浙江农林大学选考科目7选3大学专业要求
- 格式:xls
- 大小:21.50 KB
- 文档页数:2
浙江农林⼤学2018三位⼀体综合评价招⽣章程 店铺⾼考⽹为⼤家提供浙江农林⼤学2018三位⼀体综合评价招⽣章程,更多⾼考资讯请关注我们⽹站的更新! 浙江农林⼤学2018三位⼀体综合评价招⽣章程 第⼀章总则 第⼀条为规范“三位⼀体”综合评价招⽣⼯作,维护考⽣、学校的合法权益,确保招⽣⼯作顺利进⾏,根据《中华⼈民共和国教育法》、《中华⼈民共和国⾼等教育法》和浙江省教育厅、浙江省教育考试院的有关政策和规定,特制定本章程。
第⼆条凡参加2018年浙江农林⼤学“三位⼀体”综合评价招⽣考试的浙江考⽣均适⽤本招⽣章程。
第三条浙江农林⼤学“三位⼀体”综合评价招⽣录取⼯作严格遵守浙江省教育考试院的有关政策和规定,实⾏“学校负责,省级招⽣主管部门监督”的录取体制,严格遵循公平竞争、公正选拔、公开透明、全⾯考核、综合评价、择优录取的原则。
第⼆章学校概况 第四条学校全称为浙江农林⼤学,创建于1958年,建校时即为本科办学起点,是经国家教育部批准的浙江省省属公办普通⾼等院校。
学校以农林、⽣物环境学科为特⾊,涵盖农、⼯、管、⽂、理、法、经、艺⼋⼤学科门类,是浙江省重点建设⾼校、浙江省⼈民政府和国家林业局共建⾼校。
学校具有学⼠、硕⼠、博⼠完整的⼈才培养体系。
学校设有17个学院(部),62个本科专业,其中国家级特⾊专业4个,国家专业综合改⾰试点项⽬1个,国家卓越农林教育⼈才培养计划专业7个,省级重点专业12个,省级优势专业7个,省级特⾊(含新兴特⾊)专业6个;现有服务国家特殊需求博⼠⼈才培养项⽬1项,拥有林学⼀级学科博⼠后科研流动站;⼀级学科学术型硕⼠点10个、⼆级学科学术型硕⼠点41个,专业学位硕⼠授权类别3个,授权领域15个。
拥有国家重点实验室、国家⼯程技术研究中⼼、国家地⽅联合⼯程实验室、国家⽂化传播基地各1个,省部级科研创新平台22个。
学校现有教职⼯1800余⼈,其中专任教师1000余⼈,⾼级职称650余⼈。
拥有院⼠1⼈、共享院⼠7⼈、“长江学者”特聘教授2⼈、国家“杰出青年科学基⾦”1⼈、国家“****”4⼈、 “百千万⼈才”国家级⼈才3⼈、全国宣传⽂化系统“四个⼀批”⼈才1⼈、科技部创新⼈才推进计划1⼈,农业科研杰出⼈才及其创新团队1个、浙江省特级专家1⼈,浙江省“****”17⼈、省有突出贡献中青年专家4⼈、省政府特聘教授(钱江学者)5⼈、省⾼校中青年学科带头⼈48⼈,国家级教学团队1个,省⾼校创新团队1个,省部级重点创新团队13个,省级教学团队4个,全国优秀教师、全国师德先进个⼈等22⼈,享受国务院特殊津贴12⼈。
1层次专业类名称考选科目要求类中所含专业本科林学类(中外合作办学)物理,化学,生物(3门科目考生选考其中一门即可报考)林学(中加合作办学项目)本科林学(林业技术)物理,化学,生物(3门科目考生选考其中一门即可报考)本科食品质量与安全物理,化学,生物(3门科目考生选考其中一门即可报考)本科食品科学与工程物理,化学,生物(3门科目考生选考其中一门即可报考)本科食品科学与工程(粮油储检)物理,化学,生物(3门科目考生选考其中一门即可报考)本科园艺物理,化学,生物(3门科目考生选考其中一门即可报考)本科农学物理,化学,生物(3门科目考生选考其中一门即可报考)本科植物保护物理,化学,生物(3门科目考生选考其中一门即可报考)本科茶学物理,化学,生物(3门科目考生选考其中一门即可报考)本科信息管理与信息系统物理(1门科目考生必须选考方可报考)本科计算机科学与技术物理(1门科目考生必须选考方可报考)本科文化产业管理(茶文化)不提科目要求本科汉语言文学不提科目要求本科广告学不提科目要求本科数字媒体艺术不提科目要求本科服装与服饰设计不提科目要求本科视觉传达设计不提科目要求本科城市管理不提科目要求本科法学不提科目要求本科动物医学物理,化学,生物(3门科目考生选考其中一门即可报考)本科动物科学物理,化学,生物(3门科目考生选考其中一门即可报考)本科金融工程不提科目要求本科市场营销不提科目要求本科电子商务不提科目要求本科工商管理不提科目要求本科国际经济与贸易不提科目要求本科会计学不提科目要求本科农林经济管理不提科目要求本科旅游管理不提科目要求本科人文地理与城乡规划物理,化学,地理(3门科目考生选考其中一门即可报考)本科环境设计(园林艺术设计)不提科目要求本科建筑学物理,历史,地理(3门科目考生选考其中一门即可报考)本科土木工程物理(1门科目考生必须选考方可报考)本科风景园林物理,生物,历史(3门科目考生选考其中一门即可报考)本科园林物理,化学,生物(3门科目考生选考其中一门即可报考)本科机械设计制造及其自动物理(1门科目考生必须选考方可报考)本科工业设计物理(1门科目考生必须选考方可报考)本科高分子材料与工程化学(1门科目考生必须选考方可报考)本科木材科学与工程(室内与家具设计)物理,化学,生物(3门科目考生选考其中一门即可报考)本科木材科学与工程物理,化学,生物(3门科目考生选考其中一门即可报考)本科测绘工程地理(1门科目考生必须选考方可报考)本科环境工程物理,化学,生物(3门科目考生选考其中一门即可报考)本科农业资源与环境物理,化学,生物(3门科目考生选考其中一门即可报考)本科地理信息科学物理,地理,技术(3门科目考生选考其中一门即可报考)本科森林保护物理,化学,生物(3门科目考生选考其中一门即可报考)本科中药学物理,化学,生物(3门科目考生选考其中一门即可报考)本科生物制药物理,化学,生物(3门科目考生选考其中一门即可报考)本科生态学(生态工程技术)物理,化学,生物(3门科目考生选考其中一门即可报考)本科应用统计学物理,化学,生物(3门科目考生选考其中一门即可报考)本科应用化学物理,化学(2门科目考生选考其中一门即可报考)本科信息与计算科学物理(1门科目考生必须选考方可报考)本科日语不提科目要求本科英语不提科目要求本科物联网工程物理(1门科目考生必须选考方可报考)本科电子信息工程物理(1门科目考生必须选考方可报考)本科生物技术物理,化学,生物(3门科目考生选考其中一门即可报考)本科林学物理,化学,生物(3门科目考生选考其中一门即可报考)959307870.xls。
2023专业选考科目要求通用版
2023年专业选考科目要求是一个复杂的问题,它取决于许多因素,包括你选择的专业、大学和地区。
在某些地区,物理、化学、生物、历史、政治、地理等科目可能都是必考的,而在其他地区,可能只需要选择其中几门。
对于一些特定的专业,可能会有特定的选考科目要求。
例如,理论物理、微电子、凝聚态、纯理论研究、核物理、生物物理等专业通常需要选择物理。
化学教育、应用化学、化学生物学、分子科学与工程、能源化学等专业通常需要选择化学。
生物工程类、生物科学、生物技术、生态学等专业通常需要选择生物。
历史学、世界史、考古学等专业通常需要选择历史。
马理论类、哲学类、法学类、经济学类等专业通常需要选择政治。
地理科学、地理信息科学与技术、自然地理与资源环境等专业通常需要选择地理。
在2023年的新高考3+1+2模式下,有12种不同的选科组合,每一种组合都有其特定的就业方向和优势专业。
例如,物理+化学+生物的组合主要面向理工类专业,包括计算机类、电气类、材料类、机械类等热门工学、理学专业。
物理+化学+地理的组合则适合互联网、现代工业、医学方向、国防建设、高科技的研发、信息大数据产业等高端专业方向。
总的来说,你需要根据自己的兴趣和目标来选择合适的科目。
如果你已经有了想要学习的专业,那么你可以查看该专业的选考科目要求,然后做出选择。
如果你还没有确定的专业方向,那么你可以考虑选择一些基础学科,如物理、化学、生物等,这些学科在许多专业中都是必要的。
班本科科技与创意设计试验班2物理技术科技与创意设计试验班本科理科试验班类(生命、环境、化学与地学)2物理化学理科试验班本科医学试验班2物理化学医学试验班本科医学试验班类(口腔医学)2物理化学口腔医学本科应用生物科学(农学)2物理化学本科应用生物科学(生工食品)2物理化学本科工科试验班(信息)1物理工科试验班本科工科试验班(建筑与土木)1物理工科试班本科工科试验班(机械与能源)1物理工科试验班本科工科试验班(海洋)1物理工科试验班本科工科试验班(电气与自动化)1物理工科试验班本科工科试验班(航空航天与过程装备)1物理工科试验班本科理科试验班类1物理理科试验班本科社会科学试验班0不限社会科学试验班本科人文科学试验班(传媒)0不限人文科学验班本科人文科学试验班(外国语言文学)0不限人文科学试验班运动训练本科体育学类0不限武术与民族传统体育本科美术学类0不限美术学视觉传达设计环境设计本科设计学类0不限产品汉语国际教育国际经济与贸易金融学工商管理财务管理市场营销旅游管理信息管理与信息系统工程管理公共事业管理行政管理法学本科经贸、法学与管理类3物理 思想政治 历史知识产权英语翻译(英语)本科外国语言文学类3历史 地理 思想政治日语本科计算机类(中外合作办学)3物理 化学 技术软件工程制药工程(“2011计划”创新试验班)制药工程药物制剂药学本科药学类3物理 化学 生物中药学数学与应用数学应用物理学光电信息科学与工程信息与计算科学本科理学与光电信息类2物理 化学应用心理学电气工程及其自动化自动化电子信息工程本科电气通信与计算机类2物理 技术通信工程汉语国际教育秘书学本科电子信息工程3物理生物技术本科电子科学与技术3物理生物技术本科通信工程3物理生物技术本科广播电视工程3物理生物技术本科网络工程3物理生物技术本科数字媒体技术3物理生物技术本科信息管理与信息系统3物理生物技术本科经济学0不限本科英语0不限本科新闻学0不限本科广播电视学0不限本科广告学0不限本科传播学0不限本科编辑出版学0不限本科网络与新媒体0不限本科数字出版0不限本科文化产业管理0不限本科公共关系学0不限本科会展经济与管理0不限本科音乐表演(声乐)0不限本科音乐表演(民乐)0不限本科音乐表演(西洋乐)0不限本科音乐表演(钢琴)0不限本科舞蹈编导0不限本科舞蹈编导(音乐剧)0不限本科表演0不限本科戏剧影视文学0不限本科戏剧影视文学(编剧与策划)0不限本科广播电视编导0不限本科广播电视编导(媒体创意)0不限本科广播电视编导(文艺编导)0不限本科戏剧影视美术设计0不限本科戏剧影视美术设计(人物形象设计)0不限本科录音艺术0不限本科播音与主持艺术0不限本科播音与主持艺术(影视配音)0不限本科播音与主持艺术(日汉双语播音)0不限本科播音与主持艺术(法汉双语播音)0不限本科播音与主持艺术(礼仪文化)0不限本科播音与主持艺术(英汉双语播音)0不限本科动画0不限本科动画(漫插画)0不限其自动化材料成型及控制工程车辆工程汽车服务工程科术能源与环境系统工程机械设计制造及其自动化车辆工程本科机械类(中德“2+3”联合培养)3物理 化学 技术工业工程本科电气类(中外合作办学)3物理 化学 技术电气工程及其自动化(中德合作办学)电气工程及其自动化自动化测控技术与仪器本科电气类3物理 化学 技术建筑电气与智能化电气工程及其自动化电子信息工程通信工程自动化本科电气类(中德“2+3”联合培养)3物理 化学 技术能源与环境系统工程本科软件工程3物理 化学 技术本科土木工程3物理 化学 技术本科给排水科学与工程3化学 物理 生物本科土木类(中外合作办学)3物理 化学 技术土木工程(中德合作办学)本科土木类(中外合作办学)3物理 化学 技术土木工程(中法合作办学)本科土木类(中德“2+3”联合培养)3物理化学技术土木工程化学工程与工艺制药工程本科化工与制药类3化学物理生物材料科学与工程本科服装设计与工程3历史化学技术轻化工程包装工程本科轻工类3化学物理生物印刷工程本科建筑学3物理地理技术本科城乡规划3地理物理技术化学工程与工艺本科生物工程类(中德“2+3”联合培养)3化学生物物理食品科学与工程本科工程造价3物理技术思想政治信息管理与信息系统物流管理本科管理科学与工程类3物理技术生物工业工程物流管理本科管理科学与工程类(中德“2+3”联合培养)3物理技术生物工业工程本科财务管理3物理技术思想政治市场营销本科工商管理类3思想政治地理技术国际商务本科电子信息工程2物理化学本科通信工程2物理化学本科计算机科学与技术2物理化学本科物联网工程2物理化学本科数字媒体技术2物理技术本科计算机类(中德“2+3”联合培养)2物理化学计算机科学与技术本科电子信息科学与技术1物理本科经济学类(中外合作办学)0不限经济学((中美合作办学))本科国际经济与贸易(国际班)0不限本科汉语言文学0不限本科英语0不限本科德语0不限本科市场营销(国际班)0不限本科动画0不限本科摄影0不限本科视觉传达设计0不限本科环境设计0不限本科产品设计(产品创意设计方向)0不限本科产品设计(家用纺织品设计方向)0不限本科服装与服饰设计0不限本科服装与服饰设计(服装表演与形象设计方向)0不限视觉传达设计环境设计本科设计学类(中德“2+3”联合培养)0不限产品设计电子信息工程通信工程本科电子信息类3物理技术化学电子信息科学与技术计算机科学与技术本科计算机类3物理技术化学数字媒体技术土木工程建筑环境与能源应用工程风景园林本科土木类3物理技术化学工程管理本科服装设计与工程3物理化学历史本科纺织类(中外合作办学)3物理化学历史服装设计与工程(中美合作项目)纺织工程本科纺织类3化学物理历史非织造材料与工程本科轻化工程3化学生物物理本科建筑学3物理技术历史公共事业管理本科公共管理类3思想政治历史物理行政管理本科电子商务(少数民族班)3物理化学地理电子商务本科电子商务类3物理化学地理信息管理与信息系统本科表演(人物形象设计)3历史地理化学本科表演(时装表演艺术)3历史地理化学服装与服饰设计(服装艺术设计、服饰品设计)本科服装与服饰设计类0不限产品设计(纺织品艺术设计)经济学经济统计学金融学本科经济与贸易类0不限国际经济与贸易法学本科法学类0不限社会工作测绘工程信息管理与信息系统电子信息工程物联网工程本科物联网与电子信息类3物理 技术 生物计算机科学与技术环境工程木材科学与工程高分子材料与工程机械设计制造及其自动化本科环境材料与机械类3物理 化学 生物应用化学园艺园艺(观赏园艺)农学植物保护茶学本科现代农业类3化学 生物 物理农业资源与环境林学本科现代林业类3化学 生物 历史森林保护中药学生物技术本科生命科学类3化学 生物 物理生态学(生态工程技术)食品科学与工程本科食品质量与安全类3物理 化学 生物食品质量与安全本科土木工程3物理 生物 历史本科建筑学3物理 生物 历史本科风景园林3物理 生物 历史动物医学本科动物医学类3物理 化学 生物动物科学本科园林3物理 生物 历史本科林学类(中外合作办学)(林学(中加合作办学项目))3化学 生物 历史林学(中加合作办学项目)本科旅游管理3地理 历史 生物英语本科外语类0不限日语会计学农林经济管理工商管理市场营销财务管理国际经济与贸易金融工程电子商务本科经济与管理类不限城市管理信息与计算科学本科统计与数据科学类0不限应用统计学木材科学与工程(室内与家具设计)本科设计创意类不限工业设计文学汉语国际教育历史学地理科学数学与应用数学物理学化学本科初阳学院试验班23物理化学历史生物科学应用心理学机电技术教育汽车维修工程本科工程技术教育类3物理技术化学教育应用电子技术教育化学生物科本科生化科教类3化学生物物理学科学教育本科金融学3物理历史化学本科国际经济与贸易3历史地理化学本科法学3历史地理物理历史思想政治物本科社会工作3理思想政治历史地本科思想政治教育3理历史思想政治物本科汉语言文学3理思想政治历史地本科汉语国际教育3理英语翻译本科外国语言文学类3历史地理化学日语本科广告学3历史地理技术本科广告学(中外合作办学)3历史地理技术历史学历史思想政治地本科历史学类3人文教理育数学与应用数学本科数学类3物理化学历史信息与计算科学物理学材料物理本科物理学类3物理化学技术光电信息科学与工程本科地理科学3地理化学历史本科生物技术3生物化学物理生物物理思想政本科应用心理学3治机械设计制造及其自本科机械类3物理化学生物动化工业设计软件工本科计算机类(中外合作办学)3技术物理历史程本科交通运输3物理化学生物本科环境科学3化学地理生物本科城乡规划3地理物理历史本科工商管理3历史地理化学本科市场营销3历史化学生物本科财务管理3技术物理历史历史思想政治技本科文化产业管理3术本科财务会计教育3技术物理历史思想政治历史物本科行政管理3理本科电子商务3物理地理技术本科旅游管理与服务教育3技术地理历史本科应用化学2化学物理学前教育特殊教本科儿童发展与教育0不限育艺术教育美术学视觉传达设计本科美术与设计学类0不限环境设计产品设计本科小学教育0不限本科体育教育0不限电子信息工程通信工程本科电子信息类A3物理 化学 技术电子信息科学与技术电子科学与技术本科电子信息类B3物理 技术 化学微电子科学与工程自动化本科电气信息类3物理 技术 化学电气工程及其自动化工商管理财务管理市场营销本科管理学类3物理 历史 地理信息管理与信息系统能源与动力工程本科能源与流体工程类3物理 技术 化学工程力学本科经济学类(中外合作办学)3物理 历史 地理金融工程国际经济与贸易本科经济学类3物理 历史 地理金融工程本科汉语言文学3历史 地理 思想政治本科汉语国际教育3历史 地理 化学本科英语3历史 地理 化学本科工业设计3物理 技术 生物机械设计制造及其自动化本科机械类3物理 技术 化学机械电子工程材料科学与工程材料化学本科材料类3化学 物理 技术功能材料本科光电信息科学与工程3物理 技术 化学考科目数围计算机科学与技术电子信息工程物联网工程通信工程本科计算机与电子信息类3物理 化学技术软件工程国际经济与贸易市场营销物流管理电子商务财务管理本科经济与贸易类3物理 化学历史经济与金融本科法学3历史 地理思想政治本科思想政治教育(师范)3思想政治 历史 地理本科教育技术学(师范)3物理 化学技术汉语言文学(师范)汉语言文学新闻学广告学本科中国语言文学类3思想政治 历史 技术汉语国际教育英语(师范)本科外国语言文学类3历史 思想政治 物理商务英语数学与应用数学(师范)信息与计算科学本科数学类3物理 化学生物金融工程物理学(师范)科学教育(师范)本科物理学类3物理 化学生物光电信息科学与工程新能源材料与器件化学(师范)化学生物本科化学类3物理材料化学制药工程水产养殖学(水生生物科学)物理化学本科应用心理学(师范)3历史机械设计制造及物理化学其自动化本科机械类3生物机械电子工程电气工程及其自动化物理化学本科电气类3生物建筑电气与智能化工程管理物理化学本科建筑类3生物建筑学化学物理本科临床医学3生物化学物理本科口腔医学3生物化学物理本科护理学3生物旅游管理历史地理本科公共管理类3行政管理思想政治历史学(师范)本科学前教育(师范)0不限本科小学教育(师范)0不限本科体育教育(师范)0不限本科日语0不限本科工业设计0不限本科音乐学(师范)0不限理学功底。
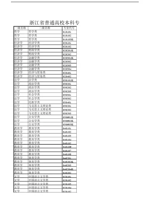
浙江省普通高校本科专一级名称二级名称专业代号哲学哲学类010101哲学哲学类010102哲学哲学类010103K经济学经济学类020101经济学经济学类020102经济学财政学类020201K经济学财政学类020202经济学金融学类020301K经济学金融学类020302经济学金融学类020303经济学金融学类020304经济学经济与贸易类020401经济学经济与贸易类020402法学法学类030101K法学政治学类030201法学政治学类030202法学政治学类030203法学社会学类030301法学社会学类030302法学民族学类030401法学马克思主义理论类030501法学马克思主义理论类030502法学马克思主义理论类030503法学公安学类030601K法学公安学类030602K法学公安学类030603K教育学教育学类040101教育学教育学类040102教育学教育学类040103教育学教育学类040104教育学教育学类040105教育学教育学类040106教育学教育学类040107教育学教育学类040108教育学体育学类040201教育学体育学类040202K教育学体育学类040203教育学体育学类040204K教育学体育学类040205文学中国语言文学类050101文学中国语言文学类050102文学中国语言文学类050103文学中国语言文学类050104文学中国语言文学类050105文学外国语言文学类050202文学外国语言文学类050203文学外国语言文学类050204文学外国语言文学类050205文学外国语言文学类050206文学外国语言文学类050207文学外国语言文学类050208文学外国语言文学类050209文学外国语言文学类050210文学外国语言文学类050211文学外国语言文学类050212文学外国语言文学类050213文学外国语言文学类050214文学外国语言文学类050215文学外国语言文学类050216文学外国语言文学类050217文学外国语言文学类050218文学外国语言文学类050219文学外国语言文学类050220文学外国语言文学类050221文学外国语言文学类050222文学外国语言文学类050223文学外国语言文学类050224文学外国语言文学类050225文学外国语言文学类050226文学外国语言文学类050227文学外国语言文学类050228文学外国语言文学类050229文学外国语言文学类050230文学外国语言文学类050231文学外国语言文学类050232文学外国语言文学类050233文学外国语言文学类050234文学外国语言文学类050235文学外国语言文学类050236文学外国语言文学类050237文学外国语言文学类050238文学外国语言文学类050239文学外国语言文学类050240文学外国语言文学类050241文学外国语言文学类050242文学外国语言文学类050243文学外国语言文学类050244文学外国语言文学类050245文学外国语言文学类050246文学外国语言文学类050247文学外国语言文学类050249文学外国语言文学类050250文学外国语言文学类050251文学外国语言文学类050252文学外国语言文学类050253文学外国语言文学类050254文学外国语言文学类050255文学外国语言文学类050256文学外国语言文学类050257文学外国语言文学类050258文学外国语言文学类050259文学外国语言文学类050260文学外国语言文学类050261文学外国语言文学类050262文学新闻传播学类050301文学新闻传播学类050302文学新闻传播学类050303文学新闻传播学类050304文学新闻传播学类050305历史学历史学类060101历史学历史学类060102历史学历史学类060103历史学历史学类060104理学数学类070101理学数学类070102理学物理学类070201理学物理学类070202理学物理学类070203理学化学类070301理学化学类070302理学天文学类070401理学地理科学类070501理学地理科学类070502理学地理科学类070503理学地理科学类070504理学大气科学类070601理学大气科学类070602理学海洋科学类070701理学海洋科学类070702理学地球物理学类070801理学地球物理学类070802理学地质学类070901理学地质学类070902理学生物科学类071001理学生物科学类071002理学生物科学类071003理学生物科学类071004理学心理学类071101理学心理学类071102理学统计学类071201理学统计学类071202工学力学类080101工学力学类080102工学机械类080201工学机械类080202工学机械类080203工学机械类080204工学机械类080205工学机械类080206工学机械类080207工学机械类080208工学仪器类080301工学材料类080401工学材料类080402工学材料类080403工学材料类080404工学材料类080405工学材料类080406工学材料类080407工学材料类080408工学能源动力类080501工学电气类080601工学电子信息类080701工学电子信息类080702工学电子信息类080703工学电子信息类080704工学电子信息类080705工学电子信息类080706工学自动化类080801工学计算机类080901工学计算机类080902工学计算机类080903工学计算机类080904K 工学计算机类080905工学计算机类080906工学土木类081001工学土木类081002工学土木类081003工学土木类081004工学水利类081101工学水利类081102工学水利类081103工学测绘类081201工学测绘类081202工学化工与制药类081301工学化工与制药类081302工学地质类081401工学地质类081402工学地质类081403工学矿业类081501工学矿业类081502工学矿业类081503工学矿业类081504工学纺织类081601工学纺织类081602工学轻工类081701工学轻工类081702工学轻工类081703工学交通运输类081801工学交通运输类081802工学交通运输类081803K 工学交通运输类081804K 工学交通运输类081805K 工学海洋工程类081901工学航空航天类082001工学航空航天类082002工学航空航天类082003工学航空航天类082004工学航空航天类082005工学兵器类082101工学兵器类082102工学兵器类082103工学兵器类082104工学兵器类082105工学兵器类082106工学兵器类082107工学核工程类082201工学核工程类082202工学核工程类082203工学核工程类082204工学农业工程类082301工学农业工程类082302工学农业工程类082303工学农业工程类082304工学农业工程类082305工学林业工程类082401工学林业工程类082402工学林业工程类082403工学环境科学与工程类082501工学环境科学与工程类082502工学环境科学与工程类082503工学环境科学与工程类082504工学生物医学工程类082601工学食品科学与工程类082701工学食品科学与工程类082702工学食品科学与工程类082703工学食品科学与工程类082704工学食品科学与工程类082705工学建筑类082801工学建筑类082802工学建筑类082803工学安全科学与工程类082901工学生物工程类083001工学公安技术类083101K 工学公安技术类083102K 农学植物生产类090101农学植物生产类090102农学植物生产类090103农学植物生产类090104农学植物生产类090105农学植物生产类090106农学自然保护与环境生态类090201农学自然保护与环境生态类090202农学自然保护与环境生态类090203农学动物生产类090301农学动物医学类090401农学动物医学类090402农学林学类090501农学林学类090502农学林学类090503农学水产类090601农学水产类090602农学草学类090701医学基础医学类100101K 医学临床医学类100201K 医学口腔医学类100301K 医学公共卫生与预防医学类100401K 医学公共卫生与预防医学类100402医学中医学类100501K 医学中医学类100502K 医学中医学类100503K 医学中医学类100504K 医学中医学类100505K 医学中医学类100506K 医学中医学类100507K 医学中西医结合类100601K 医学药学类100701医学药学类100702医学中药学类100801医学中药学类100802医学法医学类100901K 医学医学技术类101001医学医学技术类101002医学医学技术类101003医学医学技术类101004医学医学技术类101005医学医学技术类101006医学医学技术类101007医学护理学类101101管理学管理科学与工程类120101管理学管理科学与工程类120102管理学管理科学与工程类120103管理学管理科学与工程类120104管理学管理科学与工程类120105管理学工商管理类120201K 管理学工商管理类120202管理学工商管理类120203K 管理学工商管理类120204管理学工商管理类120205管理学工商管理类120206管理学工商管理类120207管理学工商管理类120208管理学工商管理类120209管理学工商管理类120210管理学农业经济管理类120301管理学农业经济管理类120302管理学公共管理类120401管理学公共管理类120402管理学公共管理类120403管理学公共管理类120404管理学公共管理类120405管理学图书情报与档案管理类120501管理学图书情报与档案管理类120502管理学图书情报与档案管理类120503管理学物流管理与工程类120601管理学物流管理与工程类120602管理学工业工程类120701管理学电子商务类120801管理学旅游管理类120901K 管理学旅游管理类120902管理学旅游管理类120903艺术学艺术学理论类130101艺术学音乐与舞蹈学类130201艺术学音乐与舞蹈学类130202艺术学音乐与舞蹈学类130203艺术学音乐与舞蹈学类130204艺术学音乐与舞蹈学类130205艺术学音乐与舞蹈学类130206艺术学戏剧与影视学类130301艺术学戏剧与影视学类130302艺术学戏剧与影视学类130303艺术学戏剧与影视学类130304艺术学戏剧与影视学类130305艺术学戏剧与影视学类130306艺术学戏剧与影视学类130307艺术学戏剧与影视学类130308艺术学戏剧与影视学类130309艺术学戏剧与影视学类130310艺术学美术学类130401艺术学美术学类130402艺术学美术学类130403艺术学美术学类130404艺术学设计学类130501艺术学设计学类130502艺术学设计学类130503艺术学设计学类130504艺术学设计学类130505艺术学设计学类130506艺术学设计学类130507艺术学设计学类130508哲学哲学类010104T 经济学经济学类020103T 经济学经济学类020104T 经济学经济学类020105T 经济学经济学类020106T 经济学金融学类020305T 经济学金融学类020306T 经济学金融学类020307T 法学法学类030102T 法学法学类030103T 法学政治学类030204T 法学政治学类030205T 法学社会学类030303T 法学社会学类030304T 法学社会学类030305T 法学公安学类030604TK 法学公安学类030605TK 法学公安学类030606TK 法学公安学类030607TK 法学公安学类030608TK 法学公安学类030609TK法学公安学类030610TK 法学公安学类030611TK 法学公安学类030612TK 法学公安学类030613TK 法学公安学类030614TK 法学公安学类030615TK 教育学教育学类040109T 教育学体育学类040206T 教育学体育学类040207T 文学中国语言文学类050106T 文学中国语言文学类050107T 文学新闻传播学类050306T 文学新闻传播学类050307T 历史学历史学类060105T 历史学历史学类060106T 理学数学类070103T 理学物理学类070204T 理学化学类070303T 理学化学类070304T 理学海洋科学类070703T 理学海洋科学类070704T 理学地质学类070903T 理学地质学类070904T 工学机械类080209T 工学机械类080210T 工学机械类080211T 工学机械类080212T 工学材料类080409T 工学材料类080410T 工学材料类080411T 工学材料类080412T 工学材料类080413T 工学材料类080414T 工学能源动力类080502T 工学能源动力类080503T 工学电气类080602T 工学电气类080603T 工学电气类080604T 工学电子信息类080707T 工学电子信息类080708T 工学电子信息类080709T 工学电子信息类080710T 工学电子信息类080711T 工学电子信息类080712T 工学电子信息类080713T 工学电子信息类080714T 工学电子信息类080715T工学电子信息类080716T 工学自动化类080802T 工学计算机类080907T 工学计算机类080908T 工学计算机类080909T 工学土木类081005T 工学土木类081006T 工学水利类081104T 工学测绘类081203T 工学测绘类081204T 工学化工与制药类081303T 工学化工与制药类081304T 工学化工与制药类081305T 工学地质类081404T 工学矿业类081505T 工学矿业类081506T 工学纺织类081603T 工学纺织类081604T 工学交通运输类081806T 工学交通运输类081807T 工学交通运输类081808TK 工学海洋工程类081902T 工学海洋工程类081903T 工学航空航天类082006T 工学航空航天类082007T 工学环境科学与工程类082505T 工学环境科学与工程类082506T 工学环境科学与工程类082507T 工学生物医学工程类082602T 工学食品科学与工程类082706T 工学食品科学与工程类082707T 工学食品科学与工程类082708T 工学建筑类082804T 工学生物工程类083002T 工学公安技术类083103TK 工学公安技术类083104TK 工学公安技术类083105TK 工学公安技术类083106TK 工学公安技术类083107TK 工学公安技术类083108TK 工学公安技术类083109TK 农学植物生产类090107T 农学植物生产类090108T 农学植物生产类090109T 农学植物生产类090110T 农学植物生产类090111T 农学动物生产类090302T农学动物生产类090303T 农学动物医学类090403T 农学水产类090603T 医学临床医学类100202TK 医学临床医学类100203TK 医学临床医学类100204TK 医学临床医学类100205TK 医学临床医学类100206TK 医学公共卫生与预防医学类100403TK 医学公共卫生与预防医学类100404TK 医学公共卫生与预防医学类100405TK 医学药学类100703TK 医学药学类100704T 医学药学类100705T 医学药学类100706T 医学药学类100707T 医学中药学类100803T 医学中药学类100804T 医学中药学类100805T 医学中药学类100806T 医学医学技术类101008T 管理学管理科学与工程类120106TK 管理学工商管理类120211T 管理学工商管理类120212T 管理学工商管理类120213T 管理学工商管理类120214T 管理学公共管理类120406TK 管理学公共管理类120407T 管理学公共管理类120408T 管理学公共管理类120409T 管理学物流管理与工程类120603T 管理学工业工程类120702T 管理学工业工程类120703T 管理学电子商务类120802T 管理学旅游管理类120904T 艺术学戏剧与影视学类130311T 艺术学美术学类130405T 艺术学美术学类130406T 艺术学设计学类130509T本科专业高考招生选考科目要求的设置指引专业名称哲学逻辑学宗教学经济学经济统计学财政学税收学金融学金融工程保险学投资学国际经济与贸易贸易经济法学政治学与行政学国际政治外交学社会学社会工作民族学科学社会主义中国共产党历史思想政治教育治安学侦查学边防管理教育学科学教育人文教育教育技术学(注:可授教育学或理学或工学学士学位)艺术教育(注:可授教育学或艺术学学士学位)学前教育小学教育特殊教育体育教育运动训练社会体育指导与管理武术与民族传统体育运动人体科学汉语言文学汉语言汉语国际教育中国少数民族语言文学古典文献学选考科目建议不限不限政治或历史不限不限不限不限不限不限不限不限不限不限不限政治或历史政治或历史政治或历史政治或历史不限政治或历史政治或历史政治或历史政治或历史政治或历史或技术政治或历史或技术政治或历史或技术不限物理或化学或生物政治或历史或地理物理或政治或技术不限不限不限不限不限不限不限不限物理或化学或生物不限不限不限历史历史英语俄语德语法语西班牙语阿拉伯语日语波斯语朝鲜语菲律宾语梵语巴利语印度尼西亚语印地语柬埔寨语老挝语缅甸语马来语蒙古语僧伽罗语泰语乌尔都语希伯来语越南语豪萨语斯瓦希里语阿尔巴尼亚语保加利亚语波兰语捷克语斯洛伐克语罗马尼亚语葡萄牙语瑞典语塞尔维亚语土耳其语希腊语匈牙利语意大利语泰米尔语普什图语世界语孟加拉语尼泊尔语克罗地亚语荷兰语芬兰语乌克兰语不限不限不限不限不限不限不限不限不限不限不限不限不限不限不限不限不限不限不限不限不限不限不限不限不限不限不限不限不限不限不限不限不限不限不限不限不限不限不限不限不限不限不限不限不限不限不限挪威语丹麦语冰岛语爱尔兰语拉脱维亚语立陶宛语斯洛文尼亚语爱沙尼亚语马耳他语哈萨克语乌兹别克语祖鲁语拉丁语翻译商务英语新闻学广播电视学广告学传播学编辑出版学历史学世界史考古学文物与博物馆学数学与应用数学信息与计算科学物理学应用物理学核物理化学应用化学(注:可授理学或工学学士学位)天文学地理科学自然地理与资源环境(注:可授理学或管理学学士学位)人文地理与城乡规划(注:可授理学或管理学学士学位)地理信息科学大气科学应用气象学海洋科学海洋技术 ( 注:可授理学或工学学士学位)地球物理学空间科学与技术(注:可授理学或工学学士学位)地质学地球化学不限不限不限不限不限不限不限不限不限不限不限不限不限不限不限不限不限不限不限不限历史历史或地理或政治历史历史物理物理物理物理物理物理或化学物理或化学物理物理或地理地理或物理或化学地理或物理物理或地理或技术物理物理物理或化学或生物物理或化学或生物物理物理物理物理或化学生物科学生物技术(注:可授理学或工学学士学位)生物信息学(注:可授理学或工学学士学位)物理或化学或生物物理或化学或生物物理或化学或生物生态学心理学(注:可授理学或教育学学士学位)应用心理学(注:可授理学或教育学学士学位)统计学应用统计学理论与应用力学(注:可授工学或理学学士学位)工程力学机械工程机械设计制造及其自动化材料成型及控制工程机械电子工程工业设计过程装备与控制工程车辆工程汽车服务工程测控技术与仪器材料科学与工程材料物理(注:可授工学或理学学士学位)材料化学(注:可授工学或理学学士学位)冶金工程金属材料工程无机非金属材料工程高分子材料与工程复合材料与工程能源与动力工程电气工程及其自动化电子信息工程(注:可授工学或理学学士学位)电子科学与技术(注:可授工学或理学学士学位)通信工程微电子科学与工程(注:可授工学或理学学士学位)光电信息科学与工程(注:可授工学或理学学士学位)信息工程自动化计算机科学与技术(注:可授工学或理学学士学位)软件工程网络工程信息安全(注:可授工学或理学或管理学学士学位)物联网工程数字媒体技术土木工程建筑环境与能源应用工程给排水科学与工程建筑电气与智能化水利水电工程水文与水资源工程港口航道与海岸工程测绘工程物理或化学或生物不限不限物理物理或技术物理物理物理物理物理物理物理或化学或历史物理物理物理物理物理或化学物理或化学物理或化学物理或化学物理或化学物理或化学物理或化学物理或化学物理物理物理物理物理物理物理物理物理物理或技术物理或技术物理或技术物理或技术物理或技术物理或技术物理物理或化学物理物理物理或化学物理或化学物理或化学物理或地理遥感科学与技术化学工程与工艺制药工程地质工程勘查技术与工程资源勘查工程采矿工程石油工程矿物加工工程油气储运工程纺织工程服装设计与工程(注:可授工学或艺术学学士学位)轻化工程包装工程印刷工程交通运输交通工程航海技术轮机工程飞行技术船舶与海洋工程航空航天工程飞行器设计与工程飞行器制造工程飞行器动力工程飞行器环境与生命保障工程武器系统与工程武器发射工程探测制导与控制技术弹药工程与爆炸技术特种能源技术与工程装甲车辆工程信息对抗技术核工程与核技术辐射防护与核安全工程物理核化工与核燃料工程农业工程农业机械化及其自动化农业电气化农业建筑环境与能源工程农业水利工程森林工程木材科学与工程林产化工环境科学与工程环境工程物理物理或化学物理或化学物理或化学物理或化学物理或化学物理或化学物理或化学物理或化学物理或化学物理或化学或历史物理或化学或历史物理或化学物理或化学物理或化学物理或化学或技术物理或化学或技术物理或化学或技术物理物理物理物理物理物理物理物理物理物理物理物理物理物理物理物理物理物理物理物理或化学物理或化学物理或化学物理或化学或生物物理或化学或生物物理或化学或生物物理或化学或生物化学物理或化学或生物物理或化学或生物环境科学(注:可授工学或理学学士学位)环境生态工程生物医学工程(注:可授工学或理学学士学位)食品科学与工程(注:可授工学或农学学士学位)食品质量与安全粮食工程乳品工程酿酒工程建筑学城乡规划风景园林(注:可授工学或艺术学学士学位)安全工程生物工程刑事科学技术消防工程农学园艺植物保护植物科学与技术种子科学与工程设施农业科学与工程(注:可授农学或工学学士学位)农业资源与环境野生动物与自然保护区管理水土保持与荒漠化防治动物科学动物医学动物药学林学园林森林保护水产养殖学海洋渔业科学与技术草业科学基础医学临床医学口腔医学预防医学食品卫生与营养学(注:授予理学学士学位)中医学针灸推拿学藏医学蒙医学维医学壮医学哈医学中西医临床医学药学(注:授予理学学士学位)物理或化学或生物物理或化学或生物物理或化学或生物物理或化学或生物物理或化学或生物物理或化学或生物物理或化学或生物物理或化学或生物物理物理或地理不限物理或化学化学或生物政治或历史或技术物理或化学或技术化学或生物化学或生物化学或生物化学或生物化学或生物物理或化学或生物化学或生物化学或生物物理或化学或生物化学或生物化学或生物化学或生物化学或生物化学或生物化学或生物化学或生物物理或生物或化学化学或生物化学或生物化学化学化学或物理或生物化学或物理或生物化学或生物化学或生物化学化学化学化学化学化学化学或生物药物制剂(注:授予理学学士学位)中药学(注:授予理学学士学位)中药资源与开发(注:授予理学学士学位)法医学医学检验技术(注:授予理学学士学位)医学实验技术(注:授予理学学士学位)医学影像技术(注:授予理学学士学位)眼视光学(注:授予理学学士学位)康复治疗学(注:授予理学学士学位)口腔医学技术(注:授予理学学士学位)卫生检验与检疫(注:授予理学学士学位)护理学(注:授予理学学士学位)管理科学(注:可授管理学或理学学士学位)信息管理与信息系统(注:可授管理学或工学学士学位)工程管理(注:可授管理学或工学学士学位)房地产开发与管理工程造价(注:可授管理学或工学学士学位)工商管理市场营销会计学财务管理国际商务人力资源管理审计学资产评估物业管理文化产业管理(注:可授管理学或艺术学学士学位)农林经济管理农村区域发展(注:可授管理学或农学学士学位)公共事业管理行政管理劳动与社会保障土地资源管理(注:可授管理学或工学学士学位)城市管理图书馆学档案学信息资源管理物流管理物流工程(注:可授管理学或工学学士学位)工业工程(注:可授管理学或工学学士学位)电子商务(注:可授管理学或经济学或工学学士学位)旅游管理酒店管理会展经济与管理艺术史论音乐表演音乐学化学或生物化学或生物化学或生物化学或物理或生物化学化学物理物理物理化学化学生物或化学不限物理或技术物理或技术不限不限不限不限不限不限不限不限不限不限不限不限不限不限不限不限不限地理或技术不限技术技术技术或物理不限不限不限不限不限不限不限历史不限不限。
层次专业类名称考选科目要求类中所含专业本科传播学不提科目要求本科农村区域发展不提科目要求本科社会学不提科目要求本科法学不提科目要求本科工商管理类不提科目要求工商管理会计学电子商务本科经济学类不提科目要求金融学国际经济与贸易农林经济管理本科工程力学物理(1门科目考生必须选考方可报考)本科数学与应用数学物理(1门科目考生必须选考方可报考)化学应用化学本科化学类化学(1门科目考生必须选考方可报考)本科计算机科学与技术物理(1门科目考生必须选考方可报考)本科电气工程及其自动化物理(1门科目考生必须选考方可报考)本科英语不提科目要求本科经济学类(中外合作办学)不提科目要求国际经济与贸易农林经济管理不提科目要求传播学本科新闻传播学类(中外合作办学)本科土地资源管理物理,地理(2门科目考生选考其中一门即可报考)本科地理信息科学物理,地理(2门科目考生选考其中一门即可报考)本科水产养殖学物理,化学,生物(3门科目考生选考其中一门即可报考)本科设施农业科学与工程物理,化学,生物(3门科目考生选考其中一门即可报考)本科市场营销不提科目要求本科公共事业管理不提科目要求物理(1门科目考生必须选考方可报考)本科数据科学与大数据技术应用气象学生态学资源环境科学环境工程本科环境科学与工程类物理(1门科目考生必须选考方可报考)电子信息工程通信工程自动化本科电子信息类物理(1门科目考生必须选考方可报考)物理,化学,生物(3门科目考生选考其中一门即可报考)生物科学生物技术本科理科试验班类(生命科学)本科植物保护物理,化学,生物(3门科目考生选考其中一门即可报考)本科园林物理(1门科目考生必须选考方可报考)本科园艺物理,化学,生物(3门科目考生选考其中一门即可报考)本科种子科学与工程物理,化学,生物(3门科目考生选考其中一门即可报考)本科农学物理,化学,生物(3门科目考生选考其中一门即可报考)本科机械电子工程物理(1门科目考生必须选考方可报考)本科工业设计物理(1门科目考生必须选考方可报考)农业水利工程水利水电工程能源与动力工程本科水利类物理,化学(2门科目考生选考其中一门即可报考)本科土木工程物理(1门科目考生必须选考方可报考)本科草业科学物理,化学,生物(3门科目考生选考其中一门即可报考)本科动物科学物理,化学,生物(3门科目考生选考其中一门即可报考)本科动物医学化学(1门科目考生必须选考方可报考)食品科学与工程食品质量与安全生物工程葡萄与葡萄酒工程本科食品科学与工程类物理,化学(2门科目考生选考其中一门即可报考)农业机械化及其自动化农业工程本科农业工程类物理(1门科目考生必须选考方可报考)本科车辆工程物理(1门科目考生必须选考方可报考)物理(1门科目考生必须选考方可报考)本科机械设计制造及其自动物理,化学(2门科目考生选考其中一门即可报考)本科农业建筑环境与能源工电气工程及其自动化计算机科学与技术电子信息工程通信工程自动化本科理科试验班(信息科学)物理(1门科目考生必须选考方可报考)生物科学生物技术本科生物科学类物理,化学,生物(3门科目考生选考其中一门即可报考)自动化数据科学与大数据技术。
浙江农林大学2018在浙招生专业(类)选考科目范围高考招生自主招生招生计划高考招生简章高考保送生出国留学网高考网为大家提供浙江农林大学2018在浙招生专业选考科目范围,浙江农林大学2018在浙招生专业选考科目范围招生专业(类)名称所含专业选考科目现代农业类园艺、园艺(观赏园艺)、农学、植物保护、茶学、农业资源与环境化学、生物、物理现代林业类林学、森林保护化学、生物、历史生命科学类中药学、生物技术、生态学(生态工程技术)化学、生物、物理食品质量与安全类食品科学与工程、食品质量与安全物理、化学、生物食品科学与工程(粮油储检)食品科学与工程(粮油储检)物理、化学、生物动物医学类动物医学、动物科学物理、化学、生物林学(中加合作办学项目)化学、生物、历史智慧城市与规划类人文地理与城乡规划、地理信息科学、测绘工程物理、地理、历史风景园林物理、生物、历史园林物理、生物、历史建筑学物理、生物、历史土木工程物理、生物、历史旅游管理地理、历史、生物设计创意类木材科学与工程(室内与家具设计)、工业设计无环境材料与机械类环境工程、木材科学与工程、高分子材料与工程、机械设计制造及其自动化、应用化学物理、化学、生物经济与管理类会计学、农林经济管理、工商管理、市场营销、国际经济与贸易、金融工程、电子商务、城市管理无文化传播与法学类广告学、文化产业管理(茶文化)、汉语言文学、法学历史、思想政治、生物设计学类视觉传达设计、服装与服饰设计、数字媒体艺术、环境设计(园林艺术设计)无物联网与电子信息类信息管理与信息系统、电子信息工程、物联网工程、计算机科学与技术技术、物理、生物外语类英语、日语无统计与数据科学类信息与计算科学、应用统计学无小编精心为您推荐:高考状元高考每日学习计划复旦大学学长高考经验清华学霸经验:怎样在高中三年少走弯路学霸高考经验:怎样练就超强解题能力高考提分经验:怎样在43天提高200分高考家长经验:怎样让数学成绩差的孩子成功逆袭。
大学专业选科要求六选三对应的大学专业
2021年在上海、浙江招生的1400多所高校中,有70%的高校对选考科目有要求。
其中浙江高校要求选考的科目比例如下:
北京大学:32个专业类
四成专业要求一门选考科目生物科学类要求选考生物;心理学、计算机等专业要求选考物理
清华大学:8个专业类
物理基础类专业要求选考物理,化学基础类专业要求选考化学
浙江大学:24个专业类
多数要求选考物理,比如工科试验班,有的选考物理、化学
选考最多的还是物理
1、次宽松,学校提出3门科目要求,学生只要符合其中任意一门就可以报考。
如复旦大学历史学类专业,要求选考科目为历史、政治、地理,那么考生的加3学科中包含历史、政治、地理中任意一门即符合报考条件。
2、学校提出2门科目要求,学生只要符合其中任意一门就可以报考。
如复旦大学经济学类专业,要求选考科目为物理、化学,那么考生的加3学科中包含物理、化学中任意一门即符合报考条件。
3、学校提出1门科目要求,这种情况最为严苛。
考生如若想要报考该校该专业,则三门加选科目中,必须有这门学科,如复旦大学核工程与核技术专业,要求选考科目为物理,那么要求考生的加3学科中必须包含物理才能符合报考条件。
感谢您的阅读,祝您生活愉快。
2024年高校招生专业选考科目要求、招生人数分析,2021级学生选课建议(浙江完整版)2021年的最后一天,浙江省教育考试院发布《2024年普通高校招生专业选考科目要求》,公布了高校55530个专业2024年在浙江省招生的专业选考科目要求。
其中本科专业34054个,高职(专科)专业21476个。
2021年在浙江招生的高校专业有23619个(本科18336个、专科5283个)(含名校三位一体和强基计划)。
这次公布的专业,2024年有部分不会在浙江安排招生计划,具体招生人数要以2024年实际公布的招生计划为准。
我们可以根据2021年浙江省公布的各高校和专业招生人数,大致分析2024年的各专业招生情况。
根据教育部规定,本次公布的选考科目要求从2024年高考招生开始适用,对2022年和2023年毕业的学生没有影响。
浙江省新高考这几年基本政策保持稳定,操作层面的一些要求几乎是每年一个小变化,3-4年一个大变化。
改革新政的第一年,如果考生和家长能够准确把握信息,往往是获取政策红利最多的一年。
如果没有处理好,往往会是吃亏最多的一年。
对于高中学校也是如此。
选择大于努力,思维决定层次;有时候选对正确的路可能比努力更重要。
我们把在浙江省有招生的全部高校的2021年普通类招生计划和刚刚公布的2024年高校专业选考科目要求(浙教版)进行数据匹配,然后分析整理,这样可以给高一的学生和家长更多有用的信息。
一、2024年高校专业选课要求规则的变化2024年高校招生专业选考科目要求规则发生重大变化,具体专业选考科目要求有4种:1门科目考生必须选考方可报考;2门科目考生均须选考方可报考;3门科目考生均须选考方可报考;不提科目要求。
2024年新规则去掉了“2门科目考生选考其中一门即可报考”和“3门科目考生选考其中一门即可报考”这两个规则,二选一和三选一就可以报考的专业从此退出专业选课要求。
结合浙江省2021年招生计划,我们对2024年这四类规则和相应的招生专业数量和招生人数进行分析。
2020年拟在浙招生普通高校专业(类)选考科目要求
2020年拟在浙江省招生的普通高校专业(类)选考科目要求如下:
1. 文科类专业:文科综合(含三科,即语文、历史和地理)作为必考科目,另外可以选择参加外语(英语或其他外语)或理科综合(含三科,即数学、物理和化学)作为选考科目。
2. 理科类专业:理科综合(含三科,即数学、物理和化学)作为必考科目,另外可以选择参加外语(英语或其他外语)或文科综合(含三科,即语文、历史和地理)作为选考科目。
需要注意的是,选考科目的具体要求可能因不同高校及专业而有所差异,具体要求以浙江省招生部门公布的招生简章为准。
此外,考生还需参考中国高等教育学科分类和专业目录,确保选考科目符合该专业的相关要求。
浙江省高考选考科目 7 选 3 大学专业要求汇总(浙江省重点大学)浙江大学学校名称:浙江大学学校代码: 10336选考类中层所专业 ( 类 ) 名称科目选考科目范围次含数专业人文本历史思想政治科3人文科学试验班学科地理试验班医本学3医学试验班类物理化学生物试科验班本3海洋科学物理化学生物科药学本3 药药学类物理化学生物科物制剂本工工科试验班 ( 资料与化工 ) 2 物理化学科科试验班科技与创本意科技与创意设计试验班 2 物理技术科设计试验班理科本理科试验班类 ( 生命、环境、化学与地2 物理化学试科学)验班医学本医学试验班 2 物理化学试科验班口腔本医学试验班类 ( 口腔医学 ) 2 物理化学科医学本应用生物科学 ( 农学 ) 2 物理化学科本应用生物科学 ( 生工食品 ) 2 物理化学科工科本工科试验班 ( 信息 ) 1 物理试科验班工本工科试验班 ( 建筑与土木 ) 1 物理科科试验班工本科1工科试验班 ( 机械与能源 ) 物理试科验班工本科1工科试验班 ( 海洋 ) 物理试科验班工本科工科试验班 ( 电气与自动化 ) 1 物理试科验班工本科工科试验班 ( 航空航天与过程装备 ) 1 物理试科验班理本科1理科试验班类物理试科验班社会本科社会科学试验班不限学科试验班人本0 文人文科学试验班 ( 传媒 ) 不限科科学试验班人文本科人文科学试验班 ( 外国语言文学 ) 不限学科试验班运动训练武本术体育学类不限与科民族传统体育本美美术学类不限术科学视觉传达设本0 计设计学类不限科环境设计产品合用文档浙江工业大学学校名称:浙江工业大学学校代码: 10337选层考专业 ( 类 ) 名称科选考科目范围次目数本化工与生物类3物理化学生物科本师范类3物理化学技术科本建筑与创意设计类 3 物理历史地理科本新闻流传与中国语言文3 历史地理思想政设计类中所含专业化学工程与工艺能源化学工程应用化学资料科学与工程生物工程生物技术环境工程环境科学食品科学与工程食质量量与安全海洋技术 ( 海洋化工)安全工程教育技术学 ( 师范 )电气工程及其自动化(师范 )机械工程 ( 师范 )计算机科学与技术( 师范 )建筑学城乡规划工业设计广播电视学合用文档汉语言文学汉语国际教育国际经济与贸易金融学工商管理财务管理市场营销旅游管理本经贸、法学与管理类 3物理思想政治历科史信息管理与信息系统工程管理公共事业管理行政管理法学知识产权英语本历史地理思想政科外国语言文学类 3治翻译 ( 英语 )日语本计算机类 ( 中外合作办3 物理化学技术学)科软件工程制药工程 ( “ 2011计划”创新试验班 )本3 制药工程药学类物理化学生物科药物制剂药学中药学数学与应用数学应用物理学本理学与光电信息类 2 物理化学光电信息科学与工科程信息与计算科学应专心理学电气工程及其自动本电气通信与计算机类 2 物理技术化科自动化电子信息工程合用文档本1机械与工业工程类物理科本1土木类物理科本健行学院试验班类不限科通信工程电子科学与技术计算机科学与技术软件工程网络工程数字媒体技术物联网工程机械工程过程装备与控制工程车辆工程测控技术与仪器能源与环境系统工程工业工程物流工程土木工程给排水科学与工程港口航道与海岸工程化学工程与工艺能源化学工程应用化学资料科学与工程生物工程生物技术环境科学食品科学与工程食质量量与安全海洋技术 ( 海洋化工)安全工程制药工程 ( “ 2011 计划”创新试验班)制药工程药物制剂药学中药学机械工程合用文档过程装备与控制工程车辆工程测控技术与仪器能源与环境系统工程工业工程物流工程国际经济与贸易金融学工商管理财务管理市场营销旅游管理信息管理与信息系统工程管理公共事业管理行政管理法学知识产权电气工程及其自动化自动化电子信息工程通信工程电子科学与技术计算机科学与技术软件工程网络工程数字媒体技术物联网工程工业设计土木工程给排水科学与工程港口航道与海岸工程广播电视学广告学汉语言文学汉语国际教育英语合用文档本艺术设计类不限科本播音与主持艺术不限科浙江工商大学学校名称:浙江工商大学学校代码: 10354选层考专业 ( 类 ) 名称选考科目范围次科目数本英语类 3历史地理思想科政治本哲学 3历史地理思想科政治本法学类 3 思想政治历史翻译 ( 英语 )日语数学与应用数学应用物理学光电信息科学与工程信息与计算科学应专心理学教育技术学 ( 师范 ) 电气工程及其自动化(师范 )机械工程 ( 师范 )计算机科学与技术( 师范 )软件工程 ( 中外合作)环境设计公共艺术视觉传达设计动画类中所含专业英语商务英语法学合用文档科地理知识产权本汉语言文学 3思想政治历史科地理本法语 3历史地理思想科政治本日语 3历史地理思想科政治广告学本新闻流传学类 3 历史地理思想新闻学科政治编写初版学本历史学 3历史地理思想科政治本数学类 3 物理化学生物信息与计算科学科数学与应用数学本应用化学 3 化学物理生物科环境科学本环境工程环境科学与工程类 3 物理化学生物科给排水科学与工程海洋技术本食品科学与工程类 3 化学物理生物食品科学与工程科食质量量与安全本动画 3历史地理思想科政治本美术学 3历史地理思想科政治本视觉传达设计 3历史地理思想科政治本环境设计 3历史地理思想科政治本产品设计 3历史地理思想科政治本网络信息类 2 物理技术网络工程科测控技术与仪器本人文地理与城乡规划 2 物理技术科合用文档科本计算机类2物理技术科本2生物工程化学生物科本2工程管理物理技术科本2公共管理类物理历史科本2电子商务类物理技术科本会计学类不限科本经济学类不限科本保险学不限科本金融学类不限科本社会工作不限科本统计学类不限科本工商管理类不限科通信工程计算机科学与技术软件工程信息安全公共事业管理行政管理土地资源管理劳动与社会保障电子商务物流管理信息管理与信息系统会计学财务管理审计学会计学 (ACCA)经济学国际经济与贸易资源与环境经济学金融学投资学金融工程经济统计学应用统计学工商管理市场营销人力资源管理国际商务文化产业管理本行政管理 ( 人民武装方0 不限科向)本旅游管理类0 不限科杭州电子科技大学学校名称:杭州电子科技大学学校代码: 10336选考层选考科目范专业 ( 类) 名称科次围目数本技术历史会计学类 3地理科本物理化学信息与通信工程类 3生物科本物理化学光电技术与物理类 3地理科本物理化学机械与海洋工程类 3技术科物理技术理工类实验班 3地理旅游管理酒店管理类中所含专业会计学财务管理审计学通信工程信息安全信息抗衡技术信息工程光电信息科学与工程( 光电信息技术方向)应用物理学机械设计制造及其自动化车辆工程海洋工程与技术电子信息工程计算机科学与技术软件工程通信工程电气工程及其自动化科本科本科本科本科本科本科本科本科物理技术生物医学工程与仪器类 3生物物理化学电气与自动化类 3技术物理技术经济类 3历史地理历史经管类实验班 3思想政治历史地理语言类 3技术历史思想法学类 3政治地理物理化学数学类 3技术物理化学资料类 3机械设计制造及其自动化测控技术与仪器生物医学工程医学信息工程自动化电气工程及其自动化智能电网信息工程金融学国际经济与贸易经济学统计学经济统计学会计学财务管理审计学金融学信息管理与信息系统英语 ( 与国际经济与贸易复合 )英语汉语国际教育法学社会学数学与应用数学( 与金融学复合 )信息与计算科学数学与应用数学应用统计学资料科学与工程功能资料科本科本科本科本科本科本科本科本科通信工程 ( 中外合作办学 ) 3生物物理化学电子信息类 3生物物理化学计算机类 3技术化学生物环境科学与工程类 3物理技术物理管理科学与工程类 3化学技术历史工商管理类 3地理工业工程 ( 工业技术管理方物理技术向 )3化学新媒体类0不限产品设计0不限电子信息工程电子科学与技术集成电路设计与集成系统电子信息科学与技术光电信息科学与工程( 光电工程方向 )计算机科学与技术( 与会计学复合 )计算机科学与技术软件工程网络工程物联网工程环境科学环境工程信息管理与信息系统工业工程电子商务物流管理保密管理工商管理市场营销人力资源管理数字媒体技术流传学编写初版学印刷工程合用文档工业设计本设计学类不限科包装工程杭州师范大学学校名称:杭州师范大学学校代码: 10347选考层选考科目范类中所含专专业 ( 类) 名称科次围业目数计算机科学与技术 ( 师范 )计算机科学与技术 ( 金融信息服务方向 )软件工程本物理技术科信息技术与国际服务工程类 3 历史物联网工程信息与计算本物理化学科学科数据科学与统计类 3 技术统计学生物科学 ( 师范 ) 本化学生物生物技术科生命与环境科学类 3 物理环境工程电子商务物流管理本物理历史市场营销 ( 网科电子商务类 3 技术络营销方向 )合用文档本历史地理科管理学类 3 技术本历史化学科经济学类 3 物理本物理历史科法学类 3 化学本历史思想政科社会工作 3 治生物本历史思想政科思想政治教育 ( 师范 ) 3 治地理本物理化学科科学教育 ( 师范 ) 3 生物本历史化学科人文教育 ( 师范 ) 3 地理本物理化学科教育技术学 ( 师范 ) 3 技术本历史物理科学前教育 ( 师范 ) 3 生物本历史物理科小学教育 ( 师范 ) 3 化学本历史思想政科特别教育 ( 师范 ) 3 治生物本历史化学科汉语言文学 3 地理本历史化学科汉语言文学 ( 师范 ) 3 地理本历史化学科汉语国际教育 3 地理本历史化学科英语 3 地理本历史化学科英语 ( 师范 ) 3 地理本历史化学科日语 3 地理本历史化学科朝鲜语 3 地理旅游管理会展经济与管理经济学金融工程法学知识产权合用文档本历史化学科历史学 ( 师范 ) 3 地理本物理化学科数学与应用数学 ( 师范 ) 3 技术物理学 ( 师范 )应用物理学本物理化学( 新能源方科物理学类 3 技术向 )化学 ( 师范 )应用化学高分子资料与工程本化学物理科化学类 3 历史制药工程本地理物理科地理信息科学 3 化学本化学生物科食质量量与安全 3 物理本化学物理科临床医学 3 生物本化学生物科口腔医学 3 物理本化学生物科预防医学 3 物理本化学物理科药学 3 生物本生物技术科护理学 3 化学本物理历史科国际商务 3 技术本化学历史科公共事业管理 ( 健康管理方向 ) 3 技术本化学历史科公共事业管理 ( 卫惹祸业管理方向 ) 3 技术合用文档本科应专心理学 2 生物物理本科艺术教育 ( 师范 ) 0 不限本科体育教育 ( 师范 ) 0 不限本科武术与民族传统体育( 师范 ) 0 不限本科休闲体育0 不限本科音乐表演 ( 中国乐器演奏 ) 0 不限本科音乐表演 ( 声乐演唱 ) 0 不限本科音乐表演 ( 流行音乐 ) 0 不限本科音乐表演 ( 西洋乐器演奏 ) 0 不限本科音乐表演 ( 越剧表演 ) 0 不限本科音乐表演 ( 钢琴演奏 ) 0 不限本科音乐学 ( 音乐教育 ) 0 不限本科音乐学 ( 音乐理论 ) 0 不限本科作曲与作曲技术理论( 作曲 ) 0 不限本作曲与作曲技术理论( 音乐设计与制科作 ) 0 不限本科舞蹈表演0 不限本科舞蹈学0 不限本科动画0 不限本美术学 ( 师范 ) 0 不限合用文档科本科绘画0 不限本科书法学0 不限本科视觉传达设计0 不限本科环境设计0 不限本科公共艺术0 不限宁波大学学校名称:宁波大学学校代码: 11647选层考专业 ( 类) 名称科选考科目范围次目数本思想政治历史师范类 ( 文科 ) 3科地理本物理化学生师范类 ( 理科 ) 3科物类中所含专业人文教育 ( 师范)思想政治教育( 师范 )汉语言文学( 师范 )历史学 ( 师范)化学 ( 师范 ) 生物技术 ( 师范)数学与应用数学 ( 师范 ) 物理学 ( 师范)合用文档范)地理科学 ( 师范)微电子科学与工程数学与应用本物理化学生数理科学类 3 数学 ( 基地科物班)物理学 ( 基地班)资料科学与化学物理生工程本资料化学类 3科物化学应用化学人文科学试本人文科学试验班 ( 阳明文科创新思想政治历史3 验班 ( 阳明文科班 ) 地理科创新班 )理科试验班本物理化学生理科试验班 ( 阳明理科创新班 ) 3 ( 阳明理科创科物新班 )地理物理技本金融学 ( 全英文班 ) 3科术本地理物理技国际经济与贸易 ( 全英文班 ) 3科术历史物理地本英语 3科理历史物理技本德语 3科术历史物理技本日语 3科术数学与应用数学类 ( 中外合作办学 )( 数学与应本物理技术历数学 ( 中美合用数学(中美合作精算科学与风险 3科史作精算科学管理) )与风险管理 ) 本生物化学物应专心理学 3科理本机械设计制造及其自动化 ( 国贸 3 技术物理化合用文档科班 )学本技术物理化机械类 3科学本技术物理历数字媒体技术 3科史本物理地理技航海技术 3科术本物理化学技轮机工程 3科术本生物化学物临床医学 3科理本生物化学物预防医学 3科理本地理物理技工商管理 ( 中加学分互认 ) 3科术本地理物理技会计学 (ACCA) 3科术本地理物理技会计学 (CPA Canada) 3科术本旅游管理类 ( 中外合作办学 )( 旅游地理历史生管理(中法合作班) ) 3科物本2海洋科学类生物化学科本通信工程 2 物理技术科机械设计制造及其自动化车辆工程工业工程工业设计工程力学 ( 基地班 )船舶与海洋工程旅游管理 ( 中法合作班 ) 海洋药学生物技术水产养殖学海洋资源与环境电子信息科科本2食品科学与工程类生物化学科本人文与传媒类不限科本土木建设类不限科本师范类 ( 小学学前 ) 0 不限科本师范类 ( 英语 ) 不限科本法政类不限科本经济学类0不限学与技术电气工程及其自动化计算机科学与技术光电信息科学与工程物联网工程食品科学与工程食质量量与安全汉语言文学历史学新闻学广告学土木工程工程管理人文地理与城乡规划环境工程建筑学城乡规划小学教育 ( 师范)学前教育 ( 师范)英语 ( 小学师资)英语 ( 师范 ) 政治学与行政学行政管理法学法学 ( 英语特色班 )国际经济与科本体育教育 ( 师范 ) 不限科本工商管理类不限科本音乐学 ( 师范 ) 不限科本美术学 ( 师范 ) 0 不限科本美术学 ( 数字艺术 ) 0 不限科本设计学类不限科温州大学学校名称:温州大学学校代码: 10352选层考专业 ( 类 ) 名称科选考科目范围次目数贸易金融学经济学金融工程工商管理会计学市场营销信息管理与信息系统旅游管理物流管理产品设计环境设计服饰与服饰设计视觉传达设计类中所含专业本化学类3化学物理生物资料科学与工合用文档科程化学工程与工艺应用化学本卓工超豪实验班 1 3 物理化学技术网络工程科本卓工超豪实验班 2 3 物理化学生物机械工程科法学本3 思想政治历史物理科行政管理思想政治教育法律与公共管理类( 师范 )应专心理学( 师范 )数学与应用数学( 师范 )物理学 ( 师范 )化学 ( 师范 ) 本溯初实验班 2 3 物理化学生物科生物科学 ( 师范 )教育技术学( 师范 )生物技术本生物与环境类 3 生物化学地理科环境科学本金融工程 3 物理历史思想政治科本国际经济与贸易 3 物理历史思想政治科本国际经济与贸易 ( 国际化 ) 3 物理历史思想政治科本汉语言文学 ( 创意中文实验3 历史思想政治物理科班)本广告学 3 历史思想政治技术科本信息与计算科学 3 物理化学技术科本应用统计学 3 物理生物技术合用文档科本机械类 3 物理化学生物科本电气工程及其自动化 3 物理化学生物科本电子信息工程 ( 两岸合作办3 物理技术生物科学项目 )本通信工程 3 物理化学生物科本电子信息科学与技术 3 物理化学生物科本计算机科学与技术 3 物理化学生物科本土木工程 3 物理化学地理科本市场营销 3 物理历史地理科本财务管理 3 物理历史地理科本工商管理类 ( 中外合作办3 物理历史地理科学)本学前教育 ( 师范 ) 0 不限科本小学教育 ( 师范 ) 0 不限科本体育教育 ( 师范 ) 0 不限科本英语0 不限科本英语 ( 师范 ) 0 不限科本服饰设计与工程0 不限科本建筑学0 不限科本音乐学 ( 师范 ) 0 不限科工业工程汽车服务工程市场营销本美术学 ( 师范 )0 美术学 ( 油画、美术学类不限科国画 )产品设计视觉传达设计本环境设计设计学类不限服饰与服饰设科计( 服饰设计、服饰显现设计、鞋靴设计 )温州医科大学学校名称:温州医科大学学校代码: 10344选考类中所专业 ( 类) 名称层次科选考科目范围目含专业数生物科学3 生物技本科生物科学类物理化学生物术海洋科学本科应专心理学 3 化学生物思想政治本科电子信息工程 3 物理化学生物本科计算机科学与技术 3 化学生物技术本科制药工程 3 物理化学生物本科环境科学 3 物理化学生物本科生物医学工程 3 物理化学生物本科临床医学 3 物理化学生物本科麻醉学 3 物理化学生物本科医学影像学 3 物理化学生物本科眼视光医学 3 物理化学生物本科眼视光医学 ( 本硕连读 ) 3 物理化学生物本科口腔医学 3 物理化学生物本科预防医学 3 物理化学生物本科中医学 3 化学生物历史本科药学 3 物理化学生物本科临床药学 3 物理化学生物本科中药学 3 物理化学生物本科法医学 3 物理化学生物本科医学检验技术 3 物理化学生物本科康复治疗学 3 物理化学生物本科卫生检验与检疫 3 物理化学生物本科护理学 3 化学生物历史本科护理学类 ( 中外合作办学 ) 3 化学生物历史护理学本科信息管理与信息系统 3 化学生物技术本科法学0 不限本科社会工作0 不限本科运动人体科学0 不限本科英语0 不限本科日语0 不限公共事业管理本科公共管理类0 不限市场营销劳动与合用文档社会保障高职 ( 专3护理化学生物历史科)高职 ( 专3眼视光技术物理化学生物科)浙江财经大学浙江财经大学学校代码: 11483层选考类中所含专业 ( 类) 名称科目选考科目范围次专业数本3公民经济管理历史物理技术科本3财政学历史地理物理科本3税收学历史地理物理科本3金融学历史物理技术科本3金融工程物理化学生物科本3信用管理历史物理技术科本3法学思想政治历史技术科本3汉语言文学历史思想政治地理科本3英语历史地理化学科本3广告学历史思想政治物理科本3数学与应用数学物理化学生物科合用文档本信息与计算科学 3 物理化学生物科本计算机科学与技术 3 物理化学技术科本软件工程 3 物理化学技术科本城乡规划 3 地理生物技术科本工商管理 3 地理物理技术科本会计学 3 思想政治物理技术科本财务管理 3 历史物理技术科本人力资源管理 3 历史物理技术科本3审计学思想政治历史技术科本行政管理 3 思想政治历史地理科本物流管理 3 地理物理技术科本科视觉传达设计 3 思想政治历史技术本科环境设计 3 思想政治历史技术本科经济学0 不限本科经济统计学0 不限本科保险学0 不限本科投资学0 不限本科国际经济与贸易0 不限本社会工作0 不限合用文档科本科汉语国际教育0 不限本科日语0 不限本科商务英语0 不限本科应用统计学0 不限本科信息管理与信息系统0 不限本科工程管理0 不限本科市场营销0 不限本科财富评估0 不限本科工商管理类 ( 中外合作办学 ) 0 不限市场营销本科工商管理类 ( 中外合作办学 ) 0 不限会计学本科公共事业管理0 不限本科劳动与社会保障0 不限本科城市管理0 不限本科电子商务0 不限本科美术学0 不限本科摄影0 不限本科数字媒体艺术0 不限浙江传媒学院学校名称:浙江传媒学院学校代码: 11648选考选考科类中所含层次专业 ( 类 ) 名称科目范围专业目数汉语言文学思想政汉语言文治历学( 涉外文本科中国语言文学类 3史地秘)理汉语国际教育秘书学物理本科电子信息工程 3 生物技术物理本科电子科学与技术 3 生物技术物理本科通信工程 3 生物技术物理本科广播电视工程 3 生物技术物理本科网络工程 3 生物技术物理本科数字媒体技术 3 生物技术物理本科信息管理与信息系统 3 生物技术本科经济学0 不限本科英语0 不限本科新闻学0 不限本科广播电视学0 不限本科广告学0 不限本科流传学0 不限本科编写初版学0 不限本科网络与新媒体0 不限本科数字初版0 不限本科文化产业管理0 不限本科公共关系学0 不限本科会展经济与管理0 不限本科音乐表演 ( 声乐 ) 0 不限本科音乐表演 ( 民乐 ) 0 不限本科音乐表演 ( 西洋乐 ) 0 不限本科音乐表演 ( 钢琴 ) 0 不限本科舞蹈编导0 不限本科舞蹈编导 ( 音乐剧 ) 0 不限本科表演0 不限本科戏剧影视文学0 不限本科戏剧影视文学 ( 编剧与策划 ) 0 不限本科广播电视编导0 不限本科广播电视编导 ( 媒体创意 ) 0 不限本科广播电视编导 ( 文艺编导 ) 0 不限本科戏剧影视美术设计0 不限本科戏剧影视美术设计 ( 人物形象设计 ) 0 不限。
实用文档
文案大全.实用文档
文案大全.实用文档
文案大全.实用文档
文案大全.实用文档
文案大全.实用文档
文案大全.实用文档
文案大全.实用文档
文案大全.实用文档
文案大全.实用文档
文案大全.实用文档
文案大全.实用文档
文案大全.实用文档
文案大全.实用文档
文案大全.实用文档
文案大全.实用文档
文案大全.实用文档
文案大全.实用文档
文案大全.实用文档
文案大全.实用文档
文案大全.实用文档
文案大全.实用文档
文案大全.实用文档
文案大全.实用文档
文案大全.实用文档
文案大全.实用文档
文案大全.实用文档
文案大全.实用文档
文案大全.实用文档
文案大全.实用文档
浙江传媒学院文案大全.
实用文档
文案大全.实用文档
文案大全.实用文档
文案大全.实用文档
文案大全.实用文档
文案大全.实用文档
文案大全.实用文档
文案大全.实用文档
文案大全.实用文档
文案大全.实用文档
文案大全.实用文档
文案大全.实用文档
文案大全.实用文档
文案大全.实用文档
文案大全.实用文档。
2020年在浙招生高校专业选考科目要求【高校招生】
关于公布2020年拟在浙招生高校专业(类)选考科目要求的说明
根据教育部和我省有关规定要求,2020年拟在我省招生的高校编报了专业(类)选考科目要求,现予以公布,并将有关事项说明如下。
更多详情请点击查询
1。
各专业选考科目要求由高校按照教育部和我省有关规定,结合自身办学定位和专业培养目标对学生学习基础的要求自主确定。
选考科目要求分为6类:1门科目,考生必须选考方可报考;2门科目,考生均需选考方可报考;2门科目,考生选考其中一门即可报考;3门科目,考生均需选考方可报考;3门科目,考生选考其中一门即可报考;不提科目要求。
2.2020年根据各高校实际招生安排,部分专业、选考科目要求可能会有一定调整变化,具体以当年发布的招生计划及院校招生章程为准。
3。
目前我国尚无官方统一发布的全部专业学科排名。
为便于考生了解有关学校学科建设状况,我们提供了教育部学位与研究生教育发展中心发布的学科评估结果网址。
此评估由教育部学位与研究生教育发展中心组织、有博士或硕士学位授予权的高校自愿申请参加,并未覆盖全部高校,仅供考生参考。
来源:浙江教育考试院实习编辑:吴明玲。
2020年拟在浙招生普通高校专业(类)选考科目要求在中国,高考是一道重要的关卡,决定了很多人的前途。
每年,高考科目的要求都会有所调整,让我们一起来了解一下2020年拟在浙江招生的普通高校专业(类)选考科目要求。
首先,我们来看一下文科类专业。
在2020年,浙江省高考对于文科类专业的选考科目要求有所改变。
学生可根据自己的兴趣和潜力选择以下四个科目中的三个进行考试:语文、数学、外语、历史、地理和政治。
其中,语文是必选科目,其余科目可按照学生的特长和所报考的大学专业选择。
这一调整旨在更好地培养学生的综合素质和实际能力,不再限制学生的发展方向。
接下来,我们来讨论一下理科类专业的选考科目要求。
与文科类专业一样,学生也需要选择三个科目进行考试。
浙江省高考对于理科类专业的选考科目有以下的选择:语文、数学、外语、历史、地理和物理。
与文科类专业不同的是,理科类专业中数学是必选科目,学生必须参加数学考试。
对于数学强项的学生来说,这是一个很好的机会展现自己的实力。
除了上述选考科目外,学生还需要参加综合素质评价的考试。
综合素质评价的科目包括体育和艺术,学生可根据自己的兴趣和特长选择参加对应的考试。
这一项评价不计入高考总分,但对于大学录取的综合评价起到了很大的作用。
这也促使学生在高中阶段注重培养全面的素质,而不仅仅是学术成绩。
总的来说,2020年浙江省高考拟在招生普通高校的专业选考科目要求对学生的发展方向和潜力给予了更大的选择余地。
无论是文科类专业还是理科类专业,学生都可以根据自己的兴趣和特长选择适合自己的科目进行考试。
而综合素质评价的引入,也鼓励学生注重培养全面的素质,使得高考评价更加公平和全面。
希望通过这样的改革,能够更好地激发学生的学习兴趣和潜能,促进个体的全面发展。
当然,每个人的情况和选择都不一样,也需要根据自己的实际情况和目标来制定合适的选考科目。
以上所述仅为2020年浙江省高考拟在招生专业选考科目要求的简要介绍,具体细节还需根据相关政策和相关学校的规定来确定。
浙江省高考选考科目7选3大学专业要求汇总浙江省的重点大学在招生时会对考生的选考科目有一定的要求,其中包括7门选考科目中必须选3门的规定。
下面是这些大学对于不同专业的选科要求的汇总。
1.XXX对于理工类专业,要求必须选考数学、物理、化学中的两门;对于文史类专业,则要求必须选考语文、历史、地理中的两门。
2.XXX对于计算机科学与技术、电子信息工程、软件工程等理工类专业,要求必须选考数学、物理、信息技术中的两门;对于外语、新闻传播等文史类专业,则要求必须选考语文、外语、历史中的两门。
3.XXX对于机械、自动化、电气等理工类专业,要求必须选考数学、物理、化学中的两门;对于经济、管理等文史类专业,则要求必须选考语文、数学、英语中的两门。
4.XXX对于教育学、汉语言文学、历史学等文史类专业,要求必须选考语文、历史、地理中的两门;对于数学、物理等理工类专业,则要求必须选考数学、物理、化学中的两门。
5.XXX对于文史类专业,要求必须选考语文、历史、地理中的两门;对于理工类专业,则要求必须选考数学、物理、化学中的两门。
以上就是XXX对于不同专业选科要求的汇总。
考生在填报志愿时,一定要根据自己的兴趣和特长,结合这些要求进行合理的选择。
同时,也要注意各个学校的具体要求可能会有所不同,需要仔细阅读招生简章。
XXX是国内顶尖的综合性大学之一,位于中国历史文化名城杭州市。
学校前身为1897年创建的求是书院,是中国近代教育史上的第一所XXX。
经过百余年的发展,XXX已经成为一所以工为主,理、文、法、经、管、教育、艺术等多学科协调发展的国内一流、国际知名的研究型大学。
XXX创建于1910年,是中国最早建立的工科院校之一。
学校是教育部“卓越工程师教育培养计划”、“卓越法律人才教育培养计划”、“卓越医生教育培养计划”、“卓越师资教育培养计划”、“卓越农林人才教育培养计划”、“卓越工程师教育培养计划”和“卓越医学人才教育培养计划”的实施高校,是“2011计划”重点支持高校。
浙江省普通高校本科专业高考招生选考科目要求的设置指引浙江省普通高校本科专业高考招生选考科目要求的设置是为了确保高校招生选拔工作的公平、公正性,同时也是为了适应不同专业的需求,培养具有不同专业知识和技能的人才。
下面是根据相关政策和要求,为浙江省普通高校本科专业高考招生选考科目要求的设置提供的指引。
首先,需要明确的是,浙江省普通高校本科专业高考招生选考科目要求的设置应遵循“因材施教、综合素质、广泛参与”的原则。
要尊重学生的个体差异,根据学生的实际情况和兴趣爱好进行科目选择;要综合考察学生的各方面素质,不仅注重学科知识的掌握,还要注重学生的综合能力、创新精神和实践能力;要广泛参与所有的高中学生,适应不同学生的需求,提供多样化的选考科目。
其次,浙江省普通高校本科专业高考招生选考科目要求的设置可以考虑以下几个方面。
1.基础科目:学生需要选择包括语文、数学、英语在内的基础科目。
这些科目是高中教学的重点科目,也是学生综合素质的基础。
语文、数学和英语的考核可以分为基础知识和能力的考察。
考察基础知识是为了评价学生的学科掌握程度,考察能力是为了评价学生的分析解决问题的能力。
2.专业科目:学生需要选择与自己所报志愿专业相关的专业科目。
这些科目主要是为了考察学生在相关专业领域的知识和技能。
专业科目的考核可以根据专业的特点,分为理论知识和实践能力的考察。
理论知识的考核可以通过笔试形式进行,实践能力的考核可以通过实际操作、实验等方式进行。
3.选修科目:学生可以根据自己的兴趣和特长选择一定数量的选修科目。
选修科目可以是高中教学计划中的其他学科,也可以是与大学专业相关的其他学科。
选修科目的考核可以根据学科的特点和课程安排,灵活选择考核方式,包括笔试、实践操作和综合评价等。
最后,浙江省普通高校本科专业高考招生选考科目要求的设置应与高校的专业设置相衔接,同时也需要考虑到学生的实际情况和发展需求。
高校的专业设置是向学生提供不同学科领域的专业知识和技能,而学生的学科选择则是根据自己的兴趣、特长和发展方向进行的。
农大专业选科要求1. 专业背景介绍农大是指农业大学,是以农业科学为主要研究方向的高等学府。
农大的专业涵盖了农业科学的各个领域,包括农业生产、农业工程、农业经济管理等。
农大培养的学生将成为未来农业领域的专业人才。
2. 专业选科原则在选择农大的专业时,需要考虑以下几个原则:2.1 兴趣和爱好首先要考虑自己的兴趣和爱好,选择一个自己感兴趣的专业能够更好地激发学习的动力,提高学习效果和成绩。
2.2 能力和特长其次要考虑自己的能力和特长,选择一个适合自己的专业能够更好地发挥自己的优势,提高学习和就业的竞争力。
2.3 就业前景最后要考虑专业的就业前景,选择一个就业前景较好的专业能够增加就业机会,提高就业率和薪资待遇。
3. 农大专业选科要求农大的专业选科要求根据不同专业的特点和需求有所不同,但一般包括以下几个方面:3.1 基础学科农大的专业选科中通常包括一些基础学科,如数学、物理、化学、生物等。
这些基础学科是农业科学的基础,对于理解和掌握专业知识非常重要。
3.2 专业核心课程农大的专业选科中还包括一些专业核心课程,如农业生产技术、农业经济学、农业工程等。
这些课程是培养学生专业能力的基础,对于掌握专业知识和技能非常重要。
3.3 实践教学农大的专业选科中通常还包括一些实践教学,如农田实习、实验课程、实践项目等。
这些实践教学能够帮助学生将理论知识应用到实际中,提高实际操作能力和解决问题的能力。
3.4 选修课程农大的专业选科中还包括一些选修课程,学生可以根据自己的兴趣和需求选择适合自己的选修课程。
选修课程能够拓宽专业知识领域,增加学生的综合素质和竞争力。
4. 专业选科建议在选择农大的专业时,可以根据以下几个方面进行考虑和决策:4.1 了解专业首先要了解农大的各个专业的特点和需求,包括专业的学科方向、课程设置、就业前景等。
可以通过查阅学校官方网站、咨询老师和学长学姐等渠道获取相关信息。
4.2 自我评估其次要进行自我评估,包括自己的兴趣、能力和特长。