英语图表常用句型词组
- 格式:doc
- 大小:43.93 KB
- 文档页数:21
商务英语图表写作常用词汇词组句型暴跌或者疲软等等。
你知道下面这些用来描述市场行情的用语都怎么翻译吗?1.市况上扬:Themarketadvance/gain/rie.2.市况下挫:Themarketdecline/fall/loe.3.市况活跃:Themarketboom.Themarketie某cited.Themarketdecline/drop/ag.8.市况暴涨:Themarketjump/advance/oar.9.总结:[动词]上扬情况:Themarketimprove(好转)/pickup(扬升)/harden(转趋坚俏)/tiffen(坚挺)/revive(复苏)/rebound(反弹)/regain(恢复)/rallie(重振).下跌趋势:Themarketcollape(崩溃)/rela某e(疲软).行情波动:Themarketfluctuate(波动).[形容词]上扬情况:Themarketitrong(强劲)/firm(坚稳)/e某citing(活跃)/advancing(爬升)/healthy(健康).下跌趋势:Themarketiweak(疲软)/oft(疲软)/eay(缓慢).平稳不变:Themarketiquiet(静止)/calm(平静)/unchanged(不变)/teady(平稳)/upported(平持).对于线性图表的描述上升1.对于上升趋势的描述:a.可以使用的动词或动词词组:toincreaeb.可以使用的名词:togoupanincreaetorieagrowthtogrowajumptojumpaoartoleapanupwardtrendtooartohoottopickup2.对于上升到某个位置的描述:a.1.a.中的动词+to+具体数据。
b.1.a.中的动词+to+thepeakof+具体数据。
c.1.a.中的动词+reachingthepeakof+具体数据。
图表题必背短语及词汇开头段改写原题,替换1.Show/ compare/ illustrate2.Proportion/ percentage3.Categories/kinds/types4.The UK/Britain/the United Kingdomrmation/data注意data不能加s6.Males/men females/women7.From年代to年代/between年代and年代/over a period of …years8.Subway system/underground railway system/underground train system9.Store/shop10.The number of+可数名词复数形式/the figure for+可数名词复数形式11.The amount of something+不可数名词/ the figure for+不可数名词主体段上升: go up / increase/rise/grow/show an upward trend/show a downward trend下降: decline/fall/drop/decrease/fall back to 回落到……/fell steadily平稳的下降从...上升或者下降...的介词搭配from…to…/by表幅度波动:fluctuate没有被动形式常见搭配:fluctuate between…and…表示稳定某一水平的短语:remain stable at/level off at后面都要跟具体的数字或百分比经历了某种变化的及物动词:see/experience/witness只要图里存在着时间上的跨度就一定能够用的上例如:see an opposite trend呈现出相反的趋势/experience a sharp rise from到达最高点:peak at/reach its peak at介绍趋势时表示达到...或者位于...的动词:reach达到/stand at位于表示占多少份额的动词:account for/make up/represent/constitute表示对将来预测的动词:expect/predict/project这三个词经常以被动形式出现.而且,尽管是描述未来的数字,be动词仍然用一般现在时be expected to表示变成原来数值的两倍或者三倍的词:double/increase twofold/triple三倍全都是及物动词,但要注意的这几个词都是表达同一个事物在不同时间的倍数关系表示是另一个事物的两倍或者三倍的表达:be twice as high/long/fast/popular asBe three times as……as表示始终高于或者始终低于的句型:be consistently higher/lower than表示原有差距变小或者变大的句型:the gapbetween …and…narrowsnarrowed/widenswidened表示原来少于但后来超过的及物动词:exceed后边跟阿拉伯数字或者百分数Overtake 过去式overtook,后面跟比较对象表示急剧的形容词sharply/rapidly/dramatically表示持续的形容词gradually/consistently/steadysteadily表示显着的.大幅度的形容词:significantly/noticeable去e加ly/considerable去e加ly表示很小幅度的词:slightly表示大约的副词或短语:about/around/approximately/just over/under表示分别得副词:respectively各自的,分别得主体段第一句开头由图可见的写法:it’s clear from the table/graph that等We can see from the….It can be seen from ….The table shows that…流程图词汇At the first stage of the process,…/ first, ../first of all /the process begins with the+名词或者名词短语,不能写主卫结构After this/after that/next/at the following stage of the processThenFinally/eventually。
图表类作文常用的句型第一段:描述图表;第二段:分析原因/解释现象;第三段:总结。
一、第一段①句常用句型(大致描述)提供信息:The table provides information about…该表提供了有关……的信息。
展示趋势:The table clearly shows / demonstrates / depicts that …该表清楚地表明/证明/描述…由表可知:We can see from the above chart that…从上面的图表我们可以看出…It can be seen (from the chart) that…从图表中可以看出…As is shown from the above chart,…如上图所示,…It is manifest from the graph that…从图中可以看出…According to the table, …根据表格,…[图表]替换词:table(表格); chart(图表); pie chart(饼图); curve chart(曲线图); bar chart (柱状图); line chart(折线图).[表明/描述]替换词:show(表明); demonstrate(证明); depict(描述); portray(描绘); manifest(表明).[清晰地/明显地]替换词:clearly(清楚地); apparently(显然地); manifestly(明白地); obviously (明显地); explicitly(明确地).二、第一段②③句常用句型(细致描述)动态模板:The bar chart above demonstrates a change of _____ from the year to _____ respectively. According to the data given, we can easily notice that the number of _____ has a steady and slight increase from _____ in _____ to _____ in _____. Meanwhile, we find that thenumber _____ ascends sharply from _____ in _____ to _____ in _____.上述柱状图分别展示了_____年到_____年间_____的变化情况。
英语写作句型-从图表中得出结论句型1) As is shown in the graph … 如图所示…2) The graph shows that … 图表显示…3) As can be seen from the table … 从表格中能够看出…4) The statistics presented in the chart are rather convincing. 图表中所显示的数据相当具有说服力。
5) All these data clearly prove the fact that… 所有这些数据明显证明这个事实,即…6) The figures lead us to the conclusion that … 这些数据导致这样的结论…7) The above data can be interpreted as follows:上面的数据能够解释如下:8) This chart provides several important points of comparison between the two trends. 这张表格揭示了这两种趋势的很多很重要的方面。
9) The increase of … in the city has reached to 20%. …在这个城市的增加以达到20%10) In 1985, the number remained the same. 1985年,这个数字保持不变。
11) There was a gradual decline in 1989. 1989年,出现了逐渐下降的情况。
12) There was no drop in 1986, and then came a sharp rise in the following years. 1986年,没有出现下降,接着在接下来的几年中出现了迅速的上升。
13) From the chart, we know that … 从这张表中,我们可知…14) If the increase of … is compared to …, it will be observed that … 如果把的增加与…的对比,就会看出…。
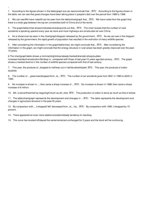
1. According to the figures shown in the table/graph we can see/conclude that... 例句:According to the figures shown in the table, we can see that great changes have been taking place in people's diet over the period from 1988 to 1998.2. We can see/We have noted/It can be seen from the table/chart/graph that... 例句:We have noted from the graph that there is a wide gap between the top ten universities both of China and of the world.3. The graph/table/chart shows/indicates/reveals/points out that... 例句:The chart reveals that the number of road accidents is spiraling upward every year as more and more highways are constructed all over China.4. As is shown/can be seen in the chart/graph/diagram released by the government... 例句:As we can see in the diagram released by the government, the rapid growth of population has resulted in the extinction of many wildlife species.5. After considering the information in the graph/table/chart, we might conclude that... 例句:After considering the information in the graph, we might conclude that the energy structure in rural areas has been greatly improved over the past 15 years.6.The chart/graph/table shows a minimal/slight/slow/steady/marked/dramatic/sharp/suddenincrease/rise/decline/reduction/fall/drop pared with those of last year/10 years ago/last century... 例句:The graph shows a marked decline in the number of wildlife species compared with that of last century.7. This year, the products of...dropped to half/was cut in half/doubled/tripled. 例句:This year, the products of cotton doubled.8. The number of ... grew/rose/dropped from...to... 例句:The number of car accidents grew from 3691 in 1985 to 8245 in 1995.9. No increase is shown in ...; then came a sharp increase of ... 例句:No increase is shown in 1988; then came a sharp increase of 8 million.10.Sth. is twice/three/half as large/high/much as sth. else. 例句:The production of cotton is twice as much as that of wheat. 11.The table/chart/graph represents the development and changes in ... 例句:The table represents the development and changes in agriculture structure in the past 30 years.12.By comparison with..., it dropped/ fell/ decreased from...to.../ by... 例句:By comparison with 1990, it dropped by 15 percent.13.There appeared an even more stable/consistent/steady tendency to rise/drop.14.The curve has leveled off/stayed the same/remained unchanged for 2 years and the trend will be continuing.。
一、图表作文写作常识 1、图形种类及概述法: 泛指一份数据图表:a data graph/chart/diagram/illustration/table 饼图:pie chart 直方图或柱形图:bar chart / histogram 趋势曲线图:line chart / curve diagram 表格图:table 流程图或过程图:flow chart / sequence diagram 程序图:processing/procedures diagram 2、常用的描述用法 The table/chart diagram/graph shows (that) According to the table/chart diagram/graph As (is) shown in the table/chart diagram/graph As can be seen from the table/chart/diagram/graph/figures, figures/statistics shows (that)…… It can be seen from the figures/statistics We can see from the figures/statistics It is clear from the figures/statistics It is apparent from the figures/statistics table/chart/diagram/graph figures (that) …… table/chart/diagram/graph shows/describes/illustrates how…… 3、图表中的数据(Data)具体表达法 数据(Data)在某一个时间段固定不变:fixed in time 在一系列的时间段中转变:changes over time 持续变化的data在不同情况下: 增加:increase / raise / rise / go up …… 减少:decrease / grow down / drop / fall …… 波动:fluctuate / rebound / undulate / wave …… 稳定:remain stable / stabilize / level off …… 最常用的两种表达法: 动词+副词形式(Verb+Adverb form) 形容词+名词形式(Adjective+Noun form)二、相关常用词组 1、主章开头 图表类型:table、chart、diagramgraph、column chart、pie graph 描述:show、describe、illustrate、can be seen from、clear、apparent、reveal、represent 内容:figure、statistic、number、percentage、proportion 2、表示数据变化的单词或者词组 rapid/rapidly 迅速的,飞快的,险峻的 dramatic/dramatically 戏剧性的,生动的 significant/significantly 有意义的,重大的,重要的 sharp/sharply 锐利的,明显的,急剧的 steep/steeply 急剧升降的 steady/steadily 稳固的,坚定不移的 gradual/gradually 渐进的,逐渐的 slow/slowly 缓慢的,不活跃的 slight/slightly 轻微的、略微地 stable/stably 稳定的 3、其它在描述中的常用到的词 significant changes 图中一些较大变化 noticeable trend 明显趋势 during the same period 在同一时期 grow/grew 增长 distribute 分布,区别 unequally 不相等地 in the case of adv. 在……的情况下 in terms of / in respect of / regarding 在……方面 in contrast 相反,大不相同 government policy 政府政策 market forces 市场规率 measure n.尺寸,方法,措施v.估量,调节 forecast n.先见,预见v.预测三、英语图表写作套句精选1.the table shows the changes in the number of……over the period from……to…… 该表格描述了在……年之……年间……数量的变化。
英语常用图表描述句型15.5常用图表阐释语:(1)表示“图表所示”句型:As is shown in the chart…如图所示As can be seen in the table…从表中可知As the graph shows…该曲线图表明The above table illustrates…该表格显示The first column represents…第一栏代表The second row demonstrates that…第二行表示See Figure (Table) 2 请看图(表)2(2)表示上升的动词:.increase, rise, go up, grow, climb, rocket, soar, rebound, ascend. Leap upwards, jump, speed up, surge, shoot up(3)表示下降的动词:.go down, fall, drop, decline, abate,decrease, slump, diminish, descend, plummet (fall quickly), shrink, slip, slide, take a plunge, dive,sink, slow down,(4)表示快速的副词:rapidly, quickly, sharply, dramatically, surprisingly, fast.(5)表示程度的副词、短语:considerably, a great deal, very much, a lot, rather, somewhat, quite a lot, a bit, a little, slightlysignificantly, markedly, noticeably, exactly, precisely, almost, nearly, roughly, approximately.(6)表示缓慢、逐步的副词、短语:steadily, gradually, small increase, slightly, moderately, slowly.(7)表示达到顶峰、平行向前等短语:to peak a high point at…, reach a peak at…, reach a plateau;reach the bottom at…, to bottom a low point at…,drop to the bottom at…, to level off;keep constant, stay the same, remain steady, remain the same/constant, stabilize.(8) 表示状况的单词、短语:erratic movements (unstable trend), fluctuations, trough (the lowest point), to the bottom, upward trend, downward trend.15.6 图表描述例句:Sales stood at the lowest level in March.三月份的销售额呈最底水平。
图表作文经典用词1.单词和词组上升:increase、rise、ascend、core、surge、go up、climb、mount、level up 下降:decrease、fall、drop、descend、decline、reduce、lessen、level down 平稳:stable、steady、remain/maintain/keep/be the same as/similar to波动:fluctuate、fluctuation、rise and falls、up and down占:occupy、take up、account for、gain而:while、however、whereas、on the other hand、actually/in fact相比:by contract、on the contrary、likewise、compared with最高点:the highest、the top、the summit、the peak、the most最低点:bottom、less、least、rock bottom平均:mean、average趋势:tendency、trend、inclination预见:prediction达到顶峰:mount to在***中占***:***gain the percentage of有一个稳定的过程:as table period can be seen副词:sharply, remarkably, obviously, significantly, gradually, slowly表示倍数的词汇double, triple the number of/the percentage of; four/five times 表示多少的词汇a little/ much/ a lot more/less than…, over…2. 对于上升到某个位置的描述:动词+to+具体数据动词+to+the peak of+具体数据to peak at +具体数据to climb to + 具体数据对于上升的程度的描述:动词+by +具体数据。
图表英语作文常用句型英文回答:Describing Overall Trends.The graph depicts a steady increase/decrease in [variable] from [time period] to [time period].[Variable] has shown a remarkable rise/fall of [percentage]% from [time period] to [time period].Over the past [number] years, [variable] has experienced a significant growth/decline of [percentage]%.Highlighting Specific Data Points.In [time period], [variable] reached itshighest/lowest point at [value].As of [time period], [variable] stands at [value],representing a [percentage]% increase/decrease from [previous time period].The graph shows a peak of [value] in [time period], followed by a gradual decline to [value] in [time period].Comparing Different Groups.[Variable] for Group A has consistentlysurpassed/lagged behind [variable] for Group B throughout the observed period.The gap between [variable] for Group A and Group B has widened/narrowed from [percentage]% in [time period] to [percentage]% in [time period].While Group A's [variable] has remained relatively stable, Group B's has experienced significant fluctuations.Identifying Patterns and Trends.The graph suggests a positive/negative correlationbetween [variable] and [other variable].A seasonal pattern is evident in [variable], with peaks occurring in [months] and troughs in [months].The trend line indicates a potentialplateau/acceleration in [variable] in the coming [time period].Discussing Causes and Implications.The rise in [variable] could be attributed to factors such as [list of factors].The decline in [variable] may have been influenced by events like [list of events].The implications of these trends for [specificsector/group] could be significant.中文回答:描述总体趋势。
As can be seen from/in the chart/diagram/table/graph..。
从表格/图形中我们可以看到……The table shows a three times increase over that of last year.表格显示比去年上升了3倍.According to /As is shown in the Table /Figure/Chart.。
如表格/图表中显示……The number is 5 times as much as that of.。
.此数字是……的5倍.It has increased by three times as compared with that of .。
同……相比,增长了3倍.It can be seen from the chart/diagram/table/graph/figures/statistics that.。
.从表格/图表/数据中我们可以看到……From the table/figures/data/results/information above, it can/may be seen/concluded/shown/estimated/calculated/inferred that.。
.从以上的表格/图表/数据/结果/信息中,我们可以看到/总结/预测/计算/得出……A has the highest sales figure in the three departments, followed byB and C.在3个部门中,A的销售额最高,其次是B和C。
The figure of A is about twice as much as that of B。
A的数字是B的两倍。
The rise lasted for two weeks and then began to level off in August。
英语图表作文常用句型和结构1) 常用的开篇句型(概述图表内容、描述总趋势)The table/chart/graph/diagram shows the changes in the number of...over the period from...to...该表格描述了在...年之...年间...数量的变化。
According to the table, we can see/conclude that …根据该表/图/数字,我们可知……The chart/table/graph…reveals (/reflects/shows) that …该表/图表明……The figures provided in the chart show (that)... 数据(字)表明...The graph provides some interesting data regarding/about/on/of...该图为我们提供了有关...有趣数据。
As can be seen from the diagram, great changes have taken place in...从图中可以看出,...发生了巨大变化。
As is shown (illustrated/indicated) in the pie chart ( that)….…如图所示...From the chart, we know that... 从这张表中,我们可知..It can be seen /concluded from the line /bar/chart /table that ….There is a great difference (a sharp contrast) between …The data/statistics/figures lead us to the conclusion that...这些数据资料令我们得出结论...All these data clearly prove the fact that... 所有这些数据明显证明这一事实,即...The graphs show a threefold increase in the number of...该图表表明...的数目增长了三倍。
英语图表作文常用句型和结构1) 常用的开篇句型(概述图表内容、描述总趋势)The table/chart/graph/diagram shows the changes in the number of...over the period from...to...该表格描述了在...年之...年间...数量的变化。
According to the table, we can see/conclude that …根据该表/图/数字,我们可知……The chart/table/graph…reveals (/reflects/shows) that …该表/图表明……The figures provided in the chart show (that)... 数据(字)表明...The graph provides some interesting data regarding/about/on/of...该图为我们提供了有关...有趣数据。
As can be seen from the diagram, great changes have taken place in...从图中可以看出,...发生了巨大变化。
As is shown (illustrated/indicated) in the pie chart ( that)….…如图所示...From the chart, we know that... 从这张表中,我们可知..It can be seen /concluded from the line /bar/chart /table that ….There is a great difference (a sharp contrast) between …The data/statistics/figures lead us to the conclusion that...这些数据资料令我们得出结论...All these data clearly prove the fact that... 所有这些数据明显证明这一事实,即...The graphs show a threefold increase in the number of...该图表表明...的数目增长了三倍。
五.图衣作文曲用句塑1)引言句引言句通常足槪括性的句子,说明图表的性质、时间.地点;也可对题目中的文字部分进行解析,但注意不要完全照搬题目中的原话。
常用句型有:2)主体段(1)描述信息出处,常用下列句型:(2)用百分比表示统计数期,常用下列句型:Company A and Company B both had 10% ・The profit remained steady at 10% ・The profil rose to 10%.The profit peaked at just over 10% ・The monthly profit increased/fell by 10% from 10% to 20% /from 20% to 10% ■China had the largest percentage/number (10% /245) of students.China had 10% of the students.10% of the students were from China.Taiwan accounted for 10% of the Mudenu.They made twice/three limes/four times the profit percentage/percentage of the profit in May than in March.The profit percentagc/pcrcenlagc of proGt doubled/increased three fold from March to May.Company A * s profit percentage rose steadily 9 vhereas that of Co mpany B fell •lightly.There were more males than females (10% and 5% respectively)・(3)对数据进行描述和比较.常用F列短语和句型:in relation to ■ ■ •compared with • • •twice as high/large/many 8目・・・three timed as high/large/many as ・・・double /treble/half the percentage/number of ・・・(4)描述图表时,考生应该注意图表中所给的是固定时间的数据,还是一段时间内的数据变化。
图表作文:1.As we can see from the chart/table…2.The chart/graph/ table/ displays that…3.As can be shown in chart/graph/table/diagram…4.The figures/statistics in the chart reflect/show/reveal that…5.It is clear/apparent from the chart/graph/table/diagram that…表示“数据”的常用句型:1.… has the largest percentage/proportion of …2.….. account (s) for / take(s) up 10% .pared with A, B has a higher percentage.4.On the top of the list is …., which accounts for 60%.5. A is second to B.6. A is ranked/rated first, followed by B at 30% and C at 25%.表示数据变化的常用句型:A 表示增加、减少和波动的常用结构:1. The number of …… increased /rose suddenly/ rapidly/dramatically/ sharply from…. to….2. There was a sudden /rapid dramatic/substantial/considerable/ increase in the number of ….3. There was a slight/ slow/ increase in the number of ….4. The number of …increased slightly/slowly from…. to …5. There was a sudden/rapid dramatic sharp decrease/drop/reduction/decline in the number of ….from … to….表示变化不大或没有变化的常用结构1.The number of ….. remained steady/stable between …and …2.There was little /hardly any change in the number of …… between ….. and….表示最高点或最低点的常用结构:1.The situation/figures reached a peak at …% in…2.The situation/figures bottomed out at ….% in…表示倍数的常用结构:1. A is twice /three times /four times as much /many as … in…2.It was decreased twice than that of the year 1996.3.It has increased by three times as compared with that of 1998.。
如何用英语阐述图表信息想在职场混,PPT得过关;想在外企混,PPT英语少不了。
不管你是普通职工还是公司高层,多多少少总会用到PPT做汇报,做图表,那么,如何用英语阐述会更有说服力呢?下面来学学职场中,如何恰当地阐述图表中的信息吧:描述图表信息常用表达句型:First quarter: Sales remained fairly steady throughout the months of January to March.第一季度:销售额从1月份到3月份一直都保持平稳。
Second quarter: There was a downturn in the second quarter with the sales falling to…in June.第二季度:销售额出现下降趋势,6月份降到…Third quarter: Sales rocketed in July and reached a peak in September.第三季度:7月份销售额陡增并于9月份达到峰值。
Fourth quarter: With the beginning of October, sales plummeted due to a significant drop in demands. A further decline continued into November and leveled off through the end of the year.第四季度:从10月初开始,由于需求的显著减少,销售额骤然下跌。
11月份销售额持续下降,在年底趋于平稳。
描述图表信息常用表达词Increase slightly 略微增长Increase dramatically 显著增长Decrease slowly 缓慢减少Decrease abruptly 急速减少Fluctuate mildly 轻微波动Fluctuate wildly 大幅度波动Nosedive to an all-time low 暴跌到空前最低点Reach a record high 达到历史最高点Start a spectacular ascension 开始惊人的上升/上涨Continue to skyrocket 继续飞涨Slide 逐渐降低Go up 上升;增长Go down 下降;减少原文来自必克英语/studydetail_49466682.html。
图表表达句型(1)1. At a slower rate... 以较低的速度……2. It reflects the great differences that exist between...在……之间反应了巨大的差异3. These figures were overwhelmingly greater than the corresponding figure of...这些数据远远大于XXX的相关数据4. It can be seen from the chart that significantly...-er (比较级)...than...由图可以看出,XXX明显更……5. In all locations, A outnumbered B... 在所有方面,A都比B……6. These two pie charts (饼状图) show the differences between two groups of...这两个饼状图显示了两组XXX之间的不同之处7. The first point to note is the huge increase (in the number of)...首先要注意的就是(数据方面的)巨幅增加8. A is more than... times (bigger) than B . A比B多(大)XXX倍。
9. The biggest loss was to A, which decreased from... to... of the whole.损失最大的是A,整体上,它从XXX降至XXX10. The biggest gains (in graduate numbers) were made by A which, as a group, have increased byover...A获得了最大的效益,整体上,它增长了…11. To sum up, ... 总之,……12. This bar chart displays the numbers of... 该柱状图显示了XXX的数据13. The chart reflects several trends. 该图显示了如下几种趋势……14. But... we see a different trend emerging. 但是……我们发现了另一种趋势慢慢浮现15. When we compare..., we see... 当比较……我们会发现……16. This suggests increased educational opportunities for women in higher education.这一点表明女性接受高等教育的机会得到增加。
1) As is shown in the graph … 如图所⽰…2) The graph shows that … 图表显⽰…3) As can be seen from the table … 从表格中可以看出…4) The statistics presented in the chart are rather convincing. 图表中所显⽰的数据相当具有说服⽰。
5) All these data clearly prove the fact that… 所有这些数据明显证明这⽰事实,即…6) The figures lead us to the conclusion that … 这些数据导致这样的结论…7) The above data can be interpreted as follows: 上⽰的数据可以解释如下:8) This chart provides several important points of comparison between the two trends. 这张表格揭⽰了这两种趋势的许多很重要的⽰⽰。
9) The increase of … in the city has reached to 20%. 在这个城市的增加以达到20%…10) In 1985, the number remained the same. 年,这个数字保持不变。
198511) There was a gradual decline in 1989. 1989年,出现了逐渐下降的情况。
12) There was no drop in 1986, and then came a sharp rise in the following years. 1986 年,没有出现下降,接着在接下来的⽰年中出现了迅速的上升。
13) From the chart, we know that … 从这张表中,我们可知…14) If the increase of … is compared to …, it will be observed that … 如果把的增加与… 的对⽰,就会看出…。
英语图表常用句型词组.英语图表作文写作常识50例一、图表作文写作常识1、图形种类及概述法:泛指一份数据图表:a datagraph/chart/diagram/illustration/table 饼图:pie chart直方图或柱形图:bar chart / histogram趋势曲线图:line chart / curve diagram 表格图:table流程图或过程图:flow chart / sequence diagram程序图:processing/procedures diagram2、常用的描述用法The table/chart diagram/graph shows (that)According to the table/chart diagram/graphAs (is) shown in the table/chart diagram/graphAs can be seen from the table/chart/diagram/graph/figures,figures/statistics shows (that)……It can be seen from the figures/statisticsWe can see from the figures/statisticsIt is clear from the figures/statisticsIt is apparent from the figures/statisticstable/chart/diagram/graph figures (that) ……table/chart/diagram/graph shows/describes/illustrateshow……3、图表中的数据(Data)具体表达法数据(Data)在某一个时间段固定不变:fixed in time在一系列的时间段中转变:changes over time持续变化的data在不同情况下:增加:increase / raise / rise / go up ……减少:decrease / grow down / drop / fall ……波动:fluctuate / rebound / undulate / wave ……稳定:remain stable / stabilize / level off ……最常用的两种表达法:动词+副词形式(Verb+Adverb form)形容词+名词形式(Adjective+Noun form)二、相关常用词组1、主章开头图表类型:table、chart、diagramgraph、column chart、pie graph 描述:show、describe、illustrate、can be seen from、clear、apparent、reveal、represent内容:figure、statistic、number、percentage、proportion2、表示数据变化的单词或者词组rapid/rapidly迅速的,飞快的,险峻的dramatic/dramatically戏剧性的,生动的significant/significantly有意义的,重大的,重要的sharp/sharply锐利的,明显的,急剧的steep/steeply急剧升降的steady/steadily稳固的,坚定不移的gradual/gradually渐进的,逐渐的slow/slowly缓慢的,不活跃的slight/slightly轻微的、略微地stable/stably稳定的23、其它在描述中的常用到的词significant changes图中一些较大变化noticeable trend明显趋势during the same period在同一时期grow/grew增长distribute分布,区别unequally不相等地in the case of adv.在……的情况下in terms of / in respect of / regarding在……方面in contrast相反,大不相同government policy政府政策market forces市场规率measure n.尺寸,方法,措施v.估量,调节forecast n.先见,预见v.预测三、英语图表写作套句精选1.the table shows the changes in the number of……over the period from……to……该表格描述了在……年之……年间……数量的变化。
2.the bar chart illustrates that……该柱状图展示了……3.the graph provides some interesting data regarding……该图为我们提供了有关……有趣数据。
4.the diagram shows (that)……该图向我们展示了……5.the pie graph depicts (that)……该圆形图揭示了……6.this is a cure graph which describes the trend of……这个曲线图描述了……的趋势。
7.the figures/statistics show (that)……数据(字)表明……8.the tree diagram reveals how…该树型图向我们揭示了如何……9.the data/statistics show (that)……该数据(字)可以这样理解……10.the data/statistics/figures lead us to the conclusion that……这些数据资料令我们得出结论……11.as is shown/demonstrated/exhibited in thediagram/graph/chart/table……如图所示……12.according to the chart/figures……根据这些表(数字)……13.as is shown in the table……如表格所示……14.as can be seen from the diagram,great changes have taken place in……从图中可以看出,……发生了巨大变化。
15.from the table/chart/diagram/figure,we can see clearly that……or it is clear/apparent fromthe chart that……从图表我们可以很清楚(明显)看到……16.this is a graph which illustrates……这个图表向我们展示了……17.this table shows the changing proportion of a & b from……to……该表格描述了……年到……年间a与b的比例关系。
18.the graph,presented in a pie chart, shows the general trend in……该图以圆形图形式描述了……总的趋势。
19.this is a column chart showing……这是个柱型图,描述了……20.as can be seen from the graph,the two curves show the flutuation of……如图所示,两条曲线描述了……的波动情况。
21.over the period from……to……the……remained level.在……至……期间,……基本不变。
22.in the year between……and……在……年到……期间……23.in the 3 years spanning from 1995 through 1998 (1995)年至1998三年里……24.from then on/from this time onwards……从那时起……25.the number of……remained steady/stable from (month/year) to (month/year)。
3……月(年)至……月(年)……的数量基本不变。
26.the number sharply went up to……数字急剧上升至……27.the percentage of……stayed the same between……and………至……期间……的比率维持不变。
28.the figures peaked at……in(month/year)……的数目在……月(年)达到顶点,为……29.the percentage remained steady at……比率维持在……30.the percentage of……is sightly larger/smaller than that of…………的比例比……的比例略高(低)。
31.there is not a great deal of difference between……and…………与……的区别不大。
32.the graphs show a threefold increase in the number of……该图表表明……的数目增长了三倍。
33……decreased year by year while……increased steadily.……逐年减少,而……逐步上升。
34.the situation reached a peak(a high point at) of[%].…的情况(局势)到达顶(高)点,为……百分点。
35.the figures/situation bottomed out in……数字(情况)在……达到底部。
36.the figures reached the bottom/a low point/hit a trough.数字(情况)达到底部(低谷)。
37.a is ……times as much/many as b.a是b的……倍图表写作攻略对于线性图表的描述上升 1.对于上升趋势的描述: a. 可以使用的动词或动词词组:to to jump to go up to rise to grow to increase to pick up to shoot to soar leap 可以使用的名词:b. an upward a soar increase a growth a jump an trend 对于上升到某个位置的描述:2.+具体数据。