2017年广东省3+1证书高职高考数学试卷
- 格式:doc
- 大小:195.85 KB
- 文档页数:3
2017年广东省高考数学试卷选择题:设函数 f(x) = 2x^2 - 3x + 1,那么 f(2) 的值为:A. 1B. 3C. 5D. 7已知三角形 ABC,AB = 5,AC = 12,BC = 13,那么角 B 的大小为:A. 30°B. 45°C. 60°D. 90°若 a + b = 5,a - b = 3,那么 a 的值为:A. 1B. 2C. 3D. 4函数 y = 2x + 3 的图像与 x 轴交于点 P,那么点 P 的坐标为:A. (0, 0)B. (0, 3)C. (3, 0)D. (-3, 0)若 sinθ = 1/2,那么θ的值为:A. 30°B. 45°C. 60°D. 90°已知函数 f(x) = x^2 + 2x + 1,那么 f(-1) 的值为:A. -1B. 0C. 1D. 2若 a:b = 3:4,b:c = 2:5,那么 a:c 的值为:A. 3:5B. 4:5C. 6:10D. 8:10若 log2(x) = 3,那么 x 的值为:A. 2B. 4C. 6D. 8若直线 y = 2x + 1 与 x 轴交于点 P,那么点 P 的坐标为:A. (0, 0)B. (0, 1)C. (1, 0)D. (-1, 0)填空题:二次函数 y = ax^2 + bx + c 的图像开口方向由参数 a 的值决定,若 a > 0,则图像开口向上;若 a < 0,则图像开口向__________。
若 a:b = 2:3,b:c = 4:5,那么 a:c 的值为__________。
若直线 y = 3x + 2 与 y 轴交于点 P,那么点 P 的坐标为__________。
若 log3(x) = 2,那么 x 的值为__________。
若 sinθ = 3/5,那么 cosθ的值为__________。
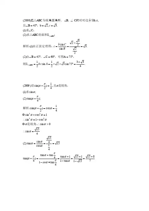
;的面积求△;求,且△△ABC S ABC )2(C )1(.3,2b 45B c,b,的对对边分别C ,∠B 为锐角三角形,∠ABC (2008)已∠==︒=∠c.43375sin 3221sin 21S 75A 60C 45B )2(.322232sin sin )1(ABC +=︒⨯⨯==︒=︒=∠︒=∠=⨯==A bc BCb c △则,,可得,由由正弦定理得:解析:);4tan()2(;sin )1(,41)2sin()2009(παααπα+=+求是锐角,且设7815151115tan 11tan 4tan 14tantan )4tan(1541415cos sin tan )2(415sin 0sin cos 1sin 1cos sin 41cos )2sin(2222+=-+=-+=∙-+=+====∴>∴-=∴=+==+ααπαπαπααααααααααααπαan 是锐角,解析:的长;,求若求,中,已知在△AC 5BC )2(;cos )1(.1010cos 45A ABC )2010(==︒=∠C B5322101035sin sin BC AC 5BC )2(551010322101022sin sin cos cos )cos(cos 10103sin ,1010cos 45A ABC )1(=⨯====⨯+⨯-=--=+-===︒=∠A B B A B A B A C B B ,若,中,已知在△解析:.32,4,2ABC C B A ABC ,,ABC )2011(===∠∠∠S b a S c b a 的面积,若是△的对边,,,中是△为锐角三角形,已知△321260cos 422164cos 26023sin sin 322132sin 21)1(222=∴=︒⨯⨯-+=-+=︒=∴=∴⨯⨯=∴=c C ab b a c C C C CC ab S 根据余弦定理得:是锐角,解析:的值;求的值;求,已知的对边分别为,,中,角在△C b B c a c b a sin )2()1(.41cos ,4,3,,C B A ABC )2012(=== 1915cos 1sin ,1922cos )2(19,19cos 2)1(2222222=-==-+====-+=C C ab c b a C b B ac c a b 解析:的值;求的值;求,已知的对边分别为,,中,角在△a B c b c b a )2(cos )1(.32C ,3,1,,C B A ABC )2013(π=∠== 123213sin sin ,sin sin 6A 6B )1()2(23cos 6B ,32C ABC 213231sin sin sin sin )1(=⨯=========⨯===C A c a CcA aB c Cb B Cc B b 即,由正弦定理得,故得由,所以中,又在△可得由正弦定理得:解析:ππππ的值;求求的值;求,且的对边分别为,,中,角在△c b a B A B A B A c b a ,2,1)2(sin cos cos sin )1(.3,,C B A ABC )2014(==+=+π7,7725)21(21241cos 2,323,3A )2(233sin )sin(sin cos cos c sin )1(222=±=∴=+=-⨯⨯⨯-+=-+==-=∴=+==+=+c c C ab b a c C B B A B A B A 根据题意舍去负值,故根据余弦定理得:解析:πππππ少资金:?元草皮,问需要投入多方米若在该空地上种植每平的值;求,,已知边形的空地如图,某单位有一块四100)2(cos )1(.13,12,4,3AB 90A ABCD )2015(C m CD m BC m AD m ====︒=∠36003610036512214321S ABCD )2(1312cos 90CBD CBD 13169144255169BD ABD BD )1(CBD BAD 222222=⨯=⨯⨯+⨯⨯=+===︒=∠∴===+=+=+=+=∴△△的面积四边形故为直角三角形,△为直角三角形,,则△连结解析:S CD BC C CD BC BD AD AB的值;求的周长;求△中,已知在△)sin()2(ABC )1(.41cos ,2,1ABC )2016(C A C b a +-=== 410sin )180sin()sin(180,180410sin sin 24156,sin sin ,415sin 1800,41cos )2(63621,6615)41(21221cos 241cos ,2,1,,,ABC ABC )1(ABC 22222==-︒=+∴-︒=+∴︒=++=⇒=∴==∴︒<<︒-=+=++==∴=+=-⨯⨯⨯-+=-+=∴-===B B C A B C A C B A B BB bC c C C C C c C ab b a c C b a c b a ,且所对的边分别是中,角在△解析:△的值;求的值;求,已知的对边分别为,,的内角设△C 2sin )B cos()2(sin )1(.5,3,2,,C B A ABC )2017(++===A C c b a c b a96543235232cos sin 2cos 2sin )cos()2(35)32(1cos 1sin ,20,0323222942cos )1(22222-=⨯⨯+-=+-=++=-=-=<<∴>=⨯⨯-+=-+=C C C C B A C C C ab c b a C π由余弦定理得:解析;.____cos ,2,43,,ABC )2018(===A A B a b c b a 则,已知对边分别为△32cos cos sin 2sin 342sin sin 342sin 34sin sin sin ,34,43=⇒==⇒=⇒===C A A A A A A aA aB b A a a b a b 解析:的周长;求△求,若的对边分别是,,中,角在△ABC )2(;cos )1(.41sin sin cos cos ,,B A ABC )2019(C B A B A c b a C =-。
word 格式-可编辑-感谢下载支持2017年广东省高职高考数学试卷及参考答案考试时间:120分钟 总分:150姓名:__________班级:__________考号:__________△注意事项:1.填写答题卡请使用2B 铅笔填涂2.提前5分钟收答题卡一 、选择题(本大题共15小题,每小题5分,共75分。
在每小题给出的四个选项中,只有一个选项是符合题目要求的) 1. 已知集合}5,4,3{},4,3,2,1,0{==N M ,则下列结论正确的是( )。
A. N M ⊆B. N M ⊇C. {}4,3=N MD. {}5,2,1,0=N M 2.函数xx f +=41)(的定义域是( )。
A. ]4,(--∞ B. ()4,-∞- C. ),4[+∞- D. ),4(+∞- 3.设向量)4,(x a =,)3,2(-=b ,若2=⋅b a ,则x =( )。
A. -5B. -2C. 2D. 7 4.样本5,4,6,7,3的平均数和标准差为( )。
A. 5和2B. 5和2C. 6和3D. 6和35.设)(x f 是定义在R 上的奇函数,已知当324)(0x x x f x -=≥时,,则f(-1)=( )。
A. -5B. -3C. 3D. 56.已知角θ的顶点与原点重合,始边为x 轴的非负半轴,如果θ的终边与单位圆的交点为)54,53(-P ,则下列 等式正确的是( )。
A. 53sin =θ B. 54cos -=θ C. 34tan -=θ D. 43tan -=θ7. “4>x ”是“0)4)(1(>--x x ”的( )。
A. 必要非充分条件B. 充分非必要条件C. 充分必要条件D. 非充分非必要条件 8.下列运算不正确的是( )。
A. 1log log 52102=- B. 15252102log log log =+C. 12= D. 422810=÷9.函数x x x x x f sin 3sin cos 3cos )(-=的最小正周期为( )。
2017年普通高等学校招生全国统一考试(广东卷) 数学理一、选择题:本大题共8小题,每小题5分,满分40分.在每小题给出的四个选项中,只有一项是符合题目要求的. 1. 已知集合{1,0,1},{0,1,2},M N =-=则M N ⋃= A .{1,0,1}- B. {1,0,1,2}- C. {1,0,2}- D. {0,1} 2.已知复数Z 满足(34)25,i z +=则Z=A .34i - B. 34i + C. 34i -- D. 34i -+3.若变量,x y 满足约束条件121y x x y z x y y ≤⎧⎪+≤=+⎨⎪≥-⎩且的最大值和最小值分别为M 和m ,则M-m=A .8 B.7 C.6 D.54.若实数k 满足09,k <<则曲线221259x y k-=-与曲线221259x y k -=-的 A .离心率相等 B.虚半轴长相等 C. 实半轴长相等 D.焦距相等 5.已知向量()1,0,1,a =-则下列向量中与a 成60︒夹角的是A .(-1,1,0) B. (1,-1,0) C. (0,-1,1) D. (-1,0,1) 6、已知某地区中小学生人数和近视情况分别如图1和图2所示,为了解该地区中小学生的近视形成原因,用分层抽样的方法抽取2%的学生进行调查,则样本容量和抽取的高中生近视人数分别为A 、200,20B 、100,20C 、200,10D 、100,107、若空间中四条两两不同的直线1234,,,l l l l ,满足122334,,,l l l l l l ⊥⊥⊥,则下列结论一定正确的是A .14l l ⊥B .14//l lC .14,l l 既不垂直也不平行D .14,l l 的位置关系不确定 8.设集合(){}12345=,,,,1,0,1,1,2,3,4,5i A x x x x x x i ∈-=,那么集合A 中满足条件“1234513x x x x x ≤++++≤”的元素个数为 A .60 B90 C.120 D.130二、填空题:本大题共7小题,考生作答6小题,每小题5分,满分30分. (一)必做题(9~13题)9.不等式521≥++-x x 的解集为 。
数学真题2017年广东省3+证书高职高考数学试卷及参考详细答案————————————————————————————————作者:————————————————————————————————日期:2017年广东省高等职业院校 招收中等职业学校毕业生考试数 学 试 题注意事项:1.答卷前,考生务必用黑色字迹的钢笔或签字笔将自己的姓名和考生号、考场号、座位号填写在答题卡上。
用2B 铅笔将试卷类型(A )填涂在答题卡相应位置上。
将条形码横贴在答题卡右上角“条形码粘贴处”。
2.选择题每小题选出答案后,用2B 铅笔把答题卡上对应题目选项的答案信息点涂黑,如需改动,用橡皮擦干净后,在选涂其他答案。
答案不能答在试卷上。
3.非选择题必须用黑色字迹钢笔或签字笔作答,答案必须写在答题卡各题目指定区域内相应位置上:如需改动,先画掉原来的答案,然后再写上新的答案:不能使用铅笔和涂改液。
不按以上要求作答的答案无效。
4.考生必须保持答题卡的整洁。
考试结束后,将试卷和答题卡一并交回。
一、选择题:本大题共15小题,没小题5分,满分75分.在每小题给出的四个只有一项是符合题目要求的.1.已知集合}5,4,3{},4,3,2,1,0{==N M ,则下列结论正确的是A.N M ⊆ B. N M ⊇C. {}4,3=N M I D. {}5,2,1,0=N M Y 2.函数xx f +=41)(的定义域是A. ]4,(--∞ B. ()4,-∞- C. ),4[+∞- D. ),4(+∞- 3.设向量a = )4,(x ,b = )3,2(-,若a .b ,则x= A. -5 B. -2 C. 2 D. 7 4.样本5,4,6,7,3的平均数和标准差为A. 5和2B. 5和2C. 6和3D. 6和3 设0>a 且y x a ,,1≠为任意实数,则下列算式错误..的是 A. 10=a B. yx yxaa a +=⋅C. yx y x a aa -= D. 22)(x x a a =5.设)(x f 是定义在R 上的奇函数,已知当324)(时,0x xx f x -=≥,则f(-1)=A. -5B. -3C. 3D. 56.已知角θ的顶点与原点重合,始边为x 轴的非负半轴,如果θ的终边与单位圆的交点为)54,53(-P ,则下列等式正确的是A. 53sin =θ B. 54cos -=θ C. 34tan -=θ D. 43tan -=θ 7.“4>x ”是“0)4)(1(>--x x ”的A. 必要非充分条件B. 充分非必要条件C. 充分必要条件D. 非充分非必要条件 8.下列运算不正确的是 A. 1log log 52102=- B. 15252102log log log =+C.120= D. 422810=÷9.函数x x x x x f sin 3sin cos 3cos )(-=的最小正周期为A.2πB. 32πC. πD. π210.抛物线x y 82-=的焦点坐标是A. (-2,0)B. (2,0)C. (0,-2)D. (0,2)11.已知双曲线16222=-y ax (a>0)的离心率为2,则a= A. 6 B. 3 C.3 D. 212.从某班的21名男生和20名女生中,任意选一名男生和一名女生代表班级参加评教座谈会,则不同的选派方案共有A. 41种B. 420种C. 520种D. 820种 13.已知数列}{n a 为等差数列,且1a =2,公差d=2,若k a a a ,,21成等比数列,则k= A. 4 B. 6 C. 8 D. 10 14.设直线l 经过圆02222=+++y x y x的圆心,且在y 轴上的截距1,则直线l 的斜率为A. 2B. -2C. 21D. 21- 15. 已知函数x e y =的图象与单调递减函数R)f(x)(x =y ∈的图象相交于(a ,b ),给出的下列四个结论:①b aln =,②a b ln =,③,b a f =)(④ 当x>a 时,xe xf <)(. 其中正确的结论共有A. 1个B. 2个C. 3个D. 4个二、填空题:本大题共5小题,每小题5分,满分25分.16.已知点)4,3(),10,7(),0,0(--B A O ,则设a =OB OA +,则a ρ= . 17.设向量a =(2,3sin θ), b =(4,3cos θ),若a //b ,则tan θ= .18.从编号分别为1,2,3,4的4张卡片中随机抽取两张不同的卡片,它们的编号之和为5的概率是 . 19.已知点A (1,2)和点B (3,-4),则以线段AB 的中点为圆心,且与直线x+y=5相切的圆的标准方程是 .20.若等比数列{}n a 的前n 项和1n 313--=nS ,则{}n a 的公比q= .三、解答题:本大题共4小题,第21~23题各12分,第24题14分,满分50分. 解答须写出文字说明、证明过程和演算步骤. 21.(本小题满分12分)如图, 已知两点A (6,0)和点B (3,4),点C 在y 轴上,四边形OABC 为梯形,P 为线段OA 上异于端点的一点,设x OP =.(1)求点C 的坐标;(2)试问当x 为何值时,三角形ABP 的面积与四边形OPBC 的面积相等? 22.(本小题满分12分)设ABC ∆的内角C B A ,,的对边分别为,,,c b a 已知a=2,b=3,c=5.(Ⅰ)求sinC 的值;(Ⅱ)求cos(A+B)+sin2C 的值.23.(本小题满分12分)已知数列{}n a 是等差数列,n S 是{}n a 的前n 项和,若26,16127==a a . (1)求n a 和n S ; (2)设2S 1+=n n b ,求数列{}n b 的前n 项和为n T .24.(本小题满分14分)如图,设21,F F 分别为椭圆C :1a 16a 2222=-+y x (a>0)的左、右焦点,且22F F 21=.(1)求椭圆C 的标准方程;(2)设P 为第一象限内位于椭圆C 上的一点,过点P 和2F 的直线交y 轴于点Q ,若21QF QF ⊥,求线段PQ 的长.参考答案一、选择题(共15小题,每小题5分,共75分.)CDDBC CBBAA DBAAC二、填空题(共5小题,每小题5分,共25分.)16、 5;17、61 ; 18、31 ; 19、 8)1()2(22=++-Y x ; 20、 31.。
2017年广东省高等职业院校招收中等职业学校毕业生考试数 学班级学号姓名本试卷共4页,24小题,满分150分,考试用时120分钟一、选择题:(本大题共15小题,每小题5分,满分75分。
在每小题给出的四个选项中,只有一项是符合题目要求的。
)题号123456789101112131415答案1.若集合,,则下列结论正确的是 ( ).{}0,1,2,3,4=M {}3,4,5=N A. B.C.D. ⊆M N ⊆N M {}3,4= M N {}0,1,2,5= M N2. 函数的定义域是 ().()=f x A.B. C. D. (,)-∞+∞3,2⎡⎫-+∞⎪⎢⎣⎭3,2⎛⎤-∞- ⎥⎝⎦()0,+∞3. 设向量,, 若则().(,4)= a x (2,3)=-b 2∙= a b =x A. B. C. D. 5-2-274. 样本的平均数和标准差分别为 ().5,4,6,7,3 A. 和B.C. 和D.525636不等式的解集是 ().2560x x --≤A. B. {}23x x -≤≤{}16x x -≤≤C.D.{}61x x -≤≤{}16x x x ≤-≥或5. 设是定义在上的奇函数,已知当时,,则(()f x 0≥x 23()4=-f x x x (1)-=f ).下列函数在其定义域内单调递增的是 () .A.B.C.D. 5-3-356.已知角的顶点与原点重合,始边为轴的非负半轴,如果的终边与单位圆θx θ的交点为,则下列等式正确的是( ).34,55⎛⎫- ⎪⎝⎭P A.B.C.D. 3sin 5θ=4cos 5θ=-4tan 3θ=-3tan 4θ=-7. “”,是“”的 ().4>x (1)(4)0-->x x A. 必要非充分条件 B. 充分非必要条件C. 充分必要条件 D. 非充分非必要条件8. 下列运算不正确的是( ) .A. B. 22log 10log 51-=222log 10log 5log 15+=C.D. 021=108224÷=9. 函数的最小正周期为 ().()cos3cos sin 3sin =-f x x x x x A.B.C. D.2π23ππ2π10. 抛物线的焦点坐标是 ().28=-y x A.B.C. D. (2,0)-(2,0)(0,2)-(0,2)11. 已知双曲线的离心率为,则 ().22216-=x y a 2=a A. B.6312.从某班的名男生和名女生中,任意选派一名男生和一名女生代表班级2120参加评教座谈会,则不同的选派方案共有 ( ).A. 种B. 种C. 种D. 种4142052082013.已知数列为等差数列,且,公差,若成等比数列,则{}n a 12=a 2=d 12,,k a a a ().=kA.B.C.D. 4681014. 设直线经过圆的圆心,且在轴上的截距为,则直线的l 22220+++=x y x y y 1l 斜率为 ( ). A.B.C.D. 22-1212-15. 已知函数的图象与单调递减函数,的图象相交于点,=x y e ()=y f x ()∈x R (),a b 给出下列四个结论:则当时,(1)ln =a b (2)ln =b a (3)()=f a b (4)>x a 。
2017年广东省高等职业院校 招收中等职业学校毕业生考试数 学 试 题注意事项:1.答卷前,考生务必用黑色字迹的钢笔或签字笔将自己的姓名和考生号、考场号、座位号填写在答题卡上。
用2B 铅笔将试卷类型(A )填涂在答题卡相应位置上。
将条形码横贴在答题卡右上角“条形码粘贴处”。
2.选择题每小题选出答案后,用2B 铅笔把答题卡上对应题目选项的答案信息点涂黑,如需改动,用橡皮擦干净后,在选涂其他答案。
答案不能答在试卷上。
3.非选择题必须用黑色字迹钢笔或签字笔作答,答案必须写在答题卡各题目指定区域内相应位置上:如需改动,先画掉原来的答案,然后再写上新的答案:不能使用铅笔和涂改液。
不按以上要求作答的答案无效。
4.考生必须保持答题卡的整洁。
考试结束后,将试卷和答题卡一并交回。
一、选择题:本大题共15小题,没小题5分,满分75分.在每小题给出的四个只有一项是符合题目要求的.1.已知集合}5,4,3{},4,3,2,1,0{==N M ,则下列结论正确的是A.N M ⊆ B. N M ⊇C. {}4,3=N M D. {}5,2,1,0=N M 2.函数xx f +=41)(的定义域是A. ]4,(--∞ B. ()4,-∞- C. ),4[+∞- D. ),4(+∞- 3.设向量a = )4,(x ,b = )3,2(-,若a .b ,则x= A. -5 B. -2 C. 2 D. 7 4.样本5,4,6,7,3的平均数和标准差为A. 5和2B. 5和2C. 6和3D. 6和3 设0>a 且y x a ,,1≠为任意实数,则下列算式错误..的是 A. 10=a B. yx yxaa a +=⋅C. yx y x a aa -= D. 22)(x x a a =5.设)(x f 是定义在R 上的奇函数,已知当324)(时,0x xx f x -=≥,则f(-1)=A. -5B. -3C. 3D. 56.已知角θ的顶点与原点重合,始边为x 轴的非负半轴,如果θ的终边与单位圆的交点为)54,53(-P ,则下列等式正确的是A. 53sin =θ B. 54cos -=θ C. 34tan -=θ D. 43tan -=θ 7.“4>x ”是“0)4)(1(>--x x ”的A. 必要非充分条件B. 充分非必要条件C. 充分必要条件D. 非充分非必要条件 8.下列运算不正确的是 A. 1log log 52102=- B. 15252102log log log =+C.120= D. 422810=÷9.函数x x x x x f sin 3sin cos 3cos )(-=的最小正周期为A.2πB. 32πC. πD. π210.抛物线x y 82-=的焦点坐标是A. (-2,0)B. (2,0)C. (0,-2)D. (0,2)11.已知双曲线16222=-y ax (a>0)的离心率为2,则a= A. 6 B. 3 C.3 D. 212.从某班的21名男生和20名女生中,任意选一名男生和一名女生代表班级参加评教座谈会,则不同的选派方案共有A. 41种B. 420种C. 520种D. 820种 13.已知数列}{n a 为等差数列,且1a =2,公差d=2,若k a a a ,,21成等比数列,则k= A. 4 B. 6 C. 8 D. 10 14.设直线l 经过圆02222=+++y x y x的圆心,且在y 轴上的截距1,则直线l 的斜率为A. 2B. -2C. 21D. 21- 15. 已知函数x e y =的图象与单调递减函数R)f(x)(x =y ∈的图象相交于(a ,b ),给出的下列四个结论:①b aln =,②a b ln =,③,b a f =)(④ 当x>a 时,xe xf <)(. 其中正确的结论共有A. 1个B. 2个C. 3个D. 4个二、填空题:本大题共5小题,每小题5分,满分25分.16.已知点)4,3(),10,7(),0,0(--B A O ,则设a =OB OA +,则a= . 17.设向量a =(2,3sin θ), b =(4,3cos θ),若a //b ,则tan θ= .18.从编号分别为1,2,3,4的4张卡片中随机抽取两张不同的卡片,它们的编号之和为5的概率是 . 19.已知点A (1,2)和点B (3,-4),则以线段AB 的中点为圆心,且与直线x+y=5相切的圆的标准方程是 .20.若等比数列{}n a 的前n 项和1n 313--=nS ,则{}n a 的公比q= .三、解答题:本大题共4小题,第21~23题各12分,第24题14分,满分50分. 解答须写出文字说明、证明过程和演算步骤. 21.(本小题满分12分)如图, 已知两点A (6,0)和点B (3,4),点C 在y 轴上,四边形OABC 为梯形,P 为线段OA 上异于端点的一点,设x OP =.(1)求点C 的坐标;(2)试问当x 为何值时,三角形ABP 的面积与四边形OPBC 的面积相等? 22.(本小题满分12分)设ABC ∆的内角C B A ,,的对边分别为,,,c b a 已知a=2,b=3,c=5.(Ⅰ)求sinC 的值;(Ⅱ)求cos(A+B)+sin2C 的值.23.(本小题满分12分)已知数列{}n a 是等差数列,n S 是{}n a 的前n 项和,若26,16127==a a . (1)求n a 和n S ; (2)设2S 1+=n n b ,求数列{}n b 的前n 项和为n T .24.(本小题满分14分)如图,设21,F F 分别为椭圆C :1a 16a 2222=-+y x (a>0)的左、右焦点,且22F F 21=.(1)求椭圆C 的标准方程;(2)设P 为第一象限内位于椭圆C 上的一点,过点P 和2F 的直线交y 轴于点Q ,若21QF QF ⊥,求线段PQ 的长.参考答案一、选择题(共15小题,每小题5分,共75分.)CDDBC CBBAA DBAAC二、填空题(共5小题,每小题5分,共25分.)16、 5;17、61 ; 18、31 ; 19、 8)1()2(22=++-Y x ; 20、 31.。
2017年广东省深圳市三校联考高考数学一模试卷(文科)、选择题:本大题共 12小题,每小题5分,在每小题给出的四个选项中,只有一项是符 合题目要求的.(5 分)已知集合 M ={x|x 2 =x}, N ={x| --0},则 M 「]N=() x _11 1 (5 分)“ x :::0 ”是 “ In (x 1) :::0 ”(1 )、f (卜,所得出的正确结果可能是((5分)执行如图所示的程序框图,则输出的结果是1. A ..一B . {0}C . {1}D . {0 , 1}2. A .充分不必要条件B •必要不充分条件 3. 4.C .充分必要2 +i(5分)复数 ---- 的共轭复数是( 1 -2i A . -3i5 3(5分)对于函数 f(x)二atanx • bx cx(a 、 D .既不充分也不必要条件 C . -ib 、c • R ),选取b 、c 的一组值计算f2和-1D . 2 和-26. ( 5分)将函数y=2sin (2x;)的图象向左平移丄7 1丄个周期后, 4所得图象对应的函数为7 . 9 .A. y =2si n(2x 兰)3B . y=2si n(2x 乞)12C. y =2sin(2 x D . y=2sin(2 x _—)12(5 分)已知当x d 时,f (x) =(2 _a)x • 1 ;当x-1 时,f(x)=a x(a.O 且a=1).若对任意X! =X2,都有f(x1)—f(x2)o成立,则a的取值范围是()X i -X2A . (1,2)3B .(1,R C.(5分)已知A. -35(5分)已知A. 58510. (5 分) .:j是第一象限角,满sin:- —cos tB . _35C.[|,2),贝U cos2:=( 545(0 , 1)- (2,:-)x2+33 f(x) 一一(x・N ),贝U f(x)在定义域上的最小值为(B . 23 C. 33 D. 2 33y满足约束条件y..・Xx y--1 则z =3x • 4y的最小值为(2x 3y・・3C.215b , c满足(C.12 .( 5分)x (0,;),都有f [f (x) -log 2 x] =3,则方程f(x)-f(x)=2的解所在的区间是(1 A. (O’?1B.(2,1)C. (1,2) D . (2,3)11. (5 分)设函数A. a b cB. a cb Xf(x)=家的图象如图,则二、填空题:本大题共4小题,每小题5分.13.(5 分)已知平面向量 a =(1,2) , £ =(2, _m),且 a _b ,则 |a - b.x14. _________________________________________________ (5分)曲线y 二sinx e 在点(0,1)处的切线方程为 ___________________________________________ . 15. ____________________________________________________________________ (5分)设当x =:•时,函数f(x) =3si nx cosx 取得最大值,则 tan2 :• = _____________________. 216 . (5分)若定义在R 上的函数f(x)满足f (x) f (x) :::1且f(0)=3,则不等式f(x) x 1e(其中e 为自然对数的底数)的解集为 ________ . 三、解答题:解答应写出文字说明,证明过程或演算步骤117 . (12 分)在:ABC 中,A , B , C 为的 a 、b 、c 所对的角,若 cosBcosC -sin Bsin C 2(1 )求 A ; (2)若 a =2..3, b=4,求 ABC 的面积.2 *{a n }前 n 项和为 S ,且 S n = n c(n • N ).(I)求 c , a n;a(n) 若b nn,求数列{b n }前n 项和T n .219. ( 12分)某气象站观测点记录的连续 4天里,AQI 指数M 与当天的空气水平可见度 y (单)设喘,根据表的数据,求出y 关于x 的回归方程;n乞XiW - nxy y=bx a ;其中 i?==- 2 2j X i 〜nxi =1(2)小张开了一家洗车店, 经统计,当M 不高于200时,洗车店平均每天亏损约 18. (12分)已知等差数列(参考公a - t?x)2000 元;4000元;当M大于400时,洗车店平均当M在200至400时,洗车店平均每天收入约每天收入约7000元;根据表2估计小张的洗车店该月份平均每天的收入.2第5页(共18页)220. (12分)已知定义在R上的奇函数f(x)满足f(x)=x —2x_3(x . 0).(I)若函数g(x)#f(x)|』有4个零点,求实数a的取值范围;(n)求| f(x 1)|, 4的解集.221. (12 分)已知函数f(x) =1 nx-ax(a・ R)(I) 讨论f (x)的单调性;(n) 若对于x・(0, ;) , f(x), a -1恒成立,求实数a的取值范围.[选修4-1:几何证明选讲]22. (10分)选修4 _1 :平面几何如图AB是L O的直径,弦BD , CA的延长线相交于点E , EF垂直BA的延长线于点F .(I)求证:.DEA=/DFA ;(II )若.EBA =30 , EF = 3 , EA =2AC,求AF 的长.[选修4-4 :坐标系与参数方程]23. 在直角坐标系中,以原点O为极点,x轴为正半轴为极轴,建立极坐标系.设曲线C :《x —仪为参数);直线丨:p(c°s B +sin日)=4 .y 二sin •.<(1)写出曲线C的普通方程和直线l的直角坐标方程;(n)求曲线C上的点到直线l的最大距离.[选修4-5:不等式选讲]24. 设函数f (x) =|2x • 1| _|x _2| .(1 )求不等式f(x) .2的解集;(2)-x・R,使f(x)-t2 -^t,求实数t的取值范围.第5页(共18页)2017年广东省深圳市三校联考高考数学一模试卷(文科)参考答案与试题解析一、选择题:本大题共12小题,每小题5分,在每小题给出的四个选项中,只有一项是符合题目要求的.1. (5 分)已知集合M ={x|x?二x}, N ={x|—--0},贝U M D N=()x _1 ||A . .一B . {0} C. {1} D. {0 , 1}【解答】解:•.•集合M ={x|x? =x}, N ={x|—-0},x —1.M ={0 , 1} , N ={x|x, 0 或x 1},M p|N 二{0}.故选:B .2. (5 分)“ x :::0 ”是“ ln(x 1):::0 ”的()A .充分不必要条件B .必要不充分条件C •充分必要条件D •既不充分也不必要条件【解答】解:;x:::0,. x・1:::1,当x 1 0 时,In (x・1):::0 ;Tin(x 1)::0 , 0 ::: x 1 ::1 , - 1 :: x :: 0 , x :: 0 ,“ x ::: 0 ”是In (x 1):: 0的必要不充分条件.故选:B .3. (5分)复数务的共轭复数是(A . -3i【解答】解:复数B.3i52 - i (2 i)(1 2i)C. -i1_2i (1_2i)(1 2i),它的共轭复数为: _,i .故选:C .34. ( 5 分)对于函数f(x) =atanx bx cx(a、 c • R),选取a、b、c的一组值计算f(1 )、f (卜,所得出的正确结果可能是(C. 2 和-1 D . 2 和-2第5页(共18页)第5页(共18页)于原点对称,【解答】解:根据题意,对于函数3f (X )二atanx bx cx ,其定义域为 {x|x=k二石},第9页(共18页)3又由 f(「x)=Jatanx 亠bx 亠cx) = _f(x),故函数f(x)为奇函数, 必有—f (1) = f(_1),即f (1 )、f& 的值互为相反数; 分析选项可得:只有 D 的2个数互为相反数; 故选:D .5. ( 5分)执行如图所示的程序框图,则输出的结果是C .【解答】 解:模拟执行程序框图,可得程序框图的功能是计算并输出由于S =丄1X2故选: 丄的值. 6 71 1 1—"T -———2 2 3第8页(共18页)2 — y =2sin(2 x )3ny=2s "(2^3)【解答】解:函数y =2sin(2 x )的周期T,6 2分)将函数y =2sin(2x)的图象向左平移 6-个周期后,所得图象对应的函数为(4y 二 2sin(2 x —)12 厂2s in(2xpx第11页(共18页)3 .2sin 「cos 二5.sin -::「cos : = (sin 二、cos -:i )2 = 1 2sin -i cos : =2 10, 5 22I i2(10 -贝 U cos2 : -cos ■- -sin : - (cos :£ 亠 sin 、:)L(cos : - sin 、:)10、 4)= 5 5故选:C .x 2 +33 一 *9. ( 5分)已知f(x)(x ・N ),贝U f(x)在定义域上的最小值为(将函数y =2si n(2x)的图象向左平移1个周期,即向左平移 二个单位,64 4.平移后所得图象对应的函数为 y =2sin[2( x 匸)•三]=2sin(2 x —).4 63故选:A .7.( 5 分)已知当 x <1 时,f (x^(2 -a)x 1 ;当 xT 时,f(x)=a x (a.O 且 a").若对任意X i =X 2,都有f(xi)一仏)o 成立,则a 的取值范围是()X i —X 233A . (1,2)B . (1q]C . [-,2)D . (0, 1)- (2,::)【解答】解:对任意為-x 2,都有f (x1)- f(x 2)0成立,X 1 — X 2即为f (x)在R 上单调递增,由当 x ::;1 时,f(x) =(2 _a)x 1,可得 解得a :::2 ;① 又当 x--1 时,f(x)二 a x (a 0 且 a 厂1),又f(x)在R 上单调递增,可得32 —a +1, a ,解得a …?③3由①②③可得-,a <2 ,2故选:C .2 -a 0 ,& ( 5分)已知:丄是第一象限角,满sin : - cos 、;C .105 4,则 cos2 -(【解答】解: •是第一象限角,-10 510.1 —2sin 一::cos 二25第8页(共18页):x^N* 0 ,x■ 33…2、4J 33 =2・、33,当且仅当x 二33时取等号•但x. N*,故x =5或x =6 ,当 x =5 时,f (x):5当 x =6 时,f (x)二23故选:B ."•••X10. (5分)若x , y 满足约束条件 x y--1 则z =3x 4y 的最小值为()2x 3厂3C . 4【解答】解:先根据约束条件 x y--1 画出可行域, 2x 3y ・・・323C . .33D . 2、33【解答】解:由f (x )=—次竺,xx故得f (x )在定义域上的最小值为 23221 ~5设z =3x 4y ,将最大值转化为y轴上的截距,(x::;'y =1 当直线z =3x 4y经过点B时,z最大,由丫可得B(0,0)|2x 3y =3最大值是:3 0 ^ 4 1=4 .故选:C .x第13页(共18页)。
绝密★启用前2017年普通高等学校招生全国统一考试理科数学注意事项:1.答卷前,考生务必将自己的姓名和准考证号填写在答题卡上。
2.回答选择题时,选出每小题答案后,用铅笔把答题卡对应题目的答案标号涂黑。
如需改动,用橡皮擦干净后,再选涂其它答案标号。
回答非选择题时,将答案写在答题卡上。
写在本试卷上无效。
3.考试结束后,将本试卷和答题卡一并交回。
一、选择题:本大题共12小题,每小题5分,共60分。
在每小题给出的四个选项中,只有一项是符合题目要求的。
1.已知集合A ={x |x <1},B ={x |31x<},则A. {|0}A B x x =<B. A B =RC. {|1}A B x x =>D. A B =∅2.如图,正方形ABCD 内的图形来自中国古代的太极图,正方形内切圆中的黑色部分和白色部分关于正方形的中心成中心对称.在正方形内随机取一点,则此点取自黑色部分的概率是 A.14 B. π8 C. 12 D. π43.设有下面四个命题1:p 若复数z 满足1z∈R ,则z ∈R ;2:p 若复数z 满足2z ∈R ,则z ∈R ; 3:p 若复数12,z z 满足12z z ∈R ,则12z z =; 4:p 若复数z ∈R ,则z ∈R .其中的真命题为A.13,p pB.14,p pC.23,p pD.24,p p4.记n S 为等差数列{}n a 的前n 项和.若4524a a +=,648S =,则{}n a 的公差为 A .1B .2C .4D .85.函数()f x 在(,)-∞+∞单调递减,且为奇函数.若(11)f =-,则满足21()1x f --≤≤的x 的取值范围是 A .[2,2]-B .[1,1]-C .[0,4]D .[1,3]6.621(1)(1)x x++展开式中2x 的系数为 A.15 B.20 C.30 D.357.某多面体的三视图如图所示,其中正视图和左视图都由正方形和等腰直角三角形组成,正方形的边长为2,俯视图为等腰直角三角形,该多面体的各个面中有若干个是梯形,这些梯形的面积之和为A.10B.12C.14D.168.右面程序框图是为了求出满足3n -2n >1000的最小偶数n ,那么在和两个空白框中,可以分别填入A.A >1000和n =n +1B.A >1000和n =n +2C.A ≤1000和n =n +1D.A ≤1000和n =n +29.已知曲线C 1:y =cos x ,C 2:y =sin (2x +2π3),则下面结正确的是 A.把C 1上各点的横坐标伸长到原来的2倍,纵坐标不变,再把得到的曲线向右平移π6个单位长度,得到曲线C 2B.把C 1上各点的横坐标伸长到原来的2倍,纵坐标不变,再把得到的曲线向左平移π12个单位长度,得到曲线C 2C.把C 1上各点的横坐标缩短到原来的12倍,纵坐标不变,再把得到的曲线向右平移π6个单位长度,得到曲线C 2D.把C 1上各点的横坐标缩短到原来的12倍,纵坐标不变,再把得到的曲线向右平移π12个单位长度,得到曲线C 210.已知F 为抛物线C :y 2=4x 的焦点,过F 作两条互相垂直的直线l 1,l 2,直线l 1与C 交于A 、B 两点,直线l 2与C 交于D 、E 两点,则|AB |+|DE |的最小值为 A .16 B .14 C .12 D .1011.设xyz 为正数,且235x y z==,则A .2x <3y <5zB .5z <2x <3yC .3y <5z <2xD .3y <2x <5z12.几位大学生响应国家的创业号召,开发了一款应用软件.为激发大家学习数学的兴趣,他们退出了―解数学题获取软件激活码‖的活动.这款软件的激活码为下面数学问题的答案:已知数列1,1,2,1,2,4,1,2,4,8,1,2,4,8,16 ,…,其中第一项是20,接下来的两项是20,21,再接下来的三项是20,21,22,依此类推.求满足如下条件的最小整数N :N >100且该数列的前N 项和为2的整数幂.那么该款软件的激活码是 A.440B.330C.220D.110二、填空题:本题共4小题,每小题5分,共20分。
2017年普通高等学校招生全国统一考试(广东卷)数学(理)一、选择题:本大题共8小题,每小题5分,满分40分.在每小题给出的四个选项中,只有一项是符合题目要求的. 1.已知集合{1,0,1},{0,1,2},M N =-=则M N ⋃=A .{1,0,1}- B. {1,0,1,2}- C. {1,0,2}- D. {0,1} 答案:B2.已知复数Z 满足(34)25,i z +=则Z=A .34i - B. 34i + C. 34i -- D. 34i -+ 答案:A2525(34)25(34):=34,.34(34)(34)25i i z i ii i --===-++-提示故选A 3.若变量,x y 满足约束条件121y x x y z x y y ≤⎧⎪+≤=+⎨⎪≥-⎩且的最大值和最小值分别为M 和m ,则M-m=A .8 B.7 C.6 D.5:(),(2,1)(1,1)3,3,6,.CM m M m C --==-∴-=答案:提示画出可行域略易知在点与处目标函数分别取得最大值与最小值选4.若实数k 满足09,k <<则曲线221259x y k-=-与曲线221259x y k -=-的 A .离心率相等 B.虚半轴长相等 C. 实半轴长相等 D.焦距相等09,90,250,(9)34(25)9,k k k k k k <<∴->->+-=-=-+ 答案:D提示:从而两曲线均为双曲线,又25故两双曲线的焦距相等,选D.5.已知向量()1,0,1,a =-则下列向量中与a 成60︒夹角的是A .(-1,1,0) B.(1,-1,0) C.(0,-1,1) D.(-1,0,1)0222222:(1,0,1)(1,1,0)11:,,60,.2210(1)1(1)0B B -⋅-=∴++-⋅+-+答案提示即这两向量的夹角余弦值为从而夹角为选6、已知某地区中小学生人数和近视情况分别如图1和图2所示,为了解该地区中小学生的近视形成原因,用分层抽样的方法抽取2%的学生进行调查,则样本容量和抽取的高中生近视人数分别为A. 200,20B. 100,20C. 200,10D. 100,10::(350045002000)2%200,20002%50%20,.AA ++⋅=⋅⋅=∴答案提示样本容量为抽取的高中生近视人数为:选7.若空间中四条两两不同的直线1234,,,l l l l ,满足122334,,l l l l l l ⊥⊥⊥,则下列结论一定正确的是A.14l l ⊥B.14//l lC.14,l l 既不垂直也不平行D.14,l l 的位置关系不确定 答案:D8.设集合(){}12345=,,,,{1,0,1},1,2,3,4,5i A x x x x x x i ∈-=,那么集合A 中满足条件“1234513x x x x x ≤++++≤”的元素个数为A.60B.90C.120D.130答案: D1234511122252551311225254:1,2,31:C 10;:C 40;:C C C 80.104080130, D.x x x x x C C A C C ++++=+=+=++=提示可取和为的元素个数为和为2的元素个数为和为3的元素个数为故满足条件的元素总的个数为选二、填空题:本大题共7小题,考生作答6小题,每小题5分,满分30分. (一)必做题(9~13题)9.不等式521≥++-x x 的解集为 .(][)(][),32,:12532,,32,.-∞-+∞---∞-+∞ 答案:提示数轴上到与距离之和为的数为和故该不等式的解集为:10.曲线25+=-x e y 在点)3,0(处的切线方程为 .'5'0:530:5,5,35,530.xx x y y eyy x x y -=+-==-∴=-∴-=-+-=答案提示所求切线方程为即11.从0,1,2,3,4,5,6,7,8,9中任取七个不同的数,则这七个数的中位数是6的概率为 .367101:6:67,36,136,.6C C =答案提示要使为取出的个数中的中位数则取出的数中必有个不大于另外个不小于故所求概率为12.在ABC ∆中,角C B A ,,所对应的边分别为c b a ,,,已知b B c C b 2cos cos =+,则=ba .2222222:2::cos cos ,2, 2.sin cos sin cos 2sin ,sin()2sin ,sin 2sin ,2, 2.::2,24,222, 2.ab Cc B a a b bB C C B B B C B aA B a b ba b c a c b b b a ab ab ac aa b b+==∴=+=+=∴==∴=+-+-⋅+==∴==答案提示解法一由射影定理知从而解法二:由上弦定理得:即即解法三由余弦定理得即即13.若等比数列{}n a 的各项均为正数,且512911102e a a a a =+,则1220ln ln ln a a a +++= .51011912101112202019151201011:100:,,ln ln ln ,ln ln ln ,220ln 20ln 20ln 100.a a a a a a e S a a a S a a a S a a a a e =∴==+++=+++∴==== 答案提示设则(二)选做题(14~15题,考生从中选做一题)14.(坐标与参数方程选做题)在极坐标系中,曲线C 1和C 2的方程分别为2sin cos ρθθ=和sin ρθ=1,以极点为平面直角坐标系的原点,极轴为x 轴的正半轴,建立平面直角坐标系,则曲线C 1和C 2的交点的直角坐标为__221212:(1,1):(sin )cos ,,:1,(1,1).C y x C y C C ρθρθ===∴答案提示即故其直角坐标方程为:的直角坐标方程为与的交点的直角坐标为15.(几何证明选讲选做题)如图3,在平行四边形ABCD 中,点E 在AB 上且EB =2AE ,AC 与DE 交于点F ,则CDF AEF ∆∆的面积的面积=___22:9:,()()9.CDF AEF CDF CD EB AE AEF AE AE∆∆∴∆+===∆ 答案提示显然的面积的面积三、解答题:本大题共6小题,满分80分.解答须写出文字说明、证明过程和 演算步骤.16、(12分)已知函数R x x A x f ∈+=),4sin()(π,且23)125(=πf ,(1)求A 的值;(2)若23)()(=-+θθf f ,)2,0(πθ∈,求)43(θπ-f .552332:(1)()sin()sin , 3.121243223(2)(1):()3sin(),4()()3sin()3sin()443(sin cos cos sin )3(sin()cos cos()sin )444423cos sin 46cos 326cos ,(0,),42f A A A f x x f f πππππππθθθθππππθθθθπθθπθθ=+==∴=⋅==+∴+-=++-+=++-+-===∴=∈ 解由得10sin 4331030()3sin()3sin()3sin 3.44444f θπππθθπθθ∴=∴-=-+=-==⨯=17、(13分)随机观测生产某种零件的某工厂25名工人的日加工零件数(单位:件),获得数据如下:根据上述数据得到样本的频率分布表如下:(1)确定样本频率分布表中121,,n n f 和2f 的值;(2)根据上述频率分布表,画出样本频率分布直方图;(3)根据样本频率分布直方图,求在该厂任取4人,至少有1人的日加工零件数落在区间(30,50]的概率.(](]12120044472:(1)7,2,0.28,0.08;2525(2);(3),30,50:10.120.88,130,503:1(0.88)(0.12)1().25n n f f C ======-=-=-解略根据频率分布直方图可得工人们日加工零件数落在区间的概率为故至少有人的日加工零件数落在区间的概率为18.(13分)如图4,四边形ABCD 为正方形,PD ⊥平面ABCD ,∠DPC =030,AF ⊥PC 于点F ,FE ∥CD ,交PD 于点E. (1)证明:CF ⊥平面ADF ; (2)求二面角D -AF -E 的余弦值.:(1):,,,,A ,,,,,,,,,,.(2):E EG//CF DF G,,,G GH AF H,EH,PD ABCD PD PCD PCD ABCD PCD ABCD CD D ABCD AD CD AD PCD CF PCD CF AD AF PC CF AF AD AF ADF AD AF A CF ADF CF DF EG DF ⊥⊂∴⊥=⊂⊥∴⊥⊂∴⊥⊥∴⊥⊂=∴⊥⊥∴⊥⊥∠ 解证明平面平面平面平面平面平面平面平面又平面平面解法一过作交于平面A 平面A 过作于连则0022,CD 2,30,130,==1,213324,,,=,,,3,2222333319322EG .,7,,42231933193193622,()()474747EHG D AF E DPC CDF CF CD DE CF DE CP EF DC DE DF DP CP DE EF AE AF EF DF AE EF EH HG AF --=∠=∴∠==∴=∴==⋅⋅======⋅⋅∴====-= 为二面角的平面角设从而∥即还易求得EF=从而易得故3,476347257cos .1947319GH EHG EH ∴∠==⋅=12:,,,,,2,1(0,0,2),C(0,2,0),P(23,0,0),,(23,22,0),,,43331(,,0),(,0,0),ADF CP (3,1,0),2222AEF (x DP DC DA x y z DC A CF CP F DF CF F E n n λλλλ==-⊥===-= 解法二分别以为轴建立空间直角坐标系设则设则可得从而易得取面的一个法向量为设面的一个法向量为2212212,y,z),0,0,43257(4,0,3),.19||||219n AE n AF n n n n n ⋅=⋅=⋅==⋅⨯利用且得可以是从而所求二面角的余弦值为19.(14分)设数列{}n a 的前n 和为n S ,满足2*1234,n n S na n n n N +=--∈,且315S =.(1)求123,,a a a 的值; (2)求数列{}n a 的通项公式;211222122331212121331221232121:(1)2314127+=432424()204(15)20,+83,,1587,53,5,7,(2)2342,2(1)3(1)4(n n n n a S a a a a S a S a a a a a a a a S a a a a a a S na n nn S n a n n +-==-⨯-⨯=-=-⨯-⨯=---=---∴==⎧∴=--=-=⎨=⎩====--∴≥=-----解①②联立①②解得综上③当时11121)2161,22(1)21,:()(1),1,3211,;(),,21,21611,22211(21)322411322232(1)11n n n k k k n n a a n na n i n a ii n k a k k k n k a a k k k k k k k k k k k n k ++-+-=+=+===⨯+==+-+=+=+-=⋅+++-=++=+=++=+④③④并整理得:由猜想以下用数学归纳法证明由知当时猜想成立假设当时猜想成立即则当时这就是说,,,2 1.n n N a n *∈=+时猜想也成立从而对一切20.(14分)已知椭圆2222:1(0)x y C a b a b +=>>的一个焦点为(5,0),离心率为53,(1)求椭圆C 的标准方程;(2)若动点00(,)P x y 为椭圆外一点,且点P 到椭圆C 的两条切线相互垂直,求点P 的轨迹方程.222220022002255:(1)5,,3,954,31.94(2),,4(3,2),(3,2).(),(),194(94)18(c c e a b a c a a x y C x y y y k x x x y y k x x y k x k y ====∴==-=-=∴+=-±±-=-=-++=++解椭圆的标准方程为:若一切线垂直轴则另一切线垂直于轴则这样的点P 共个,它们的坐标分别为若两切线不垂直于坐标轴,设切线方程为即将之代入椭圆方程中并整理得:2000022222200000022220000012202200)9()40,,0,(18)()36()4(94)0,4()4(94)0,4(9)240,,1,:1,913,(3,2),(3,2)kx x y kx k y kx y kx k y kx k y x k x y k y k k x x y ⎡⎤-+--=∆=⎣⎦⎡⎤----+=--+=⎣⎦-∴--+-=∴=-=--∴+=-±± 依题意即:即两切线相互垂直即显然这四点也满足以上方22,13.P x y ∴+=程点的轨迹方程为21.(本题14分)设函数2221()(2)2(2)3f x x x k x x k =+++++-,其中2k <-,(1)求函数()f x 的定义域D (用区间表示); (2)讨论()f x 在区间D 上的单调性;(3)若6k <-,求D 上满足条件()(1)f x f >的x 的集合(用区间表示)..。
2017年广东省高考数学试卷(文科)(全国新课标Ⅰ)一、选择题:本大题共12小题,每小题5分,共60分。
在每小题给出的四个选项中,只有一项是符合题目要求的。
1.(5分)已知集合A={x |x <2},B={x |3﹣2x >0},则( )A .A ∩B={x |x <32}B .A ∩B=∅C .A ∪B={x |x <32} D .A ∪B=R2.(5分)为评估一种农作物的种植效果,选了n 块地作试验田.这n 块地的亩产量(单位:kg )分别是x 1,x 2,…,x n ,下面给出的指标中可以用来评估这种农作物亩产量稳定程度的是( )A .x 1,x 2,…,x n 的平均数B .x 1,x 2,…,x n 的标准差C .x 1,x 2,…,x n 的最大值D .x 1,x 2,…,x n 的中位数 3.(5分)下列各式的运算结果为纯虚数的是( ) A .i (1+i )2B .i 2(1﹣i )C .(1+i )2D .i (1+i )4.(5分)如图,正方形ABCD 内的图形来自中国古代的太极图.正方形内切圆中的黑色部分和白色部分关于正方形的中心成中心对称.在正方形内随机取一点,则此点取自黑色部分的概率是( )A .14B .π8C .12D .π45.(5分)已知F 是双曲线C :x 2﹣y 23=1的右焦点,P 是C 上一点,且PF 与x 轴垂直,点A 的坐标是(1,3),则△APF 的面积为( )A .13B .12C .23D .326.(5分)如图,在下列四个正方体中,A ,B 为正方体的两个顶点,M ,N ,Q 为所在棱的中点,则在这四个正方体中,直线AB 与平面MNQ 不平行的是( )A .B .C .D .7.(5分)设x ,y 满足约束条件{x +3y ≤3x −y ≥1y ≥0,则z=x +y 的最大值为( )A .0B .1C .2D .38.(5分)函数y=sin2x1−cosx的部分图象大致为( )A .B .C .D .9.(5分)已知函数f (x )=lnx +ln (2﹣x ),则( ) A .f (x )在(0,2)单调递增 B .f (x )在(0,2)单调递减 C .y=f (x )的图象关于直线x=1对称 D .y=f (x )的图象关于点(1,0)对称10.(5分)如图程序框图是为了求出满足3n ﹣2n >1000的最小偶数n ,那么在和两个空白框中,可以分别填入( )A .A >1000和n=n +1B .A >1000和n=n +2C .A ≤1000和n=n +1D .A ≤1000和n=n +211.(5分)△ABC 的内角A ,B ,C 的对边分别为a ,b ,c ,已知sinB +sinA (sinC ﹣cosC )=0,a=2,c=√2,则C=( )A .π12B .π6C .π4D .π312.(5分)设A ,B 是椭圆C :x 23+y 2m=1长轴的两个端点,若C 上存在点M 满足∠AMB=120°,则m 的取值范围是( ) A .(0,1]∪[9,+∞) B .(0,√3]∪[9,+∞) C .(0,1]∪[4,+∞)D .(0,√3]∪[4,+∞)二、填空题:本题共4小题,每小题5分,共20分。
2019年广东省高职高考数学试卷一、选择题。
本大题共15小题,每小题5分,满分75分,只有一个正确选项。
1.已知集合A={-1,0,1,2},B={x|x<0},则A∩B=()A.{1,2}B.{-1}B.{-1,1} D.{0,1,2}2.函数y=Ig (x+2)的定义域是()A.(-2,+∞)B.[-2,+∞)C.(-∞,-2)D.(-∞,-2]3.不等式(x+1)(x-5)>0的解集是()A.(-1,5]B.(-1,5)C.(-∞,-1]∪[5,+∞)D.(-∞,-1)∪(5,+∞)4.已知函数y=f(x)[x=R]的增函数,则下列关系正确的是( ) (-2)>f(3)(2)<f(3)(-2)<f(-3)(-1)>f(0)5.某职业学校有两个班,一班有30人、二班有35人,从两个班选一人去参加技能大赛,则不同的选项有()6. “a >1”,是“a >-1”的( )A. 必要非充分B.充分非必要B. 充要条件 D.非充分非必要条件7. 已知向量a=(x-3),b=(3,1),若a ⊥b ,则x=( )A. -98. 双曲线25x ²-16y ²=1,的焦点坐标( ) A. (-3,0) B.(-41,0),(41,0)B. (0,-3) D.(0,-41),(0,41) 9. 袋中有2个红球和2个白球,红球白球除颜色外,外形、质量等完全相同,现取出两个球,取得全红球的几率是( )A. 61B.21C.31D.3210. 若函数f (x )=3x ²+bx-1,(b ∈R )是偶函数,则f (-1)=( )11. 若等比数列{a n }的前八项和S n =n ²+a (a ∈R ),则a= ( )A. -112.已知sina=21,a ∈(2π,π),则cos (π+a )= ( ) A. -23 21 C.23 D.21 13. 已知函数,则f (x )={0x 100x lgx x ≥,>,,若f (101)=t ,则f (t )=( ) B.101 14. 抛物线y ²=4x 上一点p 到其焦点F 的距离为3,则点p 到y 的距离为( )15直线C 1的方程为x-3y-3=0,直线C 2的倾斜角为C 1的倾斜角的2倍,且C 2经过坐标原点0,则C 2的方程为( ) 3=0 +3y=0B. 3x-y=0 3+y=0二、填空题:本大题共5小题,每小题5分,满分25分。
1高职高考数学模拟试题姓名 :_____________座号 :_____________ 分数 :_____________一.选择题 (共 15 题,每题 5 分,共 75 分1. 设会合 {}2,0,1M =-, {}1,0,2N =-,则=M N ( .A. {}0B. {}1C. {}0,1,2D. {}1,0,1,2-2.设 x 是实数 ,则“ 0>x 是”“ 0||>x 的(”A .充足而不用要条件B .必需而不充足条件C .充要条件D .既不充足也不用要条件3.若 sin 0 α<且tan 0 α>是,则α是 (A .第一象限角B . 第二象限角C . 第三象限角D . 第四象限角4.函数 211lg(-+-=x x y 的定义域为 (A . B. C. D. 5.已知点 33, 1(, , 1(-B A ,则直线 AB 的倾斜角是 (A . 3 πB . 6 πC . 32 πD . 65 π6.双曲线 221102x y -=的焦距为 (A.B.C.D.7.设函数 (???≤+->=0 , 10, x log 2x x x x f , 则 ([]=1f f (8.在等差数列 {n a } 中,已知 2054321=++++a a a a a 那,么 3a 等于 (9.已知过点 , 2(m A -和 4, (m B 的直线与直线 012=-+y x 平行 ,则 m 的值为 (10. 函数 x x cos sin 4y =是 ((A 周期为π2的奇函数 (B 周期为π2的偶函数 (C 周期为π的奇函数 (D 周期为π的偶函数11、设向量 a =(2,-1, b =(x,3 且 a ⊥ b 则 x=(}2|{ ≤ x x }12|{≠≤且x }2|{>x x }12|{ ≠-≥ x x x且3 D.-2 12. 某企业有职工 150 人,此中 50 岁以上的有 15 人, 35~49岁的有 45 人,不到 35 岁的有 90 人 . 为了检查职工的身体健康情况 ,采纳分层抽样方法从中抽取30 名职工 ,则各年纪段人数分别为 ((A 5, 10, 15 (B 5, 9, 16 (C3, 9, 18 (D 3, 10, 1713.已知 01a <<,log log a a x =1log 52a y =,log log a a z =A . x y z >>B . z y x >>C . y x z >>D . z x y >>14. 过点 P(1,2且与直线 013=+-y x 垂直的直线是 (A. 053=+-y xB. 063=+-y xC. 013=-+y xD. 053=++y x15、函数 y=sin(43x +3π的图象平移向量(- 3π,0 后 ,新图象对应的函数为 (A. y=sin(43x +12πB. y=sin(43x +12π 7C. y=sin(43x +3π 2D. y=sin43x二.填空题 (共 5 小题 ,每题 5 分,共 25分16、不等式 32≤-x 的解集为 ____________17.有四张大小、形状完整同样的卡片,卡片上分别写有数字1、 2、 3、 4,从这四张卡片中随机同时抽取两张 ,抽出的两张卡片上的数字都是偶数的概率是.18.已知直线 0125=++a y x 与圆 0222=+-y x x 相切 ,则 a 的值为 .19.函数 ( f x 定义在区间 0, + ∞?? 上 , 且单一递加 ,则知足 31( 12(f x f <- 的 x 取值范围是 20.已知 |a |=1, |b |=2且 (a -b ⊥ a ,则 a 与 b 夹角的大小为三.解答题 (共 4 小题 ,共 50 分解答应写出文字说明、演算步骤或推证过程。
2017年广东省高职高考数学模拟试题一、选择题:(本大题共15小题,每小题5分,共75分。
请把每题唯一的正确答案填入表格内)1、设集合}11{>-=x x M ,集合}4,3,2,1{=N ,则集合=⋂N M ( ) A. }2,1{ B. }3,2{ C. }4,3{ D. }4,3,2{2、2>x 是4>x 的( )A. 充分条件B. 必要非充分条件C. 充要条件D. 既非充分条件又非必要条件 3、函数1+=x y 在区间),1(+∞-上是( )A. 奇函数B. 偶函数C. 增函数D. 减函数 4、不等式011≥-+xx的解集为( ) A. ),1[)1,(+∞⋃--∞ B. ]1,1[- C. ),1[]1,(+∞⋃--∞ D. )1,1[- 5、已知0cos tan <θθ,且0sin tan >θθ,则角θ是( ) A.第一象限角 B. 第二象限角 C. 第三象限角 D. 第四象限角 6、函数15282)(2++--=x x x x f 的定义域是( )A. )5,3(-B. ),5()3,(+∞⋃--∞C. ]5,3[-D. )5,4()4,3(⋃-7、设函数⎩⎨⎧<-≥+=1,21,12)(2x x x x x f ,则=-]3[)(f f ( )A. 5-B. 15C. 11-D. 7 8、已知向量)2,1(=与向量),4(y =垂直,则=y ( ) A. 8- B. 8 C. 2 D. 2- 9、已知两条直线2-=ax y 和1)2(++=x a y 互相垂直,则=a ( ) A. 1 B. 2 C. 0 D. 1-10、函数74)(2+--=x x x f 在区间]4,3[-上的最大值是( )A. 25-B. 19C. 11D. 1011、等比数列}{n a 中,3,9141==a a ,则该数列的前5项之积为( )A. 1±B. 3C. 1D. 3±12、已知数列}{n a 中,31=a ,31+=-n n a a 则=10a ( )A. 30B. 27C. 33D. 3613、函数)(R x x x f ∈+=)64sin(3)(π的最小正周期是( )A. π2B. π4C. π8D. π14、中心在原点,焦点在y 轴上,离心率为23,的椭圆标准方程为( ) A. 12622=+y x B. 1422=+y xC. 16222=+y xD. 1422=+y x 15、在10件产品中有4件次品,现从中任取3件产品,至少有一件次品的概率是( ) A. 52 B. 65 C. 53 D. 61二、填空题:(每小题5分,共5×5=25分。
2017广东数学高考真题
2017广东数学高考真题分析
2017年广东省高考数学试题难度适中,整体考查了基础知识和思维
能力,下面我们对试题进行一一解析。
第一大题
1. 一只船从A渡口出发,开往B渡口,航行了1小时后,因为有事,改变方向,航行至C渡口,整个行程耗时2小时,已知AC=4km,
BC=1km,求AB的长。
解析:根据题意可知航行路径可以构成一个直角三角形,利用勾股
定理即可解答该题。
2. 函数y=2^x, x>0时,试述该函数y=lnx的几何意义,并求其导数。
解析:y=lnx与y=2^x的图像可以分别描述为一个对数曲线和一个
指数曲线,二者关于y=x对称,再结合导数的定义求出y=lnx的导数即可。
第二大题
1. 设一元二次方程 x^2-6x+k=0 的两个根是确定的正数,求k的取
值范围。
解析:该题考查了一元二次方程的根的关系,根据判别式求出k的
取值范围。
2. 已知50正整数中,小于等于200者共27个,小于等于500者有37个,求小于等于800者的数目。
解析:通过集合的交集、并集关系,可以得到50正整数的关系,从而求出小于等于800的数目。
以上是2017年广东数学高考真题的部分解析,希望考生在备考中多加练习,熟练掌握各类题型,高效备战高考。
2017年广东省深圳市三校联考高考数学一模试卷(理科)、选择题(共12小题,每小题5分,满分60分) 1.( 5 分)已知集合 A ={x\x ,4} , B ={x Z |_3, x :::0,则 小 B =()A . {-2 , -1, 0}B . (-1,0)C . {-1 , 0}D . (-3,-2)2. ( 5分)命题“ x ・R , si nx .1 ”的否定是()、, J —x 2 — x +2、、3.(5分)函数y的定义域为()lnxA . (-2,1)B . [一2 , 1]C . (0,1)D . (0 , 1]124. ( 5分)定积分|丄x dx =()2A . 0B .C . 1D . 235.( 5分)函数f(x)=log 2x-7的零点包含于区间()xA . (1,2)B . (2,3)C . (3,4)D . (4,::)6. ( 5 分)已知 a=O.30.3, b=1.2°.3, ^log r2 0.3,则 a , b ,A . c ::: a ::: b“ x 2 -2x -8 0 ”是“ x 5 ”的必要不充分条件,则下列命题正确的是( )A . p qB . p (—q )C . (—p ) (—q )D . (_P )q& ( 5分)已知f (x )二4 -x 2 , g (x )=|x-2|,则下列结论正确的是 ()A . h(x) = f (x) g(x)是偶函数B . h(x) =f (x)|_g (x)是奇函数C . h(x) =g(x)U f(x)是偶函数2 —x D . h(x) 幻是奇函数2 —g(x )A . x R , sinx, 1B . 一x R , sinx . 1C . -l x 三 R , sinx = 1D . 一x 三 R ,sinx, 1c 的大小关系为( D . a ■. c ::: b7 . ( 5分)已知命题 p :不等式ax 2 ax 10的解集为 R ,则实数 a (0,4);命题q19. (5分)函数y 的一段大致图象是()sin x -xA . B.第3页(共17页)x R 都有f (x 6) f (x) =2f (3), y#x( 1 的图象关于点(1,0)对称,且f ( 4) = 4,贝U f (2012)=()B.—4 C.—8D. -16x 211. (5分)若函数f (x) = e (x ax b)有极值点x , x?(X i :::X2),且f (X i) = X i,则关于x 的方程f (x),(2 a)f(x) a 5=0的不同实根个数为C. 412 . ( 5分)定义区间[為,X2]的长度为(a a)X_1(^ R,a=0)的定义域与值域都是X2 -x(x yx ) 1单调递增,函数f(x) 2a x 最大长度时实数[m , n](n m),则区间[m , n]取a的值( )A .二3二、填空题B. -3C. 113.(5分)14.(5分)15.(5分)16 . (5分)(本大题共4小题,每小题5分,满分20分.)lg8 Ig125 -Ig2 -Ig5 _lg .10Jg0.11 -Iog2(2 -x)(x ::2)设函数 f (x) 2 3 ,则f(f (3))= ____________ .}2 +3(x …2)L 2设函数f(x)二区马沁的最大值为M,最小值为m,则M 5 =x +4在平面直角坐标系xOy中,直线y =x b是曲线y = alnx的切线,则当a 0时,实数b的最小值是______ •二、解答题(解答须写出文字说明、证明过程和演算步骤. )2 217. ( 12 分)设p :实数x 满足x -4ax 3a ::: 0,q :实数x满足|x 一3| :::1 .(1 )若a =1,且p q为真,求实数x的取值范围;(2)若a .0且-p是-q的充分不必要条件,求实数a的取值范围.118. (12分)已知函数f(x) =(—)ax, a为常数,且函数的图象过点(-1,2).2(1 )求a的值;(2)若g(x) =4丛_2,且g(x) = f (x),求满足条件的x的值.3 219. (12分)已知三次函数f(x)=x bx cx d(a , b , c R)过点(3,0),且函数f (x)在点(0 , f(0))处的切线恰好是直线y =0 .(1)求函数f (x)的解析式;(2)设函数g(x) =9x m -1,若函数y = f (x) —g(x)在区间[_2 , 1]上有两个零点,求实数m的取值范围.a20. (12 分)已知函数f (x)满足f(log a X)=p (x-x」)(其中a . 0 , a=1)a -1(I)求f (x)的表达式;(n)对于函数f (x),当(-1,1)时,f (1-m) • f (1-m2) :::0,求实数m的取值范围;(川)当(-::,2)时,f(x) -4的值为负数,求a的取值范围.21. (12分)设f (x) =(x a)lnx,曲线y = f(x)在点(1 , f (1))处的切线与直线2x y ^0x +1垂直.(1 )求a的值;(2 )若-x • [1,•: :) , f (x), m(x -1)恒成立,求m 的范围.___ n i(3)求证:ln4 2n 1 2 (n N*).i 4i —1[选修4-1:几何证明选讲]22. (10分)如图,AB是圆O的直径,AC是弦,• BAC的平分线AD交圆O于点D ,DE _ AC,交AC的延长线于点E , OE交AD于点F .(1)求证:DE是圆O的切线;(2)若ZCAB =60 , L O的半径为2, EC =1,求DE的值.DO[选修4-4 :坐标系与参数方程]23. 在平面直角坐标系中,直线I过点P(2,3)且倾斜角为二,以坐标原点为极点,x轴的非负半轴为极轴,建立极坐标系,曲线C的极坐标方程为:「=4cos( ),直线I与曲线3C相交于A,B两点;(1)求曲线C的直角坐标方程;(2)若| AB |二13,求直线I的倾斜角:-的值.[选修4-5:不等式选讲]24. 设函数f (x)斗2x —7| 1 .(1 )求不等式f(x), x的解集;(2)若存在x使不等式f (x) 一2 I x _1|, a成立,求实数a的取值范围.第5页(共仃页)2017年广东省深圳市三校联考高考数学一模试卷(理科)参考答案与试题解析一、选择题(共12小题,每小题5分,满分60分)1.( 5 分)已知集合 A ={X |X 2:::4} , B 二{x WZ | _3, x :::1},则 小 B =()B ={ x Z | -3, X ::: 1} ={ < , 则 A 「|B 二{_1, 0}. 故选:C .2. ( 5分)命题“ R , si nx 1 ”的否定是【解答】 解:命题是特称命题,则命题的否定是: 一x 0, sinx, 1 , 故选:D ._X 2 _ X ■罷 13. ( 5分)函数y = 的定义域为【解答】解:由题意得:-X 2_X 2・0,即-2剟x 曰1X 0且lnx -0 X 0且x =1解得:0 ::: X <1, 故选:C .4. ( 5分)定积分C .1 c【解答】解:定积分! X dx故选:B .5. ( 5分)函数f (x )=log 2x-7的零点包含于区间()XA . {_2 , -1 , 0}B .(-1,0)C . {-1 , 0}(-3, -2)【解答】解:集合A={X |X 2:::4} ={X | :::::-2 , -1 , 0},A . X R , sinx, 1B . 一x 三 R , sinx 1C .sin x =1 D .一 x R , sinA . (-2,1)B .[-2 , 1]C . (0,1)(0 , 1]lnx1【解答】解:函数f (x) =log 2x -7在(0, •::)上连续,x77 1f (3)= log 2 30 ; f (4) = log 2 40 ;34 4故函数f (x) =log 2X 一7的零点所在的区间是 (3,4).X 故选:C .0 30 36. ( 5 分)已知 a=0.3.,b =1.2 ',c=log i.2 0.3,则 a ,b ,c 的大小关系为()A . c ::: a ::: bB . c ::: b .. aC. a :: b :: cD. a ■ c ::: b【解答】 解:a =0.30.3 €(0,1) , b=1.20.3>1 , c=log 1.2 0.3 c 0 , .c ::: a ::: b , 故选:A . 7.(5分)已知命题 p :不等式ax 2 ax 1 0的解集为 R ,则实数 a (0,4);命题q “ x 2 -2x -8 0 ”是“ x 5 ”的必要不充分条件,则下列命题正确的是 ( )A . p qB . p (—q)C . (一p) (-q)D . (一p) q【解答】解:命题p :不等式ax 2 ax 1 0的解集为R , a = 0时,可得1 ■ 0恒成立;a = 0时,可得:a 月 ,解得0 ::: a :::4 ,综上可得:实数a ・[0 , 4),因此p 是假命a -4a ::: 0题;命题q : x 2 —2x -8 • 0 ,解得x 4或x ::: -2 .因此“ x 2 —2x 「8 0 ”是“ x 5 ”的必要不充分条件,是真命题. 下列命题正确的是(一p) q . 故选:D .&( 5分)已知f(x)=;;;4-x 2 , g(x)鬥x-2|,则下列结论正确的是( )A . h(x)二 f (x) • g(x)是偶函数B . h(x) =f (x)Lg (x)是奇函数A • (1,2)B • (2,3)C . (3,4)D . (4,::)C . h(x) =g(x)U f(x)是偶函数2 —x1D . h(x) 竺是奇函数2—g(x )【解答】解:f(x) = 4 -x 2 , g(x)=|x-2|,A . h(x)二 f (x) g(x) = .4 —x 2 |x —2|二 4 — x 2 2 —x , x“-2 , 2].h( _x) »4 —x 22 x ,不满足函数的奇偶性的定义,是非奇非偶函数.B . h(x)二 f (x)|_g(x) = 4-x 2|x-2|二 4 -x 2(2 -x) , x 二[一2 , 2].h( _x) = :;;4 -x 2 (2 x),不满足奇偶性的定义.= J4-x 2 , x [_2 , 2)不满足函数的奇偶性定义.图象关于原点对称,C . h(x ),(x)U f(x)2 —xD . h(x)f(x)-2—g(x ),x 三[-2 , 0) _ (0 ,x2],函数是奇函数.段大致图象是(9.故选:D .--f (x),-y = f (x)为奇函数,•当x 二二时,y 0,10. (5分)已知函数f(x)对任意xWR都有f (x+6)+ f (x) =2f (3), y #x()的图象关于点(1,0)对称,且f ( 4) =4,贝U f(2012)=( )A . 0 B. -4 C. -8 D. -16【解答】解:因为函数y = f(x_1)的图象关于点(1,0)对称,所以函数y = f (x)的图象关于点(0,0)对称,即函数y =f(x)是奇函数,令x=_3得,f(_3 6) f(_3)=2f (3),即 f (3) —f ( 3) =2f (3),解得f (3) = 0 .所以 f (x 6) f (x) =2f (3) = 0 , 即卩f (x 6) =_f(x),所以f(x 12^f(x),即函数的周期是12.所以f(2012) =f(12 168 _4) =f (/) - _f (4) - -4 .故选:B .x 211. (5分)若函数f (x)二e (x ax b)有极值点x , X2 (洛:::X2),且f (为)=洛,则关于x的、2方程f (x) • (2 a)f (x) a • b =0的不同实根个数为()A . 0B . 3 C. 4 D. 5【解答】解:函数f(x)有两个不相同的极值点,x 2即f (x) =e [x (2 a)x a b^0有两个不相同的实数根x , X2,也就是方程x (2 a)x a,b=0有两个不相同的实数根,所以△ =(2 a)2 -4(a b) 0 ;由于方程f2(x),(2 a)f(x) a ^0的判别式△丄△,故此方程的两个解为f(x) =X1或f(x)=疋.由于函数y = f (x)的图象和直线y =为的交点个数即为方程 f (x)=人的解的个数,函数y = f (x)的图象和直线y = x2的交点个数即为方程 f (x) =x2的解的个数.根据函数的单调性以及 f (x) ,可知y =f(x)的图象和直线y 的交点个数为2,y = f (x)的图象和直线y =X2的交点个数为1.。
2017年广东省高等职业院校招收中等职业学校毕业生考试
数学试卷
一、选择题:本大题共15小题,没小题5分,满分75分.在每小题给出的四个只有一项是符合题目要求的. 1.已知集合}5,4,3{},4,3,2,1,0{==N M ,则下列结论正确的是 A.
N M ⊆ B. N M ⊇
C. {}
4,
3=N M D. {}
5,2,1,0=N M 2.函数x
x f +=
41
)(的定义域是
A. ]4,
(--∞ B. ()
4,-∞- C. ),4[+∞- D. ),4(+∞- 3.设向量a = )4,
(x ,b = )3,2(-,若a .
b ,则x= A. -5 B. -2 C. 2 D. 7 4.样本5,4,6,7,3的平均数和标准差为
A. 5和2
B. 5和2
C. 6和3
D. 6和3 设0>a 且y x a ,,1≠为任意实数,则下列算式错误..的是 A. 10
=a B. y
x y
x
a
a a +=⋅
C. y
x y x a a
a -= D. 22)(x x a a =
5.设)(x f 是定义在R 上的奇函数,已知当32
4)(时,0x x x f x -=≥,则f(-1)=
A. -5
B. -3
C. 3
D. 5
6.已知角θ的顶点与原点重合,始边为x 轴的非负半轴,如果θ的终边与单位圆的交点为)5
4,53(
-P ,则下列等式正确的是
A. 53sin =
θ B. 54cos -=θ C. 34tan -=θ D. 4
3
tan -=θ 7.“4>x ”是“0)4)(1(>--x x ”的
A. 必要非充分条件
B. 充分非必要条件
C. 充分必要条件
D. 非充分非必要条件 8.下列运算不正确的是 A. 1log log 52102=- B. 15
252102log log log =+
C.
120= D. 422810=÷
9.函数x x x x x f sin 3sin cos 3cos )(-=的最小正周期为
A.
2π B. 3
2π C. π D. π2 10.抛物线x y 82
-=的焦点坐标是
A. (-2,0)
B. (2,0)
C. (0,-2)
D. (0,2)
11.已知双曲线162
22=-y a
x (a>0)的离心率为2,则a= A. 6 B. 3 C.
3 D. 2
12.从某班的21名男生和20名女生中,任意选一名男生和一名女生代表班级参加评教座谈会,则不同的选派方案共有
A. 41种
B. 420种
C. 520种
D. 820种 13.已知数列}{n a 为等差数列,且1a =2,公差d=2,若k a a a ,,21成等比数列,则k= A. 4 B. 6 C. 8 D. 10 14.设直线l 经过圆02222
=+++y x y x
的圆心,且在y 轴上的截距1,则直线l 的斜率为
A. 2
B. -2
C. 21
D. 2
1
- 15. 已知函数x e y =的图象与单调递减函数R)f(x)(x =y ∈的图象相交于(a ,b ),给出的下列四个结
论:①b a
ln =,②a b ln =,③,b a f =)(④ 当x>a 时,x
e x
f <)(. 其中正确的结论共有
A. 1个
B. 2个
C. 3个
D. 4个
二、填空题:本大题共5小题,每小题5分,满分25分.
16.已知点)4,3(),10,7(),0,
0(--B A O ,则设a =OB OA +,则a
= .
17.设向量a =(2,3sin θ), b =(4,3cos θ),若a //b ,则tan θ= .
18.从编号分别为1,2,3,4的4张卡片中随机抽取两张不同的卡片,它们的编号之和为5的概率是 . 19.已知点A (1,2)和点B (3,-4),则以线段AB 的中点为圆心,且与直线x+y=5相切的圆的标准方程是 .
20.若等比数列{}n a 的前n 项和1
n 3
13--
=n
S ,则{}n a 的公比q= .
三、解答题:本大题共4小题,第21~23题各12分,第24题14分,满分50分. 解答须写出文字说明、证明过程和演算步骤. 21.(本小题满分12分)
如图, 已知两点A (6,0)和点B (3,4),点C 在y 轴上,四边形OABC 为梯形,P 为线段OA 上异于端点的一点,设x OP =.
(1)求点C 的坐标;
(2)试问当x 为何值时,三角形ABP 的面积与四边形OPBC 的面
积相等? 22.(本小题满分12分)
设ABC ∆的内角C B A ,,的对边分别为,,,c b a 已知a=2,b=3,c=5.
(Ⅰ)求sinC 的值;
(Ⅱ)求cos(A+B)+sin2C 的值. 23.(本小题满分12分)
已知数列{}n a 是等差数列,n S 是{}n a 的前n 项和,若26,16127==a a . (1)求n a 和n S ; (2)设2
S 1
+=
n n b ,求数列{}n b 的前n 项和为n T .
24.(本小题满分14分)
如图,设21,F F 分别为椭圆C :
1a
16a
2
2
2
2
=-+
y x (a>0)的左、右焦点,且22F F 21=.
(1)求椭圆C 的标准方程;
(2)设P 为第一象限内位于椭圆C 上的一点,过点P 和
2F 的直线交y 轴于点Q ,若21QF QF ⊥,求线段PQ 的长。