2011年硕士入学考试成绩中国农业大学农学院
- 格式:xls
- 大小:376.00 KB
- 文档页数:69
2011年兰州大学招收硕士研究生复试分数线(学术型)注:1.各有关学院、研究院可以根据生源情况向上调整复试分数线,详情见各有关学院、研究院复试办法。
2.单独考试的考生:在相应学科门类复试分数线基础上,总分降30分(≥240分),单科降5分。
3.报考我校①毕业后在国务院公布的民族自治地方就业的少数民族应届本科毕业生考生;或②工作单位在国务院公布的民族自治地方,并报考为原单位定向或委培的少数民族在职人员考生。
在相应学科门类复试分数线基础上,总分降20分(≥240分),单科降5分。
4.少数民族骨干计划的考生:在相应学科门类复试分数线基础上,总分降45分(≥240分),单科不限。
北京大学2010年硕士生招生复试基本分数线与有关事项通告根据教育部有关制订分数线的要求,我校按照统考生、联考生等不同类型分别确定复试基本分数线。
考生能否进入复试以各院系按差额复试的比例所规定的各项单科成绩和总成绩确定的复试名单为准。
我校将按照德、智、体全面衡量,择优录取,保证质量,宁缺毋滥的精神和公开、公正、公平的原则进行复试与录取工作。
一、复试基本分数线:1、统考:2011年华中科技大学考研分数线基本要求公布:中山大学2011年硕士研究生复试分数线公布:(箭头表示与2010年该校分数线对比变化↑表示上升↓表示下降)二、“少数民族高层次骨干人才计划”和“对口支援西部地区高校定向培养研究生计划”复试基本分数要求参照国家统一划定的“少数民族高层次骨干人才计划”复试基本分数要求。
具有复试资格的“少数民族高层次骨干人才计划”考生,复试前须向中山大学研究生招生办公室提交《报考2011年“少数民族高层次骨干人才计划”硕士研究生考生登记表》。
符合“对口支援西部地区高校定向培养研究生计划”招生要求的考生须在3月22日前向中山大学研究生招生办公室提供我校对口支援高校(吉首大学、西藏民族学院、新疆医科大学)同意定向培养的证明。
三、享受“西部计划志愿者”、“大学生村官”、“三支一扶”等国家加分政策考生的复试基本分数要求按照国家规定的相关加分政策执行。
中国农业大学2011年研究生复试分数线公布中国农业大学2010年研究生复试分数线公布新浪编辑注:箭头代表该校2010年分数线与09年对比的变化 ↑代表上升 ↓代表下降中国农业大学2009年考研复试分数线公布学科门类总分单科要求要求 政治 外语 业务课1 业务课2 哲学[01] 310 4545 80 80经济学[02]345 54 54 80 80法学[03] 320 48 48 80 80 文学[05] 345 54 54 80 80理学[07]310 45 45 75 75 工学[08] 310 45 45 7575 照顾学科 [0801][0807] [0815][0828] 305 45 45 75 75 农学[09] 310 45 45 75 75管理[12] 345 54 54 80 80 工程硕士[0852] 290 40 40 7070 农业推广硕士[0951] 290 40 40 70 70 兽医硕士[0952] 290 40 40 70 70 风景园林[0953] 290 40 40 70 70 工商管理[1251]165 /48100/科门类总分要求单科要求 其他说明 1、目前在河北、山西、辽宁、吉林、黑龙江、安徽、江西、重庆、四川、陕西等10省(市) 工作且委托培养回原单位的考生在各学科门类分数要求基础上初试总分降低5分。
2、目前在内蒙古、广西、海南、贵州、云南、西藏、甘肃、青海、宁夏、新疆等10省(区)工作且委托培养回原单位的考生在各学科门类分数要求基础上初试总分降低10分,政治理论、外语各降低2分。
3、目前在民族区域自治地方范围*内工作的少数民族在职考生且委托培养回少数民族地区,可在各学科门类分数要求基础上总分降低20分,政治,外语各降低5分,业务课各降低10分。
4、参加“大学生志愿服务西部计划”并完成服务期、考核合格的志愿者,在服务期满后三年内,凭志愿者证书初试总分降10分。
农学与生物技术学院2011年硕士生招生复试和录取办法根据教育部及研究生院的有关文件精神,结合我院实际情况制订本办法。
一、指导思想复试是硕士生招生考试的重要组成部分,其目的主要是进一步考察考生的综合素质和能力是否符合硕士生培养要求。
我校各研究生招生学院和单位应坚持公平、公正、公开和科学选拔的原则,做到政策透明、程序公正、结果公开。
在对考生德智体全面考察基础上,突出对专业素质、实践能力和创新精神等方面的考核,坚持按需招生,择优录取,宁缺勿滥,确保质量。
二、复试规则(一)实行差额复试。
各学科复试人数一般为招生规模的120%,具体比例由招生专业根据招生规模和生源状况等确定。
凡拟录取考生必须参加复试,经复试合格后方可录取;复试不合格者,不予录取。
(二)复试内容主要包括专业课笔试、面试、实验技能测试、外语听力口语测试,其中外语听力口语测试满分为5分(由专业自行安排)。
(三)成绩构成:初、复试成绩各占综合成绩的50%。
综合成绩满分100分。
同等学历考生还应加试(笔试)两门不同于初试科目的本专业本科主干课程,每个科目满分100分。
每门加试成绩必须达到70分及以上者方可进入综合成绩排名。
三、复试办法(一)复试成绩基本要求(二)调剂复试校内调剂遵循专业相近、业务课相近的原则,初试成绩必须达到报考学科门类的我校复试分数线和我院接收专业的复试分数线。
校外调剂生除初试成绩必须满足报考门类教育部及我院接收专业复试基本要求外,还应为研究生院或“985”重点建设或“211工程”重点建设的综合性、理工科大学或国家级重点学科的校本部本科毕业生(不含成人教育、自学考试毕业生),且一志愿报考单位为研究生院或“985”重点建设或“211工程”重点建设的综合性、理工科大学及中科院系统的考生。
设置统考数学的专业除遵循上述原则外,考生应有统考数学成绩。
且按数学一、二、三顺调。
申请调剂复试的考生(本院内专业间调剂的考生除外)需填写“农学与生物技术学院调剂复试申请表”(见附件),经同意参加复试的导师签字后交到农学楼328室备案。
食品科学与营养工程学院招生方案根据研究生院文件精神,食品学院结合本院特点,坚持公平、公正、公开和科学选拔的原则,制定了2011年硕士研究生的复试方案,全面衡量考生的德智体情况,按需招生、择优录取。
切实做好2011年研究生招生工作。
具体方案如下:一招生领导小组组长: 罗云波副组长: 黄昆仑组员: 陈明海韩北忠廖小军郭顺堂二复试考核小组组长: 黄昆仑组员: 各学科负责人考核小组将按食品学院学科分类,具体安排如下:学科分类学科负责人招生专业食品科学罗云波食品科学食品生物技术营养与食品安全农产品加工及贮藏工程胡小松农产品加工及贮藏工程畜产品加工及贮藏工程水产品加工及贮藏工程粮食.油脂及植物蛋白工程郭顺堂粮食.油脂及蛋白质加工工程三面试小组 (建议方案)学科组名地点成员食品科学食品科学专业小组食222组长:籍保平秘书:刘海杰高彦祥袁芳韩东海李里特李平兰李博殷立君周峰食品生物技术专业小组(1组)食449组长:韩北忠秘书:陈晶瑜段长青李景明江正强战吉宬王秀芹黄卫东潘秋红王军(博导)食品生物技术专业小组(2组)食224组长:罗云波秘书:张秀清刘萍生吉萍曲桂芹申琳卢江朱毅朱本忠张雅丽梁志宏孙君社傅达奇食品安全及卫生专业小组食223组长:黄昆仑秘书:吴广枫王世平石英范志红景浩王增利扈洪波冯力更何计国梅晓红王军(硕导)陈明海陈敏许文涛车会莲农产品加工及贮藏工程农产品加工及工程专业小组(果蔬加工)果蔬加工实验室组长:倪元颖秘书:曹健康胡小松汪政富廖小军姜微波赵广华葛毅强吴继红李全宏陈芳农产品加工及工程专业小组(乳肉加工、水产品)食414组长:任发政秘书:郝彦玲崔建云陈尚武罗永康马长伟毛学英李兴民张列兵葛克山冷小京戴瑞彤吴建平粮食.油脂及植物蛋白工程粮油、蛋白加工专业小组食227组长:郭顺堂秘书:张惠薛文通侯彩云李再贵汪立君沈群程永强鲁战会梁建芬四实验技能测试小组组长: 陈敏(食235实验室) 李平兰(食425实验室)五秘书小组石宝霞李文六复试原则淡化初试,加强复试,避免录取高分低能的考生.坚持公平、公正和公开的原则实施新的研究生复试体系,较有效地保证了招生质量。
于“985”大学28所,毕业于“211”大学67所。
一志愿平均报考录取率为22.9%。
按照教育部公布的复试分数线,报考中国农业大学的一志愿考生中达到A类地区的人数为2563,占报考人数46.5%,达到B类地区的有2803人,占50.8%,达到C类地区的有3047人,占55.3%。
农学门类达到国家A、B、C类地区线的人数分别占报考人数的64.3e.5%和66.2%。
截至25日,已有1031名考生已调剂到其它二志愿单位录取。
今年中国农业大学硕士生招生工作的重点,一是围绕加快研究生教育结构调整,加快应用型人才培养这个核心开展工作。
为此,各招生学院积极调整资源配置,采取有效措施吸引生源,考生从不认同、观望转向积极投入,今年比去年多招收164人,增加41.3%,为我校研究生教育类型结构调整迈出了实质性步伐。
二是继续坚持“政策透明、程序公正、结果公开”原则,以维护招生工作“公开、公平、公正”,各招生学院认真组织实施复试,研究生院派出研究生教育督导组参与复试过程巡查,到目前为止学校未收到任何对程序公正性和结果公平性的质疑和投诉。
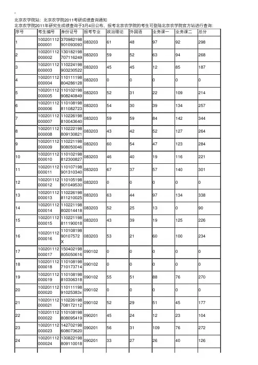
北京农学院站:北京农学院2011考研成绩查询通知北京农学院2011年研究⽣成绩查询于3⽉4⽇公布,报考北京农学院的考⽣可登陆北京农学院官⽅站进⾏查询:序号考⽣编号⾝份证号报考专业政治理论外国语业务课⼀业务课⼆总分11002011120000013709821989010930930832036148979229821002011120000021301821987071162490832035952639426831002011120000031102241989032305220832034545128518741002011120000041101111988042861280832*******510020111200000511010219890824084908320352312210921461002011120000061101081988110827230832035430391342577100201112000007110226198810043640083203595984142344810020111200000811022219880913082108320343425212726491002011120000091102211989080500460832036054471232841010020111200001011010219881230082708320346401911622111100201112000011110107198901310340083203673757140301121002011120000121101051989010495300832*******131********00001311022619881121002508320363449713433814100201112000014110221198802014418083203522513090151********0000151102211988111900180832034339191252261610020111200001611010819890107572X083203532160100234171002011120000171504021988050506160901*******181********0000181101081987101737140901*******19100201112000019110108198810306318090102555188762702010020111200002011011119891025383x0901*******211002011120000211102261987081721120901025229514517722100201112000022110108198808095419090201452412231042310020111200002314270219860807362009020156311097627225100201112000025110108198706294919090201453453942262610020111200002611011119871121381909020147275150175271002011120000271302831989051356610902015142941002872810020111200002811010819860603604X090201584986832762910020111200002911010819890203004809020154464670216301002011120000301102291988090518450902015340110882913110020111200003111010819880109001709020148284470190321002011120000321101051989020204220902015747806825233100201112000033110108198903056063090201594676842653410020111200003411022119850619002X0902*******3510020111200003544170219850117072X09020250367047203361002011120000361102261987092508560902*******371002011120000372201041981050803170902025437355518138100201112000038110105198812210468090601461945281383910020111200003911022819870129266709060141202912102401002011120000401102261988060953170906*******41100201112000041110102198707070011090601451829351274210020111200004211022219880120512009060165518156253431002011120000431301831985022400900906014352115844410020111200004413243819770202022x09060142182124105451002011120000451101041989022725510906014824736921446100201112000046110108198901195414090601481500634710020111200004711010719881004092009060153417454222481002011120000482113821983092606180906014219313412650100201112000050110106198807163640090603533273572155110020111200005111010119880126254X09060356347462226521002011120000521102221989012364260906*******5310020111200005311011119890712362009060340244446154541002011120000541101041987110425180906033929310995510020111200005511010719880404121409060351352949164561002011120000563701251984010112140906*******571002011120000571101071988042300230906034436767523158100201112000058110102198908153059090603412828271245910020111200005911022319870706111209060362284837175601002011120000601102211987091183190906035431804621161100201112000061110228198712204925090603594985592526210020111200006211010119870504258X09060360326251205631002011120000631101081987042837220906*******641002011120000641101041987102200280907065148711252956510020111200006513068419850822134509070648332710020866100201112000066110222198903151223090706414800896710020111200006711010519870205752X0907063422121021706810020111200006837132719880606470609070668541119833169100201112000069110103198908241813090706453239115231701002011120000704107241986112900460907064125358518671100201112000071110102198901130428090706730007372100201112000072110222198807102720090706462320089731002011121101061989032042209070645405975219751002011120000751101051989050754450907065126351002127610020111200007611010819890123492X09070653424110023677100201112000077370612198504166011090706503691722497810020111200007811010219890217240009070600000791002011120000793701241986042430270907063828225314180100201112000080130683198410186020095101473958882328110020111200008111022219890812032X09510148345651189821002011120000821102281989051721220951015445107111317831002011120000831101111989062010680951022951639523884100201112000084110226198806040025095102505642112260851002011120000851101061989091730220951024533267718186100201112000086110226198703065043095102534773125298871002011120000876205021979092107100951*******88100201112000088152123198904020620095102504991100290891002011120000891101071988110412200951*******9010020111200009062272719860215202009510234235511923135 / T D >T D > 5 0 /T D > T D> 8 2 / T D> T D > 2 05 / T D > /T R > T R> T D > 9 2/ T D > T D> 1 0 0 2 01 1 12 0 00 0 9 2 / TD > T D > 11 02 2 2 19 8 8 0 9 04 6 6 2 X /T D > T D> 0 9 5 1 0/ T D > / T R > T R > T D > 9 3 / T D > T D > 1 0 0 2 0 1 1 1 2 0 00 0 9 3 / TD > T D > 11 02 2 1 1 9 8 8 1 2 23 7 0 2 5 / T D > T D > 0 9 5 1 02 / T D > TD > 0 / T D > T D > 0 / T D > T D > 0 / T D > T D > 0 / T D > T D > 0 / T D > / T R > T R > T D > 9 4 / T D > T D > 1 0 0 2 0 1 1 1 2 0 00 0 9 4 / TD > T D > 11 0 1 0 8 1 9 8 9 0 82 8 4 2 2 5 / T D > T D > 0 9 5 1 02 / T D > TD > 3 7 / TD > T D > 52 / T D > TD > 6 0 / TD > T D > 98 / T D > TD > 2 4 7 / T D > / T R > T R > T D > 9 5 / TD > T D > 10 0 2 0 1 11 2 0 0 0 0 9 5 / T D > T D > 1 1 0 1 0 3 1 9 8 9 0 8 2 7 1 8 1 X / T D > T D > 0 9 5 1 0 2 / TT R > T R > T D > 9 6 / T D > T D > 1 0 0 2 0 1 1 1 2 0 00 0 9 6 / TD > T D > 22 0 2 03 1 9 8 6 1 0 1 7 0 9 2 9 / T D > T D > 0 9 5 1 04 / T D > TD > 4 0 / TD > T D > 34 / T D > TD > 4 6 / TD > T D > 93 / T D > TD > 2 1 3 / T D > / T R > T R > T D > 9 7 / TD > T D > 10 0 2 0 1 11 2 0 0 0 0 9 7 / T D > T D > 1 1 0 1 1 1 1 9 87 1 1 0 2 18 6 8 / T D > T D > 0 95 1 0 4 / TD > T D > 34 / T D > TD > 3 2 / TD > T D > 41 / T D > TD > 7 7 / TD > T D > 18 4 / T D > / T R > T R > T D > 9 8 / T D > T D > 1 0 0 2 0 1 1 1 2 0 00 0 9 8 / TD > T D > 11 0 1 0 5 1 9 8 8 12 2 2 9 6 4 4 / T D > T D > 0 9 5 1 0 4 / T D > T> T R > T D > 9 9 / TD > T D > 10 0 2 0 1 11 2 0 0 0 0 9 9 / T D > T D > 1 1 0 2 2 9 1 9 8 8 0 9 0 3 0 8 2 5 / T D > T D > 0 95 1 0 4 / TD > T D > 59 / T D > TD > 6 1 / TD > T D > 98 / T D > TD > 1 3 2 / T D > T D > 3 5 0 / T D > / T R > T R > T D > 1 0 0 / TD > T D > 10 0 2 0 1 11 2 0 0 0 1 0 0 / T D > T D > 1 1 0 1 1 1 1 9 8 9 0 3 0 1 6 5 2 9 / T D > T D > 0 95 1 0 4 / TD > T D > 32 / T D > TD > 2 3 / TD > T D > 52 / T D > TD > 1 0 0 / T D > T D > 2 0 7 / T D > / T R > T R > T D > 1 0 1 / TD > T D > 10 0 2 0 1 11 2 0 0 0 1 0 1 / T D > T D > 1 1 0 1 1 1 1 9 8 9 0 4 1 2 3 6 2 5 / T D > T D > 0 9 5 1 0 4 / TD > / T R > T R > T D > 1 0 2 / TD > T D > 10 0 2 0 1 11 2 0 0 0 1 0 2 / T D > T D > 1 1 0 2 2 9 1 9 8 8 0 5 3 0 3 4 1 9 / T D > T D > 0 95 1 0 4 / TD > T D > 50 / T D > TD > 4 4 / TD > T D > 74 / T D > TD > 1 2 6 / T D > T D > 2 9 4 / T D > / T R > T R > T D > 1 0 3 / TD > T D > 10 0 2 0 1 11 2 0 0 0 1 0 3 / T D > T D > 1 1 0 1 0 3 1 9 8 8 1 0 3 1 0 6 2 2 / T D > T D > 0 95 1 0 4 / TD > T D > 60 / T D > TD > 4 8 / TD > T D > 75 / T D > TD > 7 8 / TD > T D > 26 1 / T D > / T R > T R > T D > 1 04 / T D > TD > 1 0 0 20 1 1 1 2 0 0 0 1 0 4 / T D > T D > 1 1 0 1 0 1 1 9 8 8 0 7 0 6 4 5 36 / T D > TD > 0 9 5 15 3 / T D > / T R > T R > T D > 1 05 / T D > TD > 1 0 0 20 1 1 1 2 0 0 0 1 0 5 / T D > T D > 1 1 0 1 1 1 1 9 8 8 0 5 2 2 0 0 67 / T D > TD > 0 9 5 10 4 / T D > T D > 0 / T D > T D > 0 / T D > T D > 0 / T D > T D > 0 / T D > T D > 0 / T D > / T R > T R > T D > 1 0 6 / T D > T D > 1 0 0 2 0 1 1 1 2 0 00 1 0 6 / TD > T D > 51 3 0 02 1 9 8 5 03 1 54 75 X / T D > T D > 0 9 5 1 05 / T D > TD > 4 4 / TD > T D > 44 / T D > TD > 7 4 / TD > T D > 83 / T D > TD > 2 4 5 / T D > / T R > T R > T D > 1 0 7 / T D > T D > 1 0 0 2 0 1 1 1 2 0 00 1 0 7 / TD > T D > 41 1 3 02 1 9 8 0 0 4 1 03 7 3 X / T D > T D > 0 9 5 1 0T R > T R > T D > 1 08 / T D > TD > 1 0 0 20 1 1 1 2 0 0 0 1 0 8 / T D > T D > 1 1 0 2 2 2 1 9 8 7 0 4 2 0 6 2 28 / T D > TD > 0 9 5 10 7 / T D > T D > 3 6 / T D > T D > 4 3 / T D > T D > 3 9 / T D > T D > 7 3 / T D > T D > 1 9 1 / T D > / T R > T R > T D > 1 09 / T D > TD > 1 0 0 20 1 1 1 2 0 0 0 1 0 9 / T D > T D > 1 1 0 2 2 6 1 9 8 7 12 2 8 4 7 23 / T D > TD > 0 9 5 10 7 / T D > T D > 4 6 / T D > T D > 4 2 / T D > T D > 6 3 / T D > T D > 9 8 / T D > T D > 2 4 9 / T D > / T R > T R > T D > 1 10 / T D > TD > 1 0 0 20 1 1 1 2 0 0 0 1 1 0 / T D > T D > 2 2 2 4 0 3 1 9 8 5 0 2 0 8 0 4 27 / T D > TD > 0 9 5 12 / T D > / T R > T R > T D > 1 11 / T D > TD > 1 0 0 20 1 1 1 2 0 0 0 1 1 1 / T D > T D > 1 1 0 1 0 8 1 9 8 7 1 2 0 7 8 1 47 / T D > TD > 0 9 5 10 7 / T D > T D > 4 5 / T D > T D > 2 8 / T D > T D > 6 3 / T D > T D > 6 7 / T D > T D > 2 0 3 / T D > / T R > T R > T D > 1 12 / T D > TD > 1 0 0 20 1 1 1 2 0 0 0 1 1 2 / T D > T D > 1 1 0 1 0 4 1 9 8 9 0 2 0 8 2 5 47 / T D > TD > 0 9 5 11 0 / T D > T D > 4 7 / T D > T D > 5 1 / T D > T D > 1 15 / T D > TD > 1 3 1 / T D > T D > 3 4 4 / T D > / T R > T R > T D > 1 1 3 / TD > T D > 10 0 2 0 1 11 2 0 0 0 1 1 3 / T D > T D > 1 3 0 6 2 1 1 9 8 6 0 8 2 9 5 1 6 X / T D/ T D > T D > 2 7 7 / T D > / T R > T R > T D > 1 1 4 / TD > T D > 10 0 2 0 1 11 2 0 0 0 1 1 4 / T D > T D > 1 4 2 2 3 4 1 9 8 4 0 4 2 0 0 0 5 4 / T D > T D > 0 95 1 1 0 / TD > T D > 56 / T D > TD > 6 6 / TD > T D > 14 4 / T D > T D > 1 4 3 / T D > T D > 4 0 9 / T D > / T R > T R > T D > 1 15 / TD > T D > 10 0 2 0 1 11 2 0 0 0 1 1 5 / T D > T D > 1 1 0 2 2 2 1 9 8 8 1 2 2 8 4 8 2 1 / T D > T D > 0 95 1 1 0 / TD > T D > 74 / T D > TD > 5 1 / TD > T D > 13 6 / T D > T D > 14 0 / T D > T D > 4 0 1 / T D > / T R > T R > T D > 1 1 6 / TD > T D > 10 0 2 0 1 11 2 0 0 0 1 1 6 / T D > T D > 1 1 0 1 1 1 1 9 8 7 0 7 0 8 6T D > 1 3 2 / T D > T D > 3 8 1 / T D > / T R > T R > T D > 1 1 7 / TD > T D > 10 0 2 0 1 11 2 0 0 0 1 1 7 / T D > T D > 1 3 1 1 2 1 1 9 8 6 0 8 0 3 0 2 6 1 / T D > T D > 0 95 1 1 0 / TD > T D > 66 / T D > TD > 6 3 / TD > T D > 13 6 / T D > T D > 1 3 1 / T D > T D > 3 9 6 / T D > / T R > T R > T D > 1 1 8 / TD > T D > 10 0 2 0 1 11 2 0 0 0 1 1 8 / T D > T D > 1 1 0 1 0 2 1 9 8 7 1 2 1 8 3 0 2 9 / T D > T D > 0 95 1 1 0 / TD > T D > 66 / T D > TD > 4 9 / TD > T D > 11 8 / T D > T D > 1 1 3 / T D > T D > 3 4 6 / T D > / T R > T R > T D > 1 1 9 / TD > T D > 10 0 2 0 1 11 2 0 0 0 1 1 9 / T D > T D > 1 1 0 2 2 8 1 9 82 1 / T D > T D > 1 1 2 / T D > T D >3 1 3 / T D > / T R > T R > T D > 1 2 0 / TD > T D > 10 0 2 0 1 11 2 0 0 0 12 0 / T D > T D > 1 1 0 2 2 6 1 9 8 9 0 4 0 6 5 03 1 / T D > T D > 0 95 1 1 0 / TD > T D > 23 / T D > TD > 0 / T D > T D > 0 / T D > T D > 0 / T D > T D > 2 3 / T D > / T R > T R > T D > 1 2 1 / T D > T D > 1 0 0 2 0 1 1 1 2 0 00 1 2 1 / TD > T D > 11 02 2 8 1 9 8 9 0 5 03 0 04 4 / T D > T D > 0 95 1 10 / T D > TD > 4 2 / TD > T D > 44 / T D > TD > 1 2 2 / T D > T D > 1 0 5 / TD > T D > 31 3 / T D > / T R > T R > T D > 1 22 / T D > TD > 1 0 0 20 1 1 1 2 0 0 0 1 2 2 / T D > T D > 1 1 0 1 0> T D > 1 40 / T D > TD > 1 3 6 / T D > T D > 3 7 0 / T D > / T R > T R > T D > 1 2 3 / TD > T D > 10 0 2 0 1 11 2 0 0 0 12 3 / T D > T D > 1 1 0 2 2 9 1 9 8 5 0 8 1 4 0 0 4 3 / T D > T D > 0 95 1 1 0 / TD > T D > 55 / T D > TD > 2 8 / TD > T D > 13 2 / T D > T D > 1 1 0 / T D > T D > 3 2 5 / T D > / T R > T R > T D > 1 24 / TD > T D > 10 0 2 0 1 11 2 0 0 0 12 4 / T D > T D > 1 1 0 1 1 1 1 9 8 8 0 7 0 7 0 0 23 / T D > T D > 0 95 1 1 0 / TD > T D > 25 / T D > TD > 2 5 / TD > T D > 21 / T D > TD > 0 / T D > T D > 7 1 / T D > / T R > T R > T D > 1 2 5 / T D > T D > 1 0 0 2 0 1 1 1 2 0 00 1 2 5 / TD > T D > 1T D > T D > 0 / T D > T D > 0 / T D > T D > 0 / T D > / T R > T R > T D > 1 2 6 / T D > T D > 1 0 0 2 0 1 1 1 2 0 00 1 2 6 / TD > T D > 15 0 2 0 5 1 9 8 2 1 2 1 0 1 0 1 7 / T D > T D > 0 9 5 1 10 / T D > TD > 0 / T D > T D > 0 / T D > T D > 0 / T D > T D > 0 / T D > T D > 0 / T D > / T R > T R > T D > 1 2 7 / T D > T D > 1 0 0 2 0 1 1 1 2 0 00 1 2 7 / TD > T D > 11 0 1 0 4 1 9 8 9 0 5 1 42 5 2 5 / T D > T D > 0 9 5 1 10 / T D > TD > 6 5 / TD > T D > 42 / T D > TD > 1 4 2 / T D > T D > 1 1 2 / TD > T D > 36 1 / T D > / T R > T R > T D > 1 28 / T D > TD > 1 0 0 20 1 1 1 2 0 0 0 1 2 8 / T D > T D > 1 1 0 2 2> T D > 1 43 / T D > TD > 1 2 5 / T D > T D > 3 7 7 / T D > / T R > T R > T D > 1 2 9 / TD > T D > 10 0 2 0 1 11 2 0 0 0 12 9 / T D > T D > 13 1 0 2 5 1 9 8 7 0 1 1 7 3 34 7 / T D > T D > 0 95 1 1 0 / TD > T D > 70 / T D > TD > 6 4 / TD > T D > 13 6 / T D > T D > 1 3 7 / T D > T D >4 0 7 / T D > / T R > T R > T D > 1 3 0 / TD > T D > 10 0 2 0 1 11 2 0 0 0 1 3 0 / T D > T D > 1 1 0 2 2 6 1 9 8 7 0 5 1 7 3 3 4 7 / T D > T D > 0 95 1 1 0 / TD > T D > 51 / T D > TD > 3 4 / TD > T D > 13 4 / T D > T D > 1 1 3 / T D > T D > 3 3 2 / T D > / T R > T R > T D > 1 3 1 / TD > T D > 10 0 2 0 1 11 2 0 0 0 1 3 1 / T D >> 0 / T D > T D > 0 / T D > T D > 0 / T D > T D > 0 / T D > / T R > T R > T D > 1 32 / T D > TD > 1 0 0 20 1 1 1 2 0 0 0 1 3 2 / T D > T D > 1 1 0 1 1 1 1 9 8 8 0 9 0 6 0 0 13 / T D > TD > 0 9 5 11 0 / T D > T D > 5 9 / T D > T D > 5 7 / T D > T D > 1 18 / T D > TD > 1 1 8 / T D > T D > 3 5 2 / T D > / T R > T R > T D > 1 3 3 / TD > T D > 10 0 2 0 1 11 2 0 0 0 1 3 3 / T D > T D > 1 3 0 6 8 1 1 9 8 8 0 9 0 4 0 6 1 0 / T D > T D > 0 95 1 1 0 / TD > T D > 63 / T D > TD > 4 2 / TD > T D > 11 8 / T D > T D > 1 0 8 / T D > T D > 3 3 1 / T D > / T R > T R > T D > 1 3 4 / TD > T D > 10 0 2 0 1 11 2 0 0 0 1 3 4 / T D >D > 5 3 / T D > T D > 0 / T D > T D > 0 / T D > T D > 9 5 / T D > / T R > T R > T D > 1 3 5 / T D > T D > 1 0 0 2 0 1 1 1 2 0 00 1 3 5 / TD > T D > 11 02 2 2 1 9 8 8 1 2 1 0 2 4 1 8 / T D > T D > 0 9 5 1 10 / T D > TD > 6 4 / TD > T D > 53 / T D > TD > 1 2 8 / T D > T D > 1 3 6 / TD > T D > 38 1 / T D > / T R > T R > T D > 1 36 / T D > TD > 1 0 0 20 1 1 1 2 0 0 0 1 3 6 / T D > T D > 6 2 2 8 0 1 1 9 8 1 0 7 1 4 0 2 19 / T D > TD > 0 9 5 11 0 / T D > T D > 4 9 / T D > T D > 6 0 / T D > T D > 1 34 / T D > TD > 1 2 4 / T D > T D > 3 6 7 / T D > / T R > T R > T D > 1 3 7 / TD > T D > 10 0 2 0 1 11 2 0 0 0 14 / T D > TD > 3 2 / TD > T D > 11 2 / T D > T D > 1 1 0 / T D > T D > 3 0 8 / T D > / T R > T R > T D > 1 3 8 / TD > T D > 10 0 2 0 1 11 2 0 0 0 1 3 8 / T D > T D > 1 1 0 1 0 6 1 9 8 9 0 4 0 6 3 9 2 4 / T D > T D > 0 95 1 1 0 / TD > T D > 47 / T D > TD > 5 2 / T D > T D > 7 / T D > T D > 0 / T D > T D > 1 0 6 / T D > / T R > T R > T D > 1 3 9 / T D > T D > 1 0 0 2 0 1 1 1 2 0 00 1 3 9 / TD > T D > 11 02 2 4 1 9 8 8 0 2 0 5 4 0 13 / T D > T D > 0 9 5 1 10 / T D > TD > 0 / T D > T D > 0 / T D > T D > 0 / T D > T D > 0 / T D > T D > 0 / T D > / T R > T R > T D > 1 4 0 / T D > T D > 1 0 0 2 0 1 1 1 2 0 0 0 1 4 0 / TD > T D > 66 / T D > TD > 1 2 7 / T D > T D > 1 0 3 / TD > T D > 32 8 / T D > / T R > T R > T D > 1 41 / T D > TD > 1 0 0 20 1 1 1 2 0 0 0 1 4 1 / T D > T D > 1 1 0 1 0 4 1 9 8 8 1 0 2 7 2 0 52 / T D > TD > 0 9 5 11 0 / T D > T D > 5 7 / T D > T D > 4 0 / T D > T D > 1 40 / T D > TD > 1 2 4 / T D > T D > 3 6 1 / T D > / T R > T R > T D > 1 4 2 / TD > T D > 10 0 2 0 1 11 2 0 0 0 1 4 2 / T D > T D > 1 4 2 3 2 6 1 9 7 7 1 0 0 2 3 0 6 9 / T D > T D > 0 95 1 1 0 / TD > T D > 46 / T D > TD > 4 6 / TD > T D > 14 2 / T D > T D > 1 2 0 / T D > T D > 35 4 / T D > / T R > T R > T D > 1 4 3 / TD > T D > 10 0 2 0 1 1D > T D > 54 / T D > TD > 5 1 / TD > T D > 14 4 / T D > T D > 1 25 / T D > T D > 3 7 4 / T D > / T R > T R > T D > 1 4 4 / TD > T D > 10 0 2 0 1 11 2 0 0 0 1 4 4 / T D > T D > 4 2 2 8 0 2 1 9 8 3 1 2 3 0 2 1 4 0 / T D > T D > 0 95 1 1 0 / TD > T D > 65 / T D > TD > 6 3 / TD > T D > 11 3 / T D > T D > 9 4 / T D > T D > 3 3 5 / T D > / T R > T R > T D > 1 4 5 / TD > T D > 10 0 2 0 1 11 2 0 0 0 1 4 5 / T D > T D > 1 3 0 2 2 5 1 9 8 7 0 3 1 8 4 6 2 1 / T D > T D > 0 95 1 1 0 / TD > T D > 53 / T D > TD > 4 7 / TD > T D > 13 9 / T D > T D > 1 2 8 / T D > T D > 3 6 7 / T D > / T R > T R > T D > 14 6 / T D > T D > 15 1 1 0 / TD > T D > 0 / T D > T D > 0 / T D > T D > 0 / T D > T D > 0 / T D > T D > 0 / T D > / T R > T R > T D > 1 47 / T D > TD > 1 0 0 20 1 1 1 2 0 0 0 1 4 7 / T D > T D > 1 1 0 2 2 9 1 9 8 9 0 7 2 5 0 8 3 X / T D > TD > 0 9 5 11 0 / T D > T D > 4 9 / T D > T D > 5 0 / T D > T D > 1 33 / T D > TD > 1 4 1 / T D > T D > 3 7 3 / T D > / T R > T R > T D > 1 4 8 / TD > T D > 10 0 2 0 1 11 2 0 0 0 1 4 8 / T D > T D > 2 1 1 3 2 2 1 9 8 9 0 1 1 1 0 3 2 1 / T D > T D > 0 95 1 1 0 / TD > T D > 57 / T D > TD > 5 3 / TD > T D > 13 5 / T D > T D > 1 1 1 / T D > T D > 3 5 6 / T D > / T R > T R > T D > 14 9 / T D > T D > 15 1 1 0 / TD > T D > 0 / T D > T D > 0 / T D > T D > 0 / T D > T D > 0 / T D > T D > 0 / T D > / T R > T R > T D > 1 50 / T D > TD > 1 0 0 20 1 1 1 2 0 0 0 1 5 0 / T D > T D > 1 1 0 1 0 8 1 9 8 9 0 3 2 9 1 2 23 / T D > TD > 0 9 5 11 0 / T D > T D > 4 8 / T D > T D > 5 5 / T D > T D > 1 37 / T D > TD > 1 2 1 / T D > T D > 3 6 1 / T D > / T R > T R > T D > 1 5 1 / TD > T D > 10 0 2 0 1 11 2 0 0 0 1 5 1 / T D > T D > 1 5 2 1 2 6 1 9 8 1 0 3 2 5 0 3 2 9 / T D > T D > 0 95 1 1 0 / TD > T D > 62 / T D > TD > 5 6 / TD > T D > 13 4 / T D > T D > 1 2 4 / T D > T D > 3 7 6 / T D > / T R > T R > T D > 1 5 2 / T D > T D > 15 1 1 0 / TD > T D > 50 / T D > TD > 6 0 / TD > T D > 14 0 / T D > T D > 1 3 3 / T D > T D > 3 8 3 / T D > / T R > T R > T D > 15 3 / TD > T D > 10 0 2 0 1 11 2 0 0 0 1 5 3 / T D > T D > 1 1 0 2 2 6 1 9 85 0 4 1 9 16 1 0 / T D > T D > 0 95 1 1 0 / TD > T D > 54 / T D > TD > 2 2 / TD > T D > 10 3 / T D > T D > 1 1 2 / T D > T D > 2 9 1 / T D > / T R > T R > T D > 1 5 4 / TD > T D > 10 0 2 0 1 11 2 0 0 0 1 5 4 / T D > T D > 1 1 0 1 1 1 1 9 8 8 1 0 2 7 4 8 3 6 / T D > T D > 0 95 1 1 0 / TD > T D > 59 / T D > TD > 5 4 / TD > T D > 13 9 / T D > T D > 1 3 1 / T D > T D > 3 8 3 / T D > / T R > T R > T D > 1 5 5 / T> T D > 0 95 1 1 0 / TD > T D > 65 / T D > TD > 5 4 / TD > T D > 13 5 / T D > T D > 14 1 / T D > T D > 3 95 / T D > / T R > T R > T D > 1 56 / TD > T D > 10 0 2 0 1 11 2 0 0 0 1 5 6 / T D > T D > 6 1 2 3 2 8 1 9 9 1 0 5 0 9 0 0 2 2 / T D > T D > 0 95 1 1 0 / TD > T D > 49 / T D > TD > 1 9 / TD > T D > 13 0 / T D > T D > 1 1 6 / T D > T D > 3 14 / T D > / T R > T R > T D > 15 7 / TD > T D > 10 0 2 0 1 11 2 0 0 0 1 5 7 / T D > T D > 1 5 0 2 0 4 1 9 8 2 0 2 0 9 0 1 1 9 / T D > T D > 0 95 1 1 0 / TD > T D > 41 / T D > TD > 3 6 / TD > T D > 13 4 / T D > T D > 6 3 / T D > T D > 2 7 4 / T D > / T R > T R > T D4 2 7 / T D > T D > 0 95 1 1 0 / TD > T D > 63 / T D > TD > 4 9 / TD > T D > 13 4 / T D > T D > 1 1 6 / T D > T D > 3 6 2 / T D > / T R > T R > T D > 1 5 9 / TD > T D > 10 0 2 0 1 11 2 0 0 0 1 5 9 / T D > T D > 1 1 0 2 2 8 1 9 8 9 0 2 0 4 3 8 6 X / T D > T D > 0 95 1 1 0 / TD > T D > 53 / T D > TD > 3 9 / TD > T D > 11 0 / T D > T D > 1 1 9 / T D > T D > 32 1 / T D > / T R > T R > T D > 1 6 0 / TD > T D > 10 0 2 0 1 11 2 0 0 0 1 6 0 / T D > T D > 1 1 0 2 2 8 1 9 8 8 1 2 0 7 0 1 0 0 / T D > T D > 0 95 1 1 0 / TD > T D > 45 / T D > TD > 5 7 / TD > T D > 10 1 / T D > T D > 1 1 9 / T D > T D > 3 2 2 / T D > / T R >9 0 3 2 0 0 3 4 7 / T D > T D > 0 95 1 1 0 / TD > T D > 59 / T D > TD > 5 4 / TD > T D > 13 4 / T D > T D > 1 3 3 / T D > T D > 3 8 0 / T D > / T R > T R > T D > 1 6 2 / TD > T D > 10 0 2 0 1 11 2 0 0 0 1 6 2 / T D > T D > 1 1 0 1 0 9 1 9 8 8 0 7 2 0 0 3 4 0 / T D > T D > 0 95 1 1 0 / TD > T D > 57 / T D > TD > 3 9 / TD > T D > 14 1 / T D > T D > 1 3 0 / T D > T D > 3 6 7 / T D > / T R > T R > T D > 1 6 3 / TD > T D > 10 0 2 0 1 11 2 0 0 0 1 6 3 / T D > T D > 1 3 0 2 2 3 1 9 8 6 1 1 1 1 4 3 2 4 / T D > T D > 0 95 1 1 0 / TD > T D > 63 / T D > TD > 6 8 / TD > T D > 12 5 / T D > T D > 1 1 6 / T D > T D >3 7 2 / T2 2 9 1 9 8 7 0 6 0 1 13 2 2 / T D > T D > 0 95 1 1 0 / TD > T D > 60 / T D > TD > 5 4 / TD > T D > 14 0 / T D > T D > 1 35 / T D > T D > 3 8 9 / T D > / T R > T R > T D > 16 5 / TD > T D > 10 0 2 0 1 11 2 0 0 0 1 6 5 / T D > T D > 1 1 0 2 2 9 1 9 8 8 1 1 2 5 2 2 4 0 / T D > T D > 0 95 1 1 0 / TD > T D > 50 / T D > TD > 5 0 / TD > T D > 11 8 / T D > T D > 1 0 7 / T D > T D > 32 5 / T D > / T R > T R > T D > 1 6 6 / TD > T D > 10 0 2 0 1 11 2 0 0 0 1 6 6 / T D > T D > 2 2 2 4 2 4 1 9 8 3 0 1 2 1 0 0 1 2 / T D > T D > 0 95 1 1 2 / TD > T D > 0 / T D > T D > 0 / T D > T D > 0 / T D > T D > 0 / T D > T D > 0 / T D > /。
2011年全国研究生考试初试合格资格线确定2011年全国硕士研究生统一入学考试考生进入复试的初试成绩基本要求(学术型)学科门类(专业)名称 A 类考生*B 类考生*C 类考生*备 注总分单科(满分=100分)单科(满分>100分)总分单科(满分=100分) 单科(满分>100分)总分单科(满分=100分) 单科(满分>100分)哲学 295 40 60 285 38 57 275 35 53 *A 类考生:报考地处一区招生单位的考生。
*B 类考生:报考地处二区招生单位的考生。
*C 类考生:报考地处三区招生单位的考生。
一区系北京、天津、上海、江苏、浙江、福建、山东、河南、湖北、湖南、广东等11省(市); 二区系河北、山西、辽宁、吉林、黑龙江、安徽、江西、重庆、四经济学 350 55 83 340 53 80 330 50 75 法学 325456831543653054060教育学(不含体育学) 305 40 120 295 38 114 285 35 105 文学(不含艺术学) 355 55 83 345 53 80 335 50 75历史学 295 40 120 285 38 114 275 35 105 理学 295406028538572753553工学(不含照顾专业) 300 40 60 290 38 57 280 35 53 农学 260 35 53 250 33 50 240 30 45医学(不含中医学) 300 40 120 290 38 114 280 35 105军事学 310 45 68 300 43 65 290 40 60 管理学 350 55 83 340 53 80 330 50 75 体育学2703510526033992503090艺术学 320 35 53 310 33 50 300 30 45 川、陕西等10省(市); 三区系内蒙古、广西、海南、贵州、云南、西藏、甘肃、青海、宁夏、新疆等10省(区)。
2011年高校录取分数线:高校编号及名称录取人数文史类理工类101 北京大学291 626661102 清华大学336 620 666103 中国人民大学222 603 643104 北京师范大学130 586 623105 北京理工大学290 524 606106 北京科技大学369 554 585107 北京化工大学226 519 545108 北京交通大学338 553 591109 北京邮电大学467 556 590531(国际合作项目专业)110 北京航空航天大学295 571 627111 中国农业大学240 538 570112 北京林业大学411 541 534114 中国传媒大学108 559 565115 中国协和医科大学40 556116 北京大学医学部128 645117 北京中医药大学149 527 547119 中国政法大学161 570585120 北京外国语大学93 587622121 北京第二外国语学院722 516528122 北京语言大学105 574591123 对外经济贸易大学236 582 621124 中国矿业大学(北京) 88 519 528125 中央民族大学78 537 546126 中国地质大学(北京) 100532 548127 北京工业大学1880 520 545128 首都医科大学476 556129 首都师范大学1629 522 528130 中国石油大学(北京) 90 525 539131 南开大学73 585 619132 天津大学77 564 593133 华北电力大学(保定) 57 516 548134 大连理工大学40 531135 东北大学45 522 528136 大连海事大学87 518 532138 中国医科大学20 533139 吉林大学100 536 558141 哈尔滨工业大学(威海) 22 544142 哈尔滨工业大学86 527 599143 燕山大学9 531144 哈尔滨工程大学46 525 528146 复旦大学83 601 624147 同济大学38 601148 上海交通大学69 633149 华东理工大学56 538150 东华大学20 529151 上海交通大学医学院18 610152 华东师范大学12 550153 上海外国语大学16 525 578154 南京大学71 573 (608)603(619)155 东南大学40 519 587156 南京航空航天大学52 518 558157 南京理工大学78 516 532158 中国矿业大学71 516 530159 河海大学50 516 528160 南京信息工程大学15 530161 南京农业大学72 521 528162 中国药科大学41 530163 江苏大学20 517 528165 浙江大学81 632166 中国科学技术大学58 624168 厦门大学71 574 596170 山东大学56 537 564171 中国海洋大学28 532 542172 中国石油大学(华东) 40 528173 武汉大学131 558 572174 华中科技大学155 538 549175 中国地质大学(武汉) 39 525 528176 山东大学威海分校30 517 529181 湖南大学116 516 532186 中山大学61 534 595187 华南理工大学42 547192 西南交通大学100 516 528196 西南政法大学60 516 533197 电子科技大学36 548199 西安交通大学53 583200 西北工业大学40 556201 西安电子科技大学100 518 531205 兰州大学50 516 533208 四川大学232 542 545209 重庆大学35 543 528210 西北大学8 530 531211 广东外语外贸大学10 517 537213 华中师范大学24 516 534214 东北师范大学30 518 533215 北京工业大学(实验学院) 420 516 528 216 上海中医药大学33 528217 广州中医药大学20 608 528224 广西医科大学10 529226 南方医科大学26 553231 香港中文大学28 606 645232 香港城市大学32 591 634300 北京工商大学1107 517 528301 北方工业大学348 528307 中央财经大学230 570 615308 华北电力大学128 530 564315 首都经济贸易大学1019 525 545 316 北京建筑工程学院350 528340 天津医科大学20 570348 河北工业大学10 530374 哈尔滨医科大学36 533381 上海财经大学52 526 573389 江南大学45 516 528415 中南财经政法大学50 543 544435 暨南大学10 531 531444 西南财经大学90 520 546447 西安建筑科技大学 6 532490 福州大学10 535560 南京师范大学17 517 541575 郑州大学24 517 528607 苏州大学35 516 532614 东北大学秦皇岛分校46 516 528(以上统计不含艺术特长生、高水平运动员及自主选拔录取考生)新的一届高三生已经踏上高考的征程,以下是e度论坛网友为大家总结的2011年各大院校在北京高招录取分数线,网友总结的是高考理科录取分数线550分以上的前35所院校,欢迎大家的补充与纠正,以下为详细内容:01.北京大学65502.清华大学65103.人民大学63003.上海交通大学63005.中国科技大学62906.外交学院62607.复旦大学62508.北京大学医学部61909.浙江大学61810.南京大学61611.外经贸大学61512.南开大学60913.北京师范大学60414.北京航空航天大学60215.上海财经大学60016.中央财经大学59717.天津大学59418.北京外国语大学59319.上海交大医学院59020.北京邮电大学(未公布)21.上海外国语大学(未公布)22.厦门大学58623.哈尔滨工业大学58424.北京理工大学58325.中山大学57625.中国政法大学57627.国际关系学院57028.北京交通大学56829.华中科技大学56730.北京语言大学56631.武汉大学56432.西安交通大学56232.中国农业大学56234.北京科技大学55635.华北电力大学555(仅统计550分以上,若有遗漏和错误,欢迎指正或拍砖)。
考生编号考试方式码考试方式报考专业代码报考专业名称报考院系代码11414114211333521全国统考070704海洋地质001 11414112117199021全国统考070704海洋地质001 11414111164027521全国统考070704海洋地质001 11414111164073421全国统考070704海洋地质001 11414114211334021全国统考070901矿物学、岩石学、矿床学001 11414111164002121全国统考070901矿物学、岩石学、矿床学001 11414114211334121全国统考070901矿物学、岩石学、矿床学001 11414114211333921全国统考070901矿物学、岩石学、矿床学001 11414113702259921全国统考070901矿物学、岩石学、矿床学001 11414111164109421全国统考070901矿物学、岩石学、矿床学001 11414114226371021全国统考070901矿物学、岩石学、矿床学001 11414111164087221全国统考070901矿物学、岩石学、矿床学001 11414111164054121全国统考070901矿物学、岩石学、矿床学001 11414113217236521全国统考070901矿物学、岩石学、矿床学001 11414111164129321全国统考070901矿物学、岩石学、矿床学001 11414114211333821全国统考070901矿物学、岩石学、矿床学001 11414111164019921全国统考070901矿物学、岩石学、矿床学001 11414111164086821全国统考070901矿物学、岩石学、矿床学001 11414111164111021全国统考070901矿物学、岩石学、矿床学001 11414116133419621全国统考070901矿物学、岩石学、矿床学001 11414111164004421全国统考070901矿物学、岩石学、矿床学001 11414115001378121全国统考070901矿物学、岩石学、矿床学001 11414111164029521全国统考070901矿物学、岩石学、矿床学001 11414111164120021全国统考070901矿物学、岩石学、矿床学001 11414113705286821全国统考070901矿物学、岩石学、矿床学001 11414111164019221全国统考070901矿物学、岩石学、矿床学001 11414114122329321全国统考070901矿物学、岩石学、矿床学001 11414114211333721全国统考070901矿物学、岩石学、矿床学001 11414113702259821全国统考070901矿物学、岩石学、矿床学001 11414114211333621全国统考070901矿物学、岩石学、矿床学001 11414111164106821全国统考070901矿物学、岩石学、矿床学001 11414111164081021全国统考070901矿物学、岩石学、矿床学001 11414111164090621全国统考070901矿物学、岩石学、矿床学001 11414111164061621全国统考070901矿物学、岩石学、矿床学001 11414111164113521全国统考070901矿物学、岩石学、矿床学00111414111164002721全国统考070901矿物学、岩石学、矿床学001 11414111164036321全国统考070901矿物学、岩石学、矿床学001 11414112318228421全国统考070901矿物学、岩石学、矿床学001 11414111164063021全国统考070901矿物学、岩石学、矿床学001 11414113705287021全国统考070901矿物学、岩石学、矿床学001 11414111164008921全国统考070901矿物学、岩石学、矿床学001 11414111164022721全国统考070901矿物学、岩石学、矿床学001 11414111164082321全国统考070901矿物学、岩石学、矿床学001 11414115110382321全国统考070901矿物学、岩石学、矿床学001 11414113705286921全国统考070901矿物学、岩石学、矿床学001 11414114211334321全国统考070901矿物学、岩石学、矿床学001 11414111164092321全国统考070901矿物学、岩石学、矿床学001 11414111164055321全国统考070901矿物学、岩石学、矿床学001 11414111164058121全国统考070901矿物学、岩石学、矿床学001 11414116208423121全国统考070901矿物学、岩石学、矿床学001 11414113702260021全国统考070901矿物学、岩石学、矿床学001 11414111164112321全国统考070901矿物学、岩石学、矿床学001 11414111164012321全国统考070901矿物学、岩石学、矿床学001 11414111164064921全国统考070901矿物学、岩石学、矿床学001 11414114211334221全国统考070901矿物学、岩石学、矿床学001 11414112310206721全国统考070901矿物学、岩石学、矿床学001 11414111164071421全国统考070901矿物学、岩石学、矿床学001 11414116207422921全国统考070901矿物学、岩石学、矿床学001 11414111164063621全国统考070901矿物学、岩石学、矿床学001 11414111164021521全国统考070901矿物学、岩石学、矿床学001 11414110491456822推荐免试070901矿物学、岩石学、矿床学001 11414110491456922推荐免试070901矿物学、岩石学、矿床学001 11414111414430422推荐免试070901矿物学、岩石学、矿床学001 11414111414430522推荐免试070901矿物学、岩石学、矿床学001 11414111414430622推荐免试070901矿物学、岩石学、矿床学001 11414114211334521全国统考070902地球化学001 11414114211334921全国统考070902地球化学001 11414114211334421全国统考070902地球化学001 11414114211334621全国统考070902地球化学001 11414111302139521全国统考070902地球化学001 11414114211334721全国统考070902地球化学00111414114310372821全国统考070902地球化学001 11414114211334821全国统考070902地球化学001 11414111164028021全国统考070902地球化学001 11414111164048821全国统考070902地球化学001 11414111164033721全国统考070902地球化学001 11414111164002021全国统考070902地球化学001 11414111164090721全国统考070902地球化学001 11414111164120521全国统考070902地球化学001 11414111312159221全国统考070902地球化学001 11414111414430722推荐免试070902地球化学001 11414111164025721全国统考070903古生物学与地层学001 11414114211335021全国统考070904构造地质学001 11414114103315421全国统考070904构造地质学001 11414113702260221全国统考070904构造地质学001 11414111164045221全国统考070904构造地质学001 11414114106318421全国统考070904构造地质学001 11414115110382521全国统考070904构造地质学001 11414113705287121全国统考070904构造地质学001 11414111164050421全国统考070904构造地质学001 11414114104316721全国统考070904构造地质学001 11414113702260321全国统考070904构造地质学001 11414114211335121全国统考070904构造地质学001 11414111164109221全国统考070904构造地质学001 11414111164063421全国统考070904构造地质学001 11414111315161421全国统考070904构造地质学001 11414115110382421全国统考070904构造地质学001 11414113702260121全国统考070904构造地质学001 11414113714307321全国统考077501环境科学001 11414111164030221全国统考077501环境科学001 11414111303143621全国统考077501环境科学001 11414111164084521全国统考077501环境科学001 11414111164005621全国统考077501环境科学001 11414111414430822推荐免试077501环境科学001 11414111531177321全国统考077501环境科学001 11414113211231821全国统考077501环境科学001 11414114220368721全国统考077501环境科学00111414116103399921全国统考081801矿产普查与勘探001 11414116103399121全国统考081801矿产普查与勘探001 11414114211336321全国统考081801矿产普查与勘探001 11414114211338821全国统考081801矿产普查与勘探001 11414114211341021全国统考081801矿产普查与勘探001 11414111164099321全国统考081801矿产普查与勘探001 11414116116418321全国统考081801矿产普查与勘探001 11414114226371221全国统考081801矿产普查与勘探001 11414114211336621全国统考081801矿产普查与勘探001 11414114211341721全国统考081801矿产普查与勘探001 11414116103399421全国统考081801矿产普查与勘探001 11414113702261321全国统考081801矿产普查与勘探001 11414113702262021全国统考081801矿产普查与勘探001 11414113702260721全国统考081801矿产普查与勘探001 11414111164038521全国统考081801矿产普查与勘探001 11414113702262721全国统考081801矿产普查与勘探001 11414114211338121全国统考081801矿产普查与勘探001 11414114211341221全国统考081801矿产普查与勘探001 11414111164078221全国统考081801矿产普查与勘探001 11414114211335621全国统考081801矿产普查与勘探001 11414112310207821全国统考081801矿产普查与勘探001 11414114211338021全国统考081801矿产普查与勘探001 11414114211340821全国统考081801矿产普查与勘探001 11414113702260421全国统考081801矿产普查与勘探001 11414115110383521全国统考081801矿产普查与勘探001 11414115111395721全国统考081801矿产普查与勘探001 11414113702261721全国统考081801矿产普查与勘探001 11414113702262221全国统考081801矿产普查与勘探001 11414116116418221全国统考081801矿产普查与勘探001 11414111164084221全国统考081801矿产普查与勘探001 11414112310209621全国统考081801矿产普查与勘探001 11414114211339221全国统考081801矿产普查与勘探001 11414116116418021全国统考081801矿产普查与勘探001 11414114211342421全国统考081801矿产普查与勘探001 11414114211342521全国统考081801矿产普查与勘探00111414111164026421全国统考081801矿产普查与勘探001 11414111164063321全国统考081801矿产普查与勘探001 11414114211341321全国统考081801矿产普查与勘探001 11414115110383121全国统考081801矿产普查与勘探001 11414112310208821全国统考081801矿产普查与勘探001 11414112310209021全国统考081801矿产普查与勘探001 11414112310211421全国统考081801矿产普查与勘探001 11414114211339621全国统考081801矿产普查与勘探001 11414116133420221全国统考081801矿产普查与勘探001 11414114211340521全国统考081801矿产普查与勘探001 11414112310208521全国统考081801矿产普查与勘探001 11414114211336821全国统考081801矿产普查与勘探001 11414114211340421全国统考081801矿产普查与勘探001 11414113702261621全国统考081801矿产普查与勘探001 11414111164053821全国统考081801矿产普查与勘探001 11414112310210421全国统考081801矿产普查与勘探001 11414114211337421全国统考081801矿产普查与勘探001 11414112310211521全国统考081801矿产普查与勘探001 11414114211335521全国统考081801矿产普查与勘探001 11414113702260921全国统考081801矿产普查与勘探001 11414114211336421全国统考081801矿产普查与勘探001 11414111164089621全国统考081801矿产普查与勘探001 11414111164094421全国统考081801矿产普查与勘探001 11414113702263121全国统考081801矿产普查与勘探001 11414114211338521全国统考081801矿产普查与勘探001 11414114211343121全国统考081801矿产普查与勘探001 11414112310209721全国统考081801矿产普查与勘探001 11414112310211021全国统考081801矿产普查与勘探001 11414114211342621全国统考081801矿产普查与勘探001 11414111164110621全国统考081801矿产普查与勘探001 11414114211336121全国统考081801矿产普查与勘探001 11414111164117721全国统考081801矿产普查与勘探001 11414113702263021全国统考081801矿产普查与勘探001 11414111164071821全国统考081801矿产普查与勘探001 11414112310210621全国统考081801矿产普查与勘探00111414113702262621全国统考081801矿产普查与勘探001 11414114211341621全国统考081801矿产普查与勘探001 11414115110382821全国统考081801矿产普查与勘探001 11414114211339021全国统考081801矿产普查与勘探001 11414111164119121全国统考081801矿产普查与勘探001 11414114211336521全国统考081801矿产普查与勘探001 11414114211337121全国统考081801矿产普查与勘探001 11414114211337321全国统考081801矿产普查与勘探001 11414114211340921全国统考081801矿产普查与勘探001 11414114211338921全国统考081801矿产普查与勘探001 11414114211341821全国统考081801矿产普查与勘探001 11414112310209321全国统考081801矿产普查与勘探001 11414112310210521全国统考081801矿产普查与勘探001 11414111164036021全国统考081801矿产普查与勘探001 11414114211340621全国统考081801矿产普查与勘探001 11414115110383621全国统考081801矿产普查与勘探001 11414111164071521全国统考081801矿产普查与勘探001 11414111164117621全国统考081801矿产普查与勘探001 11414114211337621全国统考081801矿产普查与勘探001 11414113702261921全国统考081801矿产普查与勘探001 11414113702262121全国统考081801矿产普查与勘探001 11414111164031421全国统考081801矿产普查与勘探001 11414111164097221全国统考081801矿产普查与勘探001 11414114211339421全国统考081801矿产普查与勘探001 11414115110383721全国统考081801矿产普查与勘探001 11414114211336021全国统考081801矿产普查与勘探001 11414114211339821全国统考081801矿产普查与勘探001 11414112310209521全国统考081801矿产普查与勘探001 11414112310208421全国统考081801矿产普查与勘探001 11414114211336721全国统考081801矿产普查与勘探001 11414114211337721全国统考081801矿产普查与勘探001 11414115110383221全国统考081801矿产普查与勘探001 11414116103400021全国统考081801矿产普查与勘探001 11414111164097321全国统考081801矿产普查与勘探001 11414112310210821全国统考081801矿产普查与勘探00111414111164124321全国统考081801矿产普查与勘探001 11414113702260621全国统考081801矿产普查与勘探001 11414115110382921全国统考081801矿产普查与勘探001 11414113702261421全国统考081801矿产普查与勘探001 11414111164076721全国统考081801矿产普查与勘探001 11414111164003121全国统考081801矿产普查与勘探001 11414111164053121全国统考081801矿产普查与勘探001 11414111164089121全国统考081801矿产普查与勘探001 11414111316166621全国统考081801矿产普查与勘探001 11414114122329421全国统考081801矿产普查与勘探001 11414112310209821全国统考081801矿产普查与勘探001 11414113702261521全国统考081801矿产普查与勘探001 11414114106318521全国统考081801矿产普查与勘探001 11414114211339121全国统考081801矿产普查与勘探001 11414114211343421全国统考081801矿产普查与勘探001 11414112310211621全国统考081801矿产普查与勘探001 11414111164069721全国统考081801矿产普查与勘探001 11414112310207221全国统考081801矿产普查与勘探001 11414112310207321全国统考081801矿产普查与勘探001 11414113702261121全国统考081801矿产普查与勘探001 11414114211342321全国统考081801矿产普查与勘探001 11414116103399321全国统考081801矿产普查与勘探001 11414111164100921全国统考081801矿产普查与勘探001 11414113705287921全国统考081801矿产普查与勘探001 11414114211343021全国统考081801矿产普查与勘探001 11414111164041921全国统考081801矿产普查与勘探001 11414111164114521全国统考081801矿产普查与勘探001 11414114211335321全国统考081801矿产普查与勘探001 11414114211337921全国统考081801矿产普查与勘探001 11414111164006921全国统考081801矿产普查与勘探001 11414112310209921全国统考081801矿产普查与勘探001 11414113705287621全国统考081801矿产普查与勘探001 11414114106318621全国统考081801矿产普查与勘探001 11414114211342721全国统考081801矿产普查与勘探001 11414115001378421全国统考081801矿产普查与勘探00111414112310211321全国统考081801矿产普查与勘探001 11414114211340121全国统考081801矿产普查与勘探001 11414114211341921全国统考081801矿产普查与勘探001 11414111164068821全国统考081801矿产普查与勘探001 11414114226371121全国统考081801矿产普查与勘探001 11414114211335821全国统考081801矿产普查与勘探001 11414112310209121全国统考081801矿产普查与勘探001 11414111164078021全国统考081801矿产普查与勘探001 11414113702262521全国统考081801矿产普查与勘探001 11414115110383421全国统考081801矿产普查与勘探001 11414111164003421全国统考081801矿产普查与勘探001 11414114211342221全国统考081801矿产普查与勘探001 11414113702262921全国统考081801矿产普查与勘探001 11414114211343521全国统考081801矿产普查与勘探001 11414111164007321全国统考081801矿产普查与勘探001 11414116116418121全国统考081801矿产普查与勘探001 11414112310208721全国统考081801矿产普查与勘探001 11414113217236621全国统考081801矿产普查与勘探001 11414113601249621全国统考081801矿产普查与勘探001 11414112318228521全国统考081801矿产普查与勘探001 11414114211337821全国统考081801矿产普查与勘探001 11414116103398621全国统考081801矿产普查与勘探001 11414111164127521全国统考081801矿产普查与勘探001 11414112310207921全国统考081801矿产普查与勘探001 11414115110383321全国统考081801矿产普查与勘探001 11414111164115821全国统考081801矿产普查与勘探001 11414114211341521全国统考081801矿产普查与勘探001 11414114211342921全国统考081801矿产普查与勘探001 11414112103178721全国统考081801矿产普查与勘探001 11414114211337221全国统考081801矿产普查与勘探001 11414114211340321全国统考081801矿产普查与勘探001 11414111164005721全国统考081801矿产普查与勘探001 11414111402168621全国统考081801矿产普查与勘探001 11414114211340721全国统考081801矿产普查与勘探001 11414116103398521全国统考081801矿产普查与勘探00111414111164010921全国统考081801矿产普查与勘探001 11414113307243921全国统考081801矿产普查与勘探001 11414113702260521全国统考081801矿产普查与勘探001 11414111164006721全国统考081801矿产普查与勘探001 11414114211337521全国统考081801矿产普查与勘探001 11414116133420121全国统考081801矿产普查与勘探001 11414116103399521全国统考081801矿产普查与勘探001 11414116133420021全国统考081801矿产普查与勘探001 11414116503426321全国统考081801矿产普查与勘探001 11414112310207621全国统考081801矿产普查与勘探001 11414113702262321全国统考081801矿产普查与勘探001 11414113702263221全国统考081801矿产普查与勘探001 11414113729311721全国统考081801矿产普查与勘探001 11414112310210221全国统考081801矿产普查与勘探001 11414113705288221全国统考081801矿产普查与勘探001 11414112310207521全国统考081801矿产普查与勘探001 11414111402168521全国统考081801矿产普查与勘探001 11414112310210021全国统考081801矿产普查与勘探001 11414116103399721全国统考081801矿产普查与勘探001 11414111164063921全国统考081801矿产普查与勘探001 11414111164095621全国统考081801矿产普查与勘探001 11414114211340021全国统考081801矿产普查与勘探001 11414112317227321全国统考081801矿产普查与勘探001 11414115002380021全国统考081801矿产普查与勘探001 11414114211342821全国统考081801矿产普查与勘探001 11414111164093821全国统考081801矿产普查与勘探001 11414114211339521全国统考081801矿产普查与勘探001 11414111164074521全国统考081801矿产普查与勘探001 11414111164010421全国统考081801矿产普查与勘探001 11414114211335921全国统考081801矿产普查与勘探001 11414111164014921全国统考081801矿产普查与勘探001 11414111164065621全国统考081801矿产普查与勘探001 11414111164123521全国统考081801矿产普查与勘探001 11414112310208021全国统考081801矿产普查与勘探001 11414112310209421全国统考081801矿产普查与勘探00111414114122329521全国统考081801矿产普查与勘探001 11414111164091021全国统考081801矿产普查与勘探001 11414113705287221全国统考081801矿产普查与勘探001 11414113702262821全国统考081801矿产普查与勘探001 11414114211343321全国统考081801矿产普查与勘探001 11414111202131421全国统考081801矿产普查与勘探001 11414113705288121全国统考081801矿产普查与勘探001 11414111164116121全国统考081801矿产普查与勘探001 11414113702262421全国统考081801矿产普查与勘探001 11414115001378321全国统考081801矿产普查与勘探001 11414114122329621全国统考081801矿产普查与勘探001 11414116103398721全国统考081801矿产普查与勘探001 11414116103398921全国统考081801矿产普查与勘探001 11414112207203621全国统考081801矿产普查与勘探001 11414114315373221全国统考081801矿产普查与勘探001 11414114211341121全国统考081801矿产普查与勘探001 11414114211339321全国统考081801矿产普查与勘探001 11414115110382621全国统考081801矿产普查与勘探001 11414116103399021全国统考081801矿产普查与勘探001 11414111164005021全国统考081801矿产普查与勘探001 11414112310211121全国统考081801矿产普查与勘探001 11414114211338321全国统考081801矿产普查与勘探001 11414116506427321全国统考081801矿产普查与勘探001 11414111164125621全国统考081801矿产普查与勘探001 11414115110383021全国统考081801矿产普查与勘探001 11414114211336221全国统考081801矿产普查与勘探001 11414114211339721全国统考081801矿产普查与勘探001 11414116301424821全国统考081801矿产普查与勘探001 11414116133419721全国统考081801矿产普查与勘探001 11414112310207721全国统考081801矿产普查与勘探001 11414111164026821全国统考081801矿产普查与勘探001 11414112310210121全国统考081801矿产普查与勘探001 11414111164055421全国统考081801矿产普查与勘探001 11414114211338621全国统考081801矿产普查与勘探001 11414116103399621全国统考081801矿产普查与勘探00111414115110382721全国统考081801矿产普查与勘探001 11414111164039821全国统考081801矿产普查与勘探001 11414111164097821全国统考081801矿产普查与勘探001 11414112310208921全国统考081801矿产普查与勘探001 11414113704285921全国统考081801矿产普查与勘探001 11414111164007521全国统考081801矿产普查与勘探001 11414112117199121全国统考081801矿产普查与勘探001 11414111164096121全国统考081801矿产普查与勘探001 11414112310209221全国统考081801矿产普查与勘探001 11414116208423221全国统考081801矿产普查与勘探001 11414116103398821全国统考081801矿产普查与勘探001 11414116103398421全国统考081801矿产普查与勘探001 11414115106381021全国统考081801矿产普查与勘探001 11414112310206821全国统考081801矿产普查与勘探001 11414113705287421全国统考081801矿产普查与勘探001 11414114211338421全国统考081801矿产普查与勘探001 11414112310211221全国统考081801矿产普查与勘探001 11414114211336921全国统考081801矿产普查与勘探001 11414114211338221全国统考081801矿产普查与勘探001 11414112310207121全国统考081801矿产普查与勘探001 11414114211335721全国统考081801矿产普查与勘探001 11414111164124821全国统考081801矿产普查与勘探001 11414113702261221全国统考081801矿产普查与勘探001 11414111164080021全国统考081801矿产普查与勘探001 11414114211340221全国统考081801矿产普查与勘探001 11414111317167121全国统考081801矿产普查与勘探001 11414116506427221全国统考081801矿产普查与勘探001 11414111164058821全国统考081801矿产普查与勘探001 11414112310207421全国统考081801矿产普查与勘探001 11414113705287821全国统考081801矿产普查与勘探001 11414115106381121全国统考081801矿产普查与勘探001 11414113705288021全国统考081801矿产普查与勘探001 11414111204133321全国统考081801矿产普查与勘探001 11414115106380921全国统考081801矿产普查与勘探001 11414113705287521全国统考081801矿产普查与勘探00111414114211342021全国统考081801矿产普查与勘探001 11414114211343221全国统考081801矿产普查与勘探001 11414112310210321全国统考081801矿产普查与勘探001 11414113702260821全国统考081801矿产普查与勘探001 11414116133419921全国统考081801矿产普查与勘探001 11414114222368921全国统考081801矿产普查与勘探001 11414111164060621全国统考081801矿产普查与勘探001 11414111164044621全国统考081801矿产普查与勘探001 11414113705287321全国统考081801矿产普查与勘探001 11414111164041521全国统考081801矿产普查与勘探001 11414116503426421全国统考081801矿产普查与勘探001 11414111164028921全国统考081801矿产普查与勘探001 11414111164122221全国统考081801矿产普查与勘探001 11414113601249521全国统考081801矿产普查与勘探001 11414111164018921全国统考081801矿产普查与勘探001 11414111164017421全国统考081801矿产普查与勘探001 11414111164070921全国统考081801矿产普查与勘探001 11414114211339921全国统考081801矿产普查与勘探001 11414110220453822推荐免试081801矿产普查与勘探001 11414110425454222推荐免试081801矿产普查与勘探001 11414110697458322推荐免试081801矿产普查与勘探001 11414111164010121全国统考081801矿产普查与勘探001 11414111164022421全国统考081801矿产普查与勘探001 11414111164045721全国统考081801矿产普查与勘探001 11414111164052221全国统考081801矿产普查与勘探001 11414111164052421全国统考081801矿产普查与勘探001 11414111164070321全国统考081801矿产普查与勘探001 11414111164105721全国统考081801矿产普查与勘探001 11414111164125121全国统考081801矿产普查与勘探001 11414111306148521全国统考081801矿产普查与勘探001 11414111414430922推荐免试081801矿产普查与勘探001 11414111414431022推荐免试081801矿产普查与勘探001 11414111414431122推荐免试081801矿产普查与勘探001 11414111414431222推荐免试081801矿产普查与勘探001 11414111414431322推荐免试081801矿产普查与勘探00111414111414431422推荐免试081801矿产普查与勘探001 11414111414431522推荐免试081801矿产普查与勘探001 11414111414431622推荐免试081801矿产普查与勘探001 11414111414431722推荐免试081801矿产普查与勘探001 11414111414431822推荐免试081801矿产普查与勘探001 11414112310206921全国统考081801矿产普查与勘探001 11414112310207021全国统考081801矿产普查与勘探001 11414112310208121全国统考081801矿产普查与勘探001 11414112310208221全国统考081801矿产普查与勘探001 11414112310210721全国统考081801矿产普查与勘探001 11414112310210921全国统考081801矿产普查与勘探001 11414113702261021全国统考081801矿产普查与勘探001 11414113702261821全国统考081801矿产普查与勘探001 11414113705287721全国统考081801矿产普查与勘探001 11414114211335221全国统考081801矿产普查与勘探001 11414114211335421全国统考081801矿产普查与勘探001 11414114211341421全国统考081801矿产普查与勘探001 11414114211342121全国统考081801矿产普查与勘探001 11414115001378221全国统考081801矿产普查与勘探001 11414116103399221全国统考081801矿产普查与勘探001 11414116103399821全国统考081801矿产普查与勘探001 11414116118419121全国统考081801矿产普查与勘探001 11414116133420421全国统考081803地质工程001 11414111164126321全国统考081803地质工程001 11414111164000821全国统考081803地质工程001 11414115110383921全国统考081803地质工程001 11414111164092421全国统考081803地质工程001 11414111164103921全国统考081803地质工程001 11414111164097521全国统考081803地质工程001 11414114211344421全国统考081803地质工程001 11414114211344221全国统考081803地质工程001 11414111164054721全国统考081803地质工程001 11414116103400321全国统考081803地质工程001 11414111164113821全国统考081803地质工程001 11414114211344821全国统考081803地质工程001 11414111164111321全国统考081803地质工程00111414111164011821全国统考081803地质工程001 11414111164068421全国统考081803地质工程001 11414114211344021全国统考081803地质工程001 11414111164091721全国统考081803地质工程001 11414111164049321全国统考081803地质工程001 11414111164012221全国统考081803地质工程001 11414112310211721全国统考081803地质工程001 11414113702263921全国统考081803地质工程001 11414116103400421全国统考081803地质工程001 11414111164075021全国统考081803地质工程001 11414114211344721全国统考081803地质工程001 11414111164045921全国统考081803地质工程001 11414111164110821全国统考081803地质工程001 11414111315161521全国统考081803地质工程001 11414111164008521全国统考081803地质工程001 11414111164074921全国统考081803地质工程001 11414111164124521全国统考081803地质工程001 11414111164107221全国统考081803地质工程001 11414114211344321全国统考081803地质工程001 11414111310153121全国统考081803地质工程001 11414116103400521全国统考081803地质工程001 11414116103400221全国统考081803地质工程001 11414113702263621全国统考081803地质工程001 11414111164096621全国统考081803地质工程001 11414113404245321全国统考081803地质工程001 11414112207203721全国统考081803地质工程001 11414114211343621全国统考081803地质工程001 11414113702263821全国统考081803地质工程001 11414114211345021全国统考081803地质工程001 11414111164017821全国统考081803地质工程001 11414111164000721全国统考081803地质工程001 11414111402168721全国统考081803地质工程001 11414114211344621全国统考081803地质工程001 11414111164071121全国统考081803地质工程001 11414111164125721全国统考081803地质工程00111414111164018421全国统考081803地质工程001 11414111164067921全国统考081803地质工程001 11414111315161721全国统考081803地质工程001 11414111164070121全国统考081803地质工程001 11414113702263421全国统考081803地质工程001 11414113702263721全国统考081803地质工程001 11414111164035021全国统考081803地质工程001 11414114121328921全国统考081803地质工程001 11414111164020021全国统考081803地质工程001 11414113705288421全国统考081803地质工程001 11414111164074221全国统考081803地质工程001 11414111164055721全国统考081803地质工程001 11414111164058421全国统考081803地质工程001 11414111310153221全国统考081803地质工程001 11414111312159321全国统考081803地质工程001 11414114211344521全国统考081803地质工程001 11414111164058621全国统考081803地质工程001 11414111315161621全国统考081803地质工程001 11414115110383821全国统考081803地质工程001 11414111164005921全国统考081803地质工程001 11414114106318721全国统考081803地质工程001 11414111164108021全国统考081803地质工程001 11414111164043921全国统考081803地质工程001 11414111164078521全国统考081803地质工程001 11414112110184521全国统考081803地质工程001 11414111164043421全国统考081803地质工程001 11414111164021821全国统考081803地质工程001 11414111164116821全国统考081803地质工程001 11414111164076321全国统考081803地质工程001 11414111164064721全国统考081803地质工程001 11414113705288621全国统考081803地质工程001 11414111164069321全国统考081803地质工程001 11414114211343721全国统考081803地质工程001 11414111164036621全国统考081803地质工程001 11414116103400721全国统考081803地质工程00111414111164042621全国统考081803地质工程001 11414111164013221全国统考081803地质工程001 11414113702263321全国统考081803地质工程001 11414114211343921全国统考081803地质工程001 11414111164115721全国统考081803地质工程001 11414112115197921全国统考081803地质工程001 11414115004380421全国统考081803地质工程001 11414111164045021全国统考081803地质工程001 11414116103400621全国统考081803地质工程001 11414111164040021全国统考081803地质工程001 11414111164042421全国统考081803地质工程001 11414111164096521全国统考081803地质工程001 11414111164117121全国统考081803地质工程001 11414114108320621全国统考081803地质工程001 11414114211343821全国统考081803地质工程001 11414116506427421全国统考081803地质工程001 11414112310211821全国统考081803地质工程001 11414114211344121全国统考081803地质工程001 11414116133420321全国统考081803地质工程001 11414111164038121全国统考081803地质工程001 11414111164062721全国统考081803地质工程001 11414111302139621全国统考081803地质工程001 11414111164095521全国统考081803地质工程001 11414115001378521全国统考081803地质工程001 11414111164105121全国统考081803地质工程001 11414111164127621全国统考081803地质工程001 11414113702263521全国统考081803地质工程001 11414111164069021全国统考081803地质工程001 11414111164115621全国统考081803地质工程001 11414111164115221全国统考081803地质工程001 11414111164088821全国统考081803地质工程001 11414110220453922推荐免试081803地质工程001 11414110425454322推荐免试081803地质工程001 11414110615457722推荐免试081803地质工程001 11414111164037521全国统考081803地质工程00111414111164042521全国统考081803地质工程001 11414111164065321全国统考081803地质工程001 11414111164072221全国统考081803地质工程001 11414111164082621全国统考081803地质工程001 11414111164093121全国统考081803地质工程001 11414111164098921全国统考081803地质工程001 11414111414431922推荐免试081803地质工程001 11414111414432022推荐免试081803地质工程001 11414111414432122推荐免试081803地质工程001 11414111414432222推荐免试081803地质工程001 11414112117199221全国统考081803地质工程001 11414113705288321全国统考081803地质工程001 11414113705288521全国统考081803地质工程001 11414114211344921全国统考081803地质工程001 11414115115396821全国统考081803地质工程001 11414116103400121全国统考081803地质工程001 11414114211345121全国统考085217地质工程001 11414111164013421全国统考085217地质工程001 11414111306148621全国统考085217地质工程001 11414111164067021全国统考085217地质工程001 11414111310153321全国统考085217地质工程001 11414115106381221全国统考085217地质工程001 11414113702264021全国统考085217地质工程001 11414111164120721全国统考085217地质工程001 11414113701251821全国统考085217地质工程001 11414116204422221全国统考085217地质工程001 11414114211345221全国统考085217地质工程001 11414111164075321全国统考085217地质工程001 11414113705288821全国统考085217地质工程001 11414111164058521全国统考085217地质工程001 11414111164088721全国统考085217地质工程001 11414116101398221全国统考085217地质工程001 11414111312159421全国统考085217地质工程001 11414111164090321全国统考085217地质工程001 11414111164106621全国统考085217地质工程00111414111164117321全国统考085217地质工程001 11414111414432322推荐免试085217地质工程001 11414111414432422推荐免试085217地质工程001 11414111414432522推荐免试085217地质工程001 11414111414432622推荐免试085217地质工程001 11414111414432722推荐免试085217地质工程001 11414111414432822推荐免试085217地质工程001 11414111414432922推荐免试085217地质工程001 11414111414433022推荐免试085217地质工程001 11414111414433122推荐免试085217地质工程001 11414111414433222推荐免试085217地质工程001 11414111414433322推荐免试085217地质工程001 11414111414433422推荐免试085217地质工程001 11414112310211921全国统考085217地质工程001 11414113213233821全国统考085217地质工程001 11414113705288721全国统考085217地质工程001 11414114211345321全国统考080103流体力学002 11414111164019621全国统考080103流体力学002 11414111202131521全国统考080103流体力学002 11414111532177921全国统考081402结构工程002 11414112112197521全国统考081402结构工程002 11414112140201121全国统考081402结构工程002 11414111306148721全国统考081402结构工程002 11414111164118821全国统考081402结构工程002 11414114211345421全国统考081402结构工程002 11414111164001821全国统考081402结构工程002 11414111164118721全国统考081402结构工程002 11414113702264221全国统考082001油气井工程002 11414113702264421全国统考082001油气井工程002 11414111164049421全国统考082001油气井工程002 11414111164130121全国统考082001油气井工程002 11414111164055521全国统考082001油气井工程002 11414113702264821全国统考082001油气井工程002 11414111164024421全国统考082001油气井工程002 11414111164130221全国统考082001油气井工程00211414114211347321全国统考082001油气井工程002 11414111164082521全国统考082001油气井工程002 11414113702264921全国统考082001油气井工程002 11414111164029321全国统考082001油气井工程002 11414113702265121全国统考082001油气井工程002 11414111164013121全国统考082001油气井工程002 11414112117199621全国统考082001油气井工程002 11414114211346621全国统考082001油气井工程002 11414114211345921全国统考082001油气井工程002 11414111164110021全国统考082001油气井工程002 11414114211346121全国统考082001油气井工程002 11414111164112521全国统考082001油气井工程002 11414115001378721全国统考082001油气井工程002 11414113216235221全国统考082001油气井工程002 11414113702265221全国统考082001油气井工程002 11414111164022621全国统考082001油气井工程002 11414113705289321全国统考082001油气井工程002 11414114211346421全国统考082001油气井工程002 11414115110384821全国统考082001油气井工程002 11414111164101721全国统考082001油气井工程002 11414114211347121全国统考082001油气井工程002 11414115001378821全国统考082001油气井工程002 11414111164122521全国统考082001油气井工程002 11414111310153621全国统考082001油气井工程002 11414111164075621全国统考082001油气井工程002 11414112310212121全国统考082001油气井工程002 11414111164109321全国统考082001油气井工程002 11414114211347021全国统考082001油气井工程002 11414111164082421全国统考082001油气井工程002 11414114211345621全国统考082001油气井工程002 11414113702264521全国统考082001油气井工程002 11414111164096721全国统考082001油气井工程002 11414111164024521全国统考082001油气井工程002 11414115110384121全国统考082001油气井工程002 11414111164062221全国统考082001油气井工程00211414111164092921全国统考082001油气井工程002 11414111164118621全国统考082001油气井工程002 11414114211346921全国统考082001油气井工程002 11414113702264721全国统考082001油气井工程002 11414111164037621全国统考082001油气井工程002 11414111164071621全国统考082001油气井工程002 11414113705289121全国统考082001油气井工程002 11414111164046221全国统考082001油气井工程002 11414111164085221全国统考082001油气井工程002 11414113702265021全国统考082001油气井工程002 11414114211346521全国统考082001油气井工程002 11414113401244821全国统考082001油气井工程002 11414111164052521全国统考082001油气井工程002 11414111164019521全国统考082001油气井工程002 11414111164103221全国统考082001油气井工程002 11414112310212021全国统考082001油气井工程002 11414111164091421全国统考082001油气井工程002 11414112117199821全国统考082001油气井工程002 11414111164051921全国统考082001油气井工程002 11414114117323721全国统考082001油气井工程002 11414115110384521全国统考082001油气井工程002 11414111164051121全国统考082001油气井工程002 11414113705289421全国统考082001油气井工程002 11414111310153421全国统考082001油气井工程002 11414113702264121全国统考082001油气井工程002 11414116103401121全国统考082001油气井工程002 11414111164099221全国统考082001油气井工程002 11414114421377021全国统考082001油气井工程002 11414111164109721全国统考082001油气井工程002 11414114211346221全国统考082001油气井工程002 11414113213233921全国统考082001油气井工程002 11414113729311821全国统考082001油气井工程002 11414116103401421全国统考082001油气井工程002 11414111164000421全国统考082001油气井工程002 11414111164015721全国统考082001油气井工程002。
年份地区学校学院专业代码专业名称报名人数录取人数报录比推免人数2011 北京中国农业大学生物学院071003 生理学54 14 25.93% /2011 北京中国农业大学经济管理学院020205产业经济学2 0 0.00% /2011 北京中国农业大学生物学院071005 微生物学103 28 27.18% /2011 北京中国农业大学经济管理学院020206国际贸易学17 5 29.41% /2011 北京中国农业大学生物学院071007 遗传学30 7 23.33% /2011 北京中国农业大学生物学院071009细胞生物学48 9 18.75% /2011 北京中国农业大学经济管理学院120100管理科学与工程8 3 37.50% /2011 北京中国农业大学生物学院071010生物化学与分子生物学127 28 22.05% /2011 北京中国农业大学经济管理学院120202 企业管理25 8 32.00% /2011 北京中国农业大学经济管理学院120301农业经济管理53 16 30.19% /2011 北京中国农业大学生物学院071001 植物学66 15 22.73% / 2011 北京中国农业大学生物学院071003 生理学54 14 25.93% /。
35所MBA自主划线院校2011年MBA分数线公布如下:北大2011年MBA分数线:A线:总分215英语55综合120 B线:总分190英语55综合120清华2011年MBA分数线:A线:总分215英语60综合130北京师范大学2011年MBA分数线:A线:总分160英语50综合90 B线:总分170英语45综合100人民大学2011年MBA分数线:A线:总分205英语60综合120 ;B线:总分180英语50综合105北航2011年MBA分数线:A线:总分170英语50综合100哈工大2011MBA分数线:总分175英语48综合100复旦大学2011年分数线总分215英语65综合130上海交通大学2011MBA总分220综合120英语60北工商2011年秋季MBA复试基本分数线170英语西北工业MBA复试分数线总分155英语48综合90华北电力大学总成绩170分综合100分英语50分上海高级金融SAIF MBA总分235英语75综合145北京理工大学MBA分数总分170英语50综合100天津大学2011MBA分数线总分175英语50综合110中山大学2011MBA分数总分180英语50综合110岭南学院2011MBA分数总分180英语50综合110华南理工2011MBA分数总分165英语45综合100兰州大学2011MBA分数线总分150英语42综合85上海财大2011年MBA分数总分200英语55综合120全球MBA就业形势大盘点在刚刚结束的2011年研究生入学考试中,管理类专业硕士依然受到考生青睐。
在湖北,MBA报考人数占到研究生报考总人数近10%,MBA热继续升温。
事实上,MBA也成为许多学生留学海外的首选专业。
记者采访了留学专家,盘点各国MBA留学现状。
美国:64%企业将聘用MBA毕业生美国是MBA教育的发源地,历经90余载,每年都要培养大约10万名MBA,占全世界总产量的一半。
高质量的教育水平使很多人都把美国作为自己就读MBA的首选地。
报考专业名称研究方向码姓名考生编号性别学习工作单位毕业专业名称报考专业代码付楠100191041214309女河南农业大学果树学090202蔬菜学03李辰100191037143992女德州学院农学系作物遗传育种090201果树学03园林植物与观赏园艺02吴泽100191034012948男安徽农业大学园艺学院作物遗传育种090706作物栽培学与耕作学090102作物遗传育种03刘昕晔100191013061451男河北农业大学农学院曾彪100191011190032男中国农业大学作物栽培学与耕作学090102作物遗传育种05陆振强100191037143993男无作物栽培学与耕作学090402农业昆虫与害虫防治03程 090202蔬菜学02韩珑100191037093677女山东农业大学南校区闫文文100191045014795女广西大学农学院090102作物遗传育种04黄永裕100191035013086男福建农林大学林学院土壤学090102作物遗传育种01植物营养学090323生物质工程02王允磊100191023192712男龙江省哈尔滨市东北林业大张显成100191011190144男中国农业大学植物病理学095300风景园林硕士00刘丽威100191013061448女河北农业大学西校区090102作物遗传育种01刘欢欢100191043084691女中南林业科技大学土壤学090102作物遗传育种05王丽100191041164220女信阳师范学院天体物理090401植物病理学06农业昆虫与害虫防治01赵娜娜100191011190090女中国农业大学西校区090402李威亚100191041194250男河南工业大学天体测量与天体力学090102作物遗传育种04物检疫与农业生态健02严大禹100191011190122男中国农业大学 090421齐梅玲100191037023331女青岛科技大学 090401植物病理学05农业昆虫与害虫防治03赵文娟100191037093723女山东农业大学 090402农业昆虫与害虫防治01郑晓文100191033012899女浙江农林大学土壤学090402杨静静100191034012944女安徽农业大学程 090202蔬菜学03郎乾乾100191037093693女山东农业大学 090323生物质工程04物检疫与农业生态健01方焱100191011190120男中国农业大学 090421作物遗传育种090201果树学01青岛农业大学园林园艺学院曲艳华100191037023306女韩迎春100191041214304女河南农业大学作物栽培学与耕作学090122作物生理学05作物栽培学与耕作学090102作物遗传育种04青岛市城阳区青岛农业大学杨伟龙100191037023302男农业昆虫与害虫防治01封冰100191037093718女山东农业大学 090402李慧敏100191034012940女安徽农业大学 090102作物遗传育种03顾炜100191011190023男中国农业大学作物栽培学与耕作学090102作物遗传育种04陆平100191043154716男无天体测量与天体力学090102作物遗传育种05李茜100191037093655女山东农业大学程 090201果树学01园林植物与观赏园艺02王玲100191053025076女云南农业大学 090706刘小光100191061155125男西北农林科技大学090202蔬菜学03农业昆虫与害虫防治03郭晨茜100191050074864女重庆西南大学 090402程 090201果树学04赵立敏100191037093664男山东农业大学南校区陈云云100191013031331女河北科技师范学院作物遗传育种090201果树学04李旭辉100191037093651男山东农业大学 090122作物生理学05王治世100191013041404女河北工程大学作物栽培学与耕作学090323生物质工程02刘晨旭100191037093641男山东农业大学作物栽培学与耕作学090102作物遗传育种05刘晓岚100191037023333女岛农业大学农学与植保学090402农业昆虫与害虫防治01园林植物与观赏园艺02吴春莹100191022072461女吉林大学作物遗传育种090706作物栽培学与耕作学01晋鹏宇100191043074628男湖南农业大学作物栽培学与耕作学090101白鹏华100191014041856女山西农业大学测技术与自动化装090402农业昆虫与害虫防治01彭军波100191037093696男省泰安市山东农业大学南090401植物病理学01马传禹100191037063509男中国农业大学程 090102作物遗传育种05田紫倩100191011190133女河北农业大学植物病理学090706园林植物与观赏园艺05李晓伟100191011190022男中国农业大学作物栽培学与耕作学090102作物遗传育种04农业昆虫与害虫防治01北京市海淀区中国农业大学090402周大森100191011190088男园林植物与观赏园艺04魏曼曼100191013061482女河北农业大学林学院土壤学090706作物遗传育种090201果树学01段朝瑞100191013061455女河北农业大学园艺学院物检疫与农业生态健03陈敏100191037093739女山东农业大学 090421作物栽培学与耕作学02郝岭100191041214286女河南农业大学作物栽培学与耕作学090101刘小凤100191042194508女华中农业大学作物遗传育种090202蔬菜学02农业昆虫与害虫防治05栾小兵100191037093736男岱岳区山东农业大学南校区090402作物栽培学与耕作学090202蔬菜学03靳贺100191041034111女河南科技大学农学院赵爽爽100191037023299女青岛农业大学 090102作物遗传育种04农业昆虫与害虫防治04王建赟100191011190107男中国农业大学 090402农业昆虫与害虫防治03大学植物保护学院动植物检090402郭坤茹100191013061474女王春阳100191037093649女山东农业大学 090121种子科学02陈伟康100191011190034男中国农业大学作物栽培学与耕作学090102作物遗传育种05作物栽培学与耕作学03刘连华100191037023294女青岛农业大学作物栽培学与耕作学090101刘庆彩100191037093645女山东农业大学 090102作物遗传育种05蒋桂梅100191041054162女河南师范大学天体物理090706园林植物与观赏园艺04卢龙100191035013091男福建农林大学 090201果树学04刘晓云100191037023296女农业大学农学与植物保护090102作物遗传育种02闫磊100191051124939男四川农业大学 090102作物遗传育种03魏莱100191011190033男中国农业大学作物栽培学与耕作学090102作物遗传育种05李红建100191037023298男青岛农业大学 090102作物遗传育种03山东农业大学植物保护学院090402农业昆虫与害虫防治03王爱芹100191037093722女鲁井云100191023182677男东北林业大学土壤学090201果树学01农业昆虫与害虫防治01胡锡敏100191041214322女河南农业大学 090402刘怀安100191037023323男岛农业大学农学与植保学090401植物病理学01北科技师范学院生命科技学090401植物病理学03胡国培100191013031346女张勇100191022072451男吉林大学090122作物生理学02毛玉玲100191042194517女华中农业大学 090401植物病理学07作物栽培学与耕作学090102作物遗传育种03乔湛云100191011190015女区圆明园西路2号中国农业李小龙100191012041200男天津农学院090401植物病理学07李永兴100191037093731男学习090402农业昆虫与害虫防治05河北科技师范学院昌黎校区程 090202蔬菜学01张娟100191013031341女山东省泰安市山东农业大学090401植物病理学01孟凡伟100191037093697男作物栽培学与耕作学090102作物遗传育种05陈华峰100191037093646男山东农业大学农学院农业昆虫与害虫防治01杨诚100191037093717男山东农业大学 090402郭光辉100191041034107男河南科技大学农学院作物栽培学与耕作学090102作物遗传育种02马倩倩100191014041850女山西农业大学作物遗传育种090202蔬菜学03张汝楠100191011190081女中国农业大学 090401植物病理学04郭维维100191037023334女青岛农业大学 090402农业昆虫与害虫防治01作物栽培学与耕作学090202蔬菜学01李欣100191015312149女内蒙古农业大学辽宁省沈阳市沈阳农业大学090401植物病理学01刘佳100191021052270女王然100191061155122女西北农林科技大学作物遗传育种090201果树学01陈立勇100191037023305男青岛农业大学作物遗传育种090201果树学01刘琳100191014041842女山西农业大学天体物理090102作物遗传育种04河南农业大学植物保护学院090401植物病理学01邓淑桢100191041214315女刘燕100191011190076女中国农业大学作物栽培学与耕作学090323生物质工程04范莹莹100191037023329女省青岛市城阳区青岛农业090401植物病理学02作物栽培学与耕作学04陈中督100191033012897男浙江农林大学天体测量与天体力学090101范海燕100191021052278女沈阳农业大学 090401植物病理学05赵瑞艳100191037023341女青岛农业大学生命科学学天体物理090706园林植物与观赏园艺01沈阳农业大学植物保护学院090401植物病理学07王晓晶100191021052281女作物栽培学与耕作学090102作物遗传育种03许和水100191065025296男新疆石河子大学王毅100191013051433男无程 090202蔬菜学03园林植物与观赏园艺02天体物理090706赵阳100191041054161女河南师范大学生命科学学院刘娜100191034012942女安徽农业大学作物遗传育种090201果树学04农业昆虫与害虫防治01杨科100191011190094男河北农业大学 090402作物栽培学与耕作学05王小龙100191062065231男甘肃农业大学天体测量与天体力学090101山东农业大学植物保护学院090401植物病理学03王蓉100191037093704女孙红哲100191022072458女长春工业大学天体测量与天体力学090323生物质工程03农业昆虫与害虫防治03张子衡100191034033010男安徽科技学院农药学090402宋凯100191037093683男山东农业大学程 090202蔬菜学03赵旸100191037023336女农业大学农学与植物保护090402农业昆虫与害虫防治04陈佳娜100191062065234女甘肃农业大学果树学090122作物生理学02于格格100191011190142女中国农业大学 095300风景园林硕士00农业昆虫与害虫防治05孙银蓬100191037093735女山东农业大学 090402作物栽培学与耕作学04周晓静100191014102002女无天体物理090101作物栽培学与耕作学02于振星100191041214287男河南农业大学作物栽培学与耕作学090101园林植物与观赏园艺02康莹珠100191044164760女自由职业天体测量与天体力学090706园林植物与观赏园艺04曹影100191032112768女南京林业大学作物遗传育种090706作物遗传育种090201果树学04闫丽娟100191037023309女业大学园林园艺学院园艺园林植物与观赏园艺05邱瑶100191034123049女阜阳师范学院 090706邢燕霞100191014091987女大学御东校区农学院07级090202蔬菜学03王玮玉100191037093694女山东农业大学 090401植物病理学01农业昆虫与害虫防治05安钊100191037093732男山东农业大学 090402作物栽培学与耕作学090202蔬菜学03杨俊华100191042264599女汉市华中农业大学植物科学园林植物与观赏园艺02许娇艳100191041074198女无作物遗传育种090706马立明100191042194506女华中农业大学作物栽培学与耕作学090102作物遗传育种03曹锡文100191012041195男天津农学院东校区090122作物生理学03王淑会100191037093720女山东农业大学 090402农业昆虫与害虫防治03农业昆虫与害虫防治05吴妍100191021052284女沈阳农业大学植物保护学院090402作物栽培学与耕作学02作物遗传育种090101魏民100191037254008男城市东昌府区聊城大学东校赵清翠100191037093635女山东农业大学农学院090102作物遗传育种03王黎黎100191011190026女中国农业大学作物栽培学与耕作学090102作物遗传育种04孙丽丽100191065065337女新疆农业大学程 090202蔬菜学03农业昆虫与害虫防治05蒋兴聪100191037093737男山东农业大学 090402作物栽培学与耕作学01赵丽晓100191014041836女山西农业大学 090101程 090202蔬菜学01刘国英100191037093671女山东农业大学南校区王丽梅100191061155119女杨凌区西北农林科技大学090102作物遗传育种03董明亮100191023182678男东北林业大学土壤学090202蔬菜学01作物栽培学与耕作学05陈晓娇100191011190011女中国农业大学作物栽培学与耕作学090101作物栽培学与耕作学06秦烁100191042054446男华中农业大学 090101门立志100191011190070男中国农业大学作物遗传育种090202蔬菜学03郑飞雪100191037254010女作物遗传育种090201果树学03城市东昌府区聊城大学东校李倩倩100191041214298女河南农业大学作物遗传育种090102作物遗传育种04范胜亮100191051124946男四川农业大学 090102作物遗传育种05胡莹莹100191037093687女山东农业大学程 090202蔬菜学03作物栽培学与耕作学090102作物遗传育种04陈宝建100191011190027男区圆明园西路2号中国农业卢远根100191051124949男四川农业大学 090102作物遗传育种05谷思辰100191011190080女中国农业大学 090401植物病理学04物检疫与农业生态健03花慧贞100191041174236女河南省南阳师范学院矿产普查与勘探090421姜星100191014041853女西农业大学农学院植保0090401植物病理学01和富霞100191034012941女安徽农业大学动物营养与饲料科学090102作物遗传育种03作物栽培学与耕作学090102作物遗传育种05扬州大学农学院农学0702班徐根100191032132840男曹元鑫100191015012046男内蒙古农业大学作物遗传育种090202蔬菜学03农业昆虫与害虫防治01范银君100191050074861女西南大学植物保护学院090402孙阳100191042054445男华中农业大学作物栽培学与耕作学090101作物栽培学与耕作学05范大学生命科学学院07级生天体测量与天体力学090202蔬菜学01王巧丽100191041054150女罗奇100191041214312男河南农业大学检疫方向) 090401植物病理学01王香茹100191061155121女西北农林科技大学矿产普查与勘探090122作物生理学02刘露萍100191036013141女江西农业大学农学院090421物检疫与农业生态健02程 090201果树学01黄晶100191037093656女农业大学园艺学院07级设王丹100191034012947女安徽农业大学 090421物检疫与农业生态健01作物栽培学与耕作学090101作物栽培学与耕作学01方艳茹100191015312143女内蒙古农业大学作物栽培学与耕作学01天体测量与天体力学090101赵丽萍100191037073589女山东省潍坊市潍坊学院高永昌100191022072457男吉林农业大学矿产普查与勘探090323生物质工程01园林植物与观赏园艺01杨若韵100191051124967女四川农业大学植物病理学090706张佩佩100191041144213女周口师范学院矿产普查与勘探090202蔬菜学03齐艳100191013031343女河北科技师范学院作物遗传育种090202蔬菜学03孙倩100191021052276女市沈河区东陵路120号沈090401植物病理学03曲高平100191037063508男中国农业大学程 090102作物遗传育种04陈春花100191037093691女山东农业大学作物遗传育种090202蔬菜学03河北农业大学植物保护学院090401植物病理学04李慧100191013061467女王振100191037023325男青岛农业大学农学与植保090401植物病理学01程 090201果树学04李金平100191051135021男绵阳市西南科技大学园林植物与观赏园艺04作物遗传育种090706张帅100191037254013男省聊城市湖南路1号聊城作物遗传育种090202蔬菜学03聊城大学农学院园艺系07级房燕100191037254012女张珣100191034012946女安徽农业大学 090401植物病理学05刘慧君100191011190024女国农业大学西校区联合培090102作物遗传育种04李红飞100191051124941男四川农业大学成都校区090102作物遗传育种03作物栽培学与耕作学03张兴娟100191022072446女吉林农业大学作物栽培学与耕作学090101王旭峰100191032112758男南京农业大学 090102作物遗传育种05李曼100191042194524女华中农业大学 090421物检疫与农业生态健01聊城市聊城大学农学院200作物遗传育种090202蔬菜学02王丽慧100191037254011女园林植物与观赏园艺04作物遗传育种090706宜春学院生命科学与资源环袁金英100191036083202女乔峰100191037023308男青岛农业大学 090201果树学03刘晋欢100191011190072女中国农业大学作物栽培学与耕作学090323生物质工程01何伟强100191044204767男佛山市科学技术学院植物病理学095300风景园林硕士00敬小康100191051124955男四川农业大学作物遗传育种090201果树学01黄丹100191037093698女山东农业大学 090401植物病理学01周兆红100191013061466女河北农业大学植物保护学院090401植物病理学04河南省郑州市河南农业大学090401植物病理学01余红雨100191041214311男吴龙飞100191033012901男浙江农林大学作物栽培学与耕作学090706园林植物与观赏园艺02马存金100191037093686男山东农业大学作物栽培学与耕作学090202蔬菜学03农业昆虫与害虫防治01陈舟100191042194521男华中农业大学 090402秦晶晶100191014061967女山西师范大学 090102作物遗传育种03陈秋月100191050074853女西南大学作物栽培学与耕作学090102作物遗传育种04董宏图100191014041844女山西农业大学 090121种子科学01叶婷100191012041197女津农学院07级植物保护2090401植物病理学03陈淑慧100191037093714女山东农业大学 090401植物病理学06作物遗传育种090201果树学02赵成100191037093657女山东农业大学园艺学院植物病理学090706园林植物与观赏园艺04北科技师范学院园艺科技学刘小薇100191013031358女天体测量与天体力学090323生物质工程04王文政100191037063512男省枣庄市薛城区周营镇张场园林植物与观赏园艺04栾佳仪100191043074648女湖南农业大学 090706刘好鑫100191037023324男青岛市城阳区青岛农业大学090401植物病理学01作物栽培学与耕作学090202蔬菜学03孔令翠100191037093679女山东农业大学农学院武静雅100191042194513女华中农业大学作物栽培学与耕作学090401植物病理学04作物栽培学与耕作学090102作物遗传育种04北京市海淀区中国农业大学贾礼聪100191011190031男物检疫与农业生态健01刘源野100191011190118男中国农业大学 090421司跃腾100191013061456男河北农业大学程 090201果树学01秦旭冬100191037093654女山东农业大学作物遗传育种090201果树学01邵菁芃100191011190083女中国农业大学 090401植物病理学04吕丽媛100191013031345女河北科技师范学院090323生物质工程01廖雄100191051124956男四川农业大学作物遗传育种090201果树学02陈慧100191051124940女四川农业大学 090102作物遗传育种03作物栽培学与耕作学090102作物遗传育种04李文强100191011190029男大学农学与生物技术学院陈雪峰100191013031325男河北科技师范学院作物遗传育种090201果树学02李继龙100191022072449男吉林大学作物栽培学与耕作学090102作物遗传育种05孙健英100191032172878女徐州师范大学天体物理090102作物遗传育种05赵建龙100191012071269男天津科技大学植物学090401植物病理学01园林植物与观赏园艺03刘琳100191037073598女潍坊学院090706陈雅坤100191037093673女山东农业大学作物栽培学与耕作学090202蔬菜学01张宁100191037093637男山东农业大学作物栽培学与耕作学090102作物遗传育种04路莹欣100191013061468女河北农业大学 090401植物病理学05农业昆虫与害虫防治01曹利军100191011190097男北京市农林科学院090402农业昆虫与害虫防治03何碧程100191032112761女南京农业大学 090402农业昆虫与害虫防治04梁飞扬100191012041203男天津农学院090402园林植物与观赏园艺04王莹100191034103041女黄山学院土壤学090706农业昆虫与害虫防治03曲艺100191015012050男内蒙古农业大学090402周成100191034033013男安徽科技学院作物遗传育种090706园林植物与观赏园艺04东省泰安市人才交流服务中作物栽培学与耕作学090102作物遗传育种04周升辉100191037093639男颜爽爽100191037023315女青岛农业大学作物遗传育种090202蔬菜学01作物遗传育种090201果树学01柴朋100191037023307男青岛农业大学园林园艺学院作物栽培学与耕作学090102作物遗传育种04张欢100191011190028女中国农业大学联合培养园林植物与观赏园艺05植物病理学090706贺晓波100191015232121男蒙古民族大学农学院07园矿产普查与勘探090323生物质工程04张向歌100191041054153男乡市万象更新装饰有限公段玲玲100191041214317女河南农业大学 090401植物病理学05作物栽培学与耕作学090102作物遗传育种05李迎彬100191011190040男大学农学与生物技术学院物检疫与农业生态健01张文兵100191015312156男蒙古农业大学生态环境学果树学090421作物遗传育种090202蔬菜学02田荣100191042194510女农业大学园艺林学学院园艺物检疫与农业生态健01董书军100191034033011男安徽科技学院 090421张宇100191043074639女湖南农业大学天体测量与天体力学090401植物病理学04程 090202蔬菜学03展星100191037093682男河大街中段山东农业大学农业昆虫与害虫防治01陈伟100191042194520男华中农业大学 090402齐仙惠100191011190069女中国农业大学作物遗传育种090202蔬菜学03陈志文100191011190013男中国农业大学作物栽培学与耕作学090102作物遗传育种01梁小娜100191041214292女河南农业大学作物栽培学与耕作学090102作物遗传育种03物检疫与农业生态健01庄洪涛100191035013095男福建农林大学 090421园林植物与观赏园艺04天体测量与天体力学090706李天娇100191013031355女北科技师范学院生命科技学刘婷100191021052265女沈阳农业大学作物遗传育种090202蔬菜学01刘佳佳100191041214295女河南农业大学 090102作物遗传育种04汪晶舰100191011190017男中国农业大学作物栽培学与耕作学090102作物遗传育种03袁淑芬100191046024812女州校区环植学院07植物保090101作物栽培学与耕作学01园林植物与观赏园艺02周冀琼100191011190130女无果树学090706王永瑞100191037093643男山东农业大学农学院090102作物遗传育种05黄翼100191051124954女四川农业大学作物遗传育种090201果树学01作物栽培学与耕作学090102作物遗传育种05王丹丹100191050074857女南大学农学与生物科技学农业昆虫与害虫防治03王静静100191014102004女无090402杨青松100191041214294男河南农业大学 090102作物遗传育种03作物栽培学与耕作学090102作物遗传育种04丁泽国100191013061454男河北省保定市河北农业大学娄杰100191037093652女山东农业大学作物遗传育种090201果树学01曹玲100191013031338女程 090202蔬菜学01技师范学院昌黎校区园艺科张娜100191037093713女山东农业大学 090401植物病理学06河南农业大学植物保护学院090401植物病理学06念晓歌100191041214319女崔镁沙100191037093665女山东农业大学作物遗传育种090201果树学04物检疫与农业生态健01吴景玉100191013171792女无作物栽培学与耕作学090421农业昆虫与害虫防治03唐文倩100191037093725女山东农业大学 090402谭贻100191043074635女湖南农业大学作物遗传育种090201果树学01农业昆虫与害虫防治03杨宇晖100191037093727女无090402作物遗传育种090706园林植物与观赏园艺02云南省昆明市云南农业大学李经纬100191053025077女作物遗传育种090201果树学02雷琼100191011190051女市农林科学院林业果树研张倩100191062065233女甘肃农业大学果树学090122作物生理学02王黎明100191011190049男中国农业大学作物遗传育种090201果树学01付蕾100191011190035女中国农业大学 090102作物遗传育种05园林植物与观赏园艺01徐照100191037093740女山东农业大学作物遗传育种090706作物遗传育种090202蔬菜学02单楠100191037093676女农业大学园艺科学与工程王平勇100191023152567男黑龙江八一农垦大学作物遗传育种090202蔬菜学01魏燕华100191037093631女山东农业大学作物栽培学与耕作学090101作物栽培学与耕作学02程 090202蔬菜学02王刚100191061155124男西北农林科技大学园林植物与观赏园艺05刘静100191037023345女青岛农业大学植物病理学090706陕西杨凌西北农林科技大学土壤学090421物检疫与农业生态健01宋乐100191061155128男李阳100191041034110男河南科技大学作物遗传育种090202蔬菜学03农业昆虫与害虫防治02唐婷100191011190101女中国农业大学 090402作物栽培学与耕作学01赵鑫100191014041835男山西农业大学作物栽培学与耕作学090101作物栽培学与耕作学03马召100191013061444男河北农业大学农学院090101沈阳农业大学科学技术学院作物栽培学与耕作学090102作物遗传育种04张伟漫100191021052262女作物栽培学与耕作学090102作物遗传育种05卢晓延100191050074856女重庆市北碚区西南大学农业昆虫与害虫防治03杨鹏艳100191050074863女重庆市北碚区西南大学090402植物病理学090706园林植物与观赏园艺04泰安市泰山区山东农业大学栾晓芳100191037093744女农业昆虫与害虫防治05宁格100191037093733男山东农业大学 090402鲁敏100191037023295女青岛农业大学 090102作物遗传育种01物检疫与农业生态健03刘钰燕100191041054160女河南科技学院作物栽培学与耕作学090421张晓艳100191037093705女山东农业大学 090401植物病理学03张维帅100191013041403男河北工程大学作物遗传育种090202蔬菜学03农业昆虫与害虫防治01廖重宇100191050074860男读于西南大学植物保护学090402李瑞杰100191041214299男河南农业大学 090102作物遗传育种04李明会100191037023312女青岛农业大学 090201果树学04农业昆虫与害虫防治04学园艺与植物保护学院植保090402张书辰100191032132842男作物栽培学与耕作学090121种子科学02宋美兰100191015232112女内蒙古民族大学侯晶晶100191014102003女无作物栽培学与耕作学090102作物遗传育种05农业昆虫与害虫防治02祖恒100191023152570男黑龙江八一农垦大学作物遗传育种090402沈阳农业大学科学技术学院作物栽培学与耕作学090102作物遗传育种04周桦楠100191021052259女作物栽培学与耕作学01胡铖100191011190004男中国农业大学物学 090101园林植物与观赏园艺01卢昆丽100191023112556女齐齐哈尔大学植物病理学090706何力100191042054452男华中农业大学 090401植物病理学01陈永兴100191013031320男河北科技师范学院昌黎校区090102作物遗传育种03园林植物与观赏园艺05张晶100191011190135女中国农业大学 090706盛庆辉100191037093638男山东农业大学农学院090102作物遗传育种04刘小茜100191044204762女华南农业大学作物遗传育种090202蔬菜学01朱敏100191042264600女华中农业大学 090402农业昆虫与害虫防治01作物栽培学与耕作学01吴文丽100191032112751女南京晓庄学院天体物理090101天体测量与天体力学090102作物遗传育种04高驰100191013061453男学现代科技学院生物技术王宁宁100191037023300女青岛农业大学 090102作物遗传育种04作物遗传育种090201果树学04李白沙100191037023311女山东省青岛市青岛农业大学农业昆虫与害虫防治01张梦婕100191011190099女中国农业大学 090402宋连博100191037023297男青岛农业大学作物栽培学与耕作学090102作物遗传育种03作物栽培学与耕作学05邹娟秀100191013061446女河北农业大学作物栽培学与耕作学090101作物栽培学与耕作学02王燕100191041214285女河南农业大学作物栽培学与耕作学090101邢丽敏100191037093666女山东农业大学作物遗传育种090201果树学04园林植物与观赏园艺04李晓青100191037023344女区长城路700号青岛农业植物病理学090706张晶100191062065232女甘肃农业大学 090102作物遗传育种04作物栽培学与耕作学090102作物遗传育种04吕延华100191037013210男山东省济南市山东大学李宁100191037093690女山东农业大学园艺学院程 090202蔬菜学03物检疫与农业生态健01唐宋100191037093738男山东农业大学 090421物检疫与农业生态健01邓宇芳100191043074645女湖南农业大学 090421牛程旺100191037023326男省青岛市城阳区青岛农业090401植物病理学01叶龙华100191034103040男安徽省黄山市黄山学院土壤学090202蔬菜学03曹莎100191037093707女山东省泰安市山东农业大学090401植物病理学04物检疫与农业生态健03贺康100191041214332男河南农业大学检疫)方向 090421张天娇100191043074644女湖南农业大学 090421物检疫与农业生态健01王丽君100191037023330女农业大学农学与植物保护090401植物病理学04物检疫与农业生态健03张鑫100191011190124男中国农业大学 090421迪娜100191011190019女中国农业大学作物栽培学与耕作学090102作物遗传育种03天体测量与天体力学090102作物遗传育种04刘美凤100191037023301女青岛农业大学生命科学学院王继元100191012041199女天津农学院090401植物病理学05丁亚军100191065025292男无090101作物栽培学与耕作学01园林植物与观赏园艺05汪宏100191034123048女阜阳师范学院生命科学学院090706农业昆虫与害虫防治04黄成军100191051064915男乐山师范学院天体测量与天体力学090402卢婷婷100191011190131女中国农业大学植物病理学090706园林植物与观赏园艺02李吉崇100191014041852女山西农业大学测技术与自动化装090401植物病理学01农业昆虫与害虫防治03于静亚100191042194522女湖北省武汉市华中农业大学090402刘雯雯100191013111701女无作物遗传育种090201果树学04杜娟100191014041854女山西农业大学天体物理090401植物病理学05王爱梅100191042054451女华中农业大学作物遗传育种090202蔬菜学01许路100191037023316男青岛农业大学作物栽培学与耕作学090202蔬菜学01杨丽维100191015012042女内蒙古农业大学农学院090121种子科学01物检疫与农业生态健01王苹100191032112764女南京农业大学天体物理090421孔令平100191037043503女枣庄学院天体测量与天体力学090102作物遗传育种04沈阳农业大学植物保护学院090401植物病理学01罗超100191021052266男吴亚滨100191041014056男无术) 090102作物遗传育种04作物栽培学与耕作学090706园林植物与观赏园艺04刘波100191021052287女辽宁省沈阳农业大学山东省泰安市山东农业大学090401植物病理学01唐伟100191037093699男作物栽培学与耕作学03林晶晶100191041034104女河南科技大学作物栽培学与耕作学090101北科技师范学院园艺科技学程 090202蔬菜学01张立园100191013031337女刘东虎100191065065339男新疆农业大学程 090202蔬菜学03作物栽培学与耕作学090102作物遗传育种04张力100191051124943男四川农业大学(成都校区)朱梦娇100191032112755女南京林业大学土壤学090102作物遗传育种04张玉峰100191037133971男临沂师范学院天体测量与天体力学090102作物遗传育种05园林植物与观赏园艺04北科技师范学院生命科技学090706孙蕾100191013031357女园林植物与观赏园艺05于丽100191013071656女河北北方学院作物遗传育种090706。