近场天线测量作业
- 格式:doc
- 大小:518.20 KB
- 文档页数:11
一种天线近场测量磁场探头天线设计孙鸣;周勇【摘要】设计了一种共面波导形式的近场磁场探头,用于天线近场测量。
通过建立电磁仿真模型,计算了探头的S21和 S11参数,验证了探头在100~1500 MHz 频段具有良好的频率特性。
实物加工与测量结果表明:探头的实物与仿真结果相符,证明了所设计的共面波导形式的近场磁场探头的有效性和高空间分辨率。
【期刊名称】《河南科技大学学报(自然科学版)》【年(卷),期】2016(037)004【总页数】4页(P46-49)【关键词】天线近场测量;磁场探头;共面波导形式【作者】孙鸣;周勇【作者单位】南京信息工程大学电子与信息工程学院,江苏南京 210044;南京信息工程大学电子与信息工程学院,江苏南京 210044【正文语种】中文【中图分类】TM937.1相较于远场测量,天线近场测量成本低、测量精度高,并且可以在室内进行,从而避免了天气等因素的影响,可以全天候工作,所以天线近场测量被广泛应用。
近场测量要求测量天线的探头对空间电磁场的分辨率高,并且对待测天线的干扰小。
目前,大范围使用的天线近场测量方法是模式展开法[1-2],此方法虽然有效地减小了测量所需空间,但是对于频率小于100 MHz的天线而言,采用此方法测量仍然需要至少9~15 m的空间距离,而大部分的近场测量实验室是无法满足这个测量距离的。
针对这种情况,文献[3-4]提出将惠更斯-基尔霍夫原理与等效原理作为天线近场测量的理论依据。
这个理论与模式展开法相比,天线近场测量的空间距离得到了进一步减小。
基于此理论,文献[2,5]选择近场测量探头为磁场探头[2,5]。
组成磁场探头的基本形式是导线绕制形成的小环,在磁场测量过程中,电场会对磁场测量带来干扰。
为了减小或消除电场的干扰,磁场探头采用屏蔽环结构[6-7]。
该结构的磁场探头主要由半硬同轴电缆组成,将半硬同轴电缆弯成圆环状,同轴电缆的一端与屏蔽层相连。
屏蔽层一般为铜等良导体,一端与SMA接头相连,在环的中心位置把外导体开一个缝,即把同轴电缆的内导体裸露出来。
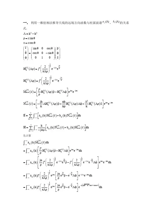
一. 利用一维驻相法推导天线的远场方向函数与柱面波谱()nah ,()n b h 的关系式。
22Λk h ρr sin θz r cos θˆr ˆsin θ0cos θρˆˆθcos θ0sin θφˆˆφ010z =-==⎛⎫⎛⎫⎛⎫ ⎪ ⎪⎪=- ⎪ ⎪⎪⎪⎪ ⎪⎝⎭⎝⎭⎝⎭()()1j π22nj Λρ4n 2H Λρj e e πΛρ-⎛⎫= ⎪⎝⎭()()1j π22nj Λρ4n 2H Λρj e e πΛρ--⎛⎫'= ⎪⎝⎭()()()()()n 422jn φjhz n,h n n j ˆˆM r H ΛρρH Λφe e ρ-⎡⎤'=-⎢⎥⎣⎦()()()()()()()()24222jn φjhz n,h n n n jh nh ΛˆˆˆN r ΛH ΛρρH ΛρΛφH Λρz e e k k ρk -⎡⎤'=-++⎢⎥⎣⎦()()()()()()44n,h n,h n n n E a h M r b h N r dh ∞+∞-∞=-∞⎡⎤=+⎢⎥⎣⎦∑⎰()()()()()()44n,h n,h n n n k H a h N r b h M r dh j ωμ∞+∞-∞=-∞⎡⎤=+⎢⎥⎣⎦-∑⎰先计算()()()()()()()()()4n,h n n 22jn φjhz n n n 11j πj π22n j Λρn j Λρjn φjhz 44n 1j πj π2njn φ44n a h M r dhj ˆˆa h H ΛρρH Λφe e dh ρjn 22ˆˆa h j e e ρj e e Λφe e dh ρπΛρπΛρ2jn ˆˆa h j e e ρe ΛφπΛρρ+∞-∞+∞--∞+∞-----∞+∞--∞⎡⎤'=-⎢⎥⎣⎦⎡⎤⎛⎫⎛⎫⎢⎥=- ⎪ ⎪⎢⎥⎝⎭⎝⎭⎢⎥⎣⎦⎡⎤⎛⎫=-⎢ ⎪⎝⎭⎣⎦⎰⎰⎰⎰())j Λρjhz 1j πj π2jr θh cos θnjn φ44n e e dh 2jn ˆˆa h j e e ρe Λφe dhπΛρρ--+∞--+-∞⎥⎡⎤⎛⎫=-⎢⎥ ⎪⎝⎭⎣⎦⎰()()()()()()()00πj rg h sgn g h 40002h e g h θh cos θg h 0h k cos θ1g h k sin θ⎡⎤''-+⎢⎥⎣⎦=⎛⎫⎪=+ ⎪'=⇒= ⎪ ⎪⎪''=- ⎪⎝⎭()()()πππn j j n jn φjrk 444n πn j n jn φjrk 2n 2n jn φjrk n 2j ˆˆa k cos θj e e ρe k sin θφe e r r sin θ2j ˆˆa k cos θj e e ρk sin θφe r r sin θ1r 0r 2k sin θˆa k cos θj e e φr----⎡⎤=-⎢⎥⎣⎦⎡⎤=-⎢⎥⎣⎦⎛⎫→∞⇒→ ⎪⎝⎭=-再计算()()()()()()()()()()()()4n,h n 2222jn φjhz n n n n 1j πj πj π22njn φj Λρjhz444n n jn φn b h N r dhjh nh Λˆˆˆb h ΛH ΛρρH ΛρΛφH Λρz e e dh k k ρk 2jh nh Λˆˆˆb h j e Λe ρe Λφe z e e dh πΛρk k ρk 2jk cos θnk cos θˆb k cos θj e k sin θρr k k +∞-∞+∞--∞+∞----∞⎡⎤'=-++⎢⎥⎣⎦⎡⎤⎛⎫=-++⎢⎥ ⎪⎝⎭⎣⎦=-+⎰⎰⎰()()()()()22jrk 2n jn φ2jrkn n jn φ2jrkn n jn φn k sin θˆˆj Λφj z e r sin θk 1r 0r 2ˆˆb k cos θj e jk cos θsin θρjk sin θz e r2ˆˆˆˆb k cos θj e jk cos θsin θsin θrcos θθjk sin θcos θr sin θθe r2ˆb k cos θj e jk cos θsin θsin θrc r---⎡⎤+⎢⎥⎣⎦⎛⎫→∞⇒→ ⎪⎝⎭⎡⎤=-+⎣⎦⎡⎤=-++-⎣⎦=-+()()()2jrkn jn φjrk n ˆˆˆos θθjk sin θcos θr sin θθe 2k sin θˆj b k cos θj e e θr--⎡⎤+-⎣⎦=-所以()()()()()()44n,h n,h n n n E a h M r b h N r dh ∞+∞-∞=-∞⎡⎤=+⎢⎥⎣⎦∑⎰()()()()()()()()()()()()()()()44n,h n,h n n n 44n,h n,h n n n n jn φjrk n jn φjrk n n n jrk n jn φn E a h M r b h N r dh a h M r dh b h N r dh 2k sin θ2k sin θˆˆa k cos θj e e φj b k cos θj e e θr r 2k sin θˆe j e a k cos θr ∞+∞-∞=-∞∞+∞+∞-∞-∞=-∞∞--=-∞-⎡⎤=+⎢⎥⎣⎦⎡⎤=+⎢⎥⎣⎦⎡⎤=--⎢⎥⎣⎦=-∑⎰∑⎰⎰∑()()()n n ˆφjb k cos θθr ∞=-∞+→∞∑ 同理可得:()()()()()()()()()()()()()()44n,h n,h n n n 44n,h n,h n n n n jn φjrk n jn φjrk n n n 2k H a h N r b h M r dh j ωμk a h N r dh b h M r dh j ωμk 2k sin θ2k sin θˆˆj a k cos θj e e θb k cos θj e e φj ωμr r 2k sin θe r ωμ∞+∞-∞=-∞∞+∞+∞-∞-∞=-∞∞--=-∞⎡⎤=+⎢⎥⎣⎦-⎡⎤=+⎢⎥⎣⎦-⎡⎤=--⎢⎥-⎣⎦=-∑⎰∑⎰⎰∑()()()()jrk n jn φn nn ˆˆj e ja k cos θθb k cos θφr ∞-=-∞+→∞∑二.分别采用直接求和与快速Fourier 变换(FFT )两种方法计算出)(ωF ,并与理论计算结果比较,并比较两种方法所用时间。
天线近远场测量及应用的开题报告一、选题背景及意义随着通信和雷达技术的发展,天线工程变得越来越重要。
天线的近场测量和远场测量是天线工程中的两个重要方面,近场测量技术主要用于天线的设计和优化,远场测量则是天线性能的验证和调整。
在天线设计过程中,近场测量可以帮助设计师更好地理解天线结构和特性,从而更好地优化天线的性能。
远场测量则可以验证设计的性能是否符合要求,并对天线的性能进行调整,以达到最佳性能。
因此,对天线的近场测量和远场测量技术的研究具有重要的理论和实践意义。
二、主要研究内容本次开题报告将探讨天线近场测量和远场测量的相关技术和应用。
具体包括:1.天线近场测量技术(1)天线近场测量原理及基础理论(2)天线近场测量系统组成(3)天线近场测量系统的操作流程2.天线远场测量技术(1)天线远场测试原理及基础理论(2)天线远场测试系统组成(3)天线远场测试系统的操作流程3.天线近远场测量的应用(1)天线性能参数的分析与优化(2)天线电磁辐射规律的研究(3)天线阵列的优化设计(4)其他天线应用的研究三、研究方法和技术路线本次研究将采用文献调研和实验方法相结合的方式。
通过查阅相关文献了解天线近场测量和远场测量的技术原理,同时在实验室内建立天线测量系统进行实验验证。
具体的技术路线如下:1.文献调研(1)收集国内外相关文献(2)分析文献中的技术原理2.实验验证(1)建立天线近场测量系统(2)进行天线近场测量实验(3)建立天线远场测量系统(4)进行天线远场测量实验3.数据处理和分析(1)对实验数据进行处理(2)分析天线性能参数(3)优化天线设计方案四、预期成果和创新性本次研究的预期成果和创新性如下:1.深入探讨天线近场测量和远场测量技术的理论和实践应用2.建立和优化天线测量系统,提高测试准确度3.实验数据分析和优化设计,为天线工程提供参考4.本研究将为后续研究提供基础数据和技术支持。
五、研究难点和解决措施本研究的主要难点在于天线测量系统的建立和测试过程中对实验数据的处理和分析。
天线近场测量技术综述天线测量技术天线工程一问世,天线侧量就是人们一直关注的重要课题之一,方法的精确与否直接关系到与之配套系统的实用与否.随着通讯设备不断更新,对天线的要求愈来愈高,常规远场测量天线的方法由于实施中存在着许多困难,有时甚至无能为力,于是人们就渴望通过测量天线的源场而计算出其辐射场的方法.然而由于探头不够理想和计算公式的过多近似,致使这种方法未能赋于实用.为了减小探头与被测天线间的相互影响,Barrett等人在50年代采用于离开天线口面几个波长来测量其波前的幅相特性,实验结果令人大为振奋,由此掀开了近场侧量研究的序幕,这一技术的出现,解决了天线工程急待解决而未能解决的许多问题,从而使天线测量手段以新的面目出现在世人的面前.四十多年过去了,近场测量技术已由理论研究进人了应用研究阶段,并由频域延拓到了时域,它不仅能够测量天线的辐射特性,而且能够诊断天线口径分布,为设计提供可靠、准确设计依据;与此同时,人们利用它进行了目标散射特性的研究,即隐身技术和反隐身技术的研究,从而使该技术的研究有了新的研究手段,进而使此项研究进人了用近场测量的方法对目标成像技术的探索阶段.近场测量技术在离开被测体3一5人(入为工作波长)距离上,用一个电特性已知的探头在被测体近区某一平面或曲面上扫描抽样(按照取样定理进行抽样) 电磁场的幅度和相位数据,再经过严格的数学变换(快速傅立叶变换,FastFourierTransform,简写为FFT)计算出被测体远区场的电特性,这一技术称之为近场测量技术。
若被测体是辐射体(通常是天线),则称之为辐射近场测量(RadiationNearFieldMeasurement):当被测体是散射体时,则称之为散射近场测量(NearFieldSeatteringMeasurement)。
对辐射近场测量而言,根据取样表面的不同,。
天线近场测量--(**,北京100191)摘要本文介绍了天线测量的发展历程,对近场扫描系统的组成、三种测量方案以及各方案的实施做了系统的叙述。
最后,集中分析了这三种近场扫描测量方法的适用情况,以根据实际适当选择。
关键词天线测量,平面近场测量,圆柱面近场测量,球面近场测量Near-Field Antenna Measurements**(**, Beijing 100191)Abstract:This paper introduced the development of antenna measuring technologies, the consistent of near field measuring system and practices of three measuring were discussed as well. At last, the best situated method of some type of antenna were analyzed in detail to choose them conveniently.Keywords: Antenna measurements; PNF;CNF;SNF1 引言天线特性参数的测量有多种方法,目前,主要的方法包括三大类:天线的远场测量、天线的紧缩场测量、天线的近场测量。
其中,因天线特性主要是定义在天线的远场区故远场测量更为直接准确,而紧缩场测量天线主要是拉近远场所需远场条件:22d Dλ≥,其通常采用一个抛物面金属反射板,将馈源发送的球面波经反射面反射形成平面波,在一定远距离处形成一个良好的静区。
将天线安置在静区内,测量天线的远场特性,其类似于远场测量,只是缩短测量距离,便于在理想远场环境(暗室)下进行测量。
比较而言,天线近场测量技术应用更为广泛,其对设备要求低,不需要造价昂贵的暗室环境,也不需要远场测量下,对射频系统的较高的要求。
天线近场测量方法
天线参数的测量有助于我们了解天线性能,并对其加以更合理的应用。
一、近场测量的基本方法
目前在天线近场测量领域,常用的天线测量方法有平面扫描、柱面扫描和球面扫描,这些方法分别需要在平面、柱面、球面上采集数据。
二、近场测量方法的特点
平面近场扫描需要较小的暗室环境、较简单的调整技术和数学分析。
这项技术适用于高定向性天线测量,如蝶形或者相控阵等,几乎所有接收或发射的能量都穿过平面扫描区域。
但平面近场只覆盖待测天线方向图的有限区域,因此很难测定天线的方向性。
柱面近场扫描适用于扇形波束天线测量,其能量较为集中于一轴,而在另一正交轴上较为分散,如手机基站天线,其辐射方向图大部分局限于俯仰向的小范围内。
球面近场扫描能用于任何天线的测量,尤其适用于那些不适合平面和柱面测量的全向或近似全向天线。
该方法不存在测量面的截断,因此可用于精确测定任意类型的天线的远副瓣。
(资料来源于IEEE天线近场测量标准)。
天线检验作业指导书一、任务背景天线是无线通信系统中重要的组成部份,其性能直接影响到通信质量和覆盖范围。
为了确保天线的正常工作和性能稳定,需要进行定期的天线检验。
本作业指导书旨在提供详细的操作步骤和标准要求,以确保天线检验工作的准确性和一致性。
二、检验目的1. 验证天线的安装位置和姿态是否符合要求,确保天线辐射方向和天线图案的准确性。
2. 检测天线的电气性能,包括天线增益、驻波比、方向性等指标,确保天线的正常工作。
3. 检查天线的外观和机械性能,包括天线外壳、连接器、支架等部份,确保天线的完好性和稳定性。
三、检验步骤1. 天线位置和姿态检验1.1 使用仪器测量天线的安装位置和姿态,包括天线的高度、倾斜角度和方向。
1.2 对照测量结果与设计要求进行对照,判断天线的安装位置和姿态是否符合要求。
2. 天线电气性能检验2.1 使用天线测试仪器进行天线增益的测量,记录测量结果。
2.2 使用频谱分析仪测量天线的驻波比,记录测量结果。
2.3 使用天线测试仪器进行天线方向性的测量,记录测量结果。
2.4 根据测量结果和设计要求进行对照,判断天线的电气性能是否符合要求。
3. 天线外观和机械性能检验3.1 检查天线外壳是否完好,无裂纹、变形等损坏情况。
3.2 检查天线连接器是否紧固可靠,无松动情况。
3.3 检查天线支架是否稳固,无松动或者变形情况。
3.4 根据检查结果判断天线的外观和机械性能是否符合要求。
四、数据记录和报告1. 在进行天线检验的过程中,需要记录每一项检验的具体数据,包括测量结果、对照结果、检查结果等。
2. 根据检验数据生成检验报告,详细描述每一项检验的结果和结论。
3. 检验报告应包括天线的基本信息、检验日期、检验人员等必要信息,以确保报告的准确性和可追溯性。
五、安全注意事项1. 在进行天线检验时,需注意安全,避免触电、高空坠落等危(wei)险。
2. 使用仪器和工具时,应按照操作说明进行正确使用,避免误操作和事故发生。
天线近场测量的综述内部☆天线近场测量的综述An OutIine of Near Field Antenna Measurement一引言天线工程一问世.天线测量就是人们一直关注的重要课题之一,方法的精确与否直接关系到与之配套系统的实用与否。
随着通讯设备不断更新,对天线的要求愈来愈高,常规远场测量天线的方法由于实施中存在着许多困难,有时甚至无能为力,于是人们就渴望通过测量天线的源场而计算出其辐射场的方法。
然而由于探头不够理想和计算公式的过多近似,致使这种方法未能赋于实用。
为了减小探头与被测天线间的相互影响,Barrett等人在50年代采用了离开天线口面几个波长来测量其波前的幅相特性,实验结果令人大为振奋,由此掀开了近场测量研究的序幕,这一技术的出现,解决了天线工程急待解决而未能解决的许多问题,从而使天线测量手段以新的面目出现在世人的面前。
四十多年过去了,近场测量技术已由理论研究进入了应用研究阶段,并由频域延拓到了时域,它不仅能够测量天线的辐射特性,而且能够诊断天线口径分布,为设计提供可靠、准确设计依据;与此同时,人们利用它进行了目标散射特性的研究,即隐身技术和反隐身技术的研究,从而使该技术的研究有了新的研究手段,进而使此项研究进入了用近场测量的方法对目标成像技术的探索阶段。
二、近场测量技术发展的过程近场测量的技术研究从五十年代发展至今,其研究方向大致经历四个阶段,如表1所示。
表1 近场测量技术所经历的时间各个时期的研究内容可概述为以下几个方面1.理论研究在Barrett等人的实验之后,Richnlond等人用空气和介质填充的开口波导分别测量了微波天线的近场,并把由近场测量所计算得到的方向图与直接远场法测得的结果相比较,其方向图在主瓣和第一副瓣吻合较好,远副瓣和远场法相差较大。
于是人们就分析其原因,最终归结为探头是非理想起点源所致,因此,出现了各种方法的探头修正理论。
直到1963年Karns等人提出了平面波分析理论才从理论上严格地解决了非点源探头修正的问题。
天线极化特性的近场测量技术陈旭;黄文涛;罗林【摘要】针对天线极化特性如何在近场测量系统进行测试的问题,文中从实际工程应用出发,结合电磁场理论,基于椭圆极化波的分解理论,提出了利用线极化探头测量椭圆极化天线特性参数的方法.通过线极化探头进行两次正交的测量即可得到圆极化天线的方向图、轴比、倾角、增益等特性信息,也得到了线极化天线的交叉极化特性.【期刊名称】《电子科技》【年(卷),期】2015(028)006【总页数】4页(P126-129)【关键词】椭圆极化;近场测量;远场方向图;轴比;倾角;增益;交叉极化【作者】陈旭;黄文涛;罗林【作者单位】中国电子科技集团公司第38研究所微波系统研究部,安徽合肥230088;中国电子科技集团公司第38研究所微波系统研究部,安徽合肥230088;中国电子科技集团公司第38研究所微波系统研究部,安徽合肥230088【正文语种】中文【中图分类】TN821+.1随着卫星通信、遥控遥测技术的发展、雷达应用范围的扩大以及对高速目标在各种极化方式和气候条件下跟踪测量的需要,单一极化方式已难以满足要求,多极化天线的应用就显得十分重要[1-2]。
研制高性能天线离不开先进的测试、校准技术,天线测试不仅是最终天线性能指标参数获取的一种手段,且随着高性能测试仪表的出现,以及新的测试方法理论的发展,设计人员可通过天线测量获得更多有价值的信息。
这些信息在产品研制过程中对于天线的优化设计,缩短研制周期起到越来越大的作用。
天线近场测试是诊断、调试和测量天线性能的一种主要测试技术。
如何通过近场测量得到圆极化天线的方向图、轴比、倾角、增益等特性信息,或者得到线极化天线的交叉极化特性是需要考虑的问题[3-10]。
1 天线极化特性的近场测量在近场测量中,采样探头一般选择开口矩形波导,因为该探头形式简单、远场方向图的波束宽度较宽,且可通过理论计算得到较为精确的远场方向图以便进行探头补偿、具有较好的线极化纯度、频带内驻波小等优点。
天线检验作业指导书
标题:天线检验作业指导书
引言概述:
天线是通信系统中的重要组成部份,其性能直接影响到通信质量。
为了确保天线正常工作,需要定期进行检验。
本文将介绍天线检验的作业指导书,匡助操作人员正确进行检验工作。
一、检查天线外观
1.1 确保天线表面光滑,无明显损坏或者变形。
1.2 检查天线支架是否坚固,无松动现象。
1.3 检查天线连接线是否完好,无断裂或者接触不良。
二、测量天线参数
2.1 使用合适的仪器对天线进行增益和驻波比的测量。
2.2 检查天线的工作频率范围是否符合要求。
2.3 测量天线的方向性和极化特性,确保其满足设计要求。
三、检查接地系统
3.1 检查天线接地系统的连接是否坚固,无松动或者腐蚀。
3.2 测量接地系统的接地电阻,确保其符合标准要求。
3.3 检查接地系统的绝缘情况,保证其正常工作。
四、检查天线安装
4.1 检查天线安装是否符合设计要求,无倾斜或者偏移。
4.2 检查天线的方向角是否正确,调整至最佳位置。
4.3 检查天线与其他设备的连接是否坚固,无松动或者接触不良。
五、记录和报告
5.1 记录每次天线检验的具体情况,包括检查结果和发现的问题。
5.2 对于发现的问题,及时报告给相关部门并进行处理。
5.3 定期整理检验记录,建立完善的档案,以备日后查阅。
结论:
通过本文的作业指导书,操作人员可以正确、全面地进行天线检验工作,确保天线正常工作,提高通信系统的可靠性和稳定性。
希翼本文对读者有所匡助。
矿产资源开发利用方案编写内容要求及审查大纲
矿产资源开发利用方案编写内容要求及《矿产资源开发利用方案》审查大纲一、概述
㈠矿区位置、隶属关系和企业性质。
如为改扩建矿山, 应说明矿山现状、
特点及存在的主要问题。
㈡编制依据
(1简述项目前期工作进展情况及与有关方面对项目的意向性协议情况。
(2 列出开发利用方案编制所依据的主要基础性资料的名称。
如经储量管理部门认定的矿区地质勘探报告、选矿试验报告、加工利用试验报告、工程地质初评资料、矿区水文资料和供水资料等。
对改、扩建矿山应有生产实际资料, 如矿山总平面现状图、矿床开拓系统图、采场现状图和主要采选设备清单等。
二、矿产品需求现状和预测
㈠该矿产在国内需求情况和市场供应情况
1、矿产品现状及加工利用趋向。
2、国内近、远期的需求量及主要销向预测。
㈡产品价格分析
1、国内矿产品价格现状。
2、矿产品价格稳定性及变化趋势。
三、矿产资源概况
㈠矿区总体概况
1、矿区总体规划情况。
2、矿区矿产资源概况。
3、该设计与矿区总体开发的关系。
㈡该设计项目的资源概况
1、矿床地质及构造特征。
2、矿床开采技术条件及水文地质条件。