2003年四川外国语大学221英语考研真题及详解【圣才出品】
- 格式:pdf
- 大小:708.69 KB
- 文档页数:39
2003年全国攻读硕士学位研究生入学考试英语试题Section I Use of EnglishDirections:Read the following text. Choose the best word(s) for each numbered blank and mark A, B, C OR D on ANSWER SHEET 1. (10 points)Teachers need to be aware of the emotional, intellectual, and physical changes that young adults experience. And they also need to give serious 1 to how they can best 2 such changes. Growing bodies need movement and 3 , but not justin ways that emphasize competition. 4 they are adjusting to their new bodies and a whole host of new intellectual and emotional challenges, teenagers are especially self-conscious and need the 5 that comes from achieving success and knowing that their accomplishments are 6 by others. However, the typical teenage lifestyle is already filled with so much competition that it would be 7 to plan activities in which there are more winners than losers, 8 ,publishing newsletters with many student-written book reviews, 9 student artwork, and sponsoring book discussion clubs. A variety of small clubs can provide 10 opportunities for leadership, as well as for practice in successful 11 dynamics. Making friends is extremely important to teenagers, and many shy students need the 12 of some kind of organization with a supportive adult 13 visible in the background.In these activities, it is important to remember that the young teens have 14 attention spans. A variety of activities should be organized 15 participants can remain active as long as they want and then go on to 16 else without feeling guilty and without letting the other participants 17 . This does not mean that adults must accept irresponsibility. 18 they can help students acquire a sense of commitment by 19 for roles that are within their 20 and their attention spans and by having clearly stated rules.1. [A] thought [B] idea [C] opinion [D] advice2. [A] strengthen [B] accommodate [C] stimulate [D] enhance3. [A] care [B] nutrition [C] exercise [D] leisure4. [A] If [B] Although [C] Whereas [D] Because5. [A] assistance [B] guidance [C] confidence [D] tolerance6. [A] claimed [B] admired [C] ignored [D] surpassed7. [A] improper [B] risky [C] fair [D] wise8. [A] in effect [B] as a result [C] for example [D] in a sense9. [A] displaying [B] describing [C] creating [D] exchanging10. [A] durable [B] excessive [C] surplus [D] multiple11. [A] group [B] individual [C] personnel [D] corporation12. [A] consent [B] insurance [C] admission [D] security13. [A] particularly [B] barely [C] definitely [D] rarely14. [A] similar [B] long [C] different [D] short15. [A] if only [B] now that [C] so that [D] even if16. [A] everything [B] anything [C] nothing [D] something17. [A] off [B] down [C] out [D] alone18. [A] On the contrary [B] On the average [C] On the whole [D] On the other hand19. [A] making [B] standing [C] planning [D] taking20. [A] capability [B] responsibility [C] proficiency [D] efficiencySection II Reading ComprehensionPart ADirections:Read the following four texts. Answer the questions below each text by choosing [A], [B], [C] or [D]. Mark your answers on ANSWER SHEET 1. (40 points)Text 1Wild Bill Donovan would have loved the Inter net. The American spymaster who built the Office of Strategic Services in the World War Ⅱ and later laid the roots for the CIA was fascinated with information. Donovan believed in using whatever tools came to hand in the “great game”of espionage—spying as a “profession.”These days the Net, which has already re-made such everyday pastimes as buying books and sending mail, is reshaping Donovan’s vocation as well.The latest revolution isn’t simply a matter of gentlemen reading other gentlemen’s e-mail. That kind of electronic spying has been going on for decades. In the past three or four years, the World Wide Web has given birth to a whole industry of point-and-clic k spying. The spooks call it “open source intelligence,” and as the Net grows, it is becoming increasingly influential. In 1995 the CIA held a contest to see who could compile the most data about Burundi. The winner, by a large margin, was a tiny Virginia company called Open-Source Solutions,whose clear advantage was its mastery of the electronic world.Among the firms making the biggest splash in the new world is Straitford, Inc., a private intelligence-analysis firm based in Austin, Texas. Straitford makes money by selling the results of spying (covering nations from Chile to Russia) to corporations like energy-services firm McDermott International. Many of its predictions are available online at .Straiford president George Friedman says he sees the online world as a kind of mutually reinforcing tool for both information collection and distribution, aspymaster’s dream. Last week his firm was busy vacuuming up data bits from the far corners of the world and predicting a crisis in Ukraine. “As soon as that report runs, we’ll suddenly get 500 new internet sign-ups from Ukraine,”says Friedman, a former political science professor. “And we’ll hear back from some of them.”Open-source spying does have its risks, of course, since it can be difficult to tell good information from bad. That’s where Straitford earns its keep.Friedman relies on a lean staff of 20 in Austin. Several of his staff members have military-intelligence backgrounds. He sees the firm’s outsider status as the key to its success. Straitford’s briefs don’t sound like the usual Washington back-and-forthing, whereby agencies avoid dramatic declarations on the chance they might be wrong. Straitford, says Friedman, takes pride in its independent voice.21. The emergence of the Net has .[A] received support from fans like Donovan[B] remolded the intelligence services[C] restored many common pastimes[D] revived spying as a profession22. Donovan’s story is mentioned in the text to .[A] introduce the topic of online spying[B] show how he fought for the US[C] give an episode of the information war[D] honor his unique services to the CIA23. The phrase “making the biggest splash” (line 1,paragraph 3) most probablymeans .[A] causing the biggest trouble[B] exerting the greatest effort[C] achieving the greatest success[D] enjoying the widest popularity24. It can be learned from paragraph 4 that .[A] straitford’s prediction about Ukraine has proved true[B] straitford guarantees the truthfulness of its information[C] straitford’s business is characterized by unpredictability[D] straitford is able to provide fairly reliable information25. Straitford is most proud of its .[A] official status[B] nonconformist image[C] efficient staff[D] military backgroundText 2To paraphrase 18th-century statesman Edmund Burke, “all that is needed for the triumph of a misguided cause is that good people do nothing.” One such cause nowseeks to end biomedical research because of the theory that animals have rights ruling out their use in research. Scientists need to respond forcefully to animal rights advocates, whose arguments are confusing the public and thereby threatening advances in health knowledge and care. Leaders of the animal rights movement target biomedical research because it depends on public funding, and few people understand the process of health care research. Hearing allegations of cruelty to animals in research settings, many are perplexed that anyone would deliberately harm an animal.For example, a grandmotherly woman staffing an animal rights booth at a recent street fair was distributing a brochure that encouraged readers not to use anything that comes from or is tested in animals—no meat, no fur, no medicines. Asked if she opposed immunizations, she wanted to know if vaccines come from animal research. When assured that they do, she replied, “Then I would have to say yes.”Asked what will happen when epidemics return, she said, “Don’t worry, scientists will find some way of using computers.” Such well-meaning people just don’t understand.Scientists must communicate their message to the public in a compassionate, understandable way—in human terms, not in the language of molecular biology. We need to make clear the connection between animal research and a grandmother’s hip replacement, a father’s bypass operation, a baby’s vaccinations, and even a pet’s shots. To those who are unaware that animal research was needed to produce these treatments, as well as new treatments and vaccines, animal research seems wasteful at best and cruel at worst.Much can be done. Scientists could “adopt” middle school classes and p resent their own research. They should be quick to respond to letters to the editor, lest animal rights misinformation go unchallenged and acquire a deceptive appearance of truth. Research institutions could be opened to tours, to show that laboratory animals receive humane care. Finally, because the ultimate stakeholders are patients, the health research community should actively recruit to its cause not only well-known personalities such as Stephen Cooper, who has made courageous statements about the value of animal research, but all who receive medical treatment. If good people do nothing, there is a real possibility that an uninformed citizenry will extinguish the precious embers of medical progress.26. The author begins his article with Edmund Burke’s words to .[A] call on scientists to take some actions[B] criticize the misguided cause of animal rights[C] warn of the doom of biomedical research[D] show the triumph of the animal rights movement27. Misled people tend to think that using an animal in research is .[A] cruel but natural[B] inhuman and unacceptable[C] inevitable but vicious[D] pointless and wasteful28. The example of the grandmotherly woman is used to show the public’s .[A] discontent with animal research[B] ignorance about medical science[C] indifference to epidemics[D] anxiety about animal rights29. The author believes that, in face of the challenge from animal rights advocates,scientists should .[A] communicate more with the public[B] employ hi-tech means in research[C] feel no shame for their cause[D] strive to develop new cures30. From the text we learn that Stephen Cooper is .[A] a well-known humanist[B] a medical practitioner[C] an enthusiast in animal rights[D] a supporter of animal researchText 3In recent years, railroads have been combining with each other, merging into supersystems, causing heightened concerns about monopoly. As recently as 1995, the top four railroads accounted for under 70 percent of the total ton-miles moved by rails. Next year, after a series of mergers is completed, just four railroads will control well over 90 percent of all the freight moved by major rail carriers.Supporters of the new supersystems argue that these mergers will allow for substantial cost reductions and better coordinated service. Any threat of monopoly, they argue, is removed by fierce competition from trucks. But many shippers complain that for heavy bulk commodities traveling long distances, such as coal, chemicals, and grain, trucking is too costly and the railroads therefore have them by the throat.The vast consolidation within the rail industry means that most shippers are served by only one rail company. Railroads typically charge such“captive”shippers 20 to 30 percent more than they do when another railroad is competing for the business. Shippers who feel they are being overcharged have the right to appeal to the federal government's Surface Transportation Board for rate relief, but the process is expensive, time consuming, and will work only in truly extreme cases.Railroads justify rate discrimination against captive shippers on the grounds that in the long run it reduces everyone's cost. If railroads charged all customers the same average rate, they argue, shippers who have the option of switching to trucks or other forms of transportation would do so, leaving remaining customers to shoulder the cost of keeping up the line. It's theory to which many economists subscribe, but in practice it often leaves railroads in the position of determining which companies will flourish and which will fail.“Do we really want railroads to be the arbiters of who wins and who loses in the marketplace?”asks Martin Bercovici, a Washington lawyer who frequently represents shipper.Many captive shippers also worry they will soon be hit with a round of huge rate increases. The railroad industry as a whole, despite its brightening fortuningfortunes, still does not earn enough to cover the cost of the capital it must invest to keep up with its surging traffic. Yet railroads continue to borrow billions to acquire one another, with Wall Street cheering them on. Consider the $10.2 billion bid by Norfolk Southern and CSX to acquire Conrail this year. Conrail's net railway operating income in 1996 was just $427 million, less than half of the carrying costs of the transaction. Who's going to pay for the rest of the bill? Many captive shippers fear that they will, as Norfolk Southern and CSX increase their grip on the market.31. According to those who support mergers, railway monopoly is unlikelybecause .[A] cost reduction is based on competition.[B] services call for cross-trade coordination.[C] outside competitors will continue to exist.[D] shippers will have the railway by the throat.32. What is many captive shippers' attitude towards the consolidation in the railindustry?[A] Indifferent.[B] Supportive.[C] Indignant.[D] Apprehensive.33. It can be inferred from paragraph 3 that .[A] shippers will be charged less without a rival railroad.[B] there will soon be only one railroad company nationwide.[C] overcharged shippers are unlikely to appeal for rate relief.[D] a government board ensures fair play in railway business.34. The word “arbiters”(line 7,paragraph 4)most probably refers to those .[A] who work as coordinators.[B] who function as judges.[C] who supervise transactions.[D] who determine the price.35. According to the text, the cost increase in the rail industry is mainly causedby .[A] the continuing acquisition.[B] the growing traffic.[C] the cheering Wall Street.[D] the shrinking market.Text 4It is said that in England death is pressing, in Canada inevitable and in California optional. Small wonder. Americans’ life expectancy has nearly doubled over the past century. Failing hips can be replaced, clinical depression controlled, cataracts removed in a 30-minute surgical procedure. Such advances offer the aging population a quality of life that was unimaginable when I entered medicine 50 yearsago. But not even a great health-care system can cure death—and our failure to confront that reality now threatens this greatness of ours.Death is normal; we are genetically programmed to disintegrate and perish, even under ideal conditions. We all understand that at some level, yet as medical consumers we treat death as a problem to be solved. Shielded by third-party payers from the cost of our care, we demand everything that can possibly be done for us, even if it’s useless. The most obvious example is late-stage cancer care. Physicians —frustrated by their inability to cure the disease and fearing loss of hope in the patient—too often offer aggressive treatment far beyond what is scientifically justified.In 1950, the US spent $12.7 billion on health care. In 2002, the cost will be $1,540 billion. Anyone can see this trend is unsustainable. Yet few seem willing to try to reverse it. Some scholars conclude that a government with finite resources should simply stop paying for medical care that sustains life beyond a certain age—say 83 or so. Former Colorado governor Richard Lamm has been quoted as saying that the old and infirm “have a duty to die and get out of the way”, so that younger, healthier people can realize their potential.I would not go that far. Energetic people now routinely work through their 60s and beyond, and remain dazzlingly productive. At 78, Viacom chairman Sumner Redstone jokingly claims to be 53. Supreme Court Justice Sandra Day O’Connor is in her 70s, and former surgeon general C. Everett Koop chairs an Internet start-up in his 80s.These leaders are living proof that prevention works and that we can manage the health problems that come naturally with age. As a mere 68-year-old, I wish to age as productively as they have.Yet there are limits to what a society can spend in this pursuit. As a physician, I know the most costly and dramatic measures may be ineffective and painful. I also know that people in Japan and Sweden, countries that spend far less on medical care, have achieved longer, healthier lives than we have. As a nation, we may be overfunding the quest for unlikely cures while underfunding research on humbler therapies that could improve people’s lives.36. What is implied in the first sentence?[A] Americans are better prepared for death than other people.[B] Americans enjoy a higher life quality than ever before.[C] Americans are over-confident of their medical technology.[D] Americans take a vain pride in their long life expectancy.37. The author uses the example of caner patients to show that .[A] medical resources are often wasted[B] doctors are helpless against fatal diseases[C] some treatments are too aggressive[D] medical costs are becoming unaffordable38. The author’s attitude toward Richard Lamm’s remark is one of.[A] strong disapproval [B] reserved consent[C] slight contempt [D] enthusiastic support39. In contras to the US, Japan and Sweden are funding their medical care.[A] more flexibly [B] more extravagantly[C] more cautiously [D] more reasonably40. The text intends to express the idea that.[A]medicine will further prolong people’s lives[B]life beyond a certain limit is not worth living[C] death should be accepted as a fact of life[D] excessive demands increase the cost of health carePart BDirections:Read the following text carefully and then translate the underlined segments into Chinese. Your translation should be written clearly on ANSWER SHEET 2. (10 points)Human beings in all times and places think about their world and wonder at their place in it. Humans are thoughtful and creative, possessed of insatiable curiosity.(41)Furthermore, humans have the ability to modify the environment in which they live, thus subjecting all other life forms to their own peculiar ideas and fancies. Therefore, it is important to study humans in all their richness and diversity in a calm and systematic manner, with the hope that the knowledge resulting from such studies can lead humans to a more harmonious way of living with themselves and with all other life forms on this planet Earth.“Anthropology” derives from the Greek words anthropos “human” and logos “the study of.” By its very name, anthropology encompasses the study of all humankind.Anthropology is one of the social sciences.(42)Social science is that branch of intellectual enquiry which seeks to study humans and their endeavors in the same reasoned, orderly, systematic, and dispassioned manner that natural scientists use for the study of natural phenomena.Social science disciplines include geography, economics, political, science, psychology, and sociology. Each of these social sciences has a subfield or specialization which lies particularly close to anthropology.All the social sciences focus upon the study of humanity. Anthropology is a field-study oriented discipline which makes extensive use of the comparative method in analysis.(43)The emphasis on data gathered first-hand, combined with a cross-cultural perspective brought to the analysis of cultures past and present, makes this study a unique and distinctly important social science.Anthropological analyses rest heavily upon the concept of culture. Sir Edward Tylor’s formulation of the concept of culture was one of the great intellectual achievements of 19th century science.(44)Tylor defined culture as “…that complexwhole which includes belief, art, morals, law, custom, and any other capabilities and habits acquired by man as a member of society.” This insight, so profound in its simplicity, opened up an entirely new way of perceiving and understanding human life. Implicit within Tylor’s definition is the concept that culture is learned. shared, and patterned behavior.(45)Thus, the anthropological concept of “culture,” like the concept of “set” in mathematics, is an abstract concept which makes possible immense amounts of concrete research and understanding.Section III Writing46. Directions:Study the following set of drawings carefully and write an essay entitled in which you should1)describe the set of drawings, interpret its meaning, and2)point out its implications in our life.You should write about 200 words neatly on ANSWER SHEET 2. (20 points)第一部分英语知识运用试题解析一、文章总体分析文章主要论述了教师们应该关注青少年在成长时期所经历的情感、心智和生理上的变化,并采取方法帮助他们适应这些变化,健康成长。
2003年全国攻读硕士学位研究生入学考试英语试题第一部分英语知识运用试题解析一、文章总体分析文章主要论述了教师们应该关注青少年在成长时期所经历的情感、心智和生理上的变化,并采取方法帮助他们适应这些变化,健康成长。
第一段第一、二句是主题句,点明文章主题。
从第三句开始介绍了青少年的各种变化,如:自我意识很强,需要从成功中获得自信等。
接下来是对老师的建议:设计有更多优胜者的活动,组织各种小型俱乐部,让成年人在幕后支持。
第二段特别强调教师在设计活动时要注意保持其多样性,以适应青少年注意力持续时间短的特点。
此外,成年人要帮助学生在活动中培养责任感。
二、试题具体解析1. [A](give)thought (to) 想过,思考[B](give sb. an/some)idea(of)使了解……的情况[C](have a good/bad)opinion (of) 对……印象很好[D](give)advice(to)提建议[答案] A[解析]本题考核的知识点是:平行句子结构+ 固定搭配。
首先,从文章结构上看,第一段的第一、二句是平行的并列句:Teachers need to be aware of(教师应该注意)和And they also need to give serious 1 to(同时他们须认真……)。
注意第二句中的两个they分别指代了第一句中的teachers和young adults,第二句中的give serious 1 to与第一句中的be aware of(知道,意识到)也应在意义上相呼应。
其次,考生需要判断四个选项中哪一个能与 give...to 构成短语。
idea这个词词义很丰富,包括“想法、意思、概念、思想、意识、打算、建议”等,但通常与介词of而不是to连用;opinion意为“意见;看法”,一般不与give搭配;advice(建议)虽然可与give 及to搭配,但介词to后应接人,即建议的接受者,如果要表达“提出…方面的建议”,应该用“give advice on sth.”。
Straifford president George Friedman says he sees the online world as a kind of mutually reinforcing tool for both information collection and distribution, a spymaster's dream. Last week his firm was busy vacuuming up data bits from the far corners of the world and predicting a crisis in Ukraine." As soon as that report runs, we'll suddenly get 500 new internet sign-ups from Ukraine," says Friedman, a former political science professor. "And we'll hear back from some of them." Open-source spying does have its risks, of course, since it can be difficult to tell good information from bad. That 'sswheresStraitford earns its keep. Friedman relies on a lean staff in Austin. Several of his staff members have military-intelligence backgrounds. He sees the firm's outsider status as the key to its success. Straitford's briefs don't sound like the usual Washington back-and forthing, whereby agencies avoid dramatic declarations on the chance they might be wrong. Straitford, says Friedman, takes pride in its independent voice. 41. The emergence of the Net has A. received support from fans like Donovan. B. remolded the intelligence services. C. restored many common pastimes. D. revived spying as a profession. 42.Donovan's story is mentioned in the text to A. introduce the topic of online spying. B. show how he fought for the U.S. C. give an episode of the information war. D. honor his unique services to the CIA. 43.The phrase“making the biggest splash”(line 1,paragraph 3)most probably means A. causing the biggest trouble. B. exerting the greatest effort. C. achieving the greatest success. D. enjoying the widest popularity. 44.It can be learned from paragraph 4 that A. Straitford's prediction about Ukraine has proved true. B. Straitford guarantees the truthfulness of its information. C. Straitford's business is characterized by unpredictability. D. Straitford is able to provide fairly reliable information. 45.Straitford is most proud of its A. official status. B. nonconformist image. C. efficient staff. D. military background. BACDB Text 2 To paraphrase 18th-century statesman Edmund Burke,“all that is needed for the triumph of a misguided cause is that good people do nothing.”One such cause now seeks to end biomedical research because of the theory that animals have rights ruling out their use in research. Scientists need to respond forcefully to animal rights advocates, whosearguments are confusing the public and thereby threatening advances in health knowledge and care. Leaders of the animal rights movement target biomedical research because it depends on public funding, and few people understand the process of health care research. Hearing allegations of cruelty to animals in research settings, many are perplexed that anyone would deliberately harm an animal. For example, a grandmotherly woman staffing an animal rights booth at a recent street fair was distributing a brochure that encouraged readers not to use anything that opposed immunizations, she wanted to know if vaccines come from animal research. When assured that they do, she replied,“Then I would have to say yes.”Asked what will happen when epidemics return, she said,“Don’t worry, scientists will find some way of using computers.”Such well-meaning people just don's understand. Scientists must communicate their message to the public in a compassionate, understandable way-in human terms, not in the language of molecular biology. We need to make clear the connection between animal research and a grandmother's hip replacement, a father's bypass operation a baby's vaccinations, and even a pet's shots. To those who are unaware that animal research was needed to produce these treatments, as well as new treatments and vaccines, animal research seems wasteful at best and cruel at worst. Much can be done. Scientists could“adopt”middle school classes and present their own research. They should be quick to respond to letters to the editor, lest animal rights misinformation go unchallenged and acquire a deceptive appearance of truth. Research institutions could be opened to tours, to show that laboratory animals receive humane care. Finally, because the ultimate stakeholders are patients, the health research community should actively recruit to its cause not only well-known personalities such as Stephen Cooper, who has made courageous statements about the value of animal research, but all who receive medical treatment. If good people do nothing there is a real possibility that an uninformed citizenry will extinguish the precious embers of medical progress. 46.The author begins his article with Edmund Burke's words to A. call on scientists to take some actions. B. criticize the misguided cause of animal rights. C. warn of the doom of biomedical research. D. show the triumph of the animal rights movement. 47.Misled people tend to think that using an animal in research is A. cruel but natural. B. inhuman and unacceptable. C. inevitable but vicious. D. pointless and wasteful. 48.The example of the grandmotherly woman is used to show the public's A. discontent with animal research. B. ignorance about medical science. C. indifference to epidemics. D. anxiety about animal rights. 49.The author believes that, in face of the challenge from animal rights advocates, scientists should A. communicate more with the public. B. employ hi-tech means in research. C. feel no shame for their cause. D. strive to develop new cures. 50. From the text we learn that Stephen Cooper is A. a well-known humanist. B. a medical practitioner. C. an enthusiast in animal rights. D. a supporter of animal research. ABBAD Text 3 In recent years, railroads have been combining with each other, mergingsintossuper systems, causing heightened concerns about monopoly. As recently as 1995,the top four railroads accounted for under 70 percent of the total ton-miles moved by rails. Next year, after a series of mergers is completed, just four railroads will control well over 90 percent of all the freight moved by major rail carriers. Supporters of the new super systems argue that these mergers will allow for substantial cost reductions and better coordinated service. Any threat of monopoly, they argue, is removed by fierce competition from trucks. But many shippers complain that for heavy bulk commodities traveling long distances, such as coal, chemicals, and grain, trucking is too costly and the railroads therefore have them by the throat. The vast consolidation within the rail industry means that most shippers are served by only one rail company. Railroads typically charge such“captive”shippers 20 to 30 percent more than they do when another railroad is competing for the business. Shippers who feel they are being overcharged have the right to appeal to the federal government's Surface Transportation Board for rate relief, but the process is expensive, time consuming, and will work only in truly extreme cases. Railroads justify rate discrimination against captive shippers on the grounds that in the long run it reduces everyone's cost. If railroads charged all customers the same average rate, they argue, shippers who have the option of switching to trucks or other forms of transportation would do so, leaving remaining customers to shoulder the cost of keeping up the line. It's theory to which many economists subscribe, but in practice it often leaves railroads in the position of determining which companies will flourish and which will fail.“Do we really want railroads to be the arbiters of who wins and who loses in the marketplace?”asks Martin Bercovici, a Washington lawyer who frequently represents shipper. Many captive shippers also worry they will soon be his with a round of huge rate increases. The railroad industry as a whole, despite its brightening fortuning fortunes. still does not earn enough to cover the cost of the capital it must invest to keep up with its surging traffic. Yet railroads continue to borrow billions to acquire one another, with Wall Street cheering them on. Consider the .2 billion bid by Norfolk Southern and CSX to acquire Conrail this year. Conrail's net railway operating income in 1996 was just million, less than half of the carrying costs of the transaction. Who's going to pay for the rest of the bill? Many captive shippers fear that they will, as Norfolk Southern and CSX increase their grip on the market. 51.According to those who support mergers railway monopoly is unlikely because A. cost reduction is based on competition. B. services call for cross-trade coordination. C. outside competitors will continue to exist. D. shippers will have the railway by the throat. 52.What is many captive shippers' attitude towards the consolidation in the rail industry? A. Indifferent. B. Supportive. C. Indignant. D. Apprehensive. 53.It can be inferred from paragraph 3 that A. shippers will be charged less without a rival railroad.。
2003 年考研英语真题及答案2003 text1Wild Bill Donovan would haveovedl the Internet. The American spymaster who built the Office of Strategic Servicesni the World War II and aterl aidl the roots for the CIAwas fascinated with information. Donovan believed in using whatever tools came tohand in the "great game"of espionage —spying as a "profession".These days the Net, which has already re-made such everyday pastimes as buying books and sendingreshapingmail, Donovan's vocation as .wellThe atestl revolutionsn'ti simply a matter of gentlemen reading other gentlemen's e-mail. That kind ofectronicel spying has been going on for decades. In the past three or four years, orldthe Wide Web has given birth to a whole industry of point-and-click spying. The spooks call it "open-sourceintelligence",and as the Net grows, it is becoming increasingly influential. In 1995 the CIA held a contest to see who could compile the most data about Burundi. The winner, byargel margin, was a tiny Virginia company called Open Source Solutions, whosearcl advantage was its mastery of theectroniel world.Among the firms making the biggestashpl in this new world is Straitford, Inc., a private intelligence- analysifirm based in Austin, Texas.Straitford makes money by selling the results of spying (covering nations from Chile to Russia) to corporations like energy-services firm McDermott International. Many of its predictions are available online at .Straiford presidentGeorge Friedman says he sees the online world as kinda of mutually reinforcing tool for both information collection and distribution, a spymaster's dream. Last sweekfirm hiwas busy vacuuming up data bits from the far corners of the world and predicting a crisis in Ukraine. "As soon as that report runs, we'llsuddenly get 500 new Internet sign-ups from Ukraine," saysFriedman, a formerpolitical science professor."And we'll hear back from some of them." Open-source spying does havets risks, of course, since it can be difficult to tell good information from bad. That's where Straitford earns its keep.Friedman relies on a eanl staff of 20ni Austin. Severalof his staff members have military-intelligencebackgrounds. He sees the firm's outsider status as the key to its success.Straitford's briefs don't sound like the usual Washington back-and-forthing,whereby agencies avoid dramatic declarations on the chance they might be wrong. Straitford, says Friedman, takes pride in its independentcevoi.41. The emergence of the Net has _______ .[A] received support from fans like Donovan[B] remolded the intelligence services[C] restored many common pastimes[D] revived spying as a profession42. Donovan's story is mentioned in the text to[A] introduce the topic of online spying[B] show how he fought for the US[C] give an episode of the information war[D] honor his unique services to the CIA43. The phrase "making the biggest splash" (line 1, paragraph 3) most probably means[A] causing the biggest trouble[B] exerting the greatest effort[C] achieving the greatest success[D] enjoying the widest popularity44. It can be learned from paragraph 4 that[A] Straitford's prediction about Ukraine has proved true[B] Straitford guarantees the truthfulness of its information[C] Straitford's business is characterized by unpredictability[D] Straitford is able to provide fairly reliable information45. Straitford is most proud of its[A] official status[B] nonconformist image [C] efficient staff [D] military background试题解析:这是一篇说明性的文章,介绍了互联网技术对情报行业的影响。
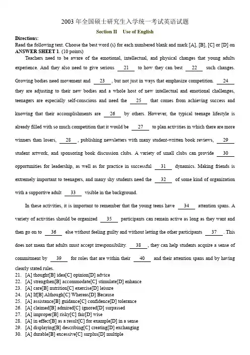
2003年全国攻读硕士学位研究生入学考试英语试题Section I Use of EnglishDirections:Read the following text. Choose the best word(s) for each numbered blank andmark A, B, C OR D on ANSWER SHEET 1. (10 points)Teachers need to be aware of the emotional, intellectual, and physical changes that young adults experience. And they also need to give serious 1 to how they can best 2 such changes. Growing bodies need movement and 3 , but not justin ways that emphasize competition. 4 they are adjusting to their new bodiesand a whole host of new intellectual and emotional challenges, teenagers are especially self-conscious and need the 5 that comes from achieving success and knowing that their accomplishments are 6 by others. However, the typicalteenage lifestyle is already filled with so much competition that it would be 7to plan activities in which there are more winners than losers, 8 ,publishing newsletters with many student-written book reviews, 9 student artwork, and sponsoring book discussion clubs. A variety of small clubs can provide 10 opportunities for leadership, as well as for practice in successful 11 dynamics. Making friends is extremely important to teenagers, and many shy students need the 12 of some kind of organization with a supportive adult 13 visible in thebackground.In these activities, it is important to remember that the young teens have 14 attention spans. A variety of activities should be organized 15 participantscan remain active as long as they want and then go on to 16 else without feeling guilty and without letting the other participants 17 . This does not mean thatadults must accept irresponsibility. 18 they can help students acquire a sense of commitment by 19 for roles that are within their 20 and their attentionspans and by having clearly stated rules.1. [A] thought [B] idea [C] opinion [D] advice2. [A] strengthen [B] accommodate [C] stimulate [D] enhance3. [A] care [B] nutrition [C] exercise [D] leisure4. [A] If [B] Although [C] Whereas [D] Because5. [A] assistance [B] guidance [C] confidence [D] tolerance6. [A] claimed [B] admired [C] ignored [D] surpassed7. [A] improper [B] risky [C] fair [D] wise8. [A] in effect [B] as a result [C] for example [D] in a sense9. [A] displaying [B] describing [C] creating [D] exchanging10. [A] durable [B] excessive [C] surplus [D] multiple11. [A] group [B] individual [C] personnel [D] corporation12. [A] consent [B] insurance [C] admission [D] security13. [A] particularly [B] barely [C] definitely [D] rarely14. [A] similar [B] long [C] different [D] short15. [A] if only [B] now that [C] so that [D] even if16. [A] everything [B] anything [C] nothing [D] something17. [A] off [B] down [C] out [D] alone18. [A] On the contrary [B] On the average [C] On the whole [D] On the other hand19. [A] making [B] standing [C] planning [D] taking20. [A] capability [B] responsibility [C] proficiency [D] efficiencySection II Reading ComprehensionPart ADirections:Read the following four texts. Answer the questions below each text by choosing [A], [B], [C] or [D]. Mark your answers on ANSWER SHEET 1. (40 points)Text 1Wild Bill Donovan would have loved the Inter net. The American spymaster whobuilt the Office of Strategic Services in the World War Ⅱ and later laid the roots for the CIA was fascinated with information. Donovan believed in using whatevertools came to hand in the “great game”of espionage—spying as a “profession.”These days the Net, which has already re-made such everyday pastimes as buying books and sending mail, is reshaping Donovan’s vocation as well.The latest revolution isn’t simply a matter of gentlemen reading other gentlemen’s e-mail. That kind of electronic spying has been going on for decades. In the past three or four years, the World Wide Web h as given birth to a whole industryof point-and-clic k spying. The spooks call it “open source intelligence,” and as the Net grows, it is becoming increasingly influential. In 1995 the CIA held a contest to see who could compile the most data about Burundi. The winner, by a large margin, was a tiny Virginia company called Open-Source Solutions,whose clear advantage was its mastery of the electronic world.Among t he firms making the biggest splash in the new world is Straitford, Inc.,a private intelligence-analysis firm based in Austin, Texas. Straitford makes money by selling the results of spying (covering nations from Chile to Russia) to corporations like energy-services firm McDermott International. Many of its predictions are available online at .Straiford president George Friedman says he sees the online world as a kind of mutually reinforcing tool for both information collection and distribution, aspymaster’s dream. Last week his firm was busy vacuuming up data bits from the far corners of the world and predicting a crisis in Ukraine. “As soon as that report runs, we’ll suddenly get 500 new internet sign-ups from Ukraine,”says Friedman, a former political science professor. “And we’ll hear back from some of them.”Open-source spying does have its risks, of course, since it can be difficult to tell good information from bad. That’s where Straitford earns its keep.Friedman relies on a lean staff of 20 in Austin. Several of his staff membershave military-intelligence backgrounds. He sees the firm’s outsider status as the key to its success. Straitford’s briefs don’t sound like the usual Washingtonback-and-forthing, whereby agencies avoid dramatic declarations on the chance they might be wrong. Straitford, says Friedman, takes pride in its independent voice.21. The emergence of the Net has .[A] received support from fans like Donovan[B] remolded the intelligence services[C] restored many common pastimes[D] revived spying as a profession22. Donovan’s story is mentioned in the text to .[A] introduce the topic of online spying[B] show how he fought for the US[C] give an episode of the information war[D] honor his unique services to the CIA23. The phrase “making the biggest splash” (line 1,paragraph 3) most probablymeans .[A] causing the biggest trouble[B] exerting the greatest effort[C] achieving the greatest success[D] enjoying the widest popularity24. It can be learned from paragraph 4 that .[A] straitford’s prediction about Ukraine has proved true[B] straitford guarantees the truthfulness of its information[C] straitford’s business is characterized by unpredictability[D] straitford is able to provide fairly reliable information25. Straitford is most proud of its .[A] official status[B] nonconformist image[C] efficient staff[D] military backgroundText 2To paraphrase 18th-century statesman Edmund B urke, “all that is needed for the triumph of a misguided cause is that good people do nothing.” One such cause nowseeks to end biomedical research because of the theory that animals have rightsruling out their use in research. Scientists need to respond forcefully to animalrights advocates, whose arguments are confusing the public and thereby threatening advances in health knowledge and care. Leaders of the animal rights movement target biomedical research because it depends on public funding, and few people understand the process of health care research. Hearing allegations of cruelty to animals inresearch settings, many a re perplexed that anyone would deliberately harm an animal.For example, a grandmotherly woman s taffing an animal rights booth at a recent street fair was distributing a brochure that encouraged readers not to use anything that comes from or is tested in animals—no meat, no fur, no medicines. Asked ifshe opposed immunizations, she wanted to know if vaccines come from animal research. When a ssured that they do, she replied, “Then I would have to say yes.”Asked what will happen when epidemics return, she said, “Don’t worry, scientists will findsome way of using computers.” Such well-meaning people just don’t understand.Scientists must communicate their message to the public in a compassionate, understandable way—in human terms, not in the language of molecular biology. Weneed to make clear the connection between animal research and a grandmother’s hip replacement, a father’s bypass operation, a baby’s vaccinations, and even a pet’s shots. To those who are unaware that animal research was needed to produce thesetreatments, as well as new treatments and vaccines, animal research seems wasteful at best and cruel at worst.Much can be done. Scientists could “adopt” middle school classes and present their own research. They should be quick to respond to letters to the editor, lestanimal rights misinformation go unchallenged and acquire a deceptive appearance of truth. Research institutions could be opened to tours, to show that laboratoryanimals receive humane c are. Finally, because the ultimate stakeholders are patients, the health research community should actively recruit to its cause not only well-known personalities such as Stephen Cooper, who has made c ourageous statements about the value of animal research, but all who receive medical treatment. If good people do nothing, there is a real possibility that an uninformed citizenry willextinguish the precious embers of medical progress.26. The author begins his article with Edmund Burke’s words to .[A] call on scientists to take some actions[B] criticize the misguided cause of animal rights[C] warn of the doom of biomedical research[D] show the triumph of the animal rights movement27. Misled people tend to think that using an animal in research is .[A] cruel but natural[B] inhuman and unacceptable[C] inevitable but vicious[D] pointless and wasteful28. The example of the grandmotherly woman is used to show the public’s .[A] discontent with animal research[B] ignorance about medical science[C] indifference to epidemics[D] anxiety about animal rights29. The author believes that, in face of the challenge from animal rights advocates,scientists should .[A] communicate more with the public[B] employ hi-tech means in research[C] feel no shame for their cause[D] strive to develop new cures30. From the text we learn that Stephen Cooper is .[A] a well-known humanist[B] a medical practitioner[C] an enthusiast in animal rights[D] a supporter of animal researchText 3In recent years, railroads have been combining with each other, merging into supersystems, causing heightened concerns about monopoly. As recently as 1995, the top four railroads accounted for under 70 percent of the total ton-miles moved byrails. Next year, after a series of mergers is completed, just four railroads willcontrol well over 90 percent of all the freight moved by major rail carriers.Supporters of the new supersystems argue that these mergers will allow forsubstantial cost reductions and better coordinated service. Any threat of monopoly, they argue, is removed by fierce competition from trucks. But many s hippers complain that for heavy bulk commodities traveling long distances, such as coal, chemicals, and grain, trucking is too costly and the railroads therefore have them by the throat.The vast consolidation within the rail industry means that most shippers areserved by only one rail company. Railroads typically charge such“captive”shippers 20 to 30 percent more than they do when another railroad is competing for the business. Shippers who feel they are being overcharged have the right to appeal to the federal government's Surface Transportation Board for rate relief, but the process isexpensive, time consuming, and will work only in truly extreme cases.Railroads justify rate discrimination against captive shippers on the groundsthat in the long run it reduces everyone's cost. If railroads charged all customers the same average rate, they argue, shippers who have the option of switching to trucks or other forms of transportation would do so, leaving remaining customers to shoulder the cost of keeping up the line. It's theory to which many economists subscribe,but in practice it often leaves railroads in the position of determining whichcompanies will flourish and which will fail.“Do we really want railroads to be the arbiters of who wins and who loses in the marketplace?”asks Martin Bercovici, a Washington lawyer who frequently represents shipper.Many captive shippers also worry they will soon be hit with a round of huge rate increases. The railroad industry as a whole, despite its brightening fortuningfortunes, still does not earn enough to cover the cost of the capital it must invest to keep up with its surging traffic. Yet railroads continue to borrow billions toacquire one another, with Wall Street cheering them on. Consider the $10.2 billion bid by Norfolk Southern and CSX t o acquire Conrail this year. Conrail's net railway operating income in 1996 was just $427 million, less than half of the carrying costs of the transaction. Who's going to pay for the rest of the bill? Many c aptive shippers fear that they will, as Norfolk Southern and CSX i ncrease their grip on the market.31. According to those who support mergers, railway monopoly is unlikelybecause .[A] cost reduction is based on competition.[B] services call for cross-trade coordination.[C] outside competitors will continue to exist.[D] shippers will have the railway by the throat.32. What is many captive shippers' attitude towards the consolidation in the railindustry?[A] Indifferent.[B] Supportive.[C] Indignant.[D] Apprehensive.33. It can be inferred from paragraph 3 that .[A] shippers will be charged less without a rival railroad.[B] there will soon be only one railroad company nationwide.[C] overcharged shippers are unlikely to appeal for rate relief.[D] a government board ensures fair play in railway business.34. The word “arbiters”(line 7,paragraph 4)most probably refers to those .[A] who work as coordinators.[B] who function as judges.[C] who supervise transactions.[D] who determine the price.35. According to the text, the cost increase in the rail industry is mainly causedby .[A] the continuing acquisition.[B] the growing traffic.[C] the cheering Wall Street.[D] the shrinking market.Text 4It is said that in England death is pressing, in Canada inevitable and inCalifornia optional. Small wonder. Americans’ life expectancy has nearly doubledover the past century. Failing hips can be replaced, clinical depression controlled, cataracts removed in a 30-minute surgical procedure. Such advances offer the aging population a quality of life that was unimaginable when I entered medicine 50 yearsago. But not even a great health-care system can cure death—and our failure to confront that reality now threatens this greatness of ours.Death is normal; we are genetically programmed to disintegrate and perish, even under ideal conditions. We all understand that at some level, yet as medical consumers we treat death as a problem to be solved. Shielded by third-party payersfrom the cost of our care, we demand everything that can possibly be done for us,even if it’s useless. The most obvious example is late-stage cancer care. Physicians —frustrated by their inability to cure the disease and fearing loss of hope in the patient—too often offer aggressive treatment far beyond what is scientificallyjustified.In 1950, the US spent $12.7 billion on health care. In 2002, the cost will be$1,540 billion. Anyone can see this trend is unsustainable. Yet few seem willingto try to reverse it. Some s cholars conclude that a government with finite resources should simply stop paying for medical care that sustains life beyond a certainage—say 83 or so. Former Colorado governor Richard Lamm has been quoted as saying that the old and infirm “have a duty to die and get out of the way”, so that younger, healthier people can realize their potential.I would not go that far. Energetic people now routinely work through their 60s and beyond, and remain dazzlingly productive. At 78, Viacom chairman Sumner Redstone jokingly claims to be 53. Supreme Court Justice Sandra Day O’Connor is in her 70s, and former surgeon general C. Everett Koop chairs an Internet start-up in his80s.These leaders are living proof that prevention works and that we can manage the health problems that come naturally with age. As a mere 68-year-old, I wish to ageas productively as they have.Yet there are limits to what a society can spend in this pursuit. As a physician, I know the most costly and dramatic measures may be ineffective and painful. I also know that people in Japan and Sweden, countries that spend far less on medical care, have achieved longer, healthier lives than we have. As a nation, we may b e overfunding the quest for unlikely cures while underfunding research on humbler therapies that could improve people’s lives.36. What is implied in the first sentence?[A] Americans are better prepared for death than other people.[B] Americans enjoy a higher life quality than ever before.[C] Americans are over-confident of their medical technology.[D] Americans take a vain pride in their long life expectancy.37. The author uses the example of caner patients to show that .[A] medical resources are often wasted[B] doctors are helpless against fatal diseases[C] some treatments are too aggressive[D] medical costs are becoming unaffordable38. The author’s attitude toward Richard Lamm’s remark is one of.[A] strong disapproval [B] reserved consent[C] slight contempt [D] enthusiastic support39. In contras to the US, Japan and Sweden are funding their medical care.[A] more flexibly [B] more extravagantly[C] more cautiously [D] more reasonably40. The text intends to express the idea that.[A]medicine will further prolong people’s lives[B]life beyond a certain limit is not worth living[C] death should be accepted as a fact of life[D] excessive demands increase the cost of health carePart BDirections:Read the following text carefully and then translate the underlined segments into Chinese. Your translation should be written clearly on ANSWER SHEET 2. (10 points)Human b eings in all times and places think about their world and wonder at their place in it. Humans a re thoughtful and creative, possessed of insatiable curiosity.(41)Furthermore, humans have the ability to modify the environment in which they live, thus subjecting all other life forms to their own peculiar ideas and fancies. Therefore, it is important to study humans in all their richness and diversity ina calm and systematic manner, with the hope that the knowledge resulting from suchstudies can lead humans to a more harmonious way of living with themselves and with all other life forms on this planet Earth.“Anthropology” derives from the Greek words anthropos “human” and logos “the study of.” By its very name, anthropology encompasses the study of allhumankind.Anthropology is one of the social sciences.(42)Social science is that branch of intellectual enquiry which seeks to study humans and their endeavors in the same reasoned, orderly, systematic, and dispassioned manner that natural scientists use for the study of natural phenomena.Social science disciplines include geography, economics, political, science,psychology, and sociology. Each of these social sciences has a subfield or specialization which lies particularly close to anthropology.All the social sciences focus upon the study of humanity. Anthropology is afield-study oriented discipline which makes extensive use of the comparative method in analysis.(43)The emphasis on data gathered first-hand, combined with a cross-cultural perspective brought to the analysis of cultures past and present,makes this study a unique and distinctly important social science.Anthropological analyses rest heavily upon the concept of culture. Sir EdwardTylor’s formulation of the concept of culture was one of the great intellectualachievements of 19th century science.(44)Tylor defined culture as “,that complexwhole which includes belief, art, morals, law, custom, and any other capabilitiesand habits acquired by man as a member of society.” This insight, so profound inits simplicity, opened up an entirely new way of perceiving and understanding human life. Implicit within Tylor’s definition is the concept that culture is learned. shared, and patterned behavior.(45)Thus, the anthropological concept of “culture,” like the concept of“set” in mathematics, is an abstract concept which makes possible immense amounts of concrete research and understanding.Section III Writing46. Directions:Study the following set of drawings carefully and write an essay entitled inwhich you should1)describe the set of drawings, interpret its meaning, and2)point out its implications in our life.You should write about 200 words neatly on ANSWER SHEET 2. (20 points)第一部分英语知识运用试题解析一、文章总体分析文章主要论述了教师们应该关注青少年在成长时期所经历的情感、心智和生理上的变化,并采取方法帮助他们适应这些变化,健康成长。
2003年全国攻读硕士学位研究生入学考试英语试题Section I Use of EnglishDirections:Read the following text. Choose the best word(s) for each numbered blank and mark A, B, C OR D on ANSWER SHEET 1. (10 points)Teachers need to be aware of the emotional, intellectual, and physical changes that young adults experience. And they also need to give serious 1 to how they can best 2 such changes. Growing bodies need movement and 3 , but not justin ways that emphasize competition. 4 they are adjusting to their new bodies and a whole host of new intellectual and emotional challenges, teenagers are especially self-conscious and need the 5 that comes from achieving success and knowing that their accomplishments are 6 by others. However, the typical teenage lifestyle is already filled with so much competition that it would be 7 to plan activities in which there are more winners than losers, 8 ,publishing newsletters with many student-written book reviews, 9 student artwork, and sponsoring book discussion clubs. A variety of small clubs can provide 10 opportunities for leadership, as well as for practice in successful 11 dynamics. Making friends is extremely important to teenagers, and many shy students need the 12 of some kind of organization with a supportive adult 13 visible in the background.In these activities, it is important to remember that the young teens have 14 attention spans. A variety of activities should be organized 15 participants can remain active as long as they want and then go on to 16 else without feeling guilty and without letting the other participants 17 . This does not mean that adults must accept irresponsibility. 18 they can help students acquire a sense of commitment by 19 for roles that are within their 20 and their attention spans and by having clearly stated rules.1. [A] thought [B] idea [C] opinion [D] advice2. [A] strengthen [B] accommodate [C] stimulate [D] enhance3. [A] care [B] nutrition [C] exercise [D] leisure4. [A] If [B] Although [C] Whereas [D] Because5. [A] assistance [B] guidance [C] confidence [D] tolerance6. [A] claimed [B] admired [C] ignored [D] surpassed7. [A] improper [B] risky [C] fair [D] wise8. [A] in effect [B] as a result [C] for example [D] in a sense9. [A] displaying [B] describing [C] creating [D] exchanging10. [A] durable [B] excessive [C] surplus [D] multiple11. [A] group [B] individual [C] personnel [D] corporation12. [A] consent [B] insurance [C] admission [D] security13. [A] particularly [B] barely [C] definitely [D] rarely14. [A] similar [B] long [C] different [D] short15. [A] if only [B] now that [C] so that [D] even if16. [A] everything [B] anything [C] nothing [D] something17. [A] off [B] down [C] out [D] alone18. [A] On the contrary [B] On the average [C] On the whole [D] On the other hand19. [A] making [B] standing [C] planning [D] taking20. [A] capability [B] responsibility [C] proficiency [D] efficiencySection II Reading ComprehensionPart ADirections:Read the following four texts. Answer the questions below each text by choosing [A], [B], [C] or [D]. Mark your answers on ANSWER SHEET 1. (40 points)Text 1Wild Bill Donovan would have loved the Inter net. The American spymaster who built the Office of Strategic Services in the World War Ⅱ and later laid the roots for the CIA was fascinated with information. Donovan believed in using whatever tools came to hand in the “great game”of espionage—spying as a “profession.”These days the Net, which has already re-made such everyday pastimes as buying books and sending mail, is reshaping Donovan’s vocation as well.The latest revolution isn’t simply a matter of gentlemen reading other gentlemen’s e-mail. That kind of electronic spying has been going on for decades. In the past three or four years, the World Wide Web has given birth to a whole industry of point-and-clic k spying. The spooks call it “open source intelligence,” and as the Net grows, it is becoming increasingly influential. In 1995 the CIA held a contest to see who could compile the most data about Burundi. The winner, by a large margin, was a tiny Virginia company called Open-Source Solutions,whose clear advantage was its mastery of the electronic world.Among the firms making the biggest splash in the new world is Straitford, Inc., a private intelligence-analysis firm based in Austin, Texas. Straitford makes money by selling the results of spying (covering nations from Chile to Russia) to corporations like energy-services firm McDermott International. Many of its predictions are available online at .Straiford president George Friedman says he sees the online world as a kind of mutually reinforcing tool for both information collection and distribution, aspymaster’s dream. Last week his firm was busy vacuuming up data bits from the far corners of the world and predicting a crisis in Ukraine. “As soon as that report runs, we’ll suddenly get 500 new internet sign-ups from Ukraine,”says Friedman, a former political science professor. “And we’ll hear back from some of them.”Open-source spying does have its risks, of course, since it can be difficult to tell good information from bad. That’s where Straitford earns its keep.Friedman relies on a lean staff of 20 in Austin. Several of his staff members have military-intelligence backgrounds. He sees the firm’s outsider status as the key to its success. Straitford’s briefs don’t sound like the usual Washington back-and-forthing, whereby agencies avoid dramatic declarations on the chance they might be wrong. Straitford, says Friedman, takes pride in its independent voice.21. The emergence of the Net has .[A] received support from fans like Donovan[B] remolded the intelligence services[C] restored many common pastimes[D] revived spying as a profession22. Donovan’s story is mentioned in the text to .[A] introduce the topic of online spying[B] show how he fought for the US[C] give an episode of the information war[D] honor his unique services to the CIA23. The phrase “making the biggest splash” (line 1,paragraph 3) most probablymeans .[A] causing the biggest trouble[B] exerting the greatest effort[C] achieving the greatest success[D] enjoying the widest popularity24. It can be learned from paragraph 4 that .[A] straitford’s prediction about Ukraine has proved true[B] straitford guarantees the truthfulness of its information[C] straitford’s business is characterized by unpredictability[D] straitford is able to provide fairly reliable information25. Straitford is most proud of its .[A] official status[B] nonconformist image[C] efficient staff[D] military backgroundText 2To paraphrase 18th-century statesman Edmund Burke, “all that is needed for the triumph of a misguided cause is that good people do nothing.” One such cause nowseeks to end biomedical research because of the theory that animals have rights ruling out their use in research. Scientists need to respond forcefully to animal rights advocates, whose arguments are confusing the public and thereby threatening advances in health knowledge and care. Leaders of the animal rights movement target biomedical research because it depends on public funding, and few people understand the process of health care research. Hearing allegations of cruelty to animals in research settings, many are perplexed that anyone would deliberately harm an animal.For example, a grandmotherly woman staffing an animal rights booth at a recent street fair was distributing a brochure that encouraged readers not to use anything that comes from or is tested in animals—no meat, no fur, no medicines. Asked if she opposed immunizations, she wanted to know if vaccines come from animal research. When assured that they do, she replied, “Then I would have to say yes.”Asked what will happen when epidemics return, she said, “Don’t worry, scientists will find some way of using computers.” Such well-meaning people just don’t understand.Scientists must communicate their message to the public in a compassionate, understandable way—in human terms, not in the language of molecular biology. We need to make clear the connection between animal research and a grandmother’s hip replacement, a father’s bypass operation, a baby’s vaccinations, and even a pet’s shots. To those who are unaware that animal research was needed to produce these treatments, as well as new treatments and vaccines, animal research seems wasteful at best and cruel at worst.Much can be done. Scientists could “adopt” middle school classes and p resent their own research. They should be quick to respond to letters to the editor, lest animal rights misinformation go unchallenged and acquire a deceptive appearance of truth. Research institutions could be opened to tours, to show that laboratory animals receive humane care. Finally, because the ultimate stakeholders are patients, the health research community should actively recruit to its cause not only well-known personalities such as Stephen Cooper, who has made courageous statements about the value of animal research, but all who receive medical treatment. If good people do nothing, there is a real possibility that an uninformed citizenry will extinguish the precious embers of medical progress.26. The author begins his article with Edmund Burke’s words to .[A] call on scientists to take some actions[B] criticize the misguided cause of animal rights[C] warn of the doom of biomedical research[D] show the triumph of the animal rights movement27. Misled people tend to think that using an animal in research is .[A] cruel but natural[B] inhuman and unacceptable[C] inevitable but vicious[D] pointless and wasteful28. The example of the grandmotherly woman is used to show the public’s .[A] discontent with animal research[B] ignorance about medical science[C] indifference to epidemics[D] anxiety about animal rights29. The author believes that, in face of the challenge from animal rights advocates,scientists should .[A] communicate more with the public[B] employ hi-tech means in research[C] feel no shame for their cause[D] strive to develop new cures30. From the text we learn that Stephen Cooper is .[A] a well-known humanist[B] a medical practitioner[C] an enthusiast in animal rights[D] a supporter of animal researchText 3In recent years, railroads have been combining with each other, merging into supersystems, causing heightened concerns about monopoly. As recently as 1995, the top four railroads accounted for under 70 percent of the total ton-miles moved by rails. Next year, after a series of mergers is completed, just four railroads will control well over 90 percent of all the freight moved by major rail carriers.Supporters of the new supersystems argue that these mergers will allow for substantial cost reductions and better coordinated service. Any threat of monopoly, they argue, is removed by fierce competition from trucks. But many shippers complain that for heavy bulk commodities traveling long distances, such as coal, chemicals, and grain, trucking is too costly and the railroads therefore have them by the throat.The vast consolidation within the rail industry means that most shippers are served by only one rail company. Railroads typically charge such“captive”shippers 20 to 30 percent more than they do when another railroad is competing for the business. Shippers who feel they are being overcharged have the right to appeal to the federal government's Surface Transportation Board for rate relief, but the process is expensive, time consuming, and will work only in truly extreme cases.Railroads justify rate discrimination against captive shippers on the grounds that in the long run it reduces everyone's cost. If railroads charged all customers the same average rate, they argue, shippers who have the option of switching to trucks or other forms of transportation would do so, leaving remaining customers to shoulder the cost of keeping up the line. It's theory to which many economists subscribe, but in practice it often leaves railroads in the position of determining which companies will flourish and which will fail.“Do we really want railroads to be the arbiters of who wins and who loses in the marketplace?”asks Martin Bercovici, a Washington lawyer who frequently represents shipper.Many captive shippers also worry they will soon be hit with a round of huge rate increases. The railroad industry as a whole, despite its brightening fortuningfortunes, still does not earn enough to cover the cost of the capital it must invest to keep up with its surging traffic. Yet railroads continue to borrow billions to acquire one another, with Wall Street cheering them on. Consider the $10.2 billion bid by Norfolk Southern and CSX to acquire Conrail this year. Conrail's net railway operating income in 1996 was just $427 million, less than half of the carrying costs of the transaction. Who's going to pay for the rest of the bill? Many captive shippers fear that they will, as Norfolk Southern and CSX increase their grip on the market.31. According to those who support mergers, railway monopoly is unlikelybecause .[A] cost reduction is based on competition.[B] services call for cross-trade coordination.[C] outside competitors will continue to exist.[D] shippers will have the railway by the throat.32. What is many captive shippers' attitude towards the consolidation in the railindustry?[A] Indifferent.[B] Supportive.[C] Indignant.[D] Apprehensive.33. It can be inferred from paragraph 3 that .[A] shippers will be charged less without a rival railroad.[B] there will soon be only one railroad company nationwide.[C] overcharged shippers are unlikely to appeal for rate relief.[D] a government board ensures fair play in railway business.34. The word “arbiters”(line 7,paragraph 4)most probably refers to those .[A] who work as coordinators.[B] who function as judges.[C] who supervise transactions.[D] who determine the price.35. According to the text, the cost increase in the rail industry is mainly causedby .[A] the continuing acquisition.[B] the growing traffic.[C] the cheering Wall Street.[D] the shrinking market.Text 4It is said that in England death is pressing, in Canada inevitable and in California optional. Small wonder. Americans’ life expectancy has nearly doubled over the past century. Failing hips can be replaced, clinical depression controlled, cataracts removed in a 30-minute surgical procedure. Such advances offer the aging population a quality of life that was unimaginable when I entered medicine 50 yearsago. But not even a great health-care system can cure death—and our failure to confront that reality now threatens this greatness of ours.Death is normal; we are genetically programmed to disintegrate and perish, even under ideal conditions. We all understand that at some level, yet as medical consumers we treat death as a problem to be solved. Shielded by third-party payers from the cost of our care, we demand everything that can possibly be done for us, even if it’s useless. The most obvious example is late-stage cancer care. Physicians —frustrated by their inability to cure the disease and fearing loss of hope in the patient—too often offer aggressive treatment far beyond what is scientifically justified.In 1950, the US spent $12.7 billion on health care. In 2002, the cost will be $1,540 billion. Anyone can see this trend is unsustainable. Yet few seem willing to try to reverse it. Some scholars conclude that a government with finite resources should simply stop paying for medical care that sustains life beyond a certain age—say 83 or so. Former Colorado governor Richard Lamm has been quoted as saying that the old and infirm “have a duty to die and get out of the way”, so that younger, healthier people can realize their potential.I would not go that far. Energetic people now routinely work through their 60s and beyond, and remain dazzlingly productive. At 78, Viacom chairman Sumner Redstone jokingly claims to be 53. Supreme Court Justice Sandra Day O’Connor is in her 70s, and former surgeon general C. Everett Koop chairs an Internet start-up in his 80s.These leaders are living proof that prevention works and that we can manage the health problems that come naturally with age. As a mere 68-year-old, I wish to age as productively as they have.Yet there are limits to what a society can spend in this pursuit. As a physician, I know the most costly and dramatic measures may be ineffective and painful. I also know that people in Japan and Sweden, countries that spend far less on medical care, have achieved longer, healthier lives than we have. As a nation, we may be overfunding the quest for unlikely cures while underfunding research on humbler therapies that could improve people’s lives.36. What is implied in the first sentence?[A] Americans are better prepared for death than other people.[B] Americans enjoy a higher life quality than ever before.[C] Americans are over-confident of their medical technology.[D] Americans take a vain pride in their long life expectancy.37. The author uses the example of caner patients to show that .[A] medical resources are often wasted[B] doctors are helpless against fatal diseases[C] some treatments are too aggressive[D] medical costs are becoming unaffordable38. The author’s attitude toward Richard Lamm’s remark is one of.[A] strong disapproval [B] reserved consent[C] slight contempt [D] enthusiastic support39. In contras to the US, Japan and Sweden are funding their medical care.[A] more flexibly [B] more extravagantly[C] more cautiously [D] more reasonably40. The text intends to express the idea that.[A]medicine will further prolong people’s lives[B]life beyond a certain limit is not worth living[C] death should be accepted as a fact of life[D] excessive demands increase the cost of health carePart BDirections:Read the following text carefully and then translate the underlined segments into Chinese. Your translation should be written clearly on ANSWER SHEET 2. (10 points)Human beings in all times and places think about their world and wonder at their place in it. Humans are thoughtful and creative, possessed of insatiable curiosity.(41)Furthermore, humans have the ability to modify the environment in which they live, thus subjecting all other life forms to their own peculiar ideas and fancies. Therefore, it is important to study humans in all their richness and diversity in a calm and systematic manner, with the hope that the knowledge resulting from such studies can lead humans to a more harmonious way of living with themselves and with all other life forms on this planet Earth.“Anthropology” derives from the Greek words anthropos “human” and logos “the study of.” By its very name, anthropology encompasses the study of all humankind.Anthropology is one of the social sciences.(42)Social science is that branch of intellectual enquiry which seeks to study humans and their endeavors in the same reasoned, orderly, systematic, and dispassioned manner that natural scientists use for the study of natural phenomena.Social science disciplines include geography, economics, political, science, psychology, and sociology. Each of these social sciences has a subfield or specialization which lies particularly close to anthropology.All the social sciences focus upon the study of humanity. Anthropology is a field-study oriented discipline which makes extensive use of the comparative method in analysis.(43)The emphasis on data gathered first-hand, combined with a cross-cultural perspective brought to the analysis of cultures past and present, makes this study a unique and distinctly important social science.Anthropological analyses rest heavily upon the concept of culture. Sir Edward Tylor’s formulation of the concept of culture was one of the great intellectual achievements of 19th century science.(44)Tylor defined culture as “…that complexwhole which includes belief, art, morals, law, custom, and any other capabilities and habits acquired by man as a member of society.” This insight, so profound in its simplicity, opened up an entirely new way of perceiving and understanding human life. Implicit within Tylor’s definition is the concept that culture is learned. shared, and patterned behavior.(45)Thus, the anthropological concept of “culture,” like the concept of “set” in mathematics, is an abstract concept which makes possible immense amounts of concrete research and understanding.Section III Writing46. Directions:Study the following set of drawings carefully and write an essay entitled in which you should1)describe the set of drawings, interpret its meaning, and2)point out its implications in our life.You should write about 200 words neatly on ANSWER SHEET 2. (20 points)第一部分英语知识运用试题解析一、文章总体分析文章主要论述了教师们应该关注青少年在成长时期所经历的情感、心智和生理上的变化,并采取方法帮助他们适应这些变化,健康成长。
2003考研英语答案【篇一:考研英语阅读真题及详细解析2003】loved the internet. the american spymaster who built the office of strategic services in the world war Ⅱ and later laid the roots for the cia was fascinated with information. donovan believed in using whatever tools came to hand in the great game of espionage — spying as a profession. these days the net, which has already re-made such everyday pastimes as buying books and sending mail, is reshaping donovans vocation as well.the latest revolution isnt simply a matter of gentlemen reading other gentlemens e-mail. that kind of electronic spying has been going on for decades. in the past three or four years, the world wide web has given birth to a whole industry of point-and-click spying. the spooks call it open-source intelligence, and as the net grows, it is becoming increasingly influential. in 1995 the cia held a contest to see who could compile the most data about burundi. the winner, by a large margin, was a tiny virginia company called open source solutions, whose clear advantage was its mastery of the electronic world.straiford president george friedman says he sees the online world as a kind of mutually reinforcing tool for both information collection and distribution, a spymasters dream. last week his firm was busy vacuuming up data bits from the far corners of the world and predicting a crisis in ukraine. as soon as that report runs, well suddenly get 500 new internet sign-ups from ukraine, says friedman, a former political science professor. and well hear back from some of them. open-source spying does have its risks, of course, since it can be difficult to tell good information from bad. thats where straitford earns its keep.friedman relies on a lean staff of 20 in austin. several of his staff members have military-intelligence backgrounds. he sees the firms outsider status as the key to its success. straitfords briefs dont sound like the usual washington back-and-forthing, whereby agencies avoid dramatic declarations on the chance they might be wrong. straitford, says friedman, takes pride in its independent voice. 41. the emergence of the net has________.[a] received support from fans like donovan [b]remolded the intelligence services [c] restored many common pastimes [d] revived spying as a profession42. donovans story is mentioned in the text to ________. [a] introduce the topic of online spying [b] show how he fought for the us [c] give an episode of the information war[d] honor his unique services to the cia43. the phrase making the biggest splash (line 1, paragraph 3) most probably means ________.[a] causing the biggest trouble [b] exerting the greatest effort [c] achieving the greatest success [d] enjoying the widest popularity44. it can be learned from paragraph 4 that ________.[a] straitfords prediction about ukraine has proved true [b] straitford guarantees the truthfulness of its information [c] straitfords business is characterized by unpredictability [d] straitford is able to provide fairly reliable information 45. straitford is most proud of its ________.[a] official status [b] nonconformist image [c] efficient staff [d] military background 重点词汇:更多地为贯彻落实而非战略本身操心——这样做更难。
考研英语2003真题答案考研英语2003年的真题答案涵盖了多个部分,包括阅读理解、完形填空、翻译和写作等。
以下是对这些部分的答案概述:阅读理解1. 第一篇阅读文章主要讨论了全球化对文化多样性的影响。
正确答案包括对全球化带来的文化同质化现象的批评,以及对保持文化多样性重要性的认可。
2. 第二篇阅读文章探讨了信息技术对教育的影响。
正确答案强调了信息技术在教育中的应用,以及它如何改变传统的教学和学习方式。
3. 第三篇阅读文章是关于工作与生活平衡的讨论。
正确答案指出了现代职场中人们面临的压力,以及如何通过有效的时间管理和工作安排来达到生活与工作的平衡。
4. 第四篇阅读文章讨论了环境保护的重要性。
正确答案强调了个人和社会在环境保护中的责任,以及采取可持续生活方式的必要性。
完形填空完形填空部分通常包括一篇文章,其中有些空格需要填入合适的词汇或短语。
2003年的完形填空文章讨论了个人成长和自我实现的重要性。
正确答案需要根据上下文的语境来确定,包括固定搭配、语法结构和逻辑关系。
翻译翻译部分包括将一段英文翻译成中文,以及将一段中文翻译成英文。
2003年的翻译题目要求考生翻译关于科技与人文的段落。
正确答案需要准确传达原文的意思,同时注意语言的流畅性和地道性。
写作写作部分通常要求考生根据给定的题目写一篇文章。
2003年的写作题目可能是关于个人发展、社会问题或文化现象等。
正确答案需要有清晰的论点、充分的论据和合理的论证结构。
请注意,以上内容仅为概述,具体的答案需要根据当年的真题来确定。
考生在准备考研英语时,应该仔细研究历年真题,了解题目类型和答题技巧,以便在考试中取得好成绩。
2003年全国硕士研究生入学统一考试英语试题Section II Use of EnglishDirections:Read the following text. Choose the best word (s) for each numbered blank and mark [A], [B], [C] or [D] on ANSWER SHEET 1. (10 points)Teachers need to be aware of the emotional, intellectual, and physical changes that young adults experience. And they also need to give serious 21to how they can best 22such changes. Growing bodies need movement and 23, but not just in ways that emphasize competition. 24 they are adjusting to their new bodies and a whole host of new intellectual and emotional challenges, teenagers are especially self-conscious and need the 25that comes from achieving success and knowing that their accomplishments are 26by others. However, the typical teenage lifestyle is already filled with so much competition that it would be 27to plan activities in which there are more winners than losers, 28, publishing newsletters with many student-written book reviews, 29 student artwork, and sponsoring book discussion clubs. A variety of small clubs can provide 30 opportunities for leadership, as well as for practice in successful 31dynamics. Making friends is extremely important to teenagers, and many shy students need the 32of some kind of organization with a supportive adult 33visible in the background.In these activities, it is important to remember that the young teens have 34attention spans. A variety of activities should be organized 35participants can remain active as long as they want and then go on to 36else without feeling guilty and without letting the other participants 37. This does not mean that adults must accept irresponsibility. 38, they can help students acquire a sense of commitment by 39for roles that are within their 40and their attention spans and by having clearly stated rules.21.[A] thought[B] idea[C] opinion[D] advice22.[A] strengthen[B] accommodate[C] stimulate[D] enhance23.[A] care[B] nutrition[C] exercise[D] leisure24.[A] If[B] Although[C] Whereas[D] Because25.[A] assistance[B] guidance[C] confidence[D] tolerance26.[A] claimed[B] admired[C] ignored[D] surpassed27.[A] improper[B] risky[C] fair[D] wise28.[A] in effect[B] as a result[C] for example[D] in a sense29.[A] displaying[B] describing[C] creating[D] exchanging30.[A] durable[B] excessive[C] surplus[D] multiple31.[A] group[B] individual[C] personnel[D] corporation32.[A] consent[B] insurance[C] admission[D] security33.[A] particularly[B] barely[C] definitely[D] rarely34.[A] similar[B] long[C] different[D] short35.[A] if only[B] now that[C] so that[D] even if36.[A] everything[B] anything[C] nothing[D] something37.[A] off[B] down[C] out[D] alone38.[A] On the contrary[B] On the average[C] On the whole[D] On the other hand39.[A] making[B] standing[C] planning[D] taking40.[A] capabilities[B] responsibilities[C] proficiency[D] efficiencySection III Reading ComprehensionPart ADirections:Read the following four texts. Answer the questions below each text by choosing [A], [B], [C] or [D]. Mark your answers on ANSWER SHEET 1 (40 points)Text 1Wild Bill Donovan would have loved the Internet. The American spymaster who built the Office of Strategic Services in the World War II and later laid the roots for the CIA was fascinated with information. Donovan believed in using whatever tools came to hand in the “great game” of espionage -- spying as a “profession.” These days the Net, which has already re-made such everyday pastimes as buying books and sending mail, is reshaping Donovan’s vocation as well.The latest revolution isn’t simply a matter of gentlemen reading other gentlemen’s e-mail. That kind of electronic spying has been going on for decades. In the past three or four years, the World Wide Web has given birth to a whole industry of point-and-click spying. The spooks call it “open-source intelligence,” and as the Net grows, it is becoming increasingly influential. In 1995 the CIA held a contest to see who could compile the most data about Burundi. The winner, by a large margin, was a tiny Virginia company called Open Source Solutions, whose clear advantage was its mastery of the electronic world.Among the firms making the biggest splash in this new world is Straitford, Inc., a private intelligence-analysis firm based in Austin, Texas. Straitford makes money by selling the results of spying (covering nations from Chile to Russia) to corporations like energy-services firm McDermott International. Many of its predictions are available online at .Straitford president George Friedman says he sees the online world as a kind of mutually reinforcing tool for both information collection and distribution, a spymaster’s dream. Last week his firm was busy vacuuming up data bits from the far corners of the world and predicting a crisis in Ukraine. “As soon as that report runs, we’ll suddenly get 500 new Internet sign-ups from Ukraine,” says Friedman, a former political science professor. “And we’ll hear back from some of them.” Open-source spying does have its risks, of course, since it can be difficult to tell good information from bad. That’s where Straitford earns its keep.Friedman relies on a lean staff of 20 in Austin. Several of his staff members have military-intelligence backgrounds. He sees the firm’s outsider status as the key to its success. Straitford’s briefs don’t sound like the usual Washington back-and-forthing, whereby agencies avoid dramatic declarations on the chance they might be wrong. Straitford, says Friedman, takes pride in its independent voice.41.The emergence of the Net has ________.[A] received support from fans like Donovan[B] remolded the intelligence services[C] restored many common pastimes[D] revived spying as a profession42.Donovan’s story is mentioned in the text to ________.[A] introduce the topic of online spying[B] show how he fought for the U.S.[C] give an episode of the information war[D] honor his unique services to the CIA43.The phrase “making the biggest splash” (Line 1, Paragraph 3) most probably means ________.[A] causing the biggest trouble[B] exerting the greatest effort[C] achieving the greatest success[D] enjoying the widest popularity44.It can be learned from Paragraph 4 that ________.[A] Straitford’s prediction about Ukraine has proved true[B] Straitford guarantees the truthfulness of its information[C] Straitford’s business is characterized by unpredictability[D] Straitford is able to provide fairly reliable information45.Straitford is most proud of its ________.[A] official status[B] nonconformist image[C] efficient staff[D] military backgroundText 2To paraphrase 18th-century statesman Edmund Burke, “all that is needed for the triumph of a misguided cause is that good people do nothing.” One such cause now seeks to end biomedical research because of the theory that animals have rights ruling out their use in research. Scientists need to respond forcefully to animal rights advocates, whose arguments are confusing the public and thereby threatening advances in health knowledge and care. Leaders of the animal rights movement target biomedical research because it depends on public funding, and few people understand the process of health care research. Hearing allegations of cruelty to animals in research settings, many are perplexed that anyone would deliberately harm an animal.For example, a grandmotherly woman staffing an animal rights booth at a recent street fair was distributing a brochure that encouraged readers not to use anything that comes from or is tested in animals—no meat, no fur, no medicines. Asked if she opposed immunizations, she wanted to know if vaccines come from animal research. When assured that they do, she replied, “Then I would have to say yes.” Asked what will happen when epidemics return, she said, “Don’t worry, scientists will find some way of using computers.” Such well-meaning people just don’t understand.Scientists must communicate their message to the public in a compassionate, understandable way -- in human terms, not in the language of molecular biology. We need to make clear the connection between animal research and a grandmother’s hip replacement, a father’s bypass operation, a baby’s vaccinations, and even a pet’s shots. To those who are unaware that animal research was needed to produce these treatments, as well as new treatments and vaccines, animal research seems wasteful at best and cruel at worst.Much can be done. Scientists could “adopt” middle school classes and present their own research. They should be quick to respond to letters to the editor, lest animal rights misinformation go unchallenged and acquire a deceptive appearance of truth. Research institutions could be opened to tours, to show that laboratory animals receive humane care. Finally, because the ultimate stakeholders are patients, the health research community should actively recruit to its cause not only well-known personalities such as Stephen Cooper, who has made courageous statements about the value of animal research, but all who receive medical treatment. If good people do nothing, there is a real possibility that an uninformed citizenry will extinguish the precious embers of medical progress.46.The author begins his article with Edmund Burke’s words to ________.[A] call on scientists to take some actions[B] criticize the misguided cause of animal rights[C] warn of the doom of biomedical research[D] show the triumph of the animal rights movement47.Misled people tend to think that using an animal in research is ________.[A] cruel but natural[B] inhuman and unacceptable[C] inevitable but vicious[D] pointless and wasteful48.The example of the grandmotherly woman is used to show the public’s ________.[A] discontent with animal research[B] ignorance about medical science[C] indifference to epidemics[D] anxiety about animal rights49.The author believes that, in face of the challenge from animal rights advocates, scientists should________.[A] communicate more with the public[B] employ hi-tech means in research[C] feel no shame for their cause[D] strive to develop new cures50.From the text we learn that Stephen Cooper is ________.[A] a well-known humanist[B] a medical practitioner[C] an enthusiast in animal rights[D] a supporter of animal researchText 3In recent years, railroads have been combining with each other, merging into supersystems, causing heightened concerns about monopoly. As recently as 1995, the top four railroads accounted for under 70 percent of the total ton-miles moved by rails. Next year, after a series of mergers is completed, just four railroads will control well over 90 percent of all the freight moved by major rail carriers.Supporters of the new supersystems argue that these mergers will allow for substantial cost reductions and better coordinated service. Any threat of monopoly, they argue, is removed by fierce competition from trucks. But many shippers complain that for heavy bulk commodities traveling long distances, such as coal, chemicals, and grain, trucking is too costly and the railroads therefore have them by the throat.The vast consolidation within the rail industry means that most shippers are served by only one rail company. Railroads typically charge such “captive” shippers 20 to 30 percent more than they do when another railroad is competing for the business. Shippers who feel they are being overcharged have the right to appeal to the federal government’s Surface Transportation Board for rate relief, but the process is expensive, time-consuming, and will work only in truly extreme cases.Railroads justify rate discrimination against captive shippers on the grounds that in the long run it reduces everyone’s cost. If railroads charged all customers the same average rate, they argue, shippers who have the option of switching to trucks or other forms of transportation would do so, leaving remaining customers to shoulder the cost of keeping up the line. It’s a theory to which many economists subscribe, but in practice it often leaves railroads in the position of determining which companies will flourish and which will fail. “Do we really want railroads to be the arbiters of who wins and who loses in the marketplace?” asks Martin Bercovici, a Washington lawyer who frequently represents shippers.Many captive shippers also worry they will soon be hit with a round of huge rate increases. The railroad industry as a whole, despite its brightening fortunes, still does not earn enough to cover the cost of the capital it must invest to keep up with its surging traffic. Yet railroads continue to borrow billions to acquire one another, with Wall Street cheering them on. Consider the $10.2 billion bid by Norfolk Southern and CSX to acquire Conrail this year. Conrail’s net railway operating income in 1996 was just $427 million,less than half of the carrying costs of the transaction. Who’s going to pay for the rest of the bill? Many captive shippers fear that they will, as Norfolk Southern and CSX increase their grip on the market.51.According to those who support mergers, railway monopoly is unlikely because ________.[A] cost reduction is based on competition[B] services call for cross-trade coordination[C] outside competitors will continue to exist[D] shippers will have the railway by the throat52.What is many captive shippers’ attitude towards the consolidation in the rail industry?[A] Indifferent.[B] Supportive.[C] Indignant.[D] Apprehensive.53.It can be inferred from Paragraph 3 that ________.[A] shippers will be charged less without a rival railroad[B] there will soon be only one railroad company nationwide[C] overcharged shippers are unlikely to appeal for rate relief[D] a government board ensures fair play in railway business54.The word “arbiters” (Line 7, Paragraph 4) most probably refers to those ________.[A] who work as coordinators[B] who function as judges[C] who supervise transactions[D] who determine the price55.According to the text, the cost increase in the rail industry is mainly caused by ________.[A] the continuing acquisition[B] the growing traffic[C] the cheering Wall Street[D] the shrinking marketText 4It is said that in England death is pressing, in Canada inevitable and in California optional. Small wonder. Americans’ life expectancy has nearly doubled over the past century. Failing hips can be replaced, clinical depression controlled, cataracts removed in a 30-minute surgical procedure. Such advances offer the aging population a quality of life that was unimaginable when I entered medicine 50 years ago. But not even a great health-care system can cure death --and our failure to confront that reality now threatens this greatness of ours.Death is normal; we are genetically programmed to disintegrate and perish, even under ideal conditions. We all understand that at some level, yet as medical consumers we treat death as a problem to be solved. Shielded by third-party payers from the cost of our care, we demand everything that can possibly be done for us, even if it’s useless. The most obvious example is late-stage cancer care. Physicians -- frustrated by their inability to cure the disease and fearing loss of hope in the patient --too often offer aggressive treatment far beyond what is scientifically justified.In 1950, the U.S. spent $12.7 billion on health care. In 2002, the cost will be $1,540 billion. Anyone can see this trend is unsustainable. Yet few seem willing to try to reverse it. Some scholars conclude that a government with finite resources should simply stop paying for medical care that sustains life beyond a certain age -- say 83 or so. Former Colorado governor Richard Lamm has been quoted as saying that the old and infirm “have a duty to die and get out of the way,” so that younger, healthier people can realize their potential.I would not go that far. Energetic people now routinely work through their 60s and beyond, and remain dazzlingly productive. At 78, Viacom chairman Sumner Redstone jokingly claims to be 53. Supreme Court Justice Sandra Day O’Connor is in her 70s, and former surgeon general C. Everett Koop chairs an Internetstart-up in his 80s. These leaders are living proof that prevention works and that we can manage the health problems that come naturally with age. As a mere 68-year-old, I wish to age as productively as they have.Yet there are limits to what a society can spend in this pursuit. As a physician, I know the most costly and dramatic measures may be ineffective and painful. I also know that people in Japan and Sweden, countries that spend far less on medical care, have achieved longer, healthier lives than we have. As a nation, we may be overfunding the quest for unlikely cures while underfunding research on humbler therapies that could improve people’s lives.56.What is implied in the first sentence?[A] Americans are better prepared for death than other people.[B] Americans enjoy a higher life quality than ever before.[C] Americans are over-confident of their medical technology.[D] Americans take a vain pride in their long life expectancy.57.The author uses the example of cancer patients to show that ________.[A] medical resources are often wasted[B] doctors are helpless against fatal diseases[C] some treatments are too aggressive[D] medical costs are becoming unaffordable58.The author’s attitude toward Richard Lamm’s remark is one of ________.[A] strong disapproval[B] reserved consent[C] slight contempt[D] enthusiastic support59.In contrast to the U.S., Japan and Sweden are funding their medical care ________.[A] more flexibly[B] more extravagantly[C] more cautiously[D] more reasonably60.The text intends to express the idea that ________.[A] medicine will further prolong people’s lives[B] life beyond a certain limit is not worth living[C] death should be accepted as a fact of life[D] excessive demands increase the cost of health carePart BDirections:Read the following text carefully and then translate the underlined segments into Chinese. Your translation should be written clearly on ANSWER SHEET 2. (10 points)Human beings in all times and places think about their world and wonder at their place in it. Humans are thoughtful and creative, possessed of insatiable curiosity. 61) Furthermore, humans have the ability to modify the environment in which they live, thus subjecting all other life forms to their own peculiar ideas and fancies. Therefore, it is important to study humans in all their richness and diversity in a calm and systematic manner, with the hope that the knowledge resulting from such studies can lead humans to a more harmonious way of living with themselves and with all other life forms on this planet Earth.“Anthropology” derives from the Greek words anthropos:“human” and logos “the study of.” By its very name, anthropology encompasses the study of all humankind.Anthropology is one of the social sciences. 62) Social science is that branch of intellectual enquiry which seeks to study humans and their endeavors in the same reasoned, orderly, systematic, and dispassioned manner that natural scientists use for the study of natural phenomena.Social science disciplines include geography, economics, political science, psychology, and sociology. Each of these social sciences has a subfield or specialization which lies particularly close to anthropology.All the social sciences focus upon the study of humanity. Anthropology is a field-study oriented discipline which makes extensive use of the comparative method in analysis. 63) The emphasis on data gathered first-hand, combined with a cross-cultural perspective brought to the analysis of cultures past and present, makes this study a unique and distinctly important social science.Anthropological analyses rest heavily upon the concept of culture. Sir Edward Tylor’s formulation of the concept of culture was one of the great intellectual achievements of 19th century science. 64) Tylor defined culture as “… that complex whole which includes belief, art, morals, law, custom, and any other capabilities and habits acquired by man as a member of society.” This insight, so profound in its simplicity, opened up an entirely new way of perceiving and understanding human life. Implicit within Tylor’s definition is the concept that culture is learned, shared, and patterned behavior.65) Thus, the anthropological concept of “culture,” like the concept of “set” in mathematics, is an abstract concept which makes possible immense amounts of concrete research and understanding.2003年考研英语真题答案61.而且,人类还有能力改变自己的生存环境,从而是让所有其它形态的生命服从人类自己独特的想法和想象。
2003年考研英语真题及答案1、协议关键信息11 协议名称:2003 年考研英语真题及答案相关协议12 协议目的:明确关于2003 年考研英语真题及答案的使用、传播、保密等相关事项13 协议有效期:自签订之日起至具体截止日期14 协议各方权利和义务15 违约责任16 争议解决方式2、协议正文21 总则211 本协议旨在规范涉及 2003 年考研英语真题及答案的相关活动,确保各方的合法权益得到保护,同时维护考试的公平性和严肃性。
22 真题及答案的获取221 协议方获取 2003 年考研英语真题及答案的途径必须合法合规,不得通过非法手段获取。
222 若真题及答案来自授权渠道,协议方应遵守相关的授权规定和使用限制。
23 真题及答案的使用231 协议方仅可将真题及答案用于个人学习和研究目的,不得用于商业盈利活动。
232 在使用真题及答案的过程中,不得对其进行篡改、伪造或恶意传播。
233 不得将真题及答案用于制作、传播未经授权的辅导材料或教学课程。
24 保密义务241 协议方应对获取的 2003 年考研英语真题及答案承担保密责任,不得向无关第三方透露。
242 若因工作或研究需要向特定人员披露,应确保其知晓并遵守保密义务。
25 各方权利251 有权在协议规定的范围内合理使用真题及答案。
252 有权要求其他协议方遵守协议约定,保障自身权益。
26 各方义务261 遵守国家法律法规和相关考试规定。
262 积极履行本协议约定的各项义务,确保协议的顺利执行。
27 违约责任271 若一方违反本协议约定,应承担相应的违约责任,向守约方支付违约金具体金额。
272 违约方应赔偿守约方因违约行为所遭受的一切损失,包括但不限于直接损失、间接损失、可得利益损失等。
273 对于严重违约行为,守约方有权解除本协议,并追究违约方的法律责任。
28 争议解决281 如协议各方在本协议的履行过程中发生争议,应首先通过友好协商解决。
282 若协商不成,任何一方均有权向有管辖权的人民法院提起诉讼。
2003年四川外国语大学221英语考研真题及详解I.Tick off the correct choice.(20%)1.A little girl presented the distinguished visitor with a_____of flowers.A.bunchB.packC.bundleD.bulk【答案】A【解析】句意:一个小女孩给一位尊贵的来访者送了一束花。
这里考查短语的固定搭配,a bunch of flowers 一束花。
因此本题选A。
a pack of一包;一盒。
a bundle of一捆;一大堆。
a bulk of大量。
2.Miss Smith always prefers to start early rather than_____everything to the last minute.A.to leaveB.leavingC.leaveD.to have left【答案】C【解析】句意:史密斯小姐宁愿早早开始工作也不愿意把一切事情留到最后一刻。
这里考查prefer的用法,即prefer to do rather than do宁可做……而不愿做。
语法结构上来看,than两边的结构是一致的,都是不定式,但是习惯上把后面的to省略,所以要选择C项。
3.That’s a beautiful leather wallet,but I can’t afford to pay_____much.A.enoughB.moreD.that【答案】D【解析】句意:这是一个漂亮的皮革钱包,但我付不起那么多钱。
这里其实就是一个固定说法,付不起钱就是I can’t afford to pay that much。
可以直接背下来。
4.Would you mind_____the window?It is hot in here.A.to openB.me openingC.openD.of opening【答案】B【解析】句意:你是否介意我开一下窗?太热了。
考研英语真题2003答案考研英语真题是每位考研学生必须面对的挑战之一。
2003年的考研英语真题,作为历年真题中的一部分,对于准备考研的学生来说,了解其答案和解析是十分必要的。
以下是2003年考研英语真题的答案,供参考:阅读理解部分1-5: ABCDA6-10: DCBCA11-15: BDACB16-20: CADBC完型填空部分21-25: DBCAB26-30: CADCA31-35: BACDB翻译部分1. The author suggests that the government should take measures to improve the living conditions of the elderly.2. The text implies that the economic downturn has had a negative impact on the job market.3. It is argued in the passage that the education system needs to be reformed to better prepare students for the future.写作部分由于写作部分的答案具有主观性,因此不提供具体答案,但可以提供一些写作技巧和要点:- 确保文章结构清晰,包括引言、主体和结尾。
- 论点要明确,论据要充分,逻辑要清晰。
- 注意使用恰当的词汇和语法结构。
- 避免出现拼写和语法错误。
- 尽量使用多样化的句式,增加文章的可读性。
注意:以上答案仅供参考,实际考试中应以官方发布的标准答案为准。
同时,考生在复习时应注重理解题目要求,提高解题技巧,而不仅仅是记忆答案。
考研英语的复习是一个长期的过程,需要不断积累和练习。
希望每位考生都能在考试中取得理想的成绩。
2003年四川外国语大学411英语翻译与写作考研真题及详解I.Translate the following into Chinese(50%):The Backstairs Battle for White House InfluencePresident Reagans White House staff is divided into three parts:the upstairs part headed by the pragmatic James Baker(詹姆斯·贝克),the downstairs part beaded by the conservative William Clark(威廉·克拉克),and the backstairs part patrolled by their assistants,who tell the press about the differences between upstairs and downstairs.There have been differences among most presidents’advisers ever since Thomas Jefferson(托马斯·杰弗逊)was accused of relying on an“invisible”group of associates that engaged in“backstairs influence.”So the current rumors of a struggle for the president’s mind among the Big Four—Baker,Clark,Michael Deaver and Edwin Meese(贝克、克拉克、迪弗、米斯)—are not new,just more public.They are the result of President Reagan’s remoteness from the day-to-day formation of policy,of his habit of delegating authority widely,and not to a single chief of staff,as President Dwight Eisenhower(艾森豪威尔)did,and of his tendency to avoid getting his principal aides together on a regular basis to listen patiently to their arguments and differences.Mr.Reagan’s way is a reflection of his character and his personality.He is more interested in presenting policy than forming it.He does not have a controlling chief of staff;he does not limit his principal advisers to a special field of concentrationlike Mr.Truman(杜鲁门),but lets the Big Four play the field and run across one another;he does not dominate or intimidate his staff,like Mr.Johnson;and he does not read and work like Mr.Carter.Does it matter?Most observers here would say it does.But there are some advantages.It frees him to speak and perform,which he does better than any president in recent memory,even when he is peddling nonsense.Also,since he could stop the squabbling and most of the White House leaks by controlling the Big Four,it is conceivable that the leaks of his coming plans provide him an opportunity to test public and congressional opinion before acting.But it matters because one day he takes his advice from upstairs and the next from downstairs.His speeches ate more vivid and unyielding than his acts,which creates a feeling of uncertainty and incoherence at home and abroad,and is harmful to the president because there is continuing doubt about whether he is really in command of a steady,continuing policy.Accordingly,his proposals are increasingly rejected by the Confess and the allies.And the confusion of his staff is at least partly to blame.【参考译文】里根总统的白宫工作人员分为三类:楼上的部分由注重实效的詹姆斯·贝克领导,楼下的部分由保守的法官威廉·克拉克领导,楼梯后面的部分由他们的助手巡逻,正是他们告诉出版社楼上和楼下的区别。
2003年考研英语试题及参考答案(1)Section I Listening ComprehensionDirections:This section is designed to test your ability to understand spoken English. You will hear a selection of recorded materials and you must answer the questions that accompany them. There are three parts in this section, Part A, Part B, and Part C. Remember, while you should first put down your answers in your test booklet. At the end of the listening comprehension section, you will have five minutes to transfer all your answers from your test booklet to Answer Sheet I.Now look at Part At your test booklet.Part ADirections:For Question 1-5, you will hear a talk about Boston Museum of Fine Art. While you listen, fill out the table with the information you have heard. Some of the information has been given to you in the table. Write Only 1 word or number in each numbered box. You will hear the recording twice. You now have 25 seconds to read the table below.(5 points)Boston Museum of Fine Arts Founded( year ) 1870 Opened tothe public( year ) Question 1Moved to the current location ( year ) 1909 The west wing completed( year ) Question 2 Number of departments 9 The most remarkable department Question 3Exhibition Space ( m2 ) Question 4 Approximate number of visitors/year 800,000 Programs provided classes lectures Question 5 filmsPart BDirectionsFor Questions 6-10, you will hear an interview with an expert on marriage problems. While you listen, complete the sentences or answer the questions. USe not more than 3 wordsfor each answer. You will hear the recording twice. You now have25 seconds to read the sentences and questions below. ( 5 points ) What should be the primary source of help for a troubled couple? __________ . Question 6Writing down a list of problems in the marriage may helpa troubled couple discuss them_______ . Question 7Who should a couple consider seriously turning to if they can't talk with each other? _________ . Question 8Priests are usually unsuccessful in counseling troubled couples despite their _______ . Question 9According to the old notion, what will make hearts grow fonder? _______. Question 10Part CDirections:You will hear three pieces of recorded material. Before listening to each one, you will have time to read the questions related to it. While listening, answer each question by choosing A,B,C or D . After listening, you will have time to check your answers you will hear each piece once only. ( 10 points )Questions 11-13 are based on the following talk about napping, you now have 15 seconds to read questions 11-13.11. Children under five have abundant energy partly because they _________ .A. Sleep in three distinct parts.B. have many five-minute naps.C. sleep in one long block.D. take one or two naps daily.12. According to the speaker, the sleep pattern of a baby is determined by_______ .A. its genesB. its habitC. its mental stateD. its physical condition13. The talk suggests that, if you feel sleepy through the day, you should______ .A. take some refreshment.B. go to bed earlyC. have a long restD. give in to sleep.Questions 14-16 are based on the following interview with Sherman Alexie. an American Indian poet.You now have 15 seconds to read Questions 14-16. 14. Why did Sherman Alexie only take day jobs?A. he Could bring unfinished work home.B. He might have time to pursue his interests.C. He might do some evening teaching.D. He could invest more emotion in his family. 15.What was his original goal at college?A. to teach in high school .B. to write his own books.C. to be a medical doctor.D. to be a mathematician.16. Why did he take the poetry-writing class?A. To follow his father.B. For an easy grade.C. To change his specialty.D. For knowledge of poetry.Questions 17-20 are based on the following talk about public speaking. you know have 20 seconds to read Questions 17-20.17. What is the most important thing in public speaking ?A. Confidence.B. Preparation.C. Informativeness.D. Organization.18. What does the speaker advise us to do to capture the audience's attention?A. Gather abundant data.B. Organize the idea logically.C. Develop a great opening.D. Select appropriate material. 19. If you don't start working for the presentation until the day before, you will feel _____ .A. uneasyB. uncertainC. frustratedD. depressed20. Who is this speech ,ost probably meant for?A. Those interested in the power of persuasion.B. Those trying to improve their public image.C. Those planning to take up some public work.D. Those eager to become effective speakers.You now have 5 minutes to transfer all your answers from your test booklet to ANSWER SHEET 1.Section II Use of EnglishDirections:Read the following text. Choose the best word(s) for each numbered blank and mark A,B,C or D on ANSWER SHEET 1. (10 points) Teachers need to be aware of the emotional, intellectual, and physical changes that young adults experience. And they also need to give serious 21 to how they can be best 22 such changes. Growing bodies need movement and 23 , but not just in ways that emphasize competition. 24 they are adjusting to their new bodies and a whole host of new intellectual and emotional challenges, teenagers are especially self-concious and need the 25 that comes from achieving success and knowing that their accomplishments are 26 by others. However, the typical teenage lifestyle is already filled with so much competition that itwould be 27 to plan activities in which thereare more winners than losers, 28 ,publishing newsletters with many student-written book reviews, 29 student artwork, and sponsoring book discussion clubs. A variety of small clubs can provide 30 opportunities for leadership, as well as for practice in successful 31 dynamics. Making friends is extremely important to teenagers, and many shy students need the 32 of some kind of organization with a supportive adult 33 visiblein the background.In these activities, it is important to remember that the young teens have 34 attention spans. A variety of activities should be organized 35 participants can remain active as long as they want and then go on to 36 else without feeling guity and without letting the other participants 37 . this does not mean that adults must accept irresponsibity. 38 they can help students acquire a sense of commitment by 39 for roles that are within their 40 and their attention spans and byshavingsclearly stated rules.21. A. thought B.idea C. opinion D. advice22. A. strengthen B. accommodate C. stimulate D. enhance23. A. care B. nutrition C. exercise D. leisure24. A. If B. Although C. Whereas D. Because25. A. assistance B. guidance C. confidence D. tolerance26. A. claimed B. admired C. ignored D. surpassed27. A. improper B. risky C. fair D. wise28. A. in effect B. as a result C. for example D. in a sense29. A. displaying B. describing C. creating D. exchanging30. A. durable B. exessive C. surplus D. multiple31. A.sgroupsB. individual C. personnel D. corporation32. A. consent B. insurance C. admission D. security33. A. particularly B. barely C. definitely D. rarely34. A. similiar B. long C. different D. short35. A. if only B. now that C. so that D. even if36. A. everything B. anything C. nothing D. something37. A. off B. down C. out D. alone38. A. On the contrary B. On the average C. On the wholeD. On the other hand39. A. making B. standing C. planning D. taking40. A. capability B. responsibility C. proficiency D. efficiency21-25 DBCCC26-30 BDCAD31-35 BCBCC36-40 DBACASection III Reading ComprehensionDirections: Read the following fore texts. Answer the questions below each text by choosing A,B,C or D. Mark your answers on ANAWER SHEET 1(40 points)Text 1Wild Bill Donovan would have loved the Internet. The American spymaster who built the Office of Strategic Services in the World War II and later laid the roots for the CIA was fascinated with information. Donovan believed in using whatever tools came to hand in the "great game " of espionage-----spying as a "profession." These days the Net, which has already re-made pastimes as buying books and sending mail, is reshaping Donovan's vocation as well.The last revolution isn't simply a matter of gentlemen reading other gentlemen's e-mail. That kind of electronic spying has been going on for decades. In the past three or four years, the world wide web has given birth to a whole industry of point-and-click spying. The spooks call it "open source intelligence," and as the Net grows, it is becoming increasingly influential. in 1995 the CIA held a contest to see who could compile the most data about Burundi. The winner, bya large margin, was a tiny Virginia company called Open-Source Solutions,whose clear advantage was its mastery of the electronic world.Among the firms making the biggest splash in the new world is Straitford, Inc., a private intelligence-analysis firm based in Austin, Texas. Straitford makes money by selling the results of spying(covering nations from Chile to Russia) to corporations like energy-services firm McDermott International. Many of its predictions are available online at .。
2003年四川外国语大学221英语考研真题及详解
I. Tick off the correct choice. (20%)
1. A little girl presented the distinguished visitor with a_____ of flowers.
A. bunch
B. pack
C. bundle
D. bulk
【答案】A
【解析】句意:一个小女孩给一位尊贵的来访者送了一束花。
这里考查短语的固定搭配,a bunch of flowers一束花。
因此本题选A。
a pack of 一包;一盒。
a bundle of一捆;一大堆。
a bulk of大量。
2. Miss Smith always prefers to start early rather than _____ everything to the last minute.
A. to leave
B. leaving
C. leave
D. to have left
【答案】C
【解析】句意:史密斯小姐宁愿早早开始工作也不愿意把一切事情留到最后一刻。
这里考查prefer的用法,即prefer to do rather than do宁可做……而不愿做。
语法结构上来
看,than两边的结构是一致的,都是不定式,但是习惯上把后面的to省略,所以要选择C项。
3. That’s a beautiful leather wallet, but I can’t afford to pay _____ much.
A. enough
B. more
C. such
D. that
【答案】D
【解析】句意:这是一个漂亮的皮革钱包,但我付不起那么多钱。
这里其实就是一个固定说法,付不起钱就是I can’t afford to pay that much。
可以直接背下来。
4. Would you mind _____ the window? It is hot in here.
A. to open
B. me opening
C. open
D. of opening
【答案】B
【解析】句意:你是否介意我开一下窗?太热了。
此处考查mind的用法,Would/Do you mind+(sb’s) doing…?你是否介意(某人)做某事?所以选择B项。
5. Make sure _____ you don’t forget to pack everything needed.
A. if
B. that
C. whether
D. when
【答案】B
【解析】句意:确保你没有忘记把所有的需要的东西都装起来。
这里是一个祈使句,用从属连词that引导后面的宾语从句,并且that可省略,其他三个选项意思不符。
6. I will give this dictionary to _____ wants to have it.
A. anyone
B. someone
C. whoever
D. whose
【答案】C
【解析】句意:我将把这本字典给任何想要它的人。
whoever引导让步状语从句,相当于anyone who意思是“无论谁;不管谁”。
这里要选的词既要充当主句中介词to的宾语,又要充当从句中wants的主语,所以只能选C项。
7. I don’t know when Mary had her hair _____ so short.
A. cut
B. cutting
C. to cut
【答案】A
【解析】句意:我不知道什么时候玛丽把她的头发剪的如此短。
在这里“have+sth(宾语)+过去分词(宾语补足语)”意为“让/叫/使某事被做”。
宾语sth后面用过去分词作宾语补足语,说明sth与过去分词表示的动作之间是被动关系。
在这里她的头发(her hair)与剪(cut)之间是被动的关系,所以选择cut的过去分词形式,即还是cut。
8. He knows little of physics, and _____ of chemistry.
A. even more
B. still less
C. no less
D. still more
【答案】B
【解析】句意:他不了解物理,更不了解化学。
在这里用and连接了两个句子,表明两者是并列的,前一句说他不了解物理,那么后一句就不可能是了解化学了,不然两者就要成为转折关系了,而其他三个选项都是说他对化学非常了解,是错误的,所以应该选择B。
9. Only by training very hard every day, _____ become a good athlete.
A. you might
B. you can
C. can you
D. should you
【解析】句意:只有通过每天努力训练,你才能够成为一名优秀的运动员。
这里考查only 的倒装句,only如果后面跟了副词、介词短语或从句等状语,则后面的主句用倒装结构,即主谓要颠倒。
这一句里by training very hard every day是个介词短语,需要主句倒装,所以you can become a good athlete要变成can you become a good athlete。
故而要选C。
10. The speaker, _____ for her splendid speeches, was warmly received by the audience.
A. having known
B. being known
C. known
D. knowing
【答案】C
【解析】句意:因她精彩的演讲而知名,那个演讲家被观众热情地接待。
“因……而出名”
的短语是be known for,所以A、D错误,而B项的being强调了时间上的进行状态,但实际上句子里却没这个意思,就指一般状态,“因她优秀的演讲而知名”,而不是“她那时候正在因优秀的演讲而知名”。
11. “Shall I tell Ann how to improve her painting?”
“Yes, but _____ of suggestion may discourage her.”
A. a list too long
B. too long a list
C. a too long list
D. a list of too long
【答案】B
【解析】句意:我应该告诉安怎么样去提高她的油画水平吗?恩,但是太长的建议可能会使她失去信心。
在这里a list of是“一列”的意思,如果加上long就变为a long list of,但是再加上too来强调一下的话就只能把long提前了,变为too long a list,在英语里没有a too long list这样的表达。
12. French industrial and agricultural production was still inadequate to meet the
immediate needs of the people, _____ long range developments.
A. rather than
B. let alone
C. according to
D. regardless of
【答案】B
【解析】句意:法国的工业和农业产量仍然不能满足人们紧急的需求,更不要提满足长期的发展了在这里前后有明显的递进之意,所以选择let alone更不必说。
rather than 而不是。
according to根据。
regardless of不管;不顾。
13. It is a pity that we should stay at home when we have _____ weather.
A. so fine。