求函数极限的方法和技巧解读
- 格式:doc
- 大小:449.50 KB
- 文档页数:16
求极限的12种方法总结及例题求极限的12种方法总结及例题1. 引言在数学学习中,求极限是一个重要的概念,也是许多数学题解的基础。
在学习求极限的过程中,有许多不同的方法可以帮助我们理解和解决问题。
本文将总结12种方法,帮助我们更全面地理解求极限的概念,并提供相应的例题进行演示。
2. 利用极限的定义我们可以利用极限的定义来求解问题。
根据定义,当x趋向于a时,函数f(x)的极限为L,即对于任意的正数ε,总存在正数δ,使得当0<|x-a|<δ时,有|f(x)-L|<ε。
利用这个定义,可以求得一些简单的极限,如lim(x→0) sinx/x=1。
3. 利用夹逼准则夹逼准则是求极限常用的方法之一。
当我们无法直接求出某个函数的极限时,可以利用夹逼准则来找到该函数的极限值。
要求lim(x→0) xsin(1/x)的极限,可以通过夹逼准则来解决。
4. 利用极限的四则运算极限的四则运算法则是求解复杂函数极限的基本方法之一。
利用这个法则,我们可以将复杂的函数分解成简单的部分,再进行求解。
要求lim(x→0) (3x^2+2x-1)/(x+1),可以利用极限的四则运算法则来求解。
5. 利用洛必达法则当我们遇到不定型的极限时,可以利用洛必达法则来求解。
洛必达法则可以帮助我们求出不定型极限的值,例如0/0、∞/∞、0*∞等形式。
通过洛必达法则,我们可以将求解不定型极限的过程转化为求解导数的问题,从而得到极限的值。
6. 利用泰勒展开泰勒展开是求解复杂函数极限的有效方法之一。
当我们遇到无法直接求解的函数极限时,可以利用泰勒展开将其转化为无穷级数的形式,然后再进行求解。
通过泰勒展开,我们可以将复杂函数近似为一个多项式,从而求得函数的极限值。
7. 利用换元法换元法是求解复杂函数极限的常用方法之一。
通过适当的变量替换,可以将复杂的函数转化为简单的形式,然后再进行求解。
对于lim(x→∞) (1+1/x)^x,可以通过换元法将其转化为e的极限形式来求解。
求函数的极限值的方法总结在数学中,函数的极限值是指函数在某一特定区间上取得的最大值或最小值。
求解函数的极限值是数学分析中经常遇到的问题之一,下面将总结一些常用的方法来求解函数的极限值。
一、导数法对于给定的函数,可以通过求导数来判断函数在某一点附近的单调性和极值情况。
导数表示了函数在某一点处的变化率,通过求导数可以获得函数的驻点(导数为零的点)以及极值点。
一般来说,当函数从单调递增变为单调递减时,即导数由正变负,函数的极大值出现;当函数从单调递减变为单调递增时,即导数由负变正,函数的极小值出现。
所以,通过求导数可以找到函数的极值点,然后通过比较极值点和边界点的函数值,即可确定函数的极限值。
二、二阶导数法在某些特殊情况下,求函数的二阶导数可以提供更加准确的信息来确定函数的极限值。
当函数的二阶导数恒为正时,表示函数处于凸型,此时函数可能有极小值但没有极大值;当函数的二阶导数恒为负时,表示函数处于凹型,此时函数可能有极大值但没有极小值。
通过对二阶导数进行符号判断,可以帮助确定函数的极限值。
三、极限值存在性判定对于一些特殊的函数,通过判定函数的极限值是否存在可以快速确定函数的极限值。
当函数在某一区间上连续且存在最大最小值时,函数的极限值也会存在。
因此,可以通过求解函数在区间端点的函数值,并比较这些函数值来确定函数的极限值。
四、拉格朗日乘数法拉格朗日乘数法是一种通过引入约束条件来求解极值的方法,特别适用于求解带有约束条件的函数的极值。
通过构造拉格朗日函数,将原始问题转化为无约束的极值问题,然后通过求解极值问题来确定函数的极限值。
五、切线法切线法是一种直观而有效的求解函数极值的方法。
通过观察函数图像,在极值附近找到一条切线,使得切线与函数图像的接触点的函数值最大或最小。
通过近似切线与函数图像的接触点,可以获得函数的极值的近似值。
六、数值法数值法是一种通过计算机进行数值逼近的方法来求解函数的极限值。
通过将函数离散化,并在离散点上进行计算,可以得到函数在这些离散点上的函数值,然后通过比较这些函数值来确定函数的极限值。
求函数极限的八种方法
常见的求函数极限的方法有八种:
1.定义域内求函数极限:在函数的定义域内直接计算函数值,即可得到函数的极限值。
2.不存在极限:若函数在某一点的极限不存在,则在该点处函数没有极限。
3.左右极限存在且相等:若函数在某一点处的左右极限都存在且相等,则在该点处函数的
极限等于左右极限的值。
4.不等式法求极限:通过不等式将函数的上下界确定,从而确定函数的极限值。
5.函数的单调性求极限:通过函数的单调性可以确定函数在某一点处的极限值。
6.函数连续性求极限:通过函数的连续性可以确定函数在某一点处的极限值。
7.函数导数存在求极限:通过函数的导数存在性可以确定函数在某一点处的极限值。
8.无穷小量法求极限:通过考虑无穷小量对函数值的影响,可以确定函数在某一点处的极
限值。
这八种方法都可以用来求解函数的极限,但是在实际应用中,不同的方法适用于不同的情况。
例如,当函数的定义域内有足够的数据时,定义域内求函数极限是最直接的方法;如果函数在某一点处的左右极限都存在且相等,则可以直接使用左右极限的值作为函数在该点处的极限值;如果函数有明显的单调性或连续性,则可以利用这些性质来求解函数的极限;如果函数的导数存在,则可以利用导数的性质来求解函数的极限。
总之,求函数极限有许多方法,选择哪种方法取决于函数的性质和特点。
在实际应用中,应该根据函数的具体情况选择适当的方法,以得到最准确的结果。
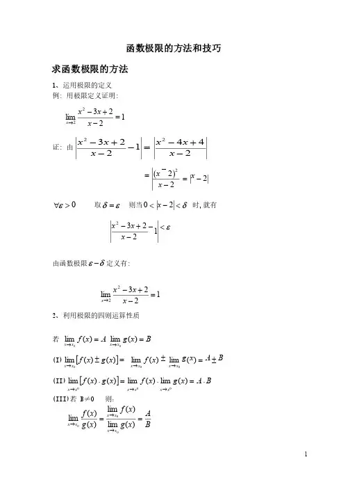
函数极限的方法和技巧求函数极限的方法1、运用极限的定义、运用极限的定义 例: : 用极限定义证明用极限定义证明用极限定义证明: :1223lim 22=-+-®x x x x 证: : 由由244122322-+-=--+-x x x x x x ()2222-=--=x x x0>"e 取e d = 则当则当d <-<20x 时,就有就有 e <--+-12232x x x由函数极限d e -定义有定义有: :1223lim 22=-+-®x x x x 2、利用极限的四则运算性质、利用极限的四则运算性质若 A x f x x =®)(lim 0B x g x x =®)(lim 0(I)[]=±®)()(lim 0x g x f x x )(lim 0x f x x ®±B A x g x x ±=®)(lim 0(II)[]B A x g x f x g x f x x x x x x ×=×=×®®®)(lim )(lim )()(lim 0(III)(III)若若 B B≠≠0 0 则:则:则:BAx g x f x g x f x x x x x x ==®®®)(lim )(lim )()(lim 000(IV IV))cA x f c x f c x x x x =×=×®®)(lim )(lim 0((c 为常数)为常数)上述性质对于时也同样成立-¥®+¥®¥®x x x ,,例:求例:求 453lim22+++®x x x x 解: 453lim 22+++®x x x x =254252322=++×+3、约去零因式(此法适用于型时00,0x x ®)例: : 求求121672016lim 23232+++----®x x x x x x x解:原式原式==()())12102(65)2062(103lim2232232+++++--+---®x x x x xx x x x xx =)65)(2()103)(2(lim222+++--+-®x x x x x x x=)65()103(lim 222++---®x x x x x =)3)(2()2)(5(lim 2+++--®x x x x x =2lim -®x 735-=+-x x4、通分法(适用于¥-¥型)型) 例: : 求求 )2144(lim 22x xx ---®解: : 原式原式原式==)2()2()2(4lim 2x x x x -×++-®=)2)(2()2(lim 2x x x x -+-®=4121lim2=+®x x5、利用无穷小量性质法(特别是利用无穷小量与有界量之乘积仍为无穷小量的性质)设函数f(x)f(x)、、g(x) g(x) 满足:满足:满足: (I )0)(lim 0=®x f x x(II) M x g £)( (M 为正整数为正整数) ) 则:0)()(lim 0=®x f x g x x例: : 求求 xx x 1sinlim 0×® 解解: : 由由 0lim 0=®x x 而而 11sin£x故 原式原式原式 = =01sinlim 0=×®xx x6、利用无穷小量与无穷大量的关系。
求函数极限的方法与技巧《数学分析》是以函数为研究对象,以极限理论和极限方法为基本方法,以微积分学为主要内容的一门学科.极限理论和极限方法在这门课程中占有极其重要的地位.灵活、快捷、准确地求出所给函数的极限,除了对于函数极限的本质有较清楚地认识外,还要注意归纳总结求函数极限的方法,本文对技巧性强、方法灵活的例题进行研究,进一步完善求函数极限的方法与技巧,有利于微积分以及后继课程的学习.1基本方法1.1利用定义法求极限从定义出发验证极限,是极限问题的一个难点.做这类题目的关键是对任意给定的正数ε,如何找出定义中所说的δ.一般地,证明0lim ()x x f x A →=的方法为:0ε∀>,放大不等式0()f x A x x αε-<<-<(α为某一个常数)解出,0αε<-x x 取αεδ=. 例[1](45)1P 证明32121lim 221=---→x x x x .证 0ε∀>,若221112122132133213x x x x x x x x ε---+-=-=<<--++. (限制x :011x <-<,则211)x +>,取=min{3,1}δε,则当01x δ<-<时,便有221123321x x x x ε---<<--. 定义中的正数δ依赖于ε,但不是由ε所唯一确定.一般来说,ε愈小,δ也愈小.用定义证明极限存在,有一先决条件,即事先要猜测极限值A ,然后再证明,这一般不太容易,所以对于其它方法的研究是十分必要的.1.2 利用左、右极限求极限lim ()lim ()lim ()x x x x x x f x A f x f x A +-→→→=⇔==. 例2 设tan 3,0()3cos ,0xx f x x x x ⎧<⎪=⎨⎪>⎩ 求0lim ()x f x →.解 因为00tan 3tan 3lim ()lim lim 333x x x x xf x x x---→→→==⋅=,00lim ()lim 3cos 3x x f x x ++→→==. 得到0lim ()lim ()3x x f x f x -+→→==,所以0lim ()3x f x →=. 例3 求函数1()11x f x x +=++在1x =-处的左右极限,并说明在1x =-处是否有极限.解 111lim ()lim (1)21x x x f x x ++→-→-+=+=+,11(1)lim ()lim (1)01x x x f x x --→-→--+=+=+.因为11lim ()lim ()x x f x f x +-→-→-≠,所以)(x f 在1x =处的极限不存在.例4 若,0(),0xax b x f x e x +>⎧=⎨<⎩,求分段点0处的极限. 解 因为0lim ()lim()x x f x ax b b ++→→=+=,00lim ()lim 1xx x f x e --→→==.所以当1b =时,0lim ()1x f x →=;当1b ≠时,0lim ()x f x →不存在.可见,利用左右极限是证明分段函数在其分段点处是否有极限的主要方法.1.3 利用函数的连续性求极限 初等函数在其定义的区间I 内都连续.若I x ∈0,初等函数()f x 当0x x →时的极限就等于其在0x x =时的函数值,即0lim ()()x x f x f x →=.特别地,若[()]f x ϕ是复合函数,又0lim ()x x x a ϕ→=,且()f u 在u a =处连续,则lim [()][lim ()]()x x x x f x f x f a ϕϕ→→==.例5 求21cos 2arcsin 0lim xx x e -→.解 由于201cos 1lim2arcsin 4x x x →-=及函数ue uf =)(在14u =处连续, 所以2201cos 1cos 1lim2arcsin 2arcsin 4lim x xxx x x e e e →--→==.例[]()21196P 求4x →解4443lim4x x x x →→→==-413x →=== 在4x =连续).例[1](84)7P 求0ln(1)limx x x→+.分析 由1ln(1)ln(1)xx x x+=+,设ln y u =,1(1)x u x =+.因为10lim(1)x x x e →+=,且ln y u =在e u =点连续,故可利用函数的连续性求此极限.解 11000ln(1)limlimln(1)ln[lim(1)]ln 1xx x x x x x x e x→→→+=+=+==. 1.4 利用函数极限的四则运算法则求极限 若lim ()f x ,lim ()g x 存在,则有:(1)lim[()()]lim ()lim ()cf x bg x c f x b g x ±=±(,c b 为任意常数); (2)lim[()()]lim ()lim ()f x g x f x g x ⋅=⋅;(3)()lim ()lim[]()lim ()f x f xg x g x =(其中lim ()0)g x ≠; (4)lim[()][lim ()]nnf x f x =;(5)若lim ()f x A =,对正整数n ==.注 以上每个等式中的“lim ”均指x 的同一趋向.例8 1225lim(2)1x x x x→∞+-. 分析 该函数可以看作是两个函数的和.而对于函数2251x x -是分式函数,分子、分母都是多项式函数,并且当自变量x →∞时,归于前面介绍的第四种类型.对于函数12x,当x →∞时,01→x,故121x→.因此,只须再利用和的运算法则即可求得此极限.解 11222255lim(2)lim lim 251411x x x x x x xx x →∞→∞→∞+=+=-+=---. 1.5 利用重要极限求极限 1.5.1 0sin lim1x x x→=可推出0lim 1sin x x x →=,2000tan arctan 1cos 1lim 1,lim 1,lim 2x x x x x x x x x →→→-===.推广:0sin ()lim1()x x x φφ→=或0()lim 1sin ()x x x φφ→= 0(lim ()0)x x φ→=利用此重要极限公式求函数的极限,通常需要利用恒等变换将函数的某一组成部分变成形如sin ()()x x φφ或()sin ()x x φφ的形式.特别注意的是sin ()x φ这个复合函数的内函数()x φ要和分母或分子的函数相同,并且保证()0x φ→ (0)x →,则此部分的极限就为1.例9 求0sin 3limsin 2x xx→.分析 设sin 3()sin 2xf x x=,当0x →时,30x →,20x →故可利用恒等变换将()f x 化为sin 3()sin 2x f x x =sin 3233sin 22x x x x =⋅⋅,利用此重要极限公式即可求得.解 0000sin 3sin 323sin 3233lim lim lim lim sin 23sin 223sin 222x x x x x x x x x x x x x x →→→→=⋅⋅=⋅⋅=.1.5.2 1lim(1)xx e x→∞+=或10lim(1)x x x e →+=推广:1lim(1)x x e x φφ→∞+=()() (lim ())x x φ→∞=∞或0lim 1x e φφ→+=1(x)((x)) 0(lim ()0)x x φ→= 对于函数1()(1)x f x x φφ=+()()或()1f x φφ=+1(x)((x)),由于函数的底数和指数位置均含有变量,因此称为幂指函数.此重要极限公式解决的是1∞型幂指函数的极限问题,对于给定的函数,一般情况下也需要利用恒等变形后方可利用此公式.例10 求3lim(1)xx x→∞+.分析 设函数3()(1)xf x x=+是幂指函数,当x 趋于无穷大时,底3(1)1x+→,指数x →∞,是1∞型幂指函数,需利用此重要极限公式推广形式,将函数变形为3331()(1)((1))3xx f x x x=+=+,其中()3x x φ=,且当x →∞时,3x→∞,故有31lim(1)3x x e x →∞+=.解 3333311lim(1)lim(1)lim((1))33x xx x x x e x x x→∞→∞→∞+=+=+=.1.6 利用洛必达法则求极限在解决未定式的极限时,最简单的方法是约去分子、分母中趋于零的公因子.洛必达法则正是以求导的方法解决了这个问题.洛必达法则: 设)(),(x g x f 满足①在点0x 的领域内(点0x 可以除外)有定义,且0lim ()0x x f x →=,lim ()0x x g x →=.②在该领域内可导,且0)(≠'x g .③A x g x f x x =''→)()(lim 0. (A 可为实数,也可为∞±或∞)则A x g x f x g x f x x x x =''=→→)()(lim )()(lim00.如果()()f x g x ''在0x x →时,仍为00或∞∞型,且这时()f x '与()g x '仍满足定理中的条件,则可继续使用洛必达法则.例11 求22230sin cos lim sin x x x x x x→-.解 2223400sin cos (sin cos )(sin cos )lim lim sin x x x x x x x x x x x x x x→→-+-= 320000sin cos sin cos cos cos sin 2sin 2limlim 2lim lim 333x x x x x x x x x x x x x x x x x x x →→→→+--+=⋅===. 1.7 利用无穷小求极限1.7.1 利用无穷小量的性质求函数的极限 性质1 有限个无穷小量的代数和是无穷小量. 性质2 有限个无穷小量之积是无穷小量. 性质3 任一常数与无穷小量之积是无穷小量. 性质4 无穷小量与有界变量之积是无穷小量. 例12 求1lim()cosx x x πππ→--. 解 0)(lim =-→ππx x ,而1cos1x π≤-,所以1lim()cos 0x x x πππ→-=-.1.7.2 利用等价无穷小量替换求函数的极限 若11()~(),()~()x x x x ααββ且11()lim()x x αβ存在,则()lim ()x x αβ也存在,并且11()()limlim ()()x x x x ααββ= 注 1. 常用的几对等价无穷小量.(当0x →时)2sin ~,tan ~,ln(1)~,1~,1cos ~2xx x x x x x x e x x +--.2. 等价无穷小量替换,来源于分数的约分,只能对乘除式里的因子进行代换,在分子(分母)多项式里的单项式通常不可作等价代换.例13求0lim x +→.分析函数经过变形可化为00lim lim x x ++→→0x +→时,利用21cos ~,1~22x xx --等价无穷小来计算极限.解原式00lim lim x x ++→→==2000112lim lim lim222x x x x x x +++→→→==⋅=⋅. 例14 求0ln(1sin )lim x x x α+→-(α是实数).解 当0x →时,ln(1sin )~sin ~x x x --- 1000,1ln(1sin )lim lim()1,1,1x x x x x ααααα++-→→<⎧-⎪=-=-=⎨⎪-∞>⎩. 1.8 利用降幂法求极限 1.8.1 分子分母为有理式()lim()x P x Q x →∞,其中()P x ,()Q x 均为多项式函数方法:将分子、分母同除以x 的最高次幂.例15 求2256lim 2x x x x x →∞+++-.分析 该函数是分式函数,分子2()56P x x x =++,分母2()2Q x x x =+-均为二次多项式函数,且自变量x 趋近于∞时均趋近于∞,故采取将分子、分母同除以最高次幂2x ,即消去2x ,有22562x x x x +++-22561121x x x x++=+-而1lim 0x x →∞=,21lim 0x x →∞=,再利用极限的运算法则,即可求出函数的极限. 解 222256156100lim lim 11221001x x x x x x x x x x→∞→∞++++++===+-+-+-. 一般地,对于()lim()x P x Q x →∞(其中()P x ,()Q x 均为多项式函数),当分子的次数高于分母次数,该函数极限不存在; 当分子的次数等于分母次数,该函数极限等于分子、分母的最高次项的系数之比;当分子的次数低于分母次数,该函数极限为0.即11101110lim 0nmn n n n m m x m m a n m b a x a x a x a n m b x b xb x b n m---→∞-⎧=⎪⎪++++⎪=∞>⎨++++⎪<⎪⎪⎩ .1.8.2 分子分母为无理式(1)当x →∞时,将分子、分母同除以x 的最高方次. 例16求limlimx x →+∞.解lim lim lim 1x x x ===. limlim 021x x x x→+∞→+∞==++. (2)当0x x →时,若 1) 0()0Q x ≠,则000()()lim()()x x P x P x Q x Q x →=;2) 00()0,()0Q x P x =≠,则0()lim()x x P x Q x →=∞;3) 00()()0Q x P x ==可利用有理化分子(或分母)的方法求极限. 例17求2x → 分析 该函数是分式函数,并且含有根式,当0x →时,分子、分母均趋近于0,故将分子、22221)x x ==1而当0x →12→,故可求得此极限.解220x x →→=22001)lim 12x x x x→→+==+=. 1.9 利用中值定理求极限例18 求xx e e x x x sin lim sin 0--→.解 设xe xf =)(,对它的应用微分中值定理得:[]sin ()(sin )(sin )sin (sin )(01)x x e e f x f x x x f x x x θθ'-=-=-+-<< ,即sin [sin (sin )](01).sin x xe ef x x x x xθθ-'=+-<<- 因为 ()x f x e '=连续,所以0lim [sin (sin )](0) 1.x f x x x f e θ→''+-===从而有 sin 0lim1sin x xx e e x x→-=-. 例19 设函数()f x 在0x =处连续,又设函数102()11sin 02x x x x x xϕ⎧+≤⎪⎪=⎨⎪>⎪⎩ , 求220()()cos lim()xx xf x x t dtx x ϕϕ→+⎰.解 利用积分中值定理有,2220cos 2cos 02xt dt x x ξξ=<<⎰,因为001lim 0lim ()2x x x ξϕ→→==,,,所以2220()()cos ()()2cos limlim ()()xx x xf x x t dtxf x x x x x x x ϕϕξϕϕ→→++⋅=⎰ 200()()2cos lim lim 2(0)2()()x x xf x x x f x x x x ϕξϕϕ→→⋅=+=+. 1.10 利用泰勒公式求极限若一个函数的表达式比较复杂时,我们可以将它展成泰勒公式,使其化成一个多项式和一个无穷小量的和,而多项式的计算是比较简单的,从而此方法能简化求极限的运算.例20 计算0()sin(sin )limsin x tg tgx x tgx x→--.分析 此题虽是型,但使用洛必达法则求极限太复杂.而分母无穷小的最低阶数为3,故写出诸函数三阶泰勒公式,便可求得结果.解 33sin ()3!x x x x ο=-+ 331()()3tgx x x x ο=++. 3333111sin ()()()33!2tgx x x x x x οο-=++=+.又33333331sin(sin )sin(())(()())3!3!3!3!x x x x x x x x x x οοο=-+=---++ 333331()()3!3!3x x x x x x x οο=--+=-+. 333331111()(())(())3333tg tgx tg x x x x x x x x οο=++=++++ 3333312()()33x x x x x x x οο=+++=++.所以33()sin(sin )()tg tgx x x x ο-=+.330033()sin(sin )()lim lim 21sin ()2x x tg tgx x x x tgx x x x οο→→-+==-+. 例21 求21lim(cos sin )x x x x x →+.解 应用cos ,sin ,ln(1)x x x +的泰勒展式有2232311cos sin 1()1()22x x x x x x x x οο+=-++=++23331ln(cos sin )ln(1())()22x x x x x x x οο+=++=+因此,232200111lim ln(cos sin )lim [()]22x x x x x x x x x ο→→+=+=于是,原式211ln(cos sin )20lim x x x xx e e +→==. 例22 设()f x 在点0x =处二阶可导,且320sin 3()lim[]0x x f x x x→+=,求(0),(0),(0)f f f '''并计算极限2203()lim()x f x x x→+. 解 由已知条件,并利用麦克劳林公式,有320sin 3()0lim[]x x f x x x →=+33223201(0)3(3)()(0)(0)()3!2lim[]x f x x x f f x x x x x οο→'''-++++=+ 233301(0)9lim [(3(0))(0)()()]22x f f x f x x x x ο→'''=+++-+. 得(0)3,(0)0,(0)9f f f '''=-==. 于是2203()lim[]x f x x x →+222011lim [3(0)(0)(0)()]2x f f x f x x x ο→'''=++++ 2220199lim [33()]22x x x x ο→=-++=. 2 典型方法2.1 重要极限的再推广定理 设lim ()1,lim ()f x g x ==∞,则()lim[(()1)()]lim[()]g x f x g x f x e -=证明 1(()1)()()()1lim[()]lim[1(()1)]f xg x g x f x f x f x --=+-1lim(()1)()lim[(()1)()]()1{lim[1(()1)]}f xg x f x g x f x f x e ---=+-=例1 求211lim(1)xx x x→∞++解 这是1∞型极限,2211111()1,(),(()1)()()1f x g x x f x g x x x x x x x=++=-=+=+, 所以2111lim [(11)]lim (1)211lim(1)x x x x x x xx ee e x x→∞→∞++-⋅+→∞++==. 另解 对211lim(1)x x x x →∞++令211(1)x y x x =++取对数得211ln ln(1)y x x x=++于是有211ln(1)lim ln lim1x x x x y x→∞→∞++= (00型,可洛必达法则)232221212211lim lim 11121x x x x x x x x x x →∞→∞--+++===-++ 所以1212lim lim(1)x x x y e e x x→∞→∞=++==显然这样解要复杂的多.例2 求21lim(cos 2)x x x →.解 21()cos 2,()f x x g x x ==因为2001limcos 21,lim x x x x →→==∞所以是1∞型极限, 有2222112sin limlim (cos21)20lim(cos 2)x x x x x x x x x e e e →→---→===.例3 求1222234lim()238x x x x x x -→+--+. 解 1222234lim()238x x x x x x -→+--+222341exp{lim(1)}2382x x x x x x →+-=-⋅-+- 425222241216exp(lim )exp(lim )2382238x x x x x e x x x x x →→+-+=⋅==-+--+.2.2 洛必达法则的应用例4 计算极限2[(1)]lim(1cos )xx x arctg t dt dx x x →+-⎰⎰.分析 对0,0∞∞等未定式的极限,常可用洛必达法则来计算. 解 原式22000(1)(1)2lim lim(1cos )sin 2sin cos x x x arctg t dtarctg x xx x x x x x→→++⋅==-+⋅+⋅⎰222042(1)1lim 3cos sin 6x x arctg x x x x x π→+++==-⋅. 3 一题多解举例每一个题目并非只能用一种方法进行求解,通常可采用多种途经去解决它. 例1 求1lim(12)xx x →-.[解法一] 利用重要极限10lim(1)xx x e →+=112220lim(12)lim[(12)]xx x x x x e ---→→-=-=.[解法二] 用取对数法 令1(12)xy x =-,两边取对数,得1ln ln(12)y x x=- 由0002112limln lim[ln(12)]lim 21x x x x y x x →→→--=-==-,所以1200lim lim(12)x x x y x e -→→=-=.[解法三] 用换元法 令2x t -=,则12x t-=所以112200lim(12)lim[(1)]xt x x x t e --→→-=+=.[解法四] 利用对数式的性质001112ln(12)lim ln(12)lim2120lim(12)lim x x x x x xxx x x x eeee →→-----→→-====.例2 求22201cos lim sin x x x x →-.[解法一] 用洛必达法则和重要极限0sin lim1x xx→=原式2222222222200022sin 2sin sin 1lim lim lim sin 2sin 2cos sin cos 2cos x x x x x x x x x x x x x x x x x x x →→→====+⋅++.[解法二] 三角函数公式及洛必达法则原式2222222220002232(sin )sin cos222lim lim lim 2sin cos cos 2cos sin22222x x x x x x x x x x x xx x x x →→→===- 22202cos12lim 22cos sin22x x x x x →==-. [解法三] 三角函数恒等变换和重要极限0sin lim1x xx→= 原式2222222220022(sin )sin sin11222lim lim sin sin 2222x x x x x x x x x x x →→==⋅⋅=⋅. [解法四] 分子分母同除以4x 用重要极限和洛必达法则原式222440224002201cos 1cos lim 1cos lim lim sin sin lim x x x x x x x x x x x x x x →→→→---===2232002sin 1sin 1lim lim 224x x x x x x x →→==⋅=. [解法五] 分子分母同乘21cos x +原式2222222222222000(1cos )(1cos )sin sin lim lim lim sin (1cos )sin (1cos )(1cos )x x x x x x x x x x x x x x x →→→-+===+++22200sin 11lim lim 1cos 2x x x x x →→==+. [解法六] 变换替换后用洛必达法则令2u x = 原式0001cos sin cos 1limlim lim sin sin cos 2cos sin 2u u u u u u u u u u u u u u →→→-====+-又00sin 11lim sin cos 2lim(1cos )sin u u u uu u u u u→→==++⋅. [解法七] 用等价无穷小来代替原式222242222400012sin 2()1222lim lim lim 2sin x x x x x xx x x x x →→→⋅====⋅. 原式22430001cos 2sin 21lim lim lim 424x x x x x x x x x x→→→-====. [解法八] 级数解法因为462cos 12!4!x x x =-+- 622sin 3!x x x =-+所以4682822048()1cos 12!4!lim sin 2()3!x x x x x x x x x x οο→-+-==-+. [解法九] 连续使用两次洛必达法则原式22222222002sin sin lim lim 2cos 2sin cos sin x x x x x x x x x x x x x →→==⋅++222222222002cos cos 1lim lim 2cos 2sin 2cos 2cos sin 2x x x x x x x x x x x x x x x →→===-⋅+-. 例3[]()728P 设()x ϕ连续,0()lim2sin t t t t t ϕ→=-,求0()lim sin t t xt t tϕ→-.[解法一] 从0()lim2sin t t t t t ϕ→=- 可得0()lim 2sin 1t t ttϕ→=-所以0lim ()0t t ϕ→=.又()x ϕ连续,因此(0)0ϕ=这样可以得到:当0x =时,00()(0)lim lim 0sin sin t t t xt t t t t tϕϕ→→==--;当0x ≠时,作变量代换xt u =,有000()()()lim lim lim sin sin sin t u u uu t xt u u x u u ut t u x x x xϕϕϕ→→→==--- 00()sin lim limsin sinu u u u u u uu u u x xϕ→→-=⋅--以下利用已知极限,以及两次洛必达法则,即可求出极限为22x , 所以,原式22,00,0x x x ⎧≠=⎨=⎩.[解法二] 利用等价无穷小求解,注意到31sin ~(0)6t t t t -→这样,从0()limsin t t t t t ϕ→- 03()lim 216t t t tϕ→==可知21()~(0)3t t t ϕ→于是220031()()3lim lim 2(0)1sin 6t t t xt t xt x x t t t ϕ→→⋅==≠-;当0x =时,根据法一可得结果.综上所述,原式22,00,0x x x ⎧≠=⎨=⎩.例4 求2lim lnx x ax x a→∞++. [解法一] 原式221()(2)12ln2()lim lim 11x x x a x a x a x a x a x a x a x x→∞→∞+⋅+-+⋅+⋅+++==-222limlim 12()(2)(1)(1)x x ax ax x a a a ax a x a x x→∞→∞===⋅=++++. [解法二] 因为(2)lnln(1)()x a a x a x a +=+++ 又所以x →∞时,0ax a→+,所以ln(1)~a a x a x a +++则2lim ln lim lim 1x x x x a a a x x a a x a x a x→∞→∞→∞+⋅=⋅==+++.总之,极限的解题方法很多,这就要求我们多做练习,学会总结归纳,学会举一反三.这对拓展我们的思维,进一步学好数学是有帮助的。
求函数极限的方法与技巧函数极限是微积分中的重要概念,它描述了函数在某个点或者趋向某个点时的变化规律。
求函数极限的方法与技巧有很多,下面将详细介绍。
1. 直接代入法直接代入法是求函数极限最简单的方法之一。
当函数在某一点或者趋向某一点时,可以直接将该点代入函数中进行计算。
如果得到的结果是有限值,则函数在该点的极限存在且等于该有限值;如果得到的结果是无穷大或者不存在,则函数在该点的极限也相应不存在。
要求函数f(x)在x=1时的极限,可以直接计算f(1)的值,如果得到的值是有限的,那么f(x)在x=1时的极限存在且等于f(1)的值;如果得到的值为无穷大或者不存在,那么f(x)在x=1时的极限也相应不存在。
2. 夹逼定理夹逼定理是求函数极限的重要方法之一,它适用于求极限存在的情况。
夹逼定理的思想是通过找到一个比较“简单”的函数序列,将要求的函数夹在这些函数之间,从而利用这些函数的极限值来判断原函数的极限是否存在。
夹逼定理的具体步骤是:(1) 找到两个函数序列g(x)和h(x),它们分别比要求的函数f(x)小和大;(2) 当x趋向某一点a时,g(x)和h(x)的极限分别为L和M;(3) 如果L=M,则函数f(x)在x趋向a时的极限存在且等于L=M。
要求函数f(x)=x^2sin(1/x)在x=0时的极限,可以采用夹逼定理。
我们知道-1≤sin(1/x)≤1,因此-x^2≤x^2sin(1/x)≤x^2,而当x趋向0时,-x^2和x^2两个函数的极限都为0。
根据夹逼定理,可以得到f(x)在x=0时的极限存在且等于0。
3. 分式分解法对于一些复杂的函数,可以通过将其进行分式分解来求解极限。
分式分解法的思想是将函数表示为分子、分母分别进行分解,并利用极限的四则运算性质来求得要求的极限。
要求函数f(x)=(x^2-1)/(x-1)在x=1时的极限,可以将f(x)进行分解得到f(x)=x+1,从而得到函数在x=1时的极限为2。
高等数学求极限的14种方法一、极限的定义1.极限的保号性很重要:设A x f x x =→)(lim,(i )若A 0>,则有0>δ,使得当δ<-<||00x x 时,0)(>x f ; (ii )若有,0>δ使得当δ<-<||00x x 时,0A ,0)(≥≥则x f 。
2.极限分为函数极限、数列极限,其中函数极限又分为∞→x 时函数的极限和0x x →的极限。
要特别注意判定极限是否存在在:(i )数列{}的充要条件收敛于a n x 是它的所有子数列均收敛于a 。
常用的是其推论,即“一个数列收敛于a 的充要条件是其奇子列和偶子列都收敛于a ”(ii )A x x f x A x f x =+∞→=-∞→⇔=∞→lim lim lim )()((iii)A x x x x A x f x x =→=→⇔=→+-limlimlim)((iv)单调有界准则(v )两边夹挤准则(夹逼定理/夹逼原理)(vi )柯西收敛准则(不需要掌握)。
极限)(limx f x x →存在的充分必要条件是:εδεδ<-∈>∃>∀|)()(|)(,0,021021x f x f x U x x o时,恒有、使得当二.解决极限的方法如下:1.等价无穷小代换。
只能在乘除..时候使用。
例题略。
2.洛必达(L ’hospital )法则(大题目有时候会有暗示要你使用这个方法)洛必达法则(定理)设函数f(x )和F(x )满足下列条件: ⑴x→a 时,lim f(x)=0,lim F(x)=0;⑵在点a 的某去心邻域内f(x )与F(x )都可导,且F(x )的导数不等于0; ⑶x→a 时,lim(f'(x)/F'(x))存在或为无穷大 则 x→a 时,lim(f(x)/F(x))=lim(f'(x)/F'(x))注: 它的使用有严格的使用前提。
求函数极限的方法与技巧求函数极限是微积分的重要内容之一,也是数学分析中的基本问题。
求函数极限需要掌握一定的方法与技巧,下面将从常用的方法、典型的技巧和注意事项等方面进行详细介绍。
1. 代入法代入法是求函数极限最简单的方法之一。
当函数在极限点附近没有特殊的性质时,可以通过直接代入极限值来求解极限。
求函数f(x)=2x-1在点x=3处的极限,直接代入x=3,即可得到f(3)=2*3-1=5,所以极限值为5。
2. 分式化简法对于复杂的函数极限,通常可以利用分式化简法来解决。
将函数化为分式形式,通过合并同类项或者提取公因式等方法,将分式化简至最简形式,然后再进行极限运算。
这样可以简化计算,并且更容易得到极限值。
3. 夹逼准则夹逼准则也是求解极限常用的方法之一。
夹逼准则是一种利用不等式来求解极限的方法,通常用于求解无穷小的极限。
利用夹逼准则可以将复杂的极限问题转化为相对简单的不等式推导问题,从而更容易求得极限值。
4. 极限换元法极限换元法是求解函数极限的一种有效方法,也是求极限的一个经典技巧。
通过将变量进行适当的换元,可以将原来复杂的极限问题转化为相对简单的形式,从而更容易求解极限值。
常见的换元方式包括三角换元、指数换元、对数换元等。
二、典型的技巧1. 分步求解有些复杂的函数极限问题可以通过分步求解来进行,先将函数进行分解或者阶段性的处理,然后逐步求解各个部分的极限值,最后将结果进行合并得到整体的极限值。
这样可以降低计算的复杂度,更容易求得极限值。
2. 极限的运算法则在进行极限运算时,可以利用极限的运算法则来简化计算。
其中包括加减法法则、乘法法则、除法法则、幂函数法则、复合函数法则等,这些运算法则可以在极限计算中起到一定的简化作用,并帮助求得极限值。
3. 利用对称性对称性在求解函数极限中也是一种常用的技巧。
对于对称性的函数或者函数的特殊性质,可以利用对称性来简化极限计算,例如利用奇偶性、周期性等性质,从而简化计算过程,更容易求得极限值。
高等数学中函数极限的求法技巧解析函数极限是高等数学中的重要概念,它刻画了一个函数在某一点上的走势。
在实际应用中,有时需要求解函数在某一点上的极限,这就需要运用一些求极限的技巧和方法。
下面就来解析一些常见的函数极限求法技巧。
首先是常数函数极限。
对于一个常数函数,它在定义域上的值都是固定不变的,即不管自变量取什么值,函数值都是相同的。
对于一个常数函数,其在任何一点上的极限都等于该点上的函数值。
接下来是多项式函数极限。
多项式函数是指由常数乘方和常数乘法运算得到的函数。
对于多项式函数来说,当自变量趋近于无穷大时,函数值也趋于无穷大或负无穷大。
对于一个多项式函数来说,在无穷大处的极限是存在的。
最后是三角函数的极限。
对于三角函数来说,当自变量趋近于无穷大时,三角函数的值也是不断在某个范围内摆动的。
对于三角函数来说,在无穷大处的极限是不存在的。
在实际应用中,我们常常需要对函数进行化简,然后再进行极限的求解。
常用的化简方法有分子有理化、分母有理化、换元法等。
利用这些化简方法,可以将一个复杂的函数转化为一个更简单的形式,从而更容易求解其极限。
还有一些常用的极限运算法则可以简化极限的求解过程。
对于两个函数的和、差、积,极限的运算可以分别对这些函数的极限进行运算;对于两个函数的商,可以将其转化为乘法形式,然后再进行极限的运算。
通过利用这些极限运算法则,可以更便捷地求解函数的极限。
函数极限的求法技巧主要包括对常数函数、多项式函数、指数函数、对数函数和三角函数的特点进行分析,化简函数形式,运用极限运算法则等。
通过灵活运用这些技巧,就能够更加准确地求解函数的极限。
求函数极限的方法与技巧函数极限是微积分中的重要概念,在解决实际问题和进行理论推导时经常需要用到。
在计算函数极限时,常常使用一些方法和技巧可以简化计算过程。
下面将介绍一些常用的函数极限计算方法和技巧。
一、代数运算法则1. 乘积运算法则:如果lim(x->a)f(x)=A,lim(x->a)g(x)=B,则lim(x->a)[f(x)g(x)]=AB。
2. 商运算法则:如果lim(x->a)f(x)=A,lim(x->a)g(x)=B且B≠0,则lim(x->a)[f(x)/g(x)]=A/B。
3. 加法运算法则:如果lim(x->a)f(x)=A,lim(x->a)g(x)=B,则lim(x->a)[f(x)+g(x)]=A+B。
4. 减法运算法则:如果lim(x->a)f(x)=A,lim(x->a)g(x)=B,则lim(x->a)[f(x)-g(x)]=A-B。
以上的代数运算法则可以简化函数极限的计算过程,通过运用这些法则可以将一个复杂的函数极限问题转化为多个简单的函数极限问题。
二、夹逼准则夹逼准则也是常用的一种函数极限计算方法。
如果存在函数g(x)和h(x),使得对于x 在a的某个去心邻域内,有g(x)≤f(x)≤h(x),并且lim(x->a)g(x)=lim(x->a)h(x)=L,则lim(x->a)f(x)=L。
夹逼准则利用了三个函数之间的大小关系,将复杂的函数极限问题转化为两个较为简单的函数极限问题。
三、分子有理化和分母有理化在计算函数极限时,有时候分子或分母不是有理式,而是含有根号、分数等形式。
这时可以利用分子有理化和分母有理化的方法将其化简为有理式,再进行运算。
当计算lim(x->0)(sinx/x)时,可以将其改写为lim(x->0)(sinx)/(x/x)的形式,然后再利用等式lim(x->0)(sinx)/x=1来计算极限。
16种求极限方法及一般题型解题思路分享求极限是微积分中的重要内容之一,常见于各种数学和工程科学中。
为了求出一个函数在某一点的极限,需要使用合适的方法。
下面介绍16种常用的求极限方法,以及一般题型解题思路。
一、直接代入法对于多项式函数和分式函数,可以直接将自变量代入函数表达式中计算极限。
例如,求函数 f(x) = 2x + 3 在 x = 1 处的极限,直接代入即可得到结果。
二、分解因式法对于分式函数,可以通过分解因式来简化计算,特别适用于分子和分母都是多项式的情况。
例如,求函数 f(x) = (x^2 - 1)/(x - 1) 在 x = 1 处的极限,可以将分子进行因式分解,得到 f(x) = (x - 1)(x + 1)/(x - 1),然后约去公因式,即可得到结果。
三、夹逼定理夹逼定理用于解决复杂函数在某一点处的极限问题。
如果一个函数在某一点附近被两个其他函数夹住,并且这两个函数的极限都存在且相等,那么原函数的极限也存在且等于这个相等的极限。
例如,对于函数 f(x) = x*sin(1/x),当 x 趋近于 0 时,f(x) 被两个函数 g(x) = x 和 h(x) = -x 夹住,且 g(x) 和 h(x) 的极限都是 0,所以 f(x) 的极限也是 0。
四、变量代换法第1页/共5页对于一些特殊的函数,可以通过变量代换来简化计算。
例如,对于函数f(x) = sin(1/√x),当 x 趋近于 0 时,可以将√x = t,那么 x = t^2,且当 x 趋近于 0 时,t 也趋近于 0,所以求 f(x) 在 x = 0 处的极限可以转化为求 g(t) = sin(1/t) 在 t = 0 处的极限。
五、洛必达法则洛必达法则是一种常用的求函数极限的方法,特别适用于形如 0/0 或∞/∞的不定式。
根据洛必达法则,如果一个不定式的分子和分母的极限都存在且为 0 或∞,那么可以分别对分子和分母求导后再次求极限,直到找到一个不是 0/0 或∞/∞的形式。
求函数极限的方法与技巧6篇第1篇示例:求函数极限的方法与技巧在学习数学的过程中,函数极限是一个非常重要的概念。
通过求函数的极限,我们可以了解函数在某一点的变化趋势,从而掌握函数的性质和特征。
在实际应用中,求函数极限也是解决数学问题和物理问题的基础。
那么,如何求函数的极限呢?下面我们就来讨论一下求函数极限的方法与技巧。
我们来说一说函数极限的定义。
对于函数f(x),当自变量x趋于某一值a时,如果函数值f(x)无限接近于某一确定的常数L,那么常数L 就是函数f(x)在点a处的极限,记作lim(x→a) f(x) = L。
换句话说,就是当x无限接近a时,f(x)的取值无限接近L。
要求函数的极限,就是要找到这个L。
1. 代入法:对于一些简单的函数,我们可以直接代入a的数值,求出f(a)的值。
如果f(a)存在且有限,那么这个值就是函数在点a处的极限。
2. 因子分解法:对于一些复杂的函数,我们可以通过因子分解来求得函数的极限。
根据函数的性质,我们可以将函数分解为一些简单的分式或者根式,从而求得极限的值。
3. 夹逼定理:对于一些特殊的函数,我们可以利用夹逼定理来求得函数的极限。
夹逼定理是一种通过两个较为简单的函数来夹逼待求函数的极限的方法,通过和两个函数比较来逼近待求函数的极限值。
4. 利用导数:对于一些连续的函数,我们可以利用导数来求得函数的极限。
通过求导数,我们可以得到函数的切线斜率,从而得到函数在某一点的变化趋势。
除了以上的方法与技巧,还有一些注意事项需要我们在求函数极限时要注意:1. 涉及无穷大的极限时,要格外注意函数的性质,以及无穷大的表示方式。
2. 找出函数的不确定形式,通过化简或者变形来求得函数的极限。
3. 对于有理函数的极限,要特别注意分母为0的情况,以及分子、分母次数的关系。
4. 要熟练掌握常用函数的极限形式,比如指数函数、对数函数、三角函数等。
5. 在求导数时,要注意一阶导数、高阶导数等,以及导数的性质和规律。
函数极限的方法和技巧求函数极限的方法1、运用极限的定义 例: 用极限定义证明:1223lim 22=-+-→x x x x 证: 由244122322-+-=--+-x x x x x x ()2222-=--=x x x0>∀ε 取εδ= 则当δ<-<20x 时,就有ε<--+-12232x x x由函数极限δε-定义有:1223lim 22=-+-→x x x x 2、利用极限的四则运算性质若 A x f x x =→)(lim 0B x g x x =→)(lim 0(I)[]=±→)()(lim 0x g x f x x )(lim 0x f x x →±B A x g x x ±=→)(lim 0(II)[]B A x g x f x g x f x x x x x x ⋅=⋅=⋅→→→)(lim )(lim )()(lim 0(III)若 B ≠0 则:BAx g x f x g x f x x x x x x ==→→→)(lim )(lim )()(lim 000(IV )cA x f c x f c x x x x =⋅=⋅→→)(lim )(lim 0(c 为常数)上述性质对于时也同样成立-∞→+∞→∞→x x x ,,例:求 453lim 22+++→x x x x解: 453lim 22+++→x x x x =254252322=++⋅+3、约去零因式(此法适用于型时0,0x x →)例: 求121672016lim 23232+++----→x x x x x x x解:原式=()())12102(65)2062(103lim2232232+++++--+---→x x x x xx x x x xx =)65)(2()103)(2(lim 222+++--+-→x x x x x x x=)65()103(lim 222++---→x x x x x =)3)(2()2)(5(lim 2+++--→x x x x x =2lim -→x 735-=+-x x4、通分法(适用于∞-∞型) 例: 求 )2144(lim 22xx x ---→解: 原式=)2()2()2(4lim2x x x x -⋅++-→=)2)(2()2(lim2x x x x -+-→=4121lim2=+→x x5、利用无穷小量性质法(特别是利用无穷小量与有界量之乘积仍为无穷小量的性质)设函数f(x)、g(x) 满足: (I )0)(lim 0=→x f x x(II) M x g ≤)( (M 为正整数) 则:0)()(lim 0=→x f x g x x例: 求 xx x 1sinlim 0⋅→ 解: 由 0lim 0=→x x 而 11sin≤x故 原式 =01sinlim 0=⋅→xx x6、利用无穷小量与无穷大量的关系。
求函数极限的方法与技巧函数极限是微积分中的重要概念之一,对于理解函数在某一点的趋势和性质具有基础性的作用。
在数学学习中,求函数极限是一个比较常见的问题,也是比较基础的内容。
不过,并不是所有的函数都能简单地通过代入计算得到极限值,有些函数的极限需要用一些特殊的方法和技巧来求解。
下面就让我们来了解一下求函数极限的方法与技巧。
一、代入法代入法是求函数极限的最基本方法。
它适用于一些简单函数,比如多项式函数、分式函数等。
当我们要求一个函数在某一点的极限时,只需要用该点的值代入函数中,即可得到函数在该点的极限值。
求函数f(x) = 2x + 1在点x=3处的极限,我们只需要将x=3代入函数中即可得到极限值。
即lim(x→3)f(x) = 2*3 + 1 = 7。
这种方法简单直观,适用范围广泛,对于一些简单函数来说确实是一个很好的方法。
但是对于一些复杂函数来说,代入法并不一定适用,我们需要借助其他的方法来求解函数的极限。
二、夹逼法夹逼法常常用于求函数在某一点的极限,特别适用于涉及无穷大和无穷小的极限。
该方法的核心思想是通过构造两个函数夹住要求的函数,从而找到该函数的极限值。
具体步骤如下:1.找到一个函数g(x)和一个函数h(x),使得在极限点的附近,g(x)≤f(x)≤h(x)。
2.证明lim(x→a)g(x) = lim(x→a)h(x) = L。
3.则根据夹逼定理,有lim(x→a)f(x) = L。
举个例子,求函数f(x) = x*sin(1/x)在x=0处的极限。
我们可以取g(x) = -|x|和h(x) = |x|,显然在x=0的附近,-|x| ≤ x*sin(1/x) ≤ |x|。
然后我们验证lim(x→0)-|x| = lim(x→0)|x| = 0,所以根据夹逼定理,函数f(x)在x=0处的极限为0。
夹逼法在求解一些特殊函数的极限问题时非常有用,它能够帮助我们找到函数在某一点的极限值。
三、利用函数性质和极限恒等式有些函数在计算极限时可以利用特定的性质和恒等式来简化计算。
函数极限的求法总结函数极限是高等数学中的一个重要概念,其在微积分和数学分析中扮演着重要的角色。
函数极限的求法相对而言较为复杂,但通过理解一些基本的求极限的方法和技巧,可以帮助我们更好地解决各种极限问题。
下面将对函数极限的求法进行总结。
一、基本极限求法:1. 代入法:直接将自变量的值代入函数中,得到一个数值。
2. 分子分母都趋于0的极限:在计算分子分母同时趋于0的极限时,可以根据问题的具体形式进行化简,然后再求极限。
3. 有界函数的极限:有界函数的极限一般可以通过夹逼定理进行求解。
即通过构造两个函数,一个逼近于函数极限的上界,另一个逼近于函数极限的下界,然后利用夹逼定理求得函数的极限。
4. 无穷小量的性质:利用无穷小量的性质进行极限的推导和化简。
二、重要极限法则:1. 基本极限法则:(1) 常数函数极限:lim c = c,其中c是常数;(2) 幂函数极限:lim x^n = a^n,其中a是常数,n是正整数;(3) 正比例函数极限:lim kx = ka,其中k是常数;(4) 正比例函数的乘积极限:lim k*g(x) = k*lim g(x),其中k是常数;(5) 正比例函数的商极限:lim [g(x)/h(x)] = lim g(x) / lim h(x),其中h(x)≠0。
2. 极限的四则运算法则:(1) 和的极限:lim [f(x) + g(x)] = lim f(x) + lim g(x);(2) 差的极限:lim [f(x) - g(x)] = lim f(x) - lim g(x);(3) 积的极限:lim [f(x) * g(x)] = lim f(x) * lim g(x);(4) 商的极限:lim [f(x) / g(x)] = lim f(x) / lim g(x),其中lim g(x) ≠ 0。
3. 乘积极限法则:lim [f(x) * g(x)] = (lim f(x)) * (lim g(x)),其中极限存在。
高等数学中函数极限的求法技巧解析在高等数学中,函数极限是一个十分重要的概念,它在微积分、数学分析等领域中有着广泛的应用。
函数极限的求法技巧在很大程度上影响着学生对这一概念的理解和掌握。
在这篇文章中,我们将从基本的定义入手,通过详细的技巧解析,帮助读者更好地掌握函数极限的求法技巧。
一、函数极限的定义在进行函数极限的求法技巧解析之前,我们首先需要了解函数极限的基本定义。
对于函数 y=f(x),当自变量 x 的取值无限接近某一值(通常是一个常数 a)时,如果相应的函数值 f(x) 也无限接近某一常数 L,则称 L 是函数 f(x) 当 x 趋于 a 时的极限,记作:lim┬(x→a)〖f(x)〗=L其中 lim 表示极限,x → a 表示 x 趋于 a,f(x) 表示函数值,L 表示极限值。
需要注意的是,当函数 f(x) 在 x=a 处的极限存在时,我们称函数 f(x) 在 x=a 处收敛,并且其极限值就是 L;当函数 f(x) 在 x=a 处的极限不存在时,我们称函数 f(x) 在x=a 处发散。
1. 直接代入法直接代入法是函数极限求法中最简单的技巧之一。
当我们需要求一个函数在某一点的极限时,如果该点可以直接代入,就可以直接进行代入求解。
对于函数y=x²,在 x=3 处的极限可以直接进行代入得到:这种方法通常适用于一些简单的函数极限求解,但是对于一些复杂的函数极限,直接代入法往往无法奏效。
2. 因子分解法当函数的极限形式无法直接代入求解时,我们可以尝试利用因子分解法来简化计算。
因子分解法的核心思想是将原函数进行因子分解,然后对每一个因子进行分别求解,最后将结果进行整合得到最终的极限值。
对于函数y=(x²-4)/(x-2),在 x=2 处的极限可以利用因子分解法进行求解。
我们将函数进行因子分解得:y=(x+2)(x-2)/(x-2)然后去除公共因子得到:y=x+2最后直接代入 x=2 即可得到极限值:3. 无穷小量法当 x 趋于无穷大时,函数的极限求解常常采用无穷小量法。
求函数极限的方法与技巧在微积分中,函数的极限是一种重要的概念,能够给我们关于函数表现的重要见解。
如果我们想要计算函数的极限,我们需要掌握一些方法和技巧。
接下来,我将分享一些关于函数极限的方法和技巧。
1. 代入法代入法是计算函数极限最简单的方法之一。
这种方法的基本思想是通过把自变量x代入函数,计算出函数在这个特定点的值。
如果在x值趋近于某个数(通常是无穷大或无穷小)时,函数的值趋近于某个确定的数,那么我们可以说这个确定的数是函数在这个值处的极限。
例如,我们想要求函数f(x)=x^2-3x+2在x=2处的极限,我们可以代入x=2,计算出函数在这个点的值为f(2)=2,因此我们可以认为x=2时,函数的极限值为2。
2. 有理函数的极限有理函数是指最高次项为整数的分式函数。
对于有理函数,求函数极限的方法是分子分母同时除以最高次项,并且观察分式函数的分母是否含有因式,如果含有因式,就要进行约分。
如果分式函数的最高次项在分子和分母中的次数相同,那么函数的极限将等于最高次项在分子和分母中次数相同的项的系数之比。
例如,对于函数f(x)=(2x^3-x^2+3)/(x^3+2),最高次项在分子和分母中的次数都是3,因此我们把分子和分母同时除以x^3,得到f(x)=(2-1/x+3/x^3)/(1+2/x^3),此时我们可以得到极限为2/1=2。
对于三角函数的极限,实际上我们需要先把三角函数化为有理函数。
以下是常见的三角函数的有理函数表达式:sin x/x=1-cos^2 x/2!如果我们能够将三角函数化为有理函数的形式,那么我们就可以运用有理函数求极限的方法进行计算。
4. 换元法换元法是求函数极限的一种常见方法。
这种方法的基本思想是将函数的自变量用另一个变量来表示,从而更容易计算函数的极限。
通常情况下,我们选择一些特定的换元方式来将函数中的一些特别复杂的部分换成简单的部分。
例如,对于函数f(x)=sqrt(x^2+1)+x,我们可以选择x=tanθ,这样我们可以将函数化为f(x)=(secθ)+tanθ。
求函数极限的方法和技巧作者: 黄文羊摘要: 本文就关于求函数极限的方法和技巧作了一个比较全面的概括、综合。
关键词:函数极限引言在数学分析与微积分学中,极限的概念占有主要的地位并以各种形式出现而贯穿全部内容,因此掌握好极限的求解方法是学习数学分析和微积分的关键一环。
本文就关于求函数极限的方法和技巧作一个比较全面的概括、综合,力图在方法的正确灵活运用方面,对读者有所助益。
主要内容一、求函数极限的方法1、运用极限的定义 例: 用极限定义证明:1223lim 22=-+-→x x x x 证: 由244122322-+-=--+-x x x x x x()2222-=--=x x x0>∀ε 取εδ= 则当δ<-<20x 时,就有ε<--+-12232x x x由函数极限δε-定义有:1223lim 22=-+-→x x x x 2、利用极限的四则运算性质若 A x f x x =→)(lim 0B x g x x =→)(lim 0(I)[]=±→)()(lim 0x g x f x x )(lim 0x f x x →±B A x g x x ±=→)(lim 0(II)[]B A x g x f x g x f x x x x x x ⋅=⋅=⋅→→→)(lim )(lim )()(lim 0(III)若 B ≠0 则:BAx g x f x g x f x x x x x x ==→→→)(lim )(lim )()(lim 000(IV )cA x f c x f c x x x x =⋅=⋅→→)(lim )(lim 0(c 为常数)上述性质对于时也同样成立-∞→+∞→∞→x x x ,,例:求 453lim 22+++→x x x x解: 453lim 22+++→x x x x =254252322=++⋅+3、约去零因式(此法适用于型时0,0x x →)例: 求121672016lim 23232+++----→x x x x x x x解:原式=()())12102(65)2062(103lim2232232+++++--+---→x x x x xx x x x xx =)65)(2()103)(2(lim 222+++--+-→x x x x x x x=)65()103(lim 222++---→x x x x x =)3)(2()2)(5(lim 2+++--→x x x x x =2lim -→x 735-=+-x x4、通分法(适用于∞-∞型) 例: 求 )2144(lim 22xx x ---→解: 原式=)2()2()2(4lim2x x x x -⋅++-→=)2)(2()2(lim2x x x x -+-→=4121lim2=+→x x5、利用无穷小量性质法(特别是利用无穷小量与有界量之乘积仍为无穷小量的性质)设函数f(x)、g(x) 满足: (I )0)(lim 0=→x f x x(II) M x g ≤)( (M 为正整数) 则:0)()(lim 0=→x f x g x x例: 求 xx x 1sinlim 0⋅→ 解: 由 0lim 0=→x x 而 11sin≤x故 原式 =01sinlim 0=⋅→xx x6、利用无穷小量与无穷大量的关系。
(I )若:∞=)(lim x f 则 0)(1lim=x f (II) 若: 0)(lim =x f 且 f(x)≠0 则 ∞=)(1lim x f 例: 求下列极限 ① 51lim+∞→x x ②11lim 1-→x x解: 由 ∞=+∞→)5(lim x x 故 051lim =+∞→x x由 0)1(lim 1=-→x x 故 11lim 1-→x x =∞7、等价无穷小代换法设'',,,ββαα 都是同一极限过程中的无穷小量,且有: ''~,~ββαα,''lim βα 存在,则 βαlim 也存在,且有βαlim = ''lim βα例:求极限2220sin cos 1lim x x x x -→解: ,~sin 22x x 2)(~cos 1222x x -∴ 2220sin cos 1lim x x x x -→=212)(2222=x x x 注: 在利用等价无穷小做代换时,一般只在以乘积形式出现时可以互换,若以和、差出现时,不要轻易代换,因为此时经过代换后,往往改变了它的无穷小量之比的“阶数”8、利用两个重要的极限。
1sin lim)(0=→x x A x e xB x x =+∞→)11(lim )(但我们经常使用的是它们的变形:))((,))(11lim()()0)((,1)()(sin lim)()(''∞→=+→=x e x B x x x A x ϕϕϕϕϕϕ例:求下列函数极限xa x x 1lim )1(0-→、 bx axx cos ln cos ln lim)2(0→、 )1ln(ln 1 ln )1ln( ,11 u a u x a a u x u a x x+=-+==-于是则)令解:(a u au u a u a u xa u x uu u u x x ln )1ln(ln lim )1ln(ln lim )1ln(ln lim 1lim 010000=+=+=+=-→→→→→→故有:时,又当)]1(cos 1ln[)]1(cos 1ln[(lim)2(0-+-+=→bx ax x 、原式1cos 1cos 1cos )]1(cos 1ln[1cos )]1(cos 1ln[(lim0--⋅--+--+=→ax bx bx bx ax ax x1cos 1cos lim 0--=→ax bx x 222222220220)2()2()2(2sin )2(2sin lim 2sin 22sin 2lim ab x a x bx b x b x a xa xb x x x =⋅=--=→→α9、利用函数的连续性(适用于求函数在连续点处的极限)。
)()](lim [))((lim )()(lim )]([)()()(lim )()(000a f x f x f a u u f a x x f ii x f x f x x x f i x x x x x x x x ======→→→→ϕϕϕϕ处连续,则在且是复合函数,又若处连续,则在若例:求下列函数的极限)1ln(15cos lim)1(20x x x e x x -+++→、 (2) xx x )1ln(lim 0+→()1ln ))1(lim ln()1ln(lim )1ln(lim )1()1ln()1ln()2(6)0()1ln(15cos lim )1ln(15cos )(01010011202==+=+=++=+=+==-+++-+++==→→→→e x x xx x x x x x f x x x e x x x e x f x x x x x x xxx x x 故有:令、由有:故由函数的连续性定义的定义域之内。
属于初等函数解:由于ϕ10、变量替换法(适用于分子、分母的根指数不相同的极限类型)特别地有:nkmlx x mn kl x =--→11lim1m 、n 、k 、l 为正整数。
例:求下列函数极限 ① m xx m n x (11lim1--→ 、n )N ∈ ②1)1232(lim +∞→++x x x x 解: ①令 t=mn x 则当1→x 时 1→t ,于是原式=nmt t t t t t t t t t n m t n m t =++++-++++-=----→→)1)(1()1)(1(lim 11lim 121211②由于1)1232(lim +∞→++x x x x =1)1221(lim +∞→++x x x令:t x 1212=+ 则 2111+=+t x ∴1)1232(lim +∞→++x x x x =1)1221(lim +∞→++x x x =2110)1(lim +→+t t t=e e t t t tt =⋅=+⋅+→→1)1(lim )1(lim 210111、 利用函数极限的存在性定理定理: 设在0x 的某空心邻域内恒有 g(x)≤f(x)≤h(x) 且有: A x h x g x x x x ==→→)(lim )(lim 0则极限 )(lim 0x f x x → 存在, 且有A x f x x =→)(lim 0例: 求 x nx ax +∞→lim (a>1,n>0)解: 当 x ≥1 时,存在唯一的正整数k,使 k ≤x ≤k+1于是当 n>0 时有:knx n a k a x )1(+<及 aa k a k a x k n k n x n 11⋅=>+又 当x +∞→时,k +∞→ 有=++∞→k n k a k )1(lim00)1(lim 1=⋅=⋅+++∞→a a a k k n k 及 =++∞→1lim k nk a k 0101lim =⋅=⋅+∞→aa a k k n k∴xnx a x +∞→lim =012、用左右极限与极限关系(适用于分段函数求分段点处的极限,以及用定义求极限等情形)。
定理:函数极限)(lim 0x f x x →存在且等于A 的充分必要条件是左极限)(lim 0x f x x -→及右极限)(lim 0x f x x +→都存在且都等于A 。
即有:⇔=→A x f x x )(lim 0)(lim 0x f x x -→=)(lim 0x f x x +→=A例:设)(x f =⎪⎪⎩⎪⎪⎨⎧≥<<-≤--1,10,0,212x x x x xx x e x 求)(lim 0x f x →及)(lim 1x f x →1)1(lim )(lim )(lim 1)21(lim )(lim 000-=-=-=-=-=+++--→→→-→→x xx x x f e x f x x x x x x 解:由1)(lim )(lim 0-==+-→→x f x f x x1)(lim 0-=∴→x f x不存在由(又)(lim )01()01(1lim )(lim 0)1lim lim )(lim 1211111x f f f x x f x xx x x f x x x x x x →→→→→→∴+≠-===-=-=++---13、罗比塔法则(适用于未定式极限) 定理:若A x g x f x g x f A A x g x f iii x g x u x g f ii x g x f i x x x x x x x x x x ==∞∞±=≠==→→→→→)()(lim )()(lim ()()(lim )(0)()()(0)(lim ,0)(lim )('''''0000000),则或可为实数,也可为内可导,且的某空心邻域在与此定理是对型而言,对于函数极限的其它类型,均有类似的法则。