浙大自动控制元件作业
- 格式:doc
- 大小:542.50 KB
- 文档页数:5
浙江大学远程教育学院《自动控制元件》课程作业答案第一章习题1-1由负载总转矩决定习题1-2稳态电磁转矩、控制电流(电枢电流)不变;转速升高。
习题1-380.5 mN ·m习题1-6电枢电流减少;电磁转矩减少;转速升高。
第二章习题2-4空载输出电压 53 V ;输出电流 0.01667 A第三章习题3-82-2通电,步距角 1.5º;2-3通电,步距角 0.75º习题3-10步距角 1.8º/0.9º单双八拍运行时,起动转矩为 0.1N ·m ;步距角 0.9º双四拍运行时,起动转矩为 0.1N ·m ;步距角 1.8º单四拍运行时,起动转矩为 0.0707N ·m ;步距角 1.8º第四章习题4-6cos sin sin s c x y s x y U U U U U U co θθθθ=+=-+习题4-8(1)21θθ= (2)5γ=-,负号表示逆时针。
第五章习题5-421θθθ=-,若21θθ-大于0,顺时针转;21θθ-小于0,逆时针转;21θθ-等于0,不转。
习题5-6(1) 逆时针方向;(2) 逆时针方向转过20°;(3) 不做(4) -20°(逆时针)习题5-70124.44sin()E fW θθ=Φ⋅-f 为激磁电源交变频率;W 为自整角变压器输出绕组有效匝数;Φ为自整角变压器的主磁通。
第六章习题6-8幅值控制、相位控制、幅相(复合)控制。
习题6-13控制信号(电压)消失时,伺服电动机不能停转,这种现象称为自转现象。
见书中图6-28实线所示机械特性。
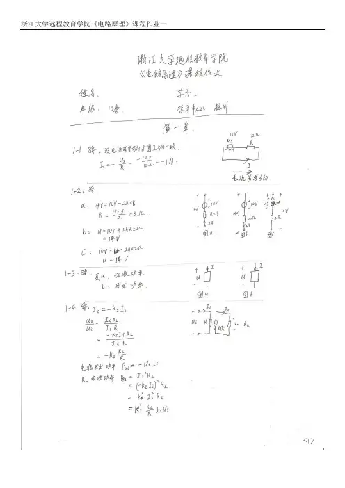
第一章1-1. 在题图1-1中,若电压源12S U V =,电阻12R =Ω,试在图示参考方向下求支路电流I 。
解:12÷12=1A因电流与电压方向不一致,所以I= -1A1-2. 求图1-2各支路中未知量的值。
1-3. 在题图1-3a 、b 所规定的参考方向下,若电压U 和电流I 的代数值均为正,试分析两个网络实际发出还是吸收功率?题图1-1U s题图1-3IIUUab=?4V2Ω10VΩac题图1-21-4. 题图1-4是一个简化的晶体管电路,求电压放大倍数0/i U U ,再求电源发出的功率和负载L R 吸收的功率。
1-5. 题图1-5所示电路中,电流源6S I A =,电阻11R =Ω,22R =Ω,33R =Ω,46R =Ω,求电流0I 。
1-6. 题图1-6所示电路中,已知电流源S I 发出功率为4W ,试求电阻R 的值。
题图1-42Ω题图1-51-7. 题图1-7所示电路中,电压源分别为1E =6V ,2E =8V ,R=7Ω,试求电流I 。
1-8. 在题图1-8所示电路中,已知电流源1S I =2A ,2S I =1A ,R=5Ω,1R =1Ω,2R =2Ω,试求电流I 、电压U 为多少?1-9. 题图1-9所示电路中,电流源S I 及其内阻0R 为定值,改变负载电阻R ,求R 为何值时它可获得题图1-7题图1-81-10.题图1-10电路中,1S I =0.5A ,S I =1A ,控制系数r=10,电阻R=50Ω。
方框内为任意电路(设不短路),试求电流I ?1-11.电路各参数如题图1-11所示,求输入电阻i R 。
题图1-10题图1-9I3II I1-12. 电路各参数如题图1-12所示,试求电流I 为多少?1-13.题图1-13所示电路中,电压源E 1=24V ,E 2=20V ,α=50,R=50Ω,R 1=500Ω,试求ab U 和U 。
1-14. 题图1-14所示电路中,已知电流表的读数A 1=5A ,A 2=1A ,试求电压源E 的值及流经电压源的电流I 为多少?题图1-12题图1-131-15.如题图1-15所示电路中,S U 发出功率为36W ,电阻1R 消耗的功率为18W ,试求S U 、2R 、3R 的值。
一、某放大电路经过测试得到如图1所示的电路结构,管子型号已经无法看清,可能是双极型管,也可能是单极型管。
画出两种可能的管子号(要标明相应的管脚位置)图1二、在图2所示电路中,晶体管的β=100,饱和管的压降V CES=0.3V;静态时b-e之间的电压V BEQ=0.7V,电阻R b1中的电流远大于晶体管的基极电流。
1.电路正常工作时,它是一个什么组态的放大电路?2.请列出电路正常工作时的电压放大倍数A v=v o/v i表达式。
3.列出电路中的输入电阻R i和输出电阻R o表达式。
4.当发生表中所列某一故障时,晶体管的b、c极的直流电位V BQ、V CQ约等于多少?晶体管处于什么状态(放大、饱和、截止)?将答案填入表格的相应位置。
图2故障原因V B/V V C/V 状态R c短路R b2开路R e短路R L开路三、由理想运放A1,A2组成的反馈放大电路如图所示,设A1,A2输出电压的最大幅值为±12V。
已知输入电压为0.1V。
1.A1和A2分别组成何种运放电路?2.计算输出V o=V o1-V o2的值3.若电阻R1开路,计算V o的值4.若电阻R1短路,计算V o的值5.计算该运算电路的输入电阻R if.四、数电基本知识题1.进制数和代码间转换(85)10=()2=()8421(1100100)2=()8=()10=()162.将函数F=f(A,B,C)=AC+A B+BC(B表示B非)化为最小项之和表达式3.将函数F= f(A,B,C)=AC+ A B+BC用卡诺图表示(填在卡诺图上)五、有一个共阴极的半导体数码管(LED),共六段,分别用P1,P2,P3,P4,P5,P6表示,如图所示。
二位二进制计数器的初始状态Q1Q为“00”,试设计一个译码电路,在CP的脉冲下,使数码管轮流显示汉字“十”、“口”,“日”,“田”字型。
要求:1.列出译码器真值表;2.写出P1,P2,P3,P4,P5,P6段的最简与或逻辑函数表达式。
自动控制原理大作业题目:自动控制原理大作业专业班级:姓名:学号:MANUTEC机器人具有很大的惯性和较长的手臂,其实物如下图所示。
机械臂的动力学特性可以表示为Go(S)=(1)(0.251)Ks s s++根轨迹分析开环传递函数Go(S)=(1)(0.251)Ks s s ++=*(1)(4)K s s s ++这里 *K =4K所以 无零点有三个极点,P1=0,P2=-1,P3=-4。
均在实轴上。
渐近线与实轴的夹角 (21)k a n mπϕ+=-ϕ1=3πK=0ϕ2=π K=1ϕ3=53πK=2 与实轴交点δa=1n mi j iPi Zj n m==--∑∑=-53分离点111014dd d ++=++解得d1=-0.465,d2=-2.869(舍去) 与虚轴的交点令G(S)H(S)+1=0 解得*K =20,W=±2(负舍)。
所以0< *K <20时(0<K<5),系统是稳定的,当 *K >20时(K>5),系统不稳定。
根轨迹如图所示Matlab仿真如下图所示时域分析系统的闭环传递环数()()()1()()G S H S s G S H S ϕ=+=*(1)(4)K S S S ++这里取*K =4当输入为阶跃函数时,输出C (S )为 C (S )=ϕ(s )R(S)=2(1)(4)S S S 10++,此时为四阶函数,不会进行拉普拉斯反变换,只能利用Matlab 仿真来进行时域分析。
经Matlab 分析得,上升时间Tr=2.425 S 峰值时间Tp=3.75 S 超调量δ=0.2779调节时间Ts=8.29(V =5%) Ts=11.29(V =2%)频域分析取K=2.5,则2.5()(1)(0.251)G s S S S =++2.5()(1)(0.251)G wj wj wj wj =++()A wj =()0()24wwj arctw arctπϕ=-++开环系统由四个典型环节串联而成:非最小相位比例环节,一个积分环节,两个惯性环节。
浙大远程机电运动控制系统作业必做答案 HEN system office room 【HEN16H-HENS2AHENS8Q8-HENH1688】机电运动控制系统(习题集)必做作业1.直流电机有哪些调速方法根据其速度公式说明之, 并说明如何釆用电力电子手段实现。
答: 根据直流电机速度公式 φφe a a a e C I R U C E n -== , 有 (1) 电枢电压 U a 控制 - 调压调速 (向下调速)采用电力电子手段时,有晶闸管可控整流器供电和自关断器件H 型桥脉宽调制(PWM)供电等方式, 其损耗小,控制性能好。
(2) 磁场φ 控制 - 弱磁(向上调速),采用电力电子手段时,有晶闸管可控整流器供电励磁控制。
(3)由于运行损耗大、效率低, 一般不再釆用串 R a 调速。
2. 画出双闭环晶闸管—直流电动机不可逆调速系统电原理图(非方块图),须清楚表达两个闭环的关键元件,写出各部分名称,标注有关信号量;指出两闭环连接上的特点及相互关系。
答:双闭环晶闸管—直流电动机不可逆调速系统电原理图如下:两闭环连接上的关系是速度调节器的输出作为电流调节器的输入,这就使得该系统具有由速度调节器的输出限幅值确定了电流环的给定值,进而确定了系统的最大电流的特点。
3.分析双闭环晶闸管—直流电动机不可逆调速系统:(1) 如果要改变转速,应调节什么参数为什么(2) 如要控制系统的起动电流、确保系统运行安全,应调节什么参数为什么答: (1) 改变转速时只能改变速度调节器的输入u g ,因为它是速度环的指令信号。
改变速度调节器的参数对稳态速度无调节作用,仅会影响动态响应速度快慢。
(2) 要控制系统的起动电流、确保系统运行安全,应调节速度调节器的输出限幅值。
因为速度调节器的输出限幅值确定了电流环的给定值,进而确定了系统的最大电流。
4. 填空 : 双闭环晶闸管━直流电动机调速系统中,内环为_电流_环,外环为_速度_环,其连接关系是:_速度调节器_的输出作为_电流调节器_的输入,因此外环调节器的输出限幅值应按_调速系统允许最大电流_ 来整定;内环调节器的输出限幅值应按_可控整流器晶闸管最大、最小移相触发角_来整定。
第一章 直流伺服电动机1-1直流伺服电动机的电磁转矩和控制电流由什么决定?答:a :由T em =C m ΦI a 知电磁转矩由每极磁通量和绕组电流大小决定。
b :由T em =T 0 +T 2 =CmΦIa 控制电流由负载转矩(T 2)和空载转矩(T 0)大小决定。
1-2当直流伺服电动机的负载转矩恒定不变时,控制电压升高将使稳态的电磁转矩、控制电流、转速发生怎样的变化?为什么?答:a :电磁转矩T em =T 0 +T 2可见电磁转矩也不变。
由T em =C m ΦI a 知控制电流I a 也不变b :KeKtRaTemKe Ua n -=知T em 不变可见U a 转速升高理想空载转速变大导致转速n 升高。
1-3已知一台直流电动机,其电枢额定电压Ua=110V ,额定运行时电枢电流Ia=0.4A ,转速n=3600rpm ,它的电枢电阻Ra=50欧姆,负载阻转矩To=15mN.m 。
试问该电动机额定负载转矩是多少? 答:Ea= Ua- IaRa=110-0.4×50=90V Ea=Ce Φn, Ce=0.105Cm Cm Φ=0.23836000.10590n 105.0=⨯=⨯EaT em =T 0 +T 2=CmΦIa→T 2=CmΦIa -T 0 =0.40.238=0.0952-15×10-3=80.2mN.m1-6当直流伺服电动机电枢电压、励磁电压不变时,如将负载转矩减少,试问此时电动机的电枢电流、电磁转矩、转速将怎样变化?并说明由原来的状态到新的稳态的物理过程。
答:磁转矩T em =T 0 +T 2可见T 2 ↓电磁转矩也↓。
由T em =C m ΦI a 知控制电流I a ↓ Ea= Ua- IaRa 可见I a ↓知Ea↑,由Ea=Ce Φn 知Ea↑知n ↑ 第二章 直流测速发电机2-4某直流测速发电机,其电枢电压U=50V ,负载电阻R L =3000Ω,电枢电阻Ra=180Ω,转速n=3000rpm ,求该转速下的空载输出电压Uo 和输出电流Ia 。
.【全部章节】1惯性环节2积分环节3比例积分环节4比例积分微分环节, 其中属于典型环节的是:• A 13• B 234• C 123• D 1234•单选题2.【全部章节】理想运算放大器的满足条件不包括:• A 放大倍数为无限大• B 开环输入阻抗为0,输出阻抗无限大• C 通频带无限大• D 输入输出呈线性特性•3.【全部章节】下列不属于测试控制系统频率特性的方法的是:• A 劳斯判据• B 输人输出曲线直接记录法• C 李沙育图形法• D 补偿法•单选题4.【全部章节】控制系统性能分析,一般不包括:• A 快速性• B 准确性• C 稳定性• D 可实现性•5.【全部章节】利用matlab进行控制系统实验属于:• A 物理仿真• B 半物理仿真• C 数字仿真• D 实物验证•单选题6.【全部章节】伺服电机由于要克服摩擦和负载转矩,需要有一定的启动电压,这反映了电机的:• A 齐次性• B 饱和特性• C 继电器特性• D 死区特性•7.【全部章节】不属于非线性特性的是:• A 齐次性• B 饱和特性• C 继电器特性• D 死区特性•判断题8.【全部章节】系统的非线性特性只有坏处。
•正确错误•判断题9.【全部章节】微分方程模拟的基本原理就是采用逐项微分法。
•正确错误•判断题10.【全部章节】输入信号为单位冲激函数时,求出系统的输出响应,称为单位阶跃响应。
•正确错误•判断题11.【全部章节】随动系统又称伺服系统或伺服机构。
•正确错误•判断题12.【全部章节】齐次性和叠加性是系统的非线性特征。
•正确错误•判断题13.【全部章节】在MATLAB命令窗口内输入a=10:5:20,则a的值是 [10 15 20]。
•正确错误•判断题14.【全部章节】Simulink是对动态系统进行建模、仿真和分析的一个软件包。
•正确错误•判断题15.【全部章节】Bode图、Nyquist曲线都是分析系统频率响应的工具。
浙江大学远程教育学院《自动控制元件》课程作业—————————————————————————————第一章直流伺服电动机1-1直流伺服电动机的电磁转矩和控制电流由什么决定答:电磁转矩T em=C mΦI a 由每极磁通量和绕组电流大小决定。
控制电流由负载转矩大小决定。
1-2当直流伺服电动机的负载转矩恒定不变时,控制电压升高将使稳态的电磁转矩、控制电流、转速发生怎样的变化为什么答:(1)控制电流由负载转矩大小决定,不变。
(2)电磁转矩T em=C mΦI a 可见电磁转矩也不变。
(3)Ua-Ua0=Ea=CeΦn,可见转速变大。
1-3已知一台直流电动机,其电枢额定电压Ua=110V,额定运行时电枢电流Ia=0.4A,转速n=3600rpm,它的电枢电阻Ra=50欧姆,负载阻转矩To=。
试问该电动机额定负载转矩是多少解:Ea=Ua-IaRa=*50=90VEa=CeΦnCe=0.105Cm得:90=0.105CmΦ*3600 则CmΦ=T2+T0=Tem= CmΦIa代入得:T2=**10-3=1-6当直流伺服电动机电枢电压、励磁电压不变时,如将负载转矩减少,试问此时电动机的电枢电流、电磁转矩、转速将怎样变化并说明由原来的状态到新的稳态的物理过程。
解:Ea=Ua-IaRa=CeΦnTem=T2+T0=CmΦIa电枢电流由负载转矩决定。
可得:电枢电流减小、电磁转矩减小、转速增大。
第二章直流测速发电机2-4某直流测速发电机,其电枢电压U=50V,负载电阻R L=3000Ω,电枢电阻Ra=180Ω,转速n=3000rpm,求该转速下的空载输出电压Uo和输出电流Ia。
解:U0=Ea/(1+Ra/Rf)=Ia=U0/Rl=3000=0.015A第三章步进电动机3-8某五相反应式步进电动机转子有48个齿,试分析其有哪几种运行方式及对应的步距角,并画出它们的矩角特性曲线族。
解:步矩角:2π/(48*5)=π/120五相单5拍五相双5拍五相三拍五相四拍3-10四相反应式步进电动机,转子有50个齿,试计算各种运行方式的步距角。
紧急通知本资料由浙江大学控制科学与工程学院16届专业课129分学长,也就是我本人亲自整理编排而成。
大家可以叫我学长,年龄比我大的辞职考的可以叫我小弟。
资料不同于市面上那些看起来非常诱人实则是粗制烂造的资料,而是以一个考过845自控的过来人的经验,完全从学生的体验出发,做到资料最全,资料最好,资料最精致。
全套资料包括葵花宝典一到葵花宝典九共九本资料,每本资料都是我精心编辑整理的,并做了精美的封面,一共650页完美打印发给大家,大家把这650从头到尾肯透了,再做下我推荐的几本资料书(16年有一道15分的大题就是上面的类似题,第三问很多高手都没做出来,注意不是周春晖那本哈),可以说完全没问题了。
这是其它卖家不可能做到的。
同时赠送845自控全套电子资料。
葵花宝典一完全由我本人原创,里面包含了考浙大845自动控制原理的全部问题,比如考多少分比较保险,怎么复习,有哪些好的资料书,最近几年考题变化及应对策略,浙大常考题型,招生名额,复试资料,导师联系,公共课复习用书及方法以及845近年命题风格分析等一系列问题,全是我的心得和经验,方法,技巧等,说句心里话,我自己都觉得这些资料非常宝贵,能帮助学弟学妹们少走很多弯路。
注意:前面是一些关于我的故事,有些地方可能对你有用,如果不感兴趣,可以直接拉到后面去看,资料清单和图片都在后面。
学长自我介绍学长姓邓,名某某,男,本科于14年毕业于四川大学电气信息学院自动化专业,考浙大控制考了3次,14年大三时第一次考浙大控制总分没过线。
当时我们学校有三个同学征战浙大控制科学与工程,结果全军覆没,只有我一人过了300分,由此可见考浙大控制还是很有难度的,其中一个难点就是专业课的信息和专业课的命题走向的获取,当时我们都不是很清楚,蒙着头自己学,去图书馆借了很多自动控制原理的资料书来看,我自我感觉学得还不错,当时我一个同学考电子科大的自动化,经常跑来问我自控的问题,我基本都能给他解答出来,他说我好牛逼,觉对没有问题,然而最后的结果是他考电子科大自动控制原理137,而我只考了96分。
控制理论第五章习题5-1 设一线性系统的传递函数为s2 4s 20 (s 2 j4)(s 2 j4)5-1试绘制该系统的幅频和相频特性曲线。
解令s j2,代入式(5-1),得10(j2 1)(j2 2 j4)(j2 2 j4)10詣 63.4(,40 71.6 )(.8 45 )上述结果表明,2时,频率特性的幅值G(j2) 1.25,相角36.8。
给出不同的频率值,重复上述的计算,就可求得对应的一组G(j )和()值。
据此,也可由下面的MATLAB函数绘制出图5- 2所示的幅频特性曲线和相频特性曲线。
function exe51G=tf(10*[1,1],[1,4,20] ;X=[];Y=[];w=logspace(-1,1,100) ;[x,y,w]=bode(G);%X=[X,x'];Y=[Y,y'];figure(1),plot(w,x(:)),axis([0,10,0,3]),xlabel( '频率(弧度)'),ylabel(幅值’);figure(2),plot(w,y(:)),axis([0,10,-120,40]),xlabel( '频率 (弧度)'),ylabel('相角')G(j2) 1.25 36.85-2 试绘制下列开环传递函数的奈奎斯特曲线:解该开环系统由三个典型环节串联组成: 一个比例环节G 1(s) K 、两个一阶惯性环G(s)H(s)10(1 s)(1节G 2 (s) 丄和1 s G 3(S )1。
这三个环节的幅、相频率特性分别为 0.1sG(j 10G 2(j1e j arctg 一厂2G 3(j1 j0.1j arctg0.1-e .1 (0.1 )2因而开环系统的幅频特性为G(j )H(j10 1 2 .1 (0.1 )2相频特性为() arctg arctg 0.1取不同的频率值,可得到对应的幅值和相角,根据这些值可得图 5-3所示的开环系统的图5-3开环系统的奈氏图Nyquist DiagramsFrom: U(1)Real Axis奈氏图。
一、 设计任务书设计任务是考虑到飞机的姿态控制问题,姿态控制转换简化模型如图所示,当飞机以4倍音速在100000英尺高空飞行,姿态控制系统的参数分别为:4,0.1,0.1,0.111====a a aK ωεωτ设计一个校正网络(),s G c 使系统的阶跃响应超调量小于5%,调节时间小于5s (按2%准则)2、计算机辅助设计(1)simulink仿真框图Simulink仿真框图双击scope显示图像,观察阶跃相应是否达到指标放大图像观察超调量为s t s p 7.4%,3==σ满足要求(2)绘制bode 图校正前的bode图校正后的bode图(3)绘制阶跃相应曲线校正前的阶跃相应曲线校正后的阶跃相应曲线三、校正装置电路图前面为放大装置放大25倍,后面为超前补偿电路,它自身的K 为0.1,相乘之后为指标中的2.5,校正装置电路完成160)16(5.2++=s s G c 。
四、设计结论设计的补偿网络为160)16(5.2++=s s G c 。
经过仿真得出超调量为s t s p 7.4%,3==σ满足要求。
五、设计后的心得体会实际的控制系统和我们在书中看到的标准系统差别很大,参数的要求比书中要求相对要苛刻,在设计校正网络的过程中,遇到很多困难超前滞后用根轨迹法无法求出,只能用simulink 画出仿真框图,通过经过一定的计算大概确定某些参数,通过不断地尝试修改,才能最终得到满足指标要求的阶跃相应曲线,很多时候现实中的参数没有书中的参数给的那么简单,会遇到很多难以想象的复杂状况,所以我们学习控制原理关键是学习怎么处理,如何应用好软件来配合完成系统的设计,现代控制理论不能单纯的通过简单的计算得出结论的,需要我们熟练运用软件来辅助设计,这样我们才能设计好一个校正网络。
附录:绘制bode图程序:g1=tf(16*[1.1],[1,2,16,0]);margin(g1)g2=tf(400*[1,7,6],[1,62,136,960,0]); margin(g2)绘制阶跃相应程序g1=tf(16*[1.1],[1,2,16,0]);h=tf([1],[1]);gc1=feedback(g1,h);t=0:0.01:10;step(gc1,t);gridg2=tf(400*[1,7,6],[1,62,136,960,0]); h=tf([1],[1]);gc2=feedback(g2,h);t=0:0.01:10;step(gc2,t);grid。
第四章 4-1 正弦电压311sin 3146u t V π⎛⎫=+ ⎪⎝⎭,求:(1)振幅、初相位,频率和周期值;(2)当0t =和0.015t s =时的电压瞬时值。
4-2 正弦交流电压的振幅为200V ,变化一次所需时间为0.001s ,初相位为-60°,试写出电压瞬时表达式。
4-3 有一正弦交流电流,它的有效值为10A ,频率为50Hz ,若时间起点取在它的正向最大值处,试写出此正弦电流的瞬时表达式。
4-4 一组同频率的正弦量,1220sin(31430)u t V =- , 2220sin(31430),u t V =+5sin(31490)t A i =- 。
试写出电压和电流的向量表达式。
4-5 一条串联支路中包含二个元件,第一个元件的电压1220sin(70)u t V ω-,第二个元件的电压2200sin(30)u t V ω=+ ,试求支路电压12u u u =+。
4-6 二条支路并联,已知总电流10sin(31460)i t A =+ ,支路1的电流5sin(31430)i t A =+ ,求支路2电流2i 。
4-7 二个正弦电压的频率均为50Hz ,它们的相量分别为15030,U V =∠ 24060,U V =∠- 试写出12,u u 和12u u u =+的瞬时表达式。
4-8 线性电阻30R =Ω,其上加正弦交流电压sin u t ω=,测得电阻消耗功率为3kW ,求正弦交流电压的有效值。
4-9 电阻120R =Ω,电阻230R =Ω,将二电阻串联后接在220V , 50Hz 的电网上,试求各电阻上的电压值及电阻消耗的功率。
4-10 一个线圈的电阻10L R =Ω,电感L=50mH ,接到220V , 50Hz 的正弦交流电路中,求线圈的阻抗Z 和流过线圈的电流L I ,并画出相量图。
4-11 一个电阻与一个线圈相串联,已知电阻值20R =Ω,线圈电感0.1L H =,线圈电阻10L R =Ω,外加电压220sin314u tV =,求流过线圈的电流i , 电阻上电压R u 及线圈二端电压。
浙江大学远程教育学院《控制理论》课程作业姓名:学号:年级:学习中心:—————————————————————————————第一章1-1 与开环系统相比,闭环系统的最大特点是:检测偏差,纠正偏差。
1-2 分析一个控制系统从以下三方面分析:稳定性、准确性、快速性。
1-3图1-1 (a),(b)所示均为调速系统。
(1) 分别画出图1-3(a)、图(b)所示系统的方框图。
给出图1-1(a) 所示系统正确的反馈连线方式。
(2) 指出在恒值输入条件下,图1-1(a),(b) 所示系统中哪个是有差系统,哪个是无差系统,说明其道理。
图1-1 调速系统工作原理图解图1-1(a)正确的反馈连接方式如图1-1 (a)中虚线所示。
(1) 系统方框图如图解1-2所示。
(2) 图1-1 (a) 所示的系统是有差系统,图1-1 (b) 所示的系统是无差系统。
图1-1 (a)中,当给定恒值电压信号,系统运行达到稳态时,电动机转速的恒定是以发电机提供恒定电压为条件,对应发电机激磁绕组中电流一定是恒定值。
这意味着放大器前端电压是非零的常值。
因此,常值偏差电压存在是系统稳定工作的前提,故系统有差。
图1-1 (b)中,给定恒定电压,电动机达到稳定转速时,对应发电机激磁绕组中的励磁电流恒定,这意味着执行电动机处于停转状态,放大器前端电压必然为0,故系统无差。
1-4图1-3 (a),(b)所示的系统均为电压调节系统。
假设空载时两系统发电机端电压均为110V,试问带上负载后,图1-3(a),(b)中哪个能保持110V不变,哪个电压会低于110V?为什么?图1-3 电压调节系统工作原理图解带上负载后,开始由于负载的影响,图1-3(a)与(b)系统的端电压都要下降,但图(a)中所示系统能恢复到110V,而图(b) 所示系统却不能。
理由如下:图(a)系统,当u低于给定电压时,其偏差电压经放大器K放大后,驱动电机D转动,I增大,发电机的输出电压会升高,从而使偏经减速器带动电刷,使发电机F的激磁电流j差电压减小,直至偏差电压为零时,电机才停止转动。
浙大《自动控制元件》第三章步进电动机课堂笔记♦主要知识点掌握程度掌握步进电动机的基本概念及其工作原理。
一、步进电动机一种把电脉冲信号变换成角位移以控制转子转动的微特电机。
在自动控制装置中作为执行元件。
每输入一个脉冲信号,步进电动机前进一步,故又称脉冲电动机。
步进电动机多用于数字式计算机的外部设备,以及打印机、绘图机和磁盘等装置。
二、步进电动机驱动控制系统组成步进电动机的驱动电源由变频脉冲信号源、脉冲分配器及脉冲放大器组成,由此驱动电源向电机绕组提供脉冲电流。
步进电动机的运行性能决定于电机与驱动电源间的良好配合。
步进电机原理框图三、步进电动机分类:步进电动机分为机电式及磁电式两种基本类型。
机电式步进电动机由铁心、线圈、齿轮机构等组成。
螺线管线圈通电时将产生磁力,推动其铁心心子运动,通过齿轮机构使输出轴转动一个角度,通过抗旋转齿轮使输出转轴保持在新的工作位置;线圈再通电,转轴又转动一个角度,依次进行步进运动。
磁电式步进电动机主要有永磁式、反应式和永磁感应子式3种形式。
永磁式步进电动机由四相绕组组成。
A相绕组通电时,转子磁钢将转向该相绕组所确定的磁场方向;A相断电、B相绕组通电时,就产生一个新的磁场方向,这时,转子就转动一角度而位于新的磁场方向上,被激励相的顺序决定了转子运动方向。
永磁式步进电动机消耗功率较小,步矩角较大。
缺点是起动频率和运行频率较低。
反应式步进电动机在定、转子铁心的内外表面上设有按一定规律分布的相近齿槽,利用这两种齿槽相对位置变化引起磁路磁阻的变化产生转矩。
这种步进电动机步矩角可做到1°〜15°甚至更小,精度容易保证,起动和运行频率较高,但功耗较大,效率较低。
永磁感应子式步进电动机又称混合式步进电动机。
是永磁式步进电动机和反应式步进电动机两者的结合,并兼有两者的优点。
转了借四相反应式步进电机结构图A E 8* B風3-4水碓感应『•此步进电动机四、步进电机的优点直接实现数字控制,控制系统简单;控制性能好;输出转矩大,可直接驱动负载;无接触式;抗干扰能力强;误差不长期积累;具有自锁能力和保持转矩五、步进电机的应用主要用于数字控制系统中,精度高,运行可靠。
学号D20607620027 李恒
《自动控制元件》作业
第一章 直流伺服电动机
1-1直流伺服电动机的电磁转矩和控制电流由什么决定?
答:a :由T em =C m ΦI a 知电磁转矩由每极磁通量和绕组电流大小决定。
b :由T em =T 0 +T 2 =CmΦIa 控制电流由负载转矩(T 2)和空载转矩(T 0)大小
决定。
1-2当直流伺服电动机的负载转矩恒定不变时,控制电压升高将使稳态的电磁转矩、控制电流、转速发生怎样的变化?为什么?
答:a :电磁转矩T em =T 0 +T 2可见电磁转矩也不变。
由T em =C m ΦI a 知控制电流
I a 也不变
b :KeKt RaTem
Ke Ua n -=知T em 不变可见U a 转速升高理想空载转速变大导致转速n 升高。
1-3已知一台直流电动机,其电枢额定电压Ua=110V ,额定运行时电枢电流Ia=0.4A ,转速n=3600rpm ,它的电枢电阻Ra=50欧姆,负载阻转矩To=15mN.m 。
试问该电动机额定负载转矩是多少? 答:Ea= Ua- IaRa=110-0.4×50=90V
Ea=Ce Φn, Ce=0.105Cm Cm Φ=
0.2383600
0.10590
n 105.0=⨯=⨯Ea T em =T 0 +T 2=CmΦIa→T 2=CmΦIa -T 0 =0.40.238=0.0952-15×10-3
=80.2mN.m
1-6当直流伺服电动机电枢电压、励磁电压不变时,如将负载转矩减少,试问此时电动机的电枢电流、电磁转矩、转速将怎样变化?并说明由原来的状态到新的稳态的物理过程。
答:磁转矩T em =T 0 +T 2可见T 2 ↓电磁转矩也↓。
由T em =C m ΦI a 知控制电流I a ↓ Ea= Ua- IaRa 可见I a ↓知Ea↑,由Ea=Ce Φn 知Ea↑知n ↑ 第二章 直流测速发电机
2-4某直流测速发电机,其电枢电压U=50V ,负载电阻R L =3000Ω,电枢电阻Ra=180Ω,转速n=3000rpm ,求该转速下的空载输出电压Uo 和输出电流Ia 。
Ea = Ua IaRa Ia=3000
50
=0.0167A Ea=50
Ea =50+3000
50
×180=53 空载Uo =Ea =53
第三章 步进电动机
3-8某五相反应式步进电动机转子有48个齿,试分析其有哪几种运行方式及对应的步距角,并画出它们的矩角特性曲线族。
答: 5相单5拍A→B→C→D→E→A
Θb ==⨯=48
5360
NZr 360 1.5°
T emA =-T jmax sin(Θe ) T emB =-T jmax sin(Θe -
52π) T emC =-T jmax sin(Θe -5
4π)
T emD =-T jmax sin(Θe -56π) T emE =-T jmax sin(Θe -5
8π
)
5相双5拍AB→BC→CD→DE→EA→AB
Θb ==⨯=48
5360
NZr 360 1.5° T emAB =-1.62T jmax sin(Θe -5
π) T emBC =-1.62T jmax sin(Θe -53π
) T emCD =-1.62T jmax sin(Θe -π) T emDE =-1.62T jmax sin(Θe -5
7π) T emEA =-1.62T jmax sin(Θe -5
9π
)
5相10拍 A→AB→B→BC→C→CD→D→DE→E→EA→AB
Θb ==⨯=48
10360
NZr 3600.75°
em
T
3-10四相反应式步进电动机,转子有50个齿,试计算各种运行方式的步距角。
并画出其单、双拍制的矩角特性曲线族。
若单相通电时的最大静态转矩为0.1N·m ,试计算各种运行方式的起动转矩;并判断转子上负载为0.08N·m 时哪种运行方式可使步进电动机正常运行。
解a :四相单四拍步距角Θb =504360
NZr 360⨯==1.8°, Θbe = 2
π,如下图四相单四拍相邻2相矩角特性曲线交点q1转矩
T emq1=TT jmax sin 4
π
=0.1×0.707=0.0707N·m <0.08N·m
电机不能正常运行
b:四相双四拍步距角Θb =
504360
NZr 360⨯==1.8°,Θbe = 2
π,T emq1= 1.414T jmax sin 4
π
=1.414×0.0707=0.1N·m >0.08N·m ,电机能正常运行
四相八拍步距角Θb =
50
8360
NZr 360⨯=
=0.9°,Θbe =
4
π
T emq1=
1.414T jmax sin 4
π
=1.414×0.0707=0.1N·m >0.08N·m ,电机能正常运行
第四章 旋转变压器
4-6用正余弦旋转变压器可以构成直角坐标系旋转θ角的变换,接线如图题图4-1,4-2所示(见书P119)。
试分析其工作原理。
解:Uxs= Us sinθ, Uys = Uscos θ, Uxc= Uc cosθ, U yc = Uc sinθ, ∵ Ux= Uxs- Uxc ,Uy= Uys +Uyc ,
∴Ux= Us sinθ-Uc cosθ,Uy= Uscosθ+Uc sinθ,
如p 点与坐标系uov 相当于正余弦旋转变压器转子,当其顺时针旋转θ,坐标系顺uov 时针旋转θ就会输出新的坐标(Ux 、Uy )
4-8有一只旋变发送机XF 和一只旋变变压器XB 定子绕组对应联接作控制式
运行,如题图4-3所示(见书P119),已知:图中的θ1=15°°,θ2=10°°
,试求: (1) 旋变变压器转子的输出绕组的协调位置XT ;
解:协调位置XT 在转子逆时针旋转95°
(2) 失调角r 。
r=-θ1- (90-θ2)=-95°负号表示逆时针
第五章 自整角机
5-4三台自整角机如题图5-1所示(见书P147)接线。
中间一台为力矩式差动
接收机,左右两台为力矩式发送机,试问:当左右边两台发送机分别转过θ2、θ1角度时,中间的接收机将转过的角度θ与θ2和θ1之间是什么关系?
解:r=θ2-θ1 ,
θ2-θ1>0则顺时针转动 θ2-θ1=0则不动
θ2-θ1<0则逆时针转动
5-6某力矩式自整角机接线如题图5-3所示(见书P148) (1) 画出接收机转子所受的转矩方向:
解:收机转子所受的转矩方向是逆时针方向 (2) 画出接收机的协调位置;
解:接收机转子逆时针旋转转角度:(15-35= -20°)
(3)解:r=θ1-θ2=15° -35°=-20°
5-7对于题图5-4所示(见书P148)自整角测量线路,CX 为自整角发送机,CT 为自整角变压器,它们的转子的转角分别为θ1和θ2。
画出三相绕组合成磁场轴线的位置,并写出输出电势的有效值Eo 和转角θ1、θ2的关系式。
(1) 合成磁场轴线的位置:
0124.44sin()E fW θθ=Φ⋅-
f 为激磁电源交变频率;W 为自整角变压器输出绕组有效匝数;Φ为自整角变压器的
主磁通
6-8 交流伺服电动机的控制方法有几种?幅值控制转速变化的物理过程如何?
答: 控制方法:幅值控制、相位控制、幅相控制
幅值控制就是将励磁绕组加上恒定的额定励磁电压Ujc ,并保持励磁电压和控制电压的相位差90°不变,改变控制电压的大小,以实现对伺服电动机转速
的控制。
负载不变时,改变控制电压U k
,如U k ↑→a↑椭圆磁场越园,其转速n↑,反之
相反
6-13什么是自转现象?为了消除自转现象,交流伺服电动机在单相供电时应具有怎样的机械特性?
答:控制信号消失后,电动机仍以某个转速稳定运行的现象,就是自转现象。
消除自转将转子电阻足够大,使单相供电时机械特性曲线位于二、四象限。