索图形坐标变化的过程;2.了解掌握图形坐标变化与图形轴对称之间的关系;知识点一.坐标系中的平移:(1)将点向右(或向左)平移a 个单位可得对应点或.(2)将点向上(或向下)平移b 个单位可得对应点或.总结:点的左右平移横坐标满足左减右加,点的上下平移纵坐标满足上加下减.知识点二.坐标系中的对称:(1)点关于x 轴的对称点是,即横坐标不变,纵坐标互为相反数.(2)点关于y 轴的对称点是,即纵坐标不变,横坐标互为相反数.总结:点关于哪条坐标轴对称则哪个坐标不变,另外一个坐标变为原来的相反数.(3)点关于坐标原点的对称点是,即横坐标互为相反数,纵坐标也互为相反数.(4)点关于点的对称点是.(5)点关于的对称点是.(6)点关于的对称点是.(7)点关于一三象限的平分线的对称点为.(8)点关于二四象限的平分线的对称点为.考点一:求点沿x 轴,y轴平移后的坐标例八年级校考开学考试)已知点,将点度,再向上平移个单位长度到达点,则点的坐标为.【答案】【分析】让点A即可得到的坐标.【详解】解:由题中平移规律可知:的横坐标为;纵坐标为;∴的坐标为,故答案为:.【点睛】本题主要考查了用坐标表示平移.注意左右移动改变点的横坐标,左减右加;上下移动改变点的纵坐标,下减上加.将点向左平移个单位,再向下平移个单位得到点,则点的坐标为【答案】【分析】点的横坐标减,纵坐标减即可得到平移后点的坐标.【详解】解:点的横坐标为,纵坐标为,所以点的坐标是.故答案为:.【点睛】本题考查点的平移规律,用到的知识点为:点的平移,左右平移只改变点的横坐标,左减右加;上下平移只改变点的纵坐标,上加下减.在平面直角坐标系中,将点先向向右平移个单位长度,得到点,则点的坐标是【答案】【分析】根据平移的特点即可求解.【详解】解:点先向向右平移个单位长度得到坐标,故答案为:.【点睛】本题考查了点的平移,熟练掌握点平移坐标的变化情况是解题的关键.】点A个单位长度后,得到点,则点【答案】【分析】将点B【详解】点B(【点睛】本题考查了点的平移规律,熟练掌握坐标中点的平移规律是解题的关键.考点二:关于x轴、y轴对称的点的坐标例八年级专题练习)点关于轴对称点的坐标是,关于轴对称点的坐标是根据关于x轴对称点,横坐标相同,纵坐标互为相反数,关于【详解】解:点关于于轴对称点的坐标是,关于轴对称点的坐标是.故答案为:,.【点睛】本题主要考查了关于坐标轴对称的点的坐标特征,解题的关键是掌握关于轴对称点,横坐标相同,纵坐标互为相反数,关于【变式2-1】(2024·四川成都·一模)在平面直角坐标系中,点关于轴对称的点的坐标是()A.B.C.D.点关于轴对称的点的坐标是,故选:C.【变式2-2】(模拟预测)点的坐标是,则点关于轴对称的点的坐标是点关于轴对称的点的坐标是【答案】根据轴对称的性质,点关于轴对称时,横坐标不变,纵坐标为相反数,关于轴对称时,横坐标为相反数,纵坐标不变,即可求解.解:在平面直角坐标系中,点关于轴对称时,横坐标不变,纵坐标为相反数,点关于轴对称的点的坐标是,关于轴对称时,横坐标为相反数,纵坐标不变,点关于轴对称的点的坐标是,故答案为,.【点睛】本题考查了坐标与轴对称的性质,熟练掌握轴对称的性质是解题的关键.八年级校考期末)若点与点关于【答案】【分析】根据若两点关于轴对称,则横坐标不变,纵坐标互为相反数,即可求解.点与点关于轴对称,∴,解得,∴.故答案为:2.本题主要考查了平面直角坐标系内点关于坐标轴对称的特征,熟练掌握若两点关于轴对称,则横轴对称,则横坐标互为相反数,纵坐标不变是解题的关键.考点三:利用轴对称求平面直角坐标系中线段和最小值问题例3. (22-23八年级上·广东东莞·期中)如图,点,,点P是在x轴上,且使最小,写出点P的坐标.【答案】【分析】如图所示,作点A关于x轴对称的点,连接交轴于,取,连接,过点作于D,根据轴对称的性质可得当三点共线时,最小,即最小,此时P 与重合,利用三角形面积之间的关系求出点P的坐标即可.【详解】解:如图所示,作点A关于x轴对称的点,连接交轴于,取,连接,过点作于D,∴,,∴,∴当三点共线时,最小,即最小,此时P与重合,∵,∴,∴,∵,∴,∴,∴,故答案为:.【点睛】本题主要考查了坐标与图形变化——轴对称,轴对称最短路径问题,确定当三点共线时,最小,即最小是解题的关键.【变式3-1】(23-24八年级上·山东菏泽·阶段练习)如图,已知,,,作关于x轴的对称图形,则点的坐标;P为x轴上一点,当的周长最小时的点P的坐标.【答案】【分析】根据关于x轴对称的点横坐标相同,纵坐标互为相反数找到A、B、C对应点的位置,然后顺次连接,再写出对应点坐标即可;连接交x轴于P,点P即为所求.【详解】解:如图所示,即为所求;∴如图所示,∵AB长度不变,的周长,∴只要最小即可.∴连接交x轴于点P,∵两点之间线段最短,∴,∴结合网格小正方形的特点可得:故答案为:,【点睛】本题主要考查了坐标与图形变化—轴对称,轴对称最短路径问题等等,灵活运用所学知识是解题的关键.【变式3-2】(23-24八年级上·陕西宝鸡·阶段练习)如图,在直角坐标系中,点,点是第一象限角平分线上的两点,点的纵坐标为1,且,在轴上存在一点,连接,,,,使四边形的周长最小,则点的坐标为.【答案】【分析】本题考查了对称性—最短路线,涉及坐标与图形的性质以及勾股定理,根据纵坐标得到,则有,作B关于y轴的对称点E,连接交y轴于D,此时可得四边形的周长最小,这个最小周长的值为,过E作交的延长线于F,根据勾股定理即可得到结论.【详解】解:∵点,点C的纵坐标为1,∴轴,∴,∵,∴,∴,∵∴,∴,作B关于y轴的对称点E,连接交y轴于D,则此时,四边形的周长最小,这个最小周长的值为,过E作交的延长线于F,如图,则,点E和点F的横坐标为,∴,∴,∴最小周长的值,故答案为:.【变式3-3】如图,在平面直角坐标系中,点、在y轴上取一点P,使点P到点A和点B的距离之和最小,则点P的坐标是.【答案】【分析】如图所示,过点A作轴于D,作点B关于y轴的对称点C,连接交y轴于H,连接,则,利用轴对称的性质推出当A、C、P三点共线时,最小,即最小,此时点P与点H重合,根据求出,由此即可得到答案.【详解】解:如图所示,过点A作轴于D,作点B关于y轴的对称点C,连接交y轴于H,连接,则,∴,∴,∴当A、C、P三点共线时,最小,即最小,此时点P与点H重合,∵、,,∴,∵,∴,∴,∴,∴,即,故答案为:.【点睛】本题主要考查了坐标与图形,轴对称最短路径问题,正确作出辅助线是解题的关键.考点四:作图——轴对称变换例4. 如图,的三个顶点的坐标分别为,,.(1)直接写出点C关于x轴对称的点的坐标;(2)画出关于y轴对称的,并写出点B的对应点的坐标;(3)在x轴上求作一点P,使点P到A、B两点的距离和最小,请标出点P.【答案】(1)(2)见解析,(3)见解析【分析】(1)关于轴对称的点,横坐标不变,纵坐标互为相反数,由此可得答案.(2)根据轴对称的性质作图,再根据图写出点坐标即可.(3)作点关于轴的对称点,连接,与轴交于点,连接,此时点到、两点的距离和最小.【详解】(1)解:(1)与关于轴对称,,点.(2)解:如图,即为所求,.(3)解:如图,点即为所标.【点睛】本题考查作图轴对称变换,轴对称最短路线问题,熟练掌握轴对称的性质是解答本题的关键.【变式4-1】(2023秋·河南信阳·八年级校联考期末)如图所示,在平面直角坐标系中,的三个顶点坐标分别为、、.(1)在图中画出关于轴对称的图形;(2)在图中,若与点关于一条直线成轴对称,则这条对称轴是__________,此时点关于这条直线的对称点的坐标为__________;(3)的面积为__________;写出计算过程.【答案】(1)见解析(2)y轴,(3)【分析】(1)根据关于轴对称的点的坐标特征:横坐标相同,纵坐标互为相反数,得到A、B、C的对应点、、的坐标,然后描点连线即可;(2)根据关于y轴对称的点的坐标特征:纵坐标相同,横坐标互为相反数,得到点和点B的对称轴为y轴,进而可得点的坐标;(3)根据网格特点和割补法求解面积即可.【详解】(1)解:如图,即为所求作:(2)解:如图,∵,,∴点和点B的对称轴为y轴,∵,∴点关于这条直线的对称点的坐标为,故答案为:y轴,;(3)解:的面积为,故答案为:.【点睛】本题考查坐标与图形变换-轴对称,熟练掌握关于坐标轴对称的点的坐标特征是解答的关键.【变式4-2】(2023春·山东泰安·七年级校考开学考试)在平面直角坐标系中,点、点、点、点都在由边长为1的小正方形组成网格的格点上,的位置如图所示.(1)在图中画出关于轴对称的;(2)的顶点关于轴对称的点的坐标为:________;的顶点关于轴对称的点的坐标为:________;(3)求的面积.(4)在轴上求作一点,使的值最小,保留画图痕迹,并写出最小值________.【答案】(1)见解析(2),(3)12(4)见解析,【分析】(1)根据轴对称的性质即可画出图形;(2)根据轴对称的性质可得答案;(3)利用所在的长方形的面积减去周围三个三角形面积即可;(4)连接,与y轴交于点P,则,可得,再利用勾股定理计算即可.【详解】(1)解:如图,即为所求;(2)由(1)知,,关于轴对称点,故答案为:,;(3);(4)如图,点P即为所求;最小值为:.【点睛】本题主要考查了作图轴对称变换,勾股定理,最短路径问题,关于坐标轴对称的点的坐标的特征,三角形的面积等知识,熟练掌握轴对称的性质是解题的关键.【变式4-3】数形结合是一种非常重要的数学思想,借助于坐标系我们可以研究特殊的对称关系.已知,,、关于直线的对称点为、.(1)写出的坐标___________,的坐标___________;(2)写出关于的对称点的坐标___________;(3)写出点关于直线的对称点的坐标___________.【答案】(1),;(2);(3).【分析】(1)利用轴对称变换的性质求解;(2)利用轴对称变换的性质求解;(3)利用轴对称变换的性质求解.【详解】(1)如图,∵点与点关于直线对称,∴,∴点与点纵坐标相同,横坐标之和等于,∴点,同理:,(2)∵关于直线对称,∴对应点纵坐标相同,横坐标之和等于,∴点,(3)∵关于直线对称,∴对应点纵坐标相同,横坐标之和等于,∴点,【点睛】此题考查坐标与图形变化一对称,解题的关键是掌握轴对称变换的性质.一、单选题1.(23-24八年级下·河南南阳·期中)点关于轴对称点所在的象限是()A.第一象限B.第二象限C.第三象限D.第四象限【答案】C【分析】本题考查的知识点是关于轴对称点的坐标特点、判断点所在的象限,解题关键是掌握关于轴对称点的坐标的变化规律.根据关于轴对称点的坐标特点:横坐标不变,纵坐标互为相反数可得点关于轴的对称点坐标,然后再根据横纵坐标的符号判断所在象限.【详解】解:关于轴对称点是,所在的象限是第三象限,点关于轴对称点所在的象限是第三象限.故选:.2.(2024七年级下·北京·专题练习)在平面直角坐标系中,点关于x轴对称的点的坐标是( )A.B.C.D.【答案】D【分析】本题主要考查了直角坐标系点的对称性质,比较简单.平面直角坐标系中任意一点,关于轴的对称点的坐标是,据此即可求得点关于轴对称的点的坐标.【详解】解:根据轴对称得,点关于轴对称的点的坐标是.故选:D3.(2024·浙江·三模)在平面直角坐标系中,点与点关于y轴对称,则m的值为()A.B.C.2D.4【答案】D【分析】本题主要考查了坐标与图形变化—轴对称,根据关于y轴对称的点横坐标相同,纵坐标互为相反数得到,解之即可.【详解】解:∵在平面直角坐标系中,点与点关于y轴对称,∴,∴,故选:D.4.(23-24八年级下·湖北武汉·阶段练习)如图,在平面直角坐标系中,、两点的坐标分别为,线段(点在点右侧)在轴上移动,且,连接.则的最小值为()A.B.C.3D.【答案】B【分析】此题主要考查了坐标与图形,对称的性质,平移的性质,平移使点落在点处,连接,则点的对应点为,即,进而得出,再作点关于轴的对称点,则,进而得出的最小值为,即可求解答案.【详解】解:如图,平移使点落在点处,连接,则点的对应点为,即,,,点,作点关于轴的对称点,当点在同一条线上时,最小,,,连接,则的最小值为,故选:B.5.(2024·河南新乡·三模)如图,在平面直角坐标系中,的顶点A在x轴上,顶点B在y轴上,,轴,点C的坐标为,作关于直线的对称图形,其中点C的对称点为M,且交y轴于点N,则点N的坐标为()A.B.C.D.(【答案】B【分析】本题主要考查了坐标与图形,轴对称,三角形全等的判定和性质,勾股定理等知识点,先证出四边形是矩形,由点C的坐标和轴对称变换可证出,再由勾股定理即可得出的长,进而即可得解,熟练掌握轴对称的性质是解决此题的关键.【详解】∵,轴,,∴四边形是矩形,∵点C的坐标为,∴,,∴由轴对称变换可知,,,又∵,∴,∴,∴在中,∵,∴,∴,∴,故选:B.二、填空题6.(2024·福建福州·模拟预测)在平面直角坐标系中,点关于y轴对称的点的坐标是.【答案】【分析】本题主要考查了平面直角坐标系点的对称性质,掌握关于y轴对称的点,纵坐标相同,横坐标互为相反数成为解题的关键.根据平面直角坐标系中关于y轴对称的点,纵坐标相同,横坐标互为相反数即可解答.【详解】解:点关于y轴对称的点的坐标是.故答案为.7.(2024·湖南邵阳·二模)若点与点关于x轴对称,则【答案】1【分析】本题主要考查了关于x轴对称的点的坐标,以及已知字母的值求代数式的值,根据关于x轴对称,横坐标不变,纵坐标相反求出m,n的值,然后代入代数式计算即可.【详解】解:∵点与点关于x轴对称,∴,,∴,故答案为:1.8.(2024·江苏常州·二模)点关于直线对称的点的坐标是.【答案】【分析】本题主要考查了关于垂直坐标轴的直线对称的点坐标.设点关于直线对称的点为,根据题意得出,即可求解.【详解】设点关于直线对称的点为,∴,解得,,∴.故答案为:.9.(23-24八年级下·河北邢台·期中)在平面直角坐标系中,已知,点与点关于轴对称,,则的面积为.【答案】【分析】本题考查了坐标与图形,关于轴对称点的坐标的特征;根据关于轴对称的点,纵坐标相同,横坐标互为相反数解答即可.【详解】解:∵,点与点关于轴对称,∴,∴,又∵,∴到的距离为,∴的面积为,故答案为:.10.(2024七年级下·北京·专题练习)在平面直角坐标系中,点,点,点,点C在x轴上.若,则点C的坐标为.【答案】或【分析】根据对称,性质即可,本题考查了对称计算,熟练掌握计算方法是解题的关键.【详解】∵点,点,∴点B关于直线的对称点为,连接,则,∵点,点,∴点A、D关于y轴对称,∴点B、点E关于y轴的对称点为或,∴点C为或时,.故答案为:或.三、解答题11.(23-24八年级下·黑龙江佳木斯·期中)如图,在直角坐标系中,的位置如图所示,请回答下列问题:(1)请直接写出,,三点的坐标;(2)画出关于轴对称的;(3)在轴上找到一点,使的周长最小,直接写出这个周长的最小值.【答案】(1),,(2)见解析(3)图见解析;周长最小为【分析】本题考查了坐标与图形,作轴对称图形,轴对称的性质,勾股定理求两点之间的距离,掌握轴对称的性质是解题的关键.(1)根据平面直角坐标系直接写出点的坐标;(2)根据题意作的各顶点关于轴对称的点,顺次连接即可;(3)连接,利用对称的性质可得,进而根据勾股定理求出和的长,即可求出周长的最小值.【详解】(1)解:由平面直角坐标系中点的位置可知,、、三点的坐标分别为:,,;(2)解:如图,作的各顶点关于轴对称的点,顺次连接得到,即为所求作三角形;(3)解:连接,则,,,,即的周长最小值为.12.(23-24八年级下·湖南娄底·阶段练习)在正方形网格中,建立如图所示的平面直角坐标系,的三个顶点都在格点上,关于y轴对称图形为(其中:A与,B与,C与相对应).(1)画出关于y轴对称的图形.(2)写出三个顶点的坐标.(3)求的面积.【答案】(1)见解析(2),,(3)【分析】本题主要考查了轴对称作图,三角形面积计算,作出对应点的位置,是解题的关键.(1)先作出点A、B、C关于y轴的对称点,,,然后再顺次连接即可;(3)利用割补法求出三角形的面积即可.【详解】(1)解:如图,即为所求作的三角形.(2)解:根据图可知,,,.(3)解:.13.(23-24八年级上·甘肃兰州·期末)如图所示,在平面直角坐标系中,已知、、.(1)在平面直角坐标系中画出;(2)若点D与点C关于y轴对称,则点D的坐标为;(3)已知P为x轴上一点,若点P的坐标为,求的面积.【答案】(1)见解析(2)(3)2.【分析】本题考查作图—复杂作图、关于轴、轴对称的点的坐标、三角形的面积,解题的关键是理解题意,灵活运用所学知识解决问题.。
《原子核外电子的排布离子》讲义同学们,今天咱们来一起学习北京版九年级上册化学第3章构成物质的微粒中的第二节内容——原子核外电子的排布和离子。
这部分内容可有意思啦,就像探索微观世界的小秘密一样。
一、原子核外电子是分层排布的咱们先来说说原子核外的电子。
想象一下,原子就像一个小小的太阳系,原子核就是那个中心的太阳,而电子呢,就像围绕太阳转的行星。
不过这些电子可不像行星那样随便转,它们是分层排布的。
为什么会分层排布呢?这就和电子的能量有关啦。
能量低的电子离原子核近,就像住在里层的小居民;能量高的电子离原子核远,就像是住在外层的居民。
就好比咱们在学校里,不同年级的同学在不同的楼层上课,低年级的同学在低楼层,高年级的同学在高楼层,这样大家都能有条不紊地学习和生活。
咱们可以用原子结构示意图来表示原子的结构。
比如说,氧原子的结构示意图,中间是原子核,外面有电子层。
原子核里有质子和中子,质子带正电,中子不带电,而电子带负电。
对于氧原子来说,它的质子数是8,电子数也是8。
这8个电子就分布在不同的电子层上。
第一层最多能容纳2个电子,第二层最多能容纳8个电子,氧原子的电子排布就是2和6,先把第一层填满,剩下的电子就排在第二层。
二、最外层电子数与元素性质的关系同学们,这原子的最外层电子数可不得了,它和元素的化学性质有着密切的关系呢。
先来说说稀有气体元素。
像氦、氖、氩这些稀有气体元素,它们的原子最外层电子数达到了相对稳定的结构。
氦最外层有2个电子,其他的稀有气体最外层一般都是8个电子。
这种稳定结构就好比一个小家庭已经很美满了,不需要再和别的家庭有过多的交往,所以稀有气体的化学性质很不活泼,就像一个个低调的小隐士,很少参与化学反应。
再看看金属元素,金属原子的最外层电子数一般比较少,通常是13个。
比如说钠原子,最外层只有1个电子。
这个电子就像一个不安分的小调皮,很容易就跑掉了。
当它跑掉之后,钠原子就变成了钠离子,带了一个单位的正电荷。
第1节细胞膜的结构和功能[学习目标] 1.简述细胞膜的功能。
2.体会科学家探索细胞膜结构的过程。
3.简述细胞膜流动镶嵌模型的基本内容。
一、细胞膜的功能1.将细胞与外界环境分隔开(1)对细胞本身的意义:保障细胞内部环境的相对稳定,并成为相对独立的系统。
(2)在进化方面的意义:膜的出现是生命起源过程中至关重要的阶段,产生了原始的细胞。
2.控制物质进出细胞3.进行细胞间的信息交流方式实例化学物质(间接交流) 激素随血液可达全身各处,将信息传递给靶细胞直接接触精子和卵细胞之间的识别和结合形成通道高等植物细胞之间的胞间连丝判断正误(1)细胞膜是细胞的一道屏障,只有细胞需要的物质才能进入细胞,而对细胞有害的物质则不能进入()(2)进行细胞间的信息交流都依赖于靶细胞的细胞膜上的受体与信号分子结合()(3)高等植物的胞间连丝也能使细胞间进行物质交换()答案(1)×(2)×(3)√解析(1)细胞膜是细胞的一道屏障,细胞需要的物质可以进入细胞,对细胞有害的物质也有可能进入细胞,细胞膜的控制作用是相对的。
(2)高等植物细胞通过胞间连丝进行细胞间的信息交流,不经过靶细胞的细胞膜上的受体与信号分子结合。
1.如图表示细胞膜的功能模式图。
据图分析,下列说法不正确的是()A.功能①在生命起源过程中具有重要作用B.功能②表示进入细胞的物质对细胞都有利C.胰岛素调控生命活动可用图中③表示D.相邻的高等植物细胞可通过功能④进行信息交流答案 B解析功能①表示细胞膜将细胞与外界环境分隔开,在生命起源过程中具有重要作用,将生命物质与外界环境分隔开,产生了原始的细胞,并成为相对独立的系统,A正确;功能②表示控制物质进出细胞,一般是吸收有利物质,但有些有害物质也能进入细胞,说明细胞膜的控制作用是相对的,B错误;功能③表示进行细胞间的信息交流,激素通过与靶细胞的细胞膜上相应物质的识别来调控生命活动,C正确。
2.(2023·云南保山高一期末)如图是细胞间的3种信息交流方式,下列叙述错误的是()A.图1内分泌细胞产生的化学物质,随血液运输到全身各处,作用于靶细胞B.图2可表示精子与卵细胞之间的识别C.图中a表示受体,细胞膜上的受体是所有细胞间信息交流所必需的结构D.图中b表示胞间连丝,是植物细胞间传递信息的通道答案 C解析有些细胞间的信息交流可以不经过细胞膜上的受体,如高等植物细胞之间通过胞间连丝进行信息交流,C错误。
气体状态方程 热力学定律理想气体的状态方程:(1)理想气体:能够严格遵守气体实验定律的气体,称为理想气体。
理想气体是一种理想化模型。
实际中的气体在压强不太大,温度不太低的情况下,均可视为理想气体。
(2)理想气体的状态方程:C TPVT V P T V P ==或222111 一定质量的理想气体的状态发生变化时,它的压强和体积的乘积与热力学温度的比值保持不变。
即此值为—恒量。
热力学第一定律:(1)表达式为:ΔE=W+Q1.改变内能的两种方式:做功和热传递都可以改变物体的内能。
2.做功和热传递的本质区别:做功和热传递在改变物体内能上是等效的。
但二者本质上有差别。
做功是把其他形式的能转化为内能。
而热传递是把内能从一个物体转移到另一个物体上。
3.功、热量、内能改变量的关系——热力学第一定律。
①内容:在系统状态变化过程中,它的内能的改变量等于这个过程中所做功和所传递热量的总和。
②实质:是能量转化和守恒定律在热学中的体现。
③表达式:∆E W Q=+ ④为了区别不同情况,对∆E 、W 、Q 做如下符号规定: ∆E > 0 表示内能增加∆E < 0 表示内能减少Q > 0 表示系统吸热 Q < 0 表示系统放热 W > 0 表示外界对系统做功W < 0 表示系统对外界做功能的转化和守恒定律:1.物质有许多不同的运动形式,每一种运动形式都有一种对应的能。
2.各种形式的能都可以互相转化,转化过程中遵守能的转化和守恒定律。
3.能的转化和守恒定律:能量既不能凭空产生,也不会凭空消失,它只能从一种形式转化为别的形式,或者从一个物体转移到别的物体。
应注意的问题:1.温度与热量:①温度:温度是表示物体冷热程度的物理量。
从分子动理论观点看,温度是物体分子平均动能的标志。
温度是大量分子热运动的集体表现,含有统计意义,对个别分子来说,温度是没有意义的。
温度高低标志着物体内部的分子热运动的剧烈程度。
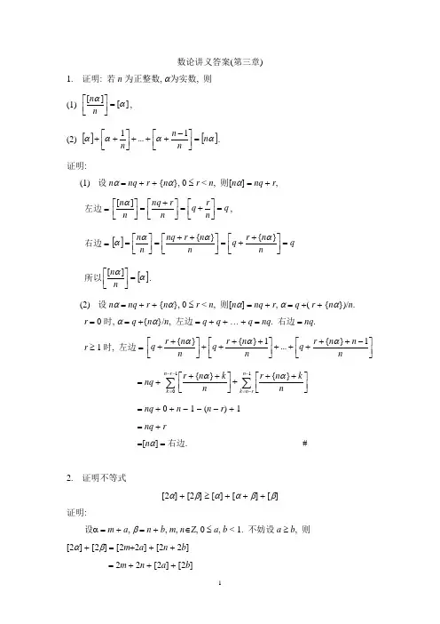
数论讲义答案(第三章)1. 证明: 若n 为正整数, α为实数, 则(1) ][][αα=⎥⎦⎤⎢⎣⎡n n , (2) [][]ααααn n n n =⎥⎦⎤⎢⎣⎡-+++⎥⎦⎤⎢⎣⎡++1...1. 证明:(1) 设n α = nq + r + {n α}, 0 ≤ r < n , 则[n α] = nq + r ,左边 = q n r q n r nq n n =⎥⎦⎤⎢⎣⎡+=⎥⎦⎤⎢⎣⎡+=⎥⎦⎤⎢⎣⎡][α, 右边 = []q n n r q n n r nq n n =⎥⎦⎤⎢⎣⎡++=⎥⎦⎤⎢⎣⎡++=⎥⎦⎤⎢⎣⎡=}{}{αααα 所以[]αα=⎥⎦⎤⎢⎣⎡n n ][. (2) 设n α = nq + r + {n α}, 0 ≤ r < n , 则[n α] = nq + r , α = q +( r + {n α})/n . r = 0时, α = q +{n α}/n , 左边 = q + q + … + q = nq . 右边 = nq .r ≥ 1时, 左边 = ⎥⎦⎤⎢⎣⎡-+++++⎥⎦⎤⎢⎣⎡++++⎥⎦⎤⎢⎣⎡++n n n r q n n r q n n r q 1}{...1}{}{ααα = nq +∑∑--=--=⎥⎦⎤⎢⎣⎡+++⎥⎦⎤⎢⎣⎡++11}{}{r n k n r n k n k n r n k n r αα = nq + 0 + n - 1 - (n - r ) + 1 = nq + r=[n α] = 右边. #2. 证明不等式[2α] + [2β] ≥ [α] + [α + β] + [β]证明:设α = m + a , β = n + b , m , n ∈Z , 0 ≤ a , b < 1. 不妨设a ≥ b , 则 [2α] + [2β] = [2m +2a ] + [2n + 2b ]= 2m + 2n + [2a ] + [2b ]而[α] + [α + β] + [β] = [m + a ] + [n + b ] + [m + n + a + b ]= 2m + 2n + [a ] + [b ] + [a +b ] = 2m + 2n + [a +b ]下证 [2a ] + [2b ] ≥ [a +b ] 而 a ≥ b , 故[2a ]≥[a +b ],自然有[2a ] + [2b ] ≥ [a +b ]. #3. 证明: 若a > 0, b > 0, n > 0, 满足n | a n - b n , 则n | (a n - b n )/(a -b ).证明:设p m || n , p 为一个素数, a - b = t , 若p |/t , 则由p m | a n - b n , 自然有p m | (a n - b n )/t . 现设p | t , 而tb t b t b a nn n n -+=-)( = ∑=--⎪⎪⎭⎫ ⎝⎛ni i i n t b i n 11因为!)1)...(1(11i t b i n n n t b i n i i n i i n ----+--=⎪⎪⎭⎫ ⎝⎛ (1) 在i = 1, 2, …, n 时, i !中含p 的最高方幂是∑∑∞=∞=≤-=<⎥⎦⎤⎢⎣⎡111k k kk i p ip i p i 又因p i -1 | t i -1, p m | n , 故由(1)可知p m | n i t b i n i i n ,...,1,1=⎪⎪⎭⎫ ⎝⎛--.即 p m | (a n - b n )/(a -b ). 把n 作因子分解并考察每一个素因子, 这就证明了n | (a n - b n )/(a -b ). #4. 证明: 若n ≥ 5, 2 ≤ b ≤ n , 则⎥⎦⎤⎢⎣⎡--b n b )!1(1. (1) 证明:若b < n , 则b (b -1) | (n -1)!, 即⎥⎦⎤⎢⎣⎡--b n b )!1(1, 且⎥⎦⎤⎢⎣⎡-b n )!1(∈Z , 故(1)成立. 若b = n , n 是一个合数且不是一个素数的平方, 可设b = n = rs , 1 < r < s < n , 由(n , n -1) = 1知s < n -1, 故b (b -1) = rs (n -1) | (n -1)!, (1)式成立.若b = n = p 2, p 是一个素数, 由n = p 2 ≥ 5知, 1 < p < 2p < p 2 - 1 = n - 1, 故p , 2p , n - 1是小于n 的三个不同的数. 故p ⋅2p ⋅(n -1) = 2b (b -1) | (n -1)!, 故(1)式成立.若b = n = p , p 是一个素数, 由(p -1)! + 1 ≡ 0 (mod p )知p p p p p p p p p p )1()!1(11)!1(11)!1()!1(---=-+-=⎥⎦⎤⎢⎣⎡-+-=⎥⎦⎤⎢⎣⎡- 即)1()!1()!1(---=⎥⎦⎤⎢⎣⎡-p p p p p , 而(p , p -1) = 1知(p -1)⎥⎦⎤⎢⎣⎡-p n )!1(, (1)成立. #5. 证明: 对于任意的正整数n ,)!1(!)!2(+n n n是一个整数.证明: 因为pot p ((2n )!) = ∑∞=⎥⎦⎤⎢⎣⎡12i i p n , pot p ((n )!) = ∑∞=⎥⎦⎤⎢⎣⎡1i i p n , pot p ((n +1)!) = ∑∞=⎥⎦⎤⎢⎣⎡+11i i p n .所以只需证∀ i ≥ 1, ⎥⎦⎤⎢⎣⎡++⎥⎦⎤⎢⎣⎡≥⎥⎦⎤⎢⎣⎡i i i p n p n p n 12. (*)设n = qp i + r , 0 ≤ r < p i , 则若r < p i - 1, 则,,1q p n q p n i i =⎥⎦⎤⎢⎣⎡=⎥⎦⎤⎢⎣⎡+(*)式成立. 若r = p i - 1, 则,,11q p n q p n i i =⎥⎦⎤⎢⎣⎡+=⎥⎦⎤⎢⎣⎡+而⎥⎦⎤⎢⎣⎡+⎥⎦⎤⎢⎣⎡+=+≥⎥⎦⎤⎢⎣⎡-++=⎥⎦⎤⎢⎣⎡-+=⎥⎦⎤⎢⎣⎡i i i i i i p n p n q p p q p p q p n i 1121122222, 故此时(*)式也成立. 所以)!1(!)!2(+n n n ∈Z . #6. 证明: 设∑==kj j n n 1, 则(1)!!...!!21k n n n n 是一个整数;(2) 如n 是一个素数, 而max(n 1, …, n k ) < n , 则!!...!!|21k n n n n n .证明:(1) 证法一 只需设n 1, n 2,…, n k 均为正数, 设p 为任意素数, 则v p ((n )!) = ∑∞=⎥⎦⎤⎢⎣⎡1i i p n , v p ((n j )!) = k j p n i i j ≤≤⎥⎦⎤⎢⎣⎡∑∞=0,1, 只需证∑=⎥⎦⎤⎢⎣⎡≥⎥⎦⎤⎢⎣⎡++k j i j ik p n p n n 11...对∀i ≥ 1均成立, 而由P64 性质2知这是显然的, 故!!...!!21k n n n n ∈Z .证法二 n = 2时,Z n n n n n n ∈⎪⎪⎭⎫ ⎝⎛=-111)!(!!, 假设n - 1时结论成立, 则当n 时Z n n n n n n n n n n n n n n n n n n n n k k k k ∈++++++=+++=)!()!...)((!!)!(!!...!)!...(!!...!!213212*********(由归纳假设知Z n n n n n n k ∈+++++)!()!...)((21321, 又!!)!(2121n n n n +∈Z .)(2) 若n 是素数, 且max(n 1, n 2,…,n k ) < n , 故n | n !, 而n |/n 1!, n 2!, …, n k !, 所以 !!...!!|21k n n n n n . #7. 证明: 如果在自然数列1 ≤ a 1 < a2 < … < a k ≤ n中, 任意两个数a i , a j 的最小公倍数[a i , a j ] > n , 则k ≤ ⎥⎦⎤⎢⎣⎡+21n . 证明:断言: 对于≤2n 的任意n + 1个正整数中, 至少有一个被另一个所整除. 设1 ≤ a 1 < a 2 < … < a n +1 ≤ 2n , a i = 2λi b i , λi ≥ 0, 2|/b i , 1 ≤ i ≤ n +1, 其中b i < 2n . 因为在1, 2, …, 2n 中只有n 个不同的奇数1, 3, …, 2n -1, 故b 1, b 2, …, b n +1中至少有两个相同. 设b i = b j , 1 ≤ i < j ≤ n +1, 于是在a i = 2λi b i 和a j = 2λj b i 中, 由a i < a j 知λi < λj . 故a i | a j .若k > ,21⎥⎦⎤⎢⎣⎡+n 当n = 2t 时, k > t n =⎥⎦⎤⎢⎣⎡+21, 故a 1, …, a k 为k (k ≥ t +1)个小于等于2t 的数, 故∃ i , j , 1 ≤ i < j ≤ k , 使得a i | a j . 故[a i , a j ] = a j ≤ n , 矛盾!若n = 2t + 1, 则k > ⎥⎦⎤⎢⎣⎡+21n = t + 1, 因为1, 2, …, n = 2t + 1中只能有t + 1个奇数, 故k 个数a 1, a 2, …, a k 中有一对数i , j , 1 ≤ i < j ≤ k , 使得a i | a j , 所以[a i , a j ] = a j ≤ n 矛盾. 故k ≤ ⎥⎦⎤⎢⎣⎡+21n . # 8. 证明: 若k > 0, 则∑==kd d u )(0)(ϕ. 证明:若∃ d , 使得ϕ(d ) = k ,则(1) 22 | d , 则u (d ) = 0不考虑.(2) 2 || d , 则(d /2, 2) = 1, 所以ϕ(d ) = ϕ(2⨯d /2) = ϕ(2)⨯ϕ(d /2) = ϕ(d /2) = k .而 u (d ) + u (d /2) = 0.(3) 2|/d , 则ϕ(2d ) = ϕ(2)⨯ϕ(d ) = ϕ(d ) = k , 而u (2d ) + u (d ) = 0. 故{u (d ) ≠ 0 | u (d ) = k }可分成若干对, 每对为u (d ) + u (2d ) = 0. 故∑==kd d u )(0)(ϕ. # 9. 证明∑=nd n u d u |22)()(.证明:由u (n )的定义有⎩⎨⎧=中含有平方因子中不含有平方因子n n n u ,0,1)(2, 当n 中不含有平方因子时, 显然∑==nd u d u |21)1()(当n 中含有平方因子时, 设n = n 02m , n 0 > 1, m 不含平方因子, 则0)()()()(1||.||0222022====∑∑∑∑>n d n d mn d nd d u d u d u d u .故=∑nd d u |2)(u 2(n ). #其实, 采用类似的方法可证⎩⎨⎧>=∑其它若,11,|,0)(|m n m d u k n d k. 10. 证明: 对于任一个素数p ,∑⎪⎩⎪⎨⎧≥===n d n p n n d p u d u | ,01, ,21,1)),(()(是其余情形若若若αα. 证明:n = 1结论显然. 若n = p α, α ≥ 1, 则2)()()1()1()),(()(|=+=∑p u p u u u d p u d u nd .若(n , p ) = 1, 则0)()),(()(||==∑∑nd nd d u d p u d u .若n = p αn 1, n 1 > 1, 则0)()()()()()()),(()(111|1|),(|1),(||=+=+=∑∑∑∑∑==n d n d pp d n d p d n d nd p u d u d u p u d u d u d p u d u #11. 证明∑=n d d d u n n |2)()()(ϕϕ 证明:n = 1时结论显然.n > 1时, 由于u (n ), ϕ(n )均是积性函数, 所以u 2(d )/ϕ(d ), ∑nd d d u |2)()(ϕ也是积性函数. 设n = p 1α1…p s αs , 则右边 = ∏∏∏===-=⎪⎪⎭⎫ ⎝⎛-+=⎪⎪⎭⎫ ⎝⎛+++sk s k s k kk k k k k k p p p p p u p p u k k 111221111)()(...)()(1ααϕϕ. 左边 =()∏∏∏===---=-=-sk k ksk kssk kssp p pp p pp p p p s s 111111111)1(...1 (11)αααα. 故 ∑=n d n n d d u |2)()()(ϕϕ. # 12. 证明: ∑=nd d d u |0)()(ϕ的充分必要条件是)2(mod 0≡n .证明:设n = k k p p αα (1)1, p 1, …, p k 为不同的素数, αi ≥ 1, i = 1, 2, …, k .)...()...(...)()()1()1()()(111|k kki iind p p pp u p p u u d d u ϕϕϕϕ+++=∑∑==∏∑==--++--+ki ikki i pp 11)1()1(...)1)(1(1=∏=--ki i p 1)11(所以,n pd d u ind |220)()(|⇔=∃⇔=∑某个ϕ. #13. 证明:)0(2)1()(1>+=⎥⎦⎤⎢⎣⎡∑=n n n d n d nd ϕ. 证明:n = 1时结论显然.假设对n = k 时成立, 即2)1()(1+=⎥⎦⎤⎢⎣⎡∑=k k d k d kd ϕ. 则n = k + 1时, 有)1(1)()(1)(1111++⎪⎪⎭⎫ ⎝⎛⎥⎦⎤⎢⎣⎡-⎥⎦⎤⎢⎣⎡++⎥⎦⎤⎢⎣⎡=⎥⎦⎤⎢⎣⎡+∑∑∑==+=k d k d k d d k d d k d kd k d k d ϕϕϕϕ =)1()(2)1(11|++++∑+<+k d k k k d k d ϕϕ = ∑+++1|)(2)1(k d d k k ϕ =12)1(+++k k k = 2)2)(1(++k k . #证法二 因为∑⎥⎦⎤⎢⎣⎡==⎥⎦⎤⎢⎣⎡d n k d n 11, 所以∑∑∑⎥⎦⎤⎢⎣⎡====⎥⎦⎤⎢⎣⎡d n k nd nd d d n d 1111)()(ϕϕ∑∑⎥⎦⎤⎢⎣⎡===d n k n d d 11)(ϕ∑∑=⎥⎦⎤⎢⎣⎡==nk k n d d 11)(ϕ∑=⎥⎦⎤⎢⎣⎡=n k k n k 1)(ϕ)(1k k n n k ϕ∑=⎥⎦⎤⎢⎣⎡= )(...)3(3)2(2)1(n n n n ϕϕϕϕ++⎥⎦⎤⎢⎣⎡+⎥⎦⎤⎢⎣⎡+=∑∑∑+++=nd d d d d d |2|1|)(...)()(ϕϕϕn +++=...21 2)1(+=n n . # 14. 计算S (n ) = ∑⎪⎭⎫⎝⎛n d d n u d u |)(.解:若n = 1, S (1) = 1, 若n = p 1…p k , 则S (n ) = ∑⎪⎭⎫⎝⎛nd d n u d u |)(= u (1)u (p 1p 2…p k ) + u (p 1)u (p 2…p k ) + … + u (p k )u (p 1…p k -1) +… + u (p 1p 2…p k )u (1)= (-1)k (k k kk C C C +++ (1)0) = 2k (-1)k若n = p 12p 2…p k , 则S (n ) = ∑+-==⎪⎭⎫⎝⎛nd k k p p p u p u d n u d u |1211)1()...()()(其余情形S (n ) = 0. # 15. 证明: n 是素数的充分必要条件是σ(n ) + ϕ(n ) = nd (n ). 证明:“⇒” 若n 为素数, 则σ(n ) = 1 + n , ϕ(n ) = n - 1, d (n ) = 2, 所以有σ(n ) + ϕ(n ) = nd (n ).“⇐” n , d (n ), ϕ(n ), σ(n )均是极性函数, 若n 不为素数的方幂, n = n 1n 2, (n 1, n 2) = 1,σ(n 1n 2) + ϕ(n 1n 2) = σ(n 1)σ(n 2) + ϕ(n 1)ϕ (n 2)≠ (σ(n 1)+ϕ(n 1))⋅( σ(n 2)+ ϕ (n 2)) = n 1n 2d (n 1n 2).若n = p α, α ≥ 1, σ(n ) = 1 + p + … + p α-1 + p α, ϕ(n ) = p α - p α-1, d (n ) = α + 1, 1 + p + … + p α-2 + 2p α = (α + 1)p α, 只有α = 1时σ(n ) + ϕ(n ) = nd (n )才成立, 即n 是素数. # 16. 证明: 如果有正整数n 满足ϕ(n + 3) = ϕ(n ) + 2, (1)则n = 2p α 或n + 3 = 2p α, 其中α ≥ 1, p ≡ 3 (mod 4), p 是素数. 证明:经验证可知n = 1, 2不满足(1)式, 设n > 2, 则ϕ(n ), ϕ(n +3)均为偶数. 由(1)知ϕ(n )和ϕ(n +3)不能同时被4整除, 故只能有ϕ(n ) ≡ 2 (mod 4), ϕ(n +3) ≡ 0 (mod 4)或ϕ(n ) ≡ 0 (mod 4), ϕ(n +3) ≡ 2 (mod 4).令n = 2α1p 2α2…p k αk , 则ϕ(n ) = 2α1-1p 2α2-1(p 2-1)…p k αk -1(p k -1). 由于ϕ(n )中2α1-1, (p 2-1), …, (p k -1)均被2整除, 若ϕ(n ) ≡ 2 (mod 4), 则n 只能含有一个奇素数因子, 因此n 有三种情况: (1) n = 2α1, 此时α1 = 2, 故n = 4; (2) n = p 2α2, 此时p 2满足p 2 ≡ 3 (mod 4); (3) n = 2α1p 2α2, 此时α1 = 1, p 2 ≡ 3 (mod 4), 即n = 2p 2α2. 因为ϕ(4) ≠ ϕ(1) + 2, 所以若ϕ(n +3) ≡ 2 (mod 4), 经类似的分析可得n + 3 = p α, 2p α, α ≥ 1, p ≡ 3 (mod 4). 设n = p α, 由(1)得ϕ(p α+3) = p α - p α-1 + 2 (2)设2t || p α + 3, t ≥ 1, 由(2)得 p α - p α-1 + 2 = ϕ(2t ⋅(p α + 3)/2t )= 2t -1⋅ϕ( (p α + 3)/2t ) ≤ 2t -1⋅( (p α + 3)/2t -1) = (p α + 3)/2-2t -1即有 p α - p α-1 + 2 ≤ (p α + 3)/2 - 1, 化简得p α ≤ 2p α-1 - 3, 也即3 ≤ p α-1(2-p ) 由于p > 2, 故 3 ≤ p α-1(2-p )不能成立. 同样可证n + 3 = p α时, (1)式不成立, 故n = 2p α或n + 3= 2p α. # 17. 证明ϕ(n ) ≥ n /d (n ).证明:设n 的标准分解式为s l s l p p n ...11=, 故ϕ(n )d (n ) = n (1-1/p 1)…(1-1/p s )(l 1 + 1)…(l s + 1) ≥ n (1/2)s 2s = n于是得ϕ(n ) ≥ n /d (n ). # 18. 求出满足ϕ(mn ) = ϕ(m ) + ϕ(n ) (1)的全部正整数对(m , n ). 解:设(m ,n ) = d , 则从ϕ(n )的公式不难有ϕ(mn ) = d ⋅ϕ(m )⋅ϕ(n )/ϕ(d ), 由(1)得ϕ(m ) + ϕ(n ) = d ⋅ϕ(m )⋅ϕ(n )/ϕ(d ), (2)设ϕ(m )/ϕ(d ) = a , ϕ(n )/ϕ(d ) = b , a , b 都是正整数, (2)化为1/a + 1/b = d (3)d > 2时, 易证(3)无正整数解, 在d = 1和d = 2时, (3)分别仅有正整数解a = b = 2和a = b = 1. 在d = 1, a = b = 2时, ϕ(m ) = ϕ(n ) = 2, 因此(m , n ) = (3, 4), (4, 3); 在d = 2, a = b = 1时, ϕ(m ) = ϕ(n ) = 1, 于是(m , n ) = (2, 2). # 19. 若n > 0, 满足24 | n + 1, 则24 | σ(n ). 证明:由24 | n + 1知n ≡ -1(mod 3)和n ≡ -1(mod 8), 设因子d | n , 则3|/d , 2|/d , 可设d ≡ 1, 2 (mod 3), d ≡ 1, 3, 5, 7(mod 8).因为d ⋅(n /d ) = n ≡ -1 (mod 3)和d ⋅(n /d ) = n ≡ -1(mod 8), 由此推出, d ≡ 1 (mod 3), n /d ≡ 2 (mod 3) 或d ≡ 2 (mod 3), n /d ≡ 1 (mod 3), 和d ≡ 3 (mod 8), n /d ≡ 5 (mod 8) 或d ≡ 5 (mod 8), n /d ≡ 3 (mod 8) 或d ≡ 1 (mod 8), n /d ≡ 7 (mod 8) 或d ≡ 7 (mod 8), n /d ≡ 1 (mod 8).每一种情形都有d + n /d ≡ 0 (mod 3), d + n /d ≡ 0 (mod 8), 故d + n /d ≡ 0(mod 24). 又若d = n /d , 则n = d 2, d > 1, 则因为2|/n , 所以2|/d , 但n = d 2 ≡ 1 (mod 8)矛盾. 所以n 的所有正因子可以配对, 每对为d , n /d , 故24 | σ(n ). # 20. 证明: 若n = p 1α1 p 2α2⋅⋅⋅ p k αk , k ≤ 8, 则ϕ(n ) > n /6. 证明:ϕ(n ) = ⎪⎪⎭⎫⎝⎛-⎪⎪⎭⎫ ⎝⎛-k p p n 11...111 而p i 越大, 1 - 1/p i 越大, 故只要证p 1, p 2, …, p 8为前8个素数时, ϕ(n ) > n /6成立即可, 即要证611911...511311211>⎪⎭⎫ ⎝⎛-⎪⎭⎫ ⎝⎛-⎪⎭⎫ ⎝⎛-⎪⎭⎫ ⎝⎛-, 而左边=6132332355296>, 即结论成立. # 21. 设w (1) = 0, n > 1, w (n )是n 的不同的素因子的个数, 证明:f (n ) = w (n )*μ(n ) = 0或1.证明:若n = p α (α ≥ 2)f (n ) = w (n )*u (n ) = ∑⎪⎭⎫⎝⎛nd d n w d u |)( = u (1)⋅w (p α) + u (p )⋅w (p α-1) = u (1)⋅1 + (-1)⋅1 = 0.若n = p ,f (n ) = w (n )*u (n ) = w (1)⋅u (p ) + w (p )⋅u (1) = 1若n = p 1α1 p 2α2⋅⋅⋅ p k αk , k ≥ 2, 则 f (n ) = w (n )*u (n )= ∑⎪⎭⎫⎝⎛nd d n w d u |)(= )1()1())1(()1(...)1()1()1(1110w C k k C k u C k u C k k k k k k kk -⋅+---⋅++-⋅-⋅+⋅⋅-- = 1|)')1((=-x k x= 0 # 22. 设f (x )的定义域是[0, 1]中的有理数,F (n ) = ()nknk f 1=∑, F *(n ) = ()n k nn k k f 1),(1==∑,证明: F *(n ) = μ(n )*F (n ). 证明:由Mobius 变换定理知, 等价于证明F (n ) = F *(n )*e (n ), 即要证F (n ) = ∑∑∑==⎪⎭⎫ ⎝⎛=nd dd k k nd d k f d F |1),(1|*)(. 而对于r /n , r = 1, 2, …, n 的每个分数, 既约后均为k /d , d | n , k ≤ d , (k , d ) = 1的形式, 即为某个r /n , 1 ≤ r ≤ n . 故∑∑∑===⎪⎭⎫⎝⎛=⎪⎭⎫ ⎝⎛n r nd dd k k n r f d k f 1|1),(1, 即F (n ) = ∑nd d F |*)(, 再由Mobius 逆变换即得. #23. 证明: 若f (n )是完全积性函数, 则对所有的数论函数g (n ), h (n ), 有f (n ) (g (n ) *h (n )) = (f (n )g (n )) * (f (n )h (n )).证明:f (n )⋅(g (n )*h (n )) = f (n )⋅(∑⎪⎭⎫⎝⎛nd d n h d g |)()= ∑⎪⎭⎫⎝⎛nd d n h d g n f |)()(= ∑⎪⎭⎫⎝⎛⎪⎭⎫ ⎝⎛nd d n h d n f d g d f |)()(= (f (n )⋅g (n ))*(f (n )⋅h (n )) #24. 证明: 若f (n )和f 1(n )各为g (n )和g 1(n )的麦比乌斯变换, 则()()d nnd dn nd f d g g d f 1|1|)()(∑=∑. 证明:f (n ) = ∑nd d g |)(, f 1(n ) = ∑nd d g |11)(,∑∑∑⎪⎭⎫⎝⎛=⎪⎭⎫ ⎝⎛nd n d dc d n g c g d n g d f |||11)()( ∑∑∑∑∑==⎪⎭⎫⎝⎛an b na n a an b n d b g a g b g a g d n f d g ||1||1|1)()()()()( 令b = n /d , 则(n /d ) | (n /a )⇒ a | d . 于是∑∑∑∑⎪⎭⎫⎝⎛=n d d a an b na d n g a gb g a g ||1||1)()()(.故∑∑⎪⎭⎫⎝⎛n d dc d n g c g ||1)(与∑∑n a an b b g a g ||1)()(展开式中每一项均相等, 因此()()d nnd dn nd f d g g d f 1|1|)()(∑=∑. # 证法二f = g *e ,f 1 =g 1*e , 则f *g 1 = g *e *g 1 = g *g 1*e = g *(g 1*e ) = g *f 1. # 25. 设f (x )是一个整系数多项式, ψ(n )代表f (0), f (1), ⋅⋅⋅ , f (n -1) (1)中与n 互素的数的个数, 证明: (1) ψ(n )是积性数论函数;(2) ψ(p α) = p α-1( p -b p ), b p 代表(1)中被素数p 整除的数的个数. 证明:(1) 需证 ∀(m , n ) = 1,f (0), f (1), …, f (n -1) f (n ), f (n + 1), …, f (2n -1) ……f ((m -1)⋅n ), f ((m -1)⋅n + 1), …, f ((m -1)⋅n + n -1)中与mn 互素的个数为ψ(m )ψ(n )个. 又f (x )为整系数多项式, 故 f (i + n ) ≡ f (i ) mod n f (i + m ) ≡ f (i ) mod m故上述mn 个数中每一行与n 互素的有ψ(n )个, 所以f (0), f (1), …., f ((m -1)⋅n + n -1)中共有m ψ(n )个与n 互素的数. 而f (i ), f (n + i ), …, f ((m -1)⋅n + i )由于i , n + i , …, (m -1)⋅n + i 恰好通过mod m 的一组完系, 所以上述m ψ(n )个与n 互素的数中有ψ(m )ψ(n )个与m 互素, 因此有ψ(mn ) = ψ(m )ψ(n ). (2) (a , p α) = 1⇔(a , p ) = 1, 而f (0), f (1), …, f (p -1) f (p ), f (p + 1), …, f (2p -1) ……f ((p α-1-1)⋅p ), f ((p α-1-1)⋅p + 1), …, f ((p α-1-1)⋅p + p -1) 每一行与p 互素个数为p -b p , 于是ψ(p α) = p α-1(p -b p ). # 26. 证明.))((())((2|3|t d t d nt nt ∑=∑证明:因为d 为积性函数, 故d 3, d 3*e , (d *e )2均为积性函数, 故只需对n = 1及n = p α证明上式即可!n = 1时, 左边 = 1 = 右边, 故命题成立. n = p α时, p 为素数, α ≥ 1时()()223330303|32141)1(...21)1())(())((++=++++=+==∑∑∑==ααααααi i ipt i p d t d ()()∑∑∑∑=++=⎪⎭⎫ ⎝⎛+=⎪⎭⎫ ⎝⎛=⎪⎪⎭⎫ ⎝⎛==ααααααp t i i i p t t d i p d t d |32220202|))((2141)1()()(. # 27. 找出所有的正整数n 分别满足(1) ϕ(n ) = n /2; (2) ϕ(n ) = ϕ(2n ); (3) ϕ(n ) = 12.证明: 设n = p 1α1 p 2α2⋅⋅⋅ p k αk , p 1 < p 2 < … < p k , 则ϕ(n ) = n (1-1/p 1)…(1-1/p k ).(1) 若ϕ(n ) = n /2, 则(1-1/p 1)…(1-1/p k ) = 1/2.若t = 1, 则p 1 = 2, n = 2α即为所求.若p 1 ≠ 2, (1-1/p 1)…(1-1/p k ) = 1/2, 则2(p 1-1)…(p k -1) = p 1p 2…p k , 而p 1, p 2, …, p k 均为不同的奇素数, 所以此时ϕ(n ) = n /2不成立.(2) 若n 为奇数, p 1, p 2, …, p k 均为不同的奇素数, 则)(11...1111...112112)2(11n p p n p p n n k k ϕϕ=⎪⎪⎭⎫ ⎝⎛-⎪⎪⎭⎫ ⎝⎛-=⎪⎪⎭⎫ ⎝⎛-⎪⎪⎭⎫ ⎝⎛-⎪⎭⎫ ⎝⎛-=. 若n 为偶数, 设p 1 = 2, 则)(211...211211...112112)2(2n p n p p n n t ϕϕ=⎪⎪⎭⎫ ⎝⎛-⎪⎭⎫ ⎝⎛-=⎪⎪⎭⎫ ⎝⎛-⎪⎪⎭⎫ ⎝⎛-⎪⎭⎫ ⎝⎛-=. 所以当n 是奇数时, ϕ(n ) = ϕ(2n ).(3) 若ϕ(n ) = p 1α1-1(p 1-1) p 2α2-1(p 2-1)⋅⋅⋅ p k αk -1(p k -1) = 12, 则p i - 1 | 12, i = 1,2, …, k . 故p i ∈ {2, 3, 5, 7, 13}且k ≤ 3, αi ≤ 3, i = 1, 2, …, k . 则若2|/n , ϕ(n ) = 12, 则n = 13, 3⨯7; 若2||n , 则n = 2⨯13, 2⨯3⨯7; 若4 || n , 则n = 4⨯7. 若2k || n (k ≥ 3), 则ϕ(n ) = ϕ(2k )⋅ϕ(n /2k ) = 2k -1⋅ϕ(n /2k ) = 12没有整数解, 所以ϕ(n ) = 12的解只有n = 13, 3⨯7, 2⨯13, 2⨯3⨯7, 4⨯7. #28. 证明: 设p n 表示第n 个素数, 则存在正常数C 1, C 2使C 1 n log n < p n < C 2 n log n .证明:n ≥ 2时, 由第7节定理1有nnn n n log 12)(log 81≤≤π将n 换成p n , 有nn n np p n p p log 12log 81≤≤. (1)上面不等式左边给出 p n ≤ 8n log p n . (2) 两边取对数有 log p n ≤ log8n + loglog p n . (3) 又x > 1时, log x < x /2, 所以loglog p n < log p n /2. 所以由(3)式, 有log p n /2<log8n . log p n <2log8n ≤8log n (因为n ≥ 2, (8n )2 ≤ n 8)再由(2)有, p n <64n log n , 取C 2 = 64即可. 而(1)的右边给出p n ≥ n log p n /12> n log n /12, 故取C 1 = 1/12即可. 即(1/12) n log n < p n < 64 n log n . #29. 证明: 设f 1 = f 2 = 1, F n +2 = F n +1 + F n (n ≥ 0), 则(F m , F n ) = F (m , n ).证明:(1) 首先证明对于n ≥ 2, m ≥ 1有f n +m = f n -1f m + f n f m +1, (*)对m 归纳证之m = 1时, 要证f n +1 = f n -1f 1 + f n f 2 = f n -1 + f n 即可. 假设小于m 时(*)成立. 则等于m 时, 由题设 f n +m = f n +m -1 + f n +m -2= (f n -1f m -1 + f n f m ) + (f n -1f m -2+f n f m -1) (归纳假设) = f n -1(f m -1 + f m -2) + f n (f m + f m -1) = f n -1 f m + f n f m +1 (m ≥ 3)m = 2时, f n +2 = f n +1 + f n = f n + f n -1 + f n = 2f n + f n -1f 2 = f n -1f 2 + f n f 3 故(*)成立.(2) 若m | n , 则f m | f n , 事实上, 设n = mn 1, 对n 1归纳, n 1 = 1时显然, 设f m | f mn 1, 则f m (n 1+1) = f mn 1+m )1(=f mn 1-1⋅f m + f mn 1⋅f m +1 故f m | f m (n 1+1) 故m | n 时, f m | f n . (3) (f n , f n + 1) = 1, n ≥ 1设(f n , f n + 1) = d , 则由题设 f n + 1 = f n +f n - 1 ⇒ d | f n - 1, 继续下去得d | f 1 = 1, 即d = 1. (4) 设m > n , (f m , f n ) =f (m , n ). 若m = n , 显然. 事实上, 设m = nq + r , 0 < r < n .(因若n | m , 由(2)显然). 由(1)及(2)有:(f m , f n ) = (f nq + r , f n )= (f nq - 1f r + f nq f r + 1, f n ) nqn f f |=(f nq - 1f r , f n )而f n | f nq , (f nq - 1, f nq ) = 1, ∴(f nq - 1, f n ) = 1, ∴(f m , f n ) = (f r , f n )令n = q 1r + r 0, 同上又有(f r , f n ) = (f r , f r 0) =…=f (m , n ). # 30. 证明: 设f (n )是一个积性函数, 则对素数的方幂p α (α ≥ 1)有f ( p α) = f ( p )α,则f (n )是完全积性函数. 证明:设m = p 1α1 p 2α2⋅⋅⋅ p k αk , n = p 1β1 p 2β2⋅⋅⋅ p k βk , αi ≥ 0, βi ≥ 0, i = 1, 2 , …, k .f (m ) = f (p 1α1 p 2α2⋅⋅⋅ p k αk ) = f (p 1α1)…f (p k αk ) = f (p 1)α1…f (p k )αk .同理, f (n ) = f (p 1)β1…f (p k )βk . 所以f (mn ) = f (p 1α1+β1p 2α2+β2⋅⋅⋅ p k αk +βk ) = f (p 1)α1+β1…f (p k )αk +βk . #31. 证明: 若F (n ), f (n )是两个数论函数, 则F (n ) = nd |∏f (d )的充分必要条件是f (n ) = nd |∏F (d )μ(n /d ).证明:“⇒”)/(||1|)/(1)()(d n u n d dd nd d n u d f d F ∏∏∏== )/(|)/(|1111)(td n u n d d n t d f ∏∏(d = d 1t )= ∑∏)1/(|11)/(|1)(d n t td n u nd d f = ∏=11|1)(d n nd d f= f (n )“⇐”)/(||1|)/(1)()(d n u n d dd nd d n u d F d f ∏∏∏== )/(|)/(|1111)(td n u n d d n t d F ∏∏ (d = d 1t )= ∑∏)1/(|11)/(|1)(d n t td n u nd d F= ∏=11|1)(d n n d d F= F (n ) #。
第三章 匹配理论§3.1 匹配与最大匹配定义3.1.1 设G 是一个图, )(G E M ⊆,满足:对i e ∀,M e j ∈,i e 与j e 在G 中不相邻,则称M 是G 的一个匹配。
对匹配M 中每条边uv e =,其两端点 u 和 v 称为被匹配M 所匹配,而 u 和 v 都称为是M 饱和的(saturated vertex )。
注:每个顶点要么未被M 饱和, 要么仅被M 中一条边饱和。
定义3.1.2 设M 是G 的一个匹配, 若G 中无匹配M ′, 使得||||M M >′, 则称M 是G 的一个最大匹配;如果G 中每个点都是M 饱和的, 则称M 是G 的完美匹配(Perfect matching ).显然, 完美匹配必是最大匹配。
例如,在下图G 1中,边集{e 1}、{e 1,e 2}、{e 1,e 2,e 3}都构成匹配,{e 1,e 2,e 3}是G 1的一个最大匹配。
在 G 2中,边集{e 1,e 2,e 3,e 4}是一个完美匹配,也是一个最大匹配。
定义3.1.3 设M 是G 的一个匹配, G 的M 交错路是指其边M 和M G E \)(中交替出现的路。
如果G 的一条M 交错路(alternating path)的起点和终点都是M 非饱和的,则称其为一条M 可扩展路或M 增广路(augmenting path)。
定理 3.1.1(Berge,1957) 图G 的匹配M 是最大匹配的充要条件是G 中不存在M 可扩展路。
证明:必要性:设M 是G 的一个最大匹配。
如果G 中存在一个M 可扩展路P ,则将P 上所有不属于M 的边构成集合M ′。
显然M ′也是G 的一个匹配且比M 多一条边。
这与M 是最大匹配相矛盾。
充分性:设G 中不存在M 可扩展路。
若匹配M 不是最大匹配,则存在另一匹配M ′,使||||M M >′. 令][M M G H ′⊕=,(M M M M M M ′−′=′⊕∩∪称为对称差)。
高中化学选修三第三章晶体结构与性质一、晶体常识1、晶体与非晶体比较自范性:晶体的适宜的条件下能自发的呈现封闭的,规则的多面体外形。
对称性:晶面、顶点、晶棱等有规律的重复各向异性:沿晶格的不同方向,原子排列的周期性和疏密程度不尽相同,因此导致的在不同方向的物理化学特性也不尽相同。
2、获得晶体的三条途径①熔融态物质凝固。
②气态物质冷却不经液态直接凝固(凝华)。
③溶质从溶液中析出。
3、晶胞晶胞是描述晶体结构的基本单元。
晶胞在晶体中的排列呈“无隙并置”。
4、晶胞中微粒数的计算方法——均摊法某粒子为n个晶胞所共有,则该粒子有1/n属于这个晶胞。
中学常见的晶胞为立方晶胞。
立方晶胞中微粒数的计算方法如下:①晶胞顶角粒子为8个晶胞共用,每个晶胞占1/8②晶胞棱上粒子为4个晶胞共用,每个晶胞占1/4③晶胞面上粒子为2个晶胞共用,每个晶胞占1/2④晶胞内部粒子为1个晶胞独自占有,即为1注意:在使用“均摊法”计算晶胞中粒子个数时要注意晶胞的形状。
二、构成物质的四种晶体1、四种晶体的比较(1)不同类型晶体的熔、沸点高低一般规律:原子晶体>离子晶体>分子晶体。
金属晶体的熔、沸点差别很大,如钨、铂等熔、沸点很高,汞、铯等熔、沸点很低。
(2)原子晶体由共价键形成的原子晶体中,原子半径小的键长短,键能大,晶体的熔、沸点高。
如熔点:金刚石>碳化硅>硅(3)离子晶体一般地说,阴阳离子的电荷数越多,离子半径越小,则离子间的作用力就越强,相应的晶格能大,其晶体的熔、沸点就越高。
晶格能:1mol气态阳离子和1mol气态阴离子结合生成1mol离子晶体释放出的能量。
(4)分子晶体①分子间作用力越大,物质熔、沸点越高;具有氢键的分子晶体熔、沸点反常的高。
②组成和结构相似的分子晶体,相对分子质量越大,熔、沸点越高。
③组成和结构不相似的物质(相对分子质量接近),分子的极性越大,熔、沸点越高。
④同分异构体,支链越多,熔、沸点越低。
(5)金属晶体金属离子半径越小,离子电荷数越多,其金属键越强,金属熔、沸点就越高。
3.2空间向量的坐标[读教材·填要点]1.定理1设e1,e2,e3是空间中三个两两垂直的单位向量,则(1)空间中任意一个向量v可以写成这三个向量的线性组合:v=xe1+ye2+ze3.(2)上述表达式中的系数x,y,z由v唯一决定,即:如果v=xe1+ye2+ze3=x′e1+y′e2+z′e3,则x=x′,y=y′,z=z′.2.定理2(空间向量基本定理)设e1,e2,e3是空间中三个不共面的单位向量,则(1)空间中任意一个向量v可以写成这三个向量的线性组合:v=xe1+ye2+ze3.(2)上述表达式中的系数x,y,z由v唯一决定,即:如果v=xe1+ye2+ze3=x′e1+y′e2+z′e3,则x=x′,y=y′,z=z′.3.空间向量运算的坐标公式(1) 向量的加减法:(x1,y1,z1)+(x2,y2,z2)=(x1+x2,y1+y2,z1+z2),(x1,y1,z1)-(x2,y2,z2)=(x1-x2,y1-y2,z1-z2).(2)向量与实数的乘法:a(x,y,z) =(ax,ay,az).(3)向量的数量积:(x1,y1,z1)·(x2,y2,z2)=x1x2+y1y2+z1z2.(4)向量v=(x,y,z)的模的公式:|v|=x2+y2+z2.(5)向量(x1,y1,z1),(x2,y2,z2)所成的角α的公式:cos α=x1x2+y1y2+z1z2x21+y21+z21x22+y22+z22.4.点的坐标与向量坐标(1)一个向量在直角坐标系中的坐标等于表示这个向量的有向线段的终点的坐标减去起点的坐标.(2)两点A (x 1,y 1,z 1),B (x 2,y 2,z 2)的距离d AB 为:d AB =x 2-x 12+y 2-y 12+z 2-z 12.(3)线段的中点坐标,等于线段两端点坐标的平均值.[小问题·大思维]1.空间向量的基是唯一的吗?提示:由空间向量基本定理可知,任意三个不共面向量都可以组成空间的一组基,所以空间的基有无数个,因此不唯一.2.命题p :{a ,b ,c }为空间的一个基底;命题q :a ,b ,c 是三个非零向量,则命题p 是q 的什么条件?提示:p ⇒q ,但qp ,即p 是q 的充分不必要条件.3.空间向量的坐标运算与坐标原点的位置是否有关系?提示:空间向量的坐标运算与坐标原点的位置选取无关,因为一个确定的几何体,其线线、线面、面面的位置关系是固定的,坐标系的不同,只会影响其计算的繁简.4.平面向量的坐标运算与空间向量的坐标运算有什么联系与区别?提示:平面向量与空间向量的坐标运算均有加减运算,数乘运算,数量积运算,其算理是相同的.但空间向量要比平面向量多一竖坐标,竖坐标的处理方式与横、纵坐标是一样的.空间向量基本定理的应用空间四边形OABC 中,G ,H 分别是△ABC ,△OBC 的重心,设OA ―→=a ,OB ―→=b ,OC ―→=c ,试用向量a ,b ,c 表示向量OG ―→和GH ―→.[自主解答] ∵OG ―→=OA ―→+AG ―→, 而AG ―→=23AD ―→,AD ―→=OD ―→-OA ―→.∵D 为BC 的中点, ∴OD ―→=12(OB ―→+OC ―→)∴OG ―→=OA ―→+23AD ―→=OA ―→+23(OD ―→-OA ―→)=OA ―→+23·12(OB ―→+OC ―→)-23OA ―→=13(OA ―→+OB ―→+OC ―→)=13(a +b +c ). 而GH ―→=OH ―→-OG ―→,又∵OH ―→=23OD ―→=23·12(OB ―→+OC ―→)=13(b +c )∴GH ―→=13(b +c )-13(a +b +c )=-13a .∴OG ―→=13(a +b +c );GH ―→=-13a .本例条件不变,若E 为OA 的中点,试用a ,b ,c 表示DE ―→和EG ―→. 解:如图,DE ―→=OE ―→-OD ―→=12OA ―→-12(OB ―→+OC ―→) =12a -12b -12c . EG ―→=OG ―→-OE ―→=13(OA ―→+OB ―→+OC ―→)-12OA ―→ =-16OA ―→+13OB ―→+13OC ―→=-16a +13b +13c .用基表示向量时:(1)若基确定,要充分利用向量加法、减法的三角形法则和平行四边形法则,以及数乘向量的运算律进行.(2)若没给定基时,首先选择基,选择时,要尽量使所选的基向量能方便地表示其他向量,再就是看基向量的模及其夹角已知或易求.1.如图所示,已知平行六面体ABCD A 1B 1C 1D 1,设AB ―→=a ,AD ―→=b ,AA 1―→=c ,P 是CA 1的中点,M 是CD 1的中点.用基底{a ,b ,c }表示以下向量:(1)AP ―→;(2)AM ―→. 解:连接AC ,AD 1, (1)AP ―→=12(AC ―→+AA 1―→)=12(AB ―→+AD ―→+AA 1―→) =12(a +b +c ). (2)AM ―→=12(AC ―→+AD 1―→)=12(AB ―→+2AD ―→+AA 1―→) =12a +b +12c . 空间向量的坐标运算已知空间三点A (-2,0,2),B (-1,1,2),C (-3,0,4),设a =AB ―→,b =AC ―→.(1)设|c |=3,c ∥BC ―→,求c .(2)若ka +b 与ka -2b 互相垂直,求k .[自主解答] (1)∵BC ―→=(-2,-1,2)且c ∥BC ―→, ∴设c =λBC ―→=(-2λ,-λ,2λ). ∴|c |=-2λ2+-λ2+2λ2=3|λ|=3.解得λ=±1,∴c =(-2,-1,2)或c =(2,1,-2). (2)∵a =AB ―→=(1,1,0),b =AC ―→=(-1,0,2), ∴ka +b =(k -1,k,2),ka -2b =(k +2,k ,-4). ∵(ka +b )⊥(ka -2b ),∴(ka +b )·(ka -2b )=0.即(k -1,k,2)·(k +2,k ,-4)=2k 2+k -10=0. 解得k =2或k =-52.本例条件不变,若将(2)中“互相垂直”改为“互相平行”,k 为何值? 解:∵ka +b =(k -1,k,2),ka -2b =(k +2,k ,-4),设ka +b =λ(ka -2b ),则⎩⎪⎨⎪⎧k -1=λk +2,k =λk ,2=-4λ,∴k =0.已知两个向量垂直(或平行)时,利用坐标满足的条件可得到方程(组)进而求出参数的值.这是解决已知两向量垂直(或平行)求参数的值的一般方法.在求解过程中一定注意合理应用坐标形式下的向量运算法则,以免出现计算错误.2.若a =(1,5,-1),b =(-2,3,5).分别求满足下列条件的实数k 的值: (1)(ka +b )∥(a -3b ); (2)(ka +b )⊥(a -3b ).解:ka +b =(k -2,5k +3,-k +5),a -3b =(1+3×2,5-3×3,-1-3×5)=(7,-4,-16). (1)若(ka +b )∥(a -3b ), 则k -27=5k +3-4=-k +5-16,解得k =-13.(2)若(ka +b )⊥(a -3b ),则(k -2)×7+(5k +3)×(-4)+(-k +5)×(-16)=0, 解得k =1063.点的坐标与向量坐标在直三棱柱ABO A 1B 1O 1中,∠AOB =π2,AO =4,BO =2,AA 1=4,D 为A 1B 1的中点,在如图所示的空间直角坐标系中,求DO ―→,A 1B ―→的坐标.[自主解答] (1)∵DO ―→=-OD ―→=-(OO 1―→+O 1D ―→) =-⎣⎢⎡⎦⎥⎤OO 1―→+12(OA ―→+OB ―→)=-OO 1―→-12OA ―→-12OB ―→.又|OO 1―→|=4,|OA ―→|=4,|OB ―→|=2, ∴DO ―→=(-2,-1,-4).(2)∵A 1B ―→=OB ―→-OA 1―→=OB ―→-(OA ―→+AA 1―→) =OB ―→-OA ―→-AA 1―→.又|OB ―→|=2,|OA ―→|=4,|AA 1―→|=4, ∴A 1B ―→=(-4,2,-4).用坐标表示空间向量的方法步骤为:3.如图所示,PA 垂直于正方形ABCD 所在的平面,M ,N 分别是AB ,PC 的中点,并且PA =AB =1.试建立适当的空间直角坐标系,求向量MN ―→的坐标.解:∵PA =AB =AD =1,PA ⊥平面ABCD ,AB ⊥AD , ∴AB ―→,AD ―→,AP ―→是两两垂直的单位向量.设AB ―→=e 1,AD ―→=e 2,AP ―→=e 3,以{e 1,e 2,e 3}为基底建立空间直角坐标系Axyz .法一:∵MN ―→=MA ―→+AP ―→+PN ―→=-12AB ―→+AP ―→+12PC ―→=-12AB ―→+AP ―→+12(PA ―→+AC ―→)=-12AB ―→+AP ―→+12(PA ―→+AB ―→+AD ―→)=12AD ―→+12AP ―→=12e 2+12e 3, ∴MN ―→=⎝ ⎛⎭⎪⎫0,12,12.法二:如图所示,连接AC ,BD 交于点O . 则O 为AC ,BD 的中点,连接MO ,ON , ∴MO ―→=12BC ―→=12AD ―→,ON ―→=12AP ―→,∴MN ―→=MO ―→+ON ―→ =12AD ―→+12AP ―→ =12e 2+12e 3. ∴MN ―→=⎝ ⎛⎭⎪⎫0,12,12.解题高手多解题条条大路通罗马,换一个思路试一试已知矩形ABCD ,P 为平面ABCD 外一点,且PA ⊥平面ABCD ,M ,N 分别为PC ,PD 上的点,且PM ―→=2MC ―→,N 为PD 的中点,求满足MN ―→=x AB ―→+y AD ―→+z AP ―→的实数x ,y ,z 的值.[解] 法一:如图所示,取PC 的中点E ,连接NE ,则MN ―→=EN ―→-EM ―→.∵EN ―→=12CD ―→=12BA ―→=-12AB ―→,EM ―→=PM ―→-PE ―→=23PC ―→-12PC ―→=16PC ―→,连接AC ,则PC ―→=AC ―→-AP ―→=AB ―→+AD ―→-AP ―→, ∴MN ―→=-12AB ―→-16(AB ―→+AD ―→-AP ―→)=-23AB ―→-16AD ―→+16AP ―→,∴x =-23,y =-16,z =16.法二:如图所示,在PD 上取一点F ,使PF ―→=2FD ―→,连接MF , 则MN ―→=MF ―→+FN ―→, 而MF ―→=23CD ―→=-23AB ―→,FN ―→=DN ―→-DF ―→=12DP ―→-13DP ―→=16DP ―→=16(AP ―→-AD ―→), ∴MN ―→=-23AB ―→-16AD ―→+16AP ―→.∴x =-23,y =-16,z =16.法三:MN ―→=PN ―→-PM ―→=12PD ―→-23PC ―→=12(PA ―→+AD ―→)-23(PA ―→+AC ―→) =-12AP ―→+12AD ―→-23(-AP ―→+AB ―→+AD ―→)=-23AB ―→-16AD ―→+16AP ―→,∴x =-23,y =-16,z =16.[点评] 利用基向量表示空间中某一向量的方法步骤为: ①找到含有空间向量的线段为一边的一个封闭图形;②结合平行四边形法则或三角形法则,用基向量表示封闭图形的各边所对应的向量; ③写出结论.1.已知空间四边形OABC ,其对角线为AC ,OB ,M ,N 分别是OA ,BC 的中点,点G 是MN 的中点,则OG ―→等于( )A.16OA ―→+13OB ―→+13OC ―→B.14(OA ―→+OB ―→+OC ―→)C.13(OA ―→+OB ―→+OC ―→)D.16OB ―→+13OA ―→+13OC ―→ 解析:如图,OG ―→=12(OM ―→+ON ―→)=12OM ―→+12×12(OB ―→+OC ―→) =14OA ―→+14OB ―→+14OC ―→ =14(OA ―→+OB ―→+OC ―→). 答案:B2.已知a =(1,-2,1),a +b =(-1,2,-1),则b 等于( ) A .(2,-4,2) B .(-2,4,-2) C .(-2,0,-2) D .(2,1,-3)解析:b =(a +b )-a=(-1,2,-1)-(1,-2,1)=(-2,4,-2). 答案:B3.a =(2x,1,3),b =(1,-2y,9),如果a 与b 为共线向量,则( ) A .x =1,y =1 B .x =12,y =-12C .x =16,y =-32D .x =-16,y =32解析:∵a =(2x,1,3)与b =(1,-2y,9)共线,故有2x 1=1-2y =39,∴x =16,y =-32.答案:C4.已知点A (-1,3,1),B (-1,3,4),D (1,1,1),若AP ―→=2PB ―→,则|PD ―→|的值是________. 解析:设点P (x ,y ,z ),则由AP ―→=2PB ―→, 得(x +1,y -3,z -1)=2(-1-x,3-y,4-z ),则⎩⎪⎨⎪⎧x +1=-2-2x ,y -3=6-2y ,z -1=8-2z ,解得⎩⎪⎨⎪⎧x =-1,y =3,z =3,即P (-1,3,3), 则|PD ―→|=-1-12+3-12+3-12=12=2 3. 答案:2 35.已知空间三点A (1,1,1),B (-1,0,4),C (2,-2,3),则AB ―→与CA ―→的夹角θ的大小是________.解析:AB ―→=(-2,-1,3),CA ―→=(-1,3,-2),cos 〈AB ―→,CA ―→〉=-2×-1+-1×3+3×-214·14=-714=-12, ∴θ=〈AB ―→,CA ―→〉=120°. 答案:120°6.已知PA 垂直于正方形ABCD 所在的平面,M ,N 分别是AB ,PC 的三等分点且|PN ―→|=2|NC ―→|,|AM ―→|=2|MB ―→|,PA =AB =1,求MN ―→的坐标.解:法一:∵PA =AB =AD =1,且PA 垂直于平面ABCD ,AD ⊥AB ,∴可设DA ―→=i ,AB ―→=j ,AP ―→=k ,以i ,j ,k为单位正交基底建立如图所示的空间直角坐标系.∵MN ―→=MA ―→+AP ―→+PN ―→ =-23AB ―→+AP ―→+23PC ―→=-23AB ―→+AP ―→+23(-AP ―→+AD ―→+AB ―→)=13AP ―→+23AD ―→=13k +23(-DA ―→) =-23i +13k ,∴MN ―→=⎝ ⎛⎭⎪⎫-23,0,13.法二:设DA ―→=i ,AB ―→=j ,AP ―→=k ,以i ,j ,k 为单位正交基底建立如图所示的空间直角坐标系,过M 作AD 的平行线交CD 于点E ,连接EN .∵MN ―→=ME ―→+EN ―→=AD ―→+13DP ―→=-DA ―→+13(DA ―→+AP ―→)=-i +13(i +k )=-23i +13k ,∴MN ―→=⎝ ⎛⎭⎪⎫-23,0,13.一、选择题1.已知a ,b ,c 是不共面的三个向量,则能构成空间的一个基的一组向量是( ) A .3a ,a -b ,a +2b B .2b ,b -2a ,b +2a C .a,2b ,b -cD .c ,a +c ,a -c解析:对于A ,有3a =2(a -b )+a +2b ,则3a ,a -b ,a +2b 共面,不能作为基;同理可判断B 、D 错误.答案:C2.以正方体ABCD A 1B 1C 1D 1的顶点D 为坐标原点,如图建立空间直角坐标系,则与DB 1―→共线的向量的坐标可以是( )A .(1,2,2)B .(1,1,2)C .(2,2,2)D .(2,2,1)解析:设正方体的棱长为1,则由图可知D (0,0,0),B 1(1,1,1), ∴DB 1―→=(1,1,1),∴与DB 1―→共线的向量的坐标可以是(2,2,2). 答案:C3.空间四边形OABC 中,OA ―→=a ,OB ―→=b ,OC ―→=c ,点M 在OA 上,且OM ―→=2MA ―→,N 为BC 中点,则MN ―→为( )A.12a -23b +12c B .-23a +12b +12cC.12a +12b -23c D.23a +23b -12c 解析:MN ―→=MA ―→+AB ―→+BN ―→ =13OA ―→+OB ―→-OA ―→+12(OC ―→-OB ―→) =-23OA ―→+12OB ―→+12OC ―→=-23a +12b +12c .答案:B4.若a =(1,λ,2),b =(2,-1,2),且a 与b 的夹角的余弦值为89,则λ=( )A .2B .-2C .-2或255D .2或-255解析:因为a ·b =1×2+λ×(-1)+2×2=6-λ,又因为a ·b =|a ||b |·cos〈a ,b 〉=5+λ2·9·89=835+λ2,所以835+λ2=6-λ.解得λ=-2或255.答案:C 二、填空题5.已知a =(2,-1,3),b =(-4,2,x ),c =(1,-x,2),若(a +b )⊥c ,则x =________. 解析:∵a +b =(-2,1,x +3), ∴(a +b )·c =-2-x +2(x +3)=x +4. 又∵(a +b )⊥c , ∴x +4=0,即x =-4. 答案:-46.已知向量a =(2,-1,3),b =(-1,4,-2),c =(7,0,λ),若a ,b ,c 三个向量共面,则实数λ=________.解析:由a ,b ,c 共面可得c =xa +yb , ∴⎩⎪⎨⎪⎧7=2x -y ,0=-x +4y ,λ=3x -2y ,解得λ=10.答案:107.若a =(x,2,2),b =(2,-3,5)的夹角为钝角,则实数x 的取值X 围是________. 解析:a ·b =2x -2×3+2×5=2x +4,设a ,b 的夹角为θ,因为θ为钝角,所以cosθ=a ·b|a ||b |<0,又|a |>0,|b |>0,所以a ·b <0,即2x +4<0,所以x <-2,所以实数x 的取值X 围是(-∞,2).答案:(-∞,-2)8.已知M 1(2,5,-3),M 2(3,-2,-5),设在线段M 1M 2上的一点M 满足M 1M 2―→=4MM 2―→,则向量OM ―→的坐标为________.解析:设M (x ,y ,z ),则M 1M 2―→=(1,-7,-2),MM 2―→=(3-x ,-2-y ,-5-z ).又∵M 1M 2―→=4MM 2―→,∴⎩⎪⎨⎪⎧1=43-x ,-7=4-2-y ,-2=4-5-z ,∴⎩⎪⎨⎪⎧x =114,y =-14,z =-92.答案:⎝⎛⎭⎪⎫114,-14,-92三、解答题9.已知△ABC 三个顶点的坐标分别为A (1,2,3),B (2,-1,5),C (3,2,-5). (1)求△ABC 的面积; (2)求△ABC 中AB 边上的高.解:(1)由已知得AB ―→=(1,-3,2),AC ―→=(2,0,-8), ∴|AB ―→|= 1+9+4=14, |AC ―→|=4+0+64=217,AB ―→·AC ―→=1×2+(-3)×0+2×(-8)=-14,cos 〈AB ―→,AC ―→〉=AB ―→·AC ―→|AB ―→|·|AC ―→|=-1414×217=-14217,sin 〈AB ―→,AC ―→〉=1-1468=2734. ∴S △ABC =12|AB ―→|·|AC ―→|·sin〈AB ―→,AC ―→〉=12×14×217×2734=321. (2)设AB 边上的高为CD , 则|CD ―→|=2S △ABC |AB ―→|=3 6.10.如图,在空间直角坐标系中BC =2,原点O 是BC 的中点,点A 的坐标是⎝⎛⎭⎪⎫32,12,0,点D 在平面yOz 上,且∠BDC =90°,∠DCB =30°.(1)求向量OD ―→的坐标;(2)设向量AD ―→和BC ―→的夹角为θ,求cos θ的值.解:(1)如图所示,过D 作DE ⊥BC ,垂足为E ,在Rt △BDC 中,由∠BDC =90°,∠DCB =30°,BC =2,得BD =1,CD = 3.∴DE =CD ·sin 30°=32. OE =OB -BD ·cos 60°=1-12=12,∴D 点坐标为⎝ ⎛⎭⎪⎫0,-12,32,即向量OD ―→的坐标为⎝ ⎛⎭⎪⎫0,-12,32.(2)依题意:OA ―→=⎝ ⎛⎭⎪⎫32,12,0,OB ―→=(0,-1,0),OC ―→=(0,1,0). 所以AD ―→=OD ―→-OA ―→=⎝ ⎛⎭⎪⎫-32,-1,32,BC ―→=OC ―→-OB ―→=(0,2,0). 设向量AD ―→和BC ―→的夹角为θ,则 cos θ=AD ―→·BC―→|AD ―→|·|BC ―→|=⎝ ⎛⎭⎪⎫-32×0+-1×2+32×0⎝ ⎛⎭⎪⎫-322+-12+⎝ ⎛⎭⎪⎫322·02+22+02=-210=-105.∴cos θ=-105.。
第三节金属晶体目标与素养:1.了解金属键的含义,能用“电子气理论”解释金属的一些物理性质。
(宏观辨识与微观探析)2.了解金属晶体的4种堆积模型。
(证据推理与模型认知)3.了解混合晶体石墨的结构与性质。
(宏观辨识与微观探析)一、金属键与金属晶体的性质1.金属键(1)概念:金属原子脱落下来的价电子形成遍布整块晶体的“电子气”,被所有原子所共用,从而把所有的金属原子维系在一起。
(2)成键粒子是金属阳离子和自由电子。
(3)金属键的强弱和对金属性质的影响①金属键的强弱主要决定于金属元素的原子半径和价电子数。
原子半径越大、价电子数越少,金属键越弱;反之,金属键越强。
②金属键越强,金属的熔、沸点越高,硬度越大。
2.金属晶体的性质(1)在金属晶体中,原子间以金属键相结合。
(2)金属晶体的性质:优良的导电性、导热性和延展性。
(3)用电子气理论解释金属的性质微点拨:①温度越高,金属的导电能力越弱。
②合金的熔、沸点比其各成分金属的熔、沸点低。
二、金属晶体的原子堆积模型1.二维平面放置金属原子在二维平面里放置得到两种方式,配位数分别为4和6,可分别称为非密置层和密置层。
2.三维空间模型(1)简单立方堆积:按非密置层(填“密置层”或“非密置层”)方式堆积而成,相邻非密置层原子的原子核在同一直线上的堆积,如图。
(2)体心立方堆积:按非密置层(填“密置层”或“非密置层”)方式堆积而成。
将上层金属原子填入下层的金属原子形成的凹穴中,并使非密置层的原子稍稍分离,每层均照此堆积,如图。
(3)六方最密堆积和面心立方最密堆积:六方最密堆积和面心立方最密堆积是按照密置层(填“密置层”或“非密置层”)的堆积方式堆积而成,配位数均为12,空间利用率均为74%。
1.结构特点——层状结构(1)同层内,碳原子采用sp2杂化,以共价键相结合形成平面六元并环结构。
所有碳原子p轨道平行且相互重叠,p轨道中的电子可在整个碳原子平面中运动。
(2)层与层之间以范德华力相结合。
第3章习题答案
习题3
1. Cache-主存存储系统和主存-辅存存储系统有何不同?
2. SRAM和DRAM的主要差别是什么?
3. 假设某存储器具有32位地址线和32位数据线,请问:
(1)该存储器能存储多少个字节的信息?
(2)如果存储器由1M×8位SRAM芯片组成,需要多少片?
4. 某32位计算机系统采用半导体存储器,其地址码是32位,若使用4M×8位的DRAM芯片组成64MB主存,并采用内存条的形式,问:
(1)若每个内存条为4M×32位,共需要多少内存条?
(2)每个内存条内共有多少片DRAM芯片?
(3)主存需要多少DRAM芯片?
5. 一个512K×16的存储器,由64K×1的2164 DRAM芯片构成(芯片内是4个
128×128结构),问:
(1)共需要多少个DRAM芯片?
(2)若采用分散式刷新方式,单元刷新间隔不超过2ms,则刷新信号的周期是多少?
(3)若采用集中式刷新方式,读写周期为0.1μs,存储器刷新一遍最少用多少时间?
6. 某主存系统中,其地址空间0000H~1FFFH为ROM区域,ROM芯片为8K×8位,从地址6000H开始,用8K×4位的SRAM芯片组成一个16K×8位的RAM区域,假设RAM芯片有和信号控制端。
CPU地址总线为A15~A0,数据总线为D7~D0,读/写控制信号为R/,访存允许信号为,要求:
(1)写出地址译码方案;
(2)画出主存与CPU的连接图。
7. 设主存储器容量为64M字,字长为64位,模块数m=8,分别用顺序方式和交叉方式进行组织。
主存储器的存储周期T=100ns,数据总线宽度为64位,总线传送周期
τ=50ns。
若按地址顺序连续读取16个字,问顺序存储器和交叉存储器的带宽各是多少?
8. 设某计算机访问一次主存储器的时间如下:传送地址需1个时钟周期,读/写需4个时钟周期,数据传送1个时钟周期,采用下述主存结构按地址顺序连续读取16个字的数据块,各需多少时钟周期?
(1)单字宽主存,一次只能读/写1个字。
(2)4模块交叉存储器,每个存储器模块为单字宽。
9. CPU执行一段程序时,Cache完成存取的次数为2400次,主存完成存取的次数为100次,已知Cache的存储周期为50ns,主存的存储周期为250ns,求Cache-主存系统的平均访问时间和效率。
10. 一台计算机的主存容量为1M字,Cache容量为8K字,每块的大小为128个字,请设计在下列条件下的主存地址格式和Cache地址格式:
(1)主存和Cache之间采用直接映像。
(2)主存和Cache之间采用组相联映像,假设每组为4块。
11. 在以下有关虚拟存储器的描述中,哪些是不正确的?
(1)所有的页表都存放在主存中。
(2)页表大时,可将页表放在辅存中,而将当前用到的页表调到主存中。
(3)页表中的快表(TLB)采用全相联查找。
(4)页表中的快表存放在主存中。
(5)采用快表的依据是程序访问的局部性。
12. 一个虚拟存储器有8个页面,页面大小为1024字,主存有4个页面,内页表内容如表3.5所示。
那么,虚拟地址4098对应的主存地址是什么?
13. 某程序对页面要求访问的序列为P3P4P2P6P4P3P7P4P3P6P3P4P8P4P6。
(1)设主存容量为3个页面时,求FIFO和LRU替换算法的命中率(假设开始时主存为空)。
(2)当主存容量为4个页面时,上述两种替换算法各自的命中率又是多少?
参考答案
习题3
1. 略
2. DRAM需要刷新,SRAM则不需要。
3. (1)16GB;(2)214片。
4. (1)4条;(2)4片;(3)16片。
5. (1)128片;
(2)刷新信号的周期应小于或等于15.6μs;
(3)存储器刷新一遍最少要用12.8μs。
6. (1)地址译码方案如下:
将地址的高3位A15、A14、A13经3:8译码器74LS138译码后实现片选,具体连接如下:
将作为8K×8位ROM的;
将、分别作为2组8K×8位RAM的;
将3:8译码器74LS138的一个使能端与CPU发出的访存允许信号相连,其它两个使能端、置均为无效信号。
(2)主存与CPU的连接图如附图3.1所示。
附图3.1 主存与CPU的连接图
7. (1)640Mb/s;(2)1205Mb/s。
8. (1)96个时钟周期;(2)27个时钟周期。
9. h=0.96;ta=58ns;e≈0.862。
10. (1)主存地址格式为:
Cache地址格式为:
(2)主存地址格式为:
Cache地址格式为:
11. (1)和(4)。
12. 2050
13. (1)页面调度过程略。
当采用FIFO替换算法时,命中率为20%;当采用LRU 替换算法时,命中率为40%。
(2)页面调度过程略。
当采用FIFO替换算法时,命中率为40%;当采用LRU 替换算法时,命中率为60%。