2015年USNews美国文理学院排名(Top100)
- 格式:pdf
- 大小:151.20 KB
- 文档页数:3
2015年USNEWS美国文理学院排名最新TOP1002015年USNEWS美国文理学院排名最新TOP100 。
威廉姆斯学院仍旧蝉联冠军的宝座。
第二和第三的文理学院分别是阿默斯特学院和斯沃斯莫尔学院。
2015美国文理学院排名名文理学院中文译名学费学生数 2013录取率1 Williams College 威廉姆斯学院 $48,310 2,131 17.5%2 Amherst College 阿默斯特学院 $48,526 1,785 14.3%3 Swarthmore College 斯沃斯莫尔学院 $46,060 1,534 14.3%4 Wellesley College 威尔斯利学院 $45,078 2,474 29.1%5 Bowdoin College 鲍登学院 $46,808 1,795 15%5 Pomona College 波莫纳学院 $45,832 1,612 13.9%7 Middlebury College 明德学院 $46,044 2,495 17.5%8 Carleton College 卡尔顿学院 $47,736 2,045 21%8 Claremont McKenna College 克莱蒙特·麦肯纳学院 $47,395 1,328 11.7%8 Haverford College 哈弗福德学院 $47,214 1,187 23.5%11 Davidson College 戴维森学院 $45,377 1,788 25.6%11 Vassar College 瓦萨尔学院 $49,570 2,477 24.1%13 United States Naval Academy 美国海军学院 $0 4,526 7.4%14 Washington and Lee University 华盛顿与李大学 $45,617 2,277 18.4%15 Colby College 科尔比学院 $47,350 1,820 26%15 Hamilton College 汉密尔顿学院 $47,820 1,926 27.2%15 Harvey Mudd College 哈维马地学院 $48,594 807 19.1%15 Wesleyan University 卫斯理大学 $47,972 3,205 20.4%19 Bates College 贝茨学院 $45,650 1,791 24.2%19 Grinnell College 格林内尔学院 $45,620 1,721 35.1%19 Smith College 史密斯学院(女校) $44,724 3,033 43.1%22 Colgate University 科尔盖特大学 $48,175 2,900 26.7%23 Oberlin College 奥伯林学院 $48,682 2,911 30.4%24 Macalester College 麦卡利斯特学院 $47,195 2,039 34.2%24 Scripps College 斯克利普斯学院(女校) $47,378 1,009 35.7%24 United States Military Academy 西点军校 $0 4,591 9%27 Bryn Mawr College 布尔茅尔学院(女校) $45,540 1,738 39.9%27 Colorado College 科罗拉多学院 $46,410 2,060 22.3%27 United States Air Force Academy 美国空军学院 $0 3,993 15.4%30 Kenyon College 凯尼恩学院 $47,330 1,705 38.4%30 University of Richmond 瑞奇蒙大学 $46,680 3,531 31.2%32 Barnard College 巴纳德学院(女校) $46,040 2,489 20.5%32 Bucknell University 巴克内尔大学 $48,498 3,608 29.5%34 College of the Holy Cross 圣十字学院 $45,692 2,912 33%35 Lafayette College 拉法叶学院 $45,635 2,486 34.1%35 Pitzer College 匹泽学院 $46,992 1,081 14.5%37 Dickinson College 迪金森学院 $47,692 2,494 44.5%37 Franklin and Marshall College 富兰克林马绍尔学院 $48,514 2,297 36.2%37 Skidmore College 斯基德莫尔学院 $47,314 2,702 35.1%37 Whitman College 惠特曼学院 $44,800 1,541 57%41 Mount Holyoke College 霍山学院(女校) $42,656 2,251 46.8%41 Soka University of America 创价大学 $30,214 412 43.4%41 Union College 联合学院 $48,384 2,246 37.3%44 Occidental College 西方学院 $47,522 2,128 42.4%45 Bard College 巴德学院 $48,240 2,278 37.6%45 Centre College 森特学院 $37,100 1,381 68.6%45 Connecticut College 康涅狄格学院 $47,740 1,922 36.7%45 Sewanee—University of the South 西沃恩南方大学 $37,100 1,701 60.3%45 Trinity College 圣三一学院 $49,056 2,422 31.8%50 Gettysburg College 盖茨堡学院 $47,480 2,533 41.6%51 Denison University 丹尼森大学 $45,670 2,274 46%51 DePauw University 迪堡大学 $42,746 2,304 61.2%51 Furman University 傅尔曼大学 $44,668 2,953 64.1%54 Rhodes College 罗德学院 $41,572 2,040 57.6%54 St. Olaf College 圣奥雷夫学院 $41,700 3,125 59.1%56 St. John's College 圣约翰学院 $47,826 493 87.1%56 St. Lawrence University 圣劳伦斯大学 $47,696 2,506 46.4%56 Wheaton College 伟顿学院 $31,900 2,993 70.3%59 Lawrence University 劳伦斯大学 $42,657 1,555 72.7%59 Sarah Lawrence College 莎拉劳伦斯学院 $50,780 1,782 77.1%61 Beloit College 伯洛伊特学院 $42,500 1,306 67.7%61 Hobart and William Smith Colleges 霍巴特威廉史密斯学院 $47,908 2,372 50% 61 Wabash College 瓦伯西学院 $37,750 902 69.6%64 Gustavus Adolphus College 古斯塔夫奥德罗普学院 $40,020 2,455 63.2%64 Kalamazoo College 卡拉马祖学院 $41,061 1,458 66.9%64 Muhlenberg College 穆伦堡学院 $44,145 2,448 46.2%64 Virginia Military Institute 弗吉尼亚军事学院 $37,574 1,675 47.8%64 Willamette University 威拉姆特大学 $44,076 3,024 57.8%69 Berea College 伯利亚学院 $870 1,623 34%69 College of Wooster 伍斯特学院 $43,350 2,116 56.3%69 Hillsdale College 希尔斯代尔学院 $23,616 1,511 49.5%69 Wheaton College 韦顿学院(麻省) $46,423 1,656 73.9%73 Agnes Scott College 阿格尼斯斯科特学院 $35,982 915 66.9%73 Earlham College 厄勒姆学院 $42,870 1,164 63.7%73 Illinois Wesleyan University 伊利诺伊卫斯理大学 $40,844 2,009 58.4%73 St. John's University 圣约翰大学 $38,704 1,978 75.2%77 Lewis & Clark College 路易克拉克大学 $43,382 3,518 62.9%77 Reed College 瑞德学院 $46,010 N/A 48.5%77 Thomas Aquinas College 托马斯阿奎那斯学院 $24,500 366 81.5%77 Wofford College 伍佛德学院 $37,120 1,584 68.8%。
2015年福布斯美国最优秀大学最新排行榜单完整版近日,《福布斯》杂志发布了2015年全美优秀大学排行榜,不同于其他只看学术成就的排名榜单,福布斯American’s Top Colleges 从学生满意度、毕业率、就业情况和助学贷款的不同维度出发,从商业化的角度衡量大学的实际价值,显得更加贴近学生的需求。
下面就来看看店铺为同学们整理的详细内容吧!教育投资回报率是排名核心标准即将迈入下一学年的美国1,800万大学生,需要支付的公立大学学杂费估计总计18,943美元(私立大学42,419美元)。
欠有学生贷款的应届毕业生平均需要偿还的金额约为35,000美元;美国未偿还的大学生助学贷款总额达到前所未有的1.2万亿美元。
美国高等教育成本攀升的同时,也有一个令人感到安慰的情况。
现在越来越多的学院和综合大学对学生“消费者价值”投入的关注甚于学校的声望,进入了一个重视教育投资回报率的时代。
造成这种转变的原因是公众对念大学要投入的巨大成本与其长期价值进行了详尽的研究和调查——这是福布斯对顶级大学进行权威排名时所依据的最核心标准,今年是福布斯第八年发布大学排行榜。
波莫纳学院拔得头筹斯坦福大学排第三2015年福布斯大学排行榜上排名第一的是波莫纳学院,其次是威廉姆斯学院和斯坦福大学。
常春藤盟校中排名最高的是普林斯顿大学(Princeton University),位居第4,之后是耶鲁大学(Yale University,排名第5)、哈佛大学(Harvard University,排名第6),以及布朗大学(Brown University,排名第8)。
跻身综合排名前十强的大学还有斯沃斯莫尔学院(Swarthmore College,排名第7)、艾姆赫斯特学院(Amherst College)和麻省理工学院(Massachusetts Institute of Technology)。
排名最高的三所公立大学(非军校类)分别是加州大学伯克利分校(排名第35)、弗吉尼亚大学(University of Virginia,排名第36)和威廉玛丽学院(College of William and Mary,排名第39)。
2015年US News美国大学排行榜2015年最具权威的U.S.News美国大学排名全新出炉。
美国大学排行中普林斯顿大学和威廉姆斯学院排名并列第一,哈佛大学位居第二名,耶鲁大学排在第三。
看看你想去的美国大学排在第几?U.S.News结合美国大学学位与研究环境将大学排名区分为两大类:综合性大学和文理学院。
近两年的U.S News排行榜中,普林斯顿大学已连续两年领先于哈佛大学被评为综合性大学排名第一,而威廉姆斯学院在过去的12年里则一直占据着全美文理学院第一的宝座。
自2014年起,U.S.News修改了评估方法。
以学生的毕业率与保持率为参考数据,加强调“产出成果相关的测量”。
正如2014U.S.News提出的,对所有学校的毕业率与绩效数据进行整合“能完善全美大学排名的评估方法,因为作为一项重要的成果指标,它集中关注了每间学校预期毕业率与实际毕业率之间的差异。
”2015年U.S.News评出全美排名前十综合性大学:1. 普林斯顿大学2. 哈佛大学3. 耶鲁大学4. 哥伦比亚大学4. 斯坦福大学4. 芝加哥大学7. 麻省理工学院8. 杜克大学8. 宾夕法尼亚大学10. 加州理工学院2015年U.S.News评出全美排名前十文理学院:1. 威廉姆斯学院2. 阿默斯特学院3. 斯沃斯莫尔学院4. 韦尔斯利学院5. 鲍登学院5. 波莫纳学院7. 明德学院7. 卡尔顿大学8. 克莱蒙特麦肯纳学院8. 哈弗福德学院2015年U.S.News评出全美排名前30大学,如下:2015年U.S.News评出全美排名前50大学,如下:2015年U.S.News评出全美排名前100大学,如下:更多大学排名信息请访问:/abroad/ranking/。
最新2015 US News全美文理学院排名托普仕留学为大家整理了最新公布的US News全美文理学院排名情况(National Liberal Arts Colleges Rankings)如下:1 Williams College Williamstown, MA2 Amherst College Amherst, MA3 Swarthmore College Swarthmore, PA4 Wellesley College Wellesley, MA5 Bowdoin College Brunswick, ME5 Pomona College Claremont, CA7 Middlebury College Middlebury, VT8 Carleton College Northfield, MN8 Claremont McKenna College Claremont, CA8 Haverford College Haverford, PA11 Davidson College Davidson, NC11 Vassar College Poughkeepsie, NY13 United States Naval Academy AnnApolis, MD14 Washington and Lee University Lexington, VA15 Colby College Waterville, ME15 Hamilton College Clinton, NY15 Harvey Mudd College Claremont, CA15 Wesleyan University Middletown, CT19 Bates College Lewiston, ME19 Grinnell College Grinnell, IA19 Smith College Northampton, MA22 Colgate University Hamilton, NY23 Oberlin College Oberlin, OH24 Macalester College St. Paul, MN24 Scripps College Claremont, CA24 United States Military Academy West Point, NY27 Bryn Mawr College Bryn Mawr, PA27 Colorado College Colorado Springs, CO27 United States Air Force Academy USAF Academy, CO30 Kenyon College Gambier, OH30 University of Richmond Univ. of Richmond, VA32 Barnard College New York, NY32 Bucknell University Lewisburg, PA34 College of the Holy Cross Worcester, MA35 Lafayette College Easton, PA35 Pitzer College Claremont, CA37 Dickinson College Carlisle, PA37 Franklin and Marshall College Lancaster, PA 37 Skidmore College Saratoga Springs, NY37 Whitman College Walla Walla, WA41 Mount Holyoke College South Hadley, MA41 Soka University of America Aliso Viejo, CA 41 Union College Schenectady, NY44 Occidental College Los Angeles, CA45 Bard College Annandale on Hudson, NY45 Centre College Danville, KY45 Connecticut College New London, CT45 Sewanee—University of the South Sewanee, TN 45 Trinity College Hartford, CT50 Gettysburg College Gettysburg, PA51 Denison University Granville, OH51 DePauw University greencastle, IN51 Furman University Greenville, SC54 Rhodes College Memphis, TN54 St. Olaf College Northfield, MN56 St. John's College Annapolis, MD56 St. Lawrence University Canton, NY56 Wheaton College Wheaton, IL59 Lawrence University Appleton, WI59 Sarah Lawrence College Bronxville, NY61 Beloit College Beloit, WI61 Hobart and William Smith Colleges Geneva, NY 61 Wabash College Crawfordsville, IN64 Gustavus Adolphus College St. Peter, MN64 Kalamazoo College Kalamazoo, MI64 Muhlenberg College Allentown, PA64 Virginia Military Institute Lexington, VA64 Willamette University Salem, OR69 Berea College Berea, KY69 College of Wooster Wooster, OH69 Hillsdale College Hillsdale, MI69 Wheaton College Norton, MA73 Agnes Scott College Decatur, GA73 Earlham College Richmond, IN73 Illinois Wesleyan University Bloomington, IL 73 St. John's University Collegeville, MN77 Lewis & Clark College Portland, OR77 Reed College Portland, OR77 Thomas Aquinas College Santa Paula, CA77 Wofford College Spartanburg, SC81 Allegheny College Meadville, PA81 Hendrix College Conway, AR81 Knox College Galesburg, IL81 Spelman College Atlanta, GA81 Transylvania University Lexington, KY81 University of Puget Sound Tacoma, WA87 New College of Florida Sarasota, FL87 Southwestern University Georgetown, TX89 Austin College Sherman, TX89 Bennington College Bennington, VT89 College of St. Benedict St. Joseph, MN89 Luther College Decorah, IA89 Millsaps College Jackson, MS89 St. John's College Santa Fe, NM89 St. Mary's College of Maryland St. Mary's City, MD 96 St. Mary's College Notre Dame, IN96 Washington and Jefferson College Washington, PA96 Westmont College Santa Barbara, CA99 Albion College Albion, MI99 College of the Atlantic Bar Harbor, ME99 Drew University Madison, NJ99 Hope College Holland, MI99 Ohio Wesleyan University Delaware, OH99 St. Michael's College Colchester, VT105 Augustana College Rock Island, IL105 Cornell College Mount Vernon, IA105 Goucher College Baltimore, MD105 Hampden-Sydney College Hampden-Sydney, VA105 Juniata College Huntingdon, PA105 Stonehill College Easton, MA105 Washington College Chestertown, MD112 Hollins University Roanoke, VA113 Hanover College Hanover, IN113 Ripon College Ripon, WI113 Siena College Loudonville, NY116 Calvin College Grand Rapids, MI116 Susquehanna University Selinsgrove, PA116 Sweet Briar College Sweet Briar, VA116 Westminster College New Wilmington, PA120 Coe College Cedar Rapids, IA120 Lake Forest College Lake Forest, IL120 St. Anselm College Manchester, NH123 St. Norbert College De Pere, WI124 Birmingham-Southern College Birmingham, AL124 Eckerd College St. Petersburg, FL124 Linfield College McMinnville, OR124 Presbyterian College Clinton, SC124 Randolph-Macon College Ashland, VA129 Berry College Mount Berry, GA129 Concordia College—Moorhead Moorhead, MN129 Goshen College Goshen, IN129 McDaniel College Westminster, MD133 Moravian College Bethlehem, PA133 Morehouse College Atlanta, GA133 Randolph College Lynchburg, VA133 Roanoke College Salem, VA133 Wesleyan College Macon, GA133 Whittier College Whittier, CA139 Alma College Alma, MI139 Central College Pella, IA139 Gordon College Wenham, MA139 Grove City College Grove City, PA139 Houghton College Houghton, NY139 Principia College Elsah, IL139 Simpson College Indianola, IA139 University of Minnesota—Morris Morris, MN139 Wittenberg University Springfield, OH148 Centenary College of Louisiana Shreveport, LA148 Hiram College Hiram, OH148 Nebraska Wesleyan University Lincoln, NE148 Oglethorpe University Atlanta, GA148 Salem College Winston-Salem, NC148 St. Vincent College Latrobe, PA148 Wells College Aurora, NY155 Carthage College Kenosha, WI155 Georgetown College Georgetown, KY155 Illinois College Jacksonville, IL155 William Jewell College Liberty, MO159 College of Idaho Caldwell, ID159 Lycoming College Williamsport, PA159 University of North Carolina—Asheville Asheville, NC159 Wartburg College Waverly, IA159 Westminster College Fulton, MO164 Doane College Crete, NE165 Fisk University Nashville, TN165 Hartwick College Oneonta, NY165 Lyon College Batesville, AR165 Massachusetts College of Liberal Arts North Adams, MA 165 Monmouth College Monmouth, IL165 Warren Wilson College Asheville, NC171 Purchase College—SUNY Purchase, NY172 Eastern Mennonite University Harrisonburg, VA 172 Emory and Henry College Emory, VA172 Guilford College Greensboro, NC172 Northland College Ashland, WI176 Ouachita Baptist University Arkadelphia, AR 177 Albright College Reading, PA178 Bridgewater College Bridgewater, VA178 Erskine College Due West, SC178 Wisconsin Lutheran College Milwaukee, WI 178 Xavier University of Louisiana New Orleans, LA。
USNews2015全美最佳综合类大学排名:1. 普林斯顿大学Princeton University (Princeton, NJ)2. 哈佛大学Harvard University (Cambridge,MA)3. 耶鲁大学Yale University (New Haven, CT)4. 哥伦比亚大学Columbia University(New York, NY)4. 斯坦福大学Stanford University(Stanford, CA)4. 芝加哥大学University of Chicago(Chicago, IL)7. 麻省理工学院Massachusetts Institute of Technology(Cambridge,MA)8. 杜克大学Duke University(Durham, NC)8. 宾夕法尼亚大学University of Pennsylvania(Philadelphia, PA)10. 加州理工学院California Institute of Technology(Pasadena, CA)11. 达特茅斯学院Dartmouth College(Hanover, NH)12. 约翰霍普金斯大学Johns Hopkins University(Baltimore, MD)13. 西北大学Northwestern University(Evanston, IL)14. 圣路易斯华盛顿大学Washington University in St. Louis(St. Louis, MO)15. 康奈尔大学Cornell University(Ithaca, NY)16. 布朗大学Brown University(Providence, RI)16. 圣母大学University of Notre Dame(Notre Dame, IN)16. 范德堡大学Vanderbilt University(Nashville, TN)19. 莱斯大学Rice University(Houston, TX)20. 加州大学伯克利分校University of California--Berkeley(Berkeley, CA)21. 埃默里大学Emory University(Atlanta, GA)21. 乔治城大学Georgetown University(Washington, DC)23. 加州大学洛杉矶分校University of California--Los Angeles(Los Angeles, CA) 23. 弗吉尼亚大学University of Virginia(Charlottesville, V A)23. 卡耐基梅隆大学Carnegie Mellon University(Pittsburgh, PA)25. 南加州大学University of Southern California(Los Angeles, CA)27. 塔夫斯大学Tufts University(Medford, MA)27. 维克森林大学Wake Forest University(Winston-Salem, NC)29. 密歇根大学安娜堡分校University of Michigan--Ann Arbor(Ann Arbor, MI)30. 北卡大学教堂山校区University of North Carolina--Chapel Hill(Chapel Hill, NC)31. 波士顿学院Boston College(Chestnut Hill, MA)32. 纽约大学New York University(New York, NY)33. 威廉玛丽学院College of William and Mary(Williamsburg, VA)33. 罗彻斯特大学University of Rochester(Rochester, NY)35. 布兰迪斯大学Brandeis University(Waltham, MA)35.佐治亚理工学院Georgia Institute of Technology(Atlanta, GA)37. 加州大学圣地亚哥分校University of California--San Diego(La Jolla, CA)38. 凯斯西储大学Case Western Reserve University(Cleveland, OH)38. 加州大学戴维斯分校University of California--Davis(Davis, CA)40. 里海大学Lehigh University(Bethlehem, PA)40. 加州大学圣芭芭拉University of California--Santa Barbara42. 波士顿大学Boston University(Boston, MA)42. 东北大学Northeastern University (Boston, MA)42. 伦斯勒理工学院Rensselaer Polytechnic Institute(Troy, NY)42. 加州大学欧文分校University of California--Irvine(Irvine, CA)42. 伊利偌伊大学香槟分校University of Illinois--Urbana-Champaign (Champaign, IL)47. 威斯康星大学-麦迪逊University of Wisconsin--Madison (Madison, WI)48. 宾州州立大学帕克分校Pennsylvania State University-University Park (University Park, PA) 48. 佛罗里达大学University of Florida (Gainesville, FL)48. 迈阿密大学University of Miami(Coral Gables, FL)48. 华盛顿大学University of Washington (Seattle, W A)48. 叶史瓦大学Yeshiva University (New York, NY)53. 德州奥斯汀分校University of Texas--Austin (Austin, TX)54. 乔治华盛顿大学George Washington University (Washington, DC)54. 俄亥俄州立大学Ohio State University--Columbus (Columbus, OH)54. 佩珀代因大学Pepperdine University (Malibu, CA)54. 杜兰大学Tulane University (New Orleans, LA)58. 福特汉姆大学Fordham University (New York, NY)58. 南卫理公会大学Southern Methodist University (Dallas, TX)58. 雪城大学Syracuse University (Syracuse, NY)58. 康涅狄格大学University of Connecticut (Storrs, CT)62. 杨百瀚大学Brigham Young University--Provo (Provo, UT)62. 克莱姆森大学Clemson University (Clemson, SC)62. 普渡大学西拉法叶校区Purdue University--West Lafayette (West Lafayette, IN)62. 佐治亚大学University of Georgia (Athens, GA)62. 马里兰大学帕克分校University of Maryland--College Park (College Park, MD)62. 匹兹堡大学University of Pittsburgh (Pittsburgh, PA)68. 德州农工大学Texas A&M University--College Station (College Station, TX)68. 伍斯特理工学院Worcester Polytechnic Institute (Worcester, MA)70. 罗格斯·新泽西州立大学·新布朗Rutgers, the State University of New Jersey--New Brunswick (Piscataway, NJ)71. 美国大学American University (Washington, DC)71. 贝勒大学Baylor University (Waco, TX)71. 爱荷华大学University of Iowa (Iowa City, IA)71. 明尼苏达大学双城分校University of Minnesota--Twin Cities (Minneapolis, MN)71. 弗吉尼亚理工大学Virginia Tech (Blacksburg, V A)76 克拉克大学Clark University (Worcester, MA)76. 印地安纳大学伯明顿分校Indiana University--Bloomington (Bloomington, IN)76. 马凯特大学Marquette University (Milwaukee, WI)76. 迈阿密大学-牛津分校Miami University--Oxford (Oxford, OH)76. 斯蒂文斯理工学院Stevens Institute of Technology (Hoboken, NJ)76. 纽约州立大学-环境科学与林业科学学院SUNY College of Environmental Science and Forestry (Syracuse, NY)76. 特拉华大学University of Delaware (Newark, DE)76. 马萨诸塞大学安姆斯特分校University of Massachusetts Amherst (Amherst, MA)85. 密歇根州立大学Michigan State University (East Lansing, MI)85. 加州大学圣克鲁兹分校University of California--Santa Cruz (Santa Cruz, CA)85. 佛蒙特大学University of Vermont (Burlington, VT)88. 宾汉姆顿大学Binghamton University--SUNY (Binghamton, NY)88. 科罗拉多矿业大学Colorado School of Mines (Golden, CO)88. 纽约州立大学-石溪分校Stony Brook University--SUNY (Stony Brook, NY)88. 阿拉巴马大学University of Alabama (Tuscaloosa, AL)88. 科罗拉多大学波德分校University of Colorado--Boulder (Boulder, CO)88. 塔尔萨大学University of Tulsa (Tulsa, OK)95. 德雷克赛尔大学Drexel University (Philadelphia, PA)95. 佛罗里达州立大学Florida State University (Tallahassee, FL)95. 北卡罗来纳州立大学---罗利分校North Carolina State University (Raleigh, NC) 95. 圣地亚哥大学University of San Diego (San Diego, CA)99 圣路易斯大学St. Louis University (St. Louris, MO)99. 密苏里大学University of Missouri (Columbia, MO)99. 内布拉斯加林肯University of Nebraska-Lincoln (Lincoln, NE)99. 新罕布什尔大学University of New Hampshire (Durham, NH)103. 奥本大学Auburn University (Auburn University, AL)。
U.S. News r School Tuition and Fees#1Princeton University 41820 #2Harvard University 43938 #3Yale University 45800 #4Tie Stanford University 44757 #4Tie University of Chicago 48253 #4Tie Columbia University 51008 #7Massachusetts Institute of Technology 45016 #8Tie Duke University 47488 #8Tie University of Pennsylvania 47668 #10California Institute of Technology 43362 #11Dartmouth College 48108 #12Johns Hopkins University 47060 #13Northwestern University 47251 #14Washington University in St. Louis 46467 #15Cornell University 47286 #16Tie Vanderbilt University 43838 #16Tie University of Notre Dame 46237 #16Tie Brown University 47434 #19Rice University 40566 #20University of California—B erkeley out-of-state: $25,064#21Tie Emory University 45008 #21Tie Georgetown University 46744 #23Tie University of California—L os Angeles out-of-state: $35,580#23Tie University of Virginia out-of-state: $42,184#25Tie University of Southern California 48280 #25Tie Carnegie Mellon University 48786 #27Tie Wake Forest University 46200 #27Tie Tufts University 48643 #29University of Michigan—A nn Arbor out-of-state: $41,811#30University of North Carolina—C hapel Hill out-of-state: $33,624#31Boston College 47436 #32New York University 46170 #33Tie University of Rochester 46960 #33Tie College of William and Mary out-of-state: $39,360#35Tie Brandeis University 47833 #35Tie Georgia Institute of Technology out-of-state: $30,698#37University of California—S an Diego out-of-state: $36,180#38Tie Case Western Reserve University 43158 #38Tie University of California—D avis out-of-state: $36,774#40Tie Lehigh University 44890 #40Tie University of California—S anta Barbara out-of-state: $36,624#42Tie Northeastern University 43440#42Tie Rensselaer Polytechnic Institute 47908 #42Tie University of California—I rvine out-of-state: $37,635#42Tie University of Illinois—U rbana-C hampaign out-of-state: $30,228#47University of Wisconsin—M adison out-of-state: $26,660#48Tie Yeshiva University 38730 #48Tie University of Miami 44350 #48Tie University of Washington out-of-state: $33,513out-of-state: $30,452#48Tie Pennsylvania State University—U niversity Park#48Tie University of Florida out-of-state: $28,591#53University of Texas—A ustin out-of-state: $34,722#54Tie Pepperdine University 46692 #54Tie Tulane University 48305 #54Tie George Washington University 48760 #54Tie Ohio State University—C olumbus out-of-state: $26,537#58Tie Syracuse University 41886 #58Tie Fordham University 43577 #58Tie Southern Methodist University 45940 #58Tie University of Connecticut out-of-state: $32,880#62Tie Brigham Young University—P rovo 5000 #62Tie Purdue University—W est Lafayette out-of-state: $28,804#62Tie University of Georgia out-of-state: $29,046#62Tie Clemson University out-of-state: $30,816#62Tie University of Pittsburgh out-of-state: $28,168#62Tie University of Maryland—C ollege Park out-of-state: $29,720#68Tie Worcester Polytechnic Institute 42778 #68Tie Texas A&M University—C ollege Station out-of-state: $26,356out-of-state: $28,591#70Rutgers, The State University of New JerseyN ew Brunswick#71Tie Baylor University 38290 #71Tie American University 41833 #71Tie Virginia Tech out-of-state: $27,444#71Tie University of Minnesota—T win Cities out-of-state: $20,876#71Tie University of Iowa in-state: $8,079, out-of-state: $27,409 #76Tie Marquette University 35930 #76Tie Texas Christian University 38600 #76Tie Clark University 40730 #76Tie Stevens Institute of Technology 44490 #76Tie Indiana University—B loomington in-state: $10,388, out-of-state: $33,241 #76Tie University of Delaware in-state: $12,342, out-of-state: $30,692 #76Tie University of Massachusetts—A mherst in-state: $13,258, out-of-state: $28,813 #76Tie Miami University—O xford in-state: $14,287, out-of-state: $30,394 #76Tie SUNY College of Environmental Science an in-state: $7,303, out-of-state: $16,953 #85Tie Michigan State University in-state: $13,200, out-of-state: $34,980 #85Tie University of California—S anta Cruz in-state: $13,398, out-of-state: $36,276#88Tie University of Tulsa 34704 #88Tie University of Denver 42090 #88Tie University of Colorado—B oulder in-state: $10,789, out-of-state: $33,151 #88Tie Colorado School of Mines in-state: $16,918, out-of-state: $33,598 #88Tie Stony Brook University—S UNY in-state: $8,430, out-of-state: $21,850 #88Tie Binghamton University—S UNY in-state: $8,619, out-of-state: $20,259 #88Tie University of Alabama in-state: $9,826, out-of-state: $24,950 #95Tie University of San Diego 42908 #95Tie Drexel University 47051 #95Tie Florida State University in-state: $6,507, out-of-state: $21,673 #95Tie North Carolina State University—R aleigh i n-state: $8,296, out-of-state: $23,551 #99Tie St. Louis University 37966 #99Tie University of New Hampshire in-state: $16,552, out-of-state: $29,532 #99Tie University of Nebraska—L incoln in-state: $8,060, out-of-state: $21,388 #99Tie University of Missouri in-state: $9,433, out-of-state: $24,460 #103Tie University of Dayton 37230 #103Tie Auburn University in-state: $10,200, out-of-state: $27,384 #103Tie University at Buffalo—S UNY in-state: $8,426, out-of-state: $20,366 #106Tie Loyola University Chicago 37412 #106Tie University of San Francisco 41450 #106Tie University of Kansas in-state: $10,448, out-of-state: $25,731 #106Tie University of Tennessee in-state: $11,246, out-of-state: $29,696 #106Tie University of Oklahoma in-state: $7,695, out-of-state: $20,469 #106Tie Iowa State University in-state: $7,731, out-of-state: $20,617 #106Tie University of Oregon in-state: $9,918, out-of-state: $30,888 #113Tie University of St. Thomas 34442 #113Tie University of South Carolina in-state: $11,158, out-of-state: $29,440 #113Tie University of California—R iverside in-state: $13,408, out-of-state: $36,286 #116Tie Duquesne University 32636 #116Tie The Catholic University of America 39726 #116Tie Illinois Institute of Technology 41335 #116Tie University of the Pacific 41342 #116Tie Michigan Technological University in-state: $14,040, out-of-state: $29,520 #121Tie DePaul University 35071 #121Tie Clarkson University 42530 #121Tie University of Arizona in-state: $10,581, out-of-state: $28,379 #121Tie Temple University in-state: $14,770, out-of-state: $25,450 #121Tie Colorado State University in-state: $9,897, out-of-state: $26,077 #126Tie Seton Hall University 36926in-state: $13,297, out-of-state: $28,075 #126Tie Rutgers, The State University of New JerseyN ewark#126Tie University at Albany—S UNY in-state: $8,527, out-of-state: $20,167 #129Tie Ohio University in-state: $10,536, out-of-state: $19,500 #129Tie University of Kentucky in-state: $10,616, out-of-state: $22,888#129Tie Louisiana State University—B aton Rouge in-state: $8,750, out-of-state: $26,467 #129Tie Arizona State University—T empe in-state: $9,811, out-of-state: $23,312 #135Tie Hofstra University 38900 #135Tie New School 41836 #135Tie University of Arkansas in-state: $8,210, out-of-state: $20,300 #138Tie George Mason University in-state: $10,382, out-of-state: $29,960 #138Tie Washington State University in-state: $12,428, out-of-state: $25,510 #138Tie Oregon State University in-state: $8,276, out-of-state: $23,540in-state: $9,537, out-of-state: $25,404 #138Tie Missouri University of Science & Technolog#142Tie St. John Fisher College 29550 #142Tie Illinois State University in-state: $12,830, out-of-state: $20,420 #142Tie Kansas State University in-state: $9,034, out-of-state: $22,624 #145Tie Howard University 23970 #145Tie St. John's University 38680 #145Tie University of Texas—D allas in-state: $11,806, out-of-state: $30,378 #145Tie Oklahoma State University in-state: $7,442, out-of-state: $20,027 #149Tie Adelphi University 32340 #149Tie University of Maryland—B altimore County in-state: $10,068, out-of-state: $21,642 #149Tie University of Illinois—C hicago in-state: $13,640, out-of-state: $26,030 #149Tie New Jersey Institute of Technology in-state: $15,602, out-of-state: $28,274 #149Tie San Diego State University in-state: $6,866, out-of-state: $18,026 #149Tie University of Mississippi in-state: $7,096, out-of-state: $19,144 #149Tie University of Alabama—B irmingham in-state: $9,280, out-of-state: $21,220 #156Tie Maryville University of St. Louis 25884 #156Tie Virginia Commonwealth University in-state: $12,398, out-of-state: $29,847 #156Tie University of Massachusetts—L owell in-state: $12,447, out-of-state: $19,560 #156Tie Mississippi State University in-state: $6,772, out-of-state: $16,960 #156Tie Texas Tech University in-state: $9,308, out-of-state: $20,168 #161Tie Biola University 33322 #161Tie University of Louisville in-state: $10,432, out-of-state: $24,320 #161Tie University of Rhode Island in-state: $12,506, out-of-state: $28,072 #161Tie University of Wyoming in-state: $4,646, out-of-state: $14,876 #161Tie University of South Florida in-state: $6,410, out-of-state: $17,325 #166Tie University of La Verne 36744 #166Tie University of Idaho in-state: $6,784, out-of-state: $20,314 #168Tie Andrews University 26262 #168Tie University of Hawaii—M anoa in-state: $10,620, out-of-state: $29,412 #168Tie West Virginia University in-state: $6,960, out-of-state: $20,424 #168Tie University of North Dakota in-state: $7,508, out-of-state: $17,794 #168Tie University of South Dakota in-state: $8,022, out-of-state: $10,104 #173Tie Azusa Pacific University 33096 #173Tie Florida Institute of Technology 37990#173Tie Western Michigan University in-state: $10,685, out-of-state: $24,917 #173Tie Bowling Green State University in-state: $10,726, out-of-state: $18,034 #173Tie University of Central Florida in-state: $6,368, out-of-state: $22,467 #173Tie Ball State University in-state: $9,344, out-of-state: $24,610 #181Tie Spalding University 122425 #181Tie Edgewood College 25590 #181Tie St. Mary's University of Minnesota 30315 #181Tie Immaculata University 30740 #181Tie University of North Carolina—G reensboro in-state: $6,442, out-of-state: $21,304 #181Tie North Dakota State University in-state: $7,660, out-of-state: $18,242 #181Tie South Dakota State University in-state: $7,713, out-of-state: $9,795 #181Tie University of Alabama—H untsville in-state: $9,158, out-of-state: $21,232 #189Tie Widener University 39830 #189Tie University of Houston in-state: $10,518, out-of-state: $24,378 #189Tie Southern Illinois University—C arbondale i n-state: $12,251, out-of-state: $24,874 #189Tie University of New Mexico in-state: $6,846, out-of-state: $20,688 #189Tie University of Missouri—K ansas City in-state: $9,582, out-of-state: $22,641 #194Tie Kent State University in-state: $10,012, out-of-state: $17,972 #194Tie Central Michigan University in-state: $11,550, out-of-state: $23,670 #194Tie Northern Illinois University in-state: $13,636, out-of-state: $22,914 #194Tie University of Montana in-state: $6,330, out-of-state: $23,146 #194Tie Utah State University in-state: $6,384, out-of-state: $18,491 #194Tie University of Nevada—R eno in-state: $6,415, out-of-state: $20,325in-state: $8,909, out-of-state: $30,089 #194Tie Indiana University-P urdue University—I ndianapolis#201Tie University of North Carolina—C harlotte in-state: $6,179, out-of-state: $18,708 #201Tie Louisiana Tech University in-state: $8,052, out-of-state: $22,635Total enrollment Fall 2013 acceptance ra Average freshman6-year graduation 80140.0740.980.97198820.0580.970.97121090.0690.990.98181360.0570.980.96125390.0880.990.93236060.0690.990.96113010.0820.980.93154650.1240.970.94213580.1220.980.9621810.1060.970.9363420.1040.980.95210520.1710.970.93209970.140.970.94140320.1560.970.94215930.1560.970.93127570.1270.970.93121240.2230.980.9589430.0920.980.9466280.1670.970.91362040.1770.970.91145130.2650.950.91178490.1710.960.92421900.2040.970.9234640.3010.970.93413680.1980.970.91129910.2550.950.8876020.3520.940.86108720.1890.970.92437100.3330.970.9291270.2670.970.9135250.3220.950.91445990.3240.920.84110200.3570.960.8583760.3320.960.958250.370.930.9214710.4110.950.82287310.3680.950.86103250.4190.930.8333070.4130.930.8470960.3080.940.86222250.3980.920.86200340.3230.950.8369950.4120.930.85 288950.4110.940.86 449420.6240.940.84 432750.5110.950.84 67440.8220.910.89 169350.4050.910.82 437620.5520.930.82 466150.5550.920.85 498780.4660.960.87 520590.4020.930.79 73150.3730.910.8 134620.2640.90.76 252640.3440.930.81 574660.5550.930.83 212670.4950.920.81 150970.4710.890.8 109290.5070.90.79 259110.5370.930.83 311230.4870.870.77 387880.6040.90.71 345360.5470.940.83 213030.5720.910.82 286490.5450.920.8 372720.4690.950.84 62960.5160.960.81 577950.6920.920.81 480360.5950.920.79 156160.5750.860.75 128190.4310.90.8 312050.70392% 8 0.83 515260.4440.90.75 310650.8020.860.7 117820.5750.890.78 99250.4740.880.76 35510.6150.90.81 57840.3820.940.79 468170.7220.890.77 213080.6340.920.82 285180.6290.890.73 179010.6680.890.81 23730.5050.860.72 493430.6870.910.78 172030.5190.90.7645970.4060.880.69 117780.7670.870.78 317020.8770.850.7 56080.3640.90.7 241430.3950.90.66 160770.4170.910.81 347520.5660.860.67 83210.4890.890.75 236200.8150.850.7 409090.5680.920.77 340090.4690.920.74 135050.6360.860.7 149420.7780.870.8 244450.640.840.67 346580.7860.840.7 108350.5230.880.77 248640.8270.890.68 298500.5660.880.72 159570.9140.860.71 101300.6110.860.69 269680.8840.80.62 300300.7250.860.68 305970.8040.840.66 329550.8550.870.68 244730.7390.860.67 102210.8620.880.75 319640.6440.870.73 212850.6020.880.69 99040.7410.870.76 67250.6010.820.69 78500.570.930.63 64210.7270.860.63 69790.7780.820.66 244140.5990.860.7 37260.640.870.75 406210.7760.790.61 372700.6390.880.66 312560.7740.850.64 99030.7920.820.64 112120.540.850.67 173380.5570.840.66 287860.730.80.67 284350.6860.820.6320770.8170.870.6 304780.750.840.69 487390.8020.830.59 109280.590.780.62 104010.6660.820.65 253410.5860.820.6 339170.620.870.67 276420.8210.820.65 279250.7940.830.61 81300.8220.840.63 39870.6280.830.73 202720.6890.840.72 245810.9590.810.6 102970.570.820.61 207290.5260.780.55 211930.5860.860.63 259390.760.790.61 76450.6810.820.63 139080.6320.860.65 275890.7120.80.57 101300.6550.830.58 327590.3720.880.67 194310.5940.830.58 185680.8670.80.53 50330.7610.850.67 312880.640.860.57 169320.6390.810.54 201610.7140.8159% 6 331110.6630.820.59 63230.7470.860.69 214470.7110.780.53 163870.7580.810.6 127780.9550.740.54 414280.4520.890.63 51110.3440.850.59 118340.6470.790.54 35160.3860.790.6 200060.7970.780.57 294660.8530.780.57 151430.710.760.55 102350.8790.760.56 107550.8230.850.65 56440.6050.790.54112470.8340.790.56242940.8290.740.55169580.7250.720.54597400.4890.870.67205030.6060.790.6 N/A 29.3% 4 73% 8 42% 628940.7660.80.5755280.7490.770.5536750.8190.820.48177070.5820.760.55146290.8410.780.53125540.9190.750.5773760.8060.790.4863110.6730.730.56395400.5840.830.48179640.7930.650.44273370.5670.770.48157460.6530.730.51289980.8310.770.51269020.6310.770.59211380.520.70.51120580.9570.730.48278120.9850.70.51187760.8430.790.51304880.6960.720.42265710.6270.780.54110150.6740.770.5City,State score学校性质*托福要求 Princeton, NJ Overall Score: 100 out of 100. 私立*Cambridge, MA Overall Score: 99 out of 100. 私立*New Haven, CT Overall Score: 98 out of 100. 私立*Stanford, CA Overall Score: 95 out of 100. 私立*Chicago, IL Overall Score: 95 out of 100. 私立*New York, NY Overall Score: 95 out of 100. 私立*托福100+ Cambridge, MA Overall Score: 93 out of 100. 私立*Durham, NC Overall Score: 92 out of 100. 私立*Philadelphia, PA Overall Score: 92 out of 100. 私立*Pasadena, CA Overall Score: 91 out of 100. 私立*Hanover, NH Overall Score: 90 out of 100. 私立*Baltimore, MD Overall Score: 89 out of 100. 私立*Evanston, IL Overall Score: 88 out of 100. 私立*St. Louis, MO Overall Score: 86 out of 100. 私立*Ithaca, NY Overall Score: 85 out of 100. 私立*托福100+ Nashville, TN Overall Score: 84 out of 100. 私立*Notre Dame, IN Overall Score: 84 out of 100. 私立*Providence, RI Overall Score: 84 out of 100. 私立*Houston, TX Overall Score: 82 out of 100. 私立*Berkeley, CA Overall Score: 79 out of 100. 公立*托福106+ Atlanta, GA Overall Score: 77 out of 100. 私立*Washington, DC Overall Score: 77 out of 100. 私立*Los Angeles, CA Overall Score: 76 out of 100. 公立*托福106+ Charlottesville, VA Overall Score: 76 out of 100. 公立*Los Angeles, CA Overall Score: 75 out of 100. 私立*Pittsburgh, PA Overall Score: 75 out of 100. 私立*托福102+ Winston-Salem, NC Overall Score: 73 out of 100. 私立*Medford, MA Overall Score: 73 out of 100. 私立*Ann Arbor, MI Overall Score: 72 out of 100. 公立*托福最低88+ Chapel Hill, NC Overall Score: 71 out of 100. 公立*Chestnut Hill, MA Overall Score: 69 out of 100. 私立*New York, NY Overall Score: 68 out of 100. 私立*Rochester, NY Overall Score: 67 out of 100. 私立*Williamsburg, VA Overall Score: 67 out of 100. 公立*Waltham, MA Overall Score: 66 out of 100. 私立*Atlanta, GA Overall Score: 66 out of 100. 公立*不要求托福成La Jolla, CA Overall Score: 65 out of 100. 公立*托福100+ Cleveland, OH Overall Score: 64 out of 100. 私立*托福90+ Davis, CA Overall Score: 64 out of 100. 公立*托福90+ Bethlehem, PA Overall Score: 63 out of 100. 私立*托福100+ Santa Barbara, CA Overall Score: 63 out of 100. 公立*托福100+ Boston, MA Overall Score: 62 out of 100. 私立*托福最低92分Troy, NY Overall Score: 62 out of 100. 私立*托福最低80+ Irvine, CA Overall Score: 62 out of 100. 公立*托福最低80+ Champaign, IL Overall Score: 62 out of 100. 公立*托福最低100 Madison, WI Overall Score: 61 out of 100. 公立*托福95+ New York, NY Overall Score: 60 out of 100. 私立*Coral Gables, FL Overall Score: 60 out of 100. 私立*托福最低80 Seattle, WA Overall Score: 60 out of 100. 公立*托福92+ University Park, PA Overall Score: 60 out of 100. 公立*托福最低80+ Gainesville, FL Overall Score: 60 out of 100. 公立*托福最低80+ Austin, TX Overall Score: 59 out of 100. 公立*托福最低80+ Malibu, CA Overall Score: 58 out of 100. 私立*托福最低90+ New Orleans, LA Overall Score: 58 out of 100. 私立*托福最低100 Washington, DC Overall Score: 58 out of 100. 私立*托福90+ Columbus, OH Overall Score: 58 out of 100. 公立*托福最低79+ Syracuse, NY Overall Score: 57 out of 100. 私立*托福95 New York, NY Overall Score: 57 out of 100. 私立*托福90+ Dallas, TX Overall Score: 57 out of 100. 私立*托福80+ Storrs, CT Overall Score: 57 out of 100. 公立托福80+ Provo, UT Overall Score: 56 out of 100. 私立West Lafayette, IN Overall Score: 56 out of 100. 公立托福要求88分Athens, GA Overall Score: 56 out of 100. 公立托福最低80+ Clemson, SC Overall Score: 56 out of 100. 公立托福最低80+ Pittsburgh, PA Overall Score: 56 out of 100. 公立托福最低100 College Park, MD Overall Score: 56 out of 100. 公立托福最低100 Worcester, MA Overall Score: 55 out of 100. 私立托福88+ College Station, TX Overall Score: 55 out of 100. 公立托福80+ Piscataway, NJ Overall Score: 53 out of 100. 公立托福80+ Waco, TX Overall Score: 52 out of 100. 私立托福最低79分Washington, DC Overall Score: 52 out of 100. 私立Blacksburg, VA Overall Score: 52 out of 100. 公立托福最低80 Minneapolis, MN Overall Score: 52 out of 100. 公立托福最低80 Iowa City, IA Overall Score: 52 out of 100. 公立Milwaukee, WI Overall Score: 50 out of 100. 私立Fort Worth, TX Overall Score: 50 out of 100. 私立Worcester, MA Overall Score: 50 out of 100. 私立Hoboken, NJ Overall Score: 50 out of 100. 私立Bloomington, IN Overall Score: 50 out of 100. 公立Newark, DE Overall Score: 50 out of 100. 公立Amherst, MA Overall Score: 50 out of 100. 公立Oxford, OH Overall Score: 50 out of 100. 公立Syracuse, NY Overall Score: 50 out of 100. 公立East Lansing, MI Overall Score: 49 out of 100. 公立Santa Cruz, CA Overall Score: 49 out of 100. 公立Tulsa, OK Overall Score: 48 out of 100. 私立Denver, CO Overall Score: 48 out of 100. 私立Boulder, CO Overall Score: 48 out of 100. 公立Golden, CO Overall Score: 48 out of 100. 公立Stony Brook, NY Overall Score: 48 out of 100. 公立Binghamton, NY Overall Score: 48 out of 100. 公立Tuscaloosa, AL Overall Score: 48 out of 100. 公立San Diego, CA Overall Score: 47 out of 100. 私立Philadelphia, PA Overall Score: 47 out of 100. 私立Tallahassee, FL Overall Score: 47 out of 100. 公立Raleigh, NC Overall Score: 47 out of 100. 公立St. Louis, MO Overall Score: 46 out of 100. 私立Durham, NH Overall Score: 46 out of 100. 公立Lincoln, NE Overall Score: 46 out of 100. 公立Columbia, MO Overall Score: 46 out of 100. 公立Dayton, OH Overall Score: 45 out of 100. 私立Auburn University, AL Overall Score: 45 out of 100. 公立Buffalo, NY Overall Score: 45 out of 100. 公立Chicago, IL Overall Score: 44 out of 100. 私立San Francisco, CA Overall Score: 44 out of 100. 私立Lawrence, KS Overall Score: 44 out of 100. 公立Knoxville, TN Overall Score: 44 out of 100. 公立Norman, OK Overall Score: 44 out of 100. 公立Ames, IA Overall Score: 44 out of 100. 公立Eugene, OR Overall Score: 44 out of 100. 公立St. Paul, MN Overall Score: 43 out of 100. 私立Columbia, SC Overall Score: 43 out of 100. 公立Riverside, CA Overall Score: 43 out of 100. 公立Pittsburgh, PA Overall Score: 42 out of 100. 私立Washington, DC Overall Score: 42 out of 100. 私立Chicago, IL Overall Score: 42 out of 100. 私立Stockton, CA Overall Score: 42 out of 100. 私立Houghton, MI Overall Score: 42 out of 100. 公立Chicago, IL Overall Score: 41 out of 100. 私立Potsdam, NY Overall Score: 41 out of 100. 私立Tucson, AZ Overall Score: 41 out of 100. 公立Philadelphia, PA Overall Score: 41 out of 100. 公立Fort Collins, CO Overall Score: 41 out of 100. 公立South Orange, NJ Overall Score: 40 out of 100. 私立Newark, NJ Overall Score: 40 out of 100. 公立Albany, NY Overall Score: 40 out of 100. 公立Athens, OH Overall Score: 39 out of 100. 公立Lexington, KY Overall Score: 39 out of 100. 公立Salt Lake City, UT Overall Score: 39 out of 100. 公立Baton Rouge, LA Overall Score: 39 out of 100. 公立Tempe, AZ Overall Score: 39 out of 100. 公立Hempstead, NY Overall Score: 38 out of 100. 私立New York, NY Overall Score: 38 out of 100. 私立Fayetteville, AR Overall Score: 38 out of 100. 公立Fairfax, VA Overall Score: 37 out of 100. 公立Pullman, WA Overall Score: 37 out of 100. 公立Corvallis, OR Overall Score: 37 out of 100. 公立Rolla, MO Overall Score: 37 out of 100. 公立Rochester, NY Overall Score: 36 out of 100. 私立Normal, IL Overall Score: 36 out of 100. 公立Manhattan, KS Overall Score: 36 out of 100. 公立Washington, DC Overall Score: 35 out of 100. 私立Queens, NY Overall Score: 35 out of 100. 私立Richardson, TX Overall Score: 35 out of 100. 公立Stillwater, OK Overall Score: 35 out of 100. 公立Garden City, NY Overall Score: 34 out of 100. 私立Baltimore, MD Overall Score: 34 out of 100. 公立Chicago, IL Overall Score: 34 out of 100. 公立Newark, NJ Overall Score: 34 out of 100. 公立San Diego, CA Overall Score: 34 out of 100. 公立University, MS Overall Score: 34 out of 100. 公立Birmingham, AL Overall Score: 34 out of 100. 公立St Louis, MO Overall Score: 32 out of 100. 私立Richmond, VA Overall Score: 32 out of 100. 公立Lowell, MA Overall Score: 32 out of 100. 公立Mississippi State, MS Overall Score: 32 out of 100. 公立Lubbock, TX Overall Score: 32 out of 100. 公立La Mirada, CA Overall Score: 31 out of 100. 私立Louisville, KY Overall Score: 31 out of 100. 公立Kingston, RI Overall Score: 31 out of 100. 公立Laramie, WY Overall Score: 31 out of 100. 公立Tampa, FL Overall Score: 31 out of 100. 公立La Verne, CA Overall Score: 30 out of 100. 私立Moscow, ID Overall Score: 30 out of 100. 公立Berrien Springs, MI Overall Score: 29 out of 100. 私立Honolulu, HI Overall Score: 29 out of 100. 公立Morgantown, WV Overall Score: 29 out of 100. 公立Grand Forks, ND Overall Score: 29 out of 100. 公立Vermillion, SD Overall Score: 29 out of 100. 公立Azusa, CA Overall Score: 28 out of 100. 私立Melbourne, FL Overall Score: 28 out of 100. 私立Orono, ME Overall Score: 28 out of 100. 公立Kalamazoo, MI Overall Score: 28 out of 100. 公立Bowling Green, OH Overall Score: 28 out of 100. 公立Orlando, FL Overall Score: 28 out of 100. 公立Muncie, IN Overall Score: 28 out of 100. 公立Louisville, KY Overall Score: 27 out of 100. 私立Madison, WI Overall Score: 27 out of 100. 私立Winona, MN Overall Score: 27 out of 100. 私立Immaculata, PA Overall Score: 27 out of 100. 私立Greensboro, NC Overall Score: 27 out of 100. 公立Fargo, ND Overall Score: 27 out of 100. 公立Brookings, SD Overall Score: 27 out of 100. 公立Huntsville, AL Overall Score: 27 out of 100. 公立Chester, PA Overall Score: 26 out of 100. 私立Houston, TX Overall Score: 26 out of 100. 公立Carbondale, IL Overall Score: 26 out of 100. 公立Albuquerque, NM Overall Score: 26 out of 100. 公立Kansas City, MO Overall Score: 26 out of 100. 公立Kent, OH Overall Score: 25 out of 100. 公立Mount Pleasant, MI Overall Score: 25 out of 100. 公立DeKalb, IL Overall Score: 25 out of 100. 公立Missoula, MT Overall Score: 25 out of 100. 公立Logan, UT Overall Score: 25 out of 100. 公立Reno, NV Overall Score: 25 out of 100. 公立Indianapolis, IN Overall Score: 25 out of 100. 公立Charlotte, NC Overall Score: 24 out of 100. 公立Ruston, LA Overall Score: 24 out of 100. 公立MA CT CA IL NY MA NC PA CA NH MD IL MO NY TN IN RI TX CA GA DC CA VA CA PA NC MA MI NC MA NY NY VA MA GA CA OH CA PA CA MAIL WI NY FL WA PA FL TX CA LA DC OH NY NY TX CT UT IN GA SC PA MD MA TX NJ TX DC VA MN IA WI TX MA NJ IN DE MA OH NY MI CACO CO NY NY AL CA PA FL NC MO NH NE MO OH AL NY IL CA KS TN OK IA OR MN SC CA PA DC IL CA MI IL NY AZ PA CO NJ NJ NY OH KYAZ NY NY AR VA WA OR MO NY IL KS DC NY TX OK NY MD IL NJ CA MS AL MO VA MA MS TX CA KY RI WY FL CA ID MI HI WV ND SD CA FLOH FL IN KY WI MN PA NC ND SD AL PA TX IL NM MO OH MI IL MT UT NV IN NC LA。
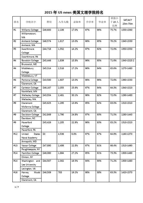
文理学院是美国高校的重要种类之一,以本科教育为主,特征是注重全面综合教育,设置课程包括艺术、人文、自然科学、社会科学等各门类。
下面明智慧德留学为大家介绍一下2015年USNEWS美国文理学院排名。
1. Williams College 威廉姆斯学院2. Amherst College 阿默斯特学院3. Swarthmore College 斯沃斯莫尔学院4. Wellesley College 威尔斯利学院5. Bowdoin College 鲍登学院5. Pomona College 波莫纳学院7. Middlebury College 明德学院8. Carleton College 卡尔顿学院8. Claremont McKenna College 克莱蒙特·麦肯纳学院8. Haverford College 哈弗福德学院11. Davidson College 戴维森学院11. Vassar College 瓦萨尔学院13. United States Naval Academy 美国海军学院14. Washington and Lee University 华盛顿与李大学15. Colby College 科尔比学院15. Hamilton College 汉密尔顿学院$15. Harvey Mudd College 哈维马地学院15. Wesleyan University 卫斯理大学19. Bates College 贝茨学院19. Grinnell College 格林内尔学院19. Smith College 史密斯学院(女校)22. Colgate University 科尔盖特大学23. Oberlin College 奥伯林学院24. Macalester College 麦卡利斯特学院24. Scripps College 斯克利普斯学院(女校)24. United States Military Academy 西点军校27. Bryn Mawr College 布尔茅尔学院(女校)27. Colorado College 科罗拉多学院27. United States Air Force Academy 美国空军学院30. Kenyon College 凯尼恩学院30. University of Richmond 瑞奇蒙大学32. Barnard College 巴纳德学院(女校)32. Bucknell University 巴克内尔大学34. College of the Holy Cross 圣十字学院35. Lafayette College 拉法叶学院35. Pitzer College 匹泽学院37. Dickinson College 迪金森学院37. Franklin and Marshall College 富兰克林马绍尔学院37. Skidmore College 斯基德莫尔学院37. Whitman College 惠特曼学院41. Mount Holyoke College 霍山学院(女校)41. Soka University of America 创价大学41. Union College 联合学院44. Occidental College 西方学院45. Bard College 巴德学院45. Centre College 森特学院45. Connecticut College 康涅狄格学院45. Sewanee—University of the South 西沃恩南方大学45. Trinity College 圣三一学院50. Gettysburg College 盖茨堡学院51. Denison University 丹尼森大学51. DePauw University 迪堡大学51. Furman University 傅尔曼大学54. Rhodes College 罗德学院54. St. Olaf College 圣奥雷夫学院56. St. John's College 圣约翰学院56. St. Lawrence University 圣劳伦斯大学56. Wheaton College 伟顿学院59. Lawrence University 劳伦斯大学59. Sarah Lawrence College 莎拉劳伦斯学院61. Beloit College 伯洛伊特学院61. Hobart and William Smith Colleges 霍巴特威廉史密斯学院61. Wabash College 瓦伯西学院64. Gustavus Adolphus College 古斯塔夫奥德罗普学院64. Kalamazoo College 卡拉马祖学院64. Muhlenberg College 穆伦堡学院64. Virginia Military Institute 弗吉尼亚军事学院64. Willamette University 威拉姆特大学69. Berea College 伯利亚学院69. College of Wooster 伍斯特学院69. Hillsdale College 希尔斯代尔学院69. Wheaton College 韦顿学院(麻省)73. Agnes Scott College 阿格尼斯斯科特学院73. Earlham College 厄勒姆学院73. Illinois Wesleyan University 伊利诺伊卫斯理大学73. St. John's University 圣约翰大学77. Lewis & Clark College 路易克拉克大学77. Reed College 瑞德学院77. Thomas Aquinas College 托马斯阿奎那斯学院77. Wofford College 伍佛德学院明智慧德留学的每一个后期老师都是五年以上资深后期老师,能在你问后几秒钟内解决你99.9%的留学问题。
2015美国大学排名前100(最新)2015美国大学排名于美国时间2014年9月9日公布!下面就来给大家分享一下2015年综合大学排名TOP100!U.S. News排名学校名称地理位置费用University普林斯顿大学#1PrincetonPrinceton, NJ $41,820University哈佛大学#2HarvardCambridge, MA$43,938University耶鲁大学#3YaleNew Haven, CT$45,800Studies哥伦比亚大学General of School University,The#4ColumbiaNew York, NY$51,008University斯坦福大学#4StanfordStanford, CA$44,757Chicago芝加哥大学of University#4TheChicago, IL$48,253Technology麻省理工学院of Institute#7MassachusettsCambridge, MA$45,016University杜克大学#8DukeDurham, NC$47,488Pennsylvania宾夕法尼亚大学of#8UniversityPhiladelphia, PA$47,668Technology加州理工学院of Institute#10CaliforniaPasadena, CA$43,362College达特茅斯学院#11DartmouthHanover, NH$48,108University约翰霍普金斯大学Hopkins#12JohnsBaltimore, MD$47,060University西北大学#13NorthwesternEvanston, IL$47,251Louis圣路易斯华盛顿大学St in University#14Washington St. Louis, MO$46,467University康奈尔大学#15CornellIthaca, NY$47,286University布朗大学#16BrownProvidence, RI$47,434Dame圣母大学Notre of#16UniversityNotre Dame, IN$46,237University范德堡大学#16VanderbiltNashville, TN$43,838University莱斯大学#19RiceHouston, TX$40,566Berkeley加州大学伯克利分校California of#20University Berkeley, CAin-state: $13,844, out-of-state: $25,064 University埃默里大学#21EmoryAtlanta, GA$45,008University乔治城大学#21GeorgetownWashington, DC$46,744Angeles加州大学洛杉矶分校Los California of#23UniversityLos Angeles, CAin-state: $12,702, out-of-state: $35,580Virginia弗吉尼亚大学of#23UniversityCharlottesville, VAin-state: $12,998, out-of-state: $42,184University卡内基梅隆大学Mellon#25CarnegiePittsburgh, PA$48,786California南加州大学Southern of#25UniversityLos Angeles, CA$48,280University塔夫斯大学#27TuftsMedford, MA$48,643University维克森林大学Forest#27WakeWinston-Salem, NC$46,200Michigan Ann Arbor密西根大学-安娜堡分校of#29UniversityAnn Arbor, MIin-state: $13,977, out-of-state: $41,811Hill北卡罗来纳大学教堂山分校Chapel at Carolina North of University#30the Chapel Hill, NCin-state: $8,374, out-of-state: $33,624College波士顿学院#31BostonChestnut Hill, MA$47,436University(NYU)纽约大学York#32NewNew York, NY$46,170#33College of William and Mary威廉玛丽学院Williamsburg, VAin-state: $17,656, out-of-state: $39,360 University布兰迪斯大学#35BrandeisWaltham, MA$46,960Technology佐治亚理工学院of Institute#35GeorgiaAtlanta, GA$47,833Diego加利福尼亚大学圣地亚哥分校San California of#37University La Jolla, CAin-state: $11,394, out-of-state: $30,698University凯斯西储大学Reserve Western#38CaseCleveland, OHin-state: $13,302, out-of-state: $36,180Davis加州大学戴维斯分校California of#38University Davis, CA$43,158University利哈伊大学#40LehighBethlehem, PAin-state: $13,896, out-of-state: $36,774Barbara加州大学圣塔芭芭Santa California of#40University Santa Barbara, CA$44,890#42Boston University波士顿大学Boston, MAin-state: $13,746, out-of-state: $36,624#42Northeastern University东北大学Boston, MA$46,664Institute伦斯勒理工学院Polytechnic#42RensselaerTroy, NY$43,440Irvine加州大学欧文分校California of#42University Irvine, CA$47,908Champaign伊利诺伊大学香槟分校Urbana Illinois of#42University Champaign, ILin-state: $14,757, out-of-state: $37,635Madison威斯康星大学麦迪逊分校Wisconsin of#47University Madison, WIin-state: $15,602, out-of-state: $30,228University宾州州立大学State#48PennsylvaniaUniversity Park, PAin-state: $10,410, out-of-state: $26,660#48TieUniversity of Florida佛罗里达大学Gainesville, FLin-state: $17,502, out-of-state: $30,452Miami迈阿密大学of#48UniversityCoral Gables, FLin-state: $6,313, out-of-state: $28,591 Washington华盛顿大学of#48UniversitySeattle, WA$44,350University叶史瓦大学#48YeshivaNew York, NYin-state: $12,394, out-of-state: $33,513Austin德克萨斯大学奥斯汀分校at Texas of#53University Austin, TXin-state: $9,798, out-of-state: $34,722#54George Washington University乔治华盛顿大学Washington, DC$48,760#54TieOhio State University—Columbus俄亥俄州立大学Columbus, OHin-state: $10,037, out-of-state: $26,537#54Pepperdine University佩伯代因大学Malibu, CA$46,692#54Tulane University杜兰大学New Orleans, LA$48,305#58Fordham University福德汉姆大学New York, NY$43,577#58Southern Methodist University南卫理公会大学Dallas, TX$45,940#58Syracuse University雪城大学Syracuse, NY$41,886#58University of Connecticut康涅狄格大学Storrs, CTin-state: $12,700, out-of-state: $32,880#62Brigham Young University—Provo杨百翰大学Provo, UT$5,000#62Clemson University克莱蒙森大学Clemson, SCin-state: $13,382, out-of-state: $30,816#62Purdue University—West Lafayette普渡大学-西拉法叶West Lafayette, INin-state: $10,002, out-of-state: $28,804 #62University of Georgia佐治亚大学Athens, GAin-state: $10,836, out-of-state: $29,046#62University of Maryland—College Park马里兰大学Park分校College Park, MDin-state: $9,427, out-of-state: $29,720#62University of Pittsburgh匹兹堡大学Pittsburgh, PAin-state: $17,772, out-of-state: $28,168#68Texas A&M University—College Station德州农工大学College Station, TXin-state: $9,180, out-of-state: $26,356#68Worcester Polytechnic Institute伍斯特理工学院Worcester, MA$42,778#70Rutgers, The State University of New Jersey—New Brunswick罗格斯大学Piscataway, NJin-state: $13,813, out-of-state: $28,591#71American University美利坚大学Washington, DC$41,833#71Baylor University贝勒大学Waco, TX$38,290#71University of Iowa爱荷华大学Iowa City, IAin-state: $8,079, out-of-state: $27,409#71University of Minnesota—Twin Cities明尼苏达双城分校Minneapolis, MNin-state: $13,626, out-of-state: $20,876#71Virginia Tech弗吉尼亚理工大学Blacksburg, VAin-state: $12,017, out-of-state: $27,444#76Clark University克拉克大学Worcester, MA$40,730#76Indiana University—Bloomington印第安纳大学伯明顿分校Bloomington, INin-state: $10,388, out-of-state: $33,241#76Marquette University马凯特大学Milwaukee, WI$35,930#76Miami University—Oxford迈阿密大学牛津分校Oxford, OHin-state: $14,287, out-of-state: $30,394#76Stevens Institute of Technology史蒂文斯理工学院Hoboken, NJ$44,490#76SUNY College of Environmental Science and Forestry纽约州立环境科学与森林学校Syracuse, NYin-state: $7,303, out-of-state: $16,953#76Texas Christian University德克萨斯基督大学Fort Worth, TX$38,600#76University of Delaware特拉华大学Newark, DEin-state: $12,342, out-of-state: $30,692#76University of Massachusetts—Amherst马萨诸塞阿莫斯特分校Amherst, MAin-state: $13,258, out-of-state: $28,813#85Michigan State University密歇根州立大学East Lansing, MIin-state: $13,200, out-of-state: $34,980#85University of California—Santa Cruz加州大学圣克鲁兹分校Santa Cruz, CAin-state: $13,398, out-of-state: $36,276#85University of Vermont佛蒙特大学Burlington, VTin-state: $16,226, out-of-state: $37,874#88Binghamton University—SUNY纽约州立宾汉姆顿分校Binghamton, NYin-state: $8,619, out-of-state: $20,259#88Colorado School of Mines科罗拉多矿业学院Golden, COin-state: $16,918, out-of-state: $33,598#88Stony Brook University—SUNY纽约州立大学石溪分校更多大学排名信息:/abroad/ranking/。
/ 美国留学:2015年USNEWS美国文理学院排名
美国文理学院(Liberal Arts Colleges)大部分是私立学校,只有极少部分是公立的。
这些学校提供四年本科教育课程,通常淡化专业、重视能力和素质培养教育,一般不提供硕士或博士学位。
值得一提的是文理学院是四年制大学,毕业后授予本科学位,请不要认为类似于中国的大专学院。
2015年USNEWS美国文理学院排名公布。
梦之帆国际教育为大家列举美国文理学院排名100强院校名单。
2015有意向去美国文理学院留学的学生可做参考。
下表是2015年USNEWS美国文理学院排名涉及学费、学生数以及录取率。
/
/
/
/
文章来源:梦之帆国际教育。
多雄鼎立 2015美国文理学院现状分析在美国的高等教育中,高等学校分两种:综合大学(University)及文理学院(Liberal Arts college)。
不同于中国的文理学院的二本院校的概念,在大部分美国人心目中,文理学院往往代表着经典、小规模、高质量的本科教育。
两种学校对于教育和科研的侧重点不同,但同样吸引着有着不同追求的来自世界各地的最优秀的学生。
不过,如果你不幸踏入了一家像甜石南学院这样的小型私立文理学院(纯女校),那你这个夏季就要和她说永别了,因为她这学年过完就关门!可能有些同学对甜石南学院不是很了解,现附上这所学院的简介:甜石南学院甜石南学院(甜石南城),1901年建立,位于美国弗吉尼亚州,是一所私人女子学校。
学校提供的广泛的学习范围使毕业生们无论是在所学专业内还是所学专业外都获得了成功。
甜石南学院使妇女们成为全球社区团体的生产者和负责人。
学院为学生提供多于35个教学专业,其中也包括跨领域自主设计的专业。
学生们的教课老师大部分都是博士或者是相关方面的最高学历人员。
同样处于困境的不止甜石南,还有很多小型的私立文理学院正在苦苦挣扎。
正如美国教育年鉴一篇报告所说的,十年经济衰退要结束了,这些小型学院却发现自己日子比十年前更难过了。
“Small liberal-arts colleges arguably face the hardest financial and enrollment challenges in higher education. While the Great Recession may be over, such colleges find themselves operating in a tougher marketplace than that of 10 years ago.”甜石南学院的关门在他们的校友圈中和当地引起了轩然大波,校友一方面呼吁大家捐款挽救这所小学院(700个学生),一方面找律师给学校管理层发律师函,威胁要把他们告上法庭。
2015USNews美国本科南部地区公立文理学院排名本文是由明智慧德留学整理的2015USNews美国本科南部地区公立文理学院排名情况:1、United States Naval Academy 美国海军学院1、University of South Carolina—Aiken 南卡罗来纳大学2、United States Military Academy 美国军事学院2、Elizabeth City State University 伊丽莎白城州立大学2、Elizabeth City State University 伊丽莎白城州立大学3、United States Air Force Academy 美国空军学院3、University of South Carolina—Upstate 南卡罗来纳州大学北部4、Virginia Military Institute 弗吉尼亚军事学院4、University of Arkansas—Pine Bluff 阿肯色大学5、New College of Florida 新佛罗里达学院5、Concord University 康都特大学6、West Liberty University6、St. Mary's College of Maryland 圣玛丽学院7、University of Minnesota—Morris 明尼苏达大学7、University of South Carolina—Beaufort 南卡罗来纳州大学8、Clayton State University 克莱顿州立大学8、University of North Carolina—Asheville 北卡罗来那大学阿什维尔分校9、Massachusetts College of Liberal Arts 马萨诸塞文理学院9、Indian River State College 印度河州立学院9、Lander University 兰德大学10、Purchase College—SUNY11、Fort Valley State University瓦利堡州立大学11、Glenville State College格兰维尔州立学院以上内容就是明智慧德留学整理的,如果大家还有相关的留学问题需要了解,请与我们联系!明智慧德留学服务热线:4000583593明智慧德留学官网:/明智慧德留学官方微信号:idealglobal明智的留学人选择明智慧德出国留学。
下面是由托普仕留学(中国首家高端精品留学机构)专家为你整理的最新2015 U.S. News 全美文理学院排名中英对照,希望对准备去美国留学的同学们有所帮助!1 Williams College 威廉姆斯学院2 Amherst College 阿默斯特学院3 Swarthmore College 斯沃斯莫尔学院4 Wellesley College 韦尔斯利学院5 Bowdoin College 鲍登学院5 Pomona College 波莫纳学院7 Middlebury College 明德学院8 Carleton College 卡尔顿学院8 Claremont McKenna College 克莱尔蒙特麦肯纳学院8 Haverford College 哈弗福德学院11 Davidson College 戴维森学院11 Vassar College 瓦萨学院13 United States Naval Academy 美国海军学院14 Washington and Lee University 华盛顿和李大学15 Colby College 科尔比学院15 Hamilton College 哈密尔顿学院15 Harvey Mudd College 哈维穆德学院15 Wesleyan University 卫斯理大学19 Bates College 贝茨学院19 Grinnell College 格林内尔学院19 Smith College 史密斯学院22 Colgate University 科尔盖特大学23 Oberlin College 奥伯林学院24 Macalester College 麦卡利斯特学院24 Scripps College 斯克里普斯学院24 United States Military Academy 美国军事学院27 Bryn Mawr College 布林莫尔学院27 Colorado College 科罗拉多学院27 United States Air Force Academy 美空军学院30 Kenyon College 凯尼恩学院30 University of Richmond 里士满大学32 Barnard College 巴纳德学院32 Bucknell University 巴克内尔大学34 College of the Holy Cross 圣十字学院35 Lafayette College 拉斐特学院35 Pitzer College 匹泽学院37 Dickinson College 迪金森学院37 Franklin and Marshall College 富兰克林与马歇尔学院37 Skidmore College 斯基德莫尔学院37 Whitman College 惠特曼学院41 Mount Holyoke College 曼荷莲学院41 Soka University of America 美国创价大学41 Union College 联合学院44 Occidental College 西方学院45 Bard College 巴德学院45 Centre College 森特学院45 Connecticut College 康涅狄格学院45 Sewanee-University of the South 南方西沃恩大学45 Trinity College 三一学院50 Gettysburg College 盖茨堡学院51 Denison University 丹尼森大学51 DePauw University 迪堡大学51 Furman University 弗曼大学54 Rhodes College 罗得岛大学54 St. Olaf College 圣奥拉夫学院56 St. John's College 圣约翰学院56 St. Lawrence University 圣劳伦斯大学56 Wheaton College 惠顿学院59 Lawrence University 劳伦斯大学59 Sarah Lawrence College 莎拉劳伦斯学院61 Beloit College 伯洛伊特学院61 Hobart and William Smith Colleges 霍巴特和威廉史密斯学院61 Wabash College 瓦巴什学院64 Gustavus Adolphus College 古斯塔夫阿道夫学院64 Kalamazoo College 卡拉马祖学院64 Muhlenberg College 穆伦堡学院64 Virginia Military Institute 弗吉尼亚军事学院64 Willamette University 威拉姆特大学69 Berea College 伯里亚学院69 College of Wooster 伍斯特学院69 Hillsdale College 希尔斯代尔学院69 Wheaton College 惠顿学院73 Agnes Scott College 阿格尼斯斯科特学院73 Earlham College 厄勒姆学院73 Illinois Wesleyan University 伊利诺伊卫斯理大学73 St. John's University 圣约翰大学77 Lewis & Clark College 路易克拉克学院77 Reed College 里德学院77 Thomas Aquinas College 托马斯阿奎那斯学院77 Wofford College 沃福德学院81 Allegheny College 阿勒格尼学院81 Hendrix College 汉德里克斯学院81 Knox College 诺克斯学院81 Spelman College 史贝尔曼学院81 Transylvania University 特兰西瓦尼亚大学81 University of Puget Sound 皮吉声大学87 New College of Florida 新佛罗里达学院87 Southwestern University 西南大学89 Austin College 奥斯汀学院89 Bennington College 本宁顿学院89 College of St. Benedict 圣本尼迪克学院89 Luther College 路德学院89 MillsAps College 密尔赛普斯学院89 St. John's College 圣约翰学院89 St. Mary's College of Maryland 马里兰圣玛丽学院96 St. Mary's College 圣玛丽学院96 Washington and Jefferson College 华盛顿杰斐逊学院96 Westmont College 威斯蒙特学院99 Albion College 阿尔比恩学院99 College of the Atlantic 大西洋学院99 Drew University 德鲁大学99 Hope College 霍普学院99 Ohio Wesleyan University 俄亥俄卫斯理大学99 St. Michael's College 圣迈克斯学院105 Augustana College 奥古斯塔纳学院105 Cornell College 康奈尔学院105 Goucher College 古彻学院105 Hampden-Sydney College 哈姆普顿悉尼学院105 Juniata College 杰尼阿塔学院105 Stonehill College 石山学院105 Washington College 华盛顿学院112 Hollins University 霍林斯大学113 Hanover College 汉诺威大学113 Ripon College 瑞普学院113 Siena College 锡耶纳学院116 Calvin College 卡尔文学院116 Susquehanna University 萨斯克汉那大学116 Sweet Briar College 斯威特布赖尔学院116 Westminster College 威斯敏斯特大学120 Coe College 柯伊学院120 Lake Forest College 森林湖学院120 St. Anselm College 圣安塞姆学院123 St. Norbert College 圣诺伯特学院124 Birmingham-Southern College 伯明翰南方学院124 Eckerd College 埃克德学院124 Linfield College 林菲尔德学院124 Presbyterian College 长老会学院124 Randolph-Macon College 伦道夫-梅肯学院129 Berry College 贝里学院129 Concordia College-Moorhead 康科迪亚大学-墨尔海德分校129 Goshen College 高盛学院129 McDaniel College 麦克丹尼尔学院133 Moravian College 墨瑞维恩学院133 Morehouse College 莫尔豪斯学院133 Randolph College 伦道夫学院133 Roanoke College 罗诺克学院133 Wesleyan College 卫斯理学院133 Whittier College 惠提尔学院139 Alma College 阿尔玛学院139 Central College 中央学院139 Gordon College 戈登学院139 Grove City College 格罗夫城市学院139 Houghton College 霍顿学院139 Principia College 普林西庇亚学院139 Simpson College 辛普森学院139 University of Minnesota-Morris 明尼苏达大学莫里斯分校139 Wittenberg University 威顿堡大学148 Centenary College of Louisiana 路易斯安那世纪学院148 Hiram College 海勒姆学院148 Nebraska Wesleyan University 内布拉斯加卫斯理公会大学148 Oglethorpe University 奥格尔索普大学148 Salem College 赛勒学院148 St. Vincent College 圣文森特学院148 Wells College 韦尔斯学院155 Carthage College 迦太基学院155 Georgetown College 乔治城学院155 Illinois College 伊利诺斯学院155 William Jewell College 威廉朱尔大学159 College of Idaho 爱达荷学院159 Lycoming College 林克明学院159 University of North Carolina-Asheville 北卡罗莱纳大学阿什维尔分校159 Wartburg College 沃特堡学院159 Westminster College 威斯敏斯特大学164 Doane College 多恩学院165 Fisk University 费斯克大学165 Hartwick College 哈特威克学院165 Lyon College 里昂学院165 Massachusetts College of Liberal Arts 麻省理工文科学院165 Monmouth College 蒙莫斯学院165 Warren Wilson College 沃伦威尔逊学院171 Purchase College-SUNY 纽约州立大学帕切丝学院172 Eastern Mennonite University 东方门诺派大学172 Emory and Henry College 埃默里亨利学院172 Guilford College 吉尔福德学院172 Northland College 诺思兰学院176 Ouachita Baptist University 沃希托浸会大学177 Albright College 奥尔布赖特学院178 Bridgewater College 布利基沃特学院178 Erskine College 厄斯金学院178 Wisconsin Lutheran College 威斯康星路德学院178 Xavier University of Louisiana 路易斯安那泽维尔大学以上是托普仕留学(中国首家高端精品留学机构)专家对最新2015 U.S. News全美文理学院排名中英对照的介绍,希望对申请者能够有所帮助。
Rank School Location Tuition and Fees TotalenrollmentFall 2013acceptance rate Average freshman retention rate #1Williams College Williamstown, MA $48,3102,13117.5%97%#2Amherst College Amherst, MA $48,5261,78514.3%98%#3Swarthmore College Swarthmore, PA $46,0601,53414.3%96%#4Wellesley College Wellesley, MA $45,0782,47429.1%96%#5Bowdoin College Brunswick, ME $46,8081,79515%96%#5Pomona College Claremont, CA $45,8321,61213.9%98%#7Middlebury College Middlebury, VT $46,0442,49517.5%96%#8Carleton College Northfield, MN $47,7362,04521%97%#8Claremont McKenna College Claremont, CA $47,3951,32811.7%96%#8Haverford College Haverford, PA $47,2141,18723.5%97%#11Davidson College Davidson, NC $45,3771,78825.6%96%#11Vassar College Poughkeepsie, NY $49,5702,47724.1%96%#13United States Naval Academy Annapolis, MD $04,5267.4%97%#14Washington and Lee University Lexington, VA $45,6172,27718.4%95%#15Colby College Waterville, ME $47,3501,82026%94%#15Hamilton College Clinton, NY $47,8201,92627.2%95%#15Harvey Mudd College Claremont, CA $48,59480719.1%98%#15Wesleyan University Middletown, CT $47,9723,20520.4%96%#19Bates College Lewiston, ME $45,6501,79124.2%93%#19Grinnell College Grinnell, IA $45,6201,72135.1%94%#19Smith College Northampton, MA $44,7243,03343.1%93%#22Colgate University Hamilton, NY $48,1752,90026.7%94%#23Oberlin College Oberlin, OH $48,6822,91130.4%93%2015年US NEWS美国最佳文理学院排名魔课网muoke.org#24Macalester College St. Paul, MN$47,1952,03934.2%95% #24Scripps College Claremont, CA$47,3781,00935.7%93% #24United States Military Academy West Point, NY$04,5919%95% #27Bryn Mawr College Bryn Mawr, PA$45,5401,73839.9%91% #27Colorado College Colorado Springs, CO$46,4102,06022.3%96% #27United States Air Force Academy USAF Academy, CO$03,99315.4%90% #30Kenyon College Gambier, OH$47,3301,70538.4%94% #30University of Richmond Univ. of Richmond, VA$46,6803,53131.2%94% #32Barnard College New York, NY$46,0402,48920.5%96% #32Bucknell University Lewisburg, PA$48,4983,60829.5%94% #34College of the Holy Cross Worcester, MA$45,6922,91233%95% #35Lafayette College Easton, PA$45,6352,48634.1%94% #35Pitzer College Claremont, CA$46,9921,08114.5%92% #37Dickinson College Carlisle, PA$47,6922,49444.5%90% #37Franklin and Marshall College Lancaster, PA$48,5142,29736.2%93% #37Skidmore College Saratoga Springs, NY$47,3142,70235.1%94% #37Whitman College Walla Walla, WA$44,8001,54157%94% #41Mount Holyoke College South Hadley, MA$42,6562,25146.8%91% #41Soka University of America Aliso Viejo, CA$30,21441243.4%96% #41Union College Schenectady, NY$48,3842,24637.3%93% #44Occidental College Los Angeles, CA$47,5222,12842.4%93% #45Bard College Annandale on Hudson, NY$48,2402,27837.6%88% #45Centre College Danville, KY$37,1001,38168.6%91% #45Connecticut College New London, CT$47,7401,92236.7%90% #45Sewanee—U niversity of the South Sewanee, TN$37,1001,70160.3%88% #45Trinity College Hartford, CT$49,0562,42231.8%91% #50Gettysburg College Gettysburg, PA$47,4802,53341.6%90% #51Denison University Granville, OH$45,6702,27446%90% #51DePauw University Greencastle, IN$42,7462,30461.2%91% #51Furman University Greenville, SC$44,6682,95364.1%89%#54Rhodes College Memphis, TN$41,5722,04057.6%91% #54St. Olaf College Northfield, MN$41,7003,12559.1%94% #56St. John's College Annapolis, MD$47,82649387.1%86% #56St. Lawrence University Canton, NY$47,6962,50646.4%91% #56Wheaton College Wheaton, IL$31,9002,99370.3%95% #59Lawrence University Appleton, WI$42,6571,55572.7%89% #59Sarah Lawrence College Bronxville, NY$50,7801,78277.1%87% #61Beloit College Beloit, WI$42,5001,30667.7%89% #61Hobart and William Smith Colleges G eneva, NY$47,9082,37250%88% #61Wabash College Crawfordsville, IN$37,75090269.6%86% #64Gustavus Adolphus College St. Peter, MN$40,0202,45563.2%92% #64Kalamazoo College Kalamazoo, MI$41,0611,45866.9%92% #64Muhlenberg College Allentown, PA$44,1452,44846.2%92%#64Virginia Military Institute Lexington, VA in-state: $15,518,out-of-state:$37,5741,67547.8%84%#64Willamette University Salem, OR$44,0763,02457.8%88% #69Berea College Berea, KY$8701,62334%80% #69College of Wooster Wooster, OH$43,3502,11656.3%89% #69Hillsdale College Hillsdale, MI$23,6161,51149.5%97% #69Wheaton College Norton, MA$46,4231,65673.9%86% #73Agnes Scott College Decatur, GA$35,98291566.9%82% #73Earlham College Richmond, IN$42,8701,16463.7%85% #73Illinois Wesleyan University Bloomington, IL$40,8442,00958.4%90% #73St. John's University Collegeville, MN$38,7041,97875.2%90% #77Lewis & Clark College Portland, OR$43,3823,51862.9%86% #77Reed College Portland, OR$46,010N/A48.5%92% #77Thomas Aquinas College Santa Paula, CA$24,50036681.5%87% #77Wofford College Spartanburg, SC$37,1201,58468.8%89%#81Allegheny College Meadville, PA$40,6602,16164.9%87% #81Hendrix College Conway, AR$39,2901,43280.4%85% #81Knox College Galesburg, IL$40,4971,42475%88% #81Spelman College Atlanta, GA$25,4962,12940.8%89% #81Transylvania University Lexington, KY$33,3601,08182.9%87% #81University of Puget Sound Tacoma, WA$43,4282,81485.2%87%#87New College of Florida Sarasota, FL in-state: $6,872,out-of-state:$29,90079369.2%83%#87Southwestern University Georgetown, TX$36,1201,53552.2%86% #89Austin College Sherman, TX$34,8401,22458.6%82% #89Bennington College Bennington, VT$46,65873864.9%85% #89College of St. Benedict St. Joseph, MN$39,4022,05175.5%89% #89Luther College Decorah, IA$38,3702,46672.1%87% #89Millsaps College Jackson, MS$33,98280447.5%80% #89St. John's College Santa Fe, NM$47,62642493.4%74%#89St. Mary's College of Maryland St. Mary's City, MD in-state: $14,874,out-of-state:$28,6741,85873.4%88%#96St. Mary's College Notre Dame, IN$35,9701,47985.7%87% #96Washington and Jefferson College Washington, PA$41,2821,32839.7%83% #96Westmont College Santa Barbara, CA$39,9901,31870.2%87% #99Albion College Albion, MI$37,3001,30756.4%79% #99College of the Atlantic Bar Harbor, ME$40,49137073.2%85% #99Drew University Madison, NJ$45,2142,29177.4%79% #99Hope College Holland, MI$29,5603,38870.5%89% #99Ohio Wesleyan University Delaware, OH$41,9201,83075.3%83% #99St. Michael's College Colchester, VT$39,3752,37875.1%89% #105Augustana College Rock Island, IL$37,2362,52458.7%86%#105Cornell College Mount Vernon, IA$37,5001,12558.9%82% #105Goucher College Baltimore, MD$40,5582,11172.3%84% #105Hampden-S ydney College Hampden-Sydney, VA$39,2721,07054.9%79% #105Juniata College Huntingdon, PA$38,6301,63574.1%87% #105Stonehill College Easton, MA$37,4262,48170.9%88% #105Washington College Chestertown, MD$42,5921,51266.5%83% #112Hollins University Roanoke, VA$34,29575069.3%70% #113Hanover College Hanover, IN$33,0231,16366.7%81% #113Ripon College Ripon, WI$33,48290475.2%85% #113Siena College Loudonville, NY$32,2933,21657.5%87% #116Calvin College Grand Rapids, MI$29,6354,03469.8%87% #116Susquehanna University Selinsgrove, PA$40,3502,18772.3%84% #116Sweet Briar College Sweet Briar, VA$34,93571084.3%74% #116Westminster College New Wilmington, PA$33,4101,35973.4%86% #120Coe College Cedar Rapids, IA$37,2301,42061.7%80% #120Lake Forest College Lake Forest, IL$39,8421,62257.3%84% #120St. Anselm College Manchester, NH$36,3361,92373.7%86% #123St. Norbert College De Pere, WI$33,0232,22281.9%83% #124Birmingham-S outhern College Birmingham, AL$31,8881,18864.2%81% #124Eckerd College St. Petersburg, FL$38,6681,82172.2%81% #124Linfield College McMinnville, OR$37,3461,67192.2%83% #124Presbyterian College Clinton, SC$33,6501,43366%82% #124Randolph-M acon College Ashland, VA$36,3401,31563.7%78% #129Berry College Mount Berry, GA$30,5302,22360.3%78% #129Concordia College—M oorhead Moorhead, MN$34,1142,55878%84% #129Goshen College Goshen, IN$29,70088855.1%79% #129McDaniel College Westminster, MD$38,3503,25675.9%83% #133Moravian College Bethlehem, PA$36,8001,84180%78% #133Morehouse College Atlanta, GA$26,0902,18966.8%82% #133Randolph College Lynchburg, VA$34,10768283.4%77%#133Roanoke College Salem, VA$37,8022,02972.8%80% #133Wesleyan College Macon, GA$19,90069743.4%79% #133Whittier College Whittier, CA$41,7112,37363.3%83% #139Alma College Alma, MI$34,2201,41969.4%80% #139Central College Pella, IA$32,1241,38665.8%81% #139Gordon College Wenham, MA$34,3902,10943.1%82% #139Grove City College Grove City, PA$15,5502,49180.6%90% #139Houghton College Houghton, NY$28,5561,10091.1%87% #139Principia College Elsah, IL$26,85048084.1%80% #139Simpson College Indianola, IA$32,5501,77388%80% #139University of Minnesota—M orris Morris, MN$12,5841,94657.6%82% #139Wittenberg University Springfield, OH$38,0301,97989.4%77% #148Centenary College of Louisiana Shreveport, LA$32,00066166%71% #148Hiram College Hiram, OH$30,2901,31157.3%76% #148Nebraska Wesleyan University Lincoln, NE$28,5002,14976.9%79% #148Oglethorpe University Atlanta, GA$32,5001,08255.8%78% #148Salem College Winston-Salem, NC$25,3561,18758.3%77% #148St. Vincent College Latrobe, PA$31,3701,81368.8%83% #148Wells College Aurora, NY$36,70053459.7%73% #155Carthage College Kenosha, WI$36,8502,99770.2%76% #155Georgetown College Georgetown, KY$32,9601,39985.8%75% #155Illinois College Jacksonville, IL$29,2101,02861.3%81% #155William Jewell College Liberty, MO$31,6201,04357.8%75% #159College of Idaho Caldwell, ID$24,6251,12268.3%85% #159Lycoming College Williamsport, PA$34,7061,30771.6%81%#159University of North Carolina—A shevAsheville, NC in-state: $6,392,out-of-state:$21,2633,78468.7%80%#159Wartburg College Waverly, IA$36,1201,71477.7%79% #159Westminster College Fulton, MO$22,5601,04469%79%#164Doane College Crete, NE$27,2001,11371.7%76% #165Fisk University Nashville, TN$20,85864021.2%N/A #165Hartwick College Oneonta, NY$40,0701,61584.2%74% #165Lyon College Batesville, AR$24,30059258.8%67%#165Massachusetts College of Liberal Art North Adams, MA in-state: $8,975,out-of-state:$17,9201,71667.2%75%#165Monmouth College Monmouth, IL$33,2001,25664.3%75% #165Warren Wilson College Asheville, NC$30,85289369.6%68%#171Purchase College—S UNY Purchase, NY in-state: $7,873,out-of-state:$17,5234,37933.2%82%#172Eastern Mennonite University Harrisonburg, VA$29,3501,64065.1%78% #172Emory and Henry College Emory, VA$30,22695965.7%73% #172Guilford College Greensboro, NC$33,4302,30268.2%74% #172Northland College Ashland, WI$31,48057459.1%71% #176Ouachita Baptist University Arkadelphia, AR$23,3201,54370.1%79% #177Albright College Reading, PA$38,2202,38462.3%74% #178Bridgewater College Bridgewater, VA$30,3801,84854.9%75% #178Erskine College Due West, SC$31,28081569.7%68% #178Wisconsin Lutheran College Milwaukee, WI$25,9601,17863.6%78% #178Xavier University of Louisiana New Orleans, LA$21,5523,12154.4%68% RNP Allen University Columbia, SC$12,97065150.1%46% RNP American Jewish University Bel-Air, CA$29,13222941.8%70% RNP Amridge University Montgomery, AL$10,305635N/A N/A RNP Ave Maria University Ave Maria, FL$23,000N/A61%70% RNP Bay Path University Longmeadow, MA$30,8592,35957.6%74% RNP Bennett College Greensboro, NC$17,130N/A69.5%68% RNP Bethany College Bethany, WV$25,73672749.5%60% RNP Bethany Lutheran College Mankato, MN$24,45057974.6%72%RNP Bloomfield College Bloomfield, NJ$26,7501,97758.9%67% RNP Brevard College Brevard, NC$26,17070144.9%58% RNP Bryn Athyn College of the New Chu Bryn Athyn, PA$18,61027652.3%64% RNP Burlington College Burlington, VT$23,54624482.8%62%RNP Castleton State College Castleton, VT in-state: $10,286,out-of-state:$24,0142,17578.9%71%RNP Claflin University Orangeburg, SC$15,2101,88460.6%73% RNP Clearwater Christian College Clearwater, FL$17,76550570.1%66% RNP College of Saints John Fisher & ThomFort Worth, TX N/A N/A N/A N/ARNP Colorado Mesa University Grand Junction, CO in-state: $7,625,out-of-state:$18,9859,67682%65%RNP Dillard University New Orleans, LA$16,1911,18335.4%64% RNP Eastern Nazarene College Quincy, MA$27,9221,47851.3%68%RNP Fort Lewis College Durango, CO in-state: $7,252,out-of-state:$17,7804,06587.5%64%RNP Green Mountain College Poultney, VT$32,43684175.6%70% RNP Harrisburg University of Science andHarrisburg, PA$23,90033547.4%62% RNP Holy Cross College Notre Dame, IN$27,150N/A81.3%55% RNP Huston-T illotson University Austin, TX$13,494N/A45.9%57% RNP Johnson C. Smith University Charlotte, NC$18,3361,38736.7%68% RNP Judson College Marion, AL$15,630N/A73.9%71%RNP Kentucky State University Frankfort, KY in-state: $7,404,out-of-state:$17,2142,53337.7%51%RNP The King's College New York, NY$32,30051671.2%64% RNP Lane College Jackson, TN$9,180N/A33.4%55%RNP Life University Marietta, GA$10,5002,77640.9%70%RNP Louisiana State University—A lexand Alexandria, LA in-state: $5,315,out-of-state:$12,1732,22960.7%57%RNP Marymount Manhattan College New York, NY$27,6361,83374.7%66% RNP Maryville College Maryville, TN$31,7541,16872.6%72% RNP Pacific Union College Angwin, CA$28,1311,64750.6%76% RNP Pine Manor College Chestnut Hill, MA$26,18034664.1%59% RNP Rust College Holly Springs, MS$9,28692213.9%60% RNP San Diego Christian College El Cajon, CA$25,888N/A42.6%59%RNP Savannah State University Savannah, GA in-state: $5,415,out-of-state:$15,1764,77282.9%70%RNP Shawnee State University Portsmouth, OH in-state: $7,364,out-of-state:$12,6174,34183.3%52%RNP Shorter University Rome, GA$19,670N/A68.1%54% RNP Simpson University Redding, CA$24,3001,25555.5%71% RNP Stillman College Tuscaloosa, AL$14,910N/A41%60%RNP SUNY College—O ld Westbury Old Westbury, NY in-state: $8,436,out-of-state:$18,0864,36458%77%RNP Tougaloo College Tougaloo, MS$10,21087834.1%74%RNP University of Hawaii—H ilo Hilo, HI in-state: $7,036,out-of-state:$19,0364,04375%70%RNP University of Maine—M achias Machias, ME in-state: $7,490,out-of-state:$19,37089285.4%66%RNP University of Pikeville Pikeville, KY$18,2902,204100%52%RNP University of Science and Arts of Ok Chickasha, OK in-state: $6,270,out-of-state:$15,21091762.5%67%RNP University of Virginia—W ise Wise, VA in-state: $8,868,out-of-state:$23,8702,29175%69%RNP University of Wisconsin—P arkside Kenosha, WI in-state: $7,316,out-of-state:$14,8894,61768.8%65%RNP Virginia Intermont College Bristol, VA$24,642N/A99%63% RNP Virginia Wesleyan College Norfolk, VA$33,2861,45992.9%65%RNP Western State Colorado University Gunnison, CO in-state: $7,874,out-of-state:$18,3192,40492.3%64%RNP West Virginia State University Institute, WV in-state: $6,228,out-of-state:$14,5582,67744.6%53%RNP William Peace University Raleigh, NC$23,900N/A61%68% Unranked Beacon College Leesburg, FL$31,49619064.8%69%Unranked Charter Oak State College New Britain, CT in-state: $8,592,out-of-state:$11,0821,581N/A N/AUnranked East-W est University Chicago, IL$18,795N/A N/A32%Unranked Granite State College Concord, NH in-state: $8,775,out-of-state:$9,6752,058100%59%Unranked Hampshire College Amherst, MA$46,6251,49270.4%81% Unranked Marlboro College Marlboro, VT$38,110N/A N/A N/A Unranked Martin University Indianapolis, IN$11,960N/A N/A N/A Unranked National Hispanic University San Jose, CA$8,196N/A N/A N/AUnranked Shimer College Chicago, IL$31,527N/A N/A N/A Unranked Sterling College Craftsbury Common, VT$29,894N/A90.1%65% Unranked Talladega College Talladega, AL$11,492N/A N/A N/AMerrimack, NH$20,40080N/A40% Unranked Thomas More College of Liberal ArtsUnranked Ursinus College Collegeville, PA$46,0751,59666.3%90%准备留学考试,找到留学导师,就到魔课网www.muoke.org。