常用钢材理论重量表
- 格式:xls
- 大小:49.50 KB
- 文档页数:3
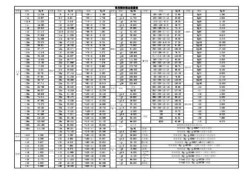
常用钢材理论重量表名称规格Kg/M 名称规格Kg/M 名称规格Kg/M 名称规格Kg/M2 名称规格Kg/M 名称规格Kg/M工字钢工10 11.216槽钢[5 5.440角钢┗25×4 1.459钢板∫=17.850H型钢150×150×7×1031.90钢管Dg15 1.260 工12 13.987 [6.3 6.634 ┗30×4 1.786 ∫=1.5 11.780 200×200×8×1250.50 Dg20 1.630 工12.6 14.223 [8 8.045 ┗40×4 2.422 ∫=215.700 248×124×5×825.80 Dg25 2.420 工14 16.890 [10 10.007 ┗50×5 3.700 ∫=2.5 19.630 250×125×6×929.70 Dg32 3.130 工16 20.513 [12 12.059 ┗50×6 4.465 ∫=323.550 250×250×9×1472.40 Dg40 3.840 工18 24.143 [12.6 12.318 ┗56×5 4.251 ∫=431.400 250×255×14×1482.20 Dg50 4.880 工20a 27.929 [14a 14.535 ┗60×6 5.420 ∫=539.250 294×200×8×1257.30 Dg70 6.640 工20b 31.069 [14b 16.733 ┗63×5 4.822 ∫=647.100 294×302×12×1285.00 Dg80 8.340 工22a 33.070 [16a 17.240 ┗63×6 5.721 ∫=862.800 300×150×6.5×937.30 Dg100 10.850 工22b 36.524 [16 19.752 ┗70×6 6.406 ∫=1078.500 300×300×10×1594.50 Dg125 15.040 工24a 37.477 [18a 20.174 ┗70×77.398 ∫=1294.200 300×305×15×15106.00 Dg150 17.810 工24b 41.245 [18 23.000 ┗70×88.373 ∫=14 109.900 340×250×9×1479.70镀锌管Dg15 1.310 工25a 38.105 [20a 22.637 ┗75×6 6.905 ∫=16 125.600 344×348×10×16115.00 Dg20 1.700 工25b 42.030 [21a 25.777 ┗75×89.030 ∫=18 141.300 350×175×7×1150.00 Dg25 2.530 工28a 43.492 [22a 24.999 ┗80×67.376 ∫=20 157.000 390×300×10×16107.00 Dg32 3.270 工28b 47.888 [22 28.453 ┗80×89.658 ∫=22 172.700 396×199×7×1156.70 Dg40 4.010 工30a 48.084 [24b 30.628 ┗80×10 11.874 ∫=25 196.300 400×200×8×1366.00 Dg50 5.100 工30b 52.794 [25a 27.410 ┗90×68.350 ∫=28 219.800 440×300×11×18124.00 Dg70 6.930 工30c 57.504 [25b 31.335 ┗90×810.946 ∫=30 235.500 450×200×9×1476.50 Dg80 8.710 工32a 52.717 [25c 35.260 ┗90×10 13.476 ∫=32 251.200 482×300×11×15115.00 Dg100 11.340 工32b 57.741 [28a 31.427 ┗90×12 15.940 ∫=36 282.600 488×300×11×18129.00 Dg150 18.610工32c 62.765 [28b 35.823 ┗100×69.366名称规格菱形500×200×10×1689.60螺纹钢φ12 0.888 工36a 60.037 [28c 40.219 ┗100×8 12.276 Kg/M2 582×300×12×17137.00 φ14 1.210 工36b 65.689 [30a 34.463 ┗100×1015.120花纹板δ=2.5 21.600 588×300×12×20151.00 φ16 1.580 工36c 71.341 [30b 39.173 ┗100×1217.898 δ=3 25.600 596×199×10×1595.10 φ18 2.000 工40a 67.598 [30c 43.886 ┗110×8 13.532 δ=3.5 29.500 600×200×11×17106.00 φ20 2.470 工40b 73.878 [32a 38.088 ┗110×1016.690 δ=4 33.400 700×300×13×24185.00 φ22 2.980 工40c 80.158 [32b 43.107 ┗110×1219.782 ∫=4.5 37.300 700×300×13×24 185.00 φ25 3.850精选文档,供参考!工45b 87.485 [32c 48.131 ┗125×8 15.504 ∫=542.300钢轨38K 38.73 φ28 4.830工45c 94.550 [36a 47.814 ┗125×1019.133 ∫=5.5 46.200 43K 44.65 φ32 6.310 工56b 115.108 [36b 53.466 ┗125×1222.696 ∫=650.100 50K 51.51 φ36 7.990 工56c 123.900 [36c 59.118 ┗140×1021.488 δ=8 66.800 QU80 63.69 φ40 9.870工63b 131.298 [40a 58.928 ┗140×1225.522名称规格扁豆形钢材理论重量简易计算方法工63c 141.189 [40b 65.204 ┗140×1429.490 Kg/M2 圆钢:每米重量(Kg)=.00617×直径×直径[40c 71.488 ┗140×1633.393花纹板δ=2.5 22.600 方管:每米重量(Kg)=.00785×边宽×边宽线材φ6.5 0.260圆钢φ25 3.850 ┗160×1229.391 δ=3 26.600 六角钢:每米重量(Kg)=.0068×对边直径×对边直径φ8 0.395 φ30 5.550 ┗160×1433.987 δ=3.5 30.500 八角钢:每米重量(Kg)=.0065×对边直径×对边直径圆钢φ10 0.617 φ32 6.310 ┗160×1638.518 δ=4 34.400 螺纹钢:每米重量(Kg)=.00617×d0直径×d0直径φ12 0.888 φ36 7.990 ┗180×1430.589 ∫=4.5 38.300 *角钢:每米重量(Kg)=.00785×(边宽+边宽-边厚)×边厚φ14 1.210 φ40 9.870 ┗180×1643.542 ∫=542.300 扁钢:每米重量(Kg)=.00785×厚度×边宽φ16 1.580 φ42 11.990 ┗180×1848.634 ∫=5.5 46.200 无缝钢管:每米重量(Kg)=.02466×壁厚×(外经-壁厚)φ18 2.000 φ45 12.480 ┗200×1648.680 ∫=650.100 接缝钢管:每米重量(Kg)=.02466×壁厚×(外经-壁厚)φ20 2.470 φ48 14.210 ┗200×1854.401 δ=8 65.800 中厚钢板:每米m2 重量(Kg)=.00785×厚度φ22 2.980 φ50 15.420 ┗200×2060.056 δ=8 65.800 薄钢板:每米m2 重量(Kg)=.00786×厚度φ24 3.550 φ56 19.300 ┗200×2471.168精选文档,供参考!C型钢理论重量表工字钢规格表[工字钢规格表]工字钢简介精选文档,供参考!工字钢结构图工字钢也称钢梁,是截面为工字形的长条钢材。
常用钢材理论重量表一、热轧钢板(厚度:0.5200mm)1. 钢板厚度:0.5mm,宽度:1000mm,长度:2000mm,理论重量:5kg2. 钢板厚度:1.0mm,宽度:1000mm,长度:2000mm,理论重量:10kg3. 钢板厚度:1.5mm,宽度:1000mm,长度:2000mm,理论重量:15kg4. 钢板厚度:2.0mm,宽度:1000mm,长度:2000mm,理论重量:20kg5. 钢板厚度:2.5mm,宽度:1000mm,长度:2000mm,理论重量:25kg6. 钢板厚度:3.0mm,宽度:1000mm,长度:2000mm,理论重量:30kg7. 钢板厚度:4.0mm,宽度:1000mm,长度:2000mm,理论重量:40kg8. 钢板厚度:5.0mm,宽度:1000mm,长度:2000mm,理论重量:50kg9. 钢板厚度:6.0mm,宽度:1000mm,长度:2000mm,理论重量:60kg10. 钢板厚度:8.0mm,宽度:1000mm,长度:2000mm,理论重量:80kg11. 钢板厚度:10.0mm,宽度:1000mm,长度:2000mm,理论重量:100kg12. 钢板厚度:12.0mm,宽度:1000mm,长度:2000mm,理论重量:120kg13. 钢板厚度:14.0mm,宽度:1000mm,长度:2000mm,理论重量:140kg14. 钢板厚度:16.0mm,宽度:1000mm,长度:2000mm,理论重量:160kg15. 钢板厚度:18.0mm,宽度:1000mm,长度:2000mm,理论重量:180kg16. 钢板厚度:20.0mm,宽度:1000mm,长度:2000mm,理论重量:200kg二、冷轧钢板(厚度:0.25.0mm)1. 钢板厚度:0.2mm,宽度:1000mm,长度:2000mm,理论重量:2kg2. 钢板厚度:0.3mm,宽度:1000mm,长度:2000mm,理论重量:3kg3. 钢板厚度:0.4mm,宽度:1000mm,长度:2000mm,理论重量:4kg4. 钢板厚度:0.5mm,宽度:1000mm,长度:2000mm,理论重量:5kg5. 钢板厚度:0.6mm,宽度:1000mm,长度:2000mm,理论重量:6kg6. 钢板厚度:0.8mm,宽度:1000mm,长度:2000mm,理论重量:8kg7. 钢板厚度:1.0mm,宽度:1000mm,长度:2000mm,理论重量:10kg8. 钢板厚度:1.2mm,宽度:1000mm,长度:2000mm,理论重量:12kg9. 钢板厚度:1.5mm,宽度:1000mm,长度:2000mm,理论重量:15kg10. 钢板厚度:2.0mm,宽度:1000mm,长度:2000mm,理论重量:20kg11. 钢板厚度:2.5mm,宽度:1000mm,长度:2000mm,理论重量:25kg12. 钢板厚度:3.0mm,宽度:1000mm,长度:2000mm,理论重量:30kg13. 钢板厚度:4.0mm,宽度:1000mm,长度:2000mm,理论重量:40kg14. 钢板厚度:5.0mm,宽度:1000mm,长度:2000mm,理论重量:50kg三、无缝钢管(外径:10630mm,壁厚:1.040mm)1. 外径:10mm,壁厚:1.0mm,长度:6000mm,理论重量:0.6kg2. 外径:15mm,壁厚:1.0mm,长度:6000mm,理论重量:0.9kg3. 外径:20mm,壁厚:1.0mm,长度:6000mm,理论重量:1.2kg4. 外径:25mm,壁厚:1.0mm,长度:6000mm,理论重量:1.5kg5. 外径:32mm,壁厚:1.0mm,长度:6000mm,理论重量:1.9kg6. 外径:40mm,壁厚:1.0mm,长度:6000mm,理论重量:2.4kg7. 外径:50mm,壁厚:1.0mm,长度:6000mm,理论重量:3.0kg8. 外径:63mm,壁厚:1.0mm,长度:6000mm,理论重量:3.8kg9. 外径:80mm,壁厚:1.0mm,长度:6000mm,理论重量:4.8kg10. 外径:100mm,壁厚:1.0mm,长度:6000mm,理论重量:6.0kg11. 外径:125mm,壁厚:1.0mm,长度:6000mm,理论重量:7.5kg12. 外径:150mm,壁厚:1.0mm,长度:6000mm,理论重量:9.0kg13. 外径:200mm,壁厚:1.0mm,长度:6000mm,理论重量:12.0kg14. 外径:250mm,壁厚:1.0mm,长度:6000mm,理论重量:15.0kg15. 外径:300mm,壁厚:1.0mm,长度:6000mm,理论重量:18.0kg16. 外径:350mm,壁厚:1.0mm,长度:6000mm,理论重量:21.0kg17. 外径:400mm,壁厚:1.0mm,长度:6000mm,理论重量:24.0kg18. 外径:450mm,壁厚:1.0mm,长度:6000mm,理论重量:27.0kg19. 外径:500mm,壁厚:1.0mm,长度:6000mm,理论重量:30.0kg20. 外径:550mm,壁厚:1.0mm,长度:6000mm,理论重量:33.0kg21. 外径:600mm,壁厚:1.0mm,长度:6000mm,理论重量:36.0kg22. 外径:630mm,壁厚:1.0mm,长度:6000mm,理论重量:38.0kg常用钢材理论重量表一、热轧钢板(厚度:0.5200mm)1. 钢板厚度:0.5mm,宽度:1000mm,长度:2000mm,理论重量:5kg2. 钢板厚度:1.0mm,宽度:1000mm,长度:2000mm,理论重量:10kg3. 钢板厚度:1.5mm,宽度:1000mm,长度:2000mm,理论重量:15kg4. 钢板厚度:2.0mm,宽度:1000mm,长度:2000mm,理论重量:20kg5. 钢板厚度:2.5mm,宽度:1000mm,长度:2000mm,理论重量:25kg6. 钢板厚度:3.0mm,宽度:1000mm,长度:2000mm,理论重量:30kg7. 钢板厚度:4.0mm,宽度:1000mm,长度:2000mm,理论重量:40kg8. 钢板厚度:5.0mm,宽度:1000mm,长度:2000mm,理论重量:50kg60kg10. 钢板厚度:8.0mm,宽度:1000mm,长度:2000mm,理论重量:80kg11. 钢板厚度:10.0mm,宽度:1000mm,长度:2000mm,理论重量:100kg12. 钢板厚度:12.0mm,宽度:1000mm,长度:2000mm,理论重量:120kg13. 钢板厚度:14.0mm,宽度:1000mm,长度:2000mm,理论重量:140kg14. 钢板厚度:16.0mm,宽度:1000mm,长度:2000mm,理论重量:160kg15. 钢板厚度:18.0mm,宽度:1000mm,长度:2000mm,理论重量:180kg16. 钢板厚度:20.0mm,宽度:1000mm,长度:2000mm,理论重量:200kg二、冷轧钢板(厚度:0.25.0mm)1. 钢板厚度:0.2mm,宽度:1000mm,长度:2000mm,理论重量:2kg2. 钢板厚度:0.3mm,宽度:1000mm,长度:2000mm,理论重量:3kg3. 钢板厚度:0.4mm,宽度:1000mm,长度:2000mm,理论重量:4kg5kg5. 钢板厚度:0.6mm,宽度:1000mm,长度:2000mm,理论重量:6kg6. 钢板厚度:0.8mm,宽度:1000mm,长度:2000mm,理论重量:8kg7. 钢板厚度:1.0mm,宽度:1000mm,长度:2000mm,理论重量:10kg8. 钢板厚度:1.2mm,宽度:1000mm,长度:2000mm,理论重量:12kg9. 钢板厚度:1.5mm,宽度:1000mm,长度:2000mm,理论重量:15kg10. 钢板厚度:2.0mm,宽度:1000mm,长度:2000mm,理论重量:20kg11. 钢板厚度:2.5mm,宽度:1000mm,长度:2000mm,理论重量:25kg12. 钢板厚度:3.0mm,宽度:1000mm,长度:2000mm,理论重量:30kg13. 钢板厚度:4.0mm,宽度:1000mm,长度:2000mm,理论重量:40kg14. 钢板厚度:5.0mm,宽度:1000mm,长度:2000mm,理论重量:50kg三、无缝钢管(外径:10630mm,壁厚:1.040mm)1. 外径:10mm,壁厚:1.0mm,长度:6000mm,理论重量:0.6kg2. 外径:15mm,壁厚:1.0mm,长度:6000mm,理论重量:0.9kg3. 外径:20mm,壁厚:1.0mm,长度:6000mm,理论重量:1.2kg4. 外径:25mm,壁厚:1.0mm,长度:6000mm,理论重量:1.5kg5. 外径:32mm,壁厚:1.0mm,长度:6000mm,理论重量:1.9kg6. 外径:40mm,壁厚:1.0mm,长度:6000mm,理论重量:2.4kg7. 外径:50mm,壁厚:1.0mm,长度:6000mm,理论重量:3.0kg8. 外径:63mm,壁厚:1.0mm,长度:6000mm,理论重量:3.8kg9. 外径:80mm,壁厚:1.0mm,长度:6000mm,理论重量:4.8kg10. 外径:100mm,壁厚:1.0mm,长度:6000mm,理论重量:6.0kg11. 外径:125mm,壁厚:1.0mm,长度:6000mm,理论重量:7.5kg12. 外径:150mm,壁厚:1.0mm,长度:6000mm,理论重量:9.0kg13. 外径:200mm,壁厚:1.0mm,长度:6000mm,理论重量:12.0kg14. 外径:250mm,壁厚:1.0mm,长度:6000mm,理论重量:15.0kg15. 外径:300mm,壁厚:1.0mm,长度:6000mm,理论重量:18.0kg16. 外径:350mm,壁厚:1.0mm,长度:6000mm,理论重量:21.0kg17. 外径:400mm,壁厚:1.0mm,长度:6000mm,理论重量:24.0kg27.0kg19. 外径:500mm,壁厚:1.0mm,长度:6000mm,理论重量:30.0kg20. 外径:550mm,壁厚:1.0mm,长度:6000mm,理论重量:33.0kg21. 外径:600mm,壁厚:1.0mm,长度:6000mm,理论重量:36.0kg22. 外径:630mm,壁厚:1.0mm,长度:6000mm,理论重量:38.0kg四、角钢(规格:20x20mm 200x200mm)1. 规格:20x20mm,长度:6000mm,理论重量:1.2kg2. 规格:25x25mm,长度:6000mm,理论重量:1.6kg3. 规格:30x30mm,长度:6000mm,理论重量:2.1kg4. 规格:40x40mm,长度:6000mm,理论重量:3.2kg5. 规格:50x50mm,长度:6000mm,理论重量:4.3kg6. 规格:63x63mm,长度:6000mm,理论重量:5.4kg7. 规格:75x75mm,长度:6000mm,理论重量:7.0kg8. 规格:100x100mm,长度:6000mm,理论重量:10.0kg9. 规格:125x125mm,长度:6000mm,理论重量:14.0kg10. 规格:150x150mm,长度:6000mm,理论重量:18.0kg11. 规格:175x175mm,长度:6000mm,理论重量:23.0kg12. 规格:200x200mm,长度:6000mm,理论重量:28.0kg五、扁钢(厚度:350mm,宽度:20200mm)2. 厚度:4mm,宽度:25mm,长度:6000mm,理论重量:6.0kg3. 厚度:5mm,宽度:30mm,长度:6000mm,理论重量:9.0kg4. 厚度:6mm,宽度:40mm,长度:6000mm,理论重量:14.4kg5. 厚度:8mm,宽度:50mm,长度:6000mm,理论重量:24.0kg6. 厚度:10mm,宽度:60mm,长度:6000mm,理论重量:36.0kg7. 厚度:12mm,宽度:80mm,长度:6000mm,理论重量:57.6kg8. 厚度:16mm,宽度:100mm,长度:6000mm,理论重量:102.4kg9. 厚度:20mm,宽度:125mm,长度:6000mm,理论重量:168.0kg10. 厚度:25mm,宽度:150mm,长度:6000mm,理论重量:252.0kg11. 厚度:30mm,宽度:175mm,长度:6000mm,理论重量:378.0kg12. 厚度:40mm,宽度:200mm,长度:6000mm,理论重量:672.0kg13. 厚度:50mm,宽度:200mm,长度:6000mm,理论重量:840.0kg常用钢材理论重量表一、热轧钢板(厚度:0.5200mm)1. 钢板厚度:0.5mm,宽度:1000mm,长度:2000mm,理论重量:5kg2. 钢板厚度:1.0mm,宽度:1000mm,长度:2000mm,理论重量:10kg3. 钢板厚度:1.5mm,宽度:1000mm,长度:2000mm,理论重量:15kg4. 钢板厚度:2.0mm,宽度:1000mm,长度:2000mm,理论重量:20kg5. 钢板厚度:2.5mm,宽度:1000mm,长度:2000mm,理论重量:25kg6. 钢板厚度:3.0mm,宽度:1000mm,长度:2000mm,理论重量:30kg7. 钢板厚度:4.0mm,宽度:1000mm,长度:2000mm,理论重量:40kg8. 钢板厚度:5.0mm,宽度:1000mm,长度:2000mm,理论重量:50kg9. 钢板厚度:6.0mm,宽度:1000mm,长度:2000mm,理论重量:60kg10. 钢板厚度:8.0mm,宽度:1000mm,长度:2000mm,理论重量:80kg11. 钢板厚度:10.0mm,宽度:1000mm,长度:2000mm,理论重量:100kg12. 钢板厚度:12.0mm,宽度:1000mm,长度:2000mm,理论重量:120kg13. 钢板厚度:14.0mm,宽度:1000mm,长度:2000mm,理论重量:140kg14. 钢板厚度:16.0mm,宽度:1000mm,长度:2000mm,理论重量:160kg15. 钢板厚度:18.0mm,宽度:1000mm,长度:2000mm,理论重量:180kg16. 钢板厚度:20.0mm,宽度:1000mm,长度:2000mm,理论重量:200kg二、冷轧钢板(厚度:0.25.0mm)1. 钢板厚度:0.2mm,宽度:1000mm,长度:2000mm,理论重量:2kg2. 钢板厚度:0.3mm,宽度:1000mm,长度:2000mm,理论重量:3kg3. 钢板厚度:0.4mm,宽度:1000mm,长度:2000mm,理论重量:4kg4. 钢板厚度:0.5mm,宽度:1000mm,长度:2000mm,理论重量:5kg5. 钢板厚度:0.6mm,宽度:1000mm,长度:2000mm,理论重量:6kg6. 钢板厚度:0.8mm,宽度:1000mm,长度:2000mm,理论重量:8kg7. 钢板厚度:1.0mm,宽度:1000mm,长度:2000mm,理论重量:10kg8. 钢板厚度:1.2mm,宽度:1000mm,长度:2000mm,理论重量:12kg9. 钢板厚度:1.5mm,宽度:1000mm,长度:2000mm,理论重量:15kg10. 钢板厚度:2.0mm,宽度:1000mm,长度:2000mm,理论重量:20kg11. 钢板厚度:2.5mm,宽度:1000mm,长度:2000mm,理论重量:25kg12. 钢板厚度:3.0mm,宽度:1000mm,长度:2000mm,理论重量:30kg13. 钢板厚度:4.0mm,宽度:1000mm,长度:2000mm,理论重量:40kg14. 钢板厚度:5.0mm,宽度:1000mm,长度:2000mm,理论重量:50kg三、无缝钢管(外径:10630mm,壁厚:1.040mm)1. 外径:10mm,壁厚:1.0mm,长度:6000mm,理论重量:0.6kg2. 外径:15mm,壁厚:1.0mm,长度:6000mm,理论重量:0.9kg3. 外径:20mm,壁厚:1.0mm,长度:6000mm,理论重量:1.2kg4. 外径:25mm,壁厚:1.0mm,长度:6000mm,理论重量:1.5kg5. 外径:32mm,壁厚:1.0mm,长度:6000mm,理论重量:1.9kg6. 外径:40mm,壁厚:1.0mm,长度:6000mm,理论重量:2.4kg7. 外径:50mm,壁厚:1.0mm,长度:6000mm,理论重量:3.0kg8. 外径:63mm,壁厚:1.0mm,长度:6000mm,理论重量:3.8kg9. 外径:80mm,壁厚:1.0mm,长度:6000mm,理论重量:4.8kg10. 外径:100mm,壁厚:1.0mm,长度:6000mm,理论重量:6.0kg11. 外径:125mm,壁厚:1.0mm,长度:6000mm,理论重量:7.5kg12. 外径:150mm,壁厚:1.0mm,长度:6000mm,理论重量:9.0kg13. 外径:200mm,壁厚:1.0mm,长度:6000mm,理论重量:12.0kg14. 外径:250mm,壁厚:1.0mm,长度:6000mm,理论重量:15.0kg15. 外径:300mm,壁厚:1.0mm,长度:6000mm,理论重量:18.0kg16. 外径:350mm,壁厚:1.0mm,长度:6000mm,理论重量:21.0kg17. 外径:400mm,壁厚:1.0mm,长度:6000mm,理论重量:24.0kg18. 外径:450mm,壁厚:1.0mm,长度:6000mm,理论重量:27.0kg19. 外径:500mm,壁厚:1.0mm,长度:6000mm,理论重量:30.0kg20. 外径:550mm,壁厚:1.0mm,长度:6000mm,理论重量:33.0kg21. 外径:600mm,壁厚:1.0mm,长度:6000mm,理论重量:36.0kg22. 外径:630mm,壁厚:1.0mm,长度:6000mm,理论重量:38.0kg四、角钢(规格:20x20mm 200x200mm)1. 规格:20x20mm,长度:6000mm,理论重量:1.2kg2. 规格:25x25mm,长度:6000mm,理论重量:1.6kg3. 规格:30x30mm,长度:6000mm,理论重量:2.1kg4. 规格:40x40mm,长度:6000mm,理论重量:3.2kg5. 规格:50x50mm,长度:6000mm,理论重量:4.3kg6. 规格:63x63mm,长度:6000mm,理论重量:5.4kg7. 规格:75x75mm,长度:6000mm,理论重量:7.0kg8. 规格:100x100mm,长度:6000mm,理论重量:10.0kg9. 规格:125x125mm,长度:6000mm,理论重量:14.0kg10. 规格:150x150mm,长度:6000mm,理论重量:18.0kg11. 规格:175x175mm,长度:6000mm,理论重量:23.0kg12. 规格:200x200mm,长度:6000mm,理论重量:28.0kg五、扁钢(厚度:350mm,宽度:20200mm)1. 厚度:3mm,宽度:20mm,长度:6000mm,理论重量:3.6kg2. 厚度:4mm,宽度:25mm,长度:6000mm,理论重量:6.0kg3. 厚度:5mm,宽度:30mm,长度:6000mm,理论重量:9.0kg4. 厚度:6mm,宽度:40mm,长度:6000mm,理论重量:14.4kg5. 厚度:8mm,宽度:50mm,长度:6000mm,理论重量:24.0kg6. 厚度:10mm,宽度:60mm,长度:6000mm,理论重量:36.0kg7. 厚度:12mm,宽度:80mm,长度:6000mm,理论重量:57.6kg8. 厚度:16mm,宽度:100mm,长度:6000mm,理论重量:102.4kg9. 厚度:20mm,宽度:125mm,长度:6000mm,理论重量:168.0kg10. 厚度:25mm,宽度:150mm,长度:6000mm,理论重量:252.0kg11. 厚度:30mm,宽度:175mm,长度:6000mm,理论重量:378.0kg12. 厚度:40mm,宽度:200mm,长度:6000mm,理论重量:672.0kg13. 厚度:50mm,宽度:200mm,长度:6000mm,理论重量:840.0kg六、工字钢(高度:100600mm,翼缘宽度:50300mm)1. 规格:100x50mm,长度:6000mm,理论重量:9.8kg2. 规格:125x64mm,长度:6000mm,理论重量:12.7kg3. 规格:150x75mm,长度:6000mm,理论重量:15.8kg4. 规格:175x88mm,长度:6000mm,理论重量:19.0kg5. 规格:200x100mm,长度:6000mm,理论重量:22.4kg6. 规格:250x125mm,长度:6000mm,理论重量:28.1kg7. 规格:300x150mm,长度:6000mm,理论重量:35.6kg8. 规格:350x175mm,长度:6000mm,理论重量:44.1kg9. 规格:400x200mm,长度:6000mm,理论重量:53.7kg10. 规格:450x225mm,长度:6000mm,理论重量:64.2kg11. 规格:500x250mm,长度:6000mm,理论重量:76.8kg12. 规格:550x275mm,长度:6000mm,理论重量:91.4kg13. 规格:600x300mm,长度:6000mm,理论重量:108.0kg。
常用钢材理论重量表大全速查
宽、中、窄H型钢:点击>>工程资料免费下载
C型钢点击>>工程资料免费下载
12088.8113 12596.3123 130104133 140121154 150139177
160
————±2.0158201
170178227 180200254 190223283
200
————±2.5247314
220298——250385——直缝电焊钢管:
钢材理论重量计算:
钢材理论重量计算的计量单位为公斤(kg)。
其基本公式为:W(重量,kg) = F(断面积mm2)×L(长度,m)×ρ(密度,g/cm3)×1/1000。
角钢:每米重量=0.00785*(边宽+边宽-边厚)*边厚
圆钢:每米重量=0.00617*直径*直径(螺纹钢和圆钢相同)
扁钢:每米重量=0.00785*厚度*边宽
管材:每米重量=0.02466*壁厚*(外径-壁厚)
板材:每米重量=7.85*厚度*宽度
黄铜管:每米重量=0.02670*壁厚*(外径-壁厚)
紫铜管:每米重量=0.02796*壁厚*(外径-壁厚)
铝花纹板:每平方米重量=2.96*厚度
有色金属比重:紫铜板8.9黄铜板8.5锌板7.2铅板11.37
有色金属板材的计算公式为:每平方米重量=比重*厚度
钢的密度为:7.85g/cm3,各种钢材理论重量计算公式如下:。
钢材理论重量表钢材是一种高强度、耐腐蚀性强的金属材料,广泛应用于建筑、机械制造、船舶、桥梁等领域。
在使用钢材时,我们需要了解其理论重量,以便进行计算和选择合适的钢材规格。
下面,我们来介绍一下钢材的理论重量表。
钢材的理论重量计算公式为:理论重量(kg/m)=截面积(mm²)×密度(g/cm³)÷1000钢材的截面积是指其横截面积,可以通过计算或查阅手册得知。
而密度是指钢材的单位体积重量,通常为7.85g/cm³。
下面是常见钢材规格的理论重量表,供大家参考:1. 热轧钢板规格(mm)截面积(mm²)理论重量(kg/m)1.5×1500×6000 13500000 100.52.0×1500×6000 18000000 134.02.5×1500×6000 22500000 167.53.0×1500×6000 27000000 201.04.0×1500×6000 36000000 268.05.0×1500×6000 45000000 335.06.0×1500×6000 54000000 402.08.0×1500×6000 72000000 536.010×1500×6000 90000000 670.02. 冷轧钢板规格(mm)截面积(mm²)理论重量(kg/m)1.0×1500×6000 9000000 66.751.2×1500×6000 10800000 80.11.5×1500×6000 13500000 100.52.0×1500×6000 18000000 134.02.5×1500×6000 22500000 167.53.0×1500×6000 27000000 201.04.0×1500×6000 36000000 268.03. 工字钢规格(mm)截面积(mm²)理论重量(kg/m)100×50×5×7 13800 10.9120×55×5×7 16620 13.1126×60×5×8 20280 15.9140×60×6×8 24640 19.4160×63×6.5×9 31120 24.5180×68×7×10 39120 30.7200×73×7×11 48400 38.1220×77×7×12 58240 45.8250×78×7×12 67500 53.04. 角钢规格(mm)截面积(mm²)理论重量(kg/m)25×25×3 1875 1.4630×30×3 2250 1.7530×30×4 3000 2.3440×40×3 3000 2.3440×40×4 4000 3.1240×40×5 5000 3.9050×50×4 5000 3.9050×50×5 6250 4.9050×50×6 7500 5.86以上为常见钢材的理论重量表,希望对您有所帮助。
1451672380为方便广大钢材购销人员,提高效率。
特为您制做常用钢材理论重量表及计算公式。
愿给您带来方便。
角钢(等边)槽钢工字钢焊管热镀锌管圆钢规格公斤/米规格公斤/米规格公斤/米规格公斤/米公斤/米规格公斤/米20*30.8895#5.43810#11.261DN15 1/2〞1.261.338 MM0.395 25*31.1246.3#6.63412#13.987DN20 3/4〞1.631.7310 MM0.617 30*31.3736.5#6.70912#B14.223DN25 1〞2.422.5712 MM0.888 40*42.4228#8.04614#16.890DN32 11/4〞3.123.3214MM1.21 50*53.7710#10.00716#20.513DN40 11/2〞3.844.0716MM1.58 63*65.72112#A12.05918#24.143DN50 2〞4.885.1718MM2.00 70*77.39812#B12.31820#27.929DN65 21/2〞6.647.0420MM2.47 75*77.97614#14.53520#B36.524DN80 3〞8.348.8422MM2.98 75*89.03014#B16.73322#33.070DN100 4〞10.8511.524MM3.55 80*89.65816#17.24022#B36.524DN125 5〞15.0415.9425MM3.85 80*1011.87416#B19.75224#37.477DN150 6〞17.8118.8828MM4.83 90*810.94618#20.17424#B41.245DN200 8〞31.5233.4130MM5.55 90*1013.47618#B23.0025#38.10532 MM6.31 100*1015.12020#22.63725#B42.030扁钢公斤/米花纹板公斤/㎡35 MM7.55 110*1016.69020#B25.77727#42.82516*20.253MM26.638 MM8.9 125*1019.13322#24.99927#B47.08420*30.474MM34.440 MM9.87 125*1222.69622#B28.45328#43.49225*30.595MM42.342 MM10.87 140*1225.52224#26.86028#B47.88830*30.716MM50.145 MM12.43 140*1429.49024#B30.62830#48.08440*41.268MM65.850 MM15.42 160*1233.98725#27.41030#B52.79450*51.96钢板公斤/㎡55 MM18.60 160*1438.51825#B31.33532#57.74160*62.831MM7.8560 MM22.20 180*1643.54227#35.07732#B70*73.851.2 MM9.4265 MM26.00180*1848.63427#B39.31636#60.03780*85.021.5MM11.77570 MM30.20 200*1854.40128#35.82336#B65.68990*96.361.8MM4.3675 MM34.70 200*2060.05628#B40.21940#67.589100*107.852.0MM15.780 MM39.5 200*2471.16830#34.46340#B73.87100*86.282.5MM19.6385 MM44.58 30#B39.17350#B101.5543.0MM23.5590 MM49.90无缝钢管计算公式为:外径-臂厚*臂厚*0。
镀锌方管每米理论重量的计算
4*(边长-厚度)*0.00785*1.06*厚度
其中,边长和壁厚都以毫米为单位,直接把数值代入上述公式,得出即为每米方管的重量,以
方管理论重量表
如30 x 30 x 2.5毫米的方管,按上述公式即可算出其每米重量为:4 x 2.5 x (30-2.5) x 7.85=275 x 7 当壁厚和边长都以毫米为单位时,4 x壁厚x (边长-壁厚)算出的是每米长度方管的体积,以立方厘米
7.02*1.06=7.4412
方管理论重量计算公式
4 x 壁厚 x (边长-壁厚) x 7.85
其中,边长和壁厚都以毫米为单位,直接把数值代入上述公式,得出即为每米方管的重量,以克为单位4 x 2.5 x (30-2.5) x 7.85=275 x 7.85=2158.75克,即约2.16公斤
当壁厚和边长都以毫米为单位时,4 x壁厚x (边长-壁厚)算出的是每米长度方管的体积,以立方厘米为
7.03
量,以千克为单位。
30-2.5) x 7.85=275 x 7.85=2158.75克,即约2.16公斤。
管的体积,以立方厘米为单位,再乘以铁的比重每立方厘米7.85克,得出即为每米方管以千克为单位的重量。
量,以克为单位。
如30 x 30 x 2.5毫米的方管,按上述公式即可算出其每米重量为:
的体积,以立方厘米为单位,再乘以铁的比重每立方厘米7.85克,得出即为每米方管以克为单位的重量。
克为单位的重量。
量。