国家天文台20年开题报告成绩评审票[002]
- 格式:doc
- 大小:53.50 KB
- 文档页数:2
北京航空航天大学研究生课程考核与成绩管理办法校研函字〔2020〕19 号第一章总则第一条为进一步规范研究生课程考核与成绩管理,维护课程考核的科学性与成绩的准确性、严肃性,根据《普通高等学校学生管理办法》(教育部令第 41 号)和《北京航空航天大学研究生学籍管理规定》(北航研字〔2019〕14 号)有关规定,制定本办法。
第二条本办法适用于北京航空航天大学各类研究生课程以及各类培养环节。
第二章研究生课程考核方式第三条研究生课程考核分为考试和考查两类。
考核方式包括笔试、口试、课程论文和技能操作等。
基础及学科理论核心课程一般采用笔试考试方式。
第四条研究生课程考核应强调过程考核与结果考核相结合。
过程考核通常由作业、课堂讨论、文献选读报告、实验报告、课程论文与课程学术报告、出勤等组成,在课程考核成绩中所占比例应不少于 30%;任课教师应依据课程教学大纲明确课程考核方式和成绩构成,并在上课第一节课向学生公布。
第五条研究生课程,如有平行班,应当统一考核形式和标准,由不同任课教师共同命题,共同编制考卷,共同评阅试卷。
第六条研究生课程考试一般安排在课程教学结束后进行。
公共基础课程考试安排由研究生院公布,其他课程考试安排由开课学院确定,但须提前将考试安排报研究生院备案。
第三章研究生课程成绩记载第七条研究生在学期间所有选课及课程考核成绩逐一如实记载,并打印在成绩单上。
第八条免修免考课程,其成绩记录为“EX”。
第九条学分认定课程,其成绩记录为“T”。
第十条研究生一经选课,应按要求参加规定的教学活动。
凡未经免修批准,一门课程缺课课时累计达 1/3 者,或缺课程作业(含做实验)超过 1/3 者,取消课程考试资格,该课程成绩记为“F”。
第十一条学生只能获得已选课程的成绩及学分。
选课后在规定时间内未办理退选手续或未办理缓考手续而不参加课程考核,该课程成绩记为“F”。
第十二条学生重修后获得课程成绩,其成绩单应给予“R”标记。
第十三条研究生因转学或转专业,或研究生因退学等情况中止学业,研究生重新参加入学考试、符合录取条件,再次入学的,其在校学习期间所修课程成绩及已获得的学分,有效期为两年,可予以学分认定。
附件22016年云南省高职院校专业评估通用基本标准附件3云南省高职教育护理与会计2个专业试点评估标准2) 2016年会计专业试点评估标准附件42016年云南省高职院校专业评估数据表1.本次专业评价通过云南省高职院校专业数据库及信息平台(以下简称“专业信息平台”)填报相关数据。
2。
定量指标数据通过专业信息平台进行数据的采集并计算,质性指标材料通过专业信息平台进行上传。
3. 评审专家有权要求参评专业提供所需要的其他定性指标支撑材料,被要求提供支撑材料的学校在接到通知后24小时内,以扫描件形式提交。
目录第一部分:初始化信息 (20)1.举办学校 (20)2.专业 (20)3.学生 (20)4.教师 (20)第二部分评估指标 (21)1.专业培养目标 (21)1-1 专业简况 (21)1-2 专业培养方案 (21)1-3专业特色 (21)1-4 专业带头人简介(1名) (21)1-5 专业负责人简介(1名) (22)2.学生 (22)2-1招生计划 (22)2-2招生方式 (23)2-3 在校生情况 (23)2-4 学生职业发展规划 (23)2-5 学生职业能力与职业素质培养机会 (23)2-6 学生学习过程 (23)2-7 毕业生就业情况统计 (23)2-8毕业生就业单位类型 (24)2-9毕业生就业区域情况 (24)2-10 学生能力达成跟踪情况 (24)3-1教学经费投入情况 (25)3-2现有教学实验仪器设备(含软件)情况 (25)3-3校内实践基地情况 (26)3-4校外实践基地(合作企业)情况 (26)3-5 实验实训教学制度 (26)3-6 图书资料 (26)4. 课程体系 (27)4-1 专业课程 (27)4-2 各课程模块的学时比例 (27)4-3 理论课学分与实践学分比例 (27)4-4教学方法和手段的改革 (28)4-5 课程设置对能力要求的支撑关系 (28)4-6 教材建设 (29)4-7优秀核心课程案例(3门课程) (29)4-8专业教学计划 (29)4-9毕业考核要求 (29)5.师资队伍 (29)5-1 教师基本情况 (29)5-2 教师基本信息 (30)5-3教师发表的学术论文与教研论文情况(限20篇) (30)5-4教师获批专利情况 (31)5-5 教师出版专(编、译)著情况 (31)5-6 教师主持省级及以上教学改革与科研项目情况 (31)5-7 教师获得科研奖励情况 (31)5-8 教师队伍建设 (32)5-9 优秀专业教师简介(两名) (32)5-10 优秀兼职教师简介(两名) (32)6.社会服务 (32)6-1 专业团队技术服务能力 (32)6-2专业社会培训工作情况 (32)6-3 专业相关职业技能鉴定工作情况 (32)6-4 校企共建情况 (33)6-5 校企合作、工学结合情况 (33)6-6 顶岗实习运行报告 (33)6-7专业课程内容与职业标准对接 (33)6-8 学做一体的教学模式 (33)6-9 社会服务案例 (33)7.学习成果 (33)7-1 在校生综合能力情况 (33)7-2 学生关键职业能力培养情况 (34)7-3学生获得相关行业证书情况 (34)7-4 学生参与科研项目情况 (34)7-5 学生获省级及以上各类竞赛奖励情况(限报20项) (34)7-6 学生创新创业 (34)8-1教学质量保障体系 (35)8-2 质量监控 (35)8-3质量改进 (35)第三部分:毕业生就业质量 (36)2016届毕业生专业基本情况 (36)2016届毕业生个人情况 (36)2016届重要专业课 (37)2016届实习实践环节类型 (38)2016届求职服务类型 (39)2016届学生初次就业岗位来源 (39)第一部分:初始化信息1.举办学校注:(1)举办学校分两类:本科院校若干所与高职院校若干所;(2)学校性质分两类:公办与民办;(3)主办方分五种:省地共管、州市政府、行业主管、国企主管、民办;(4)财政投入分四种:省财政拨款、州市财政拨款、国企投入、私企投入.2。
李媛,段小燕,施玉格,等. 振荡提取-荧光分光光度法分析土壤样品中石油类物质[J ]. 岩矿测试,2023,42(6):1240−1247. doi: 10.15898/j.ykcs.202211150218.LI Yuan ,DUAN Xiaoyan ,SHI Yuge ,et al. Determination of Petroleum Oil in Soil by Fluorescence Spectrophotometry with Oscillatory Extraction [J ]. Rock and Mineral Analysis ,2023,42(6):1240−1247. doi: 10.15898/j.ykcs.202211150218.振荡提取-荧光分光光度法分析土壤样品中石油类物质李媛,段小燕,施玉格*,李刚(新疆生态环境监测总站,新疆 乌鲁木齐 830011)摘要: 石油类物质是中国建设用地土壤污染风险管控的污染物之一,开展土壤中石油类物质的检测对土壤污染防治工作具有重要意义。
本文采用正己烷为萃取溶剂,土壤经振荡提取后,以荧光光度法为检测手段,建立了一种绿色环保、灵敏高效的土壤石油类物质检测方法。
通过对实验过程进行优化,该方法的线性相关系数r ≥0.999,检出限为3mg/kg 。
使用10种不同类型土壤进行方法精密度和准确度验证,精密度为2.5%~9.2%,基体加标回收率为80.0%~110%。
为验证方法可比性,分别使用本方法和《土壤 石油类的测定 红外分光光度法》(HJ 1051—2019)对5种不同类型土壤进行检测比对,测定结果相对偏差在5.0%~15%之间,具有较好的一致性。
关键词: 土壤;石油类;振荡提取法;荧光分光光度法;正己烷要点:(1) 正己烷作为萃取溶剂,具有毒性小、化学性质稳定、环境友好、提取率高等优点。
(2) 以275nm 作为激发波长和315nm 作为发射波长,有更好的荧光响应,灵敏度更高。
研究生开题报告评语开题报告评语:该生在前期通过查阅文献,对研究内容所涉及的研究领域进行了较为全面的调研,对课题《拱桥平面内自由振动模型及特性研究》有了较全面的认识,论文的研究方法基本已经掌握。
工作安排合理,态度认真,目前论文写作的前期准备工作已经基本完成,开题报告符合规范格式,准予开题。
中期考核导师意见该生为人处世和善热情,乐观开朗,乐于助人,意志坚强。
尊重师长,和同学关系融洽。
学习上努力、勤奋,认真钻研专业知识,奠定了较为坚实的专业基础,取得了较好的成绩。
在校期间积极参与学校的各项集体活动,锻炼了自身的实践操作能力,也提升了自身素质在硕士论文研究期间,具有积极探索的精神,埋头苦干,努力钻研,阅读了大量的文献资料,能按照导师要求积极进行论文创作课题进展符合预期计划。
中期考核小组意见:该生在前期的工作中能充分的分析课题任务需求,熟练掌握拱桥平面内自由振动模型及特性研究,完成了下承式拱桥和系杆拱桥平面内自由振动模型及特性研究所做研究具有一定的工程实际意义,也为下一步工作的展开做好了充分的准备。
期间该生工作安排合理,学习态度认真,学术作风严谨,科研工作量较大,课题进展符合预期计划。
编号:硕士学位论文开题报告课题名称年级学号专业研究方向研究生指导教师年月日学位论文开题报告要求一、学位论文开题报告的时间硕士学位论文开题报告于第三学期初在导师指导下由研究生本人拟订论文工作计划,第三学期结束前一月完成。
二、学位论文开题报告的步骤㈠论文选题1、选题的原则:选题是否在本领域具有创新性、前沿性,在考虑课题的学术意义和实用价值的同时,最好与国家现代化建设迫切需要解决的问题密切配合,尽量结合专业方向和导师的科研课题,结合导师的特长、科研条件等落实科研项目。
?2、开题报告的内容:⑴选题的目的和意义;⑵选题的国内外研究现状;⑶选题研究的主要内容和重点;⑷实验方案的设计;⑸难点和创新之处;⑹存在的主要问题和技术关键;⑺预期达到的目标;⑻研究计划进度表;⑼参考文献等。
Vol. 47,No. 1Feb. 2019第47卷第1期2019年2月气象科技METEOROLOGIC A L SCIENCE AND TECHNOLOGY基于雨声识别的雨量测量方法丁苑⑺行鸿彦II(1南京岱息T.程大学,气象灾害预报预警'J 评估协同创新中心•南京210044;2南京信息丁程大学,江苏省气象探测与信息处理重点实验室.南京21004-1)摘要针对传统雨量测量耗时氏•维护不方便的问题.本文在分析声信号识別技术的基础1:,提出了基于雨声识別的雨量测量方法•模拟人耳听觉中对频域划定的非线性性利对同一频率样声信号作叠加评价的机理•将傅叫叶变换后的能量谱通过梅尔(Mel)滤波器,提取雨声的梅尔频率倒谱系数(MFCC)作为雨声信号的特征向輦。
在此基 础上.构建一个•:层BP 神经网络.将归一化后的样本数据用于神经网络训练.最后将测试样本用于对雨量的识別。
试验结果表明.在少量样木训练的基础上神经网络即能有效识別雨量大小•为声信号识别技术应用于更为精准的 雨量测量提供了理论依据。
关键词雨声信号;特征提取;BP 神经网络;雨肚识別中图分类号:P 』26. 6;TN912. 34 DOI : 10. 19517/j. 1671-6345. 20180091 文献标识码:A引言降水是气象观测的关键要素之一':,是水资源利用的重要组成部分。
降雨信息是研究气候变迁、 环境监测、水库管理等方面的重要依据灯。
因此.降雨量和降雨强度的准确检测•对生产实践具有重要 意义I 。
在传统的雨量测量方法中,主要依赖于对雨水的直接收集.按照中国气象局对降雨量等级 的划分,24 h,降雨量在0. 1~9. 9 mm 之间为小雨;降雨量在10 ~ 24. 9 mm 之间为中雨;降雨量在25. 0~49. 9 mm 之间为大雨。
随着信息智能化的发展.各类模式识别技术日益得到关注,声信号识別是利用目标在介质中运动时所产生的声音信号,进行特征向量提取并设计分类器以实现对目标的识 别®。
菏泽学院Heze University本科生毕业设计(论文)题目姓名学号系别专业指导教师职称20 年月日菏泽学院教务处制目录【摘要】 .................................................................................................................................................. 1【关键字】 .................................................................................................................................................. 1【Abstract】 .............................................................................................................................................. 1【Key words】 ............................................................................................................................................ 1【前言】 ...................................................................................................................................................... 21 系统的需求分析 ...................................................................................................................................... 31.1 成绩管理系统的背景分析........................................................................................................... 31.2开发学生成绩管理的必要性........................................................................................................ 31.3学生成绩管理系统设计的目标的分析........................................................................................ 31.4学生成绩管理系统的系统需求.................................................................................................... 41.5学生成绩管理系统的功能需求分析............................................................................................ 42 系统技术以及运行环境的需求分析....................................................................................................... 52.1 ASP技术简介................................................................................................................................ 52.2 ACCESS2003 技术简介................................................................................................................. 52.3 SQL语句简介................................................................................................................................ 52.3.1 SQL语句简介.................................................................................................................... 52.3.2 SQL的优点........................................................................................................................ 62.4 IIS简介 ....................................................................................................................................... 62.4.1 IIS的安装........................................................................................................................ 62.4.2 IIS虚拟目录的创建........................................................................................................ 62.4.3.IIS的日常管理................................................................................................................ 72.5 运行环境 ...................................................................................................................................... 73 概念结构设计阶段 .................................................................................................................................. 83.1 系统的功能分析........................................................................................................................... 83.2 学生成绩管理系统流程图........................................................................................................... 93.3学生成绩管理系统流程图............................................................................................................ 94 逻辑结构设计阶段 .............................................................................................................................. 114.1主要表关系 ............................................................................................................................... 114.2其它表关系 ............................................................................................................................... 125 物理设计阶段 ...................................................................................................................................... 146 详细设计阶段与实现........................................................................................................................... 156.1数据的连接 ............................................................................................................................... 156.2 成绩管理系统的登录页面....................................................................................................... 156.3 系统管理员功能简介............................................................................................................... 166.4学生管理界面............................................................................................................................ 176.4.1 学生信息的添加与查询............................................................................................... 176.4.2 学生信息的修改........................................................................................................... 196.5 班级管理界面........................................................................................................................... 206.5.1班级的添加与查询........................................................................................................ 206.5.2 班级删除....................................................................................................................... 226.6 课程管理界面........................................................................................................................... 236.6.1 课程的添加与查询....................................................................................................... 236.7成绩管理界面............................................................................................................................ 236.7.1 成绩查询....................................................................................................................... 236.7.2 成绩添加....................................................................................................................... 256.8 管理员功能界面....................................................................................................................... 266.8.1 修改用户....................................................................................................................... 276.8.2 添加用户....................................................................................................................... 286.8.3 添加学期界面............................................................................................................... 286.9 退出系统logout.asp.............................................................................................................. 297 系统在调度中经常出现的问题........................................................................................................... 30参考文献 .................................................................................................................................................. 30致谢 .......................................................................................................................................................... 30学生成绩管理系统计算机科学技术专业学生李祖嘉指导老师李静【摘要】人类已进入21世纪,科学技术突飞猛进,经济知识和信息产业初见端倪,特别是信息技术和网络技术的讯速发展和广泛应用,对社会的政治、经济、军事、文化等领域产生越来越深刻。
第44卷第1期航天返回与遥感2023年2月SPACECRAFT RECOVERY & REMOTE SENSING93低轨大型遥感星座发展现状及其关键技术柯知非黄石生李玉良乔凯滕飞阮航王晓婷魏楚奇马星亮(北京跟踪与通信技术研究所,北京100094)摘要近年来,低轨大型遥感星座计划发展迅速,高频次、低成本、弹性高的大型低轨遥感星座系统成为了各国争相发展的技术。
文章概述了Flock、Capella、BlackSky Global、Lemur-2、NewSat等低轨大型遥感星座的发展现状,以及中国大型遥感星座的基本情况;在此基础上,分别从遥感星座涉及的通信网络、自主协同、星座部署、星座管控、信息处理等5个方面,就低轨大型遥感星座涉及到的多载荷任务协同、星上自主任务规划、快速响应调度、星箭一体化设计、卫星星座构型设计、星座智能管控、遥感图像数据融合、星座数据处理等关键技术进行了总结分析,并对未来的发展趋势进行了阐述。
关键词低轨星座遥感卫星星间通信卫星任务规划星座部署卫星信息处理中图分类号: P151文献标志码: A 文章编号: 1009-8518(2023)01-0093-09DOI: 10.3969/j.issn.1009-8518.2023.01.010Research on the Development Status and Key Technologies of LargeLEO Remote Sensing ConstellationsKE Zhifei HUANG Shisheng LI Yuliang QIAO Kai TENG Fei RUAN Hang WANG XiaotingWEI Chuqi MA Xingliang(Beijing Tracking and Communication technology Institute, Beijing 100094, China)Abstract In recent years, the large LEO remote sensing constellation project has developed rapidly. With high frequency, low cost and high flexibility, the large LEO remote sensing constellation system has become a technology that countries are competing to develop. Firstly, the development status of LEO large remote sensing constellations such as Flock, Capella, Blacksky Global, Lemur-2, Newsat and the basic overview of China's large remote sensing constellations are summarized. On this basis, from the five aspects of communication network, remote sensing monitoring, constellation deployment in management and control, and information processing involved in the remote sensing constellation, the technologies involved in the LEO large-scale remote sensing constellation, such as multi payload task coordination, on-board autonomous task planning, rapid response scheduling, satellite rocket integration design, satellite constellation configuration design, constellation intelligent management and control, remote sensing image data fusion, constellation data processing, are summarized and studied, and its research direction is described.Keywords LEO constellation; remote sensing satellite; intersatellite communication; satellite scheduling; constellation deployment; information processing on satellite收稿日期:2022-08-24基金项目:高分辨率对地观测系统重大专项(GFZX040412)引用格式:柯知非, 黄石生, 李玉良, 等. 低轨大型遥感星座发展现状及其关键技术[J]. 航天返回与遥感, 2023, 44(1): 93-101.KE Zhifei, HUANG Shisheng, LI Yuliang, et al. Research on the Development Status and Key Technologies of Large94航天返回与遥感2023年第44卷0 引言当前遥感技术为国土、应急、减灾、环保、水利、农业、气象等多个领域提供了重要应用,世界各国各行业对航天遥感应用的需求日益增加,推动了商业遥感卫星应用的不断发展。
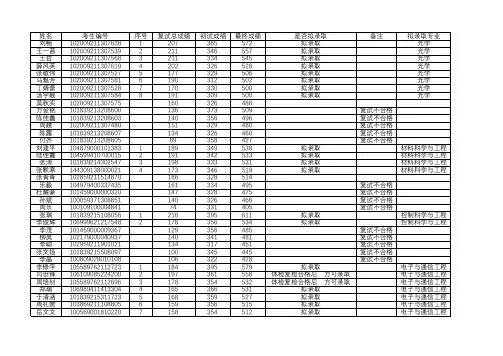
姓名考生编号序号复试总成绩初试成绩最终成绩是否拟录取备注拟录取专业刘畅1020092113076381207365572拟录取光学王一茜1020092113075392211346557拟录取光学王哲1020092113075683211334545拟录取光学薛风英1020092113076194202326528拟录取光学张敬伟1020092113075275177329506拟录取光学马魁芳1020092113075816190312502拟录取光学丁婧蕾1020092113075287170330500拟录取光学汤宇靓1020092113075848191309500拟录取光学莫秋实102009211307575160326486方金铭101839213208600136373509复试不合格陈佳鑫101839213208603140356496复试不合格周越102009211307480151329480复试不合格陈露101839213208607134326460复试不合格付齐10183921320860569358427复试不合格刘建平1048790001013831189349538拟录取材料科学与工程陆佳鑫1045994107000152191342533拟录取材料科学与工程张涛1018392143025473198333531拟录取材料科学与工程张默寒1443091380000214173346519拟录取材料科学与工程张青青102859211514870186328514乐毅104979400337435161334495复试不合格杜耀豪101459000000320147328475复试不合格孙斌100059371308851140326466复试不合格周乐10010910000484174331405复试不合格张瑞1018392151080561216395611拟录取控制科学与工程李俊辉1069996212175482178356534拟录取控制科学与工程李茂101459000009367129356485复试不合格柳昊102179000040937140341481复试不合格李聪102959211901021134317451复试不合格张文扬101839215508097100345445复试不合格李晶100809028010108106322428复试不合格李修平1055897621127231184395579拟录取电子与通信工程闫世锋1061090852242002197361558体检复检合格后,方可录取电子与通信工程周培钊1055897621126963178354532体检复检合格后,方可录取电子与通信工程郑瑞1069894114133044165366531拟录取电子与通信工程于清涵1018392153117235168359527拟录取电子与通信工程周礼赞1038692111088056159356515拟录取电子与通信工程岳文文1005690018102207158354512拟录取电子与通信工程林振善101459000010477159387546复试不合格王鑫岚102809210024418169369538复试不合格刘坦106119512080315157379536复试不合格徐尔雅104239375202964170360530复试不合格肖晴105749000011892153376529复试不合格方林106109085224156157365522复试不合格段克103379210000161150368518复试不合格王秀君100059371308839152364516复试不合格刘楷贇100059370908672156358514复试不合格于永海102139020002551149358507复试不合格巩海洋104239130511806140366506复试不合格郭浩100569000101933153351504复试不合格袁闻锴104979400340833146355501复试不合格陈泺冰100059130603374125376501复试不合格王玫104259540004513138362500复试不合格张仕超102469210012710150350500复试不合格李谊娜103199320805956141358499复试不合格蔡雯100049130204232142355497复试不合格徐鹏104979400340446144350494复试不合格王之腾105589762112700119365484复试不合格尹盼106139085203732130349479复试不合格王志腾100799000002092119353472复试不合格白旺弟103539210001739110360470复试不合格陈飞越10611951208040776386462复试不合格林茜10558976211275566381447复试不合格注:需要体检复检的同学,务必于2019年4月8日上午十一点半之前到东北师范大学校医院进行复检。
关于公布航天学院2018年博士招生综合考核成绩及基础计划拟录取名单的通知航天学院综合考核现已结束,现将本次综合考核成绩公布如下:根据材料审核结论、导师考核意见和综合考核结果,结合导师和本单位的招生基础计划情况确定拟录取名单,现将本学科基础计划拟录取名单公布如下(如获得拟录取资格的申请考核考生未通过本次学校组织的外语考核,则取消其拟录取资格):推荐攻博:江世凯,李鸿飞硕博连读:颜志强申请考核:于佳倩按照学校的统一安排,部分申请者经导师和学科共同推荐后,学校博士生招生专家组根据部分优秀导师和学科的发展需要,将对这部分申请者进行审核,审核结果将于11月中旬通过研招办网站统一公布。
航天学院2017年10月23日关于公布航天学院2018年博士招生综合考核成绩及基础计划拟录取名单的通知学科综合考核现已结束,现将本次综合考核成绩公布如下:根据材料审核结论、导师考核意见和综合考核结果,结合导师和本单位的招生基础计划情况确定拟录取名单,现将本学科基础计划拟录取名单公布如下(如获得拟录取资格的申请考核考生未通过本次学校组织的外语考核,则取消其拟录取资格):推荐攻博:钟绍轩、谢冰芳;申请考核:梁昊、蒋祥倩。
按照学校的统一安排,部分申请者经导师和学科共同推荐后,学校博士生招生专家组根据部分优秀导师和学科的发展需要,将对这部分申请者进行审核,审核结果将于11月中旬通过研招办网站统一公布。
航天学院微电子2017年10月23日关于公布航天学院2018年博士招生综合考核成绩及基础计划拟录取名单的通知航天学院综合考核现已结束,现将本次综合考核成绩公布如下:根据材料审核结论、导师考核意见和综合考核结果,结合导师和本单位的招生基础计划情况确定拟录取名单,现将本学科基础计划拟录取名单公布如下(如获得拟录取资格的申请考核考生未通过本次学校组织的外语考核,则取消其拟录取资格):推荐攻博:张雨、章媛、赵东迪、郭莹、王兴、高龙;硕博连读:陈义夫;申请考核:马锴、杨超、仇立强、闫诗雨、邹德峰、王晓亮、代俊锋、王全基、史晓晶、闫飞。
博士论文开题报告(共五则范文)第一篇:博士论文开题报告博士论文开题报告(讨论稿)2008年9月9日论文题目(居中)博士生姓名:年级:专业:方向:主导师姓名:指导小组成员:博士生签名:提交日期:主导师签名:批准日期:年月日本报告要求一式四份,一份交院办裴南菲(学院存档),一份交研究生部存档,一份交指导小组,一份博士生留存。
内容提要(研究背景与研究问题、研究目的、研究思路与方法、研究内容、预期结论与政策含义等(作者的突出论点、新见解或创造性成果等)。
一般占1页。
关键词:一般为5个。
关键词之间用逗号隔开。
Keyword:第一章1.1研究背景、研究目的与研究意义最好借助于前人的文献资料来阐述;要明确提出自己的研究问题。
1.2 研究思路与方法用以说明得出你的结论的整个过程是什么?用到何种具体的理论或方法,说明数据来源和数据处理方法(如果是实证研究)。
1.3 论文结构与研究内容本文首先对相关文献进行了回顾,分析了所研究问题的历史与现状。
提出了要研究的问题和及其研究意义。
第二章……..。
第三章……。
最后一章对全文进行了总结,并建议了未来的研究方向。
1.4 本论文的创新和局限之处指出在研究方法、研究手段或观点和结论(更新、修改、扩展了别人的观点,推广了别人的结论等)等几个方面(不少于三个方面)是否有创新?是老方法解决新问题、新方法解决老问题或是新方法解决新问题。
指出论文的研究局限,如数据处理问题、方法选择问题、模型假设问题(如太苛刻、太具体、合理性等)。
1.5 本论文的研究工作的可行性、新颖性、特色和难点第二章文献回顾回顾与本学位论文研究主题密切相关的前人的工作(历史和现状)。
要对论文进行评述。
第三章~第?章自己的阶段研究工作;具体到章节的目录和内容。
每章的结尾处阐述自己的模型或研究方法与他人之间的联系与区别,预期的结论是什么?有何政策含义,或预测含义等?第二篇:博士论文开题报告博士论文开题报告题目:报告人:导师:评审专家:时间:20年月地点:紫金山天文台人教处 2010年3月26日日(星期五)第三篇:金融学博士论文开题报告(0615)博士学位论文开题报告我国金融监管制度研究唐金龙一、选题的意义及国内外研究现状国内外的学者对金融监管制度或金融监管的理论研究涉及的经济学等方面的理论十分广泛,如制度经济学、信息经济学、控制论、博弈论、系统论宏观经济学、微观经济学等。
TECHNOLOGY AND INFORMATION科学与信息化2023年8月下 7德宏州技术转移体系建设发展现状与对策*王知非 李丽鋆 万代立 张蕾 杨艳德宏州科学技术创新中心 云南 德宏 678400摘 要 建设和完善德宏州技术转移体系,促进科技成果转移转化,提升德宏州科技自主创新能力,对建设创新型德宏具有重要的意义。
本文通过梳理德宏州技术转移体系建设的发展现状,分析其建设过程中存在的问题与不足,最后有针对性地提出加快推进德宏州技术转移体系建设的对策建议。
关键词 技术转移;技术经纪人;技术交易;科技成果转化引言技术转移体系建设是深入实施创新驱动发展战略,提升科技创新能力、促进经济社会发展的重要内容,实现科技成果资本化产业化的根本途径,为我国迈入创新型国家前列提供有力支撑保障。
为深入贯彻落实《中华人民共和国促进科技成果转化法》,2017年,国务院印发了《国家技术转移体系建设方案》,明确指出国家技术转移体系是国家创新体系的重要组成部分,是推动科技成果加快转化为经济社会发展的现实动力。
近年来,德宏州政府高度重视技术转移体系建设,出台了一系列关于科技成果转化和技术转移体系建设等方面的政策,旨在建设和完善德宏州技术转移体系,促进科技成果持续产生,助推德宏州社会经济高质量跨越式发展。
本文仅对德宏州技术转移体系的发展现状、存在问题做些初步分析,并提出若干对策建议。
1 德宏州技术转移体系建设发展现状1.1 技术转移顶层设计不断完善2018年10月,云南省人民政府出台了《云南省技术转移体系建设实施方案》,2021年12月,云南省委办公厅 云南省政府办公厅印发了《创新驱动高质量发展29条措施》等系列政策措施,为技术转移体系建设创造了良好的制度氛围。
与此同时,德宏州人民政府围绕国家和省的政策措施出台了《德宏州技术转移体系建设实施方案》,在激发创新主体技术转移活力,优化技术转移体系基础框架,拓宽技术转移通道等方面进行引导、发展和扶持[1]。
研究生开题报告评语开题报告评语:该生在前期通过查阅文献,对研究内容所涉及的研究领域进行了较为全面的调研,对课题《拱桥平面内自由振动模型及特性研究》有了较全面的认识,论文的研究方法基本已经掌握。
工作安排合理,态度认真,目前论文写作的前期准备工作已经基本完成,开题报告符合规范格式,准予开题。
中期考核导师意见该生为人处世和善热情,乐观开朗,乐于助人,意志坚强。
尊重师长,和同学关系融洽。
学习上努力、勤奋,认真钻研专业知识,奠定了较为坚实的专业基础,取得了较好的成绩。
在校期间积极参与学校的各项集体活动,锻炼了自身的实践操作能力,也提升了自身素质在硕士论文研究期间,具有积极探索的精神,埋头苦干,努力钻研,阅读了大量的文献资料,能按照导师要求积极进行论文创作课题进展符合预期计划。
中期考核小组意见:该生在前期的工作中能充分的分析课题任务需求,熟练掌握拱桥平面内自由振动模型及特性研究,完成了下承式拱桥和系杆拱桥平面内自由振动模型及特性研究所做研究具有一定的工程实际意义,也为下一步工作的展开做好了充分的准备。
期间该生工作安排合理,学习态度认真,学术作风严谨,科研工作量较大,课题进展符合预期计划。
编号:硕士学位论文开题报告课题名称年级学号专业研究方向研究生指导教师年月日学位论文开题报告要求一、学位论文开题报告的时间硕士学位论文开题报告于第三学期初在导师指导下由研究生本人拟订论文工作计划,第三学期结束前一月完成。
二、学位论文开题报告的步骤㈠论文选题1、选题的原则:选题是否在本领域具有创新性、前沿性,在考虑课题的学术意义和实用价值的同时,最好与国家现代化建设迫切需要解决的问题密切配合,尽量结合专业方向和导师的科研课题,结合导师的特长、科研条件等落实科研项目。
?2、开题报告的内容:⑴选题的目的和意义;⑵选题的国内外研究现状;⑶选题研究的主要内容和重点;⑷实验方案的设计;⑸难点和创新之处;⑹存在的主要问题和技术关键;⑺预期达到的目标;⑻研究计划进度表;⑼参考文献等。