《天津大学832运筹学基础2005-2012年考研真题及答案解析》
- 格式:pdf
- 大小:3.94 MB
- 文档页数:86
天津大学832运筹学基础考研真题(含答案)以及参考书 天津大学832运筹学基础考研复习都是有依据可循的,考研学子关注事项流程为:考研报录比-大纲-参考书-资料-真题-复习经验-辅导-复试-导师。
缺一不可。
考研专业课复习之前,一定要浏览一下历年真题。
弄清楚考查形式,题型情况,难易程度等内容,有利于针对性的看书。
真题是考研题目的集大成者,不论是对于专业课还是公共课来说,都是一样的。
真题的主要意义在于,它可以让你更直观地接触到考研,让你亲身体验考研的过程,让你在做题过程中慢慢对考研试题形成大致的轮廓,这样一来,你对考研的"畏惧感"便会小很多。
大家可以去目标院校的研招办去购买,或者借助网络资源,很多专业的机构也会提供考研真题,各院校历年考研专业课真题汇总都是很宝贵的复习资料,但却并不是很难搞到的东西。
天津大学832运筹学基础考研真题(答案解析)2013年考研真题解析一、选择题(每题3分,共18分)1.运筹学是一门以______技术为主要工具,为管理决策提供科学依据的_____科学,其核心思想是________(B)A、定量,基础,整体优化B、定量,技术,整体优化C、定量,工程,系统工程D、定性,哲学,系统观【解析】这是对运筹学基本概念的考察,在《管理科学基础》前沿部分就有,属于送分题。
因为运筹学大部分是关于计算的2.下属这些图形阴影部分都是一些熟悉模型可行域,则____描述是正确的。
(C)A、I、II是线性规划可行域,但III、IV不是线性可行域B、II、III是线性规划可行域,但I、IV不是线性可行域C、I、II、III是线性规划可行域,但IV不是线性可行域D、以上四个都不正确【解析】可行域一定是凸多边形,只有第四个不是。
3.下列_____不是BOQ库存模型的影响要素。
(D)A、需求率B、订货量C、存储量D、缺货量运筹投入时间没有经济学大,建议运筹,除非你对经济学有很大的偏好考运筹学容易得高分并且投入的时间相对少一些不用看大量的经济学书籍。
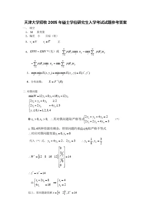
第 1 页 共 3 页天津大学2005年运筹学试题一、填空(12%)1.用大M 法求解Max 型线性规划时,人工变量在目标函数中的系数均为-————,若最优解的————中含有人工变量,则 原问题无解。
2.目标规划模型的一个主要特点是引入了————变量,模型的目标就是这些变量的————(大还是小)化,模型的约束中也要包括用这些变量表示的————约束。
3.用标号法求解网络最大流问题,当求得最大流的同时,也得到了最小截集,它是由————点集和————点集构成的点集切割中的————(正还是反)向弧组成。
4.设风险型决策问题中,相应与状态的概率为,i=1,….,m ,相应于和决策的结局(利i θP ()i θi θj d 润)为,i=1,…,m, j=1,…,n,则决策问题的完成信息期望值EVPI=——————————,由于ij u 它与最小期望机会损失相等,因此,它的另一种表示形式:EVPI=——————————。
5.在矩阵决策中,设为局中人甲的混和策略集,为局中人乙的混和策略集。
为{}*S X ={}*D Y =A 局中人甲的赢得矩阵,则是对策的解的条件是——————,其中,。
**X S ∈**Y D ∈6.随机模型中任意分布的随机数产生方法的依据是:若是服从上均匀分布的随机变量,X R []0,1的——————为,则=——————。
X ()X F x X 二 (8%),线性规划问题 12max 23x x =+1212121,22212284164120x x x x x x x x +≤⎧⎪+≤⎪⎪≤⎨⎪≤⎪≥⎪⎩已知其最优解,而第1,4两中资源(相应于第1,4两种约束)均有余量,应用与互补松弛1,20x x >定理求出的原问题和求偶问题的最优解。
三 (25%),派公司是一家生产高尔夫器材的小型公司,近期推出了高,中阶位的高尔夫袋装新产品(标准袋和高档袋),经销尚对此十分感兴趣,并订购了派公司下3个月的全部产品。
2017年天津大学832运筹学考研真题(回忆版)第一题,lindo软件分析+建模。
有45英亩地种小麦水稻,小麦最多出售140单位,水稻120单位,每英亩产5单位小麦4单位水稻,每单位售价小麦30美元水稻50美元,每英亩耗费劳动力小麦6小时水稻10小时,共可购买到劳动力350小时,每小时10美元。
设种小麦A1英亩,水稻A2英亩,劳动力数为L,(1)据此按照农田资源,劳动力需求,劳动力时间,小麦销售需求,水稻销售需求建模。
然后就是给出了软件的分析结果(貌似比09年的多加了目标系数与资源限量的变化)(2)再增加一小时劳动力,付费上限为多少(3)农田再增加一英亩,付费是多少(4)若农田变成40英亩,问利润变化(5)小麦售价变为26问最优解(6)生产大麦,耗费劳动力3小时/英亩,产量4单位,每单位售价30(数据可能不对)问是否应该生产。
第二题:设备更新,5年,给出收益,运营费,更新费,第一年年初是新设备,常规题,之前也考过。
第三题:最大流来确定压缩工作,获得最小工期费用,之前考过。
第四题:整数规划,四个人(三男一女)完成10项任务,只记得部分第一人可完成123579任务,剩下记不得了,公司考虑是否可辞退一人,但要求至少有一男,建模不解。
第五题:风险决策,一批次20部手机,有30%的合格率是60%,有70%的合格率是80%,售价0.6万元,成本0.2万元,售出不合格手机每部损失2万(包括成本),三种方案d1不理会d2全部召回销毁,照价赔偿用户d3召回两部检测,再做其他确定。
问检测费用的范围。
第六题:矩阵对策两个乒乓球队各有5人打比赛,给出一个5*5矩阵,是甲队对阵乙队输赢的局数,数我是记不得了,问决策。
第七题:证明EOQ最佳订货批量公式。
天津大学运筹学基础高分学姐考研经验心得如今,我的考研之旅已经结束,当看到自己的名字出现在录取名单的时候,这多少年的梦想,终于已经实现,所有的感悟,都化作眼角中感动与欣喜的泪水。
这一年,回过头来,有太多的记忆与感动。
我是一个二本学校的学生,而天大的工业工程在全国前三,难度可以想象。
天大是我的一个梦,而考研对我来说,真的就像是一种享受,我用自己的心,去感悟着考研的每一天。
那种感觉,就像是一个女孩在追逐自己喜爱的男孩一样,所以,无论为考研付出什么,我也都是心甘情愿的,或许,是我的真情感动了考研,所以,他也眷顾了我,不仅没让我耽误任何事情,而且还给了我一个满意的结果。
最后,我以410分实现了我的梦想,下面就给大家说说我的经验吧。
首先,考研最重要的就是自己的心态,良好的心态就是使自己在考研一路上一颗平常心来品味各种酸甜苦辣。
其次,就是无论何时,都能投入到学习中的学习态度;最后,便是对考研的那份执着与坚持!下面再说说我的学习方法吧。
首先,英语刚开始就是每天将历年的阅读理解仔细地翻译,并将其中的单词会背,长难句分析。
之后,便是留下近10年的真题中的阅读理解,再一篇篇地做和分析,对照着网上的视频教程理解。
数学我并没有看完课本,而是从李永乐复习全书着手,最后我将复习全书做完了三遍,另外,我也是跟着网上的视频教程然后按照自己的计划有步骤地学习。
总之,数学就是要不急不躁,学会总结各类题型。
政治我是报了当地的一个辅导班,跟着辅导班学习的。
对于专业课,我是考运筹学,我是暑假开始学习的,分了以下几个阶段: 第一轮(8月到10月中旬)课本内容看做课后习题、看做资料书,不会的内容整理。
第二轮(10月中旬到11月中旬)做真题,对相应内容整理,每个部分,心中都要明白都考哪些知识点,都考哪些题型,做到心中有数,有框架。
第三轮(11月中旬到考前)再做真题,再做真题错题,看笔记,以及最后回归到基础内容的记背。
最后,我很感谢天津考研网,谢谢它给大家提供的考研平台与各类考研经验,由天津考研网和在读学长团队主编的考研专业课资料《天津大学832运筹学基础考研红宝书【学长复习资料-真题笔记】》也给了很大帮助,我也感谢这一路以来陪伴我的家人、朋友。
所有答案必须写在答题册上,写在试题上无效。
一(12%)、填空1.设线性规划问题}{0max ≥=bx Ax cx 有最优解*x 和影子价格*y ,则线性规划}{该解是点:如果它在纯策略意义下无解,则它在意义下必有解。
二(23%)、某公司生产家用的清洁产品,为了在高度的市场竞争中增加市场份额,公司决定进行一次大规模的广告行动。
表1给出了公司准备做广告的三种产品名称、估计每做一单位广告(一个广告标准批量)使每种产品的市场份额增加量、公司拟定的广告后每种产品市场份额增加量的最低目标和两种可选的广告方式的单价。
C B X B B -1b 100200000M M M x 1x 2x 3x 4x 5x 6x 7x 80x 541/3114/3-1/3-1100x 14-1/30-2/31/30200x 23100σj400/3100/3M-400/3M-100/3M(1)请填完表中空白;(2)由表指出最优广告计划并求出相应的最低广告费用,此最优计划使每种产品的市场份额最低增量目标达成情况如何?求出对偶最优解Y*的实际意义。
中的互理:P )[max]z=CX,X ∈{X|AX ≤b,X ≥0},(D)[min]u=Yb,Y ∈{YA ≥b,Y ≥0},若,X Y 分别是(P)(D)的可行解,,s s X Y 分别是其相应的松弛变量,则,X Y 是(P),(D)的最优解的充要条件是:0s s YX Y X ==;并解释互补松弛定理的经济意义。
四(15%)、某工厂购进100台机器,准备用于生产A,B 两种产品。
若生产产品A,每台机器每年可收入45万,损坏率为65%,若生产产品B 每台机器年收入35万,损坏率为35%,估计三年后将有新的机器出现,旧的机器将全部淘汰。
请在下列两问中任选一问:1、试问每年就如何生产,使三年内的收入最多?运用动态规划方法具体计算求解。
2、写出用动态规划方法求解时的阶段变量、状态变量、决策变量、状态转移、阶段指标、指标函数、基本方程(递推公式),不必具体计算。
天津大学招收2005年硕士学位研究生入学考试试题参考答案一、 填空1、-M 基变量2、偏差 小 目标(软)3、s t v Vv V ∈∈ 正4、ij i mi jijjmi iu p up EMV EPPI )(max max )(*11θθ∑∑==--(先)或ij i mi ij jmi i u p u p )(min min )(11θθ∑∑==+-5、******max min (,)min max (,)(,)x y y y x x E x y E x y E x y ==6、分布函数; 1()X F R -=二 对偶问题1234123124min 128161224222430,1,2,3,4iW y y y y y y y y y y y i =+++++≥⎧⎪++≥⎨⎪≥=⎩⎩⎨⎧=++=++∴>>3422242,0,042132121y y y y y y x x 其对偶问题取严格等式 (*) 1414(1)(4)0,0y y ∴== 第,两种资源有剩余,即原问题约束、取严格不等式对应对偶问题变量代入(*)式,2432=+y y ,322=y 23,8123==∴y y []140812**********=⎥⎥⎥⎥⎥⎥⎦⎤⎢⎢⎢⎢⎢⎢⎣⎡=∴W**14z w ∴==由121122844162x x x x x +==⎧⎧⇒⎨⎨==⎩⎩ 综上,原问题最优解[]14,24*==Z x T对偶问题最优解14,08123*=⎥⎦⎤⎢⎣⎡=W y T三 设标准袋生产1x ,高档袋生产2x (1)21910max x x Z +=⎪⎪⎪⎪⎪⎪⎩⎪⎪⎪⎪⎪⎪⎨⎧≥≤+≤+≤+≤+0,135411017083260065216301072121212121x x x x x x x x x x1j j B j C C B P σ-=-[]375.434375.025.19375.0875.10100903133-=⎥⎥⎥⎥⎦⎤⎢⎢⎢⎢⎣⎡----=-=∴-p B C σ )6,,1(0 =≤j j σ∴是终表∴最优生产计划[]1801200252540=x ,即普通袋540个,高档袋252个∴最大利润Z []7668252540910*=⎥⎦⎤⎢⎣⎡= (美元) 345601200182412018x x x x ====因为松弛变量,,,所以第,种资源有剩余,分别为,。
天津⼤学考研运筹学832真题及解析(09-13).2009~2013 年天津⼤学招收硕⼠学位研究⽣⼊学考试试题—832运筹学基础.⽬录天津⼤学招收2009年硕⼠学位研究⽣⼊学考试试题 (2)天津⼤学招收2010年硕⼠学位研究⽣⼊学考试试题 (8)天津⼤学招收2011年硕⼠学位研究⽣⼊学考试试题 (14)天津⼤学招收2012年硕⼠学位研究⽣⼊学考试试题 (19)天津⼤学招收2013年硕⼠学位研究⽣⼊学考试试题 (23)天津⼤学招收2009年硕⼠学位研究⽣⼊学考试试题共七题。
所有答案必须写在答题纸上,并写清楚题号,答案写在试题上⽆效。
⼀、单项选择题(共24分,每题3分)1、根据线性规划的互补松弛定理,影⼦价格⼤于零的资源⼀定剩余;安排⽣产的产品机会成本⼀定利润。
A、没有,⼩于B、没有,⼤于C、没有,等于D、有,等于2、⽬标线性规划模型的⼀个主要特点是引⼊了变量,模型的⽬标就是这些变量的极化。
A、正偏差,⼤B、负偏差,⼩C、正或负偏差,⼤D、正或负偏差,⼩3、线性规划模型中,若某⼀变量的⽬标函数系数发⽣变化,以下结果中不可能出现的是A、可⾏域改变B、可⾏域不变C、最优基不变,⽬标函数值改变D、最优基不变,⽬标函数值也不变4、将⾮平衡运输问题化为平衡运输问题,在表上相当于增加⼀个虚设的,在模型中相当于增加若⼲个变量A、产地,松弛B、销地,剩余C、产地或销地,松弛D、产地或销地,松弛或剩余5、⽹络最⼤流问题标号法的理论基础是: A、贝尔曼最优性原理B、K-T定理C、单纯性原理D、最⼤流最⼩截定理6、矩阵对策⼜称对策,它在纯策略意义下有解的充要条件是:该解为.A、⼆⼈有限,鞍点B、⼆⼈有限零和,鞍点C、⼆⼈有限零和,驻点D、⼆⼈有限零和,K-T点7、某⼈收益为x的效⽤为u(x),若u(x)对x边际递减,则他对风险的态度是。
A、风险中⽴B、厌恶风险C、追求风险D、⽆法确定8、基于蒙特卡洛法的系统模拟技术主要适⽤于对系统进⾏模拟。
一、线性规划二、运输问题三、多目标规划四、动态规划五、图论六、网络计划技术七、决策论八、存储论九、排队论十、对策论十一、模拟技术一、线性规划(-)选择填空题 (二)线性规划建模(三)互补松弛应用(四)灵敏度分析(五〉证明題C B X B B-«b X] X2X3心X5 X6X22/501/10 01/513/10 0X610-1/2 19(1)初表的出基变虽为,进基变虽为(2)最优基逆訂=[](3)填完终表。
(4)最优解X* =⑸对偶问题最优解h =(6)若原问題増加一个新的非负变虽.则对偶问题的最优目标值将(变大、不变、变小) o (2007)解:1. (1)出基变坦:为2:进基变虽为X3。
『2 1 J—— 0510⑵沪= 1—0o5101-i 12(3)C B X B B-«b X】X:»X3X4 x5Xft1 x242/5 10 1/10 4/5 0-3 x351/5 0 1 3/10 2/5 00 11 1 00 -1/2 10 1Oj1/5 00 4/5 12/5 0⑷心(4 5 ll)r⑸y* =G 1 0)(6)变小1. 用图解法解线性规划时,以下几种情况中不可能出现的是()。
A. 可行域(约束集合)有界,无有限最优解(或称无解界)B. 可行域(约束集合)无界,有唯一垠优解C. 可行域(约束集合)是空集,无可行解D. 可行域(约束集合)有界,有多重垠优解(2006)解:1. A2. 根据线性规划的互补松弛定理,安排生产的产品机会成本一定()利润。
A. 小于B. 等于C.大于D. 大于等于(2006)解:2. B1. ____ 用大M法求解Max型线形规划时,人工变呈在目标函数中的系数均为,若最优解的________中含有人工变虽,则原问题无解。
(2005)解:1、-M 基变虽1. 设线性规划问題m ax&|4Y"xno}有最优解x•和影子价格八则线性规划问题nwc&A|4r = bxno}的最优解= _____________________ ,影子价格= _______________ 。
天津大学2011运筹学试题及答案
天津大学招收2011年硕士学位研究生入学考试试题及参考答案
1 / 8
天津大学招收2011年硕士学位研究生入学考试试题及参考答案考试科目:运筹学基础考试科目编号:832
一、填空题:(每空格2分,共16分)
1、线性规划的解有唯一最优解、无穷多最优解、无界解和无可行解四种。
2、在求运费最少的调度运输问题中,如果某一非基变量的检验数为4,则说明如果在该空格中增加一个运量运费将增加4 。
3、
4X 1-2X 1X 1,X 256. 系为7. (2)8. 为0______;
9. 极大化的线性规划问题为无界解时,则对偶问题_ 无解_____;
10. 若整数规划的松驰问题的最优解不符合整数要求,假设X i =b
i 不符合整数要求,INT (b i )是不超
过b i 的最大整数,则构造两个约束条件:Xi ≥INT (b i )+1 和Xi ≤INT (b i ),分别
将其并入上述松驰问题中,形成两个分支,即两个后继问题。
11. 知下表是制订生产计划问题的一张LP 最优单纯形表(极大化问题,约束条件均为“≤”型不等式)其中。
天津大学管理学院832运筹学基础考研红宝书本资料由天津考研网签约的两届天津大学管理学院高分考研学生团队合力所作,该资料包含该优秀本校考生团队的考研经验、考研试题解题思路分析、复试流程经验介绍以及针对官方指定参考书的重难要点并根据天津大学本科授课重点整理等,从漫漫初试长路到紧张复试亮剑为各位研友提供全程考研指导攻关。
天津大学管理学院832运筹学基础考研资料-简介:对于运筹学这门课,首先要认清它在考研中的地位,对考研分数的贡献。
考研中运筹是提高分数的关键,也是比较容易拿分的部分,所以考生要认真对待,争取取得高分。
本资料为考生提供了以下信息,可以使复习达到事半功倍的效果:天津大学管理学院832运筹学基础考研资料-核心原创资料:A.核心资料(团队成员一主创):一、考前咨询篇:1、管科在全国地位,管科考上后可以选择的方向;2、近年来管科学校分数线专业分数线公费自费人数录取情况;3、运筹学所用官方参考书,重点看和参考看的书籍,习题集;4、复习方法:时间安排,运筹学应该怎样学,运筹学和数学,英语之间的时间比例关系提供自己及优秀考生的运筹学考经;二、初试备考篇:1、提供运筹学大纲;2、管理科学基础各章重点讲解,难点讲评,各章节应该复习到什么程度(最重要的部分,完全集合多位高分考生经验及本科授课重点及考研历年趋势等多方因素而成,为运筹考研红宝书,具有指导性意义);3、提供书后习题详细解答(书后只有答案);4、提供历年真题及按章节做的真题分类解析,真题分类解析令各章重点暴露无疑;5、重点章节补充材料,习题(历年真题都有出现);6、最近几年的出题趋势,及出题预测(集合众人智慧,揣摩出题思路);7、运筹学习中的一些需要注意的问题;三、复试备考篇(天大复试重要性众所周知,熟悉此部分后复试将不在话下):1、笔试原题解答及分析(重复率几乎100%);2、笔试模拟题选择填空判断案例分析题目出处;3、听力难度及如何训练;4、口语问题简介及模块提供;5、面试抽题如果题目都不会应该怎样对待;6.外地考生应该怎样联系住处;四、考后篇:1、告诉你怎样了解导师情况,选择导师,联系导师;2、如果万一复试被刷,天大一般可以联系的学校,怎样联系,以及高分调剂的一些方法。
2018天津大学832运筹学考研真题
第一题线性规划建模分析lindo 一些比较常规的问答
第二题图论生产线生产产品问题给出表格哪些生产线能生产哪些产品和生产的能力给出每种产品的需求量求解
第三题网络计划计算期望工期和方差计算概率次关键线路的完工概率常规题
第四题决策分析资金投资两种方案一种方案两种情况的概率不变另一种方案每年的人工预测概率会
变化一共给出五年的概率问这五年怎么进行投资题目稍显复杂题干较长要认真读
第五题动态规划10天解决几项业务的客户问题每个业务要解决顾客问题所花费的时间不同效益也不同问效益最大的方案
第六题排队论码头船的泊位问题第一问比较常规第二问给出三种泊位方案和空位的概率吧好像是问选择哪种方案第三问问你如果不服从负指数分布可以用什么方法分析
第七题报童证明题往年真题原题
第八题是专硕必答对策论的证明题。
天津大学研究生院2001年招收硕士研究生入学试题考试科目:运筹学基础题号:617一、(20分)选择填空(将所选答案的标号填在空白处,各空填一个标号)1.下列数学模型中a 是线性规划模型。
⎭⎬⎫⎩⎨⎧++++=32954867min max )(321321x x x x x x Z b 321324max )(x x x Z a ++=⎪⎩⎪⎨⎧≥≤++≤++0,,120544150637..321321321x x x x x x x x x t s ⎪⎩⎪⎨⎧≥≤++≤++0,,500896300355..321321321x x x x x x x x x t s 2.下列图形(阴影部分)中b是凸集。
(a)(b)(c)3.标准形式的线性规划问题,其可行解b 是基本可行解,最优解a 是可行解,最优解a 能在可行域的某顶点达到。
(a)一定(b)不一定(c)一定不4.目标函数取极小(min Z)的线性规划问题可以转化为目标函数取极大c 的线性规划问题求解,原问题的目标函数值等于c 。
(a)max Z (b)max(-Z)(c)-max(-Z)(d)-max Z5.动态规划问题的研究对象是b ,其求得的一般方法是c 。
(a)工程路线问题(b)多段决策问题(c)迭代求解(d)单纯形法6.网络分析中的最短路问题从发点s 到收点t 的最短路长b 是唯一的,最短路线a 是唯一的。
(a)不一定(b)一定7.网络最大流问题中,最大流的流量a 是唯一的,最大流b 是唯一的。
(a)一定(b)不一定8.M/M/1排队系统指的是顾客流为b 服务时间为a 有d 个服务台的排队系统。
(a)负指数分布(b)泊松流(c)定长分布(d)一个(e)M 个9.运用表上作业法求解运输问题时,计算检验数可以用b ,确定初始方案可以用a 。
天津大学物流工程专硕考研真题天津大学物流工程专硕考研复习都是有依据可循的,考研学子关注事项流程为:考研报录比-大纲-参考书-资料-真题-复习经验-辅导-复试-导师,缺一不可。
小编在总会在后台接到不少同学的信息,暑假这段时间接到的最多的留言都是关于专业课真题资料的,所以大家总能看到小编发一些相关文章。
这一次小编给大家分享的是关于天津大学物流工程的专业课真题资料,也就是832运筹学基础的考研真题资料。
不知道大家有没有看过小编之前的文章,如果有的话,大家会发现小编一般推的资料都是联系专业课高分学长学姐请他们推荐的,这一次当然也不例外。
小编这一次安利给同学们的真题资料是《天津大学832运筹学基础考研全套复习资料》资料,由天津考研网主编。
书中包含的真题内容有:天津大学832运筹学基础1992-2016年考研真题;天津大学832运筹学基础1997-2016年考研试题参考答案(含详细解题过程);天津大学832运筹学基础2005-2014年考研真题解析:“天津大学832运筹学基础历年考研真题解析(试卷+答案+视频解析)”,可直接搜索,可以直接搜索。
另外还有院校专业介绍、核心知识点、复试的相关小建议等等,下面是我从资料中摘抄的部分2016年真题信息:天津大学招收2016年硕士学位研究生入学考试试题所有答案必须写在答题纸上,并写清楚题号,写在试题上无效。
一、(22分)此题完整回忆数据完全正确。
考虑一个把三种型号(式样)不同的飞机分配到四条航线上的问题。
表2-4给出最大运输能力(载乘客数)和各种型号飞机可利用的架数、在规定航线上每一架飞机每天能够往返的次数以及各条航线上每天预计的乘客数。
飞机型号运输能力飞机数各航线上每天往返次数123415053221 23084332 320105542每天乘客人数10020090120另外还有一位善良的学姐让我加上下面的这段话:真题资料真的是非常宝贵的复习资源,所以大家一定要多做几遍,而且要弄明白对的题为什么对,错的题为什么错,真题背后涉及到的每一个知识点都应该吃透。
天津大学招收2003年硕士学位研究生入学考试试题及参考答案考试科目名称:运筹学基础考试科目编号:832一、简答⑴当各资源增加一单位时引起的总收入的增量,影子价格大于零的资源一定没有剩余,有剩B 是原问题maxz=C X∣AX≤b,X≥0最优基Z *=C B B -1b=Y *b Z *=y 1*b 1+y 2*b 2…y m *b m*z bδδ=y3*⑷表明增加一个单位的运量会引起总运输费用的变化二、建模⒈①maxz=30x 1+20x 2+35x 3-8x 1-5x 2-18x 3-5(x 1+0.4x 2+0.6x 3)-7(0.5x 1+0.6x 2+0.5x 3)目标函数maxz=13.5x 1+8.8x 2+10.5x 3约束条件x 1+0.4x 2+0.6x 3≤3500.5x 1+0.6x 2+0.5x 3≤460x 1≥0,x 2≥0,x 3≥0②对偶规划模型目标函数minw=350y⒉设阶段变量阶段指标v k (t k ,x k )=r k (x k ,t k )-u k (x k ,t k )-(1-x k )c k (t k )递推方程f k (t k )=max r k (x k ,t k )-u k (x k ,t k )-(1-x k )c k (t k )+f k+1(x k t k+1)x k =0,1f n+1(t n+1)=0,k=1,2…n三(2,2)(6,3)⑥(v 1,1v )=(v 1,v 2),(v 3,v 6),(v 4,v 5),(v 4,v 6)最大流量2+1+2+3=8因此在①——②,③——⑥,④——⑤,④——⑥上压缩工时为最佳⒊C BX B B -1b -4130-11-2310X 1x 2x 3x 4x 5x 6x 710x 7201x 210-2x 560-20620-31-41710-1000-531-10检验数200-47-2603206=323∂=30-(101-2)675⎛⎞⎜⎟⎜⎟⎜⎟−⎝⎠=-474∂=-11-(101-2)213⎛⎞⎜⎟⎜⎟⎜⎟⎝⎠=-26-4x 15/4-11x 445/23x 615/21-7/24-7/401/2401/1201/12-5/215/120-1/601/4-5/201/41-1/2检验数00302010B -1=B -1AN=1/127/241/241/61/125/121/21/41/4−⎛⎞⎜⎟−⎜⎟⎜⎟−⎝⎠B -1P 3=1/127/241/241/61/125/121/21/41/4−⎛⎞⎜⎟−⎜⎟⎜⎟−⎝⎠675⎛⎞⎜⎟⎜⎟⎜⎟−⎝⎠=7/45/25/2−⎛⎞⎜⎟−⎜⎟⎜⎟−⎝⎠2∂=1-(-4-113)7/241/121/4−⎛⎞⎜⎟⎜⎟⎜⎟⎝⎠=0①不唯一,因为存在非基变量检验数为零,则有多个最优解60⎜⎟⎝⎠2312194⎟⎟⎜⎟⎜⎟⎝⎠B -1b=1/127/241/241/61/125/121/21/41/4−⎛⎞⎜⎟−⎜⎟⎜⎟−⎝⎠181460⎛⎞⎜⎟⎜⎟⎜⎟⎝⎠=1/121/121/12−⎛⎞⎜⎟−⎜⎟⎜⎟−⎝⎠<0有影响③C B B -1=(-4-113)1/127/241/241/61/125/121/21/41/4−⎛⎞⎜⎟−⎜⎟⎜⎟−⎝⎠=(31-4)Y=(31-4)1m mn a ⎞⎟⎟⎟⎠⋮J 1111m n mn a a a a ⎛⎞⎜⎟⎜⎟⎜⎟⎝⎠…⋮⋱⋮⋯1n x x ⎛⎞⎜⎟⎜⎟⎜⎟⎝⎠⋮=1n b b ⎛⎞⎜⎟⎜⎟⎜⎟⎝⎠⋮(ka j1,ka j2,…ka jn)1j n x x x ⎛⎞⎜⎟⎜⎟⎜⎟⎜⎟⎜⎟⎜⎟⎝⎠⋮⋮=1j n b kb b ⎛⎞⎜⎟⎜⎟⎜⎟⎜⎟⎜⎟⎜⎟⎝⎠⋮⋮从而得出结论。
目录
Ⅰ历年考研真题试卷 (2)
天津大学2005年招收硕士学位研究生入学考试试题 (2)
天津大学2006年招收硕士学位研究生入学考试试题 (7)
天津大学2007年招收硕士学位研究生入学考试试题 (11)
天津大学2008年招收硕士学位研究生入学考试试题 (15)
天津大学2010年招收硕士学位研究生入学考试试题 (19)
天津大学2012年招收硕士学位研究生入学考试试题 (25)
Ⅱ历年考研真题试卷答案解析 (28)
天津大学2005年招收硕士学位研究生入学考试试题答案解析 (28)
天津大学2006年招收硕士学位研究生入学考试试题答案解析 (40)
天津大学2007年招收硕士学位研究生入学考试试题答案解析 (49)
天津大学2008年招收硕士学位研究生入学考试试题答案解析 (58)
天津大学2010年招收硕士学位研究生入学考试试题答案解析 (67)
天津大学2012年招收硕士学位研究生入学考试试题答案解析 (82)
Ⅰ历年考研真题试卷
天津大学2005年招收硕士学位研究生入学考试试题
考试科目名称:运筹学基础
考试科目代码:832
答题说明:所有答案必须写在答题纸上,并写清楚题号,写在试题上无效。
一、填空(12%)
1.用大M 法求解Max 型线形规划时,人工变量在目标函数中的系数均为______,若最优解的_______中含有人工变量,则原问题无解。
2.目标规划模型的一个主要特点是引入了__________变量,模型的目标就是这些变量的极____(大还是小)化,模型的约束中也要包括用这些变量表示的___约束。
3.用标号法求解网络最大流问题,当求的最大流的同时,也得到了最小截集,它是由__________点集和__________点集构成的点集切割中________(正还是反)向弧组成。
4.设风险型决策问题中,相应于状态i θ的概率为(),1,,,i P i m θ= 相应于i θ和决策j d 的结局(利润)为,1,,,1,,,ij u i m j n == 则决策问题的完全信息期望值
EVPI=_______________________________________,由于它与最小期望机会损失相等,因此,它的另一种表示形式是:EVPI=______________________________________。
5.在矩阵决策中,设*{}S X =为局中人甲的混合策略集,*
{}D Y =为局中人乙的混合策略集,A 为局中人甲的赢得矩阵,则**(,)X Y 是对策的解的条件是
____________________________________________________,其中****,X S Y D ∈∈。
6.随机模拟中任意分布X 的随机数产生方法的依据是:若R 是服从[0,1]上均匀分布的随机变量,X 的____________________为(x),X F 则X =______________________。
二、(8%)
线性规划问题
已知其最优解x1,x2 0,而第1,4两种资源(相应于第1,4两约束)均有余量,应用互补松弛定理求出原问题和对偶问题的最优解。
三、(25%)
派公司是一个生产高尔夫器材的小型公司,近期推出了高、中价位的高尔夫袋新产品(标准袋和高档袋),经销商对此产品十分感兴趣,并订购了派公司下3个月的全部产品。
该高尔夫袋的生产过程主要包括4道工序:切割并印染原材料、缝合、成型(插入支撑架和球棒分离装置等)、检验和包装。
有关数据如表1。
派公司须决定标准袋和高档袋各生产多少可使公司的总利润最大。
表1
(1)写出此问题的线性规划模型,约束依表1中次序;
(2)引入松弛变量(依约束次序)后用单纯形法计算得某单纯形表如表2,请填完表中空白,并判断其是否终表,如果是,请写出最优生产计划、最大利润和资源剩余;
表2
(3)写出此问题的对偶问题的模型,及对偶的最优解与最优值;
(4)写出成型时间的影子价格,求使该影子价格不变的成型时间的变化范围;
(5)若标准袋的利润可能发生变化,则其在何范围内变化时,可使原最优计划不改变?图示说明其几何意义。