环氧树脂及其固化剂
- 格式:ppt
- 大小:2.14 MB
- 文档页数:42
环氧树脂胶环氧树脂胶(epoxy resin adhesive)一般是指以环氧树脂为主体所制得的胶粘剂,环氧树脂胶一般还应包括环氧树脂固化剂,否则这个胶就不会固化。
中文名环氧树脂胶外文名epoxy resin adhesive种类软胶和硬胶特性双组份胶水,需AB混合使用种类环氧树脂胶又分为软胶和硬胶。
1、环氧树脂软胶:它是一种液型,双组份、软性自干型软胶,无色、透明、具有弹性,轻度划擦表面即自行恢复原形。
适用于涤纶、纸张、塑料等标牌装饰。
2、环氧树脂硬胶:它是一种液型,双组份硬性胶,无色、透明,适用于金属标牌同时可制作各种水晶钮扣、水晶瓶盖、水晶木梳、水晶工艺品等高档装饰品。
分类环氧树脂的分类目前尚未统一,一般按照强度、耐热等级以及特性分类,环氧树脂的主要品种有16种,包括通用胶、结构胶、耐温胶、耐低温胶、水下,潮湿面用胶、导电胶、光学胶、点焊胶、环氧树脂胶膜、发泡胶、应变胶、软质材料粘接胶、密封胶、特种胶、被固化胶、土木建筑胶16种。
对环氧树脂胶黏剂的分类在行业中还有以下几种分法:1、按其主要组成,分为纯环氧树脂胶黏剂和改型环氧树脂胶黏剂;2、按其专业用途,分为机械用环氧树脂胶黏剂、建筑用环氧树脂胶黏剂、电子眼环氧树脂胶黏剂、修补用环氧树脂胶黏剂以及交通用胶、船舶用胶等;3、按其施工条件,分为常温固化型胶、低温固化型胶和其他固化型胶;4、按其包装形态,可分为单组分型胶、双组分胶和多组分型胶等;还有其他的分法,如无溶剂型胶、有溶剂型胶及水基型胶等。
但以组分分类应用较多。
特性1. 基本特性:双组份胶水,需AB混合使用,通用性强,可填充较大的空隙2. 操作环境:室温固化,室内、室外均可,可手工混胶也可使用AB胶专用设备(如AB胶枪3. 适用温度一般都在-50至+150度4. 适用于一般环境,防水、耐油,耐强酸强碱5. 放置于避免阳光直接照射的阴凉地方,保质期限12个月1、环氧树脂胶是在环氧树脂的基础上对其特性进行再加工或改性,使其性能参数等符合特定的要求,通常环氧树脂胶也需要有固化剂搭配才能使用,并且需要混合均匀后才能完全固化,一般环氧树脂胶称为A胶或主剂,固化剂称为B胶或固化剂(硬化剂)。
环氧树脂胶成分
环氧树脂胶的成分主要包括环氧树脂和固化剂。
1. 环氧树脂:是一种双官能团化合物,具有环氧基团(-C-O-C-),可以在固化过程中与其他化合物发生反应,形成耐化学腐蚀的耐热、耐水、耐溶剂的聚合物材料。
常见的环氧树脂有双酚A型环氧树脂、双酚F型环氧树脂等。
2. 固化剂:环氧树脂需要与固化剂反应产生交联结构,形成固态材料。
固化剂是一种低分子量化合物,具有活性基团可以与环氧树脂上的环氧基团反应。
常见的固化剂有胺类固化剂、酸酐固化剂、酸类固化剂等。
除了环氧树脂和固化剂,环氧树脂胶中还可能包含一些辅助添加剂,如溶剂、填料、助剂等,用于调节胶体性质、增强胶黏性能、改善流变性、调整硬化速率等。
环氧树脂与固化剂反应:深度解析与应用一、环氧树脂与固化剂反应概述环氧树脂是一种高分子聚合物,因其优异的物理性能和化学性能而被广泛应用于各个领域。
然而,环氧树脂本身并不稳定,需要在特定的条件下进行固化,这一过程就需要用到固化剂。
环氧树脂与固化剂的反应是一种重要的化学反应,涉及到多种复杂的化学机制。
二、环氧树脂与固化剂反应的化学机制环氧树脂的固化过程可以大致分为三个阶段:凝胶阶段、硬化阶段和熟化阶段。
在这个过程中,固化剂起着至关重要的作用。
固化剂的种类繁多,根据其化学组成和用途可以分为胺类、酸酐类、聚合物类等。
这些固化剂通过与环氧树脂中的环氧基团发生反应,将环氧树脂的线性分子交联成为网状结构,从而使其固化。
三、环氧树脂与固化剂反应的影响因素环氧树脂与固化剂的反应受到多种因素的影响,如温度、压力、固化剂的种类和用量、促进剂的种类和用量等。
在实际应用中,需要根据具体的条件和要求选择合适的固化剂和促进剂,以获得最佳的固化效果。
此外,环氧树脂的纯度、杂质含量、分子量等也会对固化效果产生影响。
四、环氧树脂与固化剂反应的应用由于环氧树脂与固化剂反应具有优异的物理性能和化学性能,因此被广泛应用于建筑、电子、航空航天、汽车制造等领域。
例如,在建筑领域中,环氧树脂可以用于制备防水材料、防腐涂料等;在电子领域中,环氧树脂可以用于制备电路板、电子元件的封装材料等;在航空航天领域中,环氧树脂可以用于制备结构材料、绝缘材料等;在汽车制造领域中,环氧树脂可以用于制备汽车零部件、刹车片材料等。
五、结论环氧树脂与固化剂反应是一种重要的化学反应,涉及到多种复杂的化学机制。
在实际应用中,需要根据具体的条件和要求选择合适的固化剂和促进剂,以获得最佳的固化效果。
未来随着科学技术的不断发展和进步,相信环氧树脂与固化剂反应的应用前景将更加广阔。
环氧树脂及固化剂用法
环氧树脂是一种环状结构的热固性树脂,主要由环氧醛,环氧共聚物和固化剂等组件制成,它在除温度或光照等外部因素的刺激下,可经过物理化学变化而改变形态并新的物质的形成,从而赋予材料新的性能,常用于建筑和工业制品的修复、保护和改造中。
在日常中,环氧树脂经常被用于电气装配、重型钢结构维修、防水底漆、汽车及汽艇结构修复、制作金属制品等。
环氧树脂在使用之前必须使用固化剂将其固化才能得到最佳的性能,为此,应该对固化剂的用法进行了解和熟悉。
首先,在使用固化剂之前,必须确保清洁环氧树脂的表面,然后将固化剂的粉末状或液态混合物涂抹在环氧树脂表面,以保证每个孔和每个晶粒都能得到充分的固化剂覆盖。
涂抹时,可以用刷子或喷枪等,确保固化剂均匀涂抹在环氧树脂表面。
其次,固化剂的混合比例是环氧树脂应用的关键因素,不同的混合比可以改变环氧树脂的物理性能,以及增加凝固时间,所以必须根据具体需求精确混合。
此外,温度条件也是固化剂使用的一个重要因素,当固化剂混合液温度低于规定温度时,就会降低固化速度,从而影响环氧树脂的性能。
此外,如果温度过高,也会加快凝固速度,影响环氧树脂的性能。
最后,在施工时,要更多地使用环氧树脂配套产品,包括环氧底漆,防锈漆,减模剂,填缝剂,抗冻剂,着色剂等等。
这些产品
在环氧树脂施工过程中,可以更好地达到装饰和防护的效果。
以上是关于在使用环氧树脂及固化剂的用法的介绍,希望能帮助大家做到正确的使用,以达到最好的效果。
环氧树脂是应用非常广泛的一种材料,可以用于建筑、工业制品、电气装配等多种用途,但其使用对固化剂用法掌握的要求非常高,所以要更加重视,以达到最终的目的。
环氧树脂的用途环氧树脂一般和添加物同时使用,以获得应用价值。
添加物可按不同用途加以选择,常用添加物有以下几类:(1)固化剂;(2)改性剂;(3)填料;(4)稀释剂;(5)其它。
其中固化剂是必不可少的添加物,无论是作粘接剂、涂料、浇注料都需添加固化剂,否则环氧树脂不能固化。
由于用途性能要求各不相同,对环氧树脂及固化剂、改性剂、填料、稀释剂等添加物也有不同的要求。
现将它们的选择方法简介于下:(一)环氧树脂的选择1、从用途上选择作粘接剂时最好选用中等环氧值(0.25-0.45)的树脂,如6101、634;作浇注料时最好选用高环氧值(>0.40)的树脂,如618、6101;作涂料用的一般选用低环氧值(<0.25)的树脂,如601、604、607、609等。
2、从机械强度上选择环氧值过高的树脂强度较大,但较脆;环氧值中等的高低温度时强度均好;环氧值低的则高温时强度差些。
因为强度和交联度的大小有关,环氧值高固化后交联度也高,环氧值低固化后交联度也低,故引起强度上的差异。
3、从操作要求上选择不需耐高温,对强度要求不大,希望环氧树脂能快干,不易流失,可选择环氧值较低的树脂;如希望渗透性也,强度较好的,可选用环氧值较高的树脂。
(二)、固化剂的选择1、固化剂种类:常用环氧树脂固化剂有脂肪胺、脂环胺、芳香胺、聚酰胺、酸酐、树脂类、叔胺,另外在光引发剂的作用下紫外线或光也能使环氧树脂固化。
常温或低温固化一般选用胺类固化剂,加温固化则常用酸酐、芳香类固化剂。
2、固化剂的用量(1)胺类作交联剂时按下式计算:胺类用量=MG/Hn式中:M=胺分子量Hn=含活泼氢数目G=环氧值(每100克环氧树脂中所含的环氧当量数)改变的范围不多于10-20%,若用过量的胺固化时,会使树脂变脆。
若用量过少则固化不完善。
(2)用酸酐类时按下式计算:酸酐用量=MG(0.6~1)/100式中:M=酸酐分子量G=环氧值(0.6~1)为实验系数3、选择固化剂的原则:固化剂对环氧树脂的性能影响较大,一般按下列几点选择。
环氧树脂与固化剂下载温馨提示:该文档是我店铺精心编制而成,希望大家下载以后,能够帮助大家解决实际的问题。
文档下载后可定制随意修改,请根据实际需要进行相应的调整和使用,谢谢!并且,本店铺为大家提供各种各样类型的实用资料,如教育随笔、日记赏析、句子摘抄、古诗大全、经典美文、话题作文、工作总结、词语解析、文案摘录、其他资料等等,如想了解不同资料格式和写法,敬请关注!Download tips: This document is carefully compiled by the editor. I hope that after you download them, they can help yousolve practical problems. The document can be customized and modified after downloading, please adjust and use it according to actual needs, thank you!In addition, our shop provides you with various types of practical materials, such as educational essays, diary appreciation, sentence excerpts, ancient poems, classic articles, topic composition, work summary, word parsing, copy excerpts,other materials and so on, want to know different data formats and writing methods, please pay attention!环氧树脂是一种广泛应用于涂料、胶粘剂、复合材料等领域的重要工业原料,它具有优异的物理性能和化学性能,在工业生产中起着至关重要的作用。
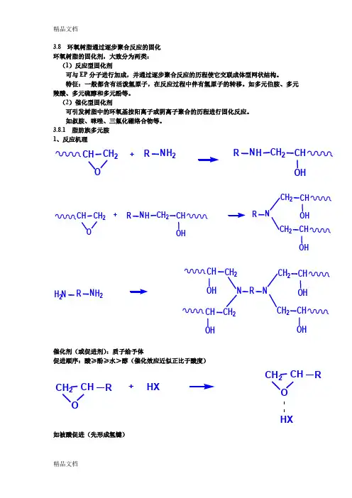
3.8 环氧树脂通过逐步聚合反应的固化环氧树脂的固化剂,大致分为两类:(1)反应型固化剂可与EP分子进行加成,并通过逐步聚合反应的历程使它交联成体型网状结构。
特征:一般都含有活泼氢原子,在反应过程中伴有氢原子的转移。
如多元伯胺、多元羧酸、多元硫醇和多元酚等。
(2)催化型固化剂可引发树脂中的环氧基按阳离子或阴离子聚合的历程进行固化反应。
如叔胺、咪唑、三氟化硼络合物等。
3.8.1 脂肪族多元胺1、反应机理催化剂(或促进剂):质子给予体促进顺序:酸≥酚≥水>醇(催化效应近似正比于酸度)如被酸促进(先形成氢键)形成三分子过渡状态(慢)2、常用固化剂四乙烯五胺多乙烯多胺试比较它们的活性、粘度、挥发性与固化物韧性的相对大小?脂肪胺类固化剂的特点(1)活性高,可室温固化。
(2)反应剧烈放热,适用期短;(3)一般需后固化。
室温固化7d左右,再经2h/80~100℃后固化,性能更好;(4)固化物的热变形温度较低,一般为80~90 ℃;(5)固化物脆性较大;(6)挥发性和毒性较大。
课前回顾1、海因环氧树脂的结构式与主要性能特点?2、二氧化双环戊二烯基醚环氧树脂的特点?3、TDE-85环氧树脂的结构式与性能特点?4、脂肪族环氧树脂的特点及用途?5. 有机硅环氧树脂的特点?6、环氧树脂的固化剂可分为哪两类,分别按什么反应历程进行固化?特点是什么?两类固化剂的代表有哪些?7、脂肪族多元胺固化剂的催化剂有哪些?活性顺序是怎样的?8、常用的脂肪族多元胺有哪些?多乙烯多胺的结构通式?它们的活性与挥发性相对大小顺序?9、脂肪族多元胺类环氧固化剂的主要特点有哪些?3、化学计量胺的用量(phr)= 胺当量×环氧值胺当量= 胺的相对分子量÷胺中活泼氢的个数phr意义:每100份树脂所需固化剂的质量份数。
例题:分别用二乙烯三胺和四乙烯五胺固化E-44环氧树脂,试计算固化剂的用量(phr值)。
若E-44用10%的丙酮或者669(环氧值为0.75)稀释后(质量比为100:10),又如何计算? 胺当量(DETA)=103/5=20.6胺当量(TEPA)=189/7=27(1)未稀释,环氧值=0.44Phr(DETA)=0.44×20.6=9.1Phr(TEPA)=0.44×27=11.9(2)用丙酮稀释,环氧值=0.44×100/110=0.4Phr(DETA)=0.4×20.6=8.2Phr(TEPA)=0.4×27=10.8用669稀释,环氧值=0.44×100/110+0.75×10/110=0.468Phr(DETA)=0.468×20.6=9.6Phr(TEPA)=0.468×27=12.63.8.2 芳香族多元胺’二胺基二苯基甲烷(DDM)二胺基二苯砜(DDS)芳族多元胺固化剂的特点优点:固化物耐热性、耐化学性、机械强度均比脂肪族多元胺好。
环氧树脂得固化机理及其常用固化剂反应机理酸催化反应机理催化剂:质子给予体,促进顺序:酸〉酚>水>醇固化剂分类反应型固化剂▪可与EP分子进行加成,通过逐步聚合反应交联成体型网状结构▪一般含有活泼氢,反应中伴随氢原子转移,如多元伯胺、多元羧酸、多元硫醇与多元酚催化型固化剂▪环氧基按阳离子或阴离子聚合机理进行固化,如叔胺、咪唑、三氟化硼络合物常见固化剂▪脂肪胺固化剂▪芳香族多元胺▪改性多元胺▪多元硫醇▪酸酐类固化剂脂肪胺固化剂脂肪胺固化特点:▪活性高,可室温固化▪反应剧烈放热,适用期短▪一般需后固化,室温7d再80-100℃2h ▪固化物热形变温度低,一般80—90℃▪固化物脆性大▪挥发性及毒性大芳香族多元胺芳香族多胺特点:▪固化物耐热性好,耐化学性机械强度均优于脂肪族多元胺▪活性低,大多加热固化▪氮原子因苯环导致电子云密度降低,碱性减弱,以及苯环位阻效应▪多为固体,熔点高,工艺性差▪液化,低共熔点混合,多元胺与单缩水甘油醚加成改性多元胺a、环氧化合物加成:▪加成物分子量变大,沸点粘度增加,挥发性与毒性减弱,改善原有脆性b、迈克尔加成:▪丙烯腈与多元胺▪胺得活泼氢对α,β不饱与键能迅速加成▪腈乙基化物降低活性,改善与EP相容性特别有效c、曼尼斯加成:曼尼斯反应(Mannich reaction)为多元胺与甲醛、苯酚缩合三分子缩合。
▪产物能在低温、潮湿、水下施工固化EP▪典型产品T-31:二乙烯三胺+甲醛+苯酚▪适应土木工程用于混凝土、钢材、瓷砖等材料▪粘结得快速修复与加固d、硫脲—多元胺缩合:▪硫脲与脂肪族多元胺加热至100℃缩合放出氨气▪能在极低温下(0℃以下)固化EPe、聚酰胺化:▪9,11—亚油酸与9,12—亚油酸二聚反应▪然后2分子与DETA(二乙烯三胺)进行酰胺化反应挥发性毒性很小▪与EP相容性良好,化学计量要求不严▪固化物有很好得增韧效果▪放热效应低,适用期长,固化物耐热性较低,HDT为60℃左右多元硫醇▪类似于羟基▪聚硫醇化合物(液体聚硫橡胶)就就是典型多元硫醇,单独使用活性很低,室温反应及其缓慢几乎不能进行▪适当催化剂作用下固化反应以数倍多元胺速度进行▪在低温固化更为明显酸酐类固化剂▪反应速率很慢,不能生成高交联产物,一般不作为固化剂▪低挥发性,毒性低,刺激性低▪反应缓慢,放热量小,适用期长▪固化物收缩率低,耐热性高▪固化物机械强度高,电性能优良▪需加热固化,时间长▪EP常用固化剂,仅次于多元胺主要酸酐:▪顺酐〉苯酐〉四氢苯酐>甲基四氢苯酐▪六氢苯酐〉甲基六氢苯酐▪甲基纳迪克酸酐▪均苯四甲酸二酐▪改性酸酐▪酸酐分子中负电性取代基则活性增强阴/阳离子型催化剂▪催化剂仅仅起催化作用,本身不参与交联▪用量主要以实验值为准▪催化环氧开环形成链增长常用阴离子催化剂1、叔胺类多用DMP-10(二甲氨基苯酚),DMP-30,酚羟基显著加速树脂固化速率,放热量大适用期短,EP快速固化(24h/25℃)2、咪唑类多用液态2-乙基-4-甲基咪唑(仲胺活泼氢与叔胺),适用期长(8—10h),中温固化,热形变温度高,与芳香胺耐热水平(100℃)相当阳离子型固化剂,路易斯酸链终止于离子对复合常用阳离子催化剂▪路易斯酸:BF3,SnCl4,AlCl3等,为电子接受体▪BF3使用最多,具有腐蚀性,反应活性非常高一般与胺类或醚类络合物,如三氟化硼-乙胺络合物, BF3:400,为87℃结晶物质,室温稳定,离解温度90℃,离解后活性增大环氧树脂固化得三个阶段▪液体-操作时间:树脂/固化剂混合物仍然就是液体适合应用▪凝胶-进入固化:混合物开始进入固化相(也称作熟化阶段), 这时它开始凝胶或“突变”成软凝胶物。
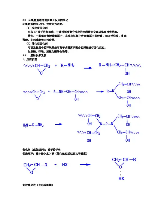
3.8 环氧树脂通过逐步聚合反应的固化环氧树脂的固化剂,大致分为两类:(1)反应型固化剂可与EP分子进行加成,并通过逐步聚合反应的历程使它交联成体型网状结构。
特征:一般都含有活泼氢原子,在反应过程中伴有氢原子的转移。
如多元伯胺、多元羧酸、多元硫醇和多元酚等。
(2)催化型固化剂可引发树脂中的环氧基按阳离子或阴离子聚合的历程进行固化反应。
如叔胺、咪唑、三氟化硼络合物等。
3.8.1 脂肪族多元胺1、反应机理催化剂(或促进剂):质子给予体促进顺序:酸≥酚≥水>醇(催化效应近似正比于酸度)如被酸促进(先形成氢键)形成三分子过渡状态(慢)2、常用固化剂四乙烯五胺多乙烯多胺试比较它们的活性、粘度、挥发性与固化物韧性的相对大小?脂肪胺类固化剂的特点(1)活性高,可室温固化。
(2)反应剧烈放热,适用期短;(3)一般需后固化。
室温固化7d左右,再经2h/80~100℃后固化,性能更好;(4)固化物的热变形温度较低,一般为80~90 ℃;(5)固化物脆性较大;(6)挥发性和毒性较大。
课前回顾1、海因环氧树脂的结构式与主要性能特点?2、二氧化双环戊二烯基醚环氧树脂的特点?3、TDE-85环氧树脂的结构式与性能特点?4、脂肪族环氧树脂的特点及用途?5. 有机硅环氧树脂的特点?6、环氧树脂的固化剂可分为哪两类,分别按什么反应历程进行固化?特点是什么?两类固化剂的代表有哪些?7、脂肪族多元胺固化剂的催化剂有哪些?活性顺序是怎样的?8、常用的脂肪族多元胺有哪些?多乙烯多胺的结构通式?它们的活性与挥发性相对大小顺序?9、脂肪族多元胺类环氧固化剂的主要特点有哪些?3、化学计量胺的用量(phr)= 胺当量×环氧值胺当量= 胺的相对分子量÷胺中活泼氢的个数phr意义:每100份树脂所需固化剂的质量份数。
例题:分别用二乙烯三胺和四乙烯五胺固化E-44环氧树脂,试计算固化剂的用量(phr值)。
若E-44用10%的丙酮或者669(环氧值为0.75)稀释后(质量比为100:10),又如何计算? 胺当量(DETA)=103/5=20.6胺当量(TEPA)=189/7=27(1)未稀释,环氧值=0.44Phr(DETA)=0.44×20.6=9.1Phr(TEPA)=0.44×27=11.9(2)用丙酮稀释,环氧值=0.44×100/110=0.4Phr(DETA)=0.4×20.6=8.2Phr(TEPA)=0.4×27=10.8用669稀释,环氧值=0.44×100/110+0.75×10/110=0.468Phr(DETA)=0.468×20.6=9.6Phr(TEPA)=0.468×27=12.63.8.2 芳香族多元胺’二胺基二苯基甲烷(DDM)二胺基二苯砜(DDS)芳族多元胺固化剂的特点优点:固化物耐热性、耐化学性、机械强度均比脂肪族多元胺好。
环氧树脂主剂和固化剂说到环氧树脂,估计很多人脑袋里都会冒出一个问题:“这玩意儿到底是干什么的?”没错,环氧树脂这东西其实就是我们日常生活中见得不多、但又几乎无处不在的材料。
像是家里的地板、墙面,甚至一些家具,很多时候都离不开它的身影。
想象一下,一块漂亮的桌子,外面有一层透明的、光亮的表面,那就是环氧树脂的贡献。
而要做出这种效果,可少不了主剂和固化剂这两个好搭档。
你可能会问,主剂和固化剂到底是什么?咋听起来好像是化学试剂一样?它们就是环氧树脂的“二人组”,缺一不可,作用那是杠杠的。
主剂,说白了,就是环氧树脂的基础,它是一种粘稠的液体,有时候看起来透明,有时候带点微黄色。
这玩意儿一开始的时候可没啥特别,就是一堆树脂。
然后固化剂来了!它的任务可重要了,固化剂一旦加进去,主剂就能像变魔术一样,迅速发生化学反应,开始硬化、凝固,最终变成坚固的物质。
大家可以理解为,主剂和固化剂就像一对互相配合的舞者,一个是舞步的发起者,一个是节奏的引导者,只有他们合作,才能跳出完美的舞蹈。
有的人会觉得,环氧树脂是什么高科技的东西,感觉用起来很复杂。
真的不难。
你只需要按照比例把主剂和固化剂混合在一起,搅拌均匀后,倒到你想要的形状里。
过不了多久,这混合物就会开始慢慢变硬。
你会发现,那时候它的表面开始闪闪发光,手指一摸,已经硬得跟石头一样了。
哦,对了,环氧树脂的神奇之处就在于它的透明度。
加了固化剂以后,那个光亮的表面就像镜子一样,能清晰地反射出周围的东西,真的是超级有艺术感。
但说实话,用环氧树脂做东西,也得有点小技巧。
比例得准确。
你要是主剂加得太多,固化剂加得太少,那可能就硬化不完全,最后做出来的东西不结实,反倒容易坏。
要是反过来,固化剂多了,主剂少了,可能就会造成什么“热量过高”那种现象,甚至有可能出现冒烟、发热的状况,听着就有点可怕,对吧?这时候就要特别小心了,避免发生事故。
可别以为混合的时候简单,搅拌不均匀也会导致硬化不完全,大家就像做饭似的,千万别偷懒,不然出来的菜不合格,最后只能捧心叹息。
环氧树脂和固化剂的比例
环氧树脂和固化剂的比例:
环氧树脂是一种重要的高分子材料,在使用时需要与固化剂混合配比,以确保产品的性能和质量。
一般情况下,环氧树脂和固化剂按重量比进行配比,其比例通常在100:20至100:60之间。
具体来说,环氧树脂和固化剂的配比应根据实际情况进行选择,以下是一些常见的着重考虑成本和性能的比例:
100:40~50:这个比例可以平衡性能和成本,因为胺固化剂价格较贵。
100:30:此比例可以提高强度,并且降低粘度,但会牺牲一定的耐化学性能。
100:60:此比例可以提高生产效率,但会牺牲一些力学性能和化学稳定性。
100:20:此比例可以提高化学稳定性,可耐高温和抗水解性强,但会牺牲一些机械性能和流动性。
总之,不同的配比比例对环氧树脂的性能有着不同的影响。
根据具体的需要选择配比比例可以更好地满足产品性能和成本的要求。
需要注意的是,不同的环氧树脂和固化剂可能需要不同的比例,因此在使用前最好查看产品说明书或咨询相关专业人士。
环氧树脂与固化剂配比计算环氧树脂,哎呀,听到这个词,可能大家会觉得有点陌生,但其实它在我们生活中可是无处不在的。
想想看,家里的家具、地板,甚至一些小玩意儿,很多都用到了这种神奇的材料。
环氧树脂,顾名思义,就是一种树脂,而且它可不是普通的树脂,耐磨又耐热,真是个宝贝!但是,光有环氧树脂可不够,固化剂也是必不可少的。
就像做菜,光有主料没辅料,那味道肯定欠火候,真是“吃不下去”。
说到配比计算,嘿,这可是个学问。
大家千万别小看这一步,配比不对,可能就会“翻车”,变成一堆“废料”。
常见的配比,比如说环氧树脂和固化剂的比例一般是2:1或3:1,这个具体要看你使用的材料和工艺。
比方说,有些人用的环氧树脂是“低粘度”,固化剂选择也得跟上,不能让它们“扭头不理”,不然可就麻烦了。
怎么计算呢?其实挺简单的!你得先知道自己需要多少环氧树脂。
假设你准备了100克的环氧树脂,如果你用的是2:1的配比,那你就得准备50克的固化剂。
哎,算账这事儿,真的不能马虎。
还得注意一点儿,固化剂也有分种类,有些固化剂固化速度快,有些慢。
选择适合自己的,这可是“长久之计”!说实话,环氧树脂的使用过程就像谈恋爱,开始的时候兴致勃勃,觉得一切都好,但往往在配比的时候就得小心翼翼。
尤其是在夏天,温度高,固化剂容易“急躁”,那可要注意控制好时间。
温度一高,环氧树脂就会“咕噜咕噜”地开始反应,不一会儿就变得硬邦邦的。
这时候你要是还没准备好,那真是“木已成舟”了。
环境也很重要。
你可不能在通风不良的地方工作,偶尔呼吸一下这些气味,可真是让人“头晕眼花”。
所以,找个通风好的地方,开窗通气,再来一杯清凉饮料,这感觉,简直了!当你把环氧树脂和固化剂混合后,可得小心,尽量避免气泡,这可是个技术活儿。
气泡就像是聚会上的“调皮小孩”,总想引起注意,结果让你不得不“心烦意乱”。
在搅拌的时候,动作要轻柔,别像打鸡蛋那样猛搅,慢慢来,像是给它讲故事。
这样搅拌均匀后,再倒入模具。
环氧树脂和固化剂种类用于环氧树脂的固化剂虽然种类繁多,但是大体上可分为两类。
一类是可与环氧树脂进行合成,并通过逐步聚合反应的历程使它交联成体型网状结构。
这类固化剂又称反应性固化剂,一般都含有活泼的氢原子,在反应过程中伴有氢原子的转移,例如:多元伯胺、多元羧酸、多元硫醇和多元酚等。
另一类是催化性的固化剂,它可引发树脂分子中的环氧基按阳离子或阴离子聚合的历程进行固化固化反应,例如叔胺、三氟化硼络合物等。
两类固化剂都是通过树脂分子结构中具有的环氧基或仲羟基的反应完成固化过程的固化剂种类:常用环氧树脂固化剂有脂肪胺、脂环胺、芳香胺、聚酰胺、酸酐、树脂类、叔胺,另外在光引发剂的作用下紫外线或光也能使环氧树脂固化。
常温或低温固化一般选用胺类固化剂,加温固化则常用酸酐、芳香类固化剂。
固化剂酸酐类是固态稀释剂的选择其作用是降低粘度,改善树脂的渗透性。
稀释剂可分惰性及活性二大类,用量一般不超过30%。
常用稀释剂如下:活性稀释剂名称牌号用途备注二缩水甘油醚600 ~30% 需多加计算量固化剂多缩水甘油醚630 同上同上环氧丙烷丁基醚660 ~15% 同上环氧丙烷苯基醚690 同上同上二环氧丙烷乙基醚669 同上同上三环氧丙烷丙基醚662 同上同上惰性稀释剂名称用量备注二甲苯~15% 不需多加固化剂甲苯同上同上苯同上同上丙酮同上同上在加入固化剂之前,必须对所使用的树脂、固化剂、填料、改性剂、稀释剂等所有材料加以检查,应符合以下几点要求:(1)、不含水份:含水的材料首先要烘干,含少量水的溶剂应尽量少用。
(2)、纯度:除水份以外的杂质含量最好在1%以下,若杂质在5-25%时虽也可使用权,但须增加配方的百分比。
少量使用时用试剂级较好。
(3)、了解各材料是否失效。
填料的选择填料的作用是改善制品的一些性能,并改善树脂固化时的散热条件,用了填料也可以减少环氧树脂的用量,降低成本。
因用途不同可选用不同的填料。
其大小最好小于100目,用量视用途而定。
环氧树脂及固化剂用法概述环氧树脂是一类重要的高分子材料,具有优异的物理性能和化学性能,被广泛应用于各个领域。
本文将详细介绍环氧树脂及其固化剂的用法,以帮助读者更好地理解和应用这种材料。
环氧树脂的基本特性环氧树脂具有以下几个基本特性:1.高强度和高韧性:环氧树脂的强度和韧性优于其他常见的树脂材料,使其适用于需要承受较大力量或发生局部冲击的应用。
2.优异的粘接性:环氧树脂能够与多种材料牢固粘接,包括金属、塑料和复合材料等,广泛应用于粘接、复合和涂覆等工艺。
3.良好的耐热性和耐腐蚀性:环氧树脂的耐热性和耐腐蚀性较好,能够在高温或较恶劣的化学环境下稳定工作。
4.可调性:环氧树脂的性能可通过调整配方和固化剂进行调整,以满足不同应用的要求。
固化剂的选择固化剂是将环氧树脂从高分子液体转化为硬固体的关键成分。
根据固化机理和特性,固化剂可以分为以下几类:1. 硬化型固化剂:硬化型固化剂主要通过热固化反应使环氧树脂固化。
常用的硬化型固化剂有多元胺类、酮胺类和酸酐类等。
硬化型固化剂固化的环氧树脂具有优异的热稳定性和耐化学性,适用于高温和腐蚀性环境下的应用。
2. 光固化型固化剂:光固化型固化剂主要通过紫外光或可见光引发的光聚合反应使环氧树脂固化。
光固化型固化剂固化的环氧树脂具有固化速度快、无溶剂挥发等优点,适用于需要快速固化和无溶剂的应用。
3. 双组份型固化剂:双组份型固化剂由两部分组成,其中一部分是环氧树脂,另一部分是固化剂。
通过两部分按比例混合后反应固化,具有固化速度快、操作方便等优点,适用于需要快速反应和操作灵活的应用。
固化剂的选择应根据具体的应用需求和环境条件进行,以获得最佳的固化效果和性能。
环氧树脂及固化剂的使用方法环氧树脂的使用方法环氧树脂在使用前需要通过以下步骤进行处理:1.配制:根据具体的配方要求,将环氧树脂与固化剂按照一定比例混合。
混合比例的选择需要根据具体的应用和环境条件进行,以获得最佳的性能和固化效果。
环氧树脂油漆的成分简介环氧树脂油漆是一种常用的涂料,具有优良的耐化学品、耐磨损和耐腐蚀性能。
它由多种成分组成,每种成分都发挥着特定的作用,共同构成了环氧树脂油漆的性能。
成分环氧树脂油漆的主要成分包括环氧树脂、固化剂、稀释剂和填料。
1. 环氧树脂环氧树脂是环氧树脂油漆的主要基料,具有优异的附着力、耐腐蚀性和耐化学品性能。
环氧树脂分为固体环氧树脂和液体环氧树脂两种形态,根据不同的应用需求选择使用。
2. 固化剂固化剂是环氧树脂油漆中的一种重要成分,用于与环氧树脂发生化学反应,形成强硬的固体膜。
常用的固化剂包括胺类、酸酐类和酸酐酰胺类等。
不同的固化剂可以使环氧树脂油漆具有不同的性能,如耐热性、耐化学品性和耐磨损性等。
3. 稀释剂稀释剂用于调整环氧树脂油漆的粘度和流动性,以便于施工和涂覆。
常用的稀释剂包括丙酮、甲苯和醇类等。
稀释剂的选择要考虑到对环境的影响和涂膜性能的要求。
4. 填料填料是环氧树脂油漆中的一种辅助成分,用于增加涂膜的硬度、耐磨损性和耐化学品性能。
常用的填料包括二氧化硅、氧化铝和碳酸钙等。
填料的选择要根据涂膜要求和使用环境来确定。
制备过程环氧树脂油漆的制备过程包括以下几个步骤:1.配制:按照一定的配方比例将环氧树脂、固化剂、稀释剂和填料等成分混合均匀。
2.搅拌:使用搅拌设备对混合后的成分进行搅拌,以确保各成分充分混合。
3.过滤:对搅拌后的溶液进行过滤,去除其中的杂质和固体颗粒。
4.充气:将过滤后的溶液进行充气处理,以去除其中的气泡。
5.包装:将处理好的环氧树脂油漆装入适当的容器中,密封保存。
应用领域环氧树脂油漆广泛应用于建筑、船舶、汽车、电子、化工等领域。
它可以用于金属、混凝土、玻璃等基材的保护和装饰,提供良好的防腐蚀和美观效果。
在电子领域,环氧树脂油漆可以用于电路板的封装和保护,提高电子产品的可靠性和耐久性。
总结环氧树脂油漆是一种重要的涂料,由环氧树脂、固化剂、稀释剂和填料等成分组成。
它具有优良的耐化学品、耐磨损和耐腐蚀性能,广泛应用于建筑、船舶、汽车、电子、化工等领域。
环氧树脂与固化剂的比例环氧树脂和固化剂的比例,听上去是不是有点复杂?搞清楚这个比例就像做菜,掌握了火候,味道就好得不得了。
你想啊,环氧树脂就像是面粉,而固化剂就是那神奇的酵母。
面粉多了,面包发不起来,酵母多了,面包又会变得太过膨胀,搞得不成形。
比例掌握得当,成品就能香喷喷的!要知道,环氧树脂跟固化剂的比例,通常是1:1到2:1之间,但这还得看你的具体需求。
有的朋友想要快干,可能会用更高比例的固化剂,那可是要小心了,别让它一瞬间就“嗖”地变硬!大家都知道,环氧树脂是一种超强的粘合剂,能把各种材料粘得紧紧的,就像是超级胶水。
但你也得明白,不是所有的胶水都能随便混合的,尤其是环氧树脂。
每一种环氧树脂都有它自己的个性,和固化剂的搭配就更是“天造地设”的缘分。
有些固化剂温和得像朋友,跟环氧树脂一起就能安安静静地固化。
而有的固化剂可就比较“强势”,催化剂一样的,跟环氧树脂一结合,速度可真是快得惊人。
你以为自己在做手工,结果一转眼,材料就已经干得跟石头一样了,嘿,那可是要小心处理的哦!说到具体比例,不得不提的是不同的应用场合。
比如,家里要修个东西,DIY一下,咱可以大胆一点,1:1的比例就挺不错的。
这样干得快,强度又好,简直是居家必备良品。
但是,要是你是专业的,或者做一些高强度的结构,可能就要深入了解一下,2:1的比例会更稳妥。
选对了比例,项目进展得就顺畅得多。
环氧树脂的稀稠程度也会影响到咱们的比例。
像是调味品,咱们可以根据口味调整。
环氧树脂如果比较稠,可能需要多加点固化剂,才能让它们“融洽相处”。
不过,千万别一味追求比例,实际上,材料的温度、湿度都能影响反应速度。
夏天做手工,简直就像开了快车,冬天可就得慢慢来,毕竟低温下反应慢,得多给点时间。
在实际操作中,准备工作得做好。
把所有材料都准备齐全,别到时候临急抱佛脚。
要是找不到固化剂,那真是捡了芝麻,丢了西瓜。
还要记得,混合的时间要控制好,像是打蛋,要搅拌均匀,别让它们“分家”。