最新组合结构考试题
- 格式:doc
- 大小:16.98 MB
- 文档页数:9
建筑结构考试题及答案一、单项选择题(每题2分,共20分)1. 建筑结构设计中,荷载的分类不包括以下哪一项?A. 永久荷载B. 可变荷载C. 偶然荷载D. 环境荷载答案:D2. 以下哪项不是结构分析的基本方法?A. 静力平衡法B. 能量法C. 极限平衡法D. 材料力学法答案:D3. 钢筋混凝土梁的受力特点是什么?A. 仅承受拉力B. 仅承受压力C. 同时承受拉力和压力D. 仅承受剪力答案:C4. 钢结构中,焊接连接的主要优点是什么?A. 施工速度快B. 连接强度高C. 易于检查和维修D. 材料节省答案:B5. 预应力混凝土的主要优点是什么?A. 提高结构的美观性B. 提高结构的耐久性C. 提高结构的承载能力D. 降低结构的自重答案:C6. 以下哪项不是建筑结构抗震设计的基本要求?A. 足够的强度B. 足够的刚度C. 足够的延性D. 足够的重量答案:D7. 建筑结构的极限状态设计法中,不考虑哪种极限状态?A. 承载能力极限状态B. 正常使用极限状态C. 疲劳破坏极限状态D. 耐久性极限状态答案:D8. 以下哪项不是影响建筑结构耐久性的因素?A. 材料性质B. 环境因素C. 设计因素D. 施工质量答案:D9. 建筑结构的稳定性分析中,不考虑以下哪一项?A. 几何稳定性B. 材料稳定性C. 整体稳定性D. 局部稳定性答案:B10. 以下哪项不是建筑结构的荷载组合?A. 永久荷载+可变荷载B. 永久荷载+可变荷载+风荷载C. 永久荷载+可变荷载+雪荷载D. 永久荷载+可变荷载+地震荷载答案:A二、多项选择题(每题3分,共15分)11. 建筑结构设计中,需要考虑的荷载类型包括哪些?A. 永久荷载B. 可变荷载C. 偶然荷载D. 地震荷载E. 风荷载答案:ABCDE12. 建筑结构的稳定性分析中,需要考虑哪些因素?A. 几何稳定性B. 材料稳定性C. 整体稳定性D. 局部稳定性E. 施工稳定性答案:ACDE13. 建筑结构抗震设计中,需要考虑的地震作用包括哪些?A. 地震波的垂直分量B. 地震波的水平分量C. 地震波的扭转分量D. 地震波的剪切分量E. 地震波的拉伸分量答案:ABC14. 建筑结构的耐久性设计中,需要考虑哪些环境因素?A. 温度变化B. 湿度变化C. 化学腐蚀D. 生物侵蚀E. 辐射影响答案:ABCD15. 建筑结构的荷载组合中,需要考虑哪些荷载?A. 永久荷载B. 可变荷载C. 偶然荷载D. 风荷载E. 地震荷载答案:ABCDE三、判断题(每题2分,共20分)16. 建筑结构设计中,荷载的组合可以不考虑偶然荷载。
2022~2023结构工程师考试题库及答案1. 建筑施工单位的生产经营规模较小的,可以不建立生产事故应急救援组织,但应当()。
A.指定专职的应急救援人员B.指定兼职的应急救援人员C.建立应急救援体系D.配备应急救援器材、设备正确答案:B2. 下列哪项含量增高;则钢材强度提高,但钢材的塑性、韧性、冷弯性能、可焊性抗锈性降低?()A.硫B.磷C.碳D.硅正确答案:C3. 当钢筋混凝土预制桩运输和打桩时,桩的混凝土强度应达到设计强度的()。
A.50 %B.70 %C.90 %D.100 %正确答案:D4. 为保证施工质量,后张法工艺中孔道留设施工应( )。
A.在混凝土浇筑后尽快抽管B.初凝前抽管C.初凝后、终凝前抽管D.尽量不抽管正确答案:C5. 焊接承重结构的钢材应具有()。
A.抗拉强度、伸长率、屈服强度和硫、磷含量的合格保证B.抗拉强度、伸长率、屈服强度和碳、硫、磷含量的合格保证C.抗拉强度、伸长率、屈服强度和碳、硫、磷含量和冷弯试的合格保证D.抗拉强度、伸长率、屈服强度,冷弯试验和冲击韧性的合格保证正确答案:B6. 下面哪项不是高层建筑的特点。
()A.高层建筑中,水平荷载和地震作用对结构设计起着决定性的作用;B.动力反应基本上可以不用考虑 ;C.结构轴向变形、剪切变形以及温度、沉降的影响加剧 ;D.材料用量、工程造价呈抛物线关系增长。
正确答案:B7. 下列哪项不是剪力墙结构体系的优点。
()A.房屋中没有梁柱,比较美观B.结构刚度大、顶部和层间位移均较小C.空间整体性不好,抗震能力不如框架结构D.用钢量比较少,相对比较经济。
正确答案:C8. 下面关于构造柱的作用,正确的是()。
①提高砖砌体房屋的抗剪强度;②对砖砌体起了约束作用,使砌体变形能力有较大提高;③增加砌体房屋的刚度;④提高砌体结构中墙柱高厚比的限值A.①②④B.③④C. ①③D. ①②正确答案:A9. 哪种民用建筑的采暖散热器必须暗装或加防护罩?()A.办公楼B.高层住宅C.学校D.幼儿园正确答案:D10. 框架梁、柱中心线宜重合,当梁、柱中心线间有偏心时,下列哪种说法是正确的?A.在任何情况下不应大于该方向柱截面宽度的1/4B.非抗震设计时不应大于该方向柱截面宽度的1/4C.抗震设计时不宜大于该方向柱截面宽度的 1/4D.如偏心距大于该方向柱宽的 1/4 时,可采用增设梁水平加腋的措施。
1、某工作平台简支梁,截面尺寸如图所示,梁跨度L=20m ,间距5m ,试确定该组合梁混凝土翼板的有效宽度。
解:梁内侧翼缘计算宽度:b 2=min (L/6;S 0/2;6hc )=min (20000/6;4400/2;6×200)=1200mm 混凝土翼板的有效宽度b e =b 2+b 0+b 2=1200+600+1200=3000mm2、某6m 跨简支组合梁,间距为2m ,截面如图所示。
已知混凝土翼板厚度为100mm ,混凝土强度等级为C30;焊接工字钢梁,钢材为Q235。
试按塑性方法设计抗剪连接件。
解:钢梁Q235:f =215N/mm 2C30混凝土:f c =14.3N/mm 2;E c =3×104N/mm 2钢梁截面积A =100×10+180×8+120×10=3640mm 2 1、计算混凝土翼板有效计算宽度b 2=min (L/6;S 0/2;6hc )=min (6000/6;1900/2;6×100)=600mm 混凝土翼板的有效宽度:b e =b 2+b 0+b 2=600+100+600=1300mm2、抗剪连接件计算采用栓钉连接件,栓钉选用φ16×70,A s =200.96mm 2,材料强度等级 4.6级,γ=1.67,f =215N/mm 2。
栓钉抗剪承载力设计值:Nf A Nf E A N s c c s c v 3341051.5021567.196.2007.07.0106.563.1410396.20043.043.0⨯=⨯⨯⨯=>⨯=⨯⨯⨯==γ所以取N N c v 31051.50⨯=简支梁,全梁共两个正弯矩剪跨段,以跨中平分,每个剪跨区内钢梁与混凝土翼板交界面的纵向剪力为:{}{}N f h b Af V c c e s 31106.7823.141001300,2153640min ,min ⨯=⨯⨯⨯==按完全抗剪连接设计,每个剪跨区段内需要的连接件总数为:4.151051.50106.78233=⨯⨯==c v s f N V n 取16=f n 个则全跨应布置32个,栓钉布置方式如下:垂直于梁轴线方向,栓钉单排布置,沿梁轴线方向,(155+31×190+155)mm 。
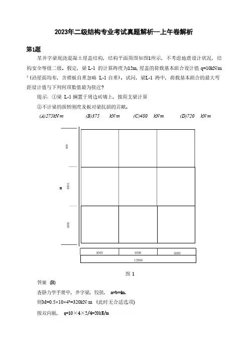
2023年二级结构专业考试真题解析--上午卷解析第1题某井字梁现浇混凝土屋盖结构,结构平面简图如图1所示,不考虑地震设计状况,结 构安全等级二级。
假定,梁 L-1 的计算跨度为12m, 屋盖的荷载基本组合设计值 q=10kN/m ²(沿屋面均布,含楼板自重忽略 L-1 自重)。
试问,梁L-1 跨中,荷载基本组合的最大弯 距设计值与下列何项数值最为接近?提示:①梁 L-1 搁置于周边砖墙上,按简支梁计算②不计梁的扭转刚度及板对梁抗扭的贡献。
(A)275kN·m (B)375 kN·m (C)480 kN·m (D)720 kN·m图 1答案 (B)查静力学手册中,井字梁,铰接, a=b=4m。
则M=0.5×10×4³=320kN·m (此时无合适选项)按双向板, q=10×4×2/4=20kN/m40004000000M=1/8×20×12²=360kN-m选择 B。
第2-3题某普通钢筋混凝土结构,计算简图和主要杆件的截面如图2-3 所示。
纵筋通长配置, 纵筋的保护层厚度为30mm,假定不考虑地震设计状况,忽略杆件自重,设计工作年限50 年,结构安全等级二级。
不直接承受重复荷载,混凝土强度等级为C30, 钢筋采用HRB400。
杆 CD 保护层30mm, 不考虑地震作用,设计工作年限50年,安全等级二级,不直接承受重复荷载,杆AB 的 a₂=a′=80mm。
图2-3第2题假定,要求 CD 杆按准永久组合并考虑长期作用影响的裂缝不超过0.2mm。
试问CD杆可承受的轴向拉力Na与何项数值最为接近?(A)880kN (B)1080kN (C)1180kN (D)1280kN答案 (A)《混规》第7.1.2条,P=5887.51(400×400)=0.0368≥0.01y=1.1-0.65×2.01/0.0368σ=1.1-35.5/σ。
2023年二级建造师结构工程考试真题及答案本文将为大家提供2023年二级建造师结构工程考试的真题及答案,供大家参考。
第一部分:单项选择题1.以下哪项属于构造的稳定性问题?A、地下水波及构造B、变形及破坏机制C、地基的承载力D、地震作用答案:B2.以下哪项属于混凝土的强度问题?A、抗冻性B、抗渗性C、抗压强度D、抗弯强度答案:C第二部分:填空题1. 混凝土的最小配合比为__________。
答案:3502. 跨径相等的板式梁,其自重按长边计算,当自重小于或等于荷载的0.03倍时,板式梁就可以作为单跨梁使用;当自重大于荷载的0.03倍,但小于或等于荷载的0.1倍时,板式梁可以作为等截面连续梁使用,连接形式为__________。
答案:T 形第三部分:简答题1. 简述框架结构及其特点。
答:框架结构是指在地基上设置框架柱和框架梁,再以地面或板面为底层,相互之间通过铰链连接而成的结构体系。
具有以下特点:- 强度高、稳定性好、承载能力大;- 称重轻、刚度好,适应性强;- 施工方便,节省材料。
2. 简述悬挂链及吊杆的区别及使用场景。
答:悬挂链是指拉力与链轴线切线相吻合,负载作用在链的轴线上,主要用于网格结构、桁架结构、大跨度结构的弦杆,以及屋架结构的吊杆。
其特点是:荷载采用链轴线传输,不会因摆动引向迁坡问题,且弯曲产生的压应力小,链可任意弯曲。
吊杆是指起吊和施力在一条直线上的杆件。
它常用于框架结构及其辅助结构、柱设计优化等场景,具有下列特点:- 减轻组合结构下膨胀系数和曲率的复杂度;- 可以减小构件的曲度位移,在框架中等效为剪力墙抗剪;- 可以控制框架柱式强框架中竖向的柔性度。
这两个结构体系在悬挂和起吊时具有不同的优势,在使用时应严格区别使用场景。
2024年注册结构工程师-专业考试(一级)考试历年真题摘选附带答案第1卷一.全考点押密题库(共100题)1.(单项选择题)(每题 1.00 分) 某门式刚架单层厂房基础,采用的是独立基础。
混凝土短柱截面尺寸为500mm×500mm;与水平力作用方向垂直的基础底边长l=1.6m。
相应于荷载效应标准组合时,作用于短柱顶面上的竖向荷载为Fk,水平荷载为Hk。
已知基础采用C30混凝土,基础底面以上土与基础的加权平均容重为20kN/m3,其他参数均如图5-29中所示。
假定基础底边缘最小地基反力设计值为20.5kPa,最大地基反力设计值为219.3kPa,基础底面边长b=2.2m。
则基础Ⅰ—Ⅰ剖面处的弯矩设计值最接近于()kN·m。
A. 45B. 55C. 68.5D. 752.(单项选择题)(每题 1.00 分) 无筋砌体结构房屋的静力计算,下列关于房屋空间工作性能的表述何项不妥?A. 房屋的空间工作性能与楼(屋)盖的刚度有关B. 房屋的空间工作性能与刚性横墙的间距有关C. 房屋的空间工作性能与伸缩缝处是否设置刚性双墙无关D. 房屋的空间工作性能与建筑物的层数关系不大3.(单项选择题)(每题 1.00 分) Ⅰ.验算软黏土地基基坑隆起稳定性时,可采用十字板剪切强度或三轴不固结不排水抗剪强度指标;Ⅱ.位于复杂地质条件及软土地区的一层地下室基坑工程,可不进行因土方开挖、降水引起的基坑内外土体的变形计算;Ⅲ.作用于支护结构的土压力和水压力,对黏性土宜按水土分算计算,也可按地区经验确定;Ⅳ.当基坑内外存在水头差,粉土应进行抗渗流稳定验算,渗流的水力梯度不应超过临界水力梯度。
试问,依据《建筑地基基础设计规范》(GB50007—2011)的有关规定,针对上述主张正确性的判断,下列何项正确?()A. Ⅰ、Ⅱ、Ⅲ、Ⅳ正确B. Ⅰ、Ⅲ正确;Ⅱ、Ⅳ错误C. Ⅰ、Ⅳ正确;Ⅱ、Ⅲ错误D. Ⅰ、Ⅱ、Ⅳ正确;Ⅲ错误4.(单项选择题)(每题 1.00 分) 某矩形截面钢筋混凝土构件,截面b×h=300mm×500mm,混凝土强度等级为C30。
BIM模拟考试题(附参考答案)一、单选题(共100题,每题1分,共100分)1.具有下列特点的国际工程项目中,投标报价适宜采用低价策略的是()。
A、竞争对手少且施工条件差的工程B、技术复杂且投资规模大的工程C、工作简单且支付条件好的工程D、专业要求高且工期要求急的工程正确答案:C2.建筑工程信息模型精细度分为()个等级。
A、3B、5C、6D、4正确答案:B3.可以使用“()”工具在各种结构图元(例如梁、支撑或结构柱)中剪切洞口,梁洞口会剪切整个图元。
A、拆分表面B、复制C、剪切几何图形D、面洞口正确答案:D4.工程资料归档保存期限应符合国家现行有关标准的规定;当无规定时,不宜()。
A、多于3年B、少于3年C、少于5年D、多于5年正确答案:C5.关于型钢混凝土组合结构特点的说法,正确的是()。
A、型钢混凝土梁和板是最基本的构件B、型钢分为实腹式和空腹式两类C、型钢混凝土组合结构的混凝土强度等级不宜小于C25D、须等待混凝土达到一定强度才可继续上层施工正确答案:B6.建筑工程的发包单位与承包单位应当依法()明确双方的权利和义务。
A、达成口头协议B、形成合作意向书C、订立书面合同D、形成公证书正确答案:C7.下列叙述中,()违反了安全监督检查人员的义务。
A、遵循忠于职守、坚持原则、秉公执法B、要求被审查、验收的单位购买指定产品C、监督检查时出示有效的监督执法证件D、对被检查单位的技术秘密和业务秘密保密正确答案:B8.框架工程中主梁、次梁、板的钢筋位置顺序是()。
A、主梁筋在下,次梁筋居中,板筋在上B、主梁筋在下,次梁筋在上,板筋居中C、主梁筋在上,次梁筋居中,板筋在下D、主梁筋居中,次梁筋在下,板筋在上9.下列财产损失和人身伤害事件中,属于第三者责任险赔偿范围的是()。
A、项目承包商职工在施工工地的人身伤害B、项目法人外聘员工在施工工地的人身伤害C、项目法人、承包商以外的第三人因施工原因造成的财产损失D、项目承包商在施工工地的财产损失正确答案:C10.关于工业设备安装工程划分的说法,错误的是()。
2024年一级结构工程师专业考试历年高频考点试题专家甄选版带答案卷I一.单选题(共50题)1.【真题】某湿陷性黄土地基厚10m,拟采用强夯处理,假设影响系数为0.5,现有锤重100kN,则要满足设计要求,落距h应()。
A.40mB.l0mC.l5mD.20m正确答案:A2.在图示的电路中,当开关S闭合后,流过开关S的电流I为:(图片大小可任意调节)A.1mAB.0mAC.无法判定D.-1mA正确答案:B3.【真题】某城市一座人行天桥,跨越街道车行道,根据《城市人行天桥与人行地道技术规范》CJJ69-95,对人行天桥上部结构竖向自振频率(Hz)严格控制。
试问,这个控制值的最小值应为下列何项数值?A.2.0B.2.5C.3.0D.3.5正确答案:C4.模拟信号经过以下哪种途径才能转化为数字信号?(图片大小可任意调节)A.信号幅度的量化B.信号时间上的量化C.幅度和时间的量化D.抽样正确答案:C5.【真题】正常设计的钢筋混凝土受弯构件,其斜截面极限状态出现的破坏形态是()。
A.斜压破坏B.斜拉破坏C.剪压破坏D.斜截面受弯破坏正确答案:C6.【真题】图片所示刚架的自振频率为()。
(图片大小可任意调节)(图片大小可任意调节)A.B.C.D.正确答案:A7.图示结构,不计阻尼与杆件的质量,若要其发生共振,θ应等于( )。
A.B.C.D.正确答案:B8.价值工程的"价值V",对于产品来说可以表示为V=F /C ,式中C是指:A.产品的寿命周期成本B.产品的开发成本C.产品的制造成本D.产品的销售成本正确答案:A9.某四层砖混结构,承重墙下为条形基础,宽1.2m,基础埋深1m,上部建筑物作用于基础的荷载标准值为地基为淤泥质黏土,重度地基承载力特征值为50kPa,淤泥质黏土的承载力深度修正系数采用换土垫层法处理地基,砂垫层的压力扩散角为30°,经验算砂垫层厚2m,已满足承载力的要求,砂垫层的宽度至少是()。
河南省一级建筑师《建筑结构》:弯扭组合考试题本卷共分为2大题50小题,作答时间为180分钟,总分100分,60分及格。
一、单项选择题(共25题,每题2分,每题的备选项中,只有 1 个事最符合题意)1、根据《抗震规范》,建筑应根据其重要性进行类别划分,北京市三级医院的住院部应划为哪一类A.甲类B.乙类C.丙类D.丁类2、幕墙工程中,幕墙构架立柱的连接金属角码与其他连接件应采用螺栓连接,并应采取:(2009,54)A.防锈措施B.防腐措施C.防火措施D.防松动措施3、在项目决策以后,下列不属于大型和重要的民用建筑的设计阶段的是______。
A.方案设计优选阶段B.初步设计阶段C.招标设计阶段D.施工图设计阶段4、保证抹灰工程质量的关键是______。
A.基层应作处理B.抹灰后砂浆中的水分不应过快散失C.各层之间粘接牢固D.面层无爆灰和裂纹5、设计任务书(可行性研究报告)报请批准时,必须附有城市规划行政主管部门签发的以下何种证明(2011,73)A.规划设计要点通知书B.建设用地选址意见书C.建设用地规划许可证D.建设工程规划许可证6、下列混凝土构件的轴线位置允许偏差,哪个是不符合规范规定的(2003,32) A.独立基础20mmB.柱8mmC.剪力墙5mmD.梁8mm7、地面辐射供暖构造的材料选择中,下列哪一条不正确__A.填充层的材料宜采用C15豆石混凝土,豆石粒径宜为5~12mmB.加热管的填充层厚度不宜小于50mm,发热电缆的填充层厚度不宜小于35mm C.当地面荷载大于20kN/㎡时,应会同结构设计人员,采取加固措施D.楼层之间楼板上聚苯乙烯泡沫塑料板绝热层的厚度为40mm8、乘轮椅者开启的推拉门和平开门,在门把手一侧的墙面,应留有不小于多少的墒面宽度__A.0.1mB.0.3mC.0.5mD.0.7m9、建筑地面工程施工中,铺设防水隔离层时,下列施工要求哪项是错误的(2012,62)A.穿过楼板面的管道四周,防水材料应向上铺涂,并超过套管的上口。
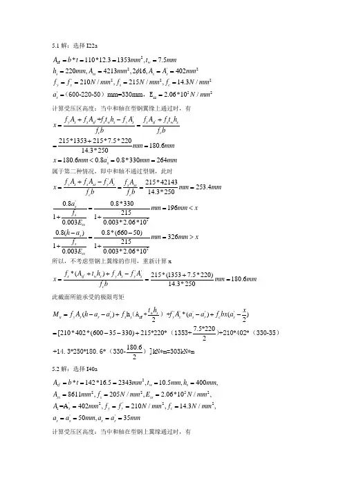
5.1解:选择I22a2sf 2'2'222'52ss *110*12.31353,7.5220,4213,216,402210/,215/,14.3/--mm=mm 2.06*10/w s ss s s y y s c s A b t mm t mm h mm A mm A A mm f f N mm f N mm f N mm a N mm φ==============(60022050)330,E计算受压区高度:当中和轴在型钢翼缘上通过时,有''+215*1353215*7.5*220180.614.3*250180.60.80.8*330264y s s sf s w s y s s sf s w sc c s f A f A f t h f A f A f t h x f bf bmm mmx mm a mm mm+-+==+===<==属于第二种情况,即中和轴不通过型钢,此时'''55215*42143253.414.3*2500.80.8*330196215110.003*2.06*100.0030.8()0.8*(66050)326215110.003*2.06*100.003y s s ss y s s ss c c s s ss s s ssf A f A f A f A x mm mm f bf b a mm mm x f E h a mm mm x f E +-======<++--==>++所以,不考虑型钢上翼缘的作用,重新计算x''*()215*(13537.5*220)180.614.3*250s sf w s y s y s c f A t h f A f A x mm mmf b++-+===此截面所能承受的极限弯矩''''''sf ()h *()()227.5*220[210*402*(60035330)215*220*++**-2180.6+***-k 2w s u y s r s s s y s s r c s t h xM f A h a a f f A a a f bx a =--+-+-=--+(A +)+(1353)210402(33035)14.3250180.6(330)]N*m=303kN*m 5.2解:选择I40a22252'2'22s ''*142*16.52343,10.5,400,8611,205/, 2.06*10/,=A 402,210/,14.3/,50,35sf w s ss s ss s y y c s s r r A b t mm t mm h mm A mm f N mm E N mm A mm f f N mm f N mm a a mm a a mm================计算受压区高度:当中和轴在型钢上翼缘通过时,有'''215*2343205*10.5*4003835014.3*250y s s sf s w s y s s sf s w ss c c f A f A f t h f A f A f t h x mm mm a mmf bf b++-++====>=属于第一种情况,即中和轴通过型钢腹板,此时''''()()205*10.5*50014.3*(402234350*10.5)126.6( 1.25) 2.514.3*(250 1.25*10.5) 2.5*205*10.5y s s s w c s sf s w c w s wf A A f t h f A A a t x mm mmf b t f t -+++-++-===-+-+此截面所能承受的极限弯矩'''2''()()2()()2250126.6[205*2343*(500126.650)205*10.5*250205*2343*(126.650)205*10.5*210*402*(52s u s sf s s w y sf s s s w y s r y s r c h x a M f A h x a f t f A x a x a x f t f A h x a f A x a f b--=--+-+-+--+-+--=--++--++()^2+()^2(500)^2(126.6)^2200126.635)126.6210*402*(126.635)14.3*250*]*377.9*2kN m kN m--+-+=5.3.解:查C30混凝土强度得,22t 14.3*mm f =1.43*mm c f N N =,。
结构设计考试题库及答案一、单项选择题(每题2分,共20分)1. 钢筋混凝土结构中,钢筋的主要作用是承受()。
A. 拉力B. 压力C. 剪力D. 弯矩答案:A2. 在钢结构设计中,通常采用的钢材屈服强度等级是()。
A. Q235B. Q345C. Q420D. Q460答案:B3. 根据《混凝土结构设计规范》GB 50010-2010,混凝土的强度等级分为()级。
A. 12B. 14C. 16D. 18答案:C4. 下列关于结构设计中荷载的说法,不正确的是()。
A. 永久荷载是长期作用在结构上的荷载B. 活荷载是临时作用在结构上的荷载C. 雪荷载属于可变荷载D. 风荷载属于永久荷载答案:D5. 在结构设计中,地震作用通常被模拟为()。
A. 静力荷载B. 动力荷载C. 温度荷载D. 湿度荷载答案:B6. 预应力混凝土结构中,预应力钢筋的主要作用是()。
A. 提高结构的承载力B. 提高结构的刚度C. 提高结构的延性D. 提高结构的耐久性答案:A7. 在结构设计中,下列关于风荷载的说法,正确的是()。
A. 风荷载只作用于结构的迎风面B. 风荷载只作用于结构的背风面C. 风荷载作用于结构的迎风面和背风面D. 风荷载只作用于结构的侧面答案:C8. 根据《建筑抗震设计规范》GB 50011-2010,建筑物的抗震设防类别分为()类。
A. 三B. 四C. 五D. 六答案:B9. 在结构设计中,下列关于基础埋深的说法,正确的是()。
A. 基础埋深越大,结构的稳定性越好B. 基础埋深越小,结构的稳定性越好C. 基础埋深与结构的稳定性无关D. 基础埋深越大,结构的稳定性越差答案:A10. 在结构设计中,下列关于梁的受力特点,正确的是()。
A. 梁主要承受压力B. 梁主要承受拉力C. 梁主要承受弯矩D. 梁主要承受剪力答案:C二、多项选择题(每题3分,共15分)1. 下列关于结构设计中荷载组合的说法,正确的有()。
A. 荷载组合需要考虑永久荷载和活荷载的组合B. 荷载组合需要考虑永久荷载和风荷载的组合C. 荷载组合需要考虑活荷载和雪荷载的组合D. 荷载组合需要考虑活荷载和地震作用的组合答案:ABD2. 在结构设计中,下列关于材料力学性能的说法,正确的有()。
钢-混凝土组合结构(考试终结打印稿-单选、填空、简答)钢混单选、填空、简答单选题:1. 采用栓钉作为组合梁的剪力连接件时(商品混凝土板相对较弱时,极限承载力随栓钉直径的增大和砼强度等级的提高而增大)。
2. 钢骨商品混凝土梁中,剪跨比对梁斜截面抗剪的影响是(剪跨比减少,梁的抗剪强度增加)。
3. 钢管商品混凝土偏压柱小偏心受压破坏时的现象描述正确的是(受拉钢筋没有屈服)。
4. 钢梁屈服时,组合梁的裂缝宽度计算应按(弹性)理论计算。
5. 含钢率增加时,钢管商品混凝土受压构件的承载力(增加)。
6. 商品混凝土的轴心抗压强度fc,立方体抗压强度fcu 和抗拉强度ft三者之间的大小关系是( fcu>fc> ft )。
7. 双向受压时,商品混凝土一个方向的抗压强度随另一个方向压力的增加而(增大)。
8. 推出试验的结果一般要(低于)梁式试验的结果9. 我国现行规范中计算组合梁的弹性挠度时所采用为刚度折减法,其对刚度的折减是考虑了(滑移)对梁挠度的增大效应来进行折减的。
10. 一般情况下,随着剪跨比的增加,梁的抗剪强度(降低)。
11. 组合梁的截面抗弯刚度沿着梁的跨度方向是(变化的)。
12. 组合梁剪力连接设计的临界截面不正确的是(所有集中荷载作用下的截面)。
填空题:1. 按抗剪连接程度的高低组合梁可以分为完全剪力连接组合梁和部分连接剪力组合梁。
2. 按抗剪连接程度的高低组合梁可以分为完全抗剪连接组合梁和部分抗剪连接组合梁。
3. 按照是否对组合梁施加预应力,组合梁可以分为预应力组合梁和非预应力组合梁。
4. 当钢梁的腹板和下翼缘宽厚比较大时,组合截面在达到塑性抵抗弯矩之前,可能导致钢梁局部屈曲破坏,因此。
这种梁必须进行弹性分析。
5. 当剪力连接程度不过低时,组合粱的受弯破坏主要有三种形态,弯曲破坏,弯剪破坏和纵向剪切破坏。
6. 对连续组合梁的计算可进行简化,可用塑性理论为基础采用承载力极限状态设计方法,截面特性计算简单,对静载荷和活载荷处理,不需考虑承载力极限状态下的商品混凝土徐变效应和施工方法。
2019年秋《钢-混凝土组合结构》期末考试题及答案1、组合梁剪力连接设计的临界截面是所有集中荷载作用下的截面。
()对2当钢梁的腹板和下翼缘宽厚比较大时,组合截面在达到塑性抵抗弯矩之前,可能导致钢梁局部屈曲二破坏,因此。
这种梁必须进行弹性理论分析。
( )对3、当梁的配筋率相同时,采用直径较小和间距较密的箍筋可以减小斜裂缝的宽度。
( )对4、整浇肋梁楼盖中的单向板,中间区格板的弯矩可折减20%,主要是因考虑节约材料。
( )错5、钢骨混凝土偏压柱的大小偏压为区分大小偏压破坏的分界点理论是以受拉钢材合力作用点处应力是否达到屈服强度作为依据。
( )对6、《规范》验算的裂缝宽度是指钢筋表面的裂缝宽度。
错7、钢-混凝土组合构件主要有钢-混凝土组合梁和钢-混凝土组合柱。
( )对8、受弯构件弯曲刚度是随弯矩增大而减小的。
( )对9、在双筋梁计算中满足2a'≤x≤ξbho时,表明拉压筋均不屈服。
( )错10、钢筋混凝土梁在正常使用荷载下通常是带裂缝工作的。
( )错11、在梁的配筋不变的条件下,梁高与梁宽相比,对正截面受弯承载力Mu梁高影响小。
( )错12、在用分层法计算竖向荷载作用下的框架内力时,除底层柱外,其它各层柱的弯矩传递系数为3/1。
( )对13、施工方法对组合梁的影响有施工时钢梁下不设临时支撑,分两个阶段考虑,施工阶段荷载由钢梁单独承受。
( )对14、受扭纵筋与箍筋的配筋强度比ζ在0.6~1.7之间时,均布纵筋、箍筋部分屈服。
( )错15、若ξ=ξb,表明梁发生的破坏为界限破坏,与此相应的纵向受拉钢筋的配筋率称为界限配筋率(最大配筋率)ρmax 。
( )对16、压型钢板的截面特征随着受压翼缘宽厚比不同而变化。
当宽厚比大于极限宽厚比时,截面特征按有效截面计算;当宽厚比小于极限宽厚比时,截面特征按全截面计算。
( )对17、抗剪连接件的形式很多,按照变形能力可分为为两类:刚性连接件,柔性连接件。
( )对18、一般板不作抗剪计算,主要因为板内不便配箍筋。
温馨提示:同学们,经过综合学习,你一定积累了很多知识,现在请认真、仔细地完成这张试题库吧。
加油!结构力学期末考试题库及答案一、填空题库。
1、在梁、刚架、拱、桁架四种常见结构中,主要受弯的是梁和钢架,主要承受轴力的是拱和桁架。
2、选取结构计算简图时,一般要进行杆件简化、支座简化、结点简化和荷载简化。
3、分析平面杆件体系的几何组成常用的规律是两刚片法则、三钢片和二元体法则。
4、建筑物中用以支承荷载的骨架部分称为结构,分为板件、杆壳和实体三大类。
5、一个简单铰相当于两个个约束。
6、静定多跨梁包括基础部分和附属部分,内力计算从附属部分开始。
7、刚结点的特点是,各杆件在连接处既无相对移动也无相对转动,可以传递力和力矩。
8、平面内一根链杆自由运动时的自由度等于三。
二、判断改错题库。
1、三刚片用三个铰两两相联不一定成为几何不变体系。
( )2、对静定结构,支座移动或温度改变不会产生内力。
( )3、力法的基本体系不一定是静定的。
( )4、任何三铰拱的合理拱轴不一定是二次抛物线。
( )5、图乘法不可以用来计算曲杆。
( ) 三、选择题库。
1、图示结构中当改变B 点链杆方向(不能通过A 铰)时,对该梁的影响是( )A 、全部内力没有变化B 、弯矩有变化C 、剪力有变化D 、轴力有变化2、右图所示刚架中A 支座的反力H 为( ) A 、P B 、2PC 、P -D 、2P3、右图所示桁架中的零杆为( ) A 、CH BI DG ,, B 、BI AB BG DC DG DE ,,,,,C 、AJ BI BG ,,D 、BI BG CF ,,4、静定结构因支座移动,( ) A 、会产生内力,但无位移 B 、会产生位移,但无内力 C 、内力和位移均不会产生 D 、内力和位移均会产生5B 产生竖直沉降c A 、θδ=+ac XB 、θδ=-a c XC 、θδ-=+a cXD 、θδ-=-acX四、对下图所示平面杆件体系作几何组成分析。
钢-混凝土组合构造综合练习一一、单项选择题(每题4分,共20 分)1、施工措施对组合梁旳影响对旳旳有()。
A、施工时钢梁下不设临时支撑,分两个阶段考虑,施工阶段荷载由钢梁单独承受B、施工时设置临时支撑旳梁,分一种阶段考虑,需要进行施工阶段旳验算C、施工阶段时不设置临时支撑旳梁,使用阶段采用塑性理论分析时,只需考虑使用荷载和第二阶段新增长旳恒载D、施工时设置临时支撑旳梁,分两个阶段考虑,需要进行施工阶段旳验算2、采用栓钉作为组合梁旳剪力连接件,当栓钉较弱时,极限承载力()。
A、随栓钉直径和砼抗压强度等级增长而增长B、随栓钉直径和抗拉强度增长而增长C、随栓钉直径和砼抗拉强度等级增长而增长D、只与栓钉强度有关3、不直接承受动荷载旳组合梁,一般应采用()计算组合梁旳承载力A、弹性理论B、塑性理论C、满足一定宽度比规定时采用塑性理论D、AB均可4、钢骨混凝土偏压柱旳大小偏压说法对旳旳是()。
A、大偏压构件旳型钢受拉翼缘应力未到达屈服强度B、小偏压构件旳型钢受压边缘应力到达了屈服强度C、辨别大小偏压破坏旳分界点理论是以受拉钢材合力作用点处应力与否到达屈服强度作为根据D 、小偏压破坏之间有经典旳界线破坏5、钢管混凝土偏压构件承载力旳四种计算措施中,( )分别考虑偏心率和长细比旳影响,计算上比较以便,但未能明确反应两者旳互相关系,存在一定旳误差。
A 、偏心矩增大系数法B 、经验系数法C 、M-N 有关关系法D 、最大荷载理论二、判断题(每题 2分,共 10 分)1、钢管混凝土只适合受压不适合受弯,因此只能用在轴心受压构件而不适合偏压构件。
( )2、高强度混凝土延性差,因此,同样不适用于钢管混凝土柱。
( )3、按照与否对组合梁施加预应力,组合梁可以分为非预应力组合梁和预应力组合梁。
( )4、 钢管混凝土材料是由钢管和混凝土两种性质完全不一样旳材料构成,由于钢管混凝土旳关键混凝土受到钢管旳约束,因而具有比一般钢筋混凝土大得多旳承载能力和变形能力。
组合结构复习题集
简答题:
1.组合结构中组合效应是如何取得的?组合结构的设计理念是什么?
组合结构的组合效应的取得主要是依靠参与组合的不同材料或不同构件之间的可靠连接。
组合效应一般反映在两个方面:一是能起到传递组合界面上纵向剪力的作用。
二是能抵抗组合界面之间的掀起作用。
(我自己瞎编的,尽量不要信)为了某种确定且有效的目的,将不同材料或构件进行合理组合,保证整体共同工作,同时每种材料或构件各自发挥其优点,扬长避短,物尽其用,受力合理,传力明确,边界条件可靠。
2.型钢混凝土结构与钢结构和钢筋混凝土结构相比,有什么特点?
型钢混凝土结构与钢筋混凝土结构相比,具有以下突出优点:
(1)承载能力高
型钢混凝土构件中配置了型钢,与钢筋混凝土结构相比含钢量高,对于同等截面,型钢混凝土构件比钢筋混凝土构件的承载力大大提高。
另一方面,型钢对于内部核心混凝土起到约束作用,能改善混凝土的力学性能;
(2)抗震性能好
型钢混凝土结构含钢量较钢筋混凝土大,具有良好的延性和抗震耗能能力。
特别是实腹式配钢的型钢混凝土结构,抗震性能与钢结构相当,因此型钢混凝土结构特别适用于抗震要求高的建筑中;
(3)施工速度快
在型钢混凝土结构中配置实腹和空腹型钢骨架,可以在工厂制作,能达到提高建筑物施工的工厂化程度;同时这些型钢骨架可以在施工时作为承重骨架,承受模板及其他施工荷载,极大地便利施工。
型钢混凝土结构与钢结构相比,具有以下突出优点:
(1)刚度大
型钢混凝土结构外包的混凝土对提高构件的刚度起到了很好的作用,含钢量相等的型钢混凝土结构和钢结构相比,型钢混凝土的刚度增大明显,因此在超高层建筑及高耸结构中采用型钢混凝土结构或下部局部采用型钢混凝土结构,可以克服高层及高耸钢结构变形过大的缺点;
(2)防火、防锈蚀能力好
早期发展型钢混凝土结构的主要目的是利用外包混凝土提高钢结构的防火能力,由于型钢混凝土结构外部有混凝土的保护作用,其防火和防锈蚀能力与钢结构相比有了显著的提高;
(3)稳定性好
型钢混凝土结构中,外包的混凝土对内部钢材起到了很好的包裹作用,对提高其稳定性十分有利,实验表明,在构件达到极限承载能力前,型钢很少发生局部屈曲,所以一般在构件中配置的型钢不需要加设加劲板。
3.简述组合梁设计中主要包括的内容。
组合梁设计的主要内容应包括:受弯承载力计算、受剪承载力计算、抗剪连接件的数量和布置方式、混凝土翼缘板及其板托纵向界面受剪承载力计算、变形验算、负弯矩区段内混凝土翼缘板的最大裂缝宽度验算以及构造设计。
4.列举圆钢管混凝土柱有几种计算方法,并说明这几种方法的分析思路。
流行的有3种:套箍指标设计法、强度增值设计法、组合强度设计法。
其分析思路如
下:
套箍指标设计法是应用极限平衡理论,以轴压短住的理论公式为基础,直接从大量实验数据中寻求长细比、偏心率对承载力影响的规律,从而得到的经验公式。
强度增值设计法认为,圆钢管混凝土柱的受压承载力,等于钢管受压承载力与内填混凝土强度提高后受压承载力之和,类似于配有螺旋箍筋钢筋混凝土柱的承载力计算方法。
组合强度设计法,其思想是把钢管混凝土柱视为由同一种新型组合材料组成,用组合性能指标和构件的整体几何参数来计算柱的承载力,不再区分钢管和混凝土。
5.型钢混凝土斜截面破坏有哪些形式?在什么条件下容易发生这些破坏?
型钢混凝土(梁)斜截面的破坏形式有:斜压破坏、剪切粘结破坏、剪压破坏。
当剪跨比很小( 1.5λ<)时,梁上的正应力不大,而剪应力相对较大,在梁腹部的主拉应力使剪跨段产生许多大致平行的斜裂缝,将混凝土分割成若干受压斜短柱。
混凝土开裂后,型钢腹板承担着斜裂缝面上混凝土释放出来的应力,在斜压混凝土被压碎前,腹部型钢已经屈服,最终破坏。
当剪跨比较小时(1.5-2.5),较易发生剪切粘结破坏。
当梁的剪跨比比较大时(λ>2),较易发生剪切破破坏。
6.什么是含钢率,什么是约束效应系数?二者之间的关系如何?
钢管混凝土构件的含钢率α,是指钢管截面面积s A 与内填混凝土截面面积c A 的比值,即/4/s c A A t D α=≈,其中,D 、t 为钢管的外直径和壁厚。
约束效应系数θ是为反映钢管混凝土构件中钢管对核心混凝土约束作用的大小、准确描述钢管和混凝土二者之间的作用而引入的参数,其定义为:s y
y c c c A f f A f f θα=
=g ,y f 为钢材
的屈服强度,c f 为内填混凝土的轴心抗压强度设计值。
ξ值越大,表明钢材所占的比重越大,在受力过程中,钢管对核心混凝与的约束作用越大,反之,则相反。
7.说明钢管混凝土的工作原理。
(自己总结吧)
8.组合板正截面承载力计算中应考虑压型钢板钢材强度设计值与混凝土弯压强度设计值的折减,折减系数是多少?为什么要折减?
压型钢板钢材强度和混凝土抗压强度设计值折减系数均为0.8。
因为组合板下部受拉区的压型钢板没有混凝土保护层,以及中和轴附近材料强度不能充分发挥,故应进行折减。
计算题:
1.某型钢混凝土简支梁,计算跨度l=8m。
承受均布荷载,其中恒载设计值,g=10kN.m。
活载设计值q=18kN.m。
梁的截面尺寸b×h=250×550,as=35mm,钢梁中型钢的腹板厚度t w=8mm,腹板的高度h w=214mm,型钢和纵筋均为I级钢,f ay=f y=210N/mm2,混凝土强度等级为C30,f c=14.3N/mm,试验算此梁斜截面抗剪承载力。
2.某无侧移框架采用圆钢管混凝土柱,基本尺寸及设计内力如图2所示。
钢管型号为Φ800×10,材质为Q235,f=215N/mm2,内填C40混凝土,f c=19.1N/mm2,框架柱高为10m,计算长度系数为u(学号为奇数取0.5,偶数取0.6),验算该钢管混凝土框架柱的承载力是否满足要求。
(找到了相似例题,不再啰嗦重做,注意图片中的例题跟此道题目数据不一致)(想要这道题解题过程的找我要,手写的,要的话我可以发图片)
图2
论述题(自己写吧)
1.应用所学的知识组合出新的结构体系或构造形式,画出详细构造,分析其优点,并说明工作原理。
2.以组合结构中的一种结构形式为例,论述其在建筑或桥梁工程中的工程应用和发展前景。