土力学第六次作业答案
- 格式:pdf
- 大小:204.73 KB
- 文档页数:3
《土力学》课后习题答案第一章1-1:已知:V=72cm3m=129.1g m s=121.5g G s=2.70则:129.1121.56.3%121.5ssm mwm--===3333 129.1*1017.9/72121.5452.77245271.0*27121.5*1020.6/72sssV ssat w V ssat satmg g KN mvmV cmV V V cmm V mg g g KN mV Vγρρργρ========-=-=++=====3320.61010.6/121.5*1016.9/72sat wsdsat dKN mmg KN mVγγγγγγγγ'=-=-===='>>>则1-2:已知:G s=2.72 设V s=1cm3则33332.72/2.722.72*1016/1.72.720.7*1*1020.1/1.720.11010.1/75%1.0*0.7*75%0.5250.52519.3%2.720.525 2.721.sssd ds V wwrw w V rwsw sg cmm gmg g KN mVm Vg g KN mVKN mm V S gmwmm mg gVργρργργγγργρ======++===='=-=-========++===当S时,3*1019.1/7KN m=1-3:3477777331.70*10*8*1013.6*1013.6*10*20%2.72*1013.6*10 2.72*10850001.92*10s d w s s wm V kg m m w kg m m V m ρρ======++==挖1-4: 甲:33334025151* 2.72.7*30%0.81100%0.812.70.811.94/10.8119.4/2.71.48/1.8114.8/0.81p L P s s s s w r wV ws w s w s d s w d d vsI w w V m V g m g S m V m m g cm V V g KN m m g cm V V g KN m V e V ρρργρργρ=-=-=======∴==++===++=====+====设则又因为乙:3333381 2.682.68*22%0.47960.47962.680.47962.14/10.47962.14*1021.4/2.681.84/1.47961.84*1018.4/0.4796p L p s s s s w s V s w s V s d s w d d VsI w w V m V g m m w g V cm m m g cm V V g KN m m g cm V V g KN m V e V ρργρργρ=-========++===++======+=====设则则γγ∴<乙甲 d d γγ<乙甲 e e >乙甲 p p I I >乙甲则(1)、(4)正确1-5:1s w d G eρρ=+ 则2.7*1110.591.7022%*2.7185%0.59s wds r G e wG S e ρρ=-=-====>所以该料场的土料不适合筑坝,建议翻晒,使其含水率降低。
第1章 作业参考答案P401-5 :含水量44.34%;孔隙比1.20;孔隙度(率)54.54%;饱和密度1.77g/cm 3;浮密度0.77g/cm 3;干密度1.22g/cm 3;饱和重度17.7 kN/cm 3;浮重度7.7kN/cm 3;干重度12.2kN/cm 3 1-8:天然孔隙比e=0.64;相对密实度Dr=0.57,中密。
1-10:夯实地基干重度15.37kN/cm 3,D=0.97>0.95,夯实合格。
1-13:解:基坑体积318003600m h A V =⨯=⋅=土粒质量kg g Vm d s631088.21018001016⨯=⨯⨯=⋅=ρ现有土料质量s s m m =',则需要现有土料质量为:kg w m m s 660102256.3%)121(1088.2)1(⨯=+⨯⨯=+'=' 现有土料体积3220056.14180016/m V ggVgm m V d d =⨯=⋅=⋅='='='γγγγγρ每立方米土料需要加水kg V w w m m o op sw522200%)12%16(1088.2)(6=-⨯⨯='-'='1-15:131.30 cm 3,粉质黏土,流塑。
第二章 作业补充2-3 通过变水头试验测定某粘土的渗透系数k ,土样横断面面积230cm A =,长度cm L 4=,渗透仪水头管(细玻璃管)断面积21256.0cm a =,水头差从cm h 1301=∆降低到cm h 1102=∆所需时间min 8=t 。
试推导变水头试验法确定渗透系数的计算公式,并计算该粘土在试验温度是的渗透系数k 。
解:变水头试验试验过程中水头差一直在随时间而变化,试验时,测记起始水头差1h ∆,经过时间t 后,再测记终了水头差2h ∆,通过建立瞬时达西定律,即可推出渗透系数k 的表达式。
设试验过程中任意时刻作用于试样两端的水头差为h ∆,经过dt 时段后,水头管中水位下降dh ,则dt 时间内流入试样的水量为adh dq -=1式中,右端的负号表示水量随h ∆的减少而增加。
(完整)土力学课后习题答案(中国铁道出版社)编辑整理:尊敬的读者朋友们:这里是精品文档编辑中心,本文档内容是由我和我的同事精心编辑整理后发布的,发布之前我们对文中内容进行仔细校对,但是难免会有疏漏的地方,但是任然希望((完整)土力学课后习题答案(中国铁道出版社))的内容能够给您的工作和学习带来便利。
同时也真诚的希望收到您的建议和反馈,这将是我们进步的源泉,前进的动力。
本文可编辑可修改,如果觉得对您有帮助请收藏以便随时查阅,最后祝您生活愉快业绩进步,以下为(完整)土力学课后习题答案(中国铁道出版社)的全部内容。
第三章 土中应力和地基应力分布3—1 取一均匀土样,置于 x 、y 、z 直角坐标中,在外力作用下测得应力为: x σ=10kPa,y σ=10kPa ,z σ=40kPa ,xy τ=12kPa.试求算:① 最大主应力 ,最小主应力 ,以及最大剪应力τmax ?② 求最大主应力作用面与 x 轴的夹角θ? ③根据1σ和3σ绘出相应的摩尔应力圆,并在圆上标出大小主应力及最大剪应力作用面的相对位置?3—1 分析:因为0==yz xz ττ,所以z σ为主应力。
解:由公式(3—3),在xoy 平面内,有:kPa 222121012)21010()1010(5.0)2()(215.0222/12231-=±=⎥⎦⎤⎢⎣⎡+-±+⨯=⎥⎦⎤⎢⎣⎡+-±+='xy y x y x τσσσσσσ 比较知,kPa 2kPa 22kPa403121-=='===σσσσσz ,于是: 应力圆的半径: kPa 21))2(40(5.0)(2131=--⨯=-=σσR圆心坐标为: kPa 19))2(40(5.0)(2131=-+⨯=+σσ由此可以画出应力圆并表示出各面之间的夹角.易知大主应力面与x 轴的夹角为90。
注意,因为x 轴不是主应力轴,故除大主应力面的方位可直接判断外,其余各面的方位须经计算确定。
第一章 土的物理性质及其工程分类P 60[2-2] 解:V=21.7cm 3,m=72.49-32.54=39.95g ,m S =61.28-32.54=28.74g ,m W =72.49-61.28=11.21g7.2195.39==V m ρ=1.84g/ cm 3,74.2821.11==sw m m w =39% 07.1184.1)39.01(174.21)1(=-+⨯⨯=-+=ρωρW S d eP 60[2-3] 解:963.0185.1)34.01(171.21)1(=-+⨯⨯=-+=ρωρWS d e 963.01963.071.21++=++=e e d s sat ρ=1.87 g/ cm 3,87.0187.1=-=-='W sat ρρρ g/ cm 3g ργ'='=0.87×10=8.7 kN/m 3P 60[2-4] 解:已知77.1=ρg/cm 3, w =9.8%,s d =2.67,461.0min =e ,943.0max =e∴656.0177.1)098.01(167.21)1(=-+⨯⨯=-+=ρωρW S d e ,∈=--=--=6.0461.0943.0656.0943.0min max max e e e e D r (0.33,0.67)∴该砂土处于中密状态。
P 60[2-5] 解:已知s d =2.73,w =30%,=L w 33%,=P w 17%土样完全饱和→1=r S ,sat ρρ=819.073.23.01=⨯=⇒==e e wd S S r ,819.01819.073.21++=++=e e d s sat ρ=1.95 g/ cm 3 3.0195.11+=+=w d ρρ=1.5 g/ cm 3,161733=-=-=P L p w w I 81.0161730=-=-=P P LI w w I 10<16=p I ≤17→该土为粉质粘土0.75<81.0=L I ≤1→该土处于软塑状态[附加1-1]证明下列换算公式:(1)w s d e d ρρ+=1;(2)γee S sw r ++=1γγ;(3)n n w S w s r γγ)1(-=(1)证明:设e V V V V V Ve V S V V SV S +=+===⇒=1,1w s s w s s s s d ed V V d V V V m ρρρρ+====1 (2)证明:设e V V V V V Ve V S V V SV S +=+===⇒=1,1V g V V V g m m V mg V G s s w w s w )()(ρργ+=+===ee S V V V S sw r s s w v r ++=+=1γγγγ (3)证明:设n V n V n VVV s v v -==⇒==1,,1∴nn w gV gV w V V w V V m m V m V V S w s v w s s v w s s ss v w s wv w w v w r γγρρρρρρρ)1(-====== [附加1-2]解:V=72cm 3,m=129.5g ,m S =121.5g ,m W =129.5-121.5=8g%6.65.1218===⇒S W m m ω 6.0172/5.129)066.01(17.21)1(=-+⨯⨯=-+=ρωρW S d e %7.296.07.2066.0=⨯==e d S S r ω 0.1872105.129=⨯===V mg V G γkN/m 36.20106.16.07.21=⨯+=++=W S sat e e d γγkN/m 36.10106.20=-=-='W sat γγγkN/m 39.16106.17.21=⨯=+=W S d e d γγkN/m 3∴γγγγ'>>>d sat[附加1-3]解:已知s d =2.68,w =32%,土样完全饱和→1=r S86.068.232.01=⨯=⇒==e ed S Sr ω02.1986.1)32.01(1068.286.01)1(=+⨯⨯=⇒=-+=γγωγW S d e kN/m 3[附加1-4]解:已知66.1=ρg/cm 3,s d =2.69,(1)干砂→w =0 ∴62.0166.1)01(169.21)1(=-+⨯⨯=-+=ρρw d e W S(2)置于雨中体积不变→e 不变∴%2.969.262.04.04.0=⨯=⇒==w e wd S S r [附加1-5]解:已知m=180g ,1w =18%,2w =25%,sss s s w m m m m m m m w -=-==18011=18%→s m =152.54g∴)(12w w m m s w -=∆=152.54×(0.25-0.18)=10.68g[附加1-6]实验室内对某土样实测的指标如下表所示,计算表土中空白部分指标。
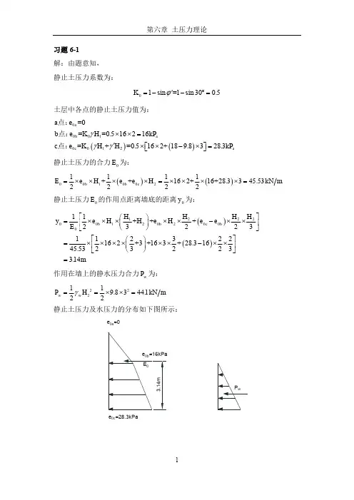
解:由题意知, 静止土压力系数为:0K 1sin =1sin 300.5土层中各点的静止土压力值为:0a 0b 01a0c 012a a e =0b e =K H =0.516216kPc e =K H +H =0.5162+189.8328.3kP 点:点:点:静止土压力的合力0E 为:00b 10b 0c 21111E e H +e +e H 162+16+28.3345.53kN m 2222静止土压力0E 的作用点距离墙底的距离0y 为:122200b120b 20c 0b 0H H H H 11y e H +H +e H +e e E 23223112322 162+3+163+28.31645.53232233.14m作用在墙上的静水压力合力w P 为:22w w 211P H 9.8344.1kN m 22静止土压力及水压力的分布如下图所示:e 0a =0e 0c =28.3kPa解:由题意知,墙背竖直且光滑,墙后填土表面水平,故使用朗肯土压力理论计算。
又知填土由两层无黏性土组成,故c 0 。
主动土压力系数:221a1222a230K tan 45tan 450.33332235K tan 45tan 450.271022墙背各点主动土压力强度为: a a1ab111a1a b211a2ac 1122a2d 1122ae =q K 200.3333 6.666kP b e =q+H K =20+18.530.333325.1642kP e =q+H K =20+18.530.271020.4605kP c e =q+H +H K 20+18.53+18.530.271035.501c e =q+H +H +kPa 点:点:点:点:33a2aH K 20+18.53+18.53+209.840.2710 46.5578kP 主动土压力的合力a E 为:a a b11b2c 2c d 3111E e +e H +e +e H +e +e H 22247.7453+83.9425+164.1176=295.8052kN m作用在墙上的静水压力合力w P 为:22w w 311P H 9.8478.4kN m 22总压力为:a w E E +P 78.4+295.8052=374.2052kN m 总压力E 的作用点距离墙踵的距离0y 为:1112a 0123b1a023b22303333322c b23c23d c2w 3H H H H e H +H +H +e e +H +H +e H +H 22321y E H H H H H H H +e e +H ++e H +e e +H 23223231169.983+221.9784+337.5983+112.8038+284374.2052.008+29.4848+104.53333.37m 主动土压力及水压力的分布如下图所示:习题6-3解:由题意得,填土为c 0的黏性土,填土受拉区的最大深度0qz主动土压力系数为:221a 15K tan 45tan 450.588822e a =6.666kPae d =46.5578kPa则0q 10z 0.89m 18主动土压力强度为:a a a e q+H K 10+1870.588821064.73kP 主动土压力a E 的作用点距离墙底的距离 0011y H z 70.89 2.04m 33被动土压力系数为:221p 15K tan 45+tan 45+ 1.698422p0p a e qK 10 1.6984+21043.0485kPp1p e q+H K 10+187 1.6984+210257.0469被动土压力的合力p E 为 p0p1pe +e 43.0485+257.0469E H 71050.3339kNm 22被动土压力p E 的作用点距离墙底的距离0y0p0p1p0p1H H H y e H +e e E 223177743.04857+257.046943.04851050.33392232.67m压力分布图如下图所示:q=10kpae a =64.73kPa习题6-4解:由题意知,墙背竖直且光滑,使用朗肯土压力理论计算。
《土力学》第六章习题集及详细解答第6章土中应力一填空题1.分层总和法计算地基沉降量时,计算深度是根据应力和应力的比值确定的。
2.饱和土的有效应力原理为:总应力σ=有效应力σˊ+孔隙水压力u ,土的和只随有效应力而变。
地下水位上升则土中孔隙水压力有效应力。
3.地基土层在某一压力作用下,经历时间t所产生的固结变形量与最终固结变形量之比值称为。
二选择题1.对非压缩性土,分层总和法确定地基沉降计算深度的标准是( D )。
(A) ;(B) ;(C) ;(D)2.薄压缩层地基指的是基底下可压缩土层的厚度H与基底宽度b的关系满足( B )。
(A) ;(B) ;(C) ;(D)3.超固结比的土属于( B )。
(A) 正常固结土;(B) 超固结土;(C) 欠固结土;(D) 非正常土4.饱和黏性土层在单面排水情况下的固结时间为双面排水的( C )。
(A) 1倍;(B) 2倍;(C) 4倍;(D) 8倍5.某黏性土地基在固结度达到40%时的沉降量为100mm,则最终固结沉降量为( B )。
(A) 400mm ; (B) 250mm ; (C) .200mm ; (D) 140mm6.对高压缩性土,分层总和法确定地基沉降计算深度的标准是( C )。
(A) ;(B) ;(C) ;(D)7.计算时间因数时,若土层为单面排水,则式中的H取土层厚度的( B )。
(A)一半; (B) 1倍; (C) 2倍; (D) 4倍8.计算地基最终沉降量的规范公式对地基沉降计算深度的确定标准是( C )。
(A) ;(B) ;(C) ;(D)9.计算饱和黏性土地基的瞬时沉降常采用( C )。
(A) 分层总和法; (B) 规范公式; (C) 弹性力学公式;10.采用弹性力学公式计算地基最终沉降量时,式中的模量应取( A )(A) 变形模量; (B) 压缩模量; (C) 弹性模量; (D) 回弹模量11.采用弹性力学公式计算地基瞬时沉降时,式中的模量应取( C )。
1.砂土地基中某点,其最大剪应力及相应的法向应力分别为150kPa和300kPa。
若改点发生破坏,试求
(1)砂土的内摩擦角(用度数表示);
(2)破坏面上的法向应力和剪应力。
要注意:1,该点的应力状态的表示方法,是用的什么方向或者说是哪个面上的应力值(剪应力、正应力)来表示。
与应力路径的表示方法相结合加以理解。
2,一个点的破坏是通过该点某方向的应力值超过强度来实现的,理解破坏面的概念。
解:,
(1)
(2)破裂角
=225.0kPa
=129.90kPa
注意:很多同学,用计算内摩擦角,这是不对的。
库伦定律作出的直线并不经过莫尔圆顶部(红),而是与莫尔圆相切(蓝)。
2.粘土地基强度指标为c′=30kPa,φ′=25°,地基内某点大应力为σ1´=
200kPa,求这点的抗剪强度值。
解:方法1:=42.9kPa,
方法2:
3.某饱和黏土的有效内摩擦角为30o,有效内聚力为12kPa。
取该土样做固结不排水剪切试验,测得土样破坏时。
求该土样破坏时的孔隙水压
力。
解:,
当土样破坏时,
由有效应力原理,,
,本式只有一个u未知量,解此方程u=213.28kPa。
4.地基内某点的应力为=250kPa、=100kPa、==40kPa,并已知土的强度指标φ=30°、c=0,该点是否剪坏?
=175+85=260kPa
=175-85=90kPa
剪坏面与最大主应力作用平面的夹角是=600
τt =σ*tg300=0.577×σ= 76.4525 >73.61 安全
5.一组超固结原状土样的固结不排水剪的结果如下,试分别用总应力法和有效应力法绘制强度包线,求土抗剪强度指标φcu、c cu与φˊ、cˊ,由试验结果是否可以说明土是超固结的。
压力室压力(kPa) 100 200 400 600
破坏时轴向应力差(kPa) 410 520 720 980
破坏时的孔隙水压力(kPa) -65 -10 80 180
T5-25-1.wmf
τt = 101.916 + σ*tg21.20= 101.916 + 0.388σ
φcu = 21.20
c cu= 101.916kPa
T5-25-2.wmf
τt = 0 + σ*tg32.40= 0.635σ
φˊ= 32.40
cˊ = 0kPa
由于超固结土在剪切破坏时,产生负的孔隙水压力,从而根据以上数据可以看出,此土样是超固结土。
6.某饱和粘性土进行无侧限抗压强度试验测得不排水抗剪强度
c u=60kPa,若用同样的土样进行三轴不固结不排水试验,施加侧压力200kPa,问土样在多大的轴向压力下发生破坏?
解:无侧限抗压强度试验:,
三轴不固结不排水试验,由于是饱和土,的施加并不影响土的有效应力,因此大小主应力(总应力)之差不变,即:。
7.饱和粘土试样,在围压为200kPa的三轴压力室中充分排水固结,然后关闭排水阀,将室压提高至400kPa,并增加偏应力至破坏,若该粘
土cˊ=15kPa、φˊ=19°,孔压参数B=0.8,A=0.29,求试件的抗压强度(即指去除围压时强度,可以表为-)
解:
有效应力法:,
剪坏面与最大主应力作用平面的夹角是,
而此时=400kPa,
(初始时土样固结,则u
=0)
则得关于的方程:
得=621.95kPa 则-=221.95kPa。