重庆大学2020年考研招生简章
- 格式:docx
- 大小:13.90 KB
- 文档页数:3
重庆大学研究生招生专业目录
一、工学类
(一)材料类
1、复合材料加工工程
2、制备科学与工程
3、功能材料
4、材料化学
(二)机械工程及其自动化
1、机械制造及其自动化
2、机械电子工程
3、车辆工程
4、汽车服务工程
5、机械设计制造及其自动化
6、过程装备与控制工程
7、流体机械与工程
(三)仪器科学与技术
1、光学工程
2、自动化
3、测控技术与仪器
4、传感技术与计量
(四)能源与动力工程
1、动力工程及工程热物理
2、热能工程
3、核化工与核燃料工程
(五)电子科学与技术
1、电子信息工程
2、电子科学与技术
3、电气自动化技术
4、通信与信息系统
5、微电子科学与工程
(六)信息与计算机科学
1、计算机科学与技术
2、信息安全
3、物联网工程
4、空间信息与数字技术
(七)船舶与海洋工程
1、船舶与海洋工程
2、轮机工程
3、自动控制
(八)航空航天科学与技术1、飞行器设计与工程
2、飞行器动力工程
3、航空宇航技术
二、农学类
1、设施农业科学与工程
2、植物保护
3、农业水利工程
4、作物遗传育种
5、园艺
三、医学类
1、生物医学工程
2、药学
3、护理学
4、口腔医学
四、公共管理类
1、社会工作
2、行政管理
3、公共事业管理
4、社会学
五、文学类
1、中国语言文学
2、汉语国际教育
3、广告学。
重庆大学法律硕士考研分析一、重大法律硕士学科概况重庆大学法学院始建于1945年。
1952年全国高等教育结构与布局调整,重庆大学法学院调出重庆大学,与兄弟院校法学院系组建成立西南政法学院。
1995年重庆大学恢复法学本科招生, 1998年设立法律系,2000年成功申报环境与资源保护法学和法理学硕士点,2002年恢复成立法学院。
学院依托学校综合学科的优势,以及国家“211工程”“985工程”建设的良好机遇,大力推进学科建设、人才培养、科学研究和社会服务,通过十余年的建设,取得丰硕成果。
前段时间,一篇题为《重大在教育部最新一次学科评估中全线崩溃,我们该怎么办?》的文章吸引了很多重大学子的关注,重大在教育部第四次学科评估中的退步,诸多学科黯然失色。
而有一个学院却如黑暗中的星光,逆势而上,学科排名继续大幅上升,让我们在失望中有了那么一丝安慰。
没错,它就是在第四次教育部本科教学评估中获得B+的重庆大学法学学科。
在其他学科普遍退步,一片哀鸿遍野声中。
重大法学,逆势而上,这些年来进步神速,成为重大位数不多的亮眼成绩之一。
在教育部2012年学科评估中,重庆大学法学学科已经位列全国第11名17位;在2017年年底的第四次评估中(只分级,不排名),和复旦,南开,中山,西北政法一档,位列B+。
也就是说,作为一个2002年恢复学院建制的学科,在这15年的时间里,重庆大学法学院已经为缩小与传统法学强校拼尽了全力。
也才有了这次学科评估的成绩。
尤其是其环境与资源保护法,更是成为国内法学院的翘楚。
二、重大法律硕士复习策略法律硕士由于是全国统考,所以都是五门课:刑法、民法、法理、宪法和法制史。
一般的复习顺序最开始学刑法,然后是民法,法理,宪法,法制史。
中公考研的法硕团队对每个阶段的学科所需要的时间以及侧重点都有精心的安排。
具体的学习过程我就不说了,这个可以关注中公法硕考研的网站,里面有非常详细的介绍。
我就说一些大家在复习的时候特别需要注意的事情吧。
2020川大非全日制招生简章摘要:1.四川大学简介2.非全日制研究生招生专业及计划3.报考条件与程序4.考试方式与时间5.学制与学费6.奖学金与助学金政策7.联系方式与注意事项正文:四川大学是一所历史悠久、学术实力雄厚的全国重点大学,为了满足在职人员的继续教育需求,四川大学开展了非全日制研究生招生工作。
以下是2020 年川大非全日制研究生招生简章的相关内容。
1.四川大学简介四川大学创建于1896 年,位于四川省成都市,是我国“985 工程”和“211 工程”重点建设的高校,具有多学科协调发展的优势,涵盖了哲、经、法、教育、文、史、理、工、农、医、管等十二个学科门类。
2.非全日制研究生招生专业及计划2020 年四川大学非全日制研究生招生专业涉及多个学科领域,具体招生专业及计划请参考学校官方发布的招生简章。
3.报考条件与程序报考四川大学非全日制研究生的条件包括:中华人民共和国公民;拥护中国共产党的领导,品德良好,遵纪守法;身体健康状况符合国家和学校的体检要求;具有本科学历或具有研究生同等学力。
报考程序请参考学校官方发布的招生简章。
4.考试方式与时间四川大学非全日制研究生招生采取全国硕士研究生招生统一考试的方式。
具体考试时间以国家教育部公布的2020 年全国硕士研究生招生统一考试时间为准。
5.学制与学费四川大学非全日制研究生学制为3 年,学费按照国家和学校的相关规定收取。
6.奖学金与助学金政策四川大学对非全日制研究生提供奖学金和助学金政策,具体办法按照学校相关规定执行。
7.联系方式与注意事项有关2020 年川大非全日制研究生招生的更多信息,可关注四川大学研究生招生办公室官方网站或咨询招生办公室,联系电话:************。
请广大考生务必关注学校官方发布的招生简章,确保信息准确无误。
总之,四川大学非全日制研究生招生为在职人员提供了提升自身学历和能力的机会。
重庆大学博士招生简章
重庆大学拟招收2021年度攻读博士学位的研究生。
本科毕业生及硕
士毕业生均可报考,报考条件严格遵循国家有关规定和重庆大学有关规定,原则上不对外开放博士研究生招生。
一、报考条件。
1.研究生招生对象:本科毕业生及硕士毕业生。
3.英语水平要求:本科生需参加英语六级或者雅思等英语考试合格者
方可报考,硕士生及本科毕业生英语水平及雅思等考试结果达到一定的要求。
二、报名方式。
1.符合报考条件者,可通过网上报名方式报名参加重庆大学2021年
博士研究生招生考试;
2.请报考者在报考系统中提交的申请材料真实有效,否则由此引起的
一切后果由申请人自行承担;
3.报名时间:2021年04月20日至2021年5月20日;
4.报名费用:305元,报考人自愿选择缴。
重庆大学考点2020年考研报名现场确认时间及地点考研报名频道为大家提供重庆大学考点2019年考研报名现场确认时间及地点,请大家在规定的时间进行考研报名现场确认!更多考研资讯请关注我们网站的更新!重庆大学考点2019年考研报名现场确认时间及地点重庆大学为2019年全国硕士研究生入学考试考点(考点代码:5001),考点设在重庆大学A、B校区。
热忱欢迎广大考生在我考点参加考试。
一、考点接纳条件根据教育部、重庆市及我校相关文件精神,鉴于考点接纳考生容量有限,我考点仅接受以下四类考生报考,请广大考生谅解。
1.报考重庆大学的重庆市考生;2.初试第四科为六小时设计的重庆市考生;3.重庆大学2019年应届本科毕业生;4.重庆大学招生章程规定必须在我考点报考的考生。
注:重庆市考生,是指户口或工作单位在重庆市辖区的往届生,以及重庆市辖区内高校的2019年应届本科毕业生。
二、考生身份审查我考点在现场确认时将严格审核考生的有效身份证件,同时还审查以下材料:1.户口在重庆市的往届生,须提供本人重庆市户口簿原件;2.在重庆市工作但户口未随迁的往届生,须提供最近三个月在重庆市工作的社保证明(加盖社保机构印章的缴纳社会保险凭证原件);3.重庆市辖区高校的应届生,须提供本人在有效期内、正常注册并盖有学籍管理部门公章的学生证。
三、报考注意事项及流程(一)注意事项1、因我校标准化考场能容纳的考生数量有限,我校将根据考生报名情况随时关闭我考点。
考点关闭后,考生将不能更改网报信息和缴费。
2、凡不满足我考点要求的考生一律不予现场确认,后果自负。
退费事宜按重庆市考试院相关规定执行。
(二)报名流程1、网络报名及现场确认时间地点1)网络报名时间应届生报名:2018年9月24日-27日(9:00-22:00)往届生报名:2018年10月10日-31日(9:00-22:00)2)现场确认时间2018年11月7日-9日(8:30-11:3013:30-17:30)3)现场确认地点重庆大学A区研究生院一楼大厅请考生合理安排报名时间,并在规定时间内到选择考点现场进行电子照像和报考信息确认,过期不再受理。
为培养具有坚实马克思主义理论基础,适应重庆经济社会发展的高层次党政管理专业人才,现将中共重庆市委党校2020年在职研究生招收事宜公告如下。
一、招生专业、招生计划及入学考试科目招生专业5个,计划招收600名研究生。
所有专业均在校本部办学。
(一)区域经济学专业1.招生计划:120名2.入学考试科目:政治理论、专业综合(政治经济学、管理学)(二)法律专业1.招生计划:150名2.入学考试科目:政治理论、专业综合(法理学、行政法与行政诉讼法学)(三)公共管理专业1.招生计划:120名2.入学考试科目:政治理论、专业综合(政治学、公共管理学)(四)党政管理专业1.招生计划:120名2.入学考试科目:政治理论、专业综合(政治学、中国特色社会主义理论与实践)(五)领导与战略管理专业1.招生计划:90名2.入学考试科目:政治理论、专业综合(马克思主义基本原理、管理学原理)二、报考条件1.考生须具备以下条件:(1)坚持四项基本原则,思想政治素质好;(2)具有国家承认的大学本科学历;(3)具有2年以上的工作经验(时间计算截至2020年9月1日)。
2.免试入学条件:已获得研究生学历证书或硕士学位证书。
符合免试入学条件的考生,仍须按流程报名并缴纳报名费,并于4月17日前携带相关证明材料到重庆市委党校研究生部招生联络科现场确认。
逾期未确认者,视为放弃免试入学资格。
三、考录程序(一)报名2020年在职研究生入学考试采取网上报名方式。
1.网上报名时间2020年3月15日上午9:00至4月15日下午5:00前。
2.报名程序考生须自行登录中共重庆市委党校“探索网”,进入在职研究生报名入口,按要求报名,逾期不再补报。
考生须诚信报考,信息提交后,不得更改。
凡不按要求报名,信息误填、错填或填报虚假信息而造成不能考试或录取的,后果由考生本人承担。
3.网上缴费所有考生经网上审核合格后,均须在4月17日下午5:00前完成网上缴费(报名费200元/人),确认参加考试。
教育部公布2020年全国硕士研究生招生考试公告文章属性•【制定机关】教育部•【公布日期】2019.08.19•【文号】•【施行日期】2019.08.19•【效力等级】部门规范性文件•【时效性】现行有效•【主题分类】招生考试正文2020年全国硕士研究生招生考试公告根据《2020年全国硕士研究生招生工作管理规定》,现将2020年全国硕士研究生招生考试有关事项公告如下:一、初试时间2020年全国硕士研究生招生考试初试时间为2019年12月21日至12月22日(每天上午8:30-11:30,下午14:00-17:00)。
超过3小时的考试科目在12月23日进行(起始时间8:30,截止时间由招生单位确定,不超过14:30)。
考试时间以北京时间为准。
不在规定日期举行的硕士研究生招生考试,国家一律不予承认。
二、初试科目初试方式均为笔试。
12月21日上午思想政治理论、管理类联考综合能力12月21日下午外国语12月22日上午业务课一12月22日下午业务课二12月23日考试时间超过3小时的考试科目每科考试时间一般为3小时;建筑设计等特殊科目考试时间最长不超过6小时。
详细考试时间、考试科目及有关要求等请见《准考证》及考点和招生单位公告。
三、报名要求硕士研究生招生考试报名包括网上报名和现场确认两个阶段。
所有参加硕士研究生招生考试的考生均须进行网上报名,并到报考点现场确认网报信息、采集本人图像等相关电子信息,同时按规定缴纳报考费。
应届本科毕业生原则上应选择就读学校所在地省级教育招生考试机构指定的报考点办理网上报名和现场确认手续;单独考试考生应选择招生单位所在地省级教育招生考试机构指定的报考点办理网上报名和现场确认手续;其他考生(含工商管理、公共管理、旅游管理和工程管理等专业学位考生)应选择工作或户口所在地省级教育招生考试机构指定的报考点办理网上报名和现场确认手续。
网上报名技术服务工作由全国高等学校学生信息咨询与就业指导中心负责。
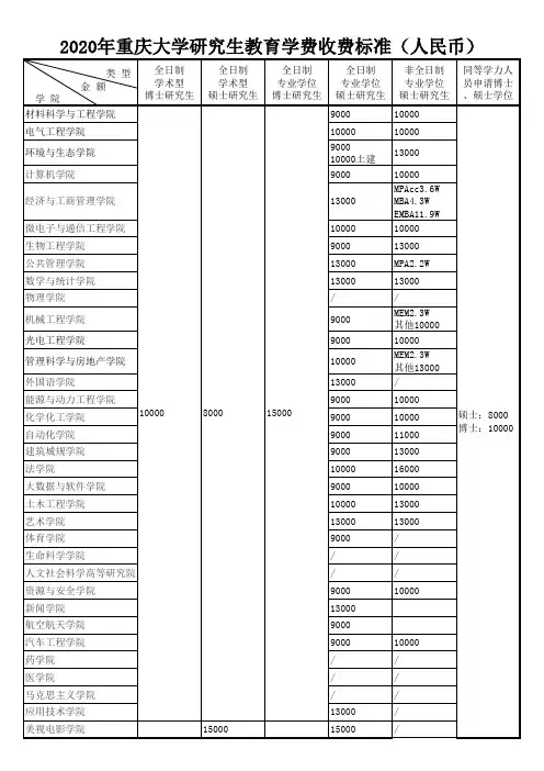
2020年重庆大学考研招生简章2020年考研大军的行进,首要任务就是确定考研院校,准备报考重庆大学的同学,要详细了解院校的招生简章。
那么2020年重庆大学有哪些招考条件呢?跟博仁考研的老师,一起来详细了解下吧!一、招生类型硕士研究生按其学习方式分为全日制硕士研究生和非全日制硕士研究生两种。
全日制硕士研究生是在基本修业年限或者学校规定年限内,全脱产在校学习的研究生。
非全日制硕士研究生是在基本修业年限或者学校规定的修业年限内,在从事其他职业或者社会实践的同时,采取多种方式和灵活时间安排进行非脱产学习的研究生。
全日制和非全日制研究生考试招生依据国家统一要求,执行相同的政策和标准。
全日制和非全日制研究生毕业时,按照国家有关规定发给相应的、注明学习方式的毕业证书;其学业水平达到国家规定的学位标准,可以申请授予相应的学位证书。
2.硕士研究生按其就业方式分为定向就业和非定向就业两种类型。
定向就业的硕士研究生按定向合同就业;非定向就业的硕士研究生按本人与用人单位双向选择的方式就业。
3.非全日制研究生和定向培养研究生(少骨计划除外)不安排宿舍。
二、招生计划2020年学校计划招收各类全日制硕士研究生4100余名(含推免生)、各类非全日制硕士研究生1300余名,《2020年重庆大学硕士研究生招生专业目录》(以下简称“专业目录”)中公布的各专业招生人数为计划招生数,待国家实际招生计划下达后,各专业招生人数可能有所增减。
将于2019年10月25日左右在研招网发布各学院、各专业2020年实际预录取推免生人数,请各位考生密切关注。
三、学位类型硕士学位有学术学位和专业学位两种类型。
学术学位按学科设立,其以学术研究为导向,偏重理论和研究,培养具有创新精神、创新能力和从事科学研究、教学、管理等工作能力的高层次学术型专门人才;专业学位重在培养掌握本学科坚实的基础理论和系统的专业知识、具有较强解决实际问题的能力、能够承担专业技术或管理工作、具有良好职业素养的高层次应用型专门人才。
重庆大学第二学位招生简章2022年一、招生专业与人数XX大学是一所拥有哲学、经济学、法学、教育学、文学、历史学、理学、工学、医学、管理学、艺术学等11个学科门类的综合性研究型大学,拥有50个一级学科博士学位授权点、262个博士学位授予权专业、6个专业学位博士授权点。
二、学习方式与学习年限1.XX大学博士研究生的学习方式分为全日制和非全日制。
各专业、方向的学习方式详见《XX大学2022年博士研究生招生专业目录》。
2.已获得硕士学位的博士研究生,基本学习年限为4年;获得学士学位申请直接攻读博士学位研究生,基本学习年限为5年;硕博连读研究生,硕士、博士两个学习阶段基本年限不低于5年。
招生院系(或项目)有特殊说明的除外。
三、“直博”报考办法根据教育部研究生招生工作的有关规定,XX大学通过推荐免试方式接收全国优秀应届本科毕业生为直接攻读博士学位研究生。
(一)申请人基本条件1.拥护中国共产党的领导,愿为社会主义现代化建设服务,品德良好,遵纪守法;2.获得所在学校推荐免试资格。
(二)报名我校每年9月上旬发布年度“接收推荐免试研究生办法”,申请人可以依据“接收推荐免试研究生办法”及院系具体要求进行网上报名、提交相关申请材料。
申请流程大致为:1.XX大学研招网报名申请人须在报考院系规定的时间内通过XX大学研招网报名,并在报考院系有关工作通知要求的截止时间前完成所有申请事项。
2.申请材料寄送申请人在院系规定的截止日期之前,将全部申请材料(统一使用A4纸)装入自备的信封,直接寄(送)达所报考院系研究生教务办公室(各院系具体联系方式见XX大学研招网-联系信息栏目),逾期不再受理。
申请材料一经收到,不予退还。
3.教育部推免系统报名教育部“全国推荐优秀应届本科毕业生免试攻读研究生信息公开暨管理服务系统”通过院系组织的复试并获得我校待录取资格的申请人,应在推免服务系统开通后,按照教育部的要求,登录推免服务系统,在系统中注册和填写基本信息,完成网上报名、报名费支付、复试确认和待录取确认等环节。
重庆大学2019年在职人员攻读硕士学位研究生招生简章重庆大学作为国内著名的高水平大学之一,一直以来都在为培养高素质专业人才而不懈努力。
为满足社会和个人发展的需求,重庆大学每年会开展在职人员攻读硕士学位研究生招生。
下面我们来详细了解一下该项目的报考入口、报名条件、报考时间及考试科目等方面内容。
一、报考入口重庆大学在职人员攻读硕士学位研究生招生,其入口主要包括三个渠道:1. 统一招生考试报名入口:在相关招生平台为“重庆大学推荐免试研究生(在职)”进行报名。
考生在报名时填报报考职位,可以选择报考研究生招生录取办法第四条和第五条的人员。
2. 成人高考招生入口:在重庆市人防局、重庆市教育考试院网站进行成人高考报名。
3. 单招入口:在相关招生平台为“重庆大学推荐免试研究生(在职)”进行报名。
二、报名条件报考重庆大学在职人员攻读硕士学位研究生,需要满足以下条件:1. 具有中华人民共和国国籍,拥有相应的学士学位或举国英才计划人才、中青年拔尖人才计划人才、万人计划学者经认定者等人员;2. 工作年限在3年以上;3. 考生本人所在的单位或者院校必须要提供招受单位同意允许该考生在校学习和在规定期限内完成学业的书面证明;4. 具有拥有硕士研究生入学考试合格证书(含学硕、专硕)或国内外具有与本校硕士研究生入学资格相当的招生单位颁发的硕士研究生入学证明。
三、报考时间目前,重庆大学在职人员攻读硕士学位研究生招生已经开始。
具体的报考时间为:2018年10月15日至11月16日,所有报名材料需在截止日期前提交。
四、考试科目在职人员攻读硕士学位研究生招生的考试科目主要包括两个部分:政治理论和专业课程。
其中政治理论是必考科目,专业课程的数量和考试时间根据专业不同而有所差异。
考试形式为笔试方式,具体考试时间、地点以考生考试通知为准。
实践环节根据专业不同,主要包括毕业论文、实践报告等。
综上所述,重庆大学在职人员攻读硕士学位研究生招生,是帮助优秀在职人士实现从业务能力到学术思维的转化,从而在各自领域拥有更广泛的视野和较强的竞争力。
2024级硕士招生简章我校计划在2024年招收硕士研究生共计2700名,这个数字包含了推荐免试生、“退役大学生士兵”专项计划、联合培养计划等多种类型的招生。
在招生的硕士研究生中,全日制学术学位硕士研究生的名额为881名,全日制专业学位硕士研究生的名额为1734名,另外还计划招收非全日制硕士研究生85名。
需要注意的是,以上的招生计划只是我校的初步计划,正式的招生计划还需要以教育部下达的2024年招生计划为准。
对于想要报考我校硕士研究生的同学,建议提前了解我校的招生政策和要求,并根据自己的实际情况和专业背景选择合适的报考类型和研究方向。
同时,也需要认真准备考试和申请材料,以提高自己的竞争力。
关于我校2024级硕士招生,以下是对招生简章进一步的详述:一、报考条件1.我国公民,拥护中国XXX的领导,品德良好,遵纪守法。
2.身体健康状况符合国家和招生单位规定的体检要求。
3.考生学业水平必须符合下列条件之一:国家承认学历的应届本科毕业生(含普通高校、成人高校、普通高校举办的成人高等学历教育应届本科毕业生)及自学考试和网络教育届时可毕业本科生。
考生录取当年入学前必须取得国家承认的本科毕业证书或教育部留学服务中心出具的《国(境)外学历学位认证书》,否则录取资格无效。
具有国家承认的大学本科毕业学历的人员。
获得国家承认的高职高专毕业学历后满2年(从毕业后到录取当年入学前,下同)或2年以上的人员,以及国家承认学历的本科结业生,符合我校根据培养目标对考生提出的具体学业要求的,按本科毕业同等学力身份报考。
已获硕士、博士学位的人员。
二、报名及考试1.考生应在规定时间内登录“中国研究生招生信息网”进行报名。
报名时应按要求如实填写个人信息,并上传本人近期正面免冠证件照。
2.报名成功后,考生应在规定时间内到指定地点进行现场确认,确认时需携带本人有效身份证件、学历证书等相关材料。
3.考试分为初试和复试两个阶段。
初试为全国统一考试,考试科目及时间由国家教育部统一规定;复试由我校自行组织,具体时间和地点将在我校研究生招生官网上公布。
2020-2021重庆大学新闻与传播(专硕)考研参考书、招生目录、考研经验、复试分数线汇总本文将由新祥旭考研吴老师对重庆大学新闻与传播专业考研进行解析,主要有以下几个板块:重庆大学的介绍,学院专业的介绍,考研科目介绍,考研参考书目,近三年录取情况分析,及重庆大学新闻与传播专业备考经验等几大方面。
重庆大学新闻学院1998年,重庆大学成立人文艺术学院,恢复汉语言文学专业,新设广播电视新闻学专业。
2004年,获得新闻学、传播学、广播电视艺术学三个二级学科硕士学位授权点;2006年,获新闻传播学一级学科授权点,同年新闻学成为重庆市拟建设重点学科。
新闻学院现有新闻学、广播电视学两个本科专业,拥有新闻传播学一级学科硕士授权点、新闻与传播专业学位硕士点,自主设置新闻法学二级学科博士点,初步形成本-硕-博的新闻传播人才培养体系。
近五年来,学院教师先后主持省部级以上科研项目33项,其中教育部重大课题1项,国家社科基金项目9项,国家社科基金重大项目子课题、教育部重大课题子课题各1项,教育部社科规划项目4项,重庆市社科规划项目17项;主持重庆市教改课题11项。
一、重庆大学新闻与传播考研招生目录招生院系:新闻学院招生专业:055200新闻与传播(专业学位)招生人数:51人,拟推免35人研究方向:01 新闻采编业务02 广播电视新闻03 网络与新媒体05 编辑与出版06 广告与公关07 媒介经营与管理考试科目:① 101思想政治理论② 204 英语二③ 334 新闻与传播专业综合能力④ 440 新闻与传播专业基础复试专业课:1、外语听力、口语;2、专业综合笔试、面试。
同等学力等加试科目:1、新闻评论;2、新闻采写。
二、重庆大学考研参考书目334 新闻传播学综合知识《西方新闻事业概论》李良荣复旦大学出版社《传播学教程》郭庆光中国人民大学出版社《20世纪中国新闻学与传播应用新闻学卷》单波复旦大学出版社《新闻传播学》黄旦浙江大学出版社440 新闻传播学专业基础《新闻评论教程》(第二版)马少华高等教育出版社《网络新闻传播学》董天策等福建人民出版社《广播电视新闻学》(第二版)李岩高等教育出版社《有效的公共关系》(第八版)[美] 卡特李普和森特等明安香译华夏出版社《国际新闻采编实务》马胜荣北京师范大学出版社《新闻采访写作教程》李希光、孙静惟、王晶清华大学出版社《当代广告学》威廉阿伦斯丁俊杰译,华夏出版社三、重庆大学新闻与传播复试分数线(近三年)四、2018年重庆大学考研真题334 新闻传播学综合知识一、名词解释精确新闻学新闻侵权H5新闻Buzzfeed《世界大战中的宣传技巧》二、简答题1.结合实例谈谈你对媒介生态中新闻价值的看法。
矿产资源开发利用方案编写内容要求及审查大纲
矿产资源开发利用方案编写内容要求及《矿产资源开发利用方案》审查大纲一、概述
㈠矿区位置、隶属关系和企业性质。
如为改扩建矿山, 应说明矿山现状、
特点及存在的主要问题。
㈡编制依据
(1简述项目前期工作进展情况及与有关方面对项目的意向性协议情况。
(2 列出开发利用方案编制所依据的主要基础性资料的名称。
如经储量管理部门认定的矿区地质勘探报告、选矿试验报告、加工利用试验报告、工程地质初评资料、矿区水文资料和供水资料等。
对改、扩建矿山应有生产实际资料, 如矿山总平面现状图、矿床开拓系统图、采场现状图和主要采选设备清单等。
二、矿产品需求现状和预测
㈠该矿产在国内需求情况和市场供应情况
1、矿产品现状及加工利用趋向。
2、国内近、远期的需求量及主要销向预测。
㈡产品价格分析
1、国内矿产品价格现状。
2、矿产品价格稳定性及变化趋势。
三、矿产资源概况
㈠矿区总体概况
1、矿区总体规划情况。
2、矿区矿产资源概况。
3、该设计与矿区总体开发的关系。
㈡该设计项目的资源概况
1、矿床地质及构造特征。
2、矿床开采技术条件及水文地质条件。