高二数学椭圆试题(有标准答案)
- 格式:doc
- 大小:461.12 KB
- 文档页数:16
高二数学椭圆试题一:选择题1.已知方程表示焦点在x轴上的椭圆,则m的取值范围是()A.m>2或m<﹣1 B.m>﹣2 C.﹣1<m<2 D.m>2或﹣2<m<﹣1解:椭圆的焦点在x轴上∴m2>2+m,即m2﹣2﹣m>0解得m>2或m<﹣1又∵2+m>0∴m>﹣2∴m的取值范围:m>2或﹣2<m<﹣1故选D2.已知椭圆,长轴在y轴上、若焦距为4,则m等于()A.4B.5C.7D.8解:将椭圆的方程转化为标准形式为,显然m﹣2>10﹣m,即m>6,,解得m=8故选D3.椭圆(1﹣m)x2﹣my2=1的长轴长是()A.B.C.D.解:由椭圆(1﹣m)x2﹣my2=1,化成标准方程:由于,∴椭圆(1﹣m)x2﹣my2=1的长轴长是2a=2=.故选B.4.已知点F1、F2分别是椭圆+=1(k>﹣1)的左、右焦点,弦AB过点F1,若△ABF2的周长为8,则椭圆的离心率为()A.B.C.D.解:由椭圆定义有4a=8∴a=2,所以k+2=a2=4∴k=2.从而b2=k+1=3,c2=a2﹣b2=1,所以,故选A5.已知△ABC的周长为20,且顶点B (0,﹣4),C (0,4),则顶点A的轨迹方程是()A.(x≠0)B.(x≠0)C.(x≠0)D.(x≠0)解:∵△ABC的周长为20,顶点B (0,﹣4),C (0,4),∴BC=8,AB+AC=20﹣8=12,∵12>8∴点A到两个定点的距离之和等于定值,∴点A的轨迹是椭圆,∵a=6,c=4∴b2=20,∴椭圆的方程是故选B.6.方程=10,化简的结果是()A.B.C.D.解:根据两点间的距离公式可得:表示点P(x,y)与点F1(2,0)的距离,表示点P(x,y)与点F2(﹣2,0)的距离,所以原等式化简为|PF1|+|PF2|=10,因为|F1F2|=2<10,所以由椭圆的定义可得:点P的轨迹是椭圆,并且a=5,c=2,所以b2=21.所以椭圆的方程为:.故选D.7.设θ是三角形的一个内角,且,则方程x2sinθ﹣y2cosθ=1表示的曲线是()A.焦点在x轴上的双曲线B.焦点在x轴上的椭圆C.焦点在y轴上的双曲线D.焦点在y轴上的椭圆解:因为θ∈(0,π),且sinθ+cosθ=,所以,θ∈(,π),且|sinθ|>|cosθ|,所以θ∈(,),从而cosθ<0,从而x2sinθ﹣y2cosθ=1表示焦点在y轴上的椭圆.故选 D.8.设椭圆的两个焦点分别为F1、、F2,过F2作椭圆长轴的垂线交椭圆于点P,若△F1PF2为等腰直角三角形,则椭圆的离心率是()A.B.C.D.解:设点P在x轴上方,坐标为,∵△F1PF2为等腰直角三角形∴|PF2|=|F1F2|,即,即故椭圆的离心率e=故选D9.从椭圆上一点P向x轴作垂线,垂足恰为左焦点F1,A是椭圆与x轴正半轴的交点,B是椭圆与y轴正半轴的交点,且AB∥OP(O是坐标原点),则该椭圆的离心率是()A.B.C.D.解:依题意,设P(﹣c,y0)(y0>0),则+=1,∴y0=,∴P(﹣c,),又A(a,0),B(0,b),AB∥OP,∴k AB=k OP,即==,∴b=c.设该椭圆的离心率为e,则e2====,∴椭圆的离心率e=.故选C.10.若点O和点F分别为椭圆的中心和左焦点,点P为椭圆上的任意一点,则的最大值为()A.2B.3C.6D.8解:由题意,F(﹣1,0),设点P(x0,y0),则有,解得,因为,,所以==,此二次函数对应的抛物线的对称轴为x0=﹣2,因为﹣2≤x0≤2,所以当x0=2时,取得最大值,故选C.11.如图,点F为椭圆=1(a>b>0)的一个焦点,若椭圆上存在一点P,满足以椭圆短轴为直径的圆与线段PF相切于线段PF的中点,则该椭圆的离心率为()A.B.C.D.解:设线段PF的中点为M,另一个焦点F′,由题意知,OM=b,又OM是△FPF′的中位线,∴OM=PF′=b,PF′=2b,由椭圆的定义知 PF=2a﹣PF′=2a﹣2b,又 MF=PF=(2a﹣2b)=a﹣b,又OF=c,直角三角形OMF中,由勾股定理得:(a﹣b)2+b2=c2,又a2﹣b2=c2,可求得离心率 e==,故答案选 B.12.椭圆顶点A(a,0),B(0,b),若右焦点F到直线AB的距离等于,则椭圆的离心率e=()A.B.C.D.解:由题意可得直线AB的方程为即bx+ay﹣ab=0,F(c,0)∴F(c,0)到直线AB的距离d==,|AF|=a﹣c则∴a2=3b2∴a2=3a2﹣3c2即3c2=2a2∴=故选B13.已知椭圆+=1(a>b>0)的左、右焦点为F1,F2,P为椭圆上的一点,且|PF1||PF2|的最大值的取值范围是[2c2,3c2],其中c=.则椭圆的离心率的取值范围为()A.[,] B.[,1)C.[,1)D.[,]解:∵|PF1|•|PF2|的最大值=a2,∴由题意知2c2≤a2≤3c2,∴,∴.故椭圆m的离心率e的取值范围.故选A.14.在椭圆中,F1,F2分别是其左右焦点,若|PF1|=2|PF2|,则该椭圆离心率的取值范围是()A.B.C.D.解:根据椭圆定义|PF1|+|PF2|=2a,将设|PF1|=2|PF2|代入得,根据椭圆的几何性质,|PF2|≥a﹣c,故,即a≤3c,故,即,又e<1,故该椭圆离心率的取值范围是.故选B.二:填空题15.已知F1、F2是椭圆C:(a>b>0)的两个焦点,P为椭圆C上一点,且.若△PF1F2的面积为9,则b= 3 .解:由题意知△PF1F2的面积=,∴b=3,故答案为3.16.若方程表示焦点在y轴上的椭圆,则k的取值范围是4<k<7 .解:∵+=1表示焦点在y轴上的椭圆,∴k﹣1>7﹣k>0.∴4<k<7.故k的取值范围是4<k<7.故答案为:4<k<7.17.已知椭圆的焦距为2,则实数t= 2,3,6 .解:当t2>5t>0即t>5时,a2=t2,b2=5t此时c2=t2﹣5t=6解可得,t=6或t=﹣1(舍)当0<t2<5t即0<t<5时,a2=5t,b2=t2此时c2=a2﹣b2=5t﹣t2=6解可得,t=2或t=3综上可得,t=2或t=3或t=6故答案为:2,3,618.在平面直角坐标系xOy中,已知△ABC顶点A(﹣4,0)和C(4,0),顶点B在椭圆上,则= .解:利用椭圆定义得a+c=2×5=10b=2×4=8由正弦定理得=故答案为19.在平面直角坐标系xOy中,椭圆的焦距为2c,以O为圆心,a 为半径作圆M,若过作圆M的两条切线相互垂直,则椭圆的离心率为.解:设切线PA、PB互相垂直,又半径OA垂直于PA,所以△OAP是等腰直角三角形,故,解得,故答案为.20.若椭圆的焦点在x轴上,过点(1,)做圆x2+y2=1的切线,切点分别为A,B,直线AB恰好经过椭圆的右焦点和上顶点,则椭圆的方程是.解:设切点坐标为(m,n)则即∵m2+n2=1∴m即AB的直线方程为2x+y﹣2=0∵线AB恰好经过椭圆的右焦点和上顶点∴2c﹣2=0;b﹣2=0解得c=1,b=2所以a2=5故椭圆方程为故答案为三:解答题21.已知F1,F2为椭圆的左、右焦点,P是椭圆上一点.(1)求|PF1|•|PF2|的最大值;(2)若∠F1PF2=60°且△F1PF2的面积为,求b的值.解:(1)∵P点在椭圆上,∴|PF1|+|PF2|=|2a=20,∵|PF1|>0,|PF2|>0,∴|PF1|•|PF2|≤=100,∴|PF1|•|PF2|有最大值100.(2)∵a=10,|F1F2|=2c.设|PF1|=t1,|PF2|=t2,则根据椭圆的定义可得:t1+t2=20①,在△F1PF2中,∠F1PF2=60°,所以根据余弦定理可得:t12+t22﹣2t1t2•cos60°=4c2②,由①2﹣②得3t1•t2=400﹣4c2,所以由正弦定理可得:=.所以c=6,∴b=8.22.如图,F1、F2分别是椭圆C:(a>b>0)的左、右焦点,A是椭圆C的顶点,B是直线AF2与椭圆C的另一个交点,∠F1AF2=60°.(Ⅰ)求椭圆C的离心率;(Ⅱ)已知△AF1B的面积为40,求a,b 的值.解:(Ⅰ)∠F1AF2=60°⇔a=2c⇔e==.(Ⅱ)设|BF2|=m,则|BF1|=2a﹣m,在三角形BF1F2中,|BF1|2=|BF2|2+|F1F2|2﹣2|BF2||F1F2|cos120°⇔(2a﹣m)2=m2+a2+am.⇔m=.△AF1B面积S=|BA||F1F2|sin60°⇔=40⇔a=10,∴c=5,b=5.23.已知中心在坐标原点O的椭圆C经过点A(2,3),且点F(2,0)为其右焦点.(1)求椭圆C的方程;(2)是否存在平行于OA的直线l,使得直线l与椭圆C有公共点,且直线OA与l的距离等于4?若存在,求出直线l的方程;若不存在,说明理由.解:(1)依题意,可设椭圆C的方程为(a>0,b>0),且可知左焦点为F(﹣2,0),从而有,解得c=2,a=4,又a2=b2+c2,所以b2=12,故椭圆C的方程为.(2)假设存在符合题意的直线l,其方程为y=x+t,由得3x2+3tx+t2﹣12=0,因为直线l与椭圆有公共点,所以有△=(3t)2﹣4×3(t2﹣12)≥0,解得﹣4≤t≤4,另一方面,由直线OA与l的距离4=,从而t=±2,由于±2∉[﹣4,4],所以符合题意的直线l不存在.24.设F1,F2分别是椭圆的左、右焦点,过F1斜率为1的直线ℓ与E相交于A,B两点,且|AF2|,|AB|,|BF2|成等差数列.(1)求E的离心率;(2)设点P(0,﹣1)满足|PA|=|PB|,求E的方程解:(I)由椭圆定义知|AF2|+|BF2|+|AB|=4a,又2|AB|=|AF2|+|BF2|,得l的方程为y=x+c,其中.设A(x1,y1),B(x2,y2),则A、B两点坐标满足方程组化简的(a2+b2)x2+2a2cx+a2(c2﹣b2)=0则因为直线AB斜率为1,得,故a2=2b2所以E的离心率(II)设AB的中点为N(x0,y0),由(I)知,.由|PA|=|PB|,得k PN=﹣1,即得c=3,从而故椭圆E的方程为.25.设椭圆的左焦点为F,离心率为,过点F且与x轴垂直的直线被椭圆截得的线段长为.(Ⅰ)求椭圆的方程;(Ⅱ)设A,B分别为椭圆的左,右顶点,过点F且斜率为k的直线与椭圆交于C,D两点.若,求k的值.解:(I)根据椭圆方程为.∵过焦点且垂直于长轴的直线被椭圆截得的线段长为,∴=,∵离心率为,∴=,解得b=,c=1,a=.∴椭圆的方程为;(II)直线CD:y=k(x+1),设C(x1,y1),D(x2,y2),由消去y得,(2+3k2)x2+6kx+3k2﹣6=0,∴x1+x2=﹣,x1x2=,又A(﹣,0),B(,0),∴=(x1﹣,y1)•(﹣x2.﹣y2)+(x2+,y2)•(﹣x1.﹣y1)=6﹣(2+2k2)x1x2﹣2k2(x1+x2)﹣2k2,=6+=8,解得k=.26.设椭圆E:,O为坐标原点(Ⅰ)求椭圆E的方程;(Ⅱ)是否存在圆心在原点的圆,使得该圆的任意一条切线与椭圆E恒在两个交点A,B且?若存在,写出该圆的方程,关求|AB|的取值范围;若不存在,说明理由.解:(1)因为椭圆E:(a,b>0)过M(2,),N(,1)两点,所以解得所以椭圆E的方程为(2)假设存在圆心在原点的圆,使得该圆的任意一条切线与椭圆E恒有两个交点A,B,且,设该圆的切线方程为y=kx+m解方程组得x2+2(kx+m)2=8,即(1+2k2)x2+4kmx+2m2﹣8=0,则△=16k2m2﹣4(1+2k2)(2m2﹣8)=8(8k2﹣m2+4)>0,即8k2﹣m2+4>0,要使,需使x1x2+y1y2=0,即,所以3m2﹣8k2﹣8=0,所以又8k2﹣m2+4>0,所以,所以,即或,因为直线y=kx+m为圆心在原点的圆的一条切线,所以圆的半径为,,,所求的圆为,此时圆的切线y=kx+m都满足或,而当切线的斜率不存在时切线为与椭圆的两个交点为或存在圆心在原点的圆,使得该圆的任意一条切线与椭圆E恒有两个交点A,B,且.因为,所以,①当k≠0时因为所以,所以,所以当且仅当时取”=”.2当k=0时,27.已知直线x﹣2y+2=0经过椭圆的左顶点A和上顶点D,椭圆C的右顶点为B,点S是椭圆C上位于x轴上方的动点,直线AS,BS与直线分别交于M,N两点.(1)求椭圆C的方程;(2)求线段MN的长度的最小值;(3)当线段MN的长度最小时,在椭圆C上是否存在这样的点T,使得△TSB的面积为?若存在,确定点T的个数,若不存在,说明理由.解:(1)由已知得,椭圆C的左顶点为A(﹣2,0),上顶点为D(0,1),∴a=2,b=1故椭圆C的方程为(4分)(2)依题意,直线AS的斜率k存在,且k>0,故可设直线AS的方程为y=k(x+2),从而,由得(1+4k2)x2+16k2x+16k2﹣4=0设S(x1,y1),则得,从而即,(6分)又B(2,0)由得,∴,(8分)故又k>0,∴当且仅当,即时等号成立.∴时,线段MN的长度取最小值(10分)(2)另解:设S(x s,y S),依题意,A,S,M三点共线,且所在直线斜率存在,由k AM=k AS,可得同理可得:又所以,=不仿设y M>0,y N<0当且仅当y M=﹣y N时取等号,即时,线段MN的长度取最小值.(3)由(2)可知,当MN取最小值时,此时BS的方程为,∴(11分)要使椭圆C上存在点T,使得△TSB的面积等于,只须T到直线BS的距离等于,所以T在平行于BS且与BS距离等于的直线l'上.设直线l':x+y+t=0,则由,解得或.又因为T为直线l'与椭圆C的交点,所以经检验得,此时点T有两个满足条件.(14分)。
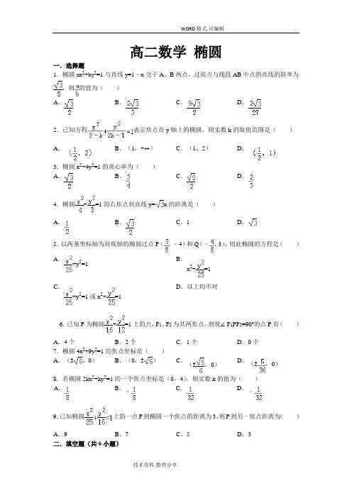
高二数学椭圆一.选择题1.椭圆ax2+by2=1与直线y=1﹣x交于A、B两点,过原点与线段AB中点的直线的斜率为,则的值为()A.B.C.D.2.已知方程表示焦点在y轴上的椭圆,则实数k的取值范围是()A.B.(1,+∞)C.(1,2)D.3.椭圆x2+4y2=1的离心率为()A.B.C.D.4.椭圆+=1的右焦点到直线y=x的距离是()A.B.C.1D.5.以两条坐标轴为对称轴的椭圆过点P(,﹣4)和Q(﹣,3),则此椭圆的方程是()A.+y2=1 B.x2+=1C.+y2=1或x2+=1D.以上均不对6.已知P为椭圆+=1上的点,F1、F2为其两焦点,则使∠F1PF2=90°的点P有()A.4个B.2个C.1个D.0个7.椭圆4x2+9y2=1的焦点坐标是()A.(±,0)B.(0,±)C.(±,0)D.(±,0)8.若椭圆2kx2+ky2=1的一个焦点坐标是(0,4),则实数k的值为()A.B.﹣C.D.﹣9.已知椭圆上的一点P到椭圆一个焦点的距离为3,则P到另一焦点距离为()A.9B.7C.5D.3二.填空题(共6小题)10.(2009•湖北模拟)如图Rt△ABC中,AB=AC=1,以点C为一个焦点作一个椭圆,使这个椭圆的另一个焦点在AB边上,且这个椭圆过A、B两点,则这个椭圆的焦距长为_________.11.若P是椭圆+=1上任意一点,F1、F2是焦点,则∠F1PF2的最大值为_________.12.F1、F2是椭圆+=1的两个焦点,P是椭圆上一点,则|PF1|•|PF2|有最_________值为_________.13.经过两点P1(),P2(0,)的椭圆的标准方程_________.14.已知焦距为8,离心率为0.8,则椭圆的标准方程为_________.15.点P在椭圆+=1上,F1,F2是椭圆的焦点,若PF1⊥PF2,则点P的坐标是_________.三.解答题(共5小题)16.已知椭圆的中心在坐标原点,焦点在x轴上,离心率为,且过点(1,2),求椭圆的标准方程.17.已知中心在原点,长轴在x轴上的椭圆的两焦点间的距离为,若椭圆被直线x+y+1=0截得的弦的中点的横坐标为﹣,求椭圆的方程.18.已知椭圆的焦点在x轴上,离心率为,且过点P(1,),求该椭圆的方程.19.求适合下列条件的椭圆的标准方程:(1)焦点在x轴上,a=6,e=;(2)焦点在y轴上,c=3,e=.20.已知椭圆两焦点的坐标分别是(﹣2,0),(2,0),并且经过点(2,),求椭圆方程.21.已知:△ABC的一边长BC=6,周长为16,求顶点A的轨迹方程.参考答案与试题解析一.选择题(共9小题)1.(2015•兴国县一模)椭圆ax2+by2=1与直线y=1﹣x交于A、B两点,过原点与线段AB 中点的直线的斜率为,则的值为()A.B.C.D.考点:椭圆的简单性质.专题:综合题.分析:联立椭圆方程与直线方程,得ax2+b(1﹣x)2=1,(a+b)x2﹣2bx+b﹣1=0,A(x1,y1),B(x2,y2),由韦达定理得AB中点坐标:(),AB中点与原点连线的斜率k===.解答:解:联立椭圆方程与直线方程,得ax2+b(1﹣x)2=1,(a+b)x2﹣2bx+b﹣1=0,A(x1,y1),B(x2,y2),,y1+y2=1﹣x1+1﹣x2=2﹣=,AB中点坐标:(),AB中点与原点连线的斜率k===.故选A.点评:本题考查直线和圆锥曲线的经综合运用,解题时要认真审题,仔细解答,注意合理地进行等价转化.2.(2012•香洲区模拟)已知方程表示焦点在y轴上的椭圆,则实数k的取值范围是()A.B.(1,+∞)C.(1,2)D.考点:椭圆的简单性质.专题:计算题;圆锥曲线的定义、性质与方程.分析:根据椭圆的标准方程,得焦点在y轴上的椭圆方程中,x2、y2的分母均为正数,且y2的分母较大,由此建立关于k的不等式组,解之即得实数k的取值范围.解答:解:∵方程表示焦点在y轴上的椭圆,∴,解之得1<k<2实数k的取值范围是(1,2)故选:C点评:本题给出标准方程表示焦点在y轴上的椭圆,求参数k的取值范围,着重考查了椭圆的标准方程的概念,属于基础题.3.(2007•安徽)椭圆x2+4y2=1的离心率为()A.B.C.D.考点:椭圆的简单性质.专题:综合题.分析:把椭圆的方程化为标准方程后,找出a与b的值,然后根据a2=b2+c2求出c的值,利用离心率公式e=,把a与c的值代入即可求出值.解答:解:把椭圆方程化为标准方程得:x2+=1,得到a=1,b=,则c==,所以椭圆的离心率e==.故选A点评:此题考查学生掌握椭圆的离心率的求法,灵活运用椭圆的简单性质化简求值,是一道综合题.4.(2006•东城区二模)椭圆+=1的右焦点到直线y=x的距离是()A.B.C.1D.考点:椭圆的简单性质;点到直线的距离公式.专题:计算题.分析:根据题意,可得右焦点F(1,0),由点到直线的距离公式,计算可得答案.解答:解:根据题意,可得右焦点F(1,0),y=x可化为y﹣x=0,则d==,故选B.点评:本题考查椭圆的性质以及点到直线的距离的计算,注意公式的准确记忆.5.以两条坐标轴为对称轴的椭圆过点P(,﹣4)和Q(﹣,3),则此椭圆的方程是()A.+y2=1 B.x2+=1C.+y2=1或x2+=1D.以上均不对考点:椭圆的标准方程.专题:圆锥曲线的定义、性质与方程.分析:设经过两点P(,﹣4)和Q(﹣,3),的椭圆标准方程为mx2+ny2=1(m>0,n >0,m≠n),利用待定系数法能求出椭圆方程.解答:解:设经过两点P(,﹣4)和Q(﹣,3),的椭圆标准方程为mx2+ny2=1(m>0,n>0,m≠n),代入A、B得,,解得m=1,n=,∴所求椭圆方程为x2+=1.故选:B.点评:本题考查椭圆标准方程的求法,是中档题,解题时要认真审题,注意椭圆简单性质的合理运用.6.已知P为椭圆+=1上的点,F1、F2为其两焦点,则使∠F1PF2=90°的点P有()A.4个B.2个C.1个D.0个考点:椭圆的简单性质.专题:直线与圆;圆锥曲线的定义、性质与方程.分析:根据椭圆的标准方程,得出a、b、c的值,由∠F1PF2=90°得出点P在以F1F2为直径的圆(除F1、F2),且r<b,得出圆在椭圆内,点P不存在.解答:解:∵椭圆+=1中,a=4,b=2,∴c==2;∴焦点F1(﹣2,0),F2(2,0);又∵∠F1PF2=90°,∴点P在以F1F2为直径的圆x2+y2=4上(除F1、F2),又∵r=2<2=b,∴圆被椭圆内含,点P不存在.点评:本题考查了椭圆的标准方程与圆的标准方程的应用问题,解题时应灵活利用∠F1PF2=90°,是基础题.7.椭圆4x2+9y2=1的焦点坐标是()A.(±,0)B.(0,±)C.(±,0)D.(±,0)考点:椭圆的简单性质.专题:圆锥曲线的定义、性质与方程.分析:把椭圆方程化为标准方程,再利用c=即可得出.解答:解:椭圆4x2+9y2=1化为,∴a2=,b2=,∴c==∴椭圆的焦点坐标为(±,0).故选:C.点评:熟练掌握椭圆的标准方程及其性质是解题的关键.8.若椭圆2kx2+ky2=1的一个焦点坐标是(0,4),则实数k的值为()A.B.﹣C.D.﹣考点:椭圆的简单性质.专题:圆锥曲线的定义、性质与方程.分析:由椭圆的焦点坐标为(0,4)可得k>0,化椭圆方程为标准式,求出c,再由c=4得答案.解答:解:由2kx2+ky2=1,得,∵椭圆2kx2+ky2=1的一个焦点坐标是(0,4),∴,,则,.∴,解得.故选:C.点评:本题考查了椭圆的简单几何性质,考查了椭圆的标准方程,是基础题.9.已知椭圆上的一点P到椭圆一个焦点的距离为3,则P到另一焦点距离为()A.9B.7C.5D.3考点:椭圆的简单性质;椭圆的定义.专题:综合题.分析:由椭圆方程找出a的值,根据椭圆的定义可知椭圆上的点到两焦点的距离之和为常数2a,把a的值代入即可求出常数的值得到P到两焦点的距离之和,由P到一个焦点的距离为3,求出P到另一焦点的距离即可.解答:解:由椭圆,得a=5,则2a=10,且点P到椭圆一焦点的距离为3,由定义得点P到另一焦点的距离为2a﹣3=10﹣3=7.故选B点评:此题考查学生掌握椭圆的定义及简单的性质,是一道中档题.二.填空题(共6小题)10.(2009•湖北模拟)如图Rt△ABC中,AB=AC=1,以点C为一个焦点作一个椭圆,使这个椭圆的另一个焦点在AB边上,且这个椭圆过A、B两点,则这个椭圆的焦距长为.考点:椭圆的简单性质.专题:计算题.分析:设另一焦点为D,则可再Rt△ABC中,根据勾股定理求得BC,进而根据椭圆的定义知AC+AB+BC=4a求得a.再利用AC+AD=2a求得AD最后在Rt△ACD中根据勾股定理求得CD,得到答案.解答:解析:设另一焦点为D,∵Rt△ABC中,AB=AC=1,∴BC=∵AC+AD=2a,AC+AB+BC=1+1+=4a,∴a=又∵AC=1,∴AD=.在Rt△ACD中焦距CD==.故答案为:.点评:本题主要考查了椭圆的简单性质和解三角形的应用.要理解好椭圆的定义和椭圆中短轴,长轴和焦距的关系.11.若P是椭圆+=1上任意一点,F1、F2是焦点,则∠F1PF2的最大值为.考点:椭圆的简单性质.专题:圆锥曲线的定义、性质与方程.分析:先根据椭圆方程求得a和b的大小,进而利用椭圆的基本性质,确定最大角的位置,求出∠F1PF2的最大值.解答:解:根据椭圆的方程可知:+=1,∴a=2,b=,c=1,由椭圆的对称性可知,∠F1PF2的最大时,P在短轴端点,此时△F1PF2是正三角形,∴∠F1PF2的最大值为.故答案为:.点评:本题主要考查了椭圆的应用.当P点在短轴的端点时∠F1PF2值最大,这个结论可以记住它.在做选择题和填空题的时候直接拿来解决这一类的问题.12.F1、F2是椭圆+=1的两个焦点,P是椭圆上一点,则|PF1|•|PF2|有最大值为16.考点:椭圆的简单性质.专题:计算题;圆锥曲线的定义、性质与方程.分析:运用椭圆的定义,可得|PF1|+|PF2|=2a=8,再由基本不等式,即可求得|PF1|•|PF2|的最大值.解答:解:椭圆+=1的a=4,则|PF1|+|PF2|=2a=8,则|PF1|•|PF2|≤()2=16,当且仅当|PF1|=|PF2|=4,则|PF1|•|PF2|有最大值,且为16.故答案为:大,16点评:本题考查椭圆的定义和性质,考查基本不等式的运用:求最值,考查运算能力,属于基础题.13.经过两点P1(),P2(0,)的椭圆的标准方程=1.考点:椭圆的标准方程.专题:圆锥曲线的定义、性质与方程.分析:设椭圆方程为mx2+ny2=1(m>0,n>0,m≠n),把两点P1(),P2(0,)代入,能求出结果.解答:解L:设椭圆方程为mx2+ny2=1(m>0,n>0,m≠n)把两点P1(),P2(0,)代入,得:,解得m=5,n=4,∴椭圆方程为5x2+4y2=1,即=1.故答案为:=1.点评:本题考查椭圆的标准方程的求法,是基础题,解题时要认真审题,注意椭圆性质的合理运用.14.已知焦距为8,离心率为0.8,则椭圆的标准方程为,或.考点:椭圆的标准方程.专题:圆锥曲线的定义、性质与方程.分析:由椭圆的焦距是8,离心率0.8,先求出a=5,c=4,b,由此能求出椭圆的标准方程.解答:解:∵椭圆的焦距是8,离心率0.6,∴,解得a=5,c=4,b2=25﹣16=9,∴椭圆的标准方程为,或.故答案为:,或.点评:本题考查椭圆的标准方程的求法,是基础题,解题时要避免丢解.15.点P在椭圆+=1上,F1,F2是椭圆的焦点,若PF1⊥PF2,则点P的坐标是(3,4),(3,﹣4),(﹣3,4),(﹣3,﹣4).考点:椭圆的简单性质.专题:圆锥曲线的定义、性质与方程.分析:由椭圆方程求出椭圆的焦点坐标,根据PF1⊥PF2得=0,与椭圆方程联立解得即可.解答:解:由椭圆+=1,得F1(﹣5,0),F2(5,0)设P(x,y),=0,①即(x+5)(x﹣5)+y2=0因为P在椭圆上,所以+=1,②两式联立可得x=±3,∴P(3,4),P(3,﹣4),P(﹣3,4),P(﹣3,﹣4)故答案为:P(3,4),P(3,﹣4),P(﹣3,4),P(﹣3,﹣4).点评:本题主要考查了椭圆的几何性质,向量的应用.三.解答题(共5小题)16.已知椭圆的中心在坐标原点,焦点在x轴上,离心率为,且过点(1,2),求椭圆的标准方程.考点:椭圆的标准方程.专题:圆锥曲线的定义、性质与方程.分析:先假设椭圆的方程,再利用的椭圆C的离心率为,且过点(1,2),即可求得椭圆C的方程.解答:解:设椭圆方程为,椭圆的半焦距为c,∵椭圆C的离心率为,∴,∴,①∵椭圆过点(1,2),∴②由①②解得:b2=,a2=49∴椭圆C的方程为.点评:本题重点考查椭圆的标准方程,考查椭圆的性质,解题的关键是待定系数法.17.已知中心在原点,长轴在x轴上的椭圆的两焦点间的距离为,若椭圆被直线x+y+1=0截得的弦的中点的横坐标为﹣,求椭圆的方程.考点:椭圆的标准方程.分析:首先,设椭圆的标准方程为:=1 (a>b>0),然后,设出直线与椭圆的两个交点坐标,然后,将这两个交点坐标代入椭圆方程,两个方程相减,得到关于a,b 的一个方程,再结合给定的a,c的关系式,求解即可.解答:解:设椭圆的标准方程为:=1(a>b>0),∵椭圆被直线x+y+1=0截得的弦的中点的横坐标是﹣,∴弦的中点的纵坐标是﹣,设椭圆与直线x+y+1=0的两个交点为P(x1,y1),Q(x2,y2).则有+=1 ①+=1 ②①﹣②,化简得+=0 ③x1+x2=2×(﹣)=﹣,y1+y2=2×()=﹣,且=﹣1,∴由③得a2=2b2,又由题意2c=,有c=,则可求得c2==b2,a2=,∴椭圆的标准方程为:+=1.点评:本题重点考查了椭圆的几何性质、标准方程、直线与椭圆的位置关系等知识,属于中档题,涉及到弦的中点问题,处理思路是“设而不求”的思想.18.已知椭圆的焦点在x轴上,离心率为,且过点P(1,),求该椭圆的方程.考点:椭圆的标准方程.专题:圆锥曲线的定义、性质与方程.分析:设椭圆方程为(a>b>0),由已知得,由此能求出椭圆方程.解答:解:设椭圆方程为(a>b>0),由已知得,解得,b2=1,∴椭圆方程为.点评:本题考查椭圆方程的求法,是基础题,解题时要认真审题,注意椭圆性质的合理运用.19.求适合下列条件的椭圆的标准方程:(1)焦点在x轴上,a=6,e=;(2)焦点在y轴上,c=3,e=.考点:椭圆的标准方程.专题:计算题;圆锥曲线的定义、性质与方程.分析:(1)由离心率公式,求得c,再由a,b,c的关系,求得b,即可得到椭圆方程;(2)由离心率公式,求得a,再由a,b,c的关系,求得b,即可得到椭圆方程.解答:解:(1)a=6,e=,即,解得c=2,b2=a2﹣c2=32,则椭圆的标准方程为:=1;(2)c=3,e=,即,解得,a=5,b2=a2﹣c2=25﹣9=16.则椭圆的标准方程为:=1.点评:本题考查椭圆的性质和方程,考查运算能力,属于基础题.20.已知椭圆两焦点的坐标分别是(﹣2,0),(2,0),并且经过点(2,),求椭圆方程.考点:椭圆的标准方程. 专题:圆锥曲线的定义、性质与方程. 分析:直接根据焦点的坐标设出椭圆的方程,再根据点的坐标求出结果. 解答: 解:椭圆两焦点的坐标分别是(﹣2,0),(2,0),所以:设椭圆的方程为:由于:椭圆经过点(2,), 则:, 且a 2=b 2+4, 则:,解得:.椭圆方程为:.点评:本题考查的知识要点:椭圆方程的求法,属于基础题型.21. 以BC 边为x 轴,BC 线段的中垂线为y 轴建立直角坐标系,则A 点的轨迹是椭圆,其方程为:116y 25x 22=+。
高二数学椭圆试题答案及解析1.已知椭圆:的左焦点,离心率为,函数,(Ⅰ)求椭圆的标准方程;(Ⅱ)设,,过的直线交椭圆于两点,求的最小值,并求此时的的值.【答案】(Ⅰ);(Ⅱ)的最小值为,此时.【解析】(Ⅰ)利用左焦点F(-1,0),离心率为,及求出几何量,即可求椭圆C的标准方程;(Ⅱ)分类讨论,设直线l的方程来:y=k(x-t)代入抛物线方程,利用韦达定理,结合向量的数量积公式,即可求的最小值,并求此时的t的值.试题解析:(Ⅰ),由得,椭圆方程为(Ⅱ)若直线斜率不存在,则=若直线斜率存在,设直线,由得所以故故的最小值为,此时.【考点】直线与圆锥曲线的综合问题.2.设分别是椭圆的左,右焦点.(1)若是椭圆在第一象限上一点,且,求点坐标;(5分)(2)设过定点的直线与椭圆交于不同两点,且为锐角(其中为原点),求直线的斜率的取值范围.(7分)【答案】(1);(2).【解析】(1)设,求点坐标,即要构建关于的两个方程,第一个方程可根据点在曲线上,点的坐标必须适合曲线的方程得到,即有,第二个方程可由通过坐标化得到,即有,联立方程组,可解得点坐标;(2)求直线的斜率的取值范围,即要构建关于的不等式,可通过为锐角,转化为不等关系,进而转化为关于的不等式,解出的取值范围.注意不要忽略,这是解析几何中常犯的错误.试题解析:(1)依题意有,所以,设,则由得:,即,又,解得,因为是椭圆在第一象限上一点,所以. 5分(2)设直线与椭圆交于不同两点的坐标为、,将直线:代入,整理得:(),则,,因为为锐角,所以,从而整理得:,即,解得,且()方程必须满足:,解得,因此有,所以直线的斜率的取值范围为. 12分【考点】1.直线与椭圆的位置关系;2.方程与不等式思想,3.设而不求的思想与等价转化思想.3.双曲线与椭圆的离心率互为倒数,则()A.B.C.D.【答案】B.【解析】由双曲线与椭圆的离心率的定义知,双曲线的离心率和椭圆的离心率分别为、,然后由题意得,即,将其两边平方化简即可得出结论.【考点】双曲线的几何性质;椭圆的几何性质.4.已知双曲线的渐近线方程为,则以它的顶点为焦点,焦点为顶点的椭圆的离心率等于()A.B.C.D.1【答案】A【解析】双曲线的焦点在轴上,又渐近线方程为,可设,则,由题意知在椭圆中,所以该椭圆的离心率等于。
高二数学 椭圆及其标准方程练习题及答案姓名:_________班级:________ 得分:______一、课前练习:1.判断下列各椭圆的焦点位置,并说出焦点坐标、焦距。
(1)14322=+y x (2)1422=+y x (3)1422=+y x 2.求适合下列条件的椭圆标准方程:两个焦点的坐标分别为)0,4(),0,4(-,椭圆上一点P 到两焦点距离的和等于10。
3.方程221||12x y m +=-表示焦点在y 轴的椭圆时,实数m 的取值范围是____________ 二、典例:例1 已知椭圆两个焦点的坐标分别是()2,0-,()2,0,并且经过点53,22⎛⎫-⎪⎝⎭,求它的标准方程.变式练习1:与椭圆x 2+4y 2=16有相同焦点,且过点()6,5-的椭圆方程是 . 例2 如图,在圆224x y +=上任取一点P ,过点P 作x 轴的垂线段PD ,D 为垂足.当点P 在圆上运动时,线段PD 的中点M 的轨迹是什么?例3如图,设A ,B 的坐标分别为()5,0-,()5,0.直线AM ,BM 相交于点M ,且它们的斜率之积为49-,求点M 的轨迹方程.变式练习2:已知定圆x 2+y 2-6x -55=0,动圆M 和已知圆内切且过点P (-3,0),求圆心M 的轨迹及其方程.三、巩固练习:1.平面内有两定点A 、B 及动点P ,设命题甲是:“|PA|+|PB|是定值”,命题乙是:“点P 的轨迹是以A .B 为焦点的椭圆”,那么( )A .甲是乙成立的充分不必要条件B .甲是乙成立的必要不充分条件C .甲是乙成立的充要条件D .甲是乙成立的非充分非必要条件 2.椭圆2255x ky -=的一个焦点是(0,2),那么k 等于( )A. 1-B. 1C. 5D. 53.椭圆191622=+y x 的焦距是 ,焦点坐标为 ;若CD 为过左焦点1F 的弦,则CD F 2∆的周长为4.若方程x 2+ky 2=2表示焦点在y 轴上的椭圆,则实数k 的取值范围为 ( D )A .(0,+∞)B .(0,2)C .(1,+∞)D .(0,1)5.设定点F 1(0,-3)、F 2(0,3),动点P 满足条件)0(921>+=+a aa PF PF ,则点P 的轨迹是 ( A )A .椭圆B .线段C .不存在D .椭圆或线段6.椭圆12222=+b y a x 和k by a x =+2222()0>k 具有 ( A ) A .相同的离心率 B .相同的焦点 C .相同的顶点 D .相同的长、短轴7.已知:△ABC 的一边长BC =6,周长为16,求顶点A 的轨迹方程.答案:课前练习:1.(1)(0,1),(0,-1)焦距:2。
高二数学椭圆试题答案及解析1.若,则方程表示的曲线只可能是()A. B. C. D.【答案】C【解析】由得或依次验证各选项中两图形能否同时成立,如A中若直线成立则,就表示双曲线,验证可得C正确【考点】直线椭圆图像点评:通过观察两图像在坐标系下的位置判定系数是否同时成立,若能同时成立则图像可能正确,考查学生的视图能力,较难2.若抛物线的焦点与椭圆的右焦点重合,则的值为________.【答案】4【解析】易知椭圆的右焦点为,因为抛物线的焦点与椭圆的右焦点重合,所以。
【考点】抛物线的简单性质;椭圆的简单性质。
点评:注意椭圆中关系式与双曲线中的不同。
3.已知椭圆的离心率,它的一个焦点与抛物线的焦点重合,过椭圆右焦点作与坐标轴不垂直的直线,交椭圆于两点.(1)求椭圆标准方程;(2)设点,且,求直线方程.【答案】(1)(2)【解析】本试题主要是考查了椭圆方程的求解,以及直线与椭圆的位置关系的综合运用。
(1)结合抛物线的定义和性质得到参数a,b,c的关系式得到结论。
(2)利用直线与椭圆方程联立方程组,得到二次方程,结合韦达定理和向量的关系式得到直线的求解。
解:(1)抛物线焦点为(2,0)椭圆方程为:………………5分(2)设与联立得设 AB中点………………9分均满足方程:…………14分4.(本小题满分12分)已知直线与椭圆相交于、两点,是线段上的一点,,且点M在直线上,(1)求椭圆的离心率;(2)若椭圆的右焦点关于直线的对称点在单位圆上,求椭圆的方程.【答案】解:设、两点的坐标分别为( I);(II)【解析】本试题主要是考查了椭圆的方程的求解,以及直线与椭圆的位置关系的运用。
(1)结合已知中直线方程与椭圆方程联立,和设出点A,B的坐标,然后得到关于系数a,b的关系式,然后得到椭圆的方程中比例关系,进而研究其性质。
(2)由上可知,椭圆中b,c关系,然后利用对称性,设出点的坐标,借助于坐标关系式得到椭圆的方程。
解:设、两点的坐标分别为( I)由得:…………2分由知是的中点,点的坐标为………………………4分又点在直线上:…………………6分(II)由(1)知,设椭圆的右焦点坐标为,设关于直线的对称点为,则有解得:……………10分由已知,,. ………11分所求的椭圆的方程为……………12分5.已知椭圆上的一点到椭圆一个焦点的距离为,则到另一焦点距离为A.B.C.D.【答案】D【解析】点到椭圆的两个焦点的距离之和为6.已知椭圆的焦点在轴上,点在上,且的离心率,则的方程是()A.B.C.D.【答案】C【解析】的方程是,应选C.7.已知动点到两定点、的距离之和为定值.(1)求的轨迹方程;(2)若倾斜角为的直线经过点,且与的轨迹相交于两点、,求弦长.【答案】(1).(2)的方程是..【解析】(1)由椭圆的定义可得,,∴.即得到P的轨迹方程;(2)写出直线方程与(1)中的椭圆方程联立,利用两点间的距离公式和韦达定理可求得弦长.解:(1)依题意可知的轨迹是以、为焦点的椭圆,设其方程为,则有,,∴,故的轨迹方程是.……7分(2)的方程是.设,,由消去得,故弦长.……14分8.椭圆上有一点P到左焦点的距离是4,则点P到右焦点的距离是A.3B.4C.5D.6【答案】D【解析】解:利用椭圆的定义可知,椭圆上有一点P到左焦点的距离是4,则点P到右焦点的距离是10-4=6,因此选择D.9.如图,已知椭圆的离心率为,且经过点平行于的直线在轴上的截距为,与椭圆有A、B两个不同的交点(Ⅰ)求椭圆的方程;(Ⅱ) 求的取值范围;(III)求证:直线、与轴始终围成一个等腰三角形.【解析】本小题主要考查椭圆的标准方程,直线与椭圆的位置关系,考查转化与化归的思想方法,以及学生的运算能力.解:(Ⅰ)设椭圆方程为………1分离心率为所以,可得由经过点,解得,…………………………3分∴椭圆方程为……………………………4分(Ⅱ)∵直线平行于,且在轴上的截距为又……………………………………………………5分由……………………………………6分∵直线l与椭圆交于A、B两个不同点,(III)设直线MA、MB的斜率分别为k1,k2,只需证明k1+k2=0即可…………9分设则由……………………………………………………10分而故直线MA、MB与x轴始终围成一个等腰三角形.……………………14分10.已知A(m,0),|m|≤2,椭圆,点P在椭圆上运动,求|PA|的最小值.【答案】见解析.【解析】本试题主要研究椭圆上点到定点距离的最值问题。
高二数学椭圆试题1.已知椭圆过和点.(1)求椭圆的方程;(2)设过点的直线与椭圆交于两点,且,求直线的方程.【答案】(1);(2).【解析】(1)由已知将已知两点的坐标代入椭圆G的方程中,可得到关于的方程组,解此方程组就可求得的值,进而就可写出椭圆G的方程.(2)首先注意到由题意可得到直线的斜率存在,且.从而可用斜截式设出直线的方程,代入椭圆G的方程消元得到一个一元二次方程,则此方程一定有两个不同的解,所以,可得到的取值范围;再由,得到,结合韦达定理可用的代数式表示出线段MN的中点的坐标,然后由就可求出的值,从而求得直线的方程.试题解析:(1)因为椭圆过点和点.所以,由,得.所以椭圆的方程为 4分(2)显然直线的斜率存在,且.设直线的方程为.由消去并整理得, 5分由, 7分设,,中点为,得, 8分由,知,所以,即.化简得,满足.所以 12分因此直线的方程为 14分【考点】1.椭圆的的方程;2.直线与椭圆的位置关系.2.已知椭圆的两个焦点分别为,且,点在椭圆上,且的周长为6.(1)求椭圆的方程;(2)若点的坐标为,不过原点的直线与椭圆相交于不同两点,设线段的中点为,且三点共线.设点到直线的距离为,求的取值范围.【答案】(1);(2).【解析】(1)本小题中为焦点三角形,其周长为,又,两式组成方程组从而易求出,即可写出椭圆方程;(2)本小题中直线的方程可设为(其中不存在是不可能的),与椭圆方程联立消y,利用韦达定理与中点坐标公式,可得M点坐标(用k,m表示),当三点共线,则有即可解出k的值,又消y后的方程的可得m的范围,而点到直线的距离可用m表示,利用函数观点可求出的取值范围.试题解析:(1)由已知得,且,解得,又,所以椭圆的方程为.(2)当直线与轴垂直时,由椭圆的对称性可知:点在轴上,且与原点不重合,显然三点不共线,不符合题设条件.所以可设直线的方程为,由消去并整理得:①则,即,设,且,则点,因为三点共线,则,即,而,所以,此时方程①为,且因为,所以.【考点】椭圆的定义及标准方程,性质,直线与椭圆相交问题,设而不解思想,韦达定理,方程与函数思想,化归思想.3.与椭圆有公共焦点,且离心率的双曲线方程是()A.B.C.D.【答案】C【解析】椭圆焦点为,又,则,所以,焦点在x轴上,故选C.【考点】椭圆与双曲线的标准方程与几何性质.4.若点分别为椭圆的中心和左焦点,点为椭圆上的任意一点,则的最大值为()A.B.C.D.【答案】A【解析】因为,设,则又因为,所以因为对称轴,而,因此当时,的最大值为.【考点】二次函数最值5.若椭圆上有个不同的点为右焦点,组成公差的等差数列,则的最大值为()A.199B.200C.99D.100【答案】B【解析】椭圆上的点到右焦点最大距离为:a+c=3,到右焦点最小距离是a-c=1,2=(n-1)d,要使,且n最大,有d=,由此能求出n的最大值.【考点】(1)椭圆的定义;(2)等差数列.6.已知椭圆过点,且离心率.(1)求椭圆的标准方程;(2)若直线与椭圆相交于,两点(不是左右顶点),椭圆的右顶点为,且满足,试判断直线是否过定点,若过定点,求出该定点的坐标;若不过定点,请说明理由.【答案】(1);(2).【解析】(1)本小题通过待定系数法列出两个关于的方程,通过解方程组求出椭圆的方程,包含着二次方的运算需掌握;(2)本小题是直线与椭圆的位置关系的问题,这类题目的常用思路就是联立直线方程和椭圆方程通过消元得到一个一元二次方程,确定判别式的情况,正确书写、利用韦达定理,由,两点(不是左右顶点),椭圆的右顶点为,且满足,根据向量的数量积为零,可得到关于两个根的等式,再利用韦达定理可得关于的等式,从而就可得出相应的结论.试题解析:(1)即∴椭圆方程为 4分又点在椭圆上,解得∴椭圆的方程为 6分(2)设,由得,8分所以,又椭圆的右顶点,,解得 10分,且满足当时,,直线过定点与已知矛盾 12分当时,,直线过定点综上可知,当时,直线过定点,定点坐标为 14分.【考点】1.直线与椭圆的位置关系;2.韦达定理;3.平面向量的数量积;4.过定点的问题;5.直线与椭圆的综合问题.7.已知点分别是椭圆为:的左、右焦点,过点作轴的垂线交椭圆的上半部分于点,过点作直线的垂线交直线于点,若直线与双曲线的一条渐近线平行,则椭圆的离心率为( )A.B.C.D.【答案】C【解析】将点代入:,得,∴,∵过点作直线的垂线交直线于点,,设,得,解得,∴.∵直线与双曲线的一条渐近线平行,∴,即,整理,得,解得,故选C.【考点】1、椭圆的几何性质;2、双曲线的性质.8.椭圆的焦距等于()A.20B.16C.12D.8【答案】B【解析】椭圆中的关系是,,焦距是,题中,所以,所以焦距为16,故选B.【考点】椭圆的几何性质(椭圆的焦距).9.如图,设P是圆x2+y2=25上的动点,点D是P在x轴上的投影,M为PD上一点,且|MD|=|PD|,当P在圆上运动时,求点M的轨迹C的方程。
高二数学椭圆试题答案及解析1.椭圆=1上一点M到左焦点F的距离为2, N是MF的中点,则=( )A.2B.4C.6D.【答案】B【解析】解:∵椭圆方程为,∴椭圆的a=5,长轴2a=10,可得椭圆上任意一点到两个焦点F1、F2距离之和等于10.∴|MF1|+|MF2|=10,∵点M到左焦点F1的距离为2,即|MF1|=2,∴|MF2|=10-2=8,∵△MF1F2中,N、O分别是MF1、F1F2中点,∴|ON|= |MF2|=4.故选B.【考点】三角形中位线定理和椭圆的定义点评:本题考查了三角形中位线定理和椭圆的定义等知识点,考查学生的计算能力,属于基础题2.设分别为椭圆的左、右焦点,点A,B在椭圆上,若,则点A的坐标是()A.B.C.D.【答案】D【解析】设,由椭圆可知点的坐标代入得,将A,B代入椭圆得关于的方程组,解得【考点】椭圆方程及性质,向量运算点评:圆锥曲线题目中出现的向量关系式常化为坐标表示,本题将所求A点设出,利用向量求得B点,两点在椭圆上即可代入3.椭圆的焦点坐标为A.B.C.D.【答案】B【解析】根据题意,由于椭圆的方程中a=5,b=3,则根据,且焦点在x轴上,故焦点坐标为,选B.【考点】椭圆的几何性质点评:解决的关键是利用椭圆的方程得到a,b,c的值,然后借助于性质求解,属于基础题。
4.方程y=ax2+b与y2=ax2-b表示的曲线在同一坐标系中的位置可以是()【答案】D【解析】由y2=ax2-b化为,其表示椭圆,所以b<0,a<0抛物线开口向下,观察可得,D符合,故选D.【考点】本题主要考查由椭圆、抛物线的方程判断图象的方法。
点评:基础题,注意先判断曲线的形状,再分析焦点等位置.5.圆形纸片的圆心为,点是圆内异于点的一定点,点是周围上一点,把纸片折叠使与点重合,然后展平纸片,折痕与交于点,当点运动时点的轨迹是A.圆B.椭圆C.双曲线D.抛物线【答案】B【解析】解:如图所示:由题意可得,CD是线段AQ的中垂线,∴PA=PQ,∴PQ+PO=PA+PO=半径R,即点P到两个定点O、Q的距离之和等于定长R (R>OQ ),由椭圆的定义可得,点P的轨迹为椭圆,故选 B6.椭圆的离心率为()A.B.C.D.【答案】A【解析】.7..(本小题满分14分)已知椭圆的一个焦点与抛物线的焦点重合,且截抛物线的准线所得弦长为,倾斜角为的直线过点.(Ⅰ)求该椭圆的方程;(Ⅱ)设椭圆的另一个焦点为,试求抛物线上一点,使得与关于直线对称,求出点的坐标.【答案】(1);(2)抛物线上存在一点,使得与关于直线对称.【解析】(I)根据抛物线的方程可以求出椭圆的焦点坐标,进而求出c值.再利用抛物线准线被椭圆截得的弦长为,可得交点坐标为,然后代入椭圆方程再结合,解方程组即可.(2)易求出直线l的方程,然后求出焦点F(-1,0)关于直线l的对称点,根据对称点在抛物线上.确定抛物线的方程.解:(1)抛物线的焦点为,准线方程为,……………2分∴①…………………3分又椭圆截抛物线的准线所得弦长为,∴得上交点为,∴②…………………4分由①代入②得,解得或(舍去),从而…………………6分∴该椭圆的方程为该椭圆的方程为…………………7分(2)∵倾斜角为的直线过点,∴直线的方程为,即,…………………8分由(1)知椭圆的另一个焦点为,设与关于直线对称,…9分则得……10分解得,即又满足,故点在抛物线上. …………………12分所以抛物线上存在一点,使得与关于直线对称.……13分8.已知椭圆的长轴长为4,离心率为,分别为其左右焦点.一动圆过点,且与直线相切.(Ⅰ)(ⅰ)求椭圆的方程;(ⅱ)求动圆圆心的轨迹方程;(Ⅱ)在曲线上有两点,椭圆上有两点,满足与共线,与共线,且,求四边形面积的最小值.【答案】(i),(ⅱ). (Ⅱ)四边形PMQN面积的最小值为8.【解析】第一问中,、第二问中,由已知可得动圆圆心轨迹为抛物线,且抛物线的焦点为(1,0),准线方程为,则动圆圆心轨迹方程为.当直线的斜率不存在时,=4, 此时的长即为椭圆长轴长,=4,从而当直线的斜率存在时,设斜率为,则,直线的方程为直线的方程为,设,,,由,消去y可得由抛物线定义可知:解:由已知可得(ⅱ)由已知可得动圆圆心轨迹为抛物线,且抛物线的焦点为(1,0),准线方程x=-1,则动圆圆心轨迹方程为. ------------6分(Ⅱ)当直线的斜率不存在时,=4, 此时的长即为椭圆长轴长,=4,从而…………… 7分当直线的斜率存在时,设斜率为,则,直线的方程为直线的方程为,设,,,由,消去y可得由抛物线定义可知:……………9分由消去y得,令,∵k>0则t>1 ,则因为 , 所以所以四边形PMQN面积的最小值为8 ……………12分9.若焦点在轴上的椭圆的离心率为,则=( )A.B.C.D.【答案】D【解析】解:因为焦点在轴上的椭圆的离心率为,选D10.(14分)已知椭圆C的中心在坐标原点,焦点在轴上,它的一个顶点恰好是抛物线的焦点,离心率为.(1)求椭圆C的标准方程;(2)过椭圆C的右焦点作直线交椭圆C于、两点,交轴于点,若,,求证:.【答案】(1)(2)见解析;【解析】第一问中利用:设椭圆C的方程为(>>)抛物线方程化为,其焦点为,则椭圆C的一个顶点为,即由,∴第二问中,易求出椭圆C的右焦点,设,由题意,显然直线的斜率存在,设直线的方程为,代入方程并整理,得借助于韦达定理和向量关系得到坐标关系,消元法求解得到(1)解:设椭圆C的方程为(>>),……1分抛物线方程化为,其焦点为,………………2分则椭圆C的一个顶点为,即………………3分由,∴,所以椭圆C的标准方程为………………6分(2)证明:易求出椭圆C的右焦点,……………7分设,由题意,显然直线的斜率存在,设直线的方程为,代入方程并整理,得…………9分∴,………………10分又,,,,,而,,即,∴,,……………………12分所以………14分11.已知A(m,0),|m|≤2,椭圆,点P在椭圆上运动,求|PA|的最小值.【答案】见解析.【解析】本试题主要研究椭圆上点到定点距离的最值问题。
高二数学椭圆试题答案及解析1.已知椭圆G:过点,,C、D在该椭圆上,直线CD过原点O,且在线段AB的右下侧.(1)求椭圆G的方程;(2)求四边形ABCD 的面积的最大值.【答案】(1),(2)【解析】(1)求椭圆方程一般方法为待定系数法,将A,B两点坐标代入椭圆方程,联立方程组解得:,(2)四边形可分割成三个三角形,即,其中三角形OAB面积确定,OC=OD,因此可用直线CD斜率表示高及底:设直线CD方程为y = kx,代入椭圆方程得,解得:,,又,,则试题解析:解:(1)将点A(0,5),B(-8,-3)代入椭圆G 的方程解得(2)连结OB,则,其中,分别表示点A,点B 到直线CD 的距离.设直线CD方程为y = kx,代入椭圆方程得,解得:,,又,则.【考点】椭圆方程,直线与椭圆位置关系2.设是椭圆的左、右焦点,为直线上一点,是底角为的等腰三角形,则的离心率为()A.B.C.D.【答案】C【解析】如下图所示,是底角为的等腰三角形,则有所以,所以又因为,所以,,所以所以答案选C.【考点】椭圆的简单几何性质.3.双曲线与椭圆的离心率互为倒数,则()A.B.C.D.【答案】B.【解析】由双曲线与椭圆的离心率的定义知,双曲线的离心率和椭圆的离心率分别为、,然后由题意得,即,将其两边平方化简即可得出结论.【考点】双曲线的几何性质;椭圆的几何性质.4.已知双曲线的渐近线方程为,则以它的顶点为焦点,焦点为顶点的椭圆的离心率等于()A.B.C.D.1【答案】A【解析】双曲线的焦点在轴上,又渐近线方程为,可设,则,由题意知在椭圆中,所以该椭圆的离心率等于。
【考点】(1)椭圆、双曲线离心率的求法;(2)椭圆、双曲线中的三者关系。
5.已知定点A(1,0),B (2,0) .动点M满足,(1)求点M的轨迹C;(2)若过点B的直线l(斜率不等于零)与(1)中的轨迹C交于不同的两点E、F(E在B、F之间),试求△OBE与△OBF面积之比的取值范围.【答案】(1)(2)(,1)【解析】(1)先对原函数求导,然后求出斜率,再利用进行整理即可.(2)先设方程为与联立,结合根与系数的关系以及判别式得到再由得,即可(1)由得, ∴.∴直线的斜率为,故的方程为,∴点A的坐标为(1,0). (2分)设,则(1,0),,,由得,整理,得. (4分)(2)方法一:如图,由题意知的斜率存在且不为零,设方程为①,将①代入,整理,得,设,,则②得(7分)令,则,由此可得,,且.∴由②知,.∴, (10分)∵,∴,解得且 (12分)又∵,∴,∴△OBE与△OBF面积之比的取值范围是(,1). (13分)方法二:如图,由题意知l’的斜率存在且不为零,设l’ 方程为①,将①代入,整理,得,设,,则② ; (7分)令,则,由此可得,,且.∴ (10分)∵, ∴,解得且 (12分)又∵,∴,∴△OBE与△OBF面积之比的取值范围是(,1). (13分)【考点】函数求导;根与系数的关系;斜率公式;不等式的解法.6.已知椭圆的离心率为,以原点为圆心,椭圆的短半轴长为半径的圆与直线相切.(1)求椭圆的方程;(2)若过点(2,0)的直线与椭圆相交于两点,设为椭圆上一点,且满足(为坐标原点),当<时,求实数取值范围.【答案】(1);( Ⅱ).【解析】(1)由题意知,所以.由此能求出椭圆C的方程.(2)由题意知直线AB的斜率存在.设AB:y=k(x-2),A(x1,y1),B(x2,y2),P(x,y),由得(1+2k2)x2-8k2x+8k2-2=0再由根的判别式和嘏达定理进行求解.解:(1)由题意知,所以.即. 2分又因为,所以,.故椭圆的方程为. 4分(2)由题意知直线的斜率存在.设:,,,,由得.,. 6分,.∵,∴,,.∵点在椭圆上,∴,∴. 8分∵<,∴,∴∴,∴,∴. 10分∴,∵,∴,∴或,∴实数t取值范围为.(12分)【考点】1. 椭圆的方程;2.直线与椭圆的方程.7.已知椭圆的中心在原点,焦点在轴上,且长轴长为12,离心率为,则椭圆的方程是() A.B.C.D.【答案】D【解析】依题意可设,其中即,且,所以,从而,所以椭圆的标准方程为,故选D【考点】椭圆的标准方程及其几何意义.8.在椭圆中,左焦点为, 右顶点为, 短轴上方端点为,若,则该椭圆的离心率为___________.【答案】【解析】由题意,得,∴.∵,∴,∴,∴.又∵,∴.【考点】椭圆的离心率.9.在平面直角坐标系中,若,且.(1)求动点的轨迹的方程;(2)已知定点,若斜率为的直线过点并与轨迹交于不同的两点,且对于轨迹上任意一点,都存在,使得成立,试求出满足条件的实数的值.【答案】(1);(2).【解析】(1)设,则,,由可得,结合椭圆的定义可知,动点的轨迹是以为焦点,4为长轴长的椭圆,从而可以确定椭圆标准方程中的参数的取值,进而写出椭圆的方程即可;(2)设,直线:,联立直线的方程与(1)中椭圆的方程,消去得到,进而根据得,且,再计算出,然后由确定的横纵坐标,根据点在轨迹上,将点的坐标代入轨迹的方程并由的任意性,得到即,从中求解,并结合即可得到满足要求的的值.试题解析:(1)设,则,由可得∴动点到两个定点的距离的和为4∴轨迹是以为焦点的椭圆,且长轴长为设该椭圆的方程为则有且,所以所以轨迹的方程为(2)设,直线的方程为,代入消去得由得,且∴设点,由可得∵点在上∴∴又因为的任意性,∴∴,又,得代入检验,满足条件,故的值是.【考点】1.动点的轨迹问题;2.椭圆的定义及其标准方程;3.直线与圆锥曲线的综合问题.10.在平面直角坐标系xOy中,△ABC的顶点B、C的坐标为B(-2,0),C(2,0),直线AB,AC的斜率乘积为,设顶点A的轨迹为曲线E.(1)求曲线E的方程;(2)设曲线E与y轴负半轴的交点为D,过点D作两条互相垂直的直线l1,l2,这两条直线与曲线E的另一个交点分别为M,N.设l1的斜率为k(k≠0),△DMN的面积为S,试求的取值范围.【答案】(1);(2)【解析】(1)由于所求动点A满足直线AB,AC的斜率乘积为,所以直接设A的坐标,代入化简整理即得:,注意到△ABC中三个顶点不能共线,所以需去掉与轴相交的点,(2)要求的取值范围,首先求出函数解析式,由题意确定l1的斜率为k为自变量,因为M 为l1与曲线E的交点,所以列方程组解出点M坐标,从而得出弦长;同理,只需将代k就可得到,因此△DMN的面积S=,所以=,这可以看作关于1+k2的一个分式函数,即,可以利用函数单调性求出其取值范围.试题解析:解(1)设顶点A的坐标为(x,y),则kAB =,kAC= 2分因为kAB ×kAC=,所以,即.(或x2+4y2=4).所以曲线E的方程为. 4分(2)曲线E与y轴负半轴的交点为D(0,-1).因为l1的斜率存在,所以设l1的方程为y=kx-1,代入,得从而 6分用代k得所以△DMN的面积S= 8分则=因为k≠0且,k≠±2,令1+k2=t,则t>1,且,t≠5,从而=因为,且,所以且,从而且,,即∈ 10分.【考点】直接法求轨迹方程,直线与圆锥曲线关系,求函数范围11.椭圆的焦距为2,则m的取值是()A.7B.5C.5或7D.10【答案】C【解析】当时,当时,本题有两个注意点,一是焦距是即二是椭圆交点位置不定,需讨论.【考点】椭圆标准方程基本量12.平面内与两定点、()连线的斜率之积等于非零常数m的点的轨迹,加上、两点所成的曲线C可以是圆、椭圆或双曲线.求曲线C的方程,并讨论C的形状与m 值得关系.【答案】当时,曲线C的方程为,C是焦点在y轴上的椭圆;当时,曲线C的方程为,C是圆心在原点的圆;当时,曲线C的方程为, C是焦点在x轴上的椭圆;当时,曲线C 的方程为,C是焦点在x轴上的双曲线.【解析】设出动点M的坐标,利用斜率乘积求出曲线轨迹方程,然后讨论 m的值,判断曲线是圆、椭圆或双曲线时m的值的情况.试题解析:设动点为M,其坐标为,当时,由条件可得即,又的坐标满足,故依题意,曲线C的方程为. 4分当时,曲线C的方程为,C是焦点在y轴上的椭圆; 6分当时,曲线C的方程为,C是圆心在原点的圆; 8分当时,曲线C的方程为,C是焦点在x轴上的椭圆; 10分当时,曲线C的方程为,C是焦点在x轴上的双曲线. 12分【考点】(1)求轨迹方程;(2)圆锥曲线的综合应用.13.已知椭圆、抛物线的焦点均在轴上,的中心和的顶点均为原点,从每条曲线上取两个点,将其坐标记录如下:、、、.(1)经判断点,在抛物线上,试求出的标准方程;(2)求抛物线的焦点的坐标并求出椭圆的离心率;(3)过的焦点直线与椭圆交不同两点且满足,试求出直线的方程.【答案】(1);(2);(3)或.【解析】(1)先设抛物线,然后将或代入可得,从而确定了的方程,也进一步确定、不在上,只能在上;设:,把点、代入得,求解即可确定的方程;(2)由(1)中所求得的方程不难得到的焦点及椭圆的离心率;(3)先假设所求直线的方程(或,不过此时要先验证直线斜率不存在的情况),然后联立直线与椭圆的方程,消去消去,得,得到,再得到,要使,只须,从中求解即可得到,从而可确定直线的方程.试题解析:(1)设抛物线,则有,而、在抛物线上 2分将坐标代入曲线方程,得 3分设:,把点、代入得解得∴方程为 6分(2)显然,,所以抛物线焦点坐标为由(1)知,,所以椭圆的离心率为 8分(3)法一:直线过抛物线焦点,设直线的方程为,两交点坐标为,由消去,得 10分∴①② 12分由,即,得将①②代入(*)式,得,解得 14分所求的方程为:或 15分法二:容易验证直线的斜率不存在时,不满足题意 9分当直线斜率存在时,直线过抛物线焦点,设其方程为,与的交点坐标为由消掉,得, 10分于是,①即② 12分由,即,得将①、②代入(*)式,得解得 14分故所求的方程为或 15分.【考点】1.抛物线的标准方程及其几何性质;2.椭圆的标准方程及其几何性质;3.直线与圆锥曲线的综合问题.14.椭圆,为上顶点,为左焦点,为右顶点,且右顶点到直线的距离为,则该椭圆的离心率为()A.B.C.D.【答案】C【解析】由F(-c,0),B(0,b),可得直线FB:,利用点到直线的距离公式可得:A(a,0)到直线FB的距离=b,化简解出即可.【考点】椭圆的几何性质.15.已知点分别是椭圆为:的左、右焦点,过点作轴的垂线交椭圆的上半部分于点,过点作直线的垂线交直线于点,若直线与双曲线的一条渐近线平行,则椭圆的离心率为( )A.B.C.D.【答案】C【解析】将点代入:,得,∴,∵过点作直线的垂线交直线于点,,设,得,解得,∴.∵直线与双曲线的一条渐近线平行,∴,即,整理,得,解得,故选C.【考点】1、椭圆的几何性质;2、双曲线的性质.16.已知椭圆上一点到右焦点的距离是1,则点到左焦点的距离是()A.B.C.D.【答案】D【解析】根据椭圆的定义,点P到两个焦点距离和等于2a=即可.【考点】椭圆的定义.17.设是椭圆上一动点,是椭圆的两个焦点,则的最大值为 .【答案】4【解析】在中,设,由余弦定理可知,结合椭圆的性质化简得:;当点位于椭圆的上顶点时,有最大值,且,此时的最大值为4.【考点】椭圆的定义及性质、余弦定理、最值问题.18.椭圆焦点在x轴上,A为该椭圆右顶点,P在椭圆上一点,,则该椭圆的离心率e 的范围是()A.B.C.D.【答案】B【解析】设则.又由于,所以即可得.所以点P在以OA为直径的圆上.及椭圆与该圆有公共点. 消去y得.由于过点A所以有一个根为,另一个根设为,则由韦达定理可得.又因为.所以解得.故选B.【考点】1.线的垂直问题转化到向量垂直问题.2.曲线的公共点转化为方程组的解得问题.3.区间根的问题.19.若椭圆的短轴为,它的一个焦点为,则满足为等边三角形的椭圆的离心率是() A.B.C.D.【答案】B 【解析】由为等边三角形可知,在直角三角形中,,且,所以其离心率.【考点】本题考查的知识点是椭圆的离心率的定义,以及椭圆的几何性质.20. 在给定椭圆中,过焦点且垂直于长轴的弦长为,焦点到相应准线的距离为1,则该椭圆的离心率为( ) A .B .C .D .【答案】B【解析】由题意可知,,联立可得.【考点】椭圆的简单几何性质.21. 已知点P (4, 4),圆C :与椭圆E :有一个公共点A(3,1),F 1、F 2分别是椭圆的左、右焦点,直线PF 1与圆C 相切.(Ⅰ)求m 的值与椭圆E 的方程;(Ⅱ)设Q 为椭圆E 上的一个动点,求的取值范围.【答案】(1)。
高二数学椭圆试题答案及解析1.已知椭圆C的对称中心为原点O,焦点在x轴上,左右焦点分别为和,且||=2,点(1,)在该椭圆上.(Ⅰ)求椭圆C的方程;(Ⅱ)过的直线与椭圆C相交于A,B两点,若A B的面积为,求以为圆心且与直线相切的圆方程.【答案】(1)(2)【解析】解:(Ⅰ)根据题意,由于椭圆C的对称中心为原点O,焦点在x轴上,左右焦点分别为和,且||=2,点(1,)在该椭圆上,2c=2,利用定义可知椭圆C的方程为(Ⅱ)①当直线⊥x轴时,可得A(-1,-),B(-1,),A B的面积为3,不符合题意.②当直线与x轴不垂直时,设直线的方程为y=k(x+1).代入椭圆方程得:,显然>0成立,设A,B,则,,可得|AB|=又圆的半径r=,∴A B的面积=|AB| r==,化简得:17+-18=0,得k=±1,∴r =,圆的方程为【考点】直线与椭圆的位置关系点评:主要是考查了直线与椭圆的位置关系,属于中档题。
2.椭圆=1上一点M到左焦点F的距离为2, N是MF的中点,则=( )A.2B.4C.6D.【答案】B【解析】解:∵椭圆方程为,∴椭圆的a=5,长轴2a=10,可得椭圆上任意一点到两个焦点F1、F2距离之和等于10.∴|MF1|+|MF2|=10,∵点M到左焦点F1的距离为2,即|MF1|=2,∴|MF2|=10-2=8,∵△MF1F2中,N、O分别是MF1、F1F2中点,∴|ON|= |MF2|=4.故选B.【考点】三角形中位线定理和椭圆的定义点评:本题考查了三角形中位线定理和椭圆的定义等知识点,考查学生的计算能力,属于基础题3.过椭圆+=1内一点M(2,1)引一条弦,使弦被M点平分,求此弦所在直线方程。
【答案】x+2y-4=0,【解析】解:设直线与椭圆的交点为A(x1,y1)、B(x2,y2),∵M(2,1)为AB的中点,∴x1+x2=4,y1+y2=2,∵又A、B两点在椭圆上,则x12+4y12=16,x22+4y22=16,两式相减得(x12-x 22)+4(y12-y22)=0,于是(x1+x2)(x1-x2)+4(y1+y2)(y1-y2)=0,故所求直线的方程为y-1=-(x-2),即x+2y-4=0.【考点】直线与椭圆的位置关系点评:本题考查直线与椭圆的位置关系,考查点差法的运用,考查学生的计算能力,属于中档题.4.设分别为椭圆的左、右焦点,点A,B在椭圆上,若,则点A的坐标是()A.B.C.D.【答案】D【解析】设,由椭圆可知点的坐标代入得,将A,B代入椭圆得关于的方程组,解得【考点】椭圆方程及性质,向量运算点评:圆锥曲线题目中出现的向量关系式常化为坐标表示,本题将所求A点设出,利用向量求得B点,两点在椭圆上即可代入5.已知椭圆的离心率为,右焦点为(,0),斜率为1的直线与椭圆G交与A、B两点,以AB为底边作等腰三角形,顶点为P(-3,2).(I)求椭圆G的方程;(II)求的面积.【答案】(I)(II)【解析】(Ⅰ)由已知得解得,又所以椭圆G的方程为(3分)(Ⅱ)设直线l的方程为( 4分)由得 5分设A、B的坐标分别为AB中点为E,则;(7分)因为AB是等腰△PAB的底边,所以PE⊥AB.所以PE的斜率解得m=2。
高二数学椭圆试题答案及解析1.已知椭圆上存在两点、关于直线对称,求的取值范围.【答案】.【解析】解题思路:利用直线与直线垂直,设出直线的方程,联立直线与椭圆方程,消去,整理成关于的一元二次方程,利用中点公式和判别式求出的范围.规律总结:涉及直线与椭圆的位置关系问题,往往采用“设而不求”的方法进行求解..试题解析:设直线方程为,联立得从而则中点是,则解得由有实数解得即于是则的取值范围是.【考点】1.直线与椭圆的位置关系;2.对称问题.2.已知椭圆C:+=1(a>b>0)的离心率是,且点P(1,)在椭圆上.(1)求椭圆的方程;(2)若过点D(0,2)的直线l与椭圆C交于不同的两点E,F,试求△OEF面积的取值范围(O为坐标原点).【答案】(1);(2)【解析】⑴由得,椭圆方程为,又点在椭圆上,所以解得因此椭圆方程为;(2)由题意知直线的斜率存在,设的方程为 ,代入得:,由,解得设,,则,令,则,,所以 .试题解析:⑴,∵∴∴∵点在椭圆上,∴ ∴ ∴(2)由题意知直线的斜率存在,设的方程为 ,代入得:由,解得 设,,则令,所以所以【考点】1.椭圆的方程;2.用代数法研究直线与椭圆相交;3.基本不等式3. 设椭圆C :(a>b>0)的离心率为,过原点O 斜率为1的直线与椭圆C 相交于M ,N 两点,椭圆右焦点F 到直线l 的距离为. (1)求椭圆C 的方程;(2)设P 是椭圆上异于M ,N 外的一点,当直线PM ,PN 的斜率存在且不为零时,记直线PM 的斜率为k 1,直线PN 的斜率为k 2,试探究k 1·k 2是否为定值?若是,求出定值;若不是,说明理由. 【答案】(1);(2) k 1·k 2是为定值-.【解析】(1)由椭圆C : (a>b>0)的离心率为可得,又由椭圆右焦点F(c,0)到直线l 的距离为,由点到直线的距离公式得=,从而求得c 的值,代入求得a 的值;再注意到从而求得b 的值,因此就可写出所求椭圆C 的方程; (2)由过原点O 斜率为1的直线方程为:y=x ,联立椭圆C 与直线L 的方程就可求出M ,N 两点的坐标,再由过两点的直线的斜率公式就可用点P 的坐标表示出k PM ·k PN ,再注意点P 的坐标满足椭圆C 的方程,从而就可求出k 1·k 2=k PM ·k PN 是否与点P 的坐标有关,若与点P 的坐标无关则k 1·k 2的值为定值;否则不为定值.试题解析:(1)设椭圆的焦距为2c(c>0),焦点F(c,0),直线l :x -y =0, F 到l 的距离为=,解得c =2,又∵e ==,∴a =2,∴b =2. ∴椭圆C 的方程为.(2)由解得x =y =,或x =y =-,不妨设M,N,P(x ,y),∴k PM ·k PN =由,即,代入化简得k 1·k 2=k PM ·k PN =-为定值.【考点】1.椭圆的标准方程;2.直线与椭圆的位置关系.4. 已知动点在椭圆上,若点坐标为,,且,则的最小值是( ) A .B .C .D .【答案】B【解析】点为椭圆的右焦点,由于,.当最小时,最小,的最小值为,此时.【考点】椭圆的性质.5. 椭圆的对称中心在坐标原点,一个顶点为,右焦点F 与点 的距离为2。
高二数学椭圆试题答案及解析1.已知椭圆上存在两点、关于直线对称,求的取值范围.【答案】.【解析】解题思路:利用直线与直线垂直,设出直线的方程,联立直线与椭圆方程,消去,整理成关于的一元二次方程,利用中点公式和判别式求出的范围.规律总结:涉及直线与椭圆的位置关系问题,往往采用“设而不求”的方法进行求解..试题解析:设直线方程为,联立得从而则中点是,则解得由有实数解得即于是则的取值范围是.【考点】1.直线与椭圆的位置关系;2.对称问题.2.椭圆的两个焦点F1、F2,点P在椭圆C上,且PF1⊥F1F2,,|PF1|=,|PF2|=.(1)求椭圆C的方程;(2)若直线L过圆(x+2)2+(y-1)2=5的圆心M交椭圆于A、B两点,且A、B关于点M对称,求直线L的方程。
【答案】(1);(2)8x-9y+25=0【解析】(1)由椭圆的定义可知a=3,在Rt△PF1F2中,由勾股定理得c=,从而b2=4, 所以椭圆C的方程为=1;(2) 法一:(韦达定理)设直线l的方程为y=k(x+2)+1,代入椭圆C的方程并化简得(4+9k2)x2+(36k2+18k)x+36k2+36k-27=0.由A,B关于点M对称可得,结合韦达定理可得,所以直线l的方程为8x-9y+25=0.(经检验,符合题意)法二:(点差求斜率)因为A、B关于点M对称,所以x1+ x2=-4, y1+ y2=2,由题意x1x2且A、B的坐标满足椭圆方程,两式相减得直线l的斜率,因此直线l的方程为8x-9y+25=0.(经检验,符合题意.)试题解析:(1)因为点P在椭圆C上,所以,a=3. 在Rt△PF1F2中,故椭圆的半焦距c=,从而b2=a2-c2=4, 所以椭圆C的方程为=1.法一:设A,B的坐标分别为(x1,y1)、(x2,y2),由圆的方程为(x+2)2+(y-1)2=5,所以圆心M的坐标为(-2,1),从而可设直线l的方程为 y=k(x+2)+1,代入椭圆C的方程得(4+9k2)x2+(36k2+18k)x+36k2+36k-27=0.因为A,B关于点M对称. 所以解得,所以直线l的方程为即8x-9y+25=0. (经检验,符合题意)法二:已知圆的方程为(x+2)2+(y-1)2=5,所以圆心M的坐标为(-2,1).设A,B的坐标分别为(x1,y1),(x2,y2).由题意x1x2且①②由①-②得③因为A、B关于点M对称,所以x1+ x2=-4, y1+ y2=2, 代入③得=,即直线l的斜率为,所以直线l的方程为y-1=(x+2),即8x-9y+25=0.(经检验,所求直线方程符合题意.)【考点】1.椭圆的定义与方程;2.直线与椭圆的位置关系3.如图,已知椭圆(a>b>0)的离心率,过点A(0,-b)和B(a,0)的直线与原点的距离为.(1)求椭圆的方程.(2)已知定点E(-1,0),若直线y=kx+2(k≠0)与椭圆交于C、D两点.问:是否存在k 的值,使以CD为直径的圆过E点?请说明理由.【答案】(1);(2).【解析】(1)设椭圆的方程,用待定系数法求出的值;(2)解决直线和椭圆的综合问题时注意:第一步:根据题意设直线方程,有的题设条件已知点,而斜率未知;有的题设条件已知斜率,点不定,可由点斜式设直线方程.第二步:联立方程:把所设直线方程与椭圆的方程联立,消去一个元,得到一个一元二次方程.第三步:求解判别式:计算一元二次方程根.第四步:写出根与系数的关系.第五步:根据题设条件求解问题中结论.试题解析:解:(1)直线AB方程为:bx-ay-ab=0.依题意解得∴椭圆方程为.[(2)假若存在这样的k值,由得.∴①设,、,,则②而.要使以CD为直径的圆过点E(-1,0),当且仅当CE⊥DE时,则,即∴③将②式代入③整理解得.经验证,,使①成立.综上可知,存在,使得以CD为直径的圆过点E.【考点】(1)椭圆的标准方程;(2)直线与椭圆的综合问题.4.如图,矩形ABCD中,|AB|=4,|BC|=2,E,F,M,N分别是矩形四条边的中点,G,H分别是线段ON,CN的中点.(1)证明:直线EG与FH的交点L在椭圆W:上;(2)设直线l:与椭圆W:有两个不同的交点P,Q,直线l与矩形ABCD有两个不同的交点S,T,求的最大值及取得最大值时m的值.【答案】(1)证明见解析;(2)时,取最大值.【解析】解题思路:(1)由点写出直线方程,联立直线方程得到交点坐标,,验证点满足椭圆方程;(2)联立直线与椭圆的方程,常用“设而不求”的方法,求弦长,进而求所求比值,常用换元法求最值.规律总结:直线与圆锥曲线的位置关系问题,一般综合性强.一般思路是联立直线与圆锥曲线的方程,整理得关于的一元二次方程,常用“设而不求”的方法进行求解.试题解析:(1)点,,,,则直线EG:,直线FH:,则直线EG与FH的交点,因为,故直线EG与FH的交点L在椭圆W:上.(2)联立方程组消去y,得,设,,则,,由,且得.,由于时,直线l与矩形ABCD的边AB、CD相交,所以,则,所以时,取最大值.【考点】直线与椭圆的位置关系.5.椭圆的两个焦点分别是,若上的点满足,则椭圆的离心率的取值范围是()A.B.C.D.或【答案】C.【解析】设椭圆的方程为,,分别为其左右焦点,由椭圆的第二定义或焦半径公式知,.由得,即,再由即可求出离心率的取值范围.【考点】椭圆的几何性质;椭圆的第二定义.6.(本小题满分12分,(1)小问4分,(2)小问8分)已知为椭圆上两动点,分别为其左右焦点,直线过点,且不垂直于轴,的周长为,且椭圆的短轴长为.(1)求椭圆的标准方程;(2)已知点为椭圆的左端点,连接并延长交直线于点.求证:直线过定点.【答案】(1);(2)证明详见解析.【解析】(1)结合图形及椭圆的定义先得到的周长为,进而根据条件列出方程组,从中求解即可得出的值,进而可写出椭圆的方程;(2)由(1)确定,进而设点,设直线,联立直线与椭圆的方程,解出点,设直线,可得,进而根据三点共线得出,将点的坐标代入并化简得到,进而求出点的坐标,,然后写出直线的方程并化简得到,从该直线方程不难得到该直线恒通过定点,问题得证.(1)依题意有:的周长为所以,则椭圆的方程为 4分(2)由椭圆方程可知,点设直线,由得,从而,,即点同理设直线,可得 7分由三点共线可得,即,代入两点坐标化简可得9分直线,可得点,即从而直线的方程为化简得,即,从而直线过定点 12分.【考点】1.椭圆的标准方程及其几何性质;2.直线与椭圆的位置关系.7.已知椭圆的离心率为,以原点为圆心,椭圆的短半轴长为半径的圆与直线相切.(1)求椭圆的方程;(2)若过点(2,0)的直线与椭圆相交于两点,设为椭圆上一点,且满足(为坐标原点),当<时,求实数取值范围.【答案】(1);( Ⅱ).【解析】(1)由题意知,所以.由此能求出椭圆C的方程.(2)由题意知直线AB的斜率存在.设AB:y=k(x-2),A(x1,y1),B(x2,y2),P(x,y),由得(1+2k2)x2-8k2x+8k2-2=0再由根的判别式和嘏达定理进行求解.解:(1)由题意知,所以.即. 2分又因为,所以,.故椭圆的方程为. 4分(2)由题意知直线的斜率存在.设:,,,,由得.,. 6分,.∵,∴,,.∵点在椭圆上,∴,∴. 8分∵<,∴,∴∴,∴,∴. 10分∴,∵,∴,∴或,∴实数t取值范围为.(12分)【考点】1. 椭圆的方程;2.直线与椭圆的方程.8.过点作倾斜角为的直线与曲线C交于不同的两点,求的取值范围.【答案】.【解析】设出直线的参数方程表示出,利用判别式求解.设直线的参数方程为,代入曲线C的方程并整理得,设两点所对应的参数分别为,则则,由得或所以的取值范围是.【考点】直线与圆锥曲线的综合性问题.9.椭圆的左、右顶点分别为,点在上且直线的斜率的取值范围是,那么直线斜率的取值范围是()A.B.C.D.【答案】B【解析】由椭圆可知其左顶点A1(-2,0),右顶点A2(2,0).设P(x,y)(x≠±2),代入椭圆方程可得.利用斜率计算公式可得,再利用已知给出的的范围即可解出.【考点】椭圆的性质.10.若点分别为椭圆的中心和左焦点,点为椭圆上的任意一点,则的最大值为()A.B.C.D.【答案】A【解析】因为,设,则又因为,所以因为对称轴,而,因此当时,的最大值为.【考点】二次函数最值11.如果方程表示双曲线,那么下列椭圆中,与这个双曲线共焦点的是()A.B.C.D.【答案】D【解析】由方程表示双曲线,可得c=,判断出A,C不表示椭圆,再求出B,D中的c,即可得出结论.【考点】双曲线与椭圆的标准方程.12.椭圆的焦点分别为和,点在椭圆上,如果线段的中点在轴上,那么。
dAllthingstheirbeingaregoodforso高二数学椭圆试题一:选择题1.已知方程表示焦点在x轴上的椭圆,则m的取值范围是( ) A.m>2或m<﹣1B.m>﹣2C.﹣1<m<2D.m>2或﹣2<m<﹣1解:椭圆的焦点在x轴上∴m2>2+m,即m2﹣2﹣m>0解得m>2或m<﹣1又∵2+m>0∴m>﹣2∴m的取值范围:m>2或﹣2<m<﹣1故选D2.已知椭圆,长轴在y轴上、若焦距为4,则m等于( ) A.4B.5C.7D.8解:将椭圆的方程转化为标准形式为,显然m﹣2>10﹣m,即m>6,,解得m=8故选D3.椭圆(1﹣m)x2﹣my2=1的长轴长是( ) A.B.C.D.解:由椭圆(1﹣m)x2﹣my2=1,化成标准方程:由于an dAl l th i n gn th e i r be i ng a r e g o o d f o r ,∴椭圆(1﹣m )x 2﹣my 2=1的长轴长是2a=2=.故选B .4.已知点F 1、F 2分别是椭圆+=1(k >﹣1)的左、右焦点,弦AB 过点F 1,若△ABF 2的周长为8,则椭圆的离心率为( ) A .B .C .D.解:由椭圆定义有4a=8∴a=2,所以k+2=a 2=4∴k=2.从而b 2=k+1=3,c 2=a 2﹣b 2=1,所以,故选A5.已知△ABC 的周长为20,且顶点B (0,﹣4),C (0,4),则顶点A 的轨迹方程是( ) A .(x ≠0)B .(x ≠0) C .(x ≠0)D .(x ≠0)解:∵△ABC 的周长为20,顶点B (0,﹣4),C (0,4),∴BC=8,AB+AC=20﹣8=12,∵12>8∴点A 到两个定点的距离之和等于定值,∴点A 的轨迹是椭圆,∵a=6,c=4∴b 2=20,∴椭圆的方程是故选B .6.方程=10,化简的结果是( )andAllthinintheirbeingaegoodforso A.B.C.D.解:根据两点间的距离公式可得:表示点P(x,y)与点F1(2,0)的距离,表示点P(x,y)与点F2(﹣2,0)的距离,所以原等式化简为|PF1|+|PF2|=10,因为|F1F2|=2<10,所以由椭圆的定义可得:点P的轨迹是椭圆,并且a=5,c=2,所以b2=21.所以椭圆的方程为:.故选D.7.设θ是三角形的一个内角,且,则方程x2sinθ﹣y2cosθ=1表示的曲线是( ) A.焦点在x轴上的双曲线B.焦点在x轴上的椭圆 C.焦点在y轴上的双曲线D.焦点在y轴上的椭圆解:因为θ∈(0,π),且sinθ+cosθ=,所以,θ∈(,π),且|sinθ|>|cosθ|,所以θ∈(,),从而cosθ<0,从而x2sinθ﹣y2cosθ=1表示焦点在y轴上的椭圆.故选D.8.设椭圆的两个焦点分别为F1、、F2,过F2作椭圆长轴的垂线交椭圆于点P,若△F1PF2为等腰直角三角形,则椭圆的离心率是( ) A.B.C.D.解:设点P在x轴上方,坐标为,∵△F1PF2为等腰直角三角形∴|PF2|=|F1F2|,即,即故椭圆的离心率e=an dAl l th i n gs i n th ei r be i n r ego o d f o r s o 故选D 9.从椭圆上一点P 向x 轴作垂线,垂足恰为左焦点F 1,A 是椭圆与x 轴正半轴的交点,B 是椭圆与y 轴正半轴的交点,且AB ∥OP (O 是坐标原点),则该椭圆的离心率是( ) A .B .C .D .解:依题意,设P (﹣c ,y 0)(y 0>0),则+=1,∴y 0=,∴P (﹣c ,),又A (a ,0),B (0,b ),AB ∥OP ,∴k AB =k OP ,即==,∴b=c .设该椭圆的离心率为e ,则e 2====,∴椭圆的离心率e=.故选C .10.若点O 和点F 分别为椭圆的中心和左焦点,点P 为椭圆上的任意一点,则的最大值为( ) A .2B .3C .6D .8解:由题意,F (﹣1,0),设点P (x 0,y 0),则有,解得,因为,,andtheirbeingaregors 所以==,此二次函数对应的抛物线的对称轴为x0=﹣2,因为﹣2≤x0≤2,所以当x0=2时,取得最大值,故选C.11.如图,点F为椭圆=1(a>b>0)的一个焦点,若椭圆上存在一点P,满足以椭圆短轴为直径的圆与线段PF相切于线段PF的中点,则该椭圆的离心率为( ) A.B.C.D.解:设线段PF的中点为M,另一个焦点F′,由题意知,OM=b,又OM是△FPF′的中位线,∴OM=PF′=b,PF′=2b,由椭圆的定义知PF=2a﹣PF′=2a﹣2b,又MF=PF=(2a﹣2b)=a﹣b,又OF=c,直角三角形OMF中,由勾股定理得:(a﹣b)2+b2=c2,又a2﹣b2=c2,可求得离心率e==,故答案选B.12.椭圆顶点A(a,0),B(0,b),若右焦点F到直线AB的距离等于,则椭圆的离心率e=( ) A.B.C.D.n dAl l th i n g s i n t h ei r br eg o o d f o r 解:由题意可得直线AB 的方程为即bx+ay ﹣ab=0,F (c ,0)∴F (c ,0)到直线AB 的距离d==,|AF|=a ﹣c则∴a 2=3b 2∴a 2=3a 2﹣3c 2即3c 2=2a 2∴=故选B13.已知椭圆+=1(a >b >0)的左、右焦点为F 1,F 2,P 为椭圆上的一点,且|PF 1||PF 2|的最大值的取值范围是[2c 2,3c 2],其中c=.则椭圆的离心率的取值范围为( ) A.[,]B .[,1)C .[,1)D.[,]解:∵|PF 1|•|PF 2|的最大值=a 2,∴由题意知2c 2≤a 2≤3c 2,∴,∴.故椭圆m 的离心率e 的取值范围.故选A .an dAl l th i n h ei r ba r e g o o d o 14.在椭圆中,F 1,F 2分别是其左右焦点,若|PF 1|=2|PF 2|,则该椭圆离心率的取值范围是( ) A .B .C .D .解:根据椭圆定义|PF 1|+|PF 2|=2a ,将设|PF 1|=2|PF 2|代入得,根据椭圆的几何性质,|PF 2|≥a ﹣c ,故,即a ≤3c,故,即,又e <1,故该椭圆离心率的取值范围是.故选B .二:填空题15.已知F 1、F 2是椭圆C :(a >b >0)的两个焦点,P 为椭圆C 上一点,且.若△PF 1F 2的面积为9,则b= 3 .解:由题意知△PF 1F 2的面积=,∴b=3,故答案为3.16.若方程表示焦点在y 轴上的椭圆,则k 的取值范围是 4<k <7 .解:∵+=1表示焦点在y 轴上的椭圆,∴k ﹣1>7﹣k >0.∴4<k <7.故k 的取值范围是4<k <7.故答案为:4<k <7.17.已知椭圆的焦距为2,则实数t= 2,3,6 .解:当t 2>5t >0即t >5时,a 2=t 2,b 2=5th i n gs ing o o d f o r s o 此时c 2=t 2﹣5t=6解可得,t=6或t=﹣1(舍)当0<t 2<5t 即0<t <5时,a 2=5t ,b 2=t 2此时c 2=a 2﹣b 2=5t ﹣t 2=6解可得,t=2或t=3综上可得,t=2或t=3或t=6故答案为:2,3,618.在平面直角坐标系xOy 中,已知△ABC 顶点A (﹣4,0)和C (4,0),顶点B 在椭圆上,则= .解:利用椭圆定义得a+c=2×5=10b=2×4=8由正弦定理得=故答案为19.在平面直角坐标系xOy 中,椭圆的焦距为2c ,以O 为圆心,a为半径作圆M ,若过作圆M 的两条切线相互垂直,则椭圆的离心率为 .解:设切线PA 、PB 互相垂直,又半径OA 垂直于PA ,所以△OAP 是等腰直角三角形,故,解得,故答案为.th i n g s i n t h e i r be i n g a r e r s 20.若椭圆的焦点在x 轴上,过点(1,)做圆x 2+y 2=1的切线,切点分别为A ,B ,直线AB 恰好经过椭圆的右焦点和上顶点,则椭圆的方程是 .解:设切点坐标为(m ,n )则即∵m 2+n 2=1∴m 即AB 的直线方程为2x+y ﹣2=0∵线AB 恰好经过椭圆的右焦点和上顶点∴2c ﹣2=0;b ﹣2=0解得c=1,b=2所以a 2=5故椭圆方程为故答案为三:解答题21.已知F 1,F 2为椭圆的左、右焦点,P 是椭圆上一点.(1)求|PF 1|•|PF 2|的最大值;(2)若∠F 1PF 2=60°且△F 1PF 2的面积为,求b 的值.解:(1)∵P 点在椭圆上,∴|PF 1|+|PF 2|=|2a=20,llthinaregoodforso ∵|PF1|>0,|PF2|>0,∴|PF1|•|PF2|≤=100,∴|PF1|•|PF2|有最大值100.(2)∵a=10,|F1F2|=2c.设|PF1|=t1,|PF2|=t2,则根据椭圆的定义可得:t1+t2=20①,在△F1PF2中,∠F1PF2=60°,所以根据余弦定理可得:t12+t22﹣2t1t2•cos60°=4c2②,由①2﹣②得3t1•t2=400﹣4c2,所以由正弦定理可得:=.所以c=6,∴b=8.22.如图,F1、F2分别是椭圆C:(a>b>0)的左、右焦点,A是椭圆C的顶点,B是直线AF2与椭圆C的另一个交点,∠F1AF2=60°.(Ⅰ)求椭圆C的离心率;(Ⅱ)已知△AF1B的面积为40,求a,b 的值.解:(Ⅰ)∠F1AF2=60°⇔a=2c⇔e==.(Ⅱ)设|BF2|=m,则|BF1|=2a﹣m,在三角形BF1F2中,|BF1|2=|BF2|2+|F1F2|2﹣2|BF2||F1F2|cos120°⇔(2a﹣m)2=m2+a2+am.⇔m=.△AF1B面积S=|BA||F1F2|sin60°⇔=40n th i n gs i n th ei r be i ng ar e g o⇔a=10,∴c=5,b=5.23.已知中心在坐标原点O 的椭圆C 经过点A (2,3),且点F (2,0)为其右焦点.(1)求椭圆C 的方程;(2)是否存在平行于OA 的直线l ,使得直线l 与椭圆C 有公共点,且直线OA 与l 的距离等于4?若存在,求出直线l 的方程;若不存在,说明理由.解:(1)依题意,可设椭圆C 的方程为(a >0,b >0),且可知左焦点为F (﹣2,0),从而有,解得c=2,a=4,又a 2=b 2+c 2,所以b 2=12,故椭圆C 的方程为.(2)假设存在符合题意的直线l ,其方程为y=x+t ,由得3x 2+3tx+t 2﹣12=0,因为直线l 与椭圆有公共点,所以有△=(3t )2﹣4×3(t 2﹣12)≥0,解得﹣4≤t ≤4,另一方面,由直线OA 与l 的距离4=,从而t=±2,由于±2∉[﹣4,4],所以符合题意的直线l 不存在.24.设F 1,F 2分别是椭圆的左、右焦点,过F 1斜率为1的直线ℓ与E 相交于A ,B 两点,且|AF 2|,|AB|,|BF 2|成等差数列.(1)求E 的离心率;(2)设点P (0,﹣1)满足|PA|=|PB|,求E 的方程n d Al l th i n gs in t h e i r b e i ng ar s o 解:(I )由椭圆定义知|AF 2|+|BF 2|+|AB|=4a ,又2|AB|=|AF 2|+|BF 2|,得l 的方程为y=x+c ,其中.设A (x 1,y 1),B (x 2,y 2),则A 、B 两点坐标满足方程组化简的(a 2+b 2)x 2+2a 2cx+a 2(c 2﹣b 2)=0则因为直线AB 斜率为1,得,故a 2=2b 2所以E 的离心率(II )设AB 的中点为N (x 0,y 0),由(I )知,.由|PA|=|PB|,得k PN =﹣1,即得c=3,从而故椭圆E 的方程为.25.设椭圆的左焦点为F ,离心率为,过点F 且与x 轴垂直的直线被椭圆截得的线段长为.(Ⅰ) 求椭圆的方程;(Ⅱ) 设A ,B 分别为椭圆的左,右顶点,过点F 且斜率为k 的直线与椭圆交于C ,D 两点.若,求k 的值.解:(I )根据椭圆方程为.l l th i n gs i n th e i r b eg o o d f o rs o ∵过焦点且垂直于长轴的直线被椭圆截得的线段长为,∴=,∵离心率为,∴=,解得b=,c=1,a=.∴椭圆的方程为;(II )直线CD :y=k (x+1),设C (x 1,y 1),D (x 2,y 2),由消去y 得,(2+3k 2)x 2+6kx+3k 2﹣6=0,∴x 1+x 2=﹣,x 1x 2=,又A (﹣,0),B (,0),∴=(x 1﹣,y 1)•(﹣x 2.﹣y 2)+(x 2+,y 2)•(﹣x 1.﹣y 1)=6﹣(2+2k 2)x 1x 2﹣2k 2(x 1+x 2)﹣2k 2,=6+=8,解得k=.26.设椭圆E :,O 为坐标原点(Ⅰ)求椭圆E 的方程;(Ⅱ)是否存在圆心在原点的圆,使得该圆的任意一条切线与椭圆E 恒在两个交点A ,B且?若存在,写出该圆的方程,关求|AB|的取值范围;若不存在,说明理由.解:(1)因为椭圆E :(a ,b >0)过M (2,),N (,1)两点,所以解得l l th i n gs in t h ei r be i n g a r e g o o df o r s o所以椭圆E 的方程为(2)假设存在圆心在原点的圆,使得该圆的任意一条切线与椭圆E 恒有两个交点A ,B ,且,设该圆的切线方程为y=kx+m 解方程组得x 2+2(kx+m )2=8,即(1+2k 2)x 2+4kmx+2m 2﹣8=0,则△=16k 2m 2﹣4(1+2k 2)(2m 2﹣8)=8(8k 2﹣m 2+4)>0,即8k 2﹣m 2+4>0,要使,需使x 1x 2+y 1y 2=0,即,所以3m 2﹣8k 2﹣8=0,所以又8k 2﹣m 2+4>0,所以,所以,即或,因为直线y=kx+m 为圆心在原点的圆的一条切线,所以圆的半径为,,,所求的圆为,此时圆的切线y=kx+m 都满足或,dA l l t h i n g s i n th e i r be i n g 而当切线的斜率不存在时切线为与椭圆的两个交点为或存在圆心在原点的圆,使得该圆的任意一条切线与椭圆E 恒有两个交点A ,B ,且.因为,所以,①当k ≠0时因为所以,所以,所以当且仅当时取”=”.2当k=0时,27.已知直线x ﹣2y+2=0经过椭圆的左顶点A 和上顶点D ,椭圆C 的右顶点为B ,点S 是椭圆C 上位于x 轴上方的动点,直线AS ,BS 与直线分别交于M ,N 两点.(1)求椭圆C 的方程;(2)求线段MN 的长度的最小值;(3)当线段MN 的长度最小时,在椭圆C 上是否存在这样的点T ,使得△TSB 的面积为?若存在,确定点T 的个数,若不存在,说明理由.e an dAl l t h i n gs in t h ei r be i n g a r eg oo d f o rs 解:(1)由已知得,椭圆C 的左顶点为A (﹣2,0),上顶点为D (0,1),∴a=2,b=1故椭圆C 的方程为(4分)(2)依题意,直线AS 的斜率k 存在,且k >0,故可设直线AS 的方程为y=k (x+2),从而,由得(1+4k 2)x 2+16k 2x+16k 2﹣4=0设S (x 1,y 1),则得,从而即,(6分)又B (2,0)由得,∴,(8分)故又k >0,∴当且仅当,即时等号成立.∴时,线段MN 的长度取最小值(10分)(2)另解:设S (x s ,y S ),依题意,A ,S ,M 三点共线,且所在直线斜率存在,n d A l l th i n gs in th ei r b 由k AM =k AS ,可得同理可得:又所以,=不仿设y M >0,y N <0当且仅当y M =﹣y N 时取等号,即时,线段MN 的长度取最小值.(3)由(2)可知,当MN 取最小值时,此时BS 的方程为,∴(11分)要使椭圆C 上存在点T ,使得△TSB 的面积等于,只须T 到直线BS 的距离等于,所以T 在平行于BS 且与BS 距离等于的直线l'上.设直线l':x+y+t=0,则由,解得或.又因为T 为直线l'与椭圆C 的交点,所以经检验得,此时点T 有两个满足条件.(14分)。
高二数学椭圆试题答案及解析1.已知椭圆C:的离心率为.双曲线的渐近线与椭圆C有四个交点,以这四个交点为顶点的四边形的面积为16,则椭圆C的方程为()A.B.C.D.【答案】D【解析】由椭圆C:的离心率为,得,从而,所以椭圆C的方程可写为:,又因为双曲线的渐近线方程为:与椭圆C的四个交点坐标分别为:,从而以这四个交点为顶点的四边形的面积为,从而,所以椭圆C的方程为,故选D.【考点】椭圆的方程.2.已知椭圆的离心率为.(1)若原点到直线的距离为,求椭圆的方程;(2)设过椭圆的右焦点且倾斜角为的直线和椭圆交于A,B两点.当,求b的值;【答案】(1);(2)1.【解析】解题思路:(1)利用点到直线的距离公式求出b值,利用离心率以及求得椭圆方程;(2)联立直线与椭圆的方程,整理得到关于的一元二次方程,利用弦长公式求值.规律总结:圆锥曲线的问题一般都有这样的特点:第一小题是基本的求方程问题,一般简单的利用定义和性质即可;后面几个小题一般来说综合性较强,用到的内容较多,大多数需要整体把握问题并且一般来说计算量很大,学生遇到这种问题就很棘手,有放弃的想法所以处理这类问题一定要有耐心.试题解析:(1),., 解得.所以椭圆的方程为.(2),,椭圆的方程可化为:①易知右焦点,据题意有AB:②由①,②有:③设,.【考点】1.椭圆的标准方程;2.直线与椭圆的位置关系.3.从椭圆短轴的一个端点看长轴的两个端点的视角为,那么此椭圆的离心率为()A.B.C.D.【答案】D.【解析】由题意:,又.【考点】椭圆离心率计算.4.已知椭圆:,过点的直线与椭圆交于、两点,若点恰为线段的中点,则直线的方程为。
【答案】【解析】设,则有,以上两式相减得,整理可得,因为是的中点,所以,所以,因为直线过点,则直线方程为,即。
【考点】中点弦问题。
5.已知椭圆:经过点,其离心率.(1)求椭圆的方程;(2)过坐标原点作不与坐标轴重合的直线交椭圆于两点,过作轴的垂线,垂足为,连接并延长交椭圆于点,试判断随着的转动,直线与的斜率的乘积是否为定值?说明理由.【答案】(1);(2)直线与的斜率的乘积是定值.【解析】(1)由椭圆的离心率可得,又点满足方程可得,可解得,,所以知椭圆的方程;(2)设直线方程是,,,可得,,可得直线方程是,与椭圆方程联立,由韦达定理代入最终可化为.解:(1)∵,∴,,∵点在椭圆上,∴,解得,,∴椭圆的方程是;(2)设直线方程是,,,则,,直线的斜率是,直线方程是,由,得,则,∴,直线与的斜率的乘积是定值.【考点】1.椭圆的标准方程与几何性质;2.直线与椭圆;6.如果方程表示双曲线,那么下列椭圆中,与这个双曲线共焦点的是()A.B.C.D.【答案】D【解析】由方程表示双曲线,可得c=,判断出A,C不表示椭圆,再求出B,D中的c,即可得出结论.【考点】双曲线与椭圆的标准方程.7.椭圆的焦点分别为和,点在椭圆上,如果线段的中点在轴上,那么。
高二数学椭圆试题答案及解析1.已知椭圆上存在两点、关于直线对称,求的取值范围.【答案】.【解析】解题思路:利用直线与直线垂直,设出直线的方程,联立直线与椭圆方程,消去,整理成关于的一元二次方程,利用中点公式和判别式求出的范围.规律总结:涉及直线与椭圆的位置关系问题,往往采用“设而不求”的方法进行求解..试题解析:设直线方程为,联立得从而则中点是,则解得由有实数解得即于是则的取值范围是.【考点】1.直线与椭圆的位置关系;2.对称问题.2.已知椭圆:的离心率为,一条准线.(1)求椭圆的方程;(2)设为坐标原点,是上的点,为椭圆的右焦点,过点作的垂线与以为直径的圆交于两点.①若=,求圆的方程;②若是上的动点,求证:点在定圆上,并求该定圆的方程.【答案】(1);(2)或;(3)点在定圆上【解析】(1)设椭圆的方程,用待定系数法求出的值;(2)根据圆的圆心坐标和半径求圆的标准方程.(3)直线和圆相交,根据半径,弦长的一半,圆心距求弦长,圆的弦长的常用求法:(1)几何法:求圆的半径,弦心距,弦长,则(2)代数方法:运用根与系数的关系及弦长公式.(4)与圆有关的探索问题:第一步:假设符合条件的结论存在;第二步:从假设出发,利用直线与圆的位置关系求解;第三步,确定符合要求的结论存在或不存在;第四步:给出明确结果;第五步:反思回顾,查看关键点.试题解析:解:(1)由题意可知:,解得,所以椭圆的方程为由①知:,设,则圆的方程:直线的方程:所以圆的方程:或②证明:设,由①知,化简得消去得:所以点在定圆上.【考点】(1)椭圆的标准方程;(2)圆的标准方程;(3)与圆有关的探索问题.3.已知双曲线的渐近线方程为,则以它的顶点为焦点,焦点为顶点的椭圆的离心率等于()A.B.C.D.1【答案】A【解析】双曲线的焦点在轴上,又渐近线方程为,可设,则,由题意知在椭圆中,所以该椭圆的离心率等于。
【考点】(1)椭圆、双曲线离心率的求法;(2)椭圆、双曲线中的三者关系。
高二数学椭圆试题(有答案)一:选择题1.已知方程 $\frac{x^2}{a^2}+\frac{y^2}{b^2}=1$ 表示焦点在x轴上的椭圆,则m的取值范围是()A.m>2或m<﹣1B.m>﹣2C.﹣1<m<2D.m>2或﹣2<m<﹣1解:椭圆的焦点在x轴上,所以 $a^2>b^2$,即$\frac{b^2}{a^2}<1$。
根据焦点公式可得 $c=\sqrt{a^2-b^2}$,又因为焦点在x 轴上,所以 $c=a$。
所以 $a=b$,代入椭圆方程可得$\frac{x^2}{a^2}+\frac{y^2}{a^2}=1$。
解得 $m^2-2m>0$,即 $m2$。
所以 m 的取值范围为 $m>2$ 或 $-2<m<-1$,故选D。
2.已知椭圆 $\frac{x^2}{4}+\frac{y^2}{m-2}=1$,长轴在y 轴上、若焦距为4,则m等于()A.4B.5C.7D.8解:因为椭圆的长轴在y轴上,所以 $a^2=4$。
又因为焦距为4,所以 $c=2$。
根据焦点公式可得 $b^2=a^2(c^2-a^2)=12$。
代入椭圆方程可得 $\frac{x^2}{4}+\frac{y^2}{2}=1$,解得 $m=8$,故选D。
3.椭圆 $(1-m)x^2-my^2=1$ 的长轴长是()A.$\sqrt{2}$B.$\sqrt{3}$C.$\sqrt{5}$D.$\sqrt{6}$解:将椭圆的方程化为标准形式 $\frac{x^2}{\frac{1}{1-m}}+\frac{y^2}{\frac{1}{m}}=1$。
因为长轴长为 $2a$,所以 $2a=2$,解得长轴长为$\sqrt{2}$,故选A。
4.已知点 $F_1$、$F_2$ 分别是椭圆$\frac{x^2}{a^2}+\frac{y^2}{b^2}=1$($k>﹣1$)的左、右焦点,弦AB过点 $F_1$,若△ABF2的周长为8,则椭圆的离心率为()A.$\frac{1}{2}$B.$\frac{\sqrt{2}}{2}$C.$\frac{\sqrt{3}}{2}$D.$\frac{\sqrt{5}}{2}$解:因为弦AB过点 $F_1$,所以 $AB=2a$。
高二数学椭圆试题1.已知椭圆的一个焦点为F(0,1),离心率,则该椭圆的标准方程为A.B.C.D.【答案】A【解析】由题意得,椭圆的焦点在轴上,标准方程为,且,,即椭圆的标准方程为.【考点】椭圆的标准方程.2.(本小题满分12分,(1)小问4分,(2)小问8分)已知为椭圆上两动点,分别为其左右焦点,直线过点,且不垂直于轴,的周长为,且椭圆的短轴长为.(1)求椭圆的标准方程;(2)已知点为椭圆的左端点,连接并延长交直线于点.求证:直线过定点.【答案】(1);(2)证明详见解析.【解析】(1)结合图形及椭圆的定义先得到的周长为,进而根据条件列出方程组,从中求解即可得出的值,进而可写出椭圆的方程;(2)由(1)确定,进而设点,设直线,联立直线与椭圆的方程,解出点,设直线,可得,进而根据三点共线得出,将点的坐标代入并化简得到,进而求出点的坐标,,然后写出直线的方程并化简得到,从该直线方程不难得到该直线恒通过定点,问题得证.(1)依题意有:的周长为所以,则椭圆的方程为 4分(2)由椭圆方程可知,点设直线,由得,从而,,即点同理设直线,可得 7分由三点共线可得,即,代入两点坐标化简可得9分直线,可得点,即从而直线的方程为化简得,即,从而直线过定点 12分.【考点】1.椭圆的标准方程及其几何性质;2.直线与椭圆的位置关系.3.已知对,直线与椭圆恒有公共点,则实数的取值范围是A.(0, 1)B.(0,5)C.[1,5)D.[1,5)∪(5,+∞)【答案】D【解析】由题意直线恒过定点,只要在椭圆内或椭圆上即可,故,选D【考点】点在椭圆上(内)的充要条件4.是方程表示椭圆或双曲线的()A.充分不必要条件B.必要不充分条件C.充要条件D.不充分不必要条件【答案】B【解析】因为时,方程不是椭圆也不是双曲线,所以若“方程表示椭圆或双曲线”,则一定有“”,因此是方程表示椭圆或双曲线的必要条件;又当时,方程不一定表示椭圆或双曲线,如,方程表示圆,因此是方程表示椭圆或双曲线不充分条件.【考点】充要关系确定5.平面内与两定点、()连线的斜率之积等于非零常数m的点的轨迹,加上、两点所成的曲线C可以是圆、椭圆或双曲线.求曲线C的方程,并讨论C的形状与m值得关系.【答案】当时,曲线C的方程为,C是焦点在y轴上的椭圆;当时,曲线C的方程为,C是圆心在原点的圆;当时,曲线C的方程为, C是焦点在x轴上的椭圆;当时,曲线C 的方程为,C是焦点在x轴上的双曲线.【解析】设出动点M的坐标,利用斜率乘积求出曲线轨迹方程,然后讨论 m的值,判断曲线是圆、椭圆或双曲线时m的值的情况.试题解析:设动点为M,其坐标为,当时,由条件可得即,又的坐标满足,故依题意,曲线C的方程为. 4分当时,曲线C的方程为,C是焦点在y轴上的椭圆; 6分当时,曲线C的方程为,C是圆心在原点的圆; 8分当时,曲线C的方程为,C是焦点在x轴上的椭圆; 10分当时,曲线C的方程为,C是焦点在x轴上的双曲线. 12分【考点】(1)求轨迹方程;(2)圆锥曲线的综合应用.6.已知,是椭圆的左、右焦点,过的直线交椭圆于两点,若△的周长为,则的值为 .【答案】【解析】由椭圆的方程,可知即,此时,而的周长等于,所以,所以即.【考点】椭圆的定义及其标准方程.7.已知F1,F2是椭圆+=1的两焦点,过点F2的直线交椭圆于A,B两点.在△AF1B中,若有两边之和是10,则第三边的长度为()A.6B.5C.4D.3【答案】A【解析】由椭圆方程知,椭圆的长轴,则周长为16,故第三边长为6.所以正确答案为A.【考点】1.椭圆定义;2.三角形周长.8.若椭圆的短轴为,它的一个焦点为,则满足为等边三角形的椭圆的离心率是() A.B.C.D.【答案】B【解析】由为等边三角形可知,在直角三角形中,,且,所以其离心率.【考点】本题考查的知识点是椭圆的离心率的定义,以及椭圆的几何性质.9.已知F1、F2是椭圆+=1的两焦点,经点F2的直线交椭圆于点A、B,若|AB|=5,则|AF1|+|BF1|等于()A.11 B.10 C.9 D.16【答案】A【解析】依据椭圆定义可知【考点】椭圆定义点评:椭圆定义在解题中应用非常广泛:椭圆上的点到焦点的距离之和为10.设椭圆的离心率为,焦点在x轴上且长轴长为30.若曲线上的点到椭圆的两个焦点的距离的差的绝对值等于10,则曲线的标准方程为()A.B.C.D.【答案】B【解析】椭圆的离心率为,焦点在x轴上且长轴长为30,所以所以曲线的两个焦点为(-7,0),(7,0),并且c=7,a=5,所以,所以曲线的标准方程为.【考点】椭圆的标准方程及几何性质,双曲线的定义及标准方程.点评:掌握椭圆及双曲线的标准方程及其几何性质是解决此问题的关键,本小题属于容易题. 11.(本题满分16分)如图,椭圆C:+=1(a>b>0)的焦点F1,F2和短轴的一个端点A构成等边三角形,点(,)在椭圆C上,直线l为椭圆C的左准线.(1)求椭圆C的方程;(2)点P是椭圆C上的动点,PQ ⊥l,垂足为Q.是否存在点P,使得△F1PQ为等腰三角形?若存在,求出点P的坐标;若不存在,说明理由.【答案】(1)+=1.(2)存在点P(-,±),使△PF1Q为等腰三角形【解析】本题主要考查了椭圆的标准方程.考查了学生综合分析问题和解决问题的能力(Ⅰ)设出椭圆方程,根据△AF1F2为正三角形可推断出a和b的关系,设b2=3λ,a2=4λ,代入椭圆方程,进而把点(,)代入即可求得λ,则椭圆的方程可得.(Ⅱ)根据(1)可求得椭圆的离心率,进而求得PF1和PQ的关系,假设PF1=F1Q根据PF1=PQ推断出PF1+F1Q=PQ,与“三角形两边之和大于第三边”矛盾,假设不成立,再看若F1Q=PQ,设出P点坐标,则Q点坐标可得,进而表示出F1Q和PQ求得x和y的关系,与椭圆方程联立求得P点坐标.判断出存在点P,使得△PF1Q为等腰三角形。
人教版高二上学期数学(选择性必修1)《3.1.2椭圆的标准方程及性质的应用》练习题及答案学校:___________班级:___________姓名:___________学号:___________一、选择题1.直线y =kx -k 与椭圆x 29+y 24=1的位置关系为( ) A.相交 B.相切C.相离D.不确定2.直线y =kx +2和椭圆x 23+y 22=1有公共点,则k 的取值范围是( ) A.k <-63或k >63 B.k ≤-63或k ≥63C.-63<k <63D.-63≤k ≤633.德国天文学家开普勒发现天体运行轨道是椭圆,已知地球运行的轨道是一个椭圆,太阳在它的一个焦点上,轨道近日点到太阳中心的距离和远日点到太阳中心的距离之比是29∶30,那么地球运行轨道所在椭圆的离心率是( ) A.159 B.259 C.2959 D.30594.已知过圆锥曲线x 2m +y 2n =1上一点P (x 0,y 0)的切线方程为x 0x m +y 0y n =1.过椭圆x 212+y 24=1上的点A (3,-1)作椭圆的切线l ,则过点A 且与直线l 垂直的直线方程为( )A.x -y -3=0B.x +y -2=0C.2x +3y -3=0D.3x -y -10=05.美学四大构件是:史诗、音乐、造型(绘画、建筑等)和数学.素描是学习绘画的必要一步,它包括了明暗素描和结构素描,而学习几何体结构素描是学习素描最重要的一步.某同学在画“切面圆柱体”(用与圆柱底面不平行的平面去截圆柱,底面与截面之间的部分叫做切面圆柱体)的过程中,发现“切面”是一个椭圆(如图所示),若“切面”所在平面与底面成60°角,则该椭圆的离心率为( )A.12B.22C.32D.136.如图是一个篮球在太阳光照射下的影子,已知篮球的直径为22 cm ,现太阳光与地面的夹角为60°,则此椭圆形影子的离心率为( )A.13B.12C.22D.327.(多选)若直线y =kx +2与椭圆x 23+y 22=1相切,则斜率k 的值是( ) A.63 B.-63C.-33 D.33 8.(多选)如图所示,某探月卫星沿地月转移轨道飞向月球,在月球附近一点P 处变轨进入以月球球心F 为一个焦点的椭圆轨道Ⅰ绕月飞行,之后卫星在P 点处第二次变轨进入仍以F 为一个焦点的椭圆轨道Ⅱ绕月飞行,且轨道Ⅱ的右顶点为轨道Ⅰ的中心.设椭圆Ⅰ与Ⅱ的长半轴长分别为a 1和a 2,半焦距分别为c 1和c 2,离心率分别为e 1,e 2,则下列结论正确的是( )A .a 1+c 1>2(a 2+c 2)B .a 1-c 1=a 2-c 2C .e 1=e 2+12D .椭圆Ⅱ比椭圆Ⅰ更扁 二、填空题9.某隧道的拱线设计为半个椭圆的形状,最大拱高h 为6米(如图所示),路面设计是双向车道,车道总宽为87 米,如果限制通行车辆的高度不超过4.5米,那么隧道设计的拱宽d 至少应是________米.10.过点M(1,1)作斜率为-12的直线与椭圆C:x2a2+y2b2=1(a>b>0)相交于A,B两点,若M是线段AB的中点,则椭圆C的离心率为________11.若直线y=x+2与椭圆x2m+y23=1有两个公共点,则m的取值范围是________________12.罗马竞技场,建于公元72年到82年,是古罗马文明的象征,其内部形状近似为一个椭圆形,其长轴长约为188米,短轴长约为156米,竞技场分为表演区与观众区,中间的表演区也近似为椭圆形,其长轴长为86米,短轴长为54米,若椭圆的面积为πab(其中a,b分别为椭圆的长半轴长与短半轴长,π取3.14),已知观众区可以容纳9万人,由此推断,观众区每个座位所占面积约为________平方米(保留小数点后两位).三、解答题13.已知椭圆x2+8y2=8,在椭圆上求一点P,使P到直线l:x-y+4=0的距离最短,并求出最短距离.14.已知点A,B的坐标分别是(-1,0),(1,0),直线AM,BM相交于点M,且它们的斜率之积为-2.(1)求动点M 的轨迹方程;(2)若过点N ⎝ ⎛⎭⎪⎫12,1的直线l 交动点M 的轨迹于C ,D 两点,且N 为线段CD 的中点,求直线l 的方程.15.如图,某市新城公园将在长34米、宽30米的矩形地块内开凿一个“挞圆”形水池,水池边缘由两个半椭圆x 2a 2+y 2b 2=1(x ≤0)和y 2b 2+x 281=1(x ≥0)组成,其中a >b >9,“挞圆”内切于矩形(即“挞圆”与矩形各边均有且只有一个公共点).(1)求“挞圆”的方程;(2)在“挞圆”形水池内建一矩形网箱养殖观赏鱼,若该矩形网箱的一条边所在直线方程为y =t (t ∈(0,15)),求该网箱所占水面面积的最大值.参考答案及解析一、选择题1.A 解析:由⎩⎪⎨⎪⎧ y =kx -k ,x 29+y 24=1,消去y 得(4+9k 2)x 2-18k 2x +9k 2-36=0Δ=(-18k 2)2-4(4+9k 2)(9k 2-36)=576(2k 2+1),易知Δ>0恒成立∴直线y =kx -k 与椭圆x 29+y 24=1的位置关系为相交. 2.B 解析:将y =kx +2代入椭圆方程x 23+y 22=1,消去y ,可得(2+3k 2)x 2+12kx +6=0 ∴Δ=144k 2-24(2+3k 2)=72k 2-48∵直线和椭圆有公共点,∴72k 2-48≥0,∴k ≤-63或k ≥63. 3.A 解析:设椭圆的长半轴长为a ,半焦距为c ,由题意可得a -c a +c =2930整理得a =59c ,即c a =159. ∴地球运行轨道所在椭圆的离心率是159. 4.B 解析:过椭圆x 212+y 24=1上的点A (3,-1)的切线l 的方程为3x 12+(-y )4=1,即x -y -4=0,切线l 的斜率为1.与直线l 垂直的直线的斜率为-1,故过点A 且与直线l 垂直的直线方程为y +1=-(x -3),即x +y -2=0.5.C 解析:设椭圆长轴长为2a ,短轴长为2b ,由“切面”所在平面与底面成60°角可得2b 2a =cos 60°,即a =2b ,所以e =c a =a 2-b 2a 2=32. 6.B 解析:如图,l 1,l 2 是两条与球相切的直线,分别切于点A ,C ,与底面交于点B ,D ,设篮球的半径为R∴AC =2R =22,R =11过点C 作CE ∥BD 交l 1于点E ,则CE =BD在△ACE 中,CE =AC sin 60°,∴CE =22×23=2a ,∴a =223=2R 3,b =R ∴c =4R 23-R 2=33R ,∴e =c a =3R 32R 3=12. 7.AB 解析:由⎩⎪⎨⎪⎧ y =kx +2,x 23+y 22=1,得(3k 2+2)x 2+12kx +6=0,由题意知Δ=144k 2-24(3k 2+2)=0 解得k =±63. 8.ABC 解析:对A ,由题可知a 1=2a 2,c 1=a 2+c 2>2c 2,所以a 1+c 1>2(a 2+c 2),所以选项A正确;对B ,由a 1-c 1=|PF |,a 2-c 2=|PF |,得a 1-c 1=a 2-c 2,所以选项B 正确;对C ,由a 1=2a 2,c 1=a 2+c 2,得c 1a 1=a 2+c 22a 2=1+c 2a 22,即e 1=e 2+12,所以选项C 正确;对D ,根据选项C 知,2e 1=e 2+1>2e 2,所以e 1>e 2,即椭圆Ⅰ比椭圆Ⅱ更扁,所以选项D 错误.故选ABC .二、填空题9.答案:32解析:设椭圆方程为x 2a 2+y 236=1,当点(47,4.5)在椭圆上时,16×7a 2+⎝ ⎛⎭⎪⎫92236=1,解得a =16 ∵车辆高度不超过4.5米,∴a ≥16,d =2a ≥32,故拱宽至少为32米.10.答案:22解析:设A (x 1,y 1),B (x 2,y 2),则x 21a 2+y 21b2=1,① x 22a 2+y 22b 2=1.② ∵M 是线段AB 的中点,∴x 1+x 22=1,y 1+y 22=1. ∵直线AB 的方程是y =-12(x -1)+1,∴y 1-y 2=-12(x 1-x 2). 由①②两式相减可得x 21-x 22a 2+y 21-y 22b 2=0,即2a 2+⎝ ⎛⎭⎪⎫-12·2b 2=0.∴a =2b ,∴c =b ,∴e =c a =22. 11.答案:(1,3)∪(3,+∞)解析:∵x 2m +y 23=1表示椭圆,∴m >0且m ≠3. 由⎩⎪⎨⎪⎧ y =x +2,x 2m +y 23=1,得(m +3)x 2+4mx +m =0∴Δ=16m 2-4m (m +3)>0,解得m >1或m <0.∴m >1且m ≠3∴m 的取值范围是(1,3)∪(3,+∞).12.答案:0.22解析:由条件可得,竞技场的总面积为π×1882×1562=7 332π(平方米),表演区的面积为π×862×542=1 161π(平方米),故观众区的面积为7 332π-1 161π=6 171π(平方米),故观众区每个座位所占面积为6 171π90 000≈6 171×3.1490 000≈0.22(平方米).三、解答题13.解:设与直线x -y +4=0平行且与椭圆相切的直线方程为x -y +a =0(a ≠4) 由⎩⎨⎧ x 2+8y 2=8,x -y +a =0,消x 得9y 2-2ay +a 2-8=0 由Δ=4a 2-36(a 2-8)=0,解得a =3或a =-3∴与直线l 距离较近的切线为x -y +3=0,两条直线之间的距离即为所求最短距离 且直线x -y +3=0与椭圆的切点即为所求点P .故所求最短距离d =|4-3|2=22. 由⎩⎨⎧ x 2+8y 2=8,x -y +3=0,得⎩⎪⎨⎪⎧ x =-83,y =13,即P ⎝ ⎛⎭⎪⎫-83,13.14.解:(1)设M (x ,y ).因为k AM ·k BM =-2,所以y x +1·y x -1=-2(x ≠±1),化简得2x 2+y 2=2(x ≠±1). 即点M 的轨迹方程为2x 2+y 2=2(x ≠±1).(2)设C (x 1,y 1),D (x 2,y 2).当直线l ⊥x 轴时,直线l 的方程为x =12,易知此时线段CD 的中点不是N ,不符合题意. 当直线l 不与x 轴垂直时,设直线l 的方程为y -1=k ⎝ ⎛⎭⎪⎫x -12,将点C (x 1,y 1),D (x 2,y 2)的坐标代入2x 2+y 2=2(x ≠±1),得2x 21+y 21=2,① 2x 22+y 22=2,② ①-②整理得k =y 1-y 2x 1-x 2=-2(x 1+x 2)y 1+y 2=-2×2×122×1=-1 故直线l 的方程为y -1=-⎝ ⎛⎭⎪⎫x -12,即所求直线l 的方程为2x +2y -3=0. 15.解:(1)由题意知b =15,a +9=34,解得a =25,b =15.所以“挞圆”方程为x 2252+y 2152=1(x ≤0)和y 2152+x 292=1(x ≥0). (2)设P (x 0,t )为矩形在第一象限内的顶点,Q (x 1,t )为矩形在第二象限内的顶点则t 2152+x 2092=1,x 21252+t 2152=1,可得x 1=-259x 0.所以内接矩形的面积S =2t (x 0-x 1)=2t ×349x 0=15×34×2·x 09·t 15≤15×34⎝ ⎛⎭⎪⎫x 2092+t 2152=510 当且仅当x 09=t 15时,S 取最大值510. 所以网箱所占水面面积的最大值为510平方米。
高二数学椭圆试题一:选择题1.已知方程表示焦点在x轴上的椭圆,则m的取值范围是()A.m>2或m<﹣1 B.m>﹣2 C.﹣1<m<2 D.m>2或﹣2<m<﹣1 解:椭圆的焦点在x轴上∴m2>2+m,即m2﹣2﹣m>0解得m>2或m<﹣1又∵2+m>0∴m>﹣2∴m的取值范围:m>2或﹣2<m<﹣1故选D2.已知椭圆,长轴在y轴上、若焦距为4,则m等于()A.4B.5C.7D.8解:将椭圆的方程转化为标准形式为,显然m﹣2>10﹣m,即m>6,,解得m=8故选D3.椭圆(1﹣m)x2﹣my2=1的长轴长是()A.B.C.D.解:由椭圆(1﹣m)x2﹣my2=1,化成标准方程:由于,∴椭圆(1﹣m)x2﹣my2=1的长轴长是2a=2=.故选B.4.已知点F1、F2分别是椭圆+=1(k>﹣1)的左、右焦点,弦AB过点F1,若△ABF2的周长为8,则椭圆的离心率为()A.B.C.D.解:由椭圆定义有4a=8∴a=2,所以k+2=a2=4∴k=2.从而b2=k+1=3,c2=a2﹣b2=1,所以,故选A5.已知△ABC的周长为20,且顶点B (0,﹣4),C (0,4),则顶点A的轨迹方程是()A.(x≠0)B.(x≠0)C.(x≠0)D.(x≠0)解:∵△ABC的周长为20,顶点B (0,﹣4),C (0,4),∴BC=8,AB+AC=20﹣8=12,∵12>8∴点A到两个定点的距离之和等于定值,∴点A的轨迹是椭圆,∵a=6,c=4∴b2=20,∴椭圆的方程是故选B.6.方程=10,化简的结果是()A.B.C.D.解:根据两点间的距离公式可得:表示点P(x,y)与点F1(2,0)的距离,表示点P(x,y)与点F2(﹣2,0)的距离,所以原等式化简为|PF1|+|PF2|=10,因为|F1F2|=2<10,所以由椭圆的定义可得:点P的轨迹是椭圆,并且a=5,c=2,所以b2=21.所以椭圆的方程为:.故选D.7.设θ是三角形的一个内角,且,则方程x2sinθ﹣y2cosθ=1表示的曲线是()A.焦点在x轴上的双曲线B.焦点在x轴上的椭圆C.焦点在y轴上的双曲线D.焦点在y轴上的椭圆解:因为θ∈(0,π),且sinθ+cosθ=,所以,θ∈(,π),且|sinθ|>|cosθ|,所以θ∈(,),从而cosθ<0,从而x2sinθ﹣y2cosθ=1表示焦点在y轴上的椭圆.故选D.8.设椭圆的两个焦点分别为F1、、F2,过F2作椭圆长轴的垂线交椭圆于点P,若△F1PF2为等腰直角三角形,则椭圆的离心率是()A.B.C.D.解:设点P在x轴上方,坐标为,∵△F1PF2为等腰直角三角形∴|PF2|=|F1F2|,即,即故椭圆的离心率e=故选D9.从椭圆上一点P向x轴作垂线,垂足恰为左焦点F1,A是椭圆与x轴正半轴的交点,B是椭圆与y轴正半轴的交点,且AB∥OP(O是坐标原点),则该椭圆的离心率是()A.B.C.D.解:依题意,设P(﹣c,y0)(y0>0),则+=1,∴y0=,∴P(﹣c,),又A(a,0),B(0,b),AB∥OP,∴k AB=k OP,即==,∴b=c.设该椭圆的离心率为e,则e2====,∴椭圆的离心率e=.故选C.10.若点O和点F分别为椭圆的中心和左焦点,点P为椭圆上的任意一点,则的最大值为()A.2B.3C.6D.8解:由题意,F(﹣1,0),设点P(x0,y0),则有,解得,因为,,所以==,此二次函数对应的抛物线的对称轴为x0=﹣2,因为﹣2≤x0≤2,所以当x0=2时,取得最大值,故选C.11.如图,点F为椭圆=1(a>b>0)的一个焦点,若椭圆上存在一点P,满足以椭圆短轴为直径的圆与线段PF相切于线段PF的中点,则该椭圆的离心率为()A.B.C.D.解:设线段PF的中点为M,另一个焦点F′,由题意知,OM=b,又OM是△FPF′的中位线,∴OM=PF′=b,PF′=2b,由椭圆的定义知PF=2a﹣PF′=2a﹣2b,又MF=PF=(2a﹣2b)=a﹣b,又OF=c,直角三角形OMF中,由勾股定理得:(a﹣b)2+b2=c2,又a2﹣b2=c2,可求得离心率e==,故答案选B.12.椭圆顶点A(a,0),B(0,b),若右焦点F到直线AB的距离等于,则椭圆的离心率e=()A.B.C.D.解:由题意可得直线AB的方程为即bx+ay﹣ab=0,F(c,0)∴F(c,0)到直线AB的距离d==,|AF|=a﹣c则∴a2=3b2∴a2=3a2﹣3c2即3c2=2a2∴=故选B13.已知椭圆+=1(a>b>0)的左、右焦点为F1,F2,P为椭圆上的一点,且|PF1||PF2|的最大值的取值范围是[2c2,3c2],其中c=.则椭圆的离心率的取值范围为()A.[,]B.[,1)C.[,1)D.[,]解:∵|PF1|•|PF2|的最大值=a2,∴由题意知2c2≤a2≤3c2,∴,∴.故椭圆m的离心率e的取值范围.故选A.14.在椭圆中,F1,F2分别是其左右焦点,若|PF1|=2|PF2|,则该椭圆离心率的取值范围是()A.B.C.D.解:根据椭圆定义|PF1|+|PF2|=2a,将设|PF1|=2|PF2|代入得,根据椭圆的几何性质,|PF2|≥a﹣c,故,即a≤3c,故,即,又e<1,故该椭圆离心率的取值范围是.故选B.二:填空题15.已知F1、F2是椭圆C:(a>b>0)的两个焦点,P为椭圆C上一点,且.若△PF1F2的面积为9,则b=3.解:由题意知△PF1F2的面积=,∴b=3,故答案为3.16.若方程表示焦点在y轴上的椭圆,则k的取值范围是4<k<7.解:∵+=1表示焦点在y轴上的椭圆,∴k﹣1>7﹣k>0.∴4<k<7.故k的取值范围是4<k<7.故答案为:4<k<7.17.已知椭圆的焦距为2,则实数t=2,3,6.解:当t2>5t>0即t>5时,a2=t2,b2=5t此时c2=t2﹣5t=6解可得,t=6或t=﹣1(舍)当0<t2<5t即0<t<5时,a2=5t,b2=t2此时c2=a2﹣b2=5t﹣t2=6解可得,t=2或t=3综上可得,t=2或t=3或t=6故答案为:2,3,618.在平面直角坐标系xOy中,已知△ABC顶点A(﹣4,0)和C(4,0),顶点B在椭圆上,则=.解:利用椭圆定义得a+c=2×5=10b=2×4=8由正弦定理得=故答案为19.在平面直角坐标系xOy中,椭圆的焦距为2c,以O为圆心,a 为半径作圆M,若过作圆M的两条切线相互垂直,则椭圆的离心率为.解:设切线PA、PB互相垂直,又半径OA垂直于PA,所以△OAP是等腰直角三角形,故,解得,故答案为.20.若椭圆的焦点在x轴上,过点(1,)做圆x2+y2=1的切线,切点分别为A,B,直线AB恰好经过椭圆的右焦点和上顶点,则椭圆的方程是.解:设切点坐标为(m,n)则即∵m2+n2=1∴m即AB的直线方程为2x+y﹣2=0∵线AB恰好经过椭圆的右焦点和上顶点∴2c﹣2=0;b﹣2=0解得c=1,b=2所以a2=5故椭圆方程为故答案为三:解答题21.已知F1,F2为椭圆的左、右焦点,P是椭圆上一点.(1)求|PF1|•|PF2|的最大值;(2)若∠F1PF2=60°且△F1PF2的面积为,求b的值.解:(1)∵P点在椭圆上,∴|PF1|+|PF2|=|2a=20,∵|PF1|>0,|PF2|>0,∴|PF1|•|PF2|≤=100,∴|PF1|•|PF2|有最大值100.(2)∵a=10,|F1F2|=2c.设|PF1|=t1,|PF2|=t2,则根据椭圆的定义可得:t1+t2=20①,在△F1PF2中,∠F1PF2=60°,所以根据余弦定理可得:t12+t22﹣2t1t2•cos60°=4c2②,由①2﹣②得3t1•t2=400﹣4c2,所以由正弦定理可得:=.所以c=6,∴b=8.22.如图,F1、F2分别是椭圆C:(a>b>0)的左、右焦点,A是椭圆C的顶点,B是直线AF2与椭圆C的另一个交点,∠F1AF2=60°.(Ⅰ)求椭圆C的离心率;(Ⅱ)已知△AF1B的面积为40,求a,b 的值.解:(Ⅰ)∠F1AF2=60°⇔a=2c⇔e==.(Ⅱ)设|BF2|=m,则|BF1|=2a﹣m,在三角形BF1F2中,|BF1|2=|BF2|2+|F1F2|2﹣2|BF2||F1F2|cos120°⇔(2a﹣m)2=m2+a2+am.⇔m=.△AF1B面积S=|BA||F1F2|sin60°⇔=40⇔a=10,∴c=5,b=5.23.已知中心在坐标原点O的椭圆C经过点A(2,3),且点F(2,0)为其右焦点.(1)求椭圆C的方程;(2)是否存在平行于OA的直线l,使得直线l与椭圆C有公共点,且直线OA与l的距离等于4?若存在,求出直线l的方程;若不存在,说明理由.解:(1)依题意,可设椭圆C的方程为(a>0,b>0),且可知左焦点为F(﹣2,0),从而有,解得c=2,a=4,又a2=b2+c2,所以b2=12,故椭圆C的方程为.(2)假设存在符合题意的直线l,其方程为y=x+t,由得3x2+3tx+t2﹣12=0,因为直线l与椭圆有公共点,所以有△=(3t)2﹣4×3(t2﹣12)≥0,解得﹣4≤t≤4,另一方面,由直线OA与l的距离4=,从而t=±2,由于±2∉[﹣4,4],所以符合题意的直线l不存在.24.设F1,F2分别是椭圆的左、右焦点,过F1斜率为1的直线ℓ与E相交于A,B两点,且|AF2|,|AB|,|BF2|成等差数列.(1)求E的离心率;(2)设点P(0,﹣1)满足|PA|=|PB|,求E的方程解:(I)由椭圆定义知|AF2|+|BF2|+|AB|=4a,又2|AB|=|AF2|+|BF2|,得l的方程为y=x+c,其中.设A(x1,y1),B(x2,y2),则A、B两点坐标满足方程组化简的(a2+b2)x2+2a2cx+a2(c2﹣b2)=0则因为直线AB斜率为1,得,故a2=2b2所以E的离心率(II)设AB的中点为N(x0,y0),由(I)知,.由|PA|=|PB|,得k PN=﹣1,即得c=3,从而故椭圆E的方程为.25.设椭圆的左焦点为F,离心率为,过点F且与x轴垂直的直线被椭圆截得的线段长为.(Ⅰ)求椭圆的方程;(Ⅱ)设A,B分别为椭圆的左,右顶点,过点F且斜率为k的直线与椭圆交于C,D两点.若,求k的值.解:(I)根据椭圆方程为.∵过焦点且垂直于长轴的直线被椭圆截得的线段长为,∴=,∵离心率为,∴=,解得b=,c=1,a=.∴椭圆的方程为;(II)直线CD:y=k(x+1),设C(x1,y1),D(x2,y2),由消去y得,(2+3k2)x2+6kx+3k2﹣6=0,∴x1+x2=﹣,x1x2=,又A(﹣,0),B(,0),∴=(x1﹣,y1)•(﹣x2.﹣y2)+(x2+,y2)•(﹣x1.﹣y1)=6﹣(2+2k2)x1x2﹣2k2(x1+x2)﹣2k2,=6+=8,解得k=.26.设椭圆E:,O为坐标原点(Ⅰ)求椭圆E的方程;(Ⅱ)是否存在圆心在原点的圆,使得该圆的任意一条切线与椭圆E恒在两个交点A,B且?若存在,写出该圆的方程,关求|AB|的取值范围;若不存在,说明理由.解:(1)因为椭圆E:(a,b>0)过M(2,),N(,1)两点,所以解得所以椭圆E的方程为(2)假设存在圆心在原点的圆,使得该圆的任意一条切线与椭圆E恒有两个交点A,B,且,设该圆的切线方程为y=kx+m解方程组得x2+2(kx+m)2=8,即(1+2k2)x2+4kmx+2m2﹣8=0,则△=16k2m2﹣4(1+2k2)(2m2﹣8)=8(8k2﹣m2+4)>0,即8k2﹣m2+4>0,要使,需使x1x2+y1y2=0,即,所以3m2﹣8k2﹣8=0,所以又8k2﹣m2+4>0,所以,所以,即或,因为直线y=kx+m为圆心在原点的圆的一条切线,所以圆的半径为,,,所求的圆为,此时圆的切线y=kx+m都满足或,而当切线的斜率不存在时切线为与椭圆的两个交点为或存在圆心在原点的圆,使得该圆的任意一条切线与椭圆E恒有两个交点A,B,且.因为,所以,①当k≠0时因为所以,所以,所以当且仅当时取”=”.2当k=0时,27.已知直线x﹣2y+2=0经过椭圆的左顶点A和上顶点D,椭圆C的右顶点为B,点S是椭圆C上位于x轴上方的动点,直线AS,BS与直线分别交于M,N两点.(1)求椭圆C的方程;(2)求线段MN的长度的最小值;(3)当线段MN的长度最小时,在椭圆C上是否存在这样的点T,使得△TSB的面积为?若存在,确定点T的个数,若不存在,说明理由.解:(1)由已知得,椭圆C的左顶点为A(﹣2,0),上顶点为D(0,1),∴a=2,b=1故椭圆C的方程为(4分)(2)依题意,直线AS的斜率k存在,且k>0,故可设直线AS的方程为y=k(x+2),从而,由得(1+4k2)x2+16k2x+16k2﹣4=0设S(x1,y1),则得,从而即,(6分)又B(2,0)由得,∴,(8分)故又k>0,∴当且仅当,即时等号成立.∴时,线段MN的长度取最小值(10分)(2)另解:设S(x s,y S),依题意,A,S,M三点共线,且所在直线斜率存在,由k AM=k AS,可得同理可得:又所以,=不仿设y M>0,y N<0当且仅当y M=﹣y N时取等号,即时,线段MN的长度取最小值.(3)由(2)可知,当MN取最小值时,此时BS的方程为,∴(11分)要使椭圆C上存在点T,使得△TSB的面积等于,只须T到直线BS的距离等于,所以T在平行于BS且与BS距离等于的直线l'上.设直线l':x+y+t=0,则由,解得或.又因为T为直线l'与椭圆C的交点,所以经检验得,此时点T有两个满足条件.(14分)。