通信原理教程(第2版)课后答案12-10
- 格式:pdf
- 大小:177.37 KB
- 文档页数:12
第12章正交编码与伪随机序列12.1复习笔记一、正交编码1.正交编码的基本概念(1)正交编码的定义正交编码是指码组两两正交的编码方式。
(2)正交编码的正交性(ρ=0)①互相关系数a.码元为“+1”,“-1”设长为n 的编码中码元取值“+1”和“-1”,则码组x,y 的互相关系数为式中,x,y 表示两个码组,记为b.码元为“0”,“1”设二进制数字码元取值为“0”和“1”,则互相关系数为式中,A 为x 和y 中对应码元相同的个数;D 为x 和y 中对应码元不同的个数。
若码组x 和y 正交,则必有ρ(x,y)=0(11ρ-≤≤+)。
②自相关系数一个长为n的码组x的自相关系数为式中,x的下标按模n运算。
(3)超正交编码(ρ<0)①超正交编码的定义超正交编码是指编码中任两码组间均超正交的编码方式。
②超正交编码的特性任意两个码组间的相关系数ρ<0。
(4)双正交编码(ρ=0或-1)①双正交编码的定义双正交编码是指码组由正交编码和其反码构成的编码方式。
②双正交编码的特性任意两码组间的相关系数ρ为0或-1。
2.阿达玛矩阵(1)阿达玛矩阵的定义阿达玛矩阵是指由元素+1和-1构成,且其各行(或列)互相正交的方阵,记为H矩阵。
(2)阿达玛矩阵的表示阶数为2的幂的高阶H矩阵表示为式中,N=2m;为直积,指将中的每一个元素用矩阵H 2代替;H2为最低阶H 矩阵,下式中+1和-1简写为“+”和“-”,即(3)阿达玛矩阵的正规形式①正规阿达玛矩阵的定义正规阿达玛矩阵是指元素对称且第一行和第一列的元素全为“+”的H矩阵。
②正规阿达玛矩阵的特点正规H矩阵交换任意两行(或列),或改变任一行(或列)中每个元素的符号:a.不会影响矩阵的正交性质;b.交换后的矩阵H不一定正规。
3.沃尔什函数(1)沃尔什函数的定义沃尔什函数用差分方程定义为式中,p=0或1,j=0,1,2,…;指数中的[j/2]表示取j/2的整数部分。
(2)沃尔什函数的特点①函数取值仅为“+1”和“-1”;②任意两个沃尔什函数相乘积分的结果等于0,即满足两两正交;③具有数字信号的特性。
通信原理第二版课后答案通信原理是现代通信工程中的基础课程,对于学习者来说,深入理解课程内容并能够熟练掌握相关知识点至关重要。
因此,课后答案的准确性和全面性对于学生来说显得尤为重要。
下面将针对通信原理第二版课后答案进行详细解析,希望能够帮助学习者更好地掌握相关知识。
第一章信号与系统。
1. 什么是信号的能量和功率?能量信号和功率信号有什么区别?答,信号的能量和功率是描述信号特性的重要参数。
信号的能量可以通过对信号的幅度平方进行积分求得,而功率则是信号的能量在单位时间内的平均值。
能量信号是指信号的能量有限,而功率信号是指信号的功率有限。
在时域上,能量信号的幅度随时间趋于零,而功率信号的幅度在某一范围内变化。
2. 什么是线性时不变系统?线性时不变系统的特点是什么?答,线性时不变系统是指系统具有线性和时不变两个特性。
线性性质体现在系统的输入与输出之间满足叠加和缩放的关系,即输入信号的线性组合对应于输出信号的线性组合;时不变性质则表示系统的性质不随时间的变化而变化。
线性时不变系统具有稳定性、可预测性和易分析性等特点。
第二章传输系统。
1. 请简要介绍数字传输系统的基本原理。
答,数字传输系统是指利用数字信号进行信息传输的系统。
其基本原理是将模拟信号经过采样、量化和编码等过程转换为数字信号,然后通过传输介质进行传输,最后再经过解码、重构等步骤将数字信号恢复为模拟信号。
数字传输系统具有抗干扰能力强、传输质量稳定等优点。
2. 什么是调制?调制的作用是什么?答,调制是指将要传输的数字信号通过改变载波的某些参数来实现信号的传输过程。
调制的作用是将低频信号调制到高频载波上,以便在传输过程中能够更好地适应传输介质的特性。
调制技术有助于提高信号的传输距离和传输速率,同时也能够提高信号的抗干扰能力。
第三章数字通信系统。
1. 请简要介绍数字通信系统的工作原理。
答,数字通信系统是指利用数字信号进行信息传输的系统。
其工作原理是将要传输的信息经过采样、量化、编码等步骤转换为数字信号,然后通过调制技术将数字信号调制到载波上进行传输,最后再经过解调、解码等步骤将数字信号恢复为原始信息。
通信原理与通信技术第二版_张卫钢版课后答案1-1 什么是模拟信号?什么是数字信号?【答】参量(因变量)取值随时间(自变量)的连续变化而连续变化的信号,或者通俗地讲,波形为连续曲线的信号就是模拟信号。
模拟信号的主要特点是在其出现的时间内具有无限个可能的取值。
自变量取离散值,参量取有限个经过量化的离散值的信号叫做数字信号。
实际应用中的数字信号一般是只有两个取值“0”和“1”的脉冲序列。
模拟信号和数字信号的本质区别在于:模拟信号的取值为无限多个,而数字信号为有限个取值,通常只有“0”和“1”两个值。
1-2 为什么要对模拟信号进行抽样?对抽样间隔有什么要求?【答】为了对模拟信号进行数字传输以提高通信质量,首先需要将模拟信号转化位数字信号,而这种A/D转换过程的第一步就是对模拟信号进行抽样,把模拟信号变成离散信号。
为了能从抽样后的信号(离散信号)中无失真地恢复出原始信号,要求抽样间隔小于等于原始信号最高频率分量所对应信号周期的一半,或者说,要求抽样频率大于等于原始信号最高频率的二倍。
1-3 为什么要对离散信号进行量化?【答】离散信号尽管在时间上是离散的,但其幅度的取值却有无限多个(注意不是无限大),没有从本质上改变模拟信号,因此,没有实用价值。
只有把离散信号进行量化,把无穷个取值变成有限个,把离散信号转化为数字信号才能使模拟信号发生质变。
可见,离散信号是模拟信号通往数字信号的桥梁。
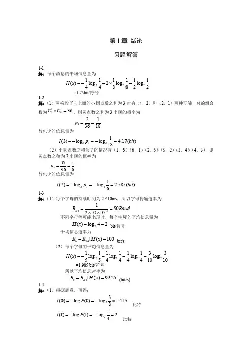
1-4 设信道带宽为3KHz,信噪比为20dB,若传输二进制信号,则最大传输速率是多少?【解】因为已知信噪比为20dB,即:所以由香农公式可得信道容量为:1-5 设英文字母e出现的概率为0.105,x出现的概率为0.002。
试求e及x 的信息量。
【解】e的信息量x的信息量1-6 某信息源的符号集由A,B,C,D和E组成,设每一符号独立出现,其出现概率分别为1/4,1/8,1/8,3/16和5/16。
试求该信息源符号的平均信息量。
第l章1.模拟信号与数字信号各自的主要特点是什么?模拟信号:模拟信号的特点是信号强度(如电压或电流)的取值随时间连续变化。
由于模拟信号的强度是随时间连续变化的,所以模拟信号也称为连续信号。
数字信号:与模拟信号相反,数字信号强度参量的取值是离散变化的。
数字信号又叫离散信号,离散的含义是其强度的取值是有限个数值。
2.画出时分多路复用的示意图并说明其工作原理。
时分复用的电路结构示意图如图所示。
图中SA1和SA2为电子转换开关,它们在同步系统的控制下以同起点、同速度顺序同步旋转,以保证收、发两端同步工作。
在发端,开关的旋转接点接于某路信源时,就相当于取出某路信源信号的离散时间的幅度数值。
旋转接点按顺序旋转,就相当于按顺序取出各路信源信号在离散时间的幅度数值并合成,然后经模/数变换电路变为数字信号,再与同步信号合成即可送给信道传输。
在接收端,首先分出同步信号,再进行数/模变换后即可由旋转开关分别送给相应的信息接收者。
3.试述数字通信的主要特点。
(1)抗干扰能力强,无噪声积累(2)便于加密处理(3)利于采用时分复用实现多路通信(4)设备便于集成化、小型化(5) 占用频带宽4.简单说明数字通信系统有效性指标,可靠性指标各是什么?并说明其概念。
有效性指标(1)信息传输速率:信道的传输速率是以每秒钟所传输的信息量来衡量的。
信息传输速率的单位是比特/秒,或写成bit/s,即是每秒传输二进制码元的个数。
(2)符号传输速率符号传输速率也叫码元速率。
它是指单位时间内所传输码元的数目,其单位为“波特”(bd)。
(3)频带利用率频带利用率是指单位频带内的传输速率。
可靠性指标(1)误码率在传输过程中发生误码的码元个数与传输的总码元数之比。
(2)信号抖动在数字通信系统中,信号抖动是指数字信号码元相对于标准位置的随机偏移。
第2章1、假设某模拟信号的频谱如图1所示,试画出M s f f 2=时抽样信号的频谱。
答:2、某模拟信号的频谱如图2所示,设kHz f s 24=,试画出其抽样信号的频谱。