2020美国大学托福成绩要求:纽约大学:纽约大学sat要求
- 格式:docx
- 大小:12.59 KB
- 文档页数:1
上纽大申请条件
纽约大学的申请具有许多因素,为帮助学生们正确申请,我们将在本文中详细探讨纽
约大学的申请条件。
一、资格和GPA要求
纽约大学高等教育部门希望申请者们至少高中毕业,但不要求完成英语四六级考试。
纽约大学要求申请者有一个稳定的GPA,根据申请者的不同情况,GPA的下限有所变化,
总的来说,GPA最低要求为2.0。
二、考试成绩
纽约大学还要求申请者提交SAT或ACT的成绩。
SAT成绩不低于1200分或相应的ACT
考试至少达到26分。
另外,有些大学要求申请者提交AP或IB成绩申请,纽约大学也需
要所申请者提交适当的考试成绩来证明其申请者的资格。
三、文书要求
纽约大学需要申请者提交有关个人背景的500字的文书,证明申请者的学业成就、兴
趣爱好和参加活动的能力,以及申请者的个人奋斗的故事。
除此之外,纽约大学还要求申
请者提交两份推荐信,通常是教师或是雇主给予的良好评级。
四、申请费
纽约大学的申请费通常为80美元,但支付申请费不是必须的,根据申请者的具体情况,可以向纽约大学申请费用减少或免除。
以上就是纽约大学的申请条件。
如果申请者满足上述所有要求,他们就可以尽快申请,获得期望的录取通知。
在申请过程中,学生们需要重视准备,多看信息及把握机会,这样
才能在纽约大学成功获得录取!。
纽约大学申请条件纽约大学(NYU),位于纽约市曼哈顿,是一所享有盛誉的私立研究型大学。
作为全球著名的大学之一,纽约大学在商学、法学、国际关系、传媒等领域具有很高的声望,是众多学生梦想中的名校之一。
以下是纽约大学本科生申请条件的详细介绍。
1. 学习成绩要求申请者需要提交他们的高中成绩单,包括各门课程的成绩和排名。
纽约大学没有强制要求申请者的最低成绩,但是学习成绩是影响申请结果的重要因素。
此外,申请者必须参加SAT或ACT考试,并提交官方成绩单。
2. 语言水平要求所有非英语母语国家的学生必须参加TOEFL或IELTS考试,以证明其英语水平达到纽约大学入学要求。
纽约大学的TOEFL最低要求是100分,IELTS最低要求是7分,也可以通过参加大学的英语培训课程来满足这一要求。
3. 文书要求纽约大学要求申请者提交一篇关于自己经历、兴趣和目标的个人陈述,或者是一篇回答指定题目的申请论文。
此外,申请者还需要提供两封推荐信,推荐人可以是老师、辅导员、雇主、教练等。
4. 课外活动纽约大学希望看到申请人超出课堂学习,积极参与社区服务、体育活动、文化艺术等领域的经历。
申请者需要在申请时提供课外活动的详细介绍和所获得的相关荣誉。
5. 其他因素纽约大学鼓励从多个角度展示申请人的全面素质。
除了学习成绩、语言水平、申请文书和课外活动外,申请人还可以提交其他的材料,如SATII成绩、竞赛获奖证书、研究经历、实习经验等,以帮助评估者更好地了解申请人的全貌。
总的来说,申请者需要在多个方面展现自己具有良好的学习能力、个人素质和适应大学生活的能力。
除了满足上述基本要求外,必须在个人申请材料中尽可能体现自己的特点和亮点,才能在竞争激烈的申请中脱颖而出。
2020美国本科学历托福要求多少分通常都会对国际生都会有一条EnglishProficiencyTesting,即英语能力考试的规定:母语非英文,而且并没有在全英文环境下(一般美高要求上够两到三年可免托福)上课的学生需要提交托福成绩。
1、PrincetonUniversity本科:未给出申请最低托福分数要求,在本科生录取页面上已经明确提出,该校不设置最低GPA、排名和各类考试成绩要求,而是衡量综合情况。
2、HarvardUniversity本科:并不对语言考试做硬性要求,也就是说申请人可以不提交语言考试成绩,但你的语言水平会反映在SAT考试等部分。
不过,哈佛对语言水平的要求不低,“在哈佛,对英语的深厚知识是学业成功必不可少的一部分,它包括能够快速准确地理解并表达想法。
”3、YaleUniversity本科:托福最低录取分数为100分4、ColumbiaUniversity哥伦比亚大本科:托福最低录取分数为100分。
4、StanfordUniversity本科:不对托福成绩提交作硬性要求,但强烈建议提供。
斯坦福本科招生办强调:招生办未与任何付费中介或认证服务机构有合作。
希望所有学生自己完成申请,不使用这些服务。
4、(UniversityofChicago)本科:托福最低录取分数为100分。
7、MassachusettsInstituteofTechnology8、DukeUniversity本科:托福最低录取分数为100分。
8、UniversityofPennsylvania本科:有竞争力的申请人的托福成绩在100分以上,其中听说读写各单项不能有某门过低。
建议申请人尽量提供托福成绩。
10、CaliforniaInstituteofTechnology本科:只接受托福成绩,未给出最低托福分数要求10、JohnsHopkinsUniversity本科:托福成绩要求26(Reading),26(Listening),22(Writing),and25(Speaking)。
美国大学托福要求多少分根据统计发现,美国名校对中国学生的录取率逐年递减,同时伴随着申请人数的逐年递增,表明了对于托福成绩要求的日益提高。
下面是太傻咨询小编给大家总结了美国一些大学对于托福的要求:Top50-59 美国大学托福成绩要求如下:● University of Florida:没有硬性分数要求● George Washington University :100● Ohio State-Columbus:100● Tulane:89● University of Texas-Austin:79● University of Washington:92● Fordham University: 90● Pepperdine University: 94● University of Connecticut:79● Sothern Methodist University:80托福平均要求的成绩为:89最高要求:100最低要求:79Top 60-69 美国大学托福成绩要求:● Uni versity of Georgia: 80● Brigham Young-Provo: 85● Clemson University:没有硬性要求● Syracuse University: 85-100 取决于专业和学院● University of Maryland-College Park:没有硬性要求,取决于学院● University of Pittsburgh: 80● Worcester Polytechnic Institute: 84● Purd ue University-West Lafayette: 88 (Listening 16, Writing 18, Speaking 18,Reading 19)● The State University of New Jersey – New Brunswick:没有具体要求● Texas A&M University: 80托福平均要求的成绩为:83最高要求:88(100 针对特殊学院要求)最低要求:80Top 70-79 美国大学托福成绩要求:● University of Minnesota-Twin Cities: 79● Virginia Tech: 90● Michigan State University: 79● University of Iowa: 80( 各科不能低于17)● American University: 80● Baylor University: 76● Clark University: 70● Indiana University-Bloomington: 79● Marquette University:没有硬性要求● Miami University-Oxford:没有硬性要求● University of Delaware: 90托福平均要求的成绩为:80最高要求:90最低要求:70成绩分析:总体来看,托福要求分数整体上是提高了。
申请ast考试的条件
AST考试通常是指申请美国大学的国际学生需要参加的考试,以下是申请AST考试的条件:
1. 国际学生:AST考试主要是针对非美国公民的国际学生,
包括高中毕业生、大学转学生等。
2. 托福/雅思成绩:申请AST考试的学生需要提供符合要求的
托福或雅思成绩。
一般来说,托福IBT成绩要求在70分以上,雅思成绩在6.0以上。
3. 学术要求:申请AST考试的学生需要具备相应的学术能力
和知识储备,通常需要完成高中毕业课程或具备与之相当的学术背景。
4. 学术过程:申请AST考试的学生需要在申请过程中提供相
应的材料,包括申请表、成绩单、推荐信、个人陈述等。
5. 财务能力:美国大学申请过程中一般需要证明申请者拥有足够的财务能力支付学费和生活费用,一般需要提供资金证明文件。
6. 其他要求:不同学校可能有不同的申请要求和条件,申请者需要根据具体学校的要求进行准备和申请。
需要注意的是,不同学校对AST考试的要求和接受程度可能
有所不同,申请者应该提前了解并满足所申请学校的要求。
纽约大学本科及研究生录取条件申请纽约大学干货分享纽约大学本科录取条件纽约大学本科被录取新生的SAT阅读均分:610-710,数学均分:630-740,写作均分:620-720;ACT综合均分为28-32。
纽约大学认可多种考试成绩,包括中国高考成绩。
纽约大学研究生录取条件1. 语言条件,对于纽约大学研究生大局部学院专业要求托福100+,雅思7.0分但是对于理工学院和工程学院的专业托福80+,雅思6.5分是最低要求。
2. 标准化成绩,纽约大学研究生申请是需要提交标化成绩的,主要是指GRE,GMAT,LAST,MCAT,对于成绩没有明确的最低要求但是分数还是越高越好。
对于GPA最低在3.5分但是录取学生平均GPA在3.7左右。
3. 假如是申请纽约大学研究生帝势学院专业可能需要提交额外的艺术作品论文和作品集。
4. 申请纽约大学研究生的文书材料包括论文,个人简历,推荐信3封,个人陈述和本科学位学历证书,毕业证,留学存款证明。
5. 假如申请纽约大学研究生商学院专业需要有工作经历,假如是医学院研究生专业注重志愿者之类的课外活动经历。
第一,首先知道申请日期和申请策略。
千万不要错过截止日期Early Decision - 2023-11-1Early Decision II - 2023-1-1Regular Decision - 2023-1-1第二,绝不能随意瞎选校区、学院与专业首先,申请表格会随着校区、学院的选择不同而有所变化。
假设你只选了NYU主校区,同时只选择了Stern商学院,那么假如被回绝,根本就是没有时机录取了,除非个别时候招生办会额外发邮件询问你能否承受其他校区或者学院录取〔不过这总情况极少〕。
也就是说你要权衡你的综合情况〔包括但不限于分数、兴趣、背景等〕和申请形势,来断定你的位置,否那么可能就歇菜了。
还有一些学院和专业,尽管没有Stern 这么强竞争,但是也极其危险。
这并不是让大家都去选择冷门专业或者undecided,而是你得把握好这个度。
美国排名前30的⼤学留学成绩申请要求 店铺⼩编为⼤家介绍美国排名前30的⼤学留学成绩申请要求,希望对店铺的同学有所帮助。
想了解更多留学精彩内容,店铺为你详细解答。
美国⼤学TOP30留学申请对成绩的要求: ⼀般情况下,TOP30的院校托福成绩的要求是⾼于105分,SAT的成绩是⾼于2000分;TOP50的院校托福成绩的要求是⾼于90分,SAT的成绩是⾼于1800分。
哈佛⼤学 要求参加的考试:SAT1或者ACT带加写作 SAT2 两科 SAT分数要求:SAT1每部分650-800 是否要求参加托福雅思:没有要求 SAT2考试科⽬的选择:不要选择两门数学 成绩提交最晚期限:申请EA:10⽉份截⽌申请RA:1⽉份截⽌ 普林斯顿⼤学 要求参加的考试:SAT1或者ACT带加写作 SAT2 两科 SAT分数要求:没有要求 是否要求参加托福或雅思:没要求 SAT2考试科⽬的选择:如申请B.S.E.物理或化学和数学两科 成绩提交最晚期限:12⽉之前提交成绩 耶鲁⼤学 要求参加的考试:SAT1和SAT2两科 ACT附加写作 SAT分数要求:SAT1每部分700-800 是否要求参加托福或雅思:托福、雅思或者PTE 成绩提交最晚期限:通过申请单选择早期⾏动 哥伦⽐亚⼤学 要求参加的考试:SAT1或者ACT,两者任选⼀ SAT分数要求:SAT1每部分680- 770 ACT分数要求:29-34 是否要求参加托福或者雅思:IELTS:7 IBT:100 成绩提交最晚期限:申请EA:November 1 斯坦福⼤学 要求参加的考试:需要参加SAT或者ACT SAT分数要求:SAT1 每部分660 - 760 是否要求参加托福或者雅思:建议提交托福成绩 成绩提交最晚期限:申请EA:1⽉1⽇截⽌ 宾⼣法尼亚⼤学 要求参加的考试: SAT1+SAT2两科或ACT带写作SAT分数要求:SAT1 每部分660-770 ACT分数要求:ACT composite 30-34 成绩提交最晚期限:ED :November 15 RD: January 1 加州理⼯学院 要求参加的考试:SAT1数学和写作或ACT写作部分 是否要求参加托福或者雅思:建议参加托福考试 SAT2考试科⽬的选择:数学+⽣物/化学/物理 成绩提交最晚期限:EA:10⽉截⽌ ⿇省理⼯学院 要求参加的考试:SAT1或者ACT或者toefl SAT 2的两科 SAT分数要求:SAT1 每部分 680-780 SAT2考试科⽬的选择:数学+物理/化学/⽣物 成绩提交最晚期限:Testing 达特茅斯学院 要求参加的考试: 两个SAT科⽬考试,或ACT写作 SAT分数要求:SAT1 每部分 660- 770 是否要求参加托福或雅思:托福或者雅思 成绩提交最晚期限:ED : November 1 杜克⼤学 要求参加的考试:SAT 1和SAT 2或者ACT 带写作考试 SAT2考试科⽬的选择:如果申请普拉特⼯程学院,SAT2必须有⼀科是考数学。
美国不同层次的大学对TOEFLSAT的具体要求美国大学在世界大学的排名中占据席位是最多的,泰晤士高等教育排名中排前十的学校有七所是美国的大学,排名前50的院校中有三十所。
其高质量的教育环境和教育体系吸引了很多中国家长。
国内很多家长为了让孩子出国读一所名牌大学,都不遗余力的敦促孩子考出很高的托福和SAT成绩,练就各种特长、参加形形色色的课外活动,其压力一点也不必在国内参加高考小。
美国大学的录取流程极其繁琐,它对学生的方方面面都有考量,比如学生的实践能力、个人才学、德行及信用、语言能力等等,然而,这其中最重要的托福和SAT是每位学生必须拿下的,因为这两项指标在很多人看来是申请名校的敲门砖。
下面就来看看综合排名在不同层次的大学对TOEFL&SAT的具体要求。
美国大学排名Top10名校本科申请要求托福105+,SAT2010+;托福能达到110分,sat2100分为佳。
想进入前10名的美国大学,TOEFL和SAT1分数真的是一块及其重要的敲门转。
提醒一下,任何申请人被某个前十名的美国大学拒绝录取都不是意外,很多SAT1分数达到2300以上的人未能获得前十名的美国大学录取,很可能是因为高分而忽略了其他方面,尤其是课外活动的策划和申请文书。
美国大学排名Top20名校本科申请要求:IBT100,SAT2000,最低不低于托福90,sat1900.这个层次比较有竞争力的分数还是要达到105,sat2000为佳。
美国大学排名Top30名校本科申请要求:IBT100+,SAT1900+,最低不低于托福90,sat1800.这个层次的学校申请难度比T op20不小太多,但是如果学生有非常棒的课外活动和出彩的申请文书,托福90分,sat1800分也不是没有可能。
美国大学排名Top30-50名校本科申请要求:IBT90+,SAT1800,最低不低于托福80,sat1700.这个层次的学校,比较稳妥的分数要达到:IBT90,SAT1800,提醒大家的是这个层次很多分数较高的学生选择作为保底选择,所以提醒中国学生申请的时候保底不要选得过高和冒险。
美国本科学习托福成绩要求及申请条件一览表美国本科学习托福成绩要求及申请条件一览表一、美国留学托福要求普林斯顿:未能申请*低托福或推送分数;普林斯顿大学本科录取页上明确说明,该校不设*低GPA和各种考试分数,而是衡量综合情况。
哈佛大学本科生:哈佛大学对语言考试没有硬性要求,也就是说申请人不能提交语言考试成绩,但是你的语言水平会体现在SAT等部分。
然而,哈佛对语言水平的要求并不低。
耶鲁大学本科项目:申请人需要有托福* 100分的低录取分数。
哥伦比亚大学本科项目:申请人要求托福*低录取分数为100分。
斯坦福本科:托福成绩提交不是强制性的,但强烈推荐。
芝加哥大学本科课程:申请人必须有托福* 100分的低录取分数。
麻省理工学院本科申请有两种选择:1.可以不考托福,但必须有SAT或ACT成绩加两个SAT科目考试,其中一个是一年级或二年级数学,另一个是理科(物理、化学、生物);2.考托福,加两个SAT科目考试,其中一个是一级或二级数学,另一个是理科(物理、化学、生物);托福*的录取分数较低,为90分,但麻省理工学院建议申请人的托福总分不应低于100分。
杜克大学本科项目:申请人需要有托福* 100分的低录取分数。
宾夕法尼亚大学本科:竞争型申请人托福成绩不低于100,其中听说读写不能太低。
建议申请者提供托福成绩。
加州理工大学本科:只接受托福成绩,不给予托福成绩*低要求。
约翰霍普金斯大学本科:托福成绩要求阅读和听力至少26分,学习和做至少22分,口语至少25分。
如果申请人SAT理性考试的批判性阅读成绩至少670分,或者ACT考试和英语考试成绩达到30分,托福成绩可以免考。
达特茅斯学院本科:接受托福和雅思成绩,大部分录取学生托福总分都在100分以上。
西北大学本科:接受托福、雅思成绩,对语言成绩要求不高。
只有有竞争力的申请者在托福听、说、读、写各方面都有较高的分数。
布朗大学:SAT批判性阅读成绩在650分以上的申请人无需提供托福成绩;托福和雅思都可以,本科希望申请人托福总分不低于100分。
纽约大学本科录取条件有哪些?
纽约大学有18个学院中:法学院——全美第六;商学院——全美第十;医学院——全美第十九;教育学院——全美第二十;工学院——全美第四十六。
那么本科申请纽约大学有哪些条件呢?
纽约大学本科录取条件之成绩要求
雅思成绩要求:7
托福成绩要求:100
是否需要SAT或ACT成绩:需要
SATII成绩要求:三门
SAT成绩要求
SAT总分:1940-2230
SAT阅读:630-730
SAT数学:650-750
SAT写作:660-750
ACT最低分数
ACT总分22
纽约大学本科录取条件之GPA成绩新生平均GPA:3.58
纽约大学本科申请截止日期和申请费申请费:$70
申请截止日期:01月01日
提前录取(ED):11月01日
提前录取(ED2):01月01日
录取通知日:04月01日
全年滚动招生:No
纽约大学本科申请材料清单
申请表:在线填写/邮寄
附加申请表:Yes
奖学金申请方式:自动申请
成绩单要求:申请时提供原件+翻译件
推荐信:Noreferencerequirement
申请Essay:要求五篇以上
Mid-yearReport(高三上学期成绩):需要面试要求:不需要面试。
美国留学:纽约大学申请条件
纽约大学位于美国纽约市。
作为一所一流的学术机构,纽约大学拥有33名诺贝尔奖得主,3名阿贝尔奖得主,21名奥斯卡奖、艾美奖、格莱美奖、东尼奖得主,9名美国国家科学勋章获奖者,16名普利策奖得主,以及19名美国科学院勋章获奖者。
下面索引教育留学为大家带来纽约大学本科申请条件
在申请纽约大学时,国际学生申请的截止日期为1月1日(秋季),纽约大学本科录取时的最低TOEFL成绩要求为100分,去年录取的国际学生的平均TOEFL成绩为100分,纽约大学也可以接受IELTS成绩,成绩要求为7.5分。
纽约大学本科申请费为$70。
申请纽约大学需要SAT或ACT成绩,送分截止日期为1月1日,录取学生的平均SAT(Reading+Math)成绩为1330,录取学生的平均ACT成绩为29。
纽约大学设置有提前录取,提前录取截止时间为11月1日。
【更多相关留美申请知识请访问:】
/。
美国纽约大学需要达到多少分才能留学?有什么条件?纽约大学相信很多学生都听说过吧,全世界著名的大学之一,有着优质的教学水平及教学质量,在美国名声响亮,每年接收到的申请众多,那么今天店铺小编就给大家介绍美国纽约大学需要达到多少分才能留学?有什么条件?如果对这个话题感兴趣的话,欢迎点击。
美国纽约大学需要达到多少分才能留学?有什么条件?本科1、学历条件:高中毕业,成绩优秀,GPA:3.6。
2、语言条件:纽约大学要求TOEFL/IELTS/PTE/Duolingo English Test考试成绩。
TOEFL总分不低于100分,IELTS总分不低于7.5分,PTE总分不低于70分,Duolingo English Test总分不低于125分,四者均无单项分数要求。
3、双录取申请条件:托福总分在90-100分之间,雅思总分达6.0-6.5。
4、材料要求:高中毕业证书,成绩单,申请报名表格,雅思成绩单,个人陈述和推荐信。
研究生1、英语水平成绩要求TOEFL分数要求:某些部门需要研究生入学考试(GRE)普通考试。
IELTS分数要求:7.5及以上。
TOEFL分数要求:托福网考100分以上。
SAT分数:1450-1590分(阅读和写作:670-740、数学:700-800)。
ACT分数:31-36分。
多邻国英语测试:125分以上。
2、材料要求:需要四年学习的大学学位,成绩单,目的声明,任何院系要求的额外文件,简历,推荐信,80美元(不可退还的申请费或费用减免请求),英语语言测试成绩。
申请纽约大学需要准备的材料:1、高中毕业证书。
2、中英文版在校成绩单。
3、申请报名表格。
4、雅思与托福的语言成绩单。
5、个人陈述和推荐信。
根绝美国大学官网录取数据的介绍,历年录取的学生中,分数主要集中在以下范围:1.录取概况:第一年总入学人数:5,723。
2.录取分数分布:一年级SAT综合成绩的中间50%范围:1350到1530;一年级SAT阅读和写作成绩的中间50%范围:680到760;一年级数学成绩的中间50%范围:700到800;一年级ACT分数的中间50%范围:31至35;一年级录取人数最多的高中毕业班排名占到了前10名%;大多数第一年的典型未加权GPA达到了3.7。
1.Princeton University普林斯顿大学本科:未给出申请最低托福分数要求2. Harvard University哈佛大学本科:哈佛大学并不对语言考试做硬性要求,也就是说申请人可以不提交语言考试成绩,但你的语言水平会反映在SAT考试等部分。
不过,哈佛对语言水平的要求不低,“在哈佛,对英语的深厚知识是学业成功必不可少的一部分,它包括能够快速准确地理解并表达想法。
”3.Yale University耶鲁大学本科:托福最低录取分数为100 分4.Columbia University哥伦比亚大学本科:托福最低录取分数为100分。
5 Stanford University斯坦福大学本科:不对托福成绩提交作硬性要求,但强烈建议提供。
5 芝加哥大学(University of Chicago)本科:托福最低录取分数为100分。
7 Duke University杜克大学本科:托福最低录取分数为100分。
7麻省理工学院 Massachusetts Institute of Technology本科:托福最低录取分数为100分。
7 University of Pennsylvania宾夕法尼亚大学本科:有竞争力的申请人的托福成绩在100分以上。
10 California Institute of Technology加州理工学院本科:只接受托福成绩,未给出最低托福分数要求10 Dartmouth College达特茅斯学院本科:托福或雅思成绩均接受 大多数被录取的学生的托福总成绩在100分以上。
12 Northwestern University西北大学本科:托福或雅思成绩均接受 不设立最低语言成绩要求 但是展示出较高英语能力的申请人的平均托福成绩在105分以上。
12 Johns Hopkins University 约翰霍普金斯大学本科:托福成绩要求:26 (Reading), 26 (Listening), 22 (Writing), and 25 (Speaking)如果申请人的SAT Reasoning Test的Critical Reading部分成绩在670分以上,托福成绩可以免除。
纽约大学申请条件将要申请纽约大学的各位同学,首先需要了解该校的申请条件。
纽约大学是美国一所世界知名的私立研究型大学,其拥有多个校区,位于纽约市曼哈顿、布鲁克林以及阿布扎比等地。
以下是申请纽约大学的条件:一、高中成绩纽约大学对于申请者的高中成绩有着相对较高的要求,最佳的申请成绩是GPA 3.5(满分4分)及以上。
在申请过程中,需要提交正式的高中成绩单,该成绩单需要由高中校方直接发送至该校招生办公室。
二、标准化考试除了高中成绩外,申请者还需要参加SAT或ACT标准化考试,其中SAT或ACT成绩至少需要达到纽约大学的最低要求。
同时,如果申请者所在国家还有其他适用的标准化考试,如国际考试,也可同时参加。
三、语言成绩对于母语非英语的申请者,还需提供英语语言水平证明,如TOEFL或IELTS成绩报告。
其中,纽约大学对于托福成绩要求至少100分,对于雅思成绩要求至少7.0分。
同样地,申请者在提交成绩单时,也需要注意由官方机构直接发送成绩报告。
四、申请材料申请材料也是申请纽约大学过程中非常重要的方面,它包括以下内容:1. 申请表格:在纽约大学网站上在线提交。
2. 成绩单和标准化考试成绩:需要由高中和标准化考试机构直接提交。
3. 推荐信:至少需要一封推荐信,由教师或指导员撰写。
4. 个人陈述:需要撰写一篇关于自己的个人陈述,介绍自己的成就、经历和未来规划。
5. 面试:纽约大学校方也会要求一部分申请者进行面试。
需要注意的是,面试并不是所有的申请者都会被要求参加的。
五、其他条件除了上述条件外,纽约大学还要求申请者提交一份申请费用,该费用为申请材料处理费,需要在申请过程中缴纳。
此外,纽约大学也会对申请者的个人信息和历史记录进行核查,确保申请者的所提交的材料和信息真实有效。
总的来说,申请纽约大学需要迈过很多关卡,需要申请者攻克考试、准确填写申请材料、提交正式成绩单等等。
但只要申请者足够努力,积极准备,具备足够的英语水平和高中成绩,便有机会成为纽约大学的一员。
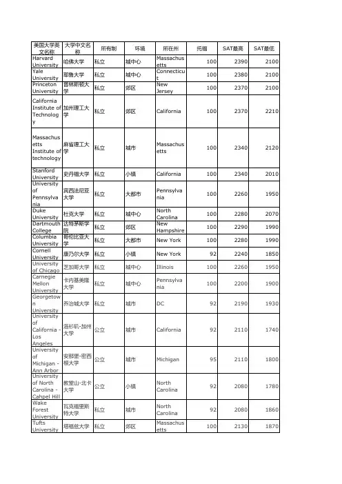
美国本科TOP100大学对托福和sat 成绩要求美国大学英文名称大学中文名称 所有制环境托福 SAT 最高 SAT最低Harvard University 哈佛大学 私立 城中心 100 2390 2100Yale University 耶鲁大学 私立 城中心 100 2380 2100Princeton University普林斯顿大学私立 郊区 100 2370 2100 California Institute ofTechnology加州理工大学私立 郊区 100 2370 2210 Massachusetts Institute oftechnology麻省理工大学私立 城市 100 2340 2120 Stanford University史丹福大学私立小镇 100 2340 2010 University of Pennsylvania 宾西法尼亚大学 私立 大都市 100 2260 1950Duke University 杜克大学 私立 城中心 100 2280 2070Dartmouth College 达特茅斯学院 私立郊区 100 2290 1990 Columbia University 哥伦比亚大学 私立 大都市 100 2280 1990Cornell University 康乃尔大学 私立小镇 92 2240 1850 University of Chicago芝加哥大学私立 城中心 100 2260 1950Carnegie Mellon University 卡内基美隆大学 私立 城中心 100 2200 1900Georgetown University乔治城大学私立 城市 92 2190 1930 University of California -Los Angeles洛衫矶-加州大学公立 城市 92 2110 1740 University of Michigan - AnnArbor安那堡-密西根大学公立 城市 95 2110 1800 University of North Carolina- Cahpel Hill教堂山-北卡大学公立 小镇 92 2080 1780 Wake Forest University 瓦克福里斯特大学 私立城市 92 2080 1860 Tufts University塔福兹大学私郊区 100 2130 1870立College of William and Mary 威廉玛莉学院公立郊区100 2160 1890Brandeis University 布蘭迪斯大学私立郊区100 2160 1870University of California - San Diego 圣地牙哥-加州大学公立郊区 92 2020 1710New York University 纽约大学私立大都市100 2110 1810University of Rochester 罗徹斯特大学私立郊区 92 2100 1810Northwestern University 西北大学私立郊区100 2220 1960Rice University 莱斯大学私立大都市100 2290 1990Brown University 布朗大学私立城中心100 2250 1950Johns Hopkins University 约翰霍普金斯大学私立大都市100 2200 1930Washington University in St.Louis 圣路易-华盛顿大学私立城市 92 2220 1980Emory University 艾摩利大学私立郊区 92 2190 1950University of Notre Dame 圣母院大学私立城市 92 2190 1900University of California - Berkeley 柏克莱-加州大学公立城中心92 2160 1780University of Virginia 维吉尼亚大学公立城市100 2140 1840Vanderbilt University 范德毕特大学私立城中心95 2200 1870Georgia Institute of Technology 乔治亚理工学院公立大都市100 2170 1870University of Southern California 南加州大学私立大都市100 2130 1870University of Wisconsin - Madison 麦迪逊-威斯康辛大学公立城市 92 2050 1720Boston College 波士顿学院私立郊区100 2100 1840Case Western Reserve University 凯斯西方保留区大学私立大都市92 2140 1830Lehigh University 李海大学私立城市 95 2070 1830University of California - 戴维斯-加州大学公郊区 83 1950 1620Davis 立 University of California - Irvine 尔湾-加州大学公立 城市 92 1950 1620 University of Illinois - Urbana-Champaign 犹巴拿-乾宾伊利诺州立大学 公立 城中心92 2110 1780 Pennsylvania State University - University Park 大学园-宾州大学公立郊区 92 1950 1630 Tulane University 杜蘭大学私立城市 92 2140 1950 University of California - Santa Barbara 圣塔芭芭拉-加州大学公立城市 92 1950 1620 University of Washington 华盛顿大学公立 大都市92 1960 1620 Pepperdine University 拍坡丹大学私立郊区 92 2010 1690 Rensselaer Politechnic Institute 伦斯勒理工学院私立城市 95 2100 1830 University of Texas - Austin 奥斯丁-德州大学公立大都市92 2020 1650 Texas A&M University -College Station 学院站-德州 A&M 大学公立小镇 92 1950 1600 University of Florida 佛罗里达大学公立郊区 92 2010 1710 University of Minnesota - Twin Cities 双子城-明尼苏达大学公立 城中心 92 1990 1630 Ohio State University - Columbus 哥伦布-俄亥俄大学公立 大都市88 1930 1620 Purdue University - West Lafayette 西拉法叶-普度大学公立郊区 92 1890 1540 University of Georgia 乔治亚大学公立 城市 92 1950 1650 University of Iowa 爱荷华大学公立郊区 88 1950 1600 University of Maryland - College Park 学园-马里籣大学公立 郊区 96 2050 1750 Rutgers University - New Brunswick 纽布朗斯威克-罗格斯大学 公立郊区 92 1960 1810 Colorado School of Mines 科罗拉多矿业学院公立郊区 92 2020 1710 Indiana University - Bloomington 博明顿-印地安那大学公立城市 92 1830 1480 Miami University - Oxford 牛津-迈阿密大学公立郊区 88 1950 1690 University of California - 圣塔克鲁兹-加州大学 公小镇 92 1890 1540Santa Cruz立 University of Colorado - Boulder博达-科罗拉多大学公立 城市 83 1920 1620 University of Delaware 达拉瓦大学公立 小镇 92 1900 1630 Virginia Technology 维吉尼亚理工大学公立 乡村 92 1920 1660 Michigan State University 密西根州立大学公立郊区 92 1900 1530 North Carolina State University - Raleigh 拉雷-北卡州立大学公立 大都市92 1950 1650 State University of New York - Binghamton 宾汉顿-纽约州立大学公立 小镇 92 1980 1720 University of California - Riverside 河滨-加州大学公立 郊区 92 1780 1560 University of Missouri - Rolla 罗拉-密苏里大学公立小镇 92 1800 1560 Clemson University 克鲁森大学公立 乡村 92 1930 1680 Iowa State University 爱荷华州立大学公立 城中心83 1990 1620 University of Connecticut 康乃狄克大学公立 乡村 92 1890 1620 University of Pittsburgh 匹兹堡大学公立 城中心83 1960 1680 Auburn University 奥本大学公立 小镇 92 1830 1540 University of Kansas 堪莎斯大学公立 城市 83 1810 1530 Ohio University 俄亥俄大学公立 乡村 83 1800 1500 University of Arizona 亚利桑那大学公立城中心 83 1860 1480 University of Tennessee - Knoxville 纳许维尔-田纳西大学公立城中心87 1810 1500 Florida State University 佛罗里达州立大学公立城市 92 1870 1570 University of Massachusetts - Amherst 艾姆赫斯特-麻莎诸塞大学 公立郊区 92 1860 1540 University of New Hampshire 新罕布夏大学公立 乡村 92 1840 1650 University of Vermont 佛蒙特大学公立小镇 92 1870 1590 Washington State University 华盛顿州立大学 公乡村 87 1750 1420立Williams College 威廉姆斯学院私立乡村100 2260 1960Amherst College 艾姆赫斯特学院私立小镇100 2310 1980Swarthmore College 史华斯摩尔学院私立郊区100 2290 2010Carleton College 卡尔顿学院私立乡村100 2220 1950Pomona College 波摩那学院私立郊区100 2280 2080Wellesley College 威尔斯利学院私立小镇100 2170 1890Davidson College 大卫森学院私立郊区100 2160 1900Middlebury College 密度伯瑞学院私立乡村100 2230 2050Haverford College 哈窝福德学院私立郊区100 2170 1930Rose-Hulman Institute of technology 鲁斯-赫尔曼理工学院私立小镇 92 2110 1810Harvey Mudd College 哈维穆德学院私立小镇100 2320 2050Cooper union 库伯联合学院私立城中心100 2170 1870Bucknell University 巴克尼尔大学私立乡村 92 2050 1840Franklin W.Olin College of Engineering 富兰克林欧林工程学院富兰克林欧林工程学院私立城市100 2400 2080Webb Institute 维博学院私立郊区100 2200 2010。
美国纽约⼤学留学⼊学成绩要求及费⽤接受学校名称:所在位置:美国,70 Washington Square South, 12S New York, NY 10012 (212) 998-1212创建时间:1831QS排名:28USNEWS排名:30录取率:0.32学校中⽂⽹址: 纽约⼤学(New York University, 简称 NYU) ,成⽴于 1831 年,是全美最⼤的私⽴⼤学之⼀;也是美国唯⼀⼀座坐落于纽约⼼脏地带的名校。
所设课程压⼒不⼤,但要求甚⾼,学⽣称其 “not high pressure, but demanding” 。
⽽31名诺贝尔奖得主更是使纽约⼤学光芒四射,享誉世界。
⼊学成绩要求 gpa3.60 sat math 600-700 satreading 610-710 satwriting 610-710 sat总分 1800-2120 act29 录取⽐ 34.84% 录取⽐ 34.84% ⼤学部: toefl 213、gpa 3.6、读书计划、⾼中成绩单、英⽂财⼒证明、英⽂毕业证书、sat or act成绩、其余条件,依各科系⽽不同 研究所: toefl 213、gpa 3.6、读书计划、英⽂成绩单、英⽂财⼒证明、英⽂毕业证书、英⽂推荐函3封、其余条件,依各科系⽽不同 常规申请截⽌⽇期:1⽉1⽇ 纽约⼤学奖学⾦ 豪斯奖学⾦于1995年由纽约⼤学校友丽塔·豪斯(Rita Hauser)发起创建,颁发给就读纽约⼤学法学院的学⽣(包括法学硕⼠和法学博⼠)。
⼀次申请,终⾝受益——你在纽约⼤学法学院就读的每⼀年,都将获得豪斯奖学⾦的帮助,前提是你够优秀。
留学学费 Undergraduate: Annual Tuition: US$ 33,740 Room & Board: US$ 11,730 录取⽐例: Undergraduate: Regulear Decision 36% Early Decision 33% Undergraduates Freshman Profile Minimum Internet Based TOEFL: 100 Minimum Paper TOEFL: 600 Minimum Computer Based TOEFL: 250 Range SAT Critical Reading 600-700 Range SAT Math 610-710 Range SAT Writing 600-700 Average High School GPA: 3.6。
2020美国大学托福成绩要求:纽约大学|纽约大学
sat要求
纽约大学NewYorkUniversity纽约大学本科(Undergraduate)托
福成绩要求:100纽约大学研究生(Master)托福成绩要求:100纽约
大学工商管理硕士(MBA)托福成绩要求:100+纽约大学简介:纽约大
学(NewYorkUniversity),简称NYU,是一所位于美国纽约市的私立
研究型大学;也是美国一座坐落于纽约心脏地带的世界顶尖名校。
学
校于1831年成立,今日已经成为全美国境内规模最大的私立非营利
高等教育机构,在各类大学排名中均名列前茅,被列为新常春藤校
之一。
作为一所一流的学术机构,纽约大学目前拥有36名诺贝尔奖
得主,3名阿贝尔奖得主,9名美国国家科学奖章得主,16名普利
策奖得主,19名奥斯卡金像奖得主(全美大学中最多),此外还拥有
多名艾美奖、托尼奖、麦克阿瑟奖、古根海姆奖得主。
纽约大学较
为偏重人文艺术及社会科学,外如小约翰·菲茨杰拉德·肯尼迪、
鲁迪·朱利安尼、辜振甫、陈履安、马英九、李安、Ladygaga、艾伦·格林斯潘、朱立伦[1]等名人也皆为纽约大学的毕业校友。
纽约
大学由18个学院和研究所组成,集中于曼哈顿和布鲁克林下城。
斯
特恩商学院由于得到地灵人杰之助,是扉名世界的著名商学院,聚
集着世界最顶尖的人才;其金融,营销等专业在2010年度《商业周刊》(BusinessWeek),《经济学家》(TheEconomist),《金融时报》(FinancialTimes)等众多排名中皆位列前十,其中金融专业与EMBA
最获好评,均位列全美前3位。
QS世界排名:41USNEWS排名:32
泰晤士世界排名:38上海纽约大学(NYUShanghai)于2013年底建成,位于上海市浦东新区世纪大道1555号。
[2]纽约大学阿布扎比分校(NYUAbuDhabi)于2010年9月建成,位于阿拉伯联合酋长国首都阿
布扎比的萨迪雅特岛。