高等数学期末复习试卷
- 格式:doc
- 大小:352.00 KB
- 文档页数:6
高数期末考试题及答案一、选择题(每题2分,共20分)1. 函数f(x)=\( e^x - x^2 \)在点x=0处的导数为:A. 1B. -1C. 0D. 22. 若函数f(x)在区间[a,b]上连续,则下列说法正确的是:A. f(x)在[a,b]上单调递增B. f(x)在[a,b]上存在极值点C. f(x)在[a,b]上一定有最大值和最小值D. f(x)在[a,b]上无界3. 曲线y=\( x^3 + 2x^2 - 5x + 7 \)在点(1, 9)处的切线斜率为:A. 12B. 10C. 8D. 64. 定积分∫[0,1] x^2 dx的值为:A. 1/3B. 1/4C. 1/2D. 15. 若f(x)=\( \ln(x) \),则f'(1)的值为:A. 0B. 1C. -1D. 26. 微分方程dy/dx + 2y = 4x的通解为:A. y = 2x^2 + CB. y = x^2 + CC. y = 2x - CD. y = x + C7. 级数∑[1,∞] \( (1/n^2) \)是:A. 收敛B. 发散C. 条件收敛D. 绝对收敛8. 若函数f(x)在点x=a处可导,则f(x)在该点处的泰勒展开式至少包含:A. 常数项B. 一次项C. 二次项D. 高次项9. 函数f(x)=\( x^2 \sin(1/x) \)在x=0处的极限为:A. 0B. 1C. ∞D. 不存在10. 函数f(x)=\( x^3 - 3x^2 + 2 \)的拐点为:A. x=1B. x=2C. x=0D. x=3二、填空题(每题2分,共10分)11. 若f(x)=\( x^3 \),则f''(1)=________。
12. 函数f(x)=\( \sin(x) \)的原函数为________。
13. 定积分∫[1,e] \( e^x \)dx的值为________。
14. 微分方程\( y'' - 4y' + 4y = 0 \)的特征方程为________。
期末高数试题及答案一、选择题(每题5分,共20分)1. 下列函数中,哪一个是奇函数?A. $f(x) = x^2$B. $f(x) = x^3$C. $f(x) = \sin(x)$D. $f(x) = \cos(x)$答案:B2. 计算不定积分 $\int x^2 dx$ 的结果是:A. $\frac{x^3}{3}$B. $\frac{x^3}{3} + C$C. $\frac{x^3}{3} + x + C$D. $x^3 + C$答案:B3. 极限 $\lim_{x \to 0} \frac{\sin(x)}{x}$ 的值是:A. 0B. 1C. 2D. 不存在答案:B4. 以下哪个选项是洛必达法则的应用?A. 计算 $\lim_{x \to 0} \frac{\sin(x)}{x}$B. 计算 $\lim_{x \to 0} \frac{1 - \cos(x)}{x}$C. 计算 $\lim_{x \to 0} \frac{e^x - 1}{x}$D. 计算 $\lim_{x \to 0} \frac{1}{x}$答案:C二、填空题(每题5分,共20分)1. 如果函数 $f(x) = 2x + 3$ 的反函数是 $f^{-1}(x)$,那么$f^{-1}(5)$ 的值是 _______。
答案:12. 函数 $f(x) = \ln(x)$ 的导数 $f'(x)$ 是 _______。
答案:$\frac{1}{x}$3. 如果 $\int_{0}^{1} x dx = \frac{1}{2}$,那么 $\int_{0}^{2} x dx$ 的值是 _______。
答案:24. 函数 $f(x) = e^x$ 的不定积分是 _______。
答案:$e^x + C$三、解答题(每题10分,共60分)1. 求函数 $f(x) = x^2 - 4x + 4$ 的极值点。
答案:函数 $f(x) = x^2 - 4x + 4$ 的导数为 $f'(x) = 2x - 4$。
高数期末考试题及答案解析一、选择题(每题2分,共10分)1. 函数 \( f(x) = \sin x + 2x^2 \) 在区间 \( [0,\frac{\pi}{2}] \) 上是:A. 单调递增B. 单调递减C. 先递增后递减D. 先递减后递增答案解析:首先求导数 \( f'(x) = \cos x + 4x \)。
在区间\( [0, \frac{\pi}{2}] \) 上,\( \cos x \) 始终大于等于0,而\( 4x \) 也是非负的,因此 \( f'(x) \geq 0 \),说明函数 \( f(x) \) 在该区间上单调递增。
所以答案是 A。
2. 若 \( \lim_{x \to 0} \frac{f(x)}{g(x)} = 0 \),则下列哪个选项是正确的?A. \( \lim_{x \to 0} f(x) = 0 \)B. \( \lim_{x \to 0} g(x) = 0 \)C. \( \lim_{x \to 0} f(x) = 1 \)D. \( \lim_{x \to 0} g(x) = 1 \)答案解析:根据极限的性质,如果 \( \lim_{x \to 0}\frac{f(x)}{g(x)} = 0 \),则 \( g(x) \) 不能趋向于0,否则分母为0,极限不存在。
同时,\( f(x) \) 趋向于0。
因此,选项 A 是正确的。
3. 曲线 \( y = x^3 - 3x \) 在点 \( (1, -2) \) 处的切线斜率是:A. 0B. 2C. -2D. 4答案解析:求导数 \( y' = 3x^2 - 3 \),将 \( x = 1 \) 代入得到 \( y' = 0 \)。
因此,曲线在点 \( (1, -2) \) 处的切线斜率为 0,答案是 A。
4. 若 \( \int_{0}^{1} x^2 dx = \frac{1}{3} \),则\( \int_{0}^{1} x^3 dx \) 的值是:A. \( \frac{1}{4} \)B. \( \frac{1}{3} \)C. \( \frac{1}{2} \)D. \( \frac{2}{3} \)答案解析:根据积分的基本公式,\( \int x^n dx =\frac{x^{n+1}}{n+1} + C \),所以 \( \int_{0}^{1} x^3 dx =\left[\frac{x^4}{4}\right]_{0}^{1} = \frac{1}{4} \)。
数学高数期末试题及答案第一部分:选择题1. 设函数 $f(x) = e^x + \ln x$,则 $f'(1) =$ ( )A. $e$B. $e+1$C. $1$D. $0$2. 设二元函数 $z=f(x,y)$ 在点 $(1,2)$ 处可微,则 $\frac{\partialz}{\partial x}$ 在该点的值为 ( )A. $f_x(1,2)$B. $f_y(1,2)$C. $0$D. $f(1,2)$3. 设平面$2x+y+z=2$,直线$L$ 过点$(1,1,1)$,且与该平面平行,则直线 $L$ 的方程为 ( )A. $x=y=z$B. $2x+y+z=4$C. $x=y=z=1$D. $x+y+z=3$第二部分: 简答题1. 解释什么是极限?极限是一个函数在某一点或者无穷远处的值或趋近于的值。
对于一个给定的函数,当自变量趋近某一特定值时,函数的值也会趋近于某个特定的值。
2. 什么是导数?导数是函数在某一点的切线斜率。
在数学中,导数表示函数在给定点的变化率。
第三部分: 解答题1. 计算函数 $f(x) = \sin(x) - \cos(x)$ 在区间 $[0, \frac{\pi}{4}]$ 上的最大值和最小值。
首先,我们求解导数 $f'(x)$,然后令其等于零,解得$x=\frac{\pi}{4}$。
此时,我们可以计算得到 $f(\frac{\pi}{4}) =\sqrt{2}-1$。
另外,我们可以计算 $f(0) = 1$ 和 $f(\frac{\pi}{4}) = \sqrt{2}-1$。
所以,函数 $f(x)$ 在区间 $[0, \frac{\pi}{4}]$ 上的最大值为 $1$,最小值为 $\sqrt{2}-1$。
2. 计算二重积分 $\iint_D x^2 y \,dA$,其中 $D$ 是由直线 $x=0$,$y=0$ 和 $x+y=1$ 所围成的区域。
一、填空题1. 曲线2,y ax z x=⎧⎨=⎩在点(1,,1)a 处的切线和直线x y z ==−垂直,则a = .2. 已知22,,z u v u x y v x y ==+=−,且在xOy 面上有点0(10)P ,和向量{34}l =,,则方向导数P zl∂=∂ .3. 设L 为212y x =上介于1(1,)2−和1(1,)2的一段曲线,则(Lx ds +=⎰.4. 设∑为球面2221x y z ++=,则23x dS ∑=⎰⎰ .5. 设01()(cos sin )2n n n a s x a nx b nx ∞==++∑为函数()1,(,)f x x x ππ=+∈−的傅里叶级数,则(3)s −= .二、选择题1. 已知(0,0)0f =,且00x y →→=,则(,)f x y 在点(0,0)处( ). (A )连续,但偏导数不存在 (B )不连续,但偏导数存在(C )连续,偏导数存在,但是不可微 (D )连续、偏导数存在,且可微2. 设(,)f x y 与(,)x y ϕ均为可微函数,且(,)0y x y ϕ'≠.已知00(,)x y 是(,)f x y 在约束条件(,)0x y ϕ=下的一个极值点,如果00(,)0y f x y '=,则必有( ).(A )00(,)0xx y ϕ'= (B )00(,)0xx y ϕ'≠ (C )00(,)0x f x y '=(D )00(,)0x f x y '≠3. 设22{(,)|1}D x y x y =+≤,1D I x y dxdy =⎰⎰,2D I xy dxdy =⎰⎰,3ln(1)D I xy dxdy =−⎰⎰,则12,I I 和3I 满足( ).(A )231I I I << (B )312I I I << (C )321I I I <<(D )321I I I <<4. 设{(,,)01,01,02}x y z x y z Ω=≤≤≤≤≤≤,则三重积分xydv Ω=⎰⎰⎰( ).(A )12(B )13(C )14(D )165. 已知,1,2,n n a b n ≤=,且1n n b ∞=∑收敛,则1n n a ∞=∑( ).(A) 绝对收敛 (B) 条件收敛 (C) 发散 (D) 敛散性不定三、设(,)z z x y =是由方程z x y z e +−=所确定隐函数,求(,)zx y ∂∂∂210.四、求函数32(,)6125f x y y x x y =−+++的极值.五、设函数()2,12,0,,0,x y x y x f x y ⎧≤≤≤≤=⎨⎩其他.计算二重积分(,)Df x y dxdy ⎰⎰,其中22{(,)2}D x y x y x =+≥.六、求曲面积分24d d 2d d (1)d d I zx y z z z x z x y ∑=−+−⎰⎰,其中∑为圆抛物面222x y z +=(02z ≤≤),取下侧.七、求幂级数0(31)n n n x ∞=+∑的收敛域及和函数()s x .八、(1)在全平面上,证明曲线积分22x x Ly e dx ye dy +⎰与路径无关,并求22x x y e dx ye dy +的一个原函数(,)u x y ;(2)计算2()(21)x xL I y e y dx ye dy =−+−⎰,其中L 为222(0)x y x y +=≥上从(2,0)到(1,1)的一段曲弧.答案一、填空题1. 12.1953. 84. 4π5. 2二、选择题1.D . 2.C . 3.B . 4.A . 5.A .三、解:在方程两边关于x 求偏导数得1zz ze x x∂∂−=∂∂, 当(,)(1,0)x y =时,0z =,代入上式,得(1,0)12z x ∂=∂.类似可得(1,0)12z y ∂=∂. 在(1)式两边关于y 求偏导数得22z z z z z z e e x y x y x y ∂∂∂∂−=⋅+∂∂∂∂∂∂,代入1,0,0x y z ===,(1,0)12z x ∂=∂及(1,0)12z y ∂=∂,解得(1,02)18z x y ∂=−∂∂. 或者:计算得11z z z x y e ∂∂==∂∂+,23(1)z z z e x y e ∂−=∂∂+,同理可得(1,02)18z x y ∂=−∂∂.四、解:令2(,)260,(,)3120,x yf x y x f x y y '=−+=⎧⎪⎨'=−=⎪⎩得驻点(3,2),(3,2)−.又 (,)2,(,)0,(,)6xxxyyyf x y f x y f x y y ''''''=−==.在驻点(3,2)处,(3,2)2,(3,2)0,(3,2)12xxxy yy A f B f C f ''''''==−====, 2240AC B −=−<,故(3,2)不是极值点;在驻点(3,2)−处,(3,2)2,(3,2)0,(3,2)12xxxy yy A f B f C f ''''''=−=−=−==−=−, 2240AC B −=>,且0A <,故(3,2)−是极大值点,且极大值为(3,2)18.f −=−五、解:记1{(,)1}D x y x y x =≤≤≤≤,则12221(,)x DD f x y dxdy x ydxdy dx ydy ==⎰⎰⎰⎰⎰ 243149()20x x dx =−=⎰.六、解:补充曲面1∑:222(4)z x y =+≤,取上侧.设Ω为1∑+∑所围成的立体区域,则22,02,022r z r θπΩ≤≤≤≤≤≤:,由Gauss 公式可得212222024d d 2d d (1)d d (42)2r zx y z z z x z x y z z dv d rdr zdzπθ∑+∑Ω−+−=−=⎰⎰⎰⎰⎰⎰⎰⎰42322(4)43r r dr ππ=−=⎰; 221244d d 2d d (1)d d (3)12x y zx y z z z x z x y dxdy π∑+≤−+−=−=−⎰⎰⎰⎰,所以11224d d 2d d (1)d d 4d d 2d d (1)d d I zx y z z z x z x y zx y z z z x z x y ∑+∑∑=−+−−−+−⎰⎰⎰3268(12)33πππ=−−=.七、解:34lim131n n n ρ→∞+==+,所以收敛半径为1R =,收敛区间为(1,1)−. 当1x =±时,lim(31)0n n n x →∞+≠,所以原级数均发散,故收敛域为(1,1)−.()(31)3(1)2nnn n n n s x n x n x x ∞∞∞====+=+−∑∑∑1221232123()23()111(1)1(1)n n x xx x x x x x x ∞+=+''=−=−=−=−−−−−−∑,(1,1)x ∈−.八、解:⑴ 令2,2x x P y e Q ye ==,则2x P Q ye y x∂∂==∂∂,所以积分22x x L y e dx ye dy +⎰与路径无关.下面求(,)u x y .由题意知2(,)2x x du x y y e dx ye dy =+.解法一:取00(,)(0,0)x y =,则200(,)02xyxx x u x y e dx ye dy y e =⋅+=⎰⎰;解法二:2222(,)2()()()x x x x x du x y y e dx ye dy y d e e d y d y e =+=+=,取2(,)x u x y y e =, 解法三:由2x uy e x ∂=∂得22()x x u y e dx y e c y ==+⎰,从而2()2x x u ye c y Q ye y∂'=+==∂,即()0c y '=,取()0c y =,则2(,)x u x y y e =.⑵ 解法一:22()(21)2x x x x LLLI y e y dx ye dy y e dx ye dy ydx dy =−+−=+−+⎰⎰⎰(1,1)22,0)1(x Ly eydx dy e I =−+=−⎰.L 的参数方程为1cos ,:sin x t L y t =+⎧⎨=⎩,:02t π→.则2210(sin cos )14L I ydx dy t t dt ππ=+=−+=−+⎰⎰.故(1,1)(2,0)214x L I y e ydx dy e π=−+=+−⎰.解法二:补充曲线1:2L y x =−+,:12x →,L 与1L 所围平面区域记为1122()(21)()(21)xxxxL L L I y e y dx ye dy y e y dx ye dy +=−+−−−+−⎰⎰.121()(21)(221)142x x x x L L DDy e y dx ye dy ye ye dxdy dxdy π+−+−=−+==−⎰⎰⎰⎰⎰, 12221()(21){(2)2[2(2)1](1)}x x x x L y e y dx ye dy x e x x e dx −+−=−++−+−+−−⎰⎰2211(21)2x x x e xe x dx e =−+−=−+⎰, x所以 11()()14224I e e ππ=−−−+=+−.。
高等数学上期末考试试题及参考答案一、选择题(每题5分,共25分)1. 函数 \( f(x) = \frac{1}{x^2 + 1} \) 的反函数\( f^{-1}(x) \) 的定义域为()A. \( (-\infty, 1) \cup (1, +\infty) \)B. \( [0, +\infty) \)C. \( (-\infty, 0) \cup (0, +\infty) \)D. \( (-1, 1) \)答案:C2. 设函数 \( f(x) = \ln(2x - 1) \),则 \( f'(x) \) 的值为()A. \( \frac{2}{2x - 1} \)B. \( \frac{1}{2x - 1} \)C. \( \frac{2}{x - \frac{1}{2}} \)D. \( \frac{1}{x - \frac{1}{2}} \)答案:A3. 设 \( f(x) = e^x + e^{-x} \),则 \( f''(x) \) 的值为()A. \( e^x - e^{-x} \)B. \( e^x + e^{-x} \)C. \( 2e^x + 2e^{-x} \)D. \( 2e^x - 2e^{-x} \)答案:D4. 下列函数中,哪一个函数在 \( x = 0 \) 处可导但不可微?()A. \( f(x) = |x| \)B. \( f(x) = \sqrt{x} \)C. \( f(x) = \sin x \)D. \( f(x) = \cos x \)答案:A5. 设 \( \lim_{x \to 0} \frac{f(x) - f(0)}{x} = 2 \),则 \( f'(0) \) 的值为()A. 1B. 2C. 0D. 无法确定答案:B二、填空题(每题5分,共25分)6. 函数 \( f(x) = \ln(x + \sqrt{x^2 + 1}) \) 的导数 \( f'(x) \) 为_________。
高数期末考试题及答案大全试题一:极限的概念与计算问题:计算极限 \(\lim_{x \to 0} \frac{\sin x}{x}\)。
答案:根据洛必达法则,当分子分母同时趋向于0时,可以对分子分母同时求导,得到:\[\lim_{x \to 0} \frac{\sin x}{x} = \lim_{x \to 0} \frac{\cosx}{1} = \cos(0) = 1.\]试题二:导数的应用问题:设函数 \(f(x) = x^3 - 3x^2 + 2x\),求其在 \(x=1\) 处的切线方程。
答案:首先求导数 \(f'(x) = 3x^2 - 6x + 2\)。
在 \(x=1\) 处,导数值为 \(f'(1) = -1\),函数值为 \(f(1) = 0\)。
切线方程为 \(y - 0 = -1(x - 1)\),即 \(y = -x + 1\)。
试题三:不定积分的计算问题:计算不定积分 \(\int \frac{1}{x^2 + 1} dx\)。
答案:这是一个基本的三角换元积分问题,令 \(x = \tan(\theta)\),\(dx = \sec^2(\theta) d\theta\)。
则 \(\int \frac{1}{x^2 + 1} dx = \int \frac{1}{\tan^2(\theta) + 1} \sec^2(\theta) d\theta = \int \cos^2(\theta) d\theta\)。
利用二倍角公式,\(\cos^2(\theta) = \frac{1 +\cos(2\theta)}{2}\)。
积分变为 \(\int \frac{1}{2} d\theta + \frac{1}{2} \int\cos(2\theta) d\theta = \frac{\theta}{2} +\frac{\sin(2\theta)}{4} + C\)。
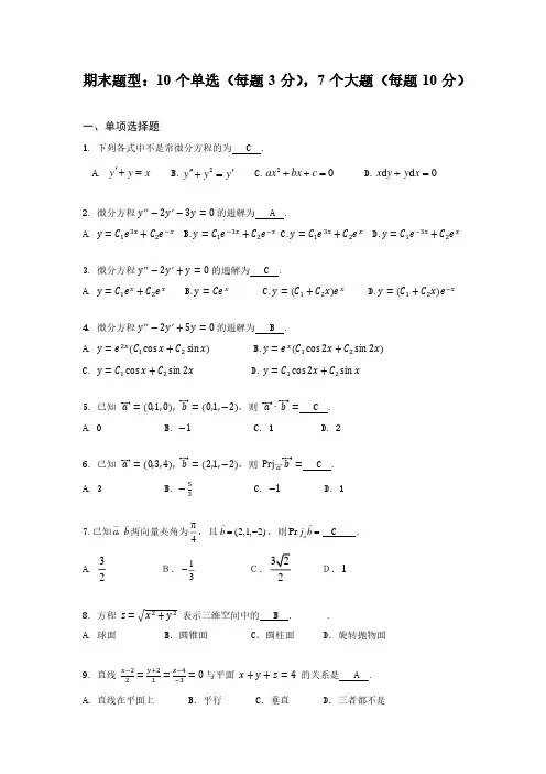
期末题型:10个单选(每题3分),7个大题(每题10分)一、单项选择题1. 下列各式中不是常微分方程的为 C . A. y y x '+= B.2y y y '''+= C.20ax bx c ++= D.d d 0x y y x +=2. 微分方程 y ′′−2y ′−3y =0 的通解为 A .A. y =C 1e 3x +C 2e −xB.y =C 1e −3x +C 2e −xC.y =C 1e 3x +C 2e xD.y =C 1e −3x +C 2e x3. 微分方程 y ′′−2y ′+y =0 的通解为 C .A. y =C 1e x +C 2e xB.y =Ce xC.y =(C 1+C 2x)e xD.y =(C 1+C 2x)e −x4. 微分方程 y ′′−2y ′+5y =0 的通解为 B .A. y =e 2x (C 1cos x +C 2sin x)B.y =e x (C 1cos 2x +C 2sin 2x)C. y =C 1cos x +C 2sin 2xD. y =C 1cos 2x +C 2sin x5.已知 a ⃗⃗⃗⃗ =(0,1,0), b ⃗⃗⃗⃗ =(0,1,−2),则 a ⃗⃗⃗⃗ ∙ b ⃗⃗⃗⃗ = C . A .0 B. −1 C. 1 D. 26.已知 a ⃗⃗⃗⃗ =(0,3,4), b ⃗⃗⃗⃗ =(2,1,−2),则 Prj a ⃗⃗⃗⃗ b ⃗⃗⃗⃗ = C . A .3 B. −53 C. −1 D. 17.已知a b ,两向量夹角为π4,且(2,1,2)b =−,则Pr a j b = C .A .32 B.13− C.2D.18.方程 z =√x 2+y 2 表示三维空间中的 B . .A .球面B .圆锥面C .圆柱面D .旋转抛物面 9.直线x−22=y+21=z−4−3=0 与平面 x +y +z =4 的关系是 A .A .直线在平面上B .平行C .垂直D .三者都不是10.函数(,)f x y 在点00(,)x y 偏导数存在是(,)f x y 在该点连续的 D . A .充分非必要条件 B .必要非充分条件 C .充分必要条件 D .既非充分也非必要条件11.若在点00(,)x y 处0f x ∂=∂,0fy∂=∂,则(,)f x y 在点00(,)x y 是 D . A .连续且可微 B .连续但不一定可微 C .可微但不一定连续 D .不一定可微也不一定连续12.考虑二元函数的下面4条性质:①(,)f x y 在点00(,)x y 处连续; ②(,)f x y 在点00(,)x y 处的两个偏导数连续; ③(,)f x y 在点00(,)x y 处可微; ④(,)f x y 在点00(,)x y 处的两个偏导数存在. 若用“P Q ⇒”表示可由性质P 推出性质Q ,则有 A . A .②⇒③⇒① B .③⇒②⇒① C .③⇒④⇒① D .③⇒①⇒④13.lim n→∞u n =0 是级数1nn u∞=∑收敛的 B .A. 充分非必要条件B.必要非充分条件C.充要条件D. 既非充分也非必要条件14.下列级数条件收敛的是 C .A. 1(1)1nn n n ∞=−+∑B.1(1)n ∞=−∑C.1(1)n n ∞=−∑D. 211(1)n n n ∞=−∑15.设幂级数nn n a x∞=∑在2x =处收敛,则该级数在1x =−处必定 C .A.发散B.条件收敛C.绝对收敛D.敛散性不能确定二、计算题1.求微分方程d 0xy x y =满足初始条件1e x y ==的特解.解:方程变形为d xy x y =1d x y y=,两端积分得211d 2y y =⎰1ln ln y C =+,由此得11)y C C C C =±==±记,满足初始条件1e x y ==,代入得e C =,所以特解为1y =.2.求过点 (2,1,0) 且与平面 2x 3y −5z −5= 0 平行的平面方程.解:设所求平面方程为2350x y z D +−+=,将点(2,1,0)代入平面方程得,7D =− 从而平面方程为23570x y z +−−=.3.求过点(3,2,5)−且与两平面430x z −−=和2510x y z −−−=平行的直线方程解:所求直线的方向向量可取10443215i j ks i j k =−=−−−−−,即(4,3,1)s =−−−(4,3,1),故直线方程为325431x y z +−−==.4.求过两点()1,1,1M −−和()2,2,4N 且与平面:0x y z ∏+−=垂直的平面方程. 解: ()11,3,5,(1,1,1)MN n ==− 平面的法向量为:1(4,3,1)n MN n =⨯=− 所求平面方程为:4(1)3(1)(1)0x y z −−+++= 即4360x y z −+−=L5. 计算极限 02tan()limx y xy x→→. 解:000222tan()tan()tan()limlim lim lim 12 2.x x xy y y y xy xy xy y y x xy xy →→→→→→=⋅=⋅=⋅=6. 计算极限00x y →→.解:000001.4x x x y y y →→→→→→−===7.设(32,42)z f x y x y =+−,其中(,)f u v 可微,求,,d z zz x y∂∂∂∂. 解:121234,22z zf f f f x y∂∂''''=+=−∂∂,()()1212d d d 34d 22d z z z x y f f x f f y x y ∂∂''''=+=++−∂∂.8.设333z xyz a −=,求,z zx y∂∂∂∂. 解:令33(,,)3F x y z z xyz a =−−,则3x F yz =−,3y F xz =−,233z F z xy =−;2x z F z yz x F z xy ∂∴=−=∂−,2y z F z xz yF z xy ∂=−=∂−.9.用二重积分的几何意义计算下列二重积分: (1)∬√4−x 2−y 2 dσD ,(22:4,0)D x y y +≤≥); (2)∬√x 2+y 2 dσD ,(22:1D x y +≤).提示:224,0x y y +≤≥⎰⎰σ表示半径为2的1/4球体的体积;221x y +≤⎰⎰σ表示半径和高都为1的圆柱体与圆锥体的体积之差.10.计算22d d Dx x y y⎰⎰,其中D 是由直线2,x y x ==与曲线1xy =所围成的闭区域. 解:如图9-4所示,区域1:12,D x y x x≤≤≤≤,则 原式22121d d xxx x y y =⎰⎰22111d xx x x y ⎡⎤=−⎢⎥⎣⎦⎰22423119()d .244x x x x x ⎡⎤=−+=−+=⎢⎥⎣⎦⎰11.计算22d Dx y σ+⎰⎰,其中D 是圆环形闭区域{}22(,)14x y x y +≤≤.解:22π22223011114πd d d d d 2π33DDx y σρρρθθρρρ⎡⎤+=⋅==⋅=⎢⎥⎣⎦⎰⎰⎰⎰⎰⎰.12.判断级数12!nn n n n ∞=∑的敛散性.解:因为11(1)11e 2(1)!lim lim 11222!n nn n n n n n n n n n ++→∞→∞++⎛⎫=+=> ⎪⎝⎭.由比值审敛法可知12!n n n n n ∞=∑发散.13.判断级数11πtan2n n n ∞+=∑的敛散性. 解:因为11ππtan()22~n n n n n ++→∞,即11πtan2lim1π2n n n n n +→∞+=. 又211π1112limlim 122π2n n n n n n n n ρ+→∞→∞+++===<,由比值审敛法可知11π2n n n ∞+=∑收敛, 再由比较审敛法的极限形式可知11πtan2n n n ∞+=∑收敛. 图 9-4。
高数期末考试题及答案1. 单选题:1) 高数是一门基础学科。
2) 导数的几何意义是函数在某一点的斜率。
3) 定积分是求曲线下某一段的面积。
4) 曲线的凸性由函数的二阶导数决定。
答案:ABCD2. 多选题:1) 函数y = √x在x = 0处不可导的原因有:a) 函数不连续;b) 函数在x = 0处有间断点;c) 函数在x = 0处的左、右导数不等;d) 函数在x = 0处的导数不存在。
2) 函数y = e^x在区间(-∞, +∞)上是增函数的条件是:a) 函数在该区间内连续;b) 函数在该区间内为正;c) 函数的导数在该区间内恒大于0;d) 函数的导数在该区间内恒小于0。
答案:1) CD;2) C3. 简答题:请详细解释导数的定义,并给出一个实际例子。
解答:导数的定义是一个函数在某一点处的变化率或斜率。
数学上,对函数y = f(x)求导数,表示为f'(x)或dy/dx。
导数可以用于描述曲线的斜率,也可用于求函数的最大值、最小值等。
例如,一个移动的物体的位置随时间的变化可以用函数s(t)表示。
速度是位置对时间的导数,即v(t) = ds(t)/dt。
假设某物体的位置函数为s(t) = 2t^3 + t^2 - 3t + 1,则速度函数为v(t) = 6t^2 + 2t - 3。
4. 计算题:计算下列定积分:1) ∫(x - 2) dx,积分区间为[-1, 3]。
2) ∫(2e^x + 3x^2) dx,积分区间为[0, 2]。
3) ∫(2cos(x) - e^x) dx,积分区间为[0, π]。
解答:1) ∫(x - 2) dx = (1/2)x^2 - 2x + C (C为常数)在积分区间[-1, 3]上计算,得到:∫[-1, 3](x - 2) dx = [(1/2)(3)^2 - 2(3)] - [(1/2)(-1)^2 - 2(-1)]= (9/2 - 6) - (1/2 + 2)= -11/22) ∫(2e^x + 3x^2) dx = 2∫e^x dx + 3∫x^2 dx= 2e^x + x^3 + C (C为常数)在积分区间[0, 2]上计算,得到:∫[0, 2](2e^x + 3x^2) dx = [2e^2 + 2^3] - [2e^0 + 0^3]= 2e^2 + 8 - 2 - 1= 2e^2 + 53) ∫(2cos(x) - e^x) dx = 2∫cos(x) dx - ∫e^x dx= 2sin(x) - e^x + C (C为常数)在积分区间[0, π]上计算,得到:∫[0, π](2cos(x) - e^x) dx = [2sin(π) - e^π] - [2sin(0) - e^0]= 0 - 1 - 0 + 1= 0以上就是高数期末考试题及答案,希望对你的学习有所帮助。
山东期末高数试题及答案一、选择题(每题5分,共20分)1. 函数f(x)=x^2-4x+3在区间[0,4]上的最大值是()A. 1B. 3C. 5D. 9答案:C2. 极限lim(x→0) (sin(x)/x)的值是()A. 0B. 1C. -1D. 2答案:B3. 已知函数f(x)=x^3+2x^2-x+1,求f'(x)=()A. 3x^2+4x-1B. 3x^2+4x+1C. 3x^2-4x+1D. 3x^2-4x-1答案:A4. 曲线y=x^3-6x+8在点(2,0)处的切线斜率是()A. -2B. 4C. -8D. 12答案:B二、填空题(每题5分,共20分)5. 设函数f(x)=x^2-4x+c,若f(x)在x=2处取得极小值,则c的值为______。
答案:46. 已知数列{a_n}满足a_1=1,a_{n+1}=2a_n+1,求a_3=______。
答案:97. 设函数f(x)=x^3-3x+1,求f''(x)=______。
答案:6x-38. 曲线y=x^2-4x+5与直线y=2x-1的交点坐标为______。
答案:(2,3),(3,8)三、解答题(每题15分,共60分)9. 求函数f(x)=ln(x+1)-x在区间(0,+∞)上的最小值。
答案:由f'(x)=1/(x+1)-1=-x/(x+1),令f'(x)=0得x=0,当x∈(0,+∞)时,f'(x)<0,故f(x)在(0,+∞)上单调递减,所以f(x)的最小值为f(0)=0。
10. 求函数f(x)=x^3-3x^2+2在区间[-1,2]上的最大值和最小值。
答案:由f'(x)=3x^2-6x=3x(x-2),可知在[-1,0)上f'(x)>0,在(0,2]上f'(x)<0,故f(x)在[-1,0)上单调递增,在(0,2]上单调递减。
因此,f(x)的最大值为f(0)=2,最小值为f(2)=-2。
ΩΣΣ1ΣΣΣΣ高等数学期末试卷一、填空题1. 函数z =xy 在点(0,2)处的最大方向导数为 。
2. 设f(x)={−2 ,−1<x ≤02+x 2,0<x ≤1,则其以2为周期的Fourier 级数在x =−4处收敛于 。
3. 已知(a ⃑×b ⃑⃑)∙c ⃑=1,则(a ⃑×b ⃑⃑)∙(a ⃑+3b ⃑⃑+2c ⃑)= 。
4. 设L: x 2+y 2=1,则曲线积分∮(x+2y)2−1πLds = 。
5. 设Σ是由曲线{2z =x 2y =0,绕z 轴旋转一周所生成的曲面,则其在点M(1,1,1)处的切平面方程为 。
二、选择题 1. 设直线L:x−12=y −1=z−34,则下面平面中与直线L 垂直的是( ) A.2x −y +4z =1 B.2x −y +2z =1 C.−x +2y +z =3D.2y +z =32. 设函数z =f(x,y)的全微分为dz =xdx +ydy ,则点(0,0) ( )A.不是z =f(x,y) 的极值点B.是z =f(x,y)的极小值点C.是z =f(x,y) 的极大值点D.不是z =f(x,y)的连续点3. 设函数f (u )连续,且满足f (0)=0,f ′(0)=1,Ω:x 2+y 2+z 2≤t 2(t >0),则lim t→0+1πt 4∭f(√x 2+y 2+z 2)dV =( ) A.0B.12C.1D.434. 设曲面Σ的方程为x 2+y 2+z 2=z ,Σ1为Σ在第一卦限的部分,则下列不正确的是( )A.∬xdS =0B.∬x 2dS =∬y 2dSC.∬z 2dS =4∬z 2dSD.∬x 2dS =05. 下列级数中收敛的有( )个。
①∑1−cos 1n ∞n=1;②∑(1n −1n +1)cosnπ∞n=1;③∑(1+1n )−n ∞n=1;④∑2nn 33n ∞n=1。
A.1B.2C.3D.4三、计算二重积分∫dy 10∫e −x 2dx 1y 。
一、填空题1、椭球面∑:222216x y z ++=在点0(2,2,2)P 处的切平面方程是___________.2、设曲线L 的方程为221x y +=,则2[()]L x y y ds +−=⎰ .3、设()21,0,1,0,x f x x x ππ−−<≤⎧=⎨+<≤⎩ 则其以2π为周期的傅里叶级数在点x π=处收敛于 .4、微分方程220y y y '''++=的通解为 .5、设23(,,)2f x y z x y z =++,则(1,1,1)grad f = . 二、选择题1、设222z x y ze ++=,则11x y dz===( ))(A 2(dx dy)−+ )(B 22(z 1)e (z 1)ez zdx dy −−+++ )(C 22dx dy +)(D 22dx dy −+2、二次积分20(,)dx f x y dy ⎰ 化为极坐标下累次积分为( )drr F d D drr F d C drr F d B dr r F d A ),(2)(),()(),()(),()(cos 202cos 2022cos 20cos 200θθθθθθθθθπθππθππθπ⎰⎰⎰⎰⎰⎰⎰⎰−−3、微分方程sin y y x x '''+=+的特解形式可设为( ).(A )*()sin cos y x ax b A x B x =+++ (B )*(sin cos )y ax b x A x B x =+++ (C )*(sin cos )y x ax b A x B x =+++ (D )*sin cos y ax b A x B x =+++ 4、直线1121410214x y z x y z −+−==−++=−与平面2的位置关系是( ) )(A l ∥π但l 不在π上 )(B l 在平面π上 )(C l ⊥π)(D l 与π斜交5、设曲面∑的方程为222,x y z z ++=,1∑为∑在第一卦限的部分,则下列结论不正确...的是( ). (A )0xdS ∑=⎰⎰(B )0zdS ∑=⎰⎰(C )1224z dS z dS ∑∑=⎰⎰⎰⎰(D )22x dS y dS ∑∑=⎰⎰⎰⎰三、设(,)sin xz f xy y y =+,其中f 具有二阶连续偏导数,求2,z z x x y ∂∂∂∂∂.四、求22(,)2f x y x y =−+在椭圆域D :2214y x +≤上的最大值和最小值.五、计算二重积分:2DI y x d σ=−⎰⎰,其中:11,02D x y −≤≤≤≤.六、已知积分22(5())()x x Ly ye f x dx e f x dy −−−+⎰与路径无关,且6(0)5f =.求()f x ,并计算(2,3)22(1,0)(5())()x x I y ye f x dx e f x dy −−=−+⎰.七、计算积分2232222()(2)xz dydz x y z dzdx xy y z dxdyI x y z ∑+−++=++⎰⎰,其中∑是上半球面z =,取上侧.八、求幂级数∑∞=−−−12112)1(n n n x n 的收敛域及和函数,并求数项级数∑∞=−−−1112)1(n n n 的和.九、设0(1,2,3,...)n u n ≠=,且lim 1n nnu →∞=,则级数11111(1)()n n n n u u ∞+=+−+∑是否收敛?如果是收敛的,是绝对收敛还是条件收敛?解答一、填空题1. 28x y z ++=;2. 2π ;3. 22π;4. 12(cos sin )x y e c x c x −=+;5. (2,2,3).二、选择题1.A ;2.C ;3.A ;4.D ;5.B .三、解答::121211()0z f y f yf f x y y∂''''=⋅+⋅+=+∂ 2111122212222211[()][()]z x x f y f x f f f x f x y y y y y∂''''''''''=+⋅+⋅−−+⋅+⋅−∂∂111222231.xf xyf f f y y''''''=+−−四、解答:(1)区域D 内部:''2020x yf x f y ⎧==⎪⎨=−=⎪⎩ 得点(0,0) (0,0)2f =(2)区域D 边界:222(,)(44)252f x y x x x =--+=- (11)x −≤≤ 得点±±(1,0) 及(0,2) (1,0)3f ±=,(0,2)2f ±=− 所以最大值是3,最小值是-2.五、解答::设2212:11,2;:11,0,D x x y D x y x −≤≤≤≤−≤≤≤≤ 则12222d d d DD D I y x y x y x σσσ=−=−+−⎰⎰⎰⎰⎰⎰1222221212211()d ()d ()d ()d 225D D x xy x x y dx y x y dx y x yσσ−−=−+−=−−−=⎰⎰⎰⎰⎰⎰⎰⎰六、解答:由已知得Q Px y∂∂=∂∂即 2222()()15()x x x e f x e f x e f x −−−'−+=−,2()3()e x f x f x '+=.332351()[dx c]e (e c)5dx dx x x x f x e e e −−⎰⎰=+=+⎰.将6(0)5f =代入得1c =.故231()5x x f x e e −=+,234461010110(e e )dy 3(e )55I dx e −−−=++=+⎰⎰七、解答:()()2232212I xz dydz x y z dzdx xy y z dxdy a ∑=+−++⎰⎰ 记()()223212I xz dydz x y z dzdx xy y z dxdy ∑=+−++⎰⎰添加1:0z ∑= ()222x y a +≤ ,取下侧 则:111I ∑+∑∑=−⎰⎰⎰⎰又:()1222x y z dv ∑+∑Ω=++⎰⎰⎰⎰⎰224000sin ad d d ππθϕρϕρ=⎰⎰⎰ 525a π= 又:()111222xy y z dxdy xydxdy ∑∑∑=+=⎰⎰⎰⎰⎰⎰ 20xyD xydxdy =−=⎰⎰312125I I a a π∴==八、解答:12)1(1−−=−n a n n ,1lim 1==+∞→n n n a a R ,1±=x 时原级数为∑∞=−−−1112)1(n n n 收敛,故此幂级数的收敛域为[],11−。
高数第二期末试题及答案一、选择题(每题5分,共20分)1. 函数f(x) = x^2 + 3x + 2的导数是:A. 2x + 3B. x^2 + 3C. 2x + 6D. x^2 + 2x + 3答案:A2. 极限lim(x→0) (sin x)/x的值是:A. 0B. 1C. 2D. ∞答案:B3. 曲线y = x^3 - 2x + 1在x = 1处的切线斜率是:A. 2B. 3C. 1D. -1答案:B4. 函数f(x) = ln(x)的不定积分是:A. x * ln(x) - x + CB. x * ln(x) + x + CC. x * ln(x) + CD. x * ln(x) - x + C答案:C二、填空题(每题5分,共20分)5. 函数f(x) = e^x的n阶导数是______。
答案:e^x6. 如果f(x) = x^2 + 2x + 1,则f'(x) = ______。
答案:2x + 27. 定积分∫(0, 1) (x^2 - x) dx的值是______。
答案:1/38. 函数y = sin(x)的周期是______。
答案:2π三、解答题(每题10分,共60分)9. 求函数f(x) = x^3 - 3x^2 + 2在x = 1处的极值。
解:首先求导数f'(x) = 3x^2 - 6x。
令f'(x) = 0,解得x = 0 或 x = 2。
当x < 0 或 x > 2时,f'(x) > 0,函数单调递增;当0 < x < 2时,f'(x) < 0,函数单调递减。
因此,x = 1处为极大值点,极大值为f(1) = 0。
10. 求极限lim(x→∞) (x^2 - 3x + 2) / (x^3 + 1)。
解:分子分母同时除以x^3,得到lim(x→∞) [(2/x - 3/x^2 +2/x^3) / (1 + 1/x^3)]。
高数期末考试题及答案一、选择题(每题5分,共20分)1. 极限的定义是:A. 函数在某点的函数值B. 函数在某点的导数值C. 函数在某点的无穷小变化量D. 函数在某点的无穷小变化量与自变量无穷小变化量的比值的极限答案:D2. 函数y=x^2+3x+2的导数是:A. 2x+3B. 2x+6C. x^2+3D. 3x^2+2答案:A3. 以下哪个函数是偶函数?A. y=x^3B. y=x^2C. y=x^5D. y=x+1答案:B4. 积分∫(0,1) x^2 dx的值是:A. 1/3C. 1D. 2答案:B二、填空题(每题5分,共20分)1. 函数y=sin(x)的不定积分是______。
答案:-cos(x) + C2. 函数y=e^x的导数是______。
答案:e^x3. 函数y=ln(x)的定义域是______。
答案:(0, +∞)4. 函数y=x^3的二阶导数是______。
答案:6x三、计算题(每题10分,共30分)1. 计算极限lim(x→0) [(x^2 + 1) / (x - 1)]。
答案:-12. 求函数y=x^3 - 3x^2 + 2x的极值点。
答案:极值点为x=0和x=2。
3. 计算定积分∫(0,2) x^2 dx。
答案:8/3四、证明题(每题15分,共30分)1. 证明函数f(x)=x^3在R上是增函数。
2. 证明函数f(x)=x^2在[0, +∞)上是凹函数。
答案:略。
------------------------------------ 装 ------------------------------------ 订--------------------------------线--------------------------------------期 末 试 卷1.填空(每空2分,共10分) (1) f(x)=sinx x1sin⋅的间断点是 ,是第 类间断点. (2)函数xe x y 2=在=x 处取得极小值,在=x 处取得极大值.(3)曲线 2x y =上点 处的切线平行于直线x y =.(4)若(0,1)是曲线c bx x y ++=23的拐点,则=b ,=c .(5)比较大小dx x⎰12dx x ⎰14.2.选择题(每题2分,共10分)(1)如果函数)(x f y =在0x 处不可导,则曲线在点))(,(00x f x 处( ).A .切线不存在 B. 切线垂直于x 轴 C. 切线不存在或切线垂直于x 轴 (2)如果函数)(x f y =在0x 处不可导,则曲线在点))(,(00x f x 处( ). A .切线不存在 B. 切线垂直于x 轴 C. 切线不存在或切线垂直于x 轴 D.切线平行于x轴(3)若函数d cx bx ax y +++=23)0(>a 满足条件 032<-ac b ,那么这函数( ).A .有极值B .有极大值C .有极小值D .没有极值(4)若点(1,3)为曲线23bx ax y +=的拐点,则a 、b 的值分别为( ).A .23-=a ,29=b B .3-=a ,6=b C .23=a ,29-=b D .3=a ,6-=b(5)下列等式中错误的是( ).A .⎰⎰=+baa bdx x f dx x f 0)()( B .⎰⎰=b a badt t f dx x f )()(C .⎰-=aadx x f 0)( D .⎰=aadx x f 0)(3.计算题(每题6分,共54分)------------------------------------ 装 ------------------------------------ 订--------------------------------线--------------------------------------(1)132l i m1--+→x x x (2))1(2)1s i n (l i m 1++-→x x x (3)xy x1tan 221tan+= ,求y '. (4)x x y 1010+=,求y '.(5)xy y 62= ,求x y '. (6)⎰-332xdx(7)⎰xdx x 210sec tan(8)⎰xdx xarctan 2(9)dx xx ⎰-21214.由力学知,矩形横梁的强度与它的 断面高的平方与宽的积成正比.要将直径为d 的圆木锯成强度最大的横梁,断面的宽和高应为多少?(见图1)(9分)5.求微分方程的通解:0ln =-'y y y x .(8分)6.计算由曲线0,42=-=y x y 围成的图形的面积.(9分)图1------------------------------------ 装 ------------------------------------ 订--------------------------------线--------------------------------------高等数学(少学时)试题1参考答案1. 填空(每题2分,共10分) (1) x=0,一 (2)0,-2 (3)(41,21) (4)0,1(5)>2.选择题(每题2分,共10分)(1)C (2)C (3)D (4)A (5)C 3.计算题(每题6分,共54分) (1)132lim1--+→x x x型00 原式=633211221lim1==+→x x(2))1(2)1sin(lim 1++-→x x x 型0原式=212)1cos(lim1=+-→x x )1tan 222(ln 1sec )1tan 222(ln 1cos 11)1(1tan 21cos 1)1(1cos 12ln 2)3(1tan221tan2222221tan 'x x x xx xx x xxxy x xx+⋅-=+⋅⋅-=-⋅⋅+-⋅⋅=x x y 1010ln 10)4(9'⋅+=------------------------------------ 装 ------------------------------------ 订--------------------------------线--------------------------------------)62(66)62(662)5(''''x y y y yy x y xy y yy x -==-+=cx cu c u du u du ux u x d xdx x +--=+-=+⋅-=-=-=-=---=-⎰⎰⎰⎰3232323133332212123313113132)32(32131321)6()(原式原式设 c x c t dt t t x x xd xdx x +⋅=+====⎰⎰⎰11111010210tan 111111tan )(tan tan sec tan )7(原式设------------------------------------ 装 ------------------------------------ 订--------------------------------线--------------------------------------cx x x x c x x c t t dt t t u u d u du u u x u dx x x dx x x xd x x d x x x xdx xdx x +++-=++-+=+-=-==+++-=++-+==+=+=-⋅==⎰⎰⎰⎰⎰⎰⎰⎰⎰)1ln(6161arctan 31))1ln(1(21)ln (21)11(211)1(1112111112112111arctan )arctan (arctan 31arctan 31arctan )8(2232222222333332原式设设分部积分法------------------------------------ 装 ------------------------------------ 订--------------------------------线--------------------------------------33)6cot 2(cot )62[(cot sin cos cos sin 1111111)9(2622622121222112212212-=-+--==--===---=-==-=-⎰⎰⎰⎰⎰⎰πππππθθθθθθθθππππd d d dt t dt t t tdt t xdxxdx x x 原式令原式令4.设强度为s ,则s=x h 2时强度最大,高为所以当宽为d d d h d x x d x x d s xx d s d h x 363336,3303)()(22'32'22222===-=-=-==+------------------------------------ 装 ------------------------------------ 订--------------------------------线--------------------------------------cxx x c e x ce ce e e e y e x y c x y dx x dy y y xdxy y dy y y dx dyx c====+=+====-⋅+⎰⎰ln ln ln ln 1ln 1ln 0ln .5两端积分得:6.曲线交点为(-2,0),(2,0) S=A+B因为是对称图形,所以A=B332316)431()40(203202==+-=+-=⎰S x x dxx A期 末 试 卷1.填空(每空2分,共10分)------------------------------------ 装 ------------------------------------ 订--------------------------------线--------------------------------------(2) 设f(x)=⎪⎪⎩⎪⎪⎨⎧x e x 1arcsin01 000>=<x x x , 则x=0是f(x)的第 类间断点.(2))(x f 在点0x 处可导是)(x f 在点0x 处连续的 条件,)(x f 在点0x 处连续是)(x f 在点0x 处可导的 条件.(3)的极大值点在 ,极大值为 ;极小值点在 ,极小值为 .(4)曲线xxe y =的凹区间是 ,凸区间是 ,拐点是 . (5)比较大小dx x ⎰1ln dx x ⎰12ln .2.选择题(每题2分,共10分)(1)设,2,cos 12x x =-=βα则当0→x 时,( ).A. 是同阶无穷小与βαB. 是等价无穷小与βαC. 是高阶的无穷小是较βαD. 是低阶的无穷小是较βα(2)一质点作直线运动的方程是 232010t t s -+=, 则2=t 时质点运动的加速度为( ).A . 0 B. -6 C. 6 D. 8(3)设)(x f 在0x 点可导,且0)(0='x f ,则0x 一定是)(x f 的( ).A .极值点B .驻点C .极大值点D .极小值点 (4)若⎰+=C x F dx x f )()(,则⎰+dx b ax f )(是( ). A.C b ax F ++)( B.C b ax F a++)(1C.)(1b ax F a + D.C abx F ++)((5)设⎰=-10,1)(dx x a x 则常数=a ( ). A.38 B.31 C.34 D.32 3.计算题(每题6分,共54分)------------------------------------ 装 ------------------------------------ 订--------------------------------线--------------------------------------(1)x xx 5sin 2sin lim 0→ (2)()x x x 101lim -→ (3) x y arccos = ,求y '.(4)112+=x y,求y '. (5) 022=-+yx xy ,求x y '.(6)⎰x x x dxln ln ln(7)⎰-+xx e e dx (8)⎰-12x x dx (9)⎰exdx x 1ln4.轮船甲位于轮船乙以东75n mile (海里)处,以12 n mile / h 的速度向西航行,而轮船乙则以6 n mile/ h 的速度向北航行,问经过多少时间,两船相距最近?(9分) 5.求微分方程的通解:x e y dxdy-=+.(8分) 6.计算由曲线0,7ln ,2ln ,ln ====x y y x y 围成的图形的面积.(9分)------------------------------------ 装 ------------------------------------ 订--------------------------------线--------------------------------------高等数学(少学时)试题2参考答案1、填空(每题2分,共10分)(1)二 (2)充分 不充分必要 (3)0,0,1,-1 (4)(-2,+∞),(-∞,-2)(-2,-22-e )(5)> 2.选择题(每题2分,共10分) (1)A (2)D (3)B (4)B (5)A 3.计算题(每题6分,共54分) (1)xxx 5sin 2sin lim0→00型原式=15cos 2cos lim0=→xxx (2)xx x 10)1(lim -→ ∞1型原式=10)1ln(1lim 0==-→e e x xx(3)xx xxy --=∙--=1212111'(4)3232232')1(2)1(212)1(21+-=∙+-=∙+-=-x x x x x x y(5)x 'y +y+ln2x 2∙-lny y 2'y =0 (x-lny y 2)'y =-ln2x 2∙'xy =xy yx-⋅⋅2ln 22ln------------------------------------ 装 ------------------------------------ 订--------------------------------线--------------------------------------cx ct dt t ut u u d u u du xu xx xd +=+======⋅=⎰⎰⎰⎰ln ln ln ln 1ln ln ln ln ln ln ln ln ln )6(所以原式设设原式ce cu du u e u de e dx e e e e dx x xx x x xx x +=+=+==+=+=+⎰⎰⎰⎰-arctan arctan 111)(11)()7(222原式设cxt c t dt tt tdtt tdtt dx t x x x dx+=+=====-⎰⎰⎰1arccos tan sec tan sec tan sec sec 1)8(2代入原式把原式则设2sin 2cos 2cos )9(20200===⎰⎰πππxxdx dx x4.设底边长为x,高为h时表面积最小高为所以当边长为最小时当表表363,621621610844222s h x xx x x x s xh x s ==++=+=+=------------------------------------ 装 ------------------------------------ 订--------------------------------线--------------------------------------5.先求对应齐次方程y dxdy2= 分离变量得:dx ydy 2=积分得:lny=2x+c y=c x e +2=c x e 2用常数变易法求原方程的通解,设解为 y=c(x)x e 2(c(x)是待定函数)代入原方程:xx x x xx x x x x e ce c e e y cex c e x c e e x c e x c e x c -=+-=+-===-+---22'222')()()()(2)(2)(所以6.曲线y=x y x 2,3=的交点为(0,0),(22,2--),(22,2) S=21A A +2141)2(1441241)2(210220243222042023201=+==-=-==⨯-=-=-=--⎰⎰A A s x x dx x x A x x dx x x A 所以围成的面积为2.------------------------------------ 装 ------------------------------------ 订--------------------------------线--------------------------------------期 末 试 卷1.填空(每空2分,共10分)(3) 若011lim 2=⎪⎪⎭⎫⎝⎛--++∞→b ax x x x ,则a= ,b= . (2)设,0)(=x f )0(f '存在,则=→xx f x )(lim. (3)的极大值点在 ,极大值为 ;极小值点在 ,极小值为 .(4)曲线xxe y -=的凹区间是 ,凸区间是 ,拐点是 .(5)比较大小dx x ⎰212 dx x ⎰214.2.选择题(每题2分,共10分)(1)⎪⎩⎪⎨⎧-=x xx f 22)( 21110≤<=<<x x x 的连续区间为( ).A.[0,2]B.(0,2)C.[0,2]D.(0,1)⋃(1,2)(2)曲线 2sin x x y +=在点(0,0)处的切线与x 轴正向夹角为( ).A .30B. 45C. 135D . 150(3)设函数22)4(-=x y ,则在区间2(-,)0和2(,)∞+内,y 分别为( )A .单调增,单调增B .单调值,单调减C .单调减,单调增D .单调减,单调减(4)已知函数)(x f y =的导数等于2+x ,且2=x 时5=y ,则这个函数为( ).A.x x y 22+= B. x x y 222+=------------------------------------ 装 ------------------------------------ 订--------------------------------线--------------------------------------C. 1222-+=x x y D. 1222++=x x y(5)下列等式中错误的是( ).A.⎰⎰=+baabdx x f dx x f 0)()( B.⎰⎰=b a badt t f dx x f )()(C.⎰-=aadx x f 0)( D.⎰=aadx x f 0)(3.计算题(每题6分,共54分)(1)x x x x sin cos 1lim 0-→ (2)xx x x 21lim ⎪⎭⎫ ⎝⎛+∞→ (3) 22sin sin x x y =,求y '.(4)x x y +=,求dy .(5)yx exy += ,求x y '. (6)⎰++dx xx 122(7)⎰dx x x )cos(2(8)⎰+dx e x11 (9)dx x ⎰πcos4.要制作一个底为正方形,容积为108m 3的长方体开口容器,怎样做所用料最省?(9分) 5.求微分方程的通解:x e y dxdy=-2.(8分) 6.计算由曲线x y x y 2,3==围成的图形的面积.(9分)------------------------------------ 装 ------------------------------------ 订--------------------------------线--------------------------------------高等数学(少学时)试题2参考答案1、填空(每题2分,共10分)(1)1,-1 (2))0('f (3)0,0,x=e1, x=-e1 (4))2,2(,2),2,(),,2(2-=-∞+∞e x (5)<2、选择题(每题2分,共10分)(1)D (2)B (3)A (4)C (5)C 3、计算题(每题6分,共54分) (1)cinxx xx ⋅-→cos 1lim0 00型=x x x xx cos sin sin lim 0⋅+→ 0=x x x xx sin cos 2cos lim 0-→=21 (2) xx x x 21lim ⎪⎭⎫ ⎝⎛+→∞1型=101ln 2lim ==+⋅∞→e exxx x(3)22sin sin xxy = 求'y 22222's i n 2c o s s i n s i n 2c o s s i n xxx x x x y ⋅⋅-⋅⋅= =22222sin 2cos sin sin 2cos sin x xx x x x x ⋅⋅-⋅⋅(4) x x y +=------------------------------------ 装 ------------------------------------ 订--------------------------------线--------------------------------------xx x dx dy ++=2211 =xx x x ++2221 =x x x x ++2421dx xx x x dy ++=2421(5) 'x y x y e xy 求+=)1(''y e xy y y x +=++ y x y x e y y e x +++=-')(yx y x xex e y y ++-+=∴' (6) dx xx ⎰++122=dx xx x ⎰++-++1)1(2)1(32 =⎰⎰⎰-++++dx dx x dx x 2)1(13=⎰⎰⎰-++++dx dx x x d x12)1()1(113 =c x x x +-++2121ln 3(7)dx x x ⎰)cos(2=dx x )(cos 212⎰ 2x u = =⎰udu cos 21------------------------------------ 装 ------------------------------------ 订--------------------------------线--------------------------------------=c x +2sin 21 (8)dx ex⎰+11令t e x = t x ln = 原式=dt tt ⎰+11令t u +=1 12-=u t =1)1(122--⎰du u u =du u u u⎰-)1(22=du u ⎰-1122=du u u ⎰-+)1)(1(12=du u u 1111212+--⨯⎰ =c u u +-+-11ln ln =c u u ++-11ln(9)分部积分法⎰exdx x 1ln=dx x x x e e x 2112211ln 21⋅-⋅⎰ =xdx e e⎰--1221)0(21=)(4121122e x e - =41412122+-e e =41412+e------------------------------------ 装 ------------------------------------ 订--------------------------------线--------------------------------------4.两船相距距离为S小时时距离最近。
高等数学期末试题及答案第一部分:选择题1. 在极限计算中,下列哪一项是正确的?A. 当分子分母的次数相同时,可直接求极限B. 当分子分母的次数相差1时,可直接求极限C. 当分子分母的次数相差2时,可直接求极限D. 当分子的次数大于分母时,极限不存在2. 函数y = ln(x)的导数是:A. y = 1/xB. y = 1C. y = ln(x)D. y = x3. 曲线y = 2x^3 + 3x^2 - 12x的拐点是:A. (2, 10)B. (0, -12)C. (1, -7)D. (4, 56)4. 两个正数相加,它们的和为常数。
则这两个正数的乘积最大时,它们应该是:A. 相等B. 一个为0,一个为常数C. 一个为常数,一个趋近于无穷大D. 一个趋近于0,一个趋近于无穷大5. 在极坐标系中,点P的坐标为(r, θ),则点P的平面直角坐标是:A. (r, θ)B. (r*cosθ, r*sinθ)C. (r*sinθ, r*cosθ)D. (r*cosθ, r*cosθ)第二部分:计算题1. 求函数f(x) = x^3 - x^2 - 4x + 4在区间[-2, 2]上的最大值和最小值。
2. 已知f(x) = e^x,求f'(x)。
3. 将函数y = 2sin(x) - cos(2x)在区间[0, π]上的离散点连接成折线,计算所得折线围成的面积。
第三部分:解答题1. 证明方程x^3 + 3x - 1 = 0在区间[0, 1]内有且只有一个实根。
2. 已知椭圆的长半轴为a,短半轴为b,证明椭圆的离心率为e = √(a^2 - b^2) / a。
3. 求曲线y = ln(x)在点(1, 0)处的切线方程。
第四部分:解答题(附答案)1. 证明:对于任意实数x,有|x| ≤ √(x^2)。
证明:设x为任意实数,考虑两种情况:当x ≥ 0时,有|x| = x,而√(x^2) = x,因此|x| ≤ √(x^2)成立;当x < 0时,有|x| = -x,√(x^2) = √((-x)^2) = -x,因此|x| ≤ √(x^2)亦成立。
高等数学期末考试一、填空题1. 若)(x f 为可导的奇函数且,5)(0='x f 则______________)(0=−'x f .2. 曲线1ln e (0)⎛⎫=+> ⎪⎝⎭y x x x 的渐近线方程为 .3. 设lnsec ,y x =则y 的三阶导数为 .4. 若函数)(x f 可导且满足20()()ln 22x tf x f dt =+⎰,则()f x = . 5. 函数()(0,1)x f x a a a =>≠的带有拉格朗日型余项的n 阶麦克劳林公式为 . 二、选择题1.下列命题错误的是( ).(A )若函数)(x f 在点0x 处不连续,则)(x f 在点0x 处必不可导 (B )若函数)(x f 在点0x 处连续,则)(x f 在点0x 处必可导 (C )若函数)(x f 在点0x 处可导,则)(x f 在点0x 处必连续 (D )若函数)(x f 在点0x 处可导,则)(x f 在点0x 处必可微 2.下列等式中成立的是( ).(A )()()d f x dx f x =⎰ (B )()()df x dx f x dx dx =⎰(C )()()df x dx f x C dx =+⎰(D )()()d f x dx f x dx =⎰ 3.下列函数在[1,1]−上满足罗尔定理条件的是( ).(A )()x f x e =(B ) ()||f x x =(C )2()1f x x =−(D )1sin0()0x x f x xx ⎧≠⎪=⎨⎪=⎩4.函数arctan y x x =的图形是( )(A )(,)−∞+∞处处是凸的 (B )(,)−∞+∞处处是凹的(C )(,0)−∞为凸的,(0,)+∞为凹的 (D )(,0)−∞为凹的,(0,)+∞为凸的. 5.函数212x x x y C e C e xe −=++满足一个微分方程是( ) (A )23x y y y xe '''−−= (B )23x y y y e '''−−= (C )23x y y y xe '''+−= (D )23x y y y e '''+−= 三、计算下列各题1.2260(1)limln(1)x t x e dtx →−+⎰.2.求不定积分⎰3.1212dx −⎰.4.求曲线22x y a=和322a y a x =+所围平面图形的面积(0a >).5.设)(x y y =由方程053=−+x y e xy所确定,试求2002,x x dyd y dxdx ==.6.求微分方程,0)ln (ln =−+dx x y xdy x 满足条件1x ey==的解.四、设函数32ln(1)0arcsin () 6 010sin 4ax ax x x x f x x e x ax x x x ⎧⎪+<⎪−⎪⎪==⎨⎪+−−⎪>⎪⎪⎩,问a 为何值时,0x =是()f x 的可去间断点.五、当2021π<<<x x 时,证明不等式2211tan tan x x x x >.六、把星形线222333x y a +=所围成的图形, 绕x 轴旋转, 计算所得旋转体的体积.七、求数列中最大的项1e答案解析:在0x >区域内无间断点.()1limlim ln e 1,1ln 111e lim (())lim ln e 1lim ,1e →+∞→+∞→+∞→+∞→+∞⎛⎫=+=⎪ ⎭⎝⎛⎫+⎪ ⎤⎡⋅⎫⎛⎝⎭-=+-== ⎪⎢⎥⎝⎭⎣⎦x x x x x f x x x x f x x x x x1e=+y x 是斜渐近线,3.22sec tan x x 4.2ln 2xe答案解析:将方程两边求导得到()2(),(0)ln 2f x f x f 且¢==故方程的解为20()e ln 2e ,x f x c c c ,==×=故2()ln 2exf x =5.2112(ln )(ln )1)(0(ln )1ln (1)!!2!x n n n n xa a a a x x x x a a n n θθ++<<++++=++ (或2112(ln )(ln ))(0(ln )1ln (1)!!2!n n n nxa a a x a x x x a x a n n ξξ++<<++++=++ )二选择题1.B 2.D 3.C4.B答案解析:2arctan 1x y x x '=++,222222221210(1)(1)1x x y x x x +-''>=+=+++,故曲线处处是上凹的,应选(B ).5.D三、解答如下1.2260(1)limln(1)x t x e dtx →-+⎰原式=226(1)limx t x e dt x →-⎰445500(1)22lim lim 66x x x e xx x x x →→-==13= 高等数学答案解析一、填空题1.5,2.y =x +2.求不定积分原式212=⎰21arcsin 2x C =+3.1212dx-+⎰1202=⎰原式1220120(1)12arcsin )220x x =--=-=-+⎰⎰⎰12(2)12266x ππ=-⨯⨯+=-4.求曲线22x y a =和322a y a x=+所围平面图形的面积(0a >).求交点为(,,)22a a a a -,则3222(2a x dS dx a x a=-+,由对称性32222012()()223aa x S dx a a x a π=-=-+⎰5.设)(x y y =由方程053=-+x y e xy所确定,试求220==x x dx y d dxdy方程两边同时对x 求导得053)(2=-'+'+y y y x y e xy 235y xe ye y xyxy+-='222(())(3)(()6)(5)(3)xy xy xy xy xy xy xy y e ye y xy xe y e xe y xy yy ye y xe y ''''-+++-+++-''=+或222()263xy xy xy e y xy e y yy y xe y '''+++''=--又当10-==y x 时,2='y ,193y ''=6.求微分方程,0)ln (ln =-+dx x y xdy x 满足条件1x ey ==的解解将方程标准化为,1ln 1xy x x y =+'于是⎪⎪⎭⎫ ⎝⎛+⎰⎰=⎰-C dx e x e y dx x x dx x x dx ln ln 1⎪⎭⎫ ⎝⎛+=⎰-C dx e x e x x ln ln ln ln 1.ln 21ln 12⎪⎭⎫ ⎝⎛+=C x x 由初始条件,1==e x y 得,21=C 故所求特解为.ln 1ln 21⎪⎭⎫ ⎝⎛+=x x y 四.设函数32ln(1)0arcsin () 6 010sin4ax ax x x x f x x e x ax x x x ⎧⎪+<⎪-⎪⎪==⎨⎪+--⎪>⎪⎪⎩,a 为何值时,0x =是()f x 的可去间断点?解:3322000002ln(1)33lim ()lim lim lim lim 611arcsin arcsin 1()2x x x x x ax ax ax ax f x a x x x x x →-→-→-→-→-+=====---⋅-22220000021122lim ()lim lim lim lim 42111sin 4422ax ax ax ax x x x x x e x ax e x ax ae x a a e f x a xx x x→+→+→+→+→++--+--+-+====+若0x =是()f x 的可去间断点,则00lim ()lim ()(0)x x f x f x f →-→+=≠2 6426a a ∴-=+≠,即:2a =-五.当2021π<<<x x 时,证明不等式1212tan tan x x x x >证明:令xxx f tan )(=,2 ,0(π∈x .因为0tan tan sec )(222>->-='xx x x x x x x f ,所以在)2 ,0(π内f (x )为单调增加的因此当2021π<<<x x 时有2211tan tan x x x x <,即1212tan tan x x x x >.六.解:由对称性,所求旋转体的体积为⎰=adxy V 022πdxx a a⎰-=033232)(2π30234323234210532)33(2a dx x x a x a a aππ=-+-=⎰.七.求数列中最大的项.解:令1 (0)xy x x =>,则1ln ln y x x=两边对x 求导,得:22111ln y x y x x '=-+,12 (1ln )xy xx '∴=-令0y '=,得x e =为唯一驻点,且当0x e <<时,0y '>;当e x <<+∞时,0y '< x e ∴=为函数的最大值点又< ,∴是该数列中最大项。
高等数学期末复习(专科)试卷一
一、填空
1、已知1ln )(21-+=⎰x x dt t f x
,则=)(x f ___________.
2、
=-⎰
dx x x )cos 5sin 2(20
π
_________ .
3、设b a
,为非零向量,若0=⋅b a ,则必有____________ .
4、函数)4arcsin(22-+=y x z 的定义域是___________.
5、微分方程02=-x dx
dy
的通解为____ . 6、2
2
1)ln(lim y
x e x y y x ++→→_________.
二、单项选择
1、下列方程中为一阶线性方程的是( ).
A 、x e xy y =+'2
B 、
02=+'-''y y x y x C 、y
x y +='1
D 、0365)4(=-''+y y y 2、下列积分中,值为零的是( ).
A 、dx x ⎰-1
12
B .dx x ⎰-2
13
C .⎰-11dx
D .xdx x sin 1
1
2⎰-
3、若()⎰=+1
2dx k x ,则k=( ).
A 、0
B 、1
C 、1-
D 、
2
3 4、空间直角坐标系中,点)3,2,1(-在第( )卦限
A 、Ⅳ
B 、Ⅱ
C 、Ⅷ
D 、 Ⅲ
5、设平面方程为0=++D Cz Bx ,且0,,≠D C B , 则平面( ). A.平行于x 轴 B.轴平行于y C.经过y 轴 D. 垂直于y 轴
6、已知二元函数)sin(xy z =,则二阶偏导数=xx Z ( ).
A .)sin(2xy x -
B .)sin(2xy x
C .)sin(2xy y -
D .)sin(2xy y
三、计算下列各题 1、若)ln(22y x z +=,求du
2、求过点M )1,2,1(且垂直于两平面0=+y x 和05=+z y 的平面方程.
3、已知)3,0,1(=, )3,1,0(=,求OAB ∆的面积.
4、求微分方程0)sin (=+-xdy dx x x y 满足初始条件10
==x y 的特解.
5、求⎰+-+π
πdx x x e x )sin (2cos
6、求dx e x ⎰1
.
四、试解下列各题 1.
求3
20
tan lim
x
dt t x
x ⎰→
2、设4=a
,6=b ,12-=⋅→→b a ,求b a ⨯.
3、设xy e z =,求x z ∂∂,y
z ∂∂ 五、计算
由曲线3x y =,直线0,2==y x 所围成的图形,求: ①所围图形的面积;
②绕x 轴旋转所得旋转体的体积.
高等数学期末复习(专科)试卷二
一、填空
1、若=+=⎰)(,2sin )(x f c x dx x f 则____ .
2、根据定积分的几何意义,
⎰
=-3
29x ____ .
3、已知两点1M )2,1,0(和2M )0,1,1(-,则=-212M M ____ .
4、二元函数)
ln(1
y x z +=
的定义域为____ .
5、微分方程04='-'+''y y y x y xy 的阶数为____ .
6、若定积分)0(1122
>=+⎰a dx x x
a
,则常数=a ____ .
二、单项选择
1、下列微分方程中( )即是一阶可分离变量微分方程,又是一阶非齐次线性微分方程 A 、x y
y +=
'1
B 、2y y ='
C 、x y y =+'
D 、x xy y =+'2 2、设⎰=1
1,dx e I x ⎰=1
1,2
dx e I x ,则( ).
A 、 21I I >
B 、 21I I <
C 、 21I I =
D 、 22
1I I = 3、下列解中为某二阶微分方程的通解的是( ). A 、x C y sin = B 、x C x C y cos sin 21+= C 、x x y cos sin += D 、x C C y cos )(21+=
4、下列二元函数中( )的一阶偏导数满足y x z z '='
A 、 y x z =
B 、y x e e z =
C 、y x z ln ln =
D 、y x z sin sin =
5、已知向量{}
的坐标为),则起点,(的终点为P ,712Q 7,4,4--=→
PQ ( ). A 、)0,3,2(- B 、)0,3,2(- C 、)14,5,4(- D 、)14,5,4(-
6、=++⎰dt t t dx d x
33
2)42(( ).
A 、423++x x
B 、)42(3++-x x
C 、4226++x x
D 、)42(26++-x x 三、计算下列各题 1、计算⎰
++dx x 3
11.
2、设b a b a -=+,)8,5,3(-=a
,),1,1(z b -= ,求z
3、已知)1,2,2(=a
,)3,5,4(=b ,求a b ⨯.
4、求过点)2,1,1(-且与平面02=-+z y x 平行的平面方程
5、求函数22y x z +=的全微分
6、求微分方程232++=+'x x y y x 的通解
四、试解下列各题
1、求微分方程02=-'+''x y y x 的通解.
2、求以)1,3,1(-=a
和)3,1,2(-=b 为邻边的平行四边形的面积.
3、计算dx x ⎰-2
1.
五、计算
求抛物线2x y =与直线2+=x y 所围成的图形的面积.
高等数学期末复习(专科)试卷三
一、填空
1、2cos )(x x x f +=的一个原函数为____ .
2、dx x x x
x ⎰-++1
1
2
61
cos = ____ . 3、函数22xy y x z +=的全微分是____ . 4、dt te x F x t ⎰=2
1)(,则)1('F =____ .
5、过点)1,0,3(-且与平面012573=-+-z y x 平行的平面方程是____ .
二、单项选择
1、若)(x F ,)(x G 都是)(x f 的原函数,则必有( ).
A 、)()(x G x F =
B 、)()(x CG x F =
C 、C x G x F +=)()(
D 、)(1
)(x G C
x F = 2、下列积分中,积分值为零的是( ).
A 、dx x ⎰-21
B 、xdx x 211
sin ⎰- C 、xdx x sin 11
⎰- D 、xdx x 21
1
2sin ⎰-
3
4=
, 5=,a 与的夹角为3
π
,则=⋅→→b a ( ).
A 、8
B 、10
C 、 4
D 、 12
4、设(,)z f x y =在点00(,)x y 处关于y 的偏导数存在,则0,0()
x y z
y ∂∂=( ).
A 、00000
(,)(,)lim
x f x x y y f x y x ∆→+∆+∆-∆ B 、00000(,)(,)
lim x f x x y f x y x ∆→+∆-∆
C 、00000
(,)(,)
lim
y f x y y f x y y
∆→+∆-∆ D 、0000(,)(,)lim x x f x y f x y x x →--
5、极限=+-→xy
xy y x 4
2lim
)
0,0(),(( ).
A 、 4
1
-
B 、 41
C 、4
D 、4-
三、计算下列各题. 1、求不定积分 (1)dx x x ⎰
+)1(1 (2)dx x
⎰+211
(3)dx e x x ⎰2 2、求下列定积分
(1)xdx x cos sin 20
3
⎰π
(2)⎰e
xdx x 1
ln
(3)⎰⎪⎩⎪⎨⎧>≤+=202
)(1
,2,
1,1)(dx x f x x x x x f 求 (4)dx x x ⎰-511 3、求由曲线x y =与2x y =围成的图形的面积.
4、(1)求微分方程032'=-y x y 满足初始条件20==x y 的特解; (2)已知x x y sin "+=,求微分方程的特解.
5、已知平面曲线上任意点),(y x M 处切线斜率为12'+=x y ,且平面曲线经过点
)7,2(,求此平面曲线.
四、证明题.
已知)1,0(,≠>=x x x z y ,求证z y
z
x x z y x 2ln 1=∂∂+∂∂.。