中山大学2017硕士录取名单(公示)
- 格式:xls
- 大小:1.45 MB
- 文档页数:424
1、以上为我校复试基本分数线。
各招生单位可根据上线生源情况上调分数线,但须保证同一学科、专业的全日制与非全日制采用同一复试分数线。
2、参加“大学生志愿服务西部计划”、“三支一扶计划”(支农、支教、支医和扶贫)、“选聘高校毕业生到村任职”、“农村义务教育阶段学校教师特设岗位计划”、“赴外汉语教师志愿者”等项目服务期满的考生和普通高等学校应届毕业生应征入伍服务义务兵役退役后的考生,3年内参加全国硕士研究生招生考试,享受初试总分加分并在同等条件下优先录取的政策。
3、符合加分政策的考生须于3月18日前联系我校研招办,提出书面申请,并出具相关证明材料,其中拟录取享受“大学生志愿服务西部计划”等政策的考生提交的证明材料需包括《大学生志愿服务西部计划志愿服务证》、《志愿服务鉴定书》和服务单位证明等材料复印件;退役义务兵需提交《入伍批准书》和《退出现役证》,我校根据教育部最新文件及名单审核考生资格。
4、我校拟于3月20—4月10日进行复试,具体时间由各招生单位确定。
中山大学2017届毕业生就业质量年度报告中山大学2017年12月中山大学坚持立德树人为根本,以“德才兼备、领袖气质、家国情怀”为人才培养目标,以“面向学术前沿、面向国家重大战略需求、面向国家和区域经济社会发展”为基本导向,全面提高人才培养质量。
学校强调学业与就业相结合,倡导“学在中大,追求卓越”的优良学风校风,要求学生夯实学业基础、树立远大目标,引导学生将个人的发展与国家的发展、社会的进步相结合,积极投身到新时代的经济社会建设中去。
2017年,学校贯彻落实教育部和广东省的各项就业创业政策及措施,积极鼓励和引导毕业生到重点领域就业,主动对接国家发展战略需求,向重点地区、重大项目和重要领域输送毕业生;积极促进毕业生到新兴领域就业,引导毕业生到战略新兴产业、先进制造业和现代服务业等领域就业;积极引导毕业生到基层就业,不断拓宽基层就业渠道,完善和落实政策保障措施。
学校2017届毕业生总体就业率为93.1%,其中本科生的就业率为91.0%,有6.8%的本科生因准备考研或申请出国而暂不就业,硕士研究生的就业率为96.6%,博士研究生的就业率为95.8%。
报告中基本数据统计截止时间为2017年12月5日,其中第三方数据调研时间段为2017年11月07日到11月24日。
目录第一章就业基本情况 (4)一毕业生就业及升学总体情况 (4)(一)毕业生总数 (4)(二)毕业生就业率 (4)(三)未就业分析 (4)(四)毕业生流向分析 (5)(五)毕业生升学情况 (6)二就业流向分析 (10)三用人单位评价 (13)第二章毕业生就业工作举措 (15)一以学业促就业,全面提升人才培养质量 (15)二鼓励基层就业,做好定向选调生推荐工作 (15)三积极推送学生去往国际组织实习任职 (15)四帮扶就业困难学生,构建保障体系 (16)五积极开拓就业新渠道,确保就业服务质量 (16)六创建大学生创新创业平台 (16)附表 (18)附表1中山大学2017届本科毕业生最终就业情况统计表 (18)附表2中山大学2017届毕业研究生最终就业情况统计表 (21)第一章就业基本情况一毕业生就业及升学总体情况(一)毕业生总数我校2017届毕业生总数为11514人,其中本科生6910人(占比60.0%),硕士研究生3666人(占比31.8%),博士研究生938人(占比8.2%)。
中山大学考研15年各学院复试拟录取名单中山大学考研初试,复试各占50%,其中复试成绩发挥的好坏直接影响到考研录取,为此鸿儒中大考研网整理了相关信息,考生可以在复试名单中了解到各专业的复试比例,复试录取分数,复试一般录取成绩,其中有初试低分被录取的情况,也有初试高分被刷的情况,这一切的一切都源于复试的发挥。
另外,考生可以在“更多信息”里了解到该学院的更多信息,例如奖助金情况,课程安排,复试方法,统考招生人数等与考研息息相关的信息,如有疑问可以联系我们的咨询老师。
学院复试名单其他管理学院2015年中山大学考研管理学院复试拟录取名单更多信息岭南学院2015年中山大学考研岭南学院复试拟录取名单更多信息生命科学学院2015年中山大学考研生命科学学院复试拟录取名单更多信息信息科学与技术学院2015年中山大学考研信息科学与技术学院复试拟录取名单(花都)2015年中山大学考研信息科学与技术学院复试拟录取名单(顺德)2015年中山大学考研信息科学与技术学院复试拟录取名单(本院)更多信息化学与化学工程学院2015年中山大学考研化学与化学工程学院复试拟录取名单更多信息药学院2015年中山大学考研药学院复试拟录取名单更多信息中国语言文学系2015年中山大学考研中国语言文学系硕士生入学考试复试结果更多信息外国语学院2015年中山大学考研外国语学院复试拟录取名单更多信息翻译学院2015年中山大学考研翻译学院复试拟录取名单更多信息法学院2015年中山大学考研法学院复试拟录取名单更多信息物理科学与工程技术学院2015年中山大学考研理工学院复试拟录取名单更多信息环境科学与工程学院2014年中山大学考研之环境学院复试拟录取名单更多信息政治与公共事务管理学院2015年中山大学考研政治与公共事务管理学院复试拟录取名单更多信息历史学系2015年中山大学考研历史学系复试拟录取名单更多信息国际商学院2015年中山大学考研国际商学院复试拟录取名单更多信息哲学系2015年中山大学考研哲学系复试拟录取名单更多信息国际汉语学院2015年中山大学考研国际汉语学院复试拟录取名单更多信息资讯管理学院2015年中山大学考研资讯管理学院复试拟录取名单更多信息社会学与人类学学院2015年中山大学考研社会学与人类学学院复试拟录取名单更多信息博雅学院2015年中山大学考研之博雅学院复试拟录取名单更多信息社会科学教育学院2016中山大学考研社会科学教育学院马克思主义理论信息汇总更多信息心理学系2015年中山大学考研心理学系复试拟录取名单更多信息超级计算学院2015年中山大学考研超级计算学院复试拟录取名单更多信息地球科学与地质工程学院2015年中山大学考研地球科学与地质工程学院复试拟录取名单更多信息数学与计算科学学院2015年中山大学考研数学与计算科学学院复试拟录取名单更多信息地理科学与规划学院2015年中山大学考研地理科学与规划学院硕士生入学考试复试结果更多信息工学院2015年中山大学考研工学院硕士研究生复试结果更多信息旅游学院2015年中山大学旅游学院硕士生入学考试复试结果更多信息海洋学院2015年中山大学考研海洋学院硕士生入学考试复试结果更多信息移动信息工程学院2015年中山大学考研移动信息工程学院硕士生入学考试复试结果更多信息中山医学院2015年中山大学考研中山医学院硕士生入学考试复试结果更多信息公共卫生学院2015年中山大学考研公共卫生学院硕士生入学考试复试结果更多信息光华口腔医学院2015年中山大学考研光华口腔医学院硕士生入学考试复试结果更多信息护理学院2015年中山大学考研护理学院硕士生入学考试复试结果更多信息亚太研究院2015年中山大学考研亚太研究院硕士生入学考试复试结果更多信息附属第一医院2015年中山大学考研附属第一医院复试拟录取名单更多信息孙逸仙纪念医院2015年中山大学考研孙逸仙纪念医院复试拟录取名单更多信息附属第三医院2015年中山大学考研附属第三医院复试拟录取名单更多信息中山眼科中心2015年中山大学中山眼科中心复试拟录取名单更多信息肿瘤防治中心2015年中山大学考研肿瘤防治中心复试拟录取名单更多信息附属第六医院2015年中山大学考研附属第六医院复试拟录取名单更多信息附属第五医院2015年中山大学考研附属第五医院复试拟录取名单更多信息港澳珠江三角洲研究中心中山大学港澳珠江三角洲研究中心2015统考复试录取名单更多信息传播与设计学院2015年中山大学考研传播与设计学院复试拟录取名单更多信息文章摘自鸿儒中大考研网。
2017年中山大学各省录取分数线参考2017年中山大学录取分数线是多少呢?2017年高考已经结束,中山大学已经进入招生录取阶段,2017年中山大学各省录取分数线已经陆续公布,为了方便考生了解中山大学各省录取分数线。
本文是2017中山大学各省录取分数线参考,希望对大家有帮助!2017中山大学各省录取分数线参考2017中山大学各省录取分数线暂未更新,届时小编将持续跟踪报道,欢迎收藏本页面。
2016年中山大学各省录取分数线提前批一批二批省区市文理文理文理北京638 646天津603 621河北636 658山西578 613内蒙古579 597辽宁吉林黑龙江590 642上海481 481江苏385 385浙江661 671安徽福建584 600江西- 589 591 634山东605 655河南601湖北599 632湖南608 633广东- 594(国防生) 562(普通招生)577 603广西621 628海南812 767重庆四川- 596 574(男国防生)贵州- 569云南- 611西藏陕西甘肃青海宁夏新疆注:信息不断添加中,最终录取分数线以各地招办公布信息为准。
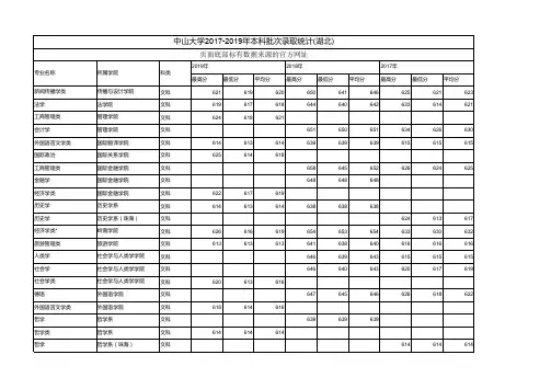
中山大学2015年各专业录取分数线1.中山大学2015年理科各专业录取分数线专业名称年份平均分最高分最低分考生类别录取批次哲学2015 644 646 642 理科一批逻辑学2015 645 650 642 理科一批法学2015 653 661 648 理科一批国际政治2015 648 653 644 理科一批人类学2015 645 647 643 理科一批汉语言文学2015 653 659 651 理科一批外国语言文学类 2015 651 661 645 理科一批新闻传播学类2015 656 661 653 理科一批历史学2015 644 646 642 理科一批数学类2015 658 669 654 理科一批物理学2015 664 667 661 理科一批2.中山大学2015年文科各专业录取分数线专业名称年份平均分最高分最低分考生类别录取批次哲学2015 621 633 618 文科一批法学2015 629 639 625 文科一批国际政治2015 624 630 620 文科一批社会学类2015 625 637 621 文科一批人类学2015 620 629 615 文科一批汉语言文学2015 629 639 624 文科一批外国语言文学类 2015 620 635 615 文科一批英语2015 626 636 622 文科一批德语2015 627 636 622 文科一批日语2015 626 642 618 文科一批新闻传播学类2015 628 640 624 文科一批历史学2015 622 631 618 文科一批中山大学中山大学(Sun Yat-sen University, SYSU),简称“中大”,由孙中山先生创办,有着一百多年办学传统,是中国南方科学研究、文化学术与人才培养的重镇。
中山大学2017年硕士招生专业的学费标准中山大学2017年硕士招生专业的学费标准类别院系专业方向学制学费标准单独考试100岭南学院020206国际贸易学12国际贸易(单独考试)非全日制3年25000元/人/年370地理科学与规划学院081501水文学及水资源08水资源管理(单独考试)非全日制3年18000元/人/年510公共卫生学院100420卫生检验与检疫02卫生检验与检疫(单考)非全日制3年25000元/人/年专业学位100岭南学院025100金融全日制2年35000元/人/年103岭南学院(MBA)125100工商管理01国际工商管理(全日制)全日制2年总学费118000元/人02国际工商管理(非全日制)非全日制3年总学费150000元/人03工商管理(非全日制)非全日制3年总学费135000元/人112历史学系065100文物与博物馆全日制2年12000元/人/年123法学院(法律硕士)035101法律(非法学)01法律硕士(非法学)(全日制)全日制3年13000元/人/年035101法律(非法学)02法律硕士(非法学)(非全日制)非全日制3年25000元/人/年035102法律(法学)01法律硕士(法学)(全日制)全日制2年10000元/人/年035102法律(法学)02法律硕士(法学)(非全日制)非全日制3年25000元/人/年130政治与公共事务管理学院125200公共管理非全日制3年18000元/人/年143管理学院(MBA)125100工商管理01国际工商管理(全日制)全日制2年总学费118000元/人02国际工商管理(在职)非全日制3年总学费150000元/人03工商管理(全日制)全日制2年总学费100000元/人04工商管理(在职)非全日制3年总学费135000元/人125300会计02会计硕士(在职)非全日制3年30000元/人/年01会计硕士(全日制)全日制2年25000元/人/年160教育学院045101教育管理非全日制3年10000元/人/年045114现代教育技术全日制2年10000元/人/年180国际汉语学院045300汉语国际教育全日制2年12000元/人/年200资讯管理系125500图书情报全日制2年,非全日制3年10000元/人/年210翻译学院055101英语笔译全日制2年15000元/人/年055102英语口译全日制2年15000元/人/年专业学位230社会学与人类学学院035200社会工作全日制2年12000元/人/年065100文物与博物馆全日制2年12000元/人/年300物理科学与工程技术学院085202光学工程全日制2年10000元/人/年085204材料工程全日制2年10000元/人/年085209集成电路工程全日制2年10000元/人/年310化学与化学工程学院085216化学工程全日制2年10000元/人/年330生命科学学院085238生物工程全日制2年10000元/人/年340数学与计算科学学院025200应用统计全日制2年18000元/人/年350信息科学与技术学院085208电子与通信工程全日制2年10000元/人/年085210控制工程全日制2年10000元/人/年085211计算机技术全日制2年10000元/人/年360药学院105500药学全日制3年12000元/人/年370地理科学与规划学院085214水利工程全日制2年10000元/人/年380环境科学与工程学院085229环境工程全日制2年10000元/人/年390工学院085206动力工程全日制2年10000元/人/年085222交通运输工程全日制2年10000元/人/年085230生物医学工程全日制2年10000元/人/年400旅游学院125400旅游管理非全日制3年18000元/人/年620软件学院085212软件工程全日制2年,非全日制3年总学费40000元/人530护理学院105400护理全日制2年10000元/人/年类专业学位111中国语言文学系050120★非物质文化遗产学70文化事业与文化产业管理全日制2年13000元/人/年150外国语学院050211外国语言学及应用语言学70英语教育全日制2年15000元/人/年370地理科学与规划学院070502人文地理学70城乡规划与管理全日制2年15000元/人/年070503地图学与地理信息系统70地理信息工程全日制2年13000元/人/年380环境科学与工程学院070601气象学70应用气象全日制2年10000元/人/年临床医学专业学位、口腔医学专业学位、其他学术型非奖助类学生学费标准为10000元/人/年。
中山大学2017 年高考录取分数线中山大学2017 年高考录取进行时,下面为大家分享中山大学2017 年高考录取分数线,希望对大家有帮助~
说明:
1、本表格信息根据各省级招办的录取安排整理汇总,具体时间以实际出档为准;
2、各省市录取日程详见:
gaokao.chsi/z/gkbmfslq/lqjg.jsp
3、出档后即更新投档线,投档后的阅档到录取完成需要1-2 天的时间,标注录取结束方可查询录取专业,敬请关注。
省份
护理学
贫困专项
第一批
民族班
文
理
文
理
安徽
537 录取结束
599 录取结束
609 录取结束613 录取结束
616 录取结束
北京。
2017年中山大学中文系推免结果与统招人数预测2017年中山大学中国语言文学系计划招生48人,含计划招收免试生35人,统招计划招生13人,实际推免36人,统招人数在12人左右。
2016年学院计划招生44人,含计划招收免试生35人,统招计划9人,实际招生46人,推免27人,统招19人。
如果考生有其他疑问可以联系鸿儒中大考研网右侧的咨询老师。
学院名称专业名称17已推免17招生计划16已推免16统招数中国语言文学系民俗学2人学院计划招生48人,含计划招收免试生35人,统招计划招生13人,实际推免36人,统招人数在12人左右。
11文艺学2人21语言学及应用语言学4人41汉语言文字学4人43中国古典文献学4人23中国古代文学8人45中国现当代文学6人53比较文学与世界文学3人41非物质文化遗产学3人112016年中山大学中国语言文学系报录比:学院名称一级科目专业名称报考数录取数推免数统招数中国语言文学系社会学民俗学11211中国语言文学文艺学14321中国语言文学语言学及应用语言学21541中国语言文学汉语言文字学34743中国语言文学中国古典文献学16523中国语言文学中国古代文学72945中国语言文学中国现当代文学52853中国语言文学比较文学与世界文学20541中国语言文学非物质文化遗产学52112017年中山大学中文系免试生复试拟录取名单:序号姓名录取研究方向序号姓名录取研究方向1张民俗学19张中国古代文学2余民俗学20李中国古代文学3吴文艺学21王中国古代文学4冯文艺学22陈中国古代文学5洪语言学及应用语言学23邝中国古代文学6莫语言学及应用语言学24谢中国古代文学7刘语言学及应用语言学25覃中国现当代文学8张语言学及应用语言学26张中国现当代文学9许汉语言文字学27黄中国现当代文学10苏汉语言文字学28鲁中国现当代文学11张汉语言文字学29林中国现当代文学12李汉语言文字学30许中国现当代文学13潘中国古典文献学31赵比较文学与世界文学14叶中国古典文献学32钟比较文学与世界文学15何中国古典文献学33郝比较文学与世界文学16陈中国古典文献学34倪非物质文化遗产学17罗中国古代文学35黄非物质文化遗产学18黄中国古代文学36俞非物质文化遗产学【专业课不再难】专业课自主命题,信息少,没教材,真题难,怎么办?中山大学考研初试,复试都会涉及到专业课的考察,其中专业课成绩占分比重最大,也是考生之间拉开差距的关键,鸿儒中大考研网推出专业课一对一通关班,一个对策解决初试专业课遇到的所有问题,你离中大只有一个通关班的距离!文章摘自鸿儒中大考研网!。