高一数学函数的基本性质知识点练习题
- 格式:doc
- 大小:130.00 KB
- 文档页数:7
高一数学函数的基本性质试题答案及解析1.若函数是偶函数,则的增区间是.【答案】或【解析】由条件,得,即,所以原函数为,所以函数的增区间为.【考点】函数的奇偶性与单调性.2.(12分)已知是定义在R上的奇函数,当时,,其中且. (1)求的值;(2)求的解析式;【答案】(1)0(2)【解析】(1)因是奇函数,所以有,所以=0.……4分(2)当时,,,由是奇函数有,,……12分【考点】本小题主要考查利用函数的奇偶性求函数值和函数解析式的求取,考查学生对函数性质的应用能力.点评:对于分段函数,当已知一段函数的表达式要求另一段时,要利用函数的性质,并且要注意“求谁设谁”的原则.3.已知函数是定义在实数集R上的不恒为零的偶函数,且对任意实数都有,则的值是A.B.C.D.【答案】A【解析】令,可得,令,得所以,令,得,同理令可得,所以【考点】本小题主要考查函数的奇偶性和抽象函数的求值问题,考查学生的运算求解能力.点评:解决抽象函数问题,常用的方法是“赋值法”.4.已知函数的定义域为,为奇函数,当时,,则当时,的递减区间是.【答案】【解析】因为为奇函数,所以的图象关于对称,当时,,所以当时,函数的单调递减区间为,因为图象关于对称,所以当时,的递减区间是.【考点】本小题主要考查函数图象和性质的应用,考查学生数形结合思想的应用和推理能力.点评:解决本小题的关键是分析出函数的图象关于对称,在关于对称的两个区间上单调性相同.5.(本小题12分)已知函数,(1)判断函数在区间上的单调性;(2)求函数在区间是区间[2,6]上的最大值和最小值.【答案】(1)函数是区间上的减函数;(2),【解析】(1)设是区间上的任意两个实数,且,则-==.由得,,于是,即.所以函数是区间上的减函数. ……6分(2)由(1)知函数函数在区间的两个端点上分别取得最大值与最小值,即当时,;当时,. ……12分【考点】本小题主要考查利用定义判断函数的单调性和利用函数的单调性求函数的最值,考查学生对定义的掌握和利用能力以及数形结合思想的应用.点评:利用单调性的定义判断或证明函数的单调性时,要把结果划到最简,尽量不要用已知函数的单调性判断未知函数的单调性.6.设偶函数的定义域为,当时是增函数,则的大小关系是()A.B.C.D.【答案】A【解析】因为是偶函数,所以,而当时是增函数,所以.【考点】本小题主要考查函数奇偶性和单调性的综合应用,考查学生的逻辑推理能力.点评:函数的奇偶性和单调性经常结合考查,要熟练准确应用.7.已知是偶函数,且当时,,则当时,【答案】【解析】由题意知,当时,,所以,又因为是偶函数,所以,所以当时,.【考点】本小题主要考查利用函数的奇偶性求函数的解析式,考查学生的运算求解能力.点评:此类问题要注意求谁设谁.8.(本小题满分13分)已知定义域为的函数是奇函数。
高一函数性质总复习经典题目(带答案)-CAL-FENGHAI-(2020YEAR-YICAI)_JINGBIAN函数概念与性质1.设M ={x |-2≤x ≤2},N ={y |0≤y ≤2},函数f (x )的定义域为M ,值域为N ,则f (x )的图象可以是( B )2.若奇函数()x f 在[]3,1上为增函数,且有最小值0,则它在[]1,3--上( D )A .是减函数,有最小值0B .是增函数,有最小值0C .是减函数,有最大值0D .是增函数,有最大值03.有下列函数:①2||32+-=x x y ;②]2,2(,2-∈=x x y ;③3x y =;④1-=x y ,其中是偶函数的有:( A )(A )① (B )①③ (C )①② (D )②④4.已知()y f x =是定义在R 上的偶函数, 且在( 0 , + ∞)上是减函数,如果x 1 < 0 , x 2 > 0 , 且| x 1 | < | x 2 | , 则有( C )A .f (-x 1 ) + f (-x 2 ) > 0 B. f ( x 1 ) + f ( x 2 ) < 0C. f (-x 1 ) -f (-x 2 ) > 0D. f ( x 1 ) -f ( x 2 ) < 05.设函数{2,0,()2,0.x bx c x f x x ++≤=>若f(-4)=f(0),f(-2)=-2,则关于x 的方程()f x x =的解的个数为 ( C )(A) 1 (B )2 (C )3 (D )46、函数2112xyx x -=++-是 ( B )A .奇函数B .偶函数C .非奇非偶函数D .是奇函数又是偶函数7、已知函数2()f x ax x c =--,且()0f x >的解集为(-2,1)则函数()y f x =-的图象为(D )8..已知函数f(x)是R上的增函数,A(0,-1),B(3,1)是其图像上的两点,那么|(21)|1f x -+<的解集的补集为 ( c )A .(-1,21)B .(-5,1)C .(],1-∞-⋃[12,)+∞ D .(][)+∞⋃-∞-,15,9.已知x x x f 2)12(2-=+,则()f x = . 答案:265()4x x f x -+= 10.已知函数)(x f 是一次函数,且14)]([-=x x f f ,则函数)(x f 的解析式为 .答案:1()2,3f x x =-或()21f x x =-+… 11.函数0y=_____________________.{}|0x x <答案: 12.已知()538,f x x ax bx =++-()210f -=,则()2f = 答案:-2613.已知函数2()48f x x kx =--在[5,20]上具有单调性,实数k 的取值范围是 16040k k ≥≤答案:或14.已知函数()y f x =为奇函数,且当0x >时,2()23f x x x =-+;则当0x <时,()f x = 2()23f x x x =---答案:15.已知3(9)(),(7)[(4)](9)x x f x f f f x x -≥⎧==⎨+<⎩则 答案 6: 16. 已知奇函数()y f x =在定义域(1,1)-上是减函数,且(1)(12)0f a f a -+-<,则a 的取值范围是答案:15.20,3⎛⎫⎪ ⎭⎝ 17、已知1(0)()1(0)x f x x ≥⎧=⎨-<⎩ ,则不等式(1)(1)5x x f x +++≤的解集是 答案: (]2-∞,;18. 已知()f x 是奇函数,()g x 是偶函数,且1()()1f xg x x -=+,则()f x 、()g x . 221(),()11x f x g x x x ==--答案: 19.(12分)已知函数f (x )=ax 2+bx +3a +b 为偶函数,其定义域为[a -1,2a ],求f (x )的值域.解 ∵f (x )是偶函数,∴定义域[a -1,2a ]关于原点对称.∴a =13,b =0. ∴f (x )=13x 2+1,x ∈⎣⎡⎦⎤-23,23. ∴f (x )的值域为⎣⎡⎦⎤1,3127.20.本小题满分10分设0)(,)8()(2>---+=x f ab a x b ax x f 不等式的解集是(3,2)-.(1)求f (x ); (2)当函数f (x )的定义域是[0,1]时,求函数f (x )的值域.20、解:(1)由已知方程f (x )=0的两根为-3和2(a <0)由韦达定理得⎩⎨⎧=-=⇒⎪⎪⎩⎪⎪⎨⎧-=---=-53618b a a ab a a b从而1833)(2+--=x x x f …………………………………………6分 (2)4318)41(3)(2+++-=x x x f =4318)21(32++-x 而]1,0[∈x 对称轴,21-=x 从而]1,0[)(在x f 上为减函数 所以,当12)(,1,18)(,0min max ====x f x x f x 时当时故所求函数)(x f 的值域为[12,18]…………………………12分21、(满分12分)已知奇函数222(0)()0(0)(0)x x x f x x x mx x ⎧-+>⎪==⎨⎪+<⎩(1)求实数m 的值,并在给出的直角坐标系中画出()y f x =的图象;(2)若函数f (x )在区间[-1,|a |-2]上单调递增,试确定a 的取值范围.21、(1)当 x <0时,-x >0,22()()2()2f x x x x x -=-+-=--又f (x )为奇函数,∴2()()2f x f x x x -=-=--,∴ f (x )=x 2+2x ,∴m =2 ……………4分y =f (x )的图象如右所示……………6分 (2)由(1)知f (x )=222(0)0(0)2(0)x x x x x x x ⎧-+>⎪=⎨⎪+<⎩,…8分由图象可知,()f x 在[-1,1]上单调递增,要使()f x 在[-1,|a |-2]上单调递增,只需||21||21a a ->-⎧⎨-≤⎩ ……………10分解之得3113a a -≤<-<≤或……………12分22.(12分)定义在实数集R 上的函数y =f (x )是偶函数,当x ≥0时,f (x )=-4x 2+8x -3.(1)求f (x )在R 上的表达式;(2)求y =f (x )的最大值,并写出f (x )在R 上的单调区间(不必证明).解 (1)设x <0,则-x >0,f (-x )=-4(-x )2+8(-x )-3=-4x 2-8x -3.∵f (x )是R 上的偶函数,∴f (-x )=f (x ),∴当x <0时,f (x )=-4x 2-8x -3.∴f (x )=⎩⎪⎨⎪⎧ -4x 2+8x -3 (x ≥0)-4x 2-8x -3 (x <0),即f (x )=⎩⎪⎨⎪⎧-4(x -1)2+1 (x ≥0)-4(x +1)2+1 (x <0). (2)∵y =f (x )开口向下,∴y =f (x )有最大值,f (x )max =f (-1)=f (1)=1.函数y =f (x )的单调递增区间是(-∞,-1]和[0,1],单调递减区间是[-1,0]和[1,+∞).23.(14分)已知函数f (x )的定义域为(-2,2),函数g (x )=f (x -1)+f (3-2x ).(1)求函数g (x )的定义域;(2)若f (x )是奇函数,且在定义域上单调递减,求不等式g (x )≤0的解集.解 (1)由题意可知⎩⎪⎨⎪⎧ -2<x -1<2,-2<3-2x <2,∴⎩⎪⎨⎪⎧-1<x <3,12<x <52. 解得12<x <52. 故函数g (x )的定义域为⎝⎛⎭⎫12,52.(2)由g (x )≤0,得f (x -1)+f (3-2x )≤0,∴f (x -1)≤-f (3-2x ).∵f (x )为奇函数,∴f (x -1)≤f (2x -3).而f (x )在(-2,2)上单调递减. ∴⎩⎪⎨⎪⎧x -1≥2x -3,12<x <52.解得12<x ≤2. ∴g (x )≤0的解集为⎝⎛⎦⎤12,2.。
高一数学函数的基本性质(定义域、值域、单调性、奇偶性)一. 求函数的解析式1、求函数解析式的一般方法有:(1)直接法:根据题给条件,合理设置变量,寻找或构造变量之间的等量关系,列出等式,解出y 。
(2)待定系数法:若明确了函数的类型,可以设出其一般形式,然后代值求出参数的值; (3)换元法:若给出了复合函数f [g (x )]的表达式,求f (x )的表达式时可以令t =g (x ),以换元法解之;(4)构造方程组法:若给出f (x )和f (-x ),或f (x )和f (1/x )的一个方程,则可以x 代换-x (或1/x ),构造出另一个方程,解此方程组,消去f (-x )(或f (1/x ))即可求出f (x )的表达式;(5)根据实际问题求函数解析式:设定或选取自变量与因变量后,寻找或构造它们之间的等量关系,列出等式,解出y 的表达式;要注意,此时函数的定义域除了由解析式限定外,还受其实际意义限定。
方法一、换元法:题目给出了与所求函数有关的复合函数表达式,可将内函数用一个变量代换。
例1. 已知2211()x x x f x x +++=,试求()f x 。
解:设1x t x +=,则11x t =-,代入条件式可得:2()1f t t t =-+,t ≠1。
故得:2()1,1f x x x x =-+≠。
说明:要注意转换后变量范围的变化,必须确保等价变形。
方法二、构造方程组法:对同时给出所求函数及与之有关的复合函数的条件式,可以据此构造出另一个方程,联立求解。
例2. (1)已知21()2()345f x f x x x +=++,试求()f x ;(2)已知2()2()345f x f x x x +-=++,试求()f x ; 解:(1)由条件式,以1x 代x ,则得2111()2()345f f x x x x +=++,与条件式联立,消去1f x ⎛⎫⎪⎝⎭,则得:()222845333x f x x x x =+--+。
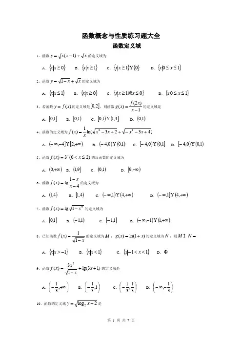
函数概念与性质练习题大全函数定义域1、函数x x x y +-=)1(的定义域为 A .{}0≥x x B .{}1≥x x C .{}{}01Y ≥x x D .{}10≤≤x x2、函数x x y +-=1的定义域为 A .{}1≤x x B .{}0≥x x C .{}01≤≥x x x 或 D .{}10≤≤x x3、若函数)(x f y =的定义域是[]2,0,则函数1)2()(-=x x f x g 的定义域是 A .[]1,0 B .[)1,0 C .[)(]4,11,0Y D .()1,04、函数的定义域为)4323ln(1)(22+--++-=x x x x x x f A .(][)+∞-∞-,24,Y B .()()1,00,4Y - C .[)(]1,00,4Y - D .[)()1,00,4Y -5、函数)20(3)(≤<=x x f x 的反函数的定义域为 A .()+∞,0 B .(]9,1 C .()1,0 D .[)+∞,96、函数41lg )(--=x x x f 的定义域为 A .()4,1 B .[)4,1 C .()()+∞∞-,41,Y D .(]()+∞∞-,41,Y7、函数21lg )(x x f -=的定义域为 A .[]1,0 B .()1,1- C .[]1,1- B .()()+∞-∞-,11,Y8、已知函数x x f -=11)(的定义域为M ,)1ln()(x x g +=的定义域为N ,则=N M IA .{}1->x xB .{}1<x xC .{}11<<-x xD .Φ9、函数)13lg(13)(2++-=x x x x f 的定义域是 A .⎪⎭⎫ ⎝⎛+∞-,31 B .⎪⎭⎫ ⎝⎛-1,31 C .⎪⎭⎫ ⎝⎛-31,31 D .⎪⎭⎫ ⎝⎛-∞-31, 10、函数的定义域2log 2-=x y 是A .()+∞,3B .[)+∞,3C .()+∞,4D .[)+∞,411、函数的定义域x y 2log =是 A .(]1,0 B .()+∞,0 C .()+∞,1 D .[)+∞,112、函数)1(log 12)(2---=x x x f 的定义域为 . 函数与值域练习题一、填空题1、定义在R 上的函数()f x 满足()()()2(,),(1)2f x y f x f y xy x y R f +=++∈=,则(0)f = ,(2)f -= 。
高一数学必修一函数的基本性练习题函数的基本性质综合练一.选择题:(本大题共10题,每小题5分,共50分)1.若函数 y = ax 与 y = -bx 在(0.+∞) 上都是减函数,则 y = ax + bx 在(0.+∞) 上是()A。
增函数 B。
减函数 C。
先增后减 D。
先减后增2.已知函数 f(x) = (m-1)x² + (m-2)x + (m-7m+12) 为偶函数,则 m 的值是()A。
1 B。
2 C。
3 D。
43.设 f(x) 是 (-∞。
+∞) 上的增函数,a 为实数,则有()A。
f(a)。
f(a)4.如果奇函数 f(x) 在区间 [3,7] 上是增函数且最大值为 5,那么 f(x) 在区间 [-7,-3] 上是()A。
增函数且最小值是 -5 B。
增函数且最大值是 -5 C。
减函数且最大值是 -5 D。
减函数且最小值是 -55.已知定义域为{x|x ≠ 0} 的函数 f(x) 为偶函数,且 f(x) 在区间 (-∞,0) 上是增函数,若 f(-3) = 2,则 f(x)/x < 0 的解集为()A。
(-3,0)∪(0,3) B。
(-∞,-3)∪(0,3) C。
(-∞,-3)∪(3.+∞) D。
(-3,0)∪(3.+∞)6.当 x ∈ [0,5] 时,函数 f(x) = 3x² - 4x + c 的值域为()A。
[c,5+5c] B。
[-c,c] C。
[-5+c,5+c] D。
[c,20+c]7.设 f(x) 为定义在 R 上的奇函数。
当x ≥ 1 时,f(x) = 2x +b (b 为常数),则 f(-1) 等于()A。
3 B。
1 C。
-1 D。
-38.下列函数在 (0,1) 上是增函数的是()A。
y = 1-2x B。
y = x-1 C。
y = -x²+2x D。
y = 59.下列四个集合:① A = {x ∈ R | y = x+1} ② B = {y | y =x+1.x ∈ R} ③ C = {(x,y) | y = x²+1.x ∈ R} ④ D = {不小于 1 的实数}。
函数的基本性质习题课问题1:如何从图象特征上得到奇函数、偶函数、增函数、减函数? 问题2:如何从解析式得到奇函数、偶函数、增函数、减函数的定义?【例1】已知函数()f x (1)判断()f x 的奇偶性,并证明; (2)讨论()f x 的单调性,并证明.【例2】利用函数的性质,作函数xx x f 1)(+=的图像.※ 知识拓展对勾函数:形如()bf x ax x=+(0,0)a b >>这样的函数,称作对勾函数,由图像得名。
性质:(1)奇函数(2)增区间:(,-∞和,)+∞;(3)减区间:[和 变化趋势:在y 轴左边,增减,在y 轴右边,减增,是两个勾。
【例3】作出函数y =x 2-2|x |-3的图象,指出单调区间及单调性.小结:利用偶函数性质,先作y 轴右边,再对称作. 变式:y =|x 2-2x -3| 的图象如何作?反思:如何由()f x 的图象,得到(||)f x 、|()|f x 的图象?※ 知识拓展形如(||)f x 与|()|f x 的含绝对值的函数,可以化分段函数分段作图,还可由对称变换得到图象. (||)f x 的图象可由偶函数的对称性,先作y 轴右侧的图象,并把y 轴右侧的图象对折到左侧. |()|f x 的图象,先作()f x 的图象,再将x 轴下方的图象沿x 轴对折到x 轴上方.【例4】1.已知()f x 是定义(,)-∞+∞上的奇函数,且()f x 在[)0,+∞上是减函数. 下列关系式中正确的是 A. (5)(5)f f >-B.(4)(3)f f <C. (2)(2)f f ->D.(8)(8)f f -=2.已知()f x 是定义(,)-∞+∞上的奇函数,且()f x 在(0,)+∞上是减函数. 下列关系式中正确的是 A. (5)(5)f f >- B.(4)(3)f f < C. (2)(2)f f -> D.(8)(8)f f -=3.若)(x f 是偶函数,其定义域为()+∞∞-,,且在[)+∞,0上是减函数,则)252()23(2++-a a f f 与的大小关系是( )A .)23(-f >)252(2++a a fB .)23(-f <)252(2++a a fC .)23(-f ≥)252(2++a a fD .)23(-f ≤)252(2++a a f4.设函数()f x 是定义在R 上的奇函数,且在区间]0,(-∞上是减函数,实数a 满足不等式(3)(21)0f a f a -+-<,求实数a 的取值范围.【例5】已知函数2()8f x x x =-+,求()f x 在区间[],1t t +上的最大值()h t .函数的基本性质练习一、选择题:1.下面说法正确的选项()A .函数的单调区间可以是函数的定义域B .函数的多个单调增区间的并集也是其单调增区间C .具有奇偶性的函数的定义域定关于原点对称D .关于原点对称的图象一定是奇函数的图象2.函数c bx x y ++=2))1,((-∞∈x 是单调函数时,b 的取值范围() A .2-≥b B .2-≤b C .2->b D . 2-<b 3.如果偶函数在],[b a 具有最大值,那么该函数在],[a b --有() A .最大值 B .最小值 C .没有最大值 D . 没有最小值 4.函数px x x y +=||,R x ∈是()A .偶函数B .奇函数C .不具有奇偶函数D .与p 有关5.函数()11f x x x =+--,那么()f x 的奇偶性是 ( )A .奇函数B .既不是奇函数也不是偶函数C .偶函数D .既是奇函数也是偶函数6.函数(||1)y x x =-(|x |≤3)的奇偶性是 ( )A .奇函数 B. 偶函数 C. 非奇非偶函数 D. 既奇又偶函数7.定义在R 上的偶函数)(x f ,满足)()1(x f x f -=+,且在区间]0,1[-上为递增,则 () A .)2()2()3(f f f << B .)2()3()2(f f f << C .)2()2()3(f f f <<D .)3()2()2(f f f <<8.设()f x 是R 上的任意函数,下列叙述正确的是 ( )A. ()()f x f x -是奇函数B. ()()f x f x -是奇函数C. ()()f x f x +-是偶函数D. ()()f x f x --是偶函数9.设)(x f 是R 上的奇函数,)()2(x f x f -=+,当10≤≤x 时,x x f =)(,则)5.47(f 等于( ) (A )0.5 (B )5.0- (C )1.5 (D )5.1-10.若函数)(x f 是定义在R 上的奇函数,则函数)()()(x f x f x F +=的图象关于( )(A )x 轴对称 (B )y 轴对称 (C )原点对称 (D )以上均不对 二、填空题:11.函数)(x f 在R 上为奇函数,且0,1)(>+=x x x f ,则当0<x ,=)(x f .12.函数||2x x y +-=,单调递减区间为,最大值和最小值的情况为.13.构造一个满足下面三个条件的函数实例,①函数在)1,(--∞上递减;②函数具有奇偶性;③函数有最小值为0;.14.已知()f x 是定义在R 上的奇函数,且当0x >时,()23f x x =-,则()f x =.15.已知532()f x x ax bx x =++-,且(2)10f -=,那么(2)f 等于___________三、解答题: 16.讨论函数21)(++=x ax x f )21(≠a 在),2(+∞-上的单调性.17. 已知函数211()()12f x x x =+-. (1)求函数()f x 的定义域; (2)判断函数()f x 的奇偶性并证明你的结论.。
高一数学函数的基本性质单元测试题
高一数学《函数的基本性质》单元测试题
一、选择题:
1.下列函数中,在区间(0.+∞)上是增函数的是(D)。
2A.y=-x+4 B.y=3-x C.y=1/x D.y=x/3
2.若函数f(x)=x(x∈R),则函数y=f(-x)在其定义域上是(A)单调递减的偶函数。
3.函数f(x)=x^2+x的奇偶性为(B)偶函数。
4.若y=f(x)在x∈[0.+∞)上的表达式为f(x)=x(1-x),且f(x)为奇函数,则x∈(-∞,0]时f(x)等于(A)-x(1-x)。
5.已知定义在R上的奇函数f(x)满足f(x+2)=-f(x),则f(6)的值为(B)-1.
6.已知函数f(x)=x+a-x-a(a≠0),h(x)={-x+x(x>0)。
x+x(x≤0)},则f(x),h(x)的奇偶性依次为(B)奇函数,偶函数。
7.已知f(x)=ax+bx-4其中a,b为常数,若f(-2)=2,则f(2)的值等于(C)-6.
8.下列判断正确的是(B)函数f(x)=(1-x)是偶函数。
9.若函数f(x)=4x-kx-8在[5,8]上是单调函数,则k的取
值范围是(D)[64,+∞)。
10.已知函数f(x)=x+2(a-1)x+2在区间(-∞,4]上是减函数,则实数a的取值范围是(A)(-∞,40]。
11.若f(x)是偶函数,其定义域为(-∞,+∞),且在[3,+∞)上
是减函数,则f(-5/2)与f(2+2√3)的大小关系是(D)f(-
5/2)≤f(2+2√3)。
注:本文已删除明显有问题的段落,对每段话进行了小幅度的改写,使其更加通顺易懂。
高一数学函数的基本性质试题答案及解析1.下列幂函数中过点(0,0),(1,1)的偶函数是()A.B.C.D.【答案】B【解析】A中函数的定义域是,不关于原点对称,不具有奇偶性;B中函数经验证过这两个点,又定义域为,且;C中函数不过(0,0);D中函数,∵,∴是奇函数,故选B.【考点】幂函数的性质与函数的奇偶性.2.已知函数的定义域为,为奇函数,当时,,则当时,的递减区间是.【答案】【解析】因为为奇函数,所以的图象关于对称,当时,,所以当时,函数的单调递减区间为,因为图象关于对称,所以当时,的递减区间是.【考点】本小题主要考查函数图象和性质的应用,考查学生数形结合思想的应用和推理能力.点评:解决本小题的关键是分析出函数的图象关于对称,在关于对称的两个区间上单调性相同.3.设函数,若,则实数=()A.-4或-2B.-4或2C.-2或4D.-2或2【答案】B【解析】当时,;当时,.【考点】本小题主要考查分段函数的求值,考查学生的运算求解能力.点评:分段函数求值,分别代入求解即可.4.函数的单调增区间是_______.【答案】【解析】由,所以此函数的定义域为,根据复合函数的单调性,所以此函数的单调增区间为.5.(本小题满分12分)已知函数 (为常数)在上的最小值为,试将用表示出来,并求出的最大值.【答案】【解析】(1)因为抛物线y=x2-2ax+1的对称轴方程是,本题属于轴动区间定的问题,然后分轴在区间左侧,在区间内,在区间右侧三种情况分别得到其最小值,得到最小值h(a),然后再求出h(a)的最大值.∵y=(x-a)2+1-a2,∴抛物线y=x2-2ax+1的对称轴方程是.(1)当时,,当时,该函数取最小值;(2) 当时, , 当时,该函数取最小值;(3) 当a>1时, , 当时,该函数取最小值综上,函数的最小值为6.证明:函数是偶函数,且在上是减少的。
(本小题满分12分)【答案】见解析。
【解析】本试题主要是考查了函数的奇偶性的定义以及单调性的性质。
函数的基本性质综合练习一.选择题:(本大题共10题,每小题5分,共50分)1.若函数ax y =与x b y -=在(0,+∞)上都是减函数,则bx ax y +=2在),0(∞上是( ) A .增函数 B .减函数 C .先增后减 D .先减后增2.已知函数)127()2()1()(22+-+-+-=m m x m x m x f 为偶函数,则m 的值是 ( )A .1B .2C .3D .43.设)(x f 是(-∞,+∞)上的增函数a 为实数,则有 ( )A .)2()(a f a f <B .)()(2a f a f <C .)()(2a f a a f <+D .)()1(2a f a f >+ 4.如果奇函数)(x f 在区间[3,7]上是增函数且最大值为5,那么)(x f 在区间[-7,-3]上是( )A .增函数且最小值是-5B .增函数且最大值是-5C .减函数且最大值是-5D .减函数且最小值是-55.已知定义域为}0|{≠x x 的函数)(x f 为偶函数,且)(x f 在区间(-∞,0)上是增函数,若0)3(=-f ,则0)(<xx f 的解集为( ) A .(-3,0)∪(0,3) B .(-∞,-3)∪(0,3) C .(-∞,-3)∪(3,+∞) D .(-3,0)∪(3,+∞) 6.当]5,0[∈x 时,函数c x x x f +-=43)(2的值域为( )A .[c,55+c ]B .[-43+c ,c ]C .[-43+c,55+c ] D .[c,20+c ] 7.设)(x f 为定义在R 上的奇函数.当0≥x 时,b x x f x ++=22)((b 为常数),则)1(-f 等于( )A .3B .1C .-1D .-38.下列函数在(0,1)上是增函数的是( )A .x y 21-=B .1-=x yC .x x y 22+-=D .5=y9.下列四个集合:①}1|{2+=∈=x y R x A ;②},1|{2R x x y y B ∈+==;③},1|),{(2R x x y y x C ∈+==;④}1{的实数不小于=D .其中相同的集合是( )A .①与②B .①与④C .②与③D .②与④ 10.给出下列命题:①xy 1=在定义域内为减函数;②2)1(-=x y 在),0(∞ 上是增函数;③x y 1-=在)0,(-∞上为增函数;④kx y =不是增函数就是减函数。
函数的基本性质(题型精练)目录:01函数的单调性02求函数的单调区间03利用函数单调性求最值04利用函数单调性求参数范围05函数的奇偶性06函数的奇偶性的应用07函数的对称性、周期性及其应用(含难点)08利用函数的基本性质比较大小01函数的单调性1(23-24高三上·河南南阳·阶段练习)已知函数f(x)=1x-2.(1)求f(x)的定义域;(2)用定义法证明:函数f(x)=1x-2在(0,+∞)上是减函数;(3)求函数f(x)=1x -2在区间12,10上的最大值.2(23-24高一上·陕西汉中·期中)已知函数f x =2x-1 x+1.(1)试判断函数f x 在区间-1,+∞上的单调性,并证明;(2)求函数f x 在区间0,+∞上的值城.3(23-24高三上·黑龙江佳木斯·阶段练习)已知函数f(x)=x+bx过点(1,2).(1)判断f(x)在区间(1,+∞)上的单调性,并用定义证明;(2)求函数f(x)在2,7上的最大值和最小值.02求函数的单调区间4(21-22高三上·贵州贵阳·阶段练习)函数f (x )=ln (2x 2-3x +1)的单调递减区间为()A.-∞,34B.-∞,12C.34,+∞D.(1,+∞)5(2023·海南海口·二模)已知偶函数y =f x +1 在区间0,+∞ 上单调递减,则函数y =f x -1 的单调增区间是.03利用函数单调性求最值6(2021·四川泸州·一模)函数f (x )=ln x +ln (2-x )的最大值为.7(23-24高三上·河南焦作·阶段练习)已知函数f (x )=x +1x,x 1,x 2∈12,3 ,则f x 1 -f x 2 的最大值为()A.43B.12C.56D.18(2022·山东济南·一模)已知函数f x =x -1 2x +1 x 2+ax +b x 2,对任意非零实数x ,均满足f x=f -1x.则f -1 的值为;函数f x 的最小值为.04利用函数单调性求参数范围9(2023·天津河北·一模)设a ∈R ,则“a >-2”是“函数f x =2x 2+4ax +1在2,+∞ 上单调递增”的()A.充分不必要条件B.必要不充分条件C.充要条件D.既不充分也不必要条件10(2023·陕西商洛·一模)已知函数f (x )=-x 2+2ax ,x ≤1(3-a )x +2,x >1是定义在R 上的增函数,则a 的取值范围是()A.1,3B.1,2C.2,3D.0,311(2024·全国·模拟预测)若函数f (x )=4|x -a |+3在区间[1,+∞)上不单调,则a 的取值范围是()A.[1,+∞)B.(1,+∞)C.(-∞,1)D.(-∞,1]12(2023高三·全国·专题练习)已知函数f x =x +4x,g (x )=2x +a ,若∀x 1∈12,1,∃x 2∈[2,3],使得f (x 1)≥g (x 2),则实数a 的取值范围是()A.a ≤1B.a ≥1C.a ≤2D.a ≥205函数的奇偶性13(23-24高三上·江苏常州·期末)已知定义在-1,1区间上的函数f x =x+ax2+1为奇函数.(1)求函数f x 的解析式;(2)判断并证明函数f x 在区间-1,1上的单调性.14(2022高三·全国·专题练习)设f x =x3+ax2-2x(x∈R),其中常数a∈R.(1)判断函数y=f x 的奇偶性,并说明理由;(2)若不等式f x >32x3在区间12,1上有解,求a的取值范围.15(23-24高三上·河南周口·期末)已知函数f x =ax+b1+x2是定义在-1,1上的函数,f-x=-f x 恒成立,且f12=25.(1)确定函数f x 的解析式,并用定义研究f x 在-1,1上的单调性;(2)解不等式f x-1+f x <0.16(23-24高三上·新疆阿克苏·阶段练习)已知奇函数f(x)=-x2+2x,x>0, 0,x=0,x2+mx,x<0.(1)求f(-m)的值;(2)若函数f(x)在区间[-1,a2-2]上单调递增,试确定a的取值范围.06函数的奇偶性的应用17(2024·河北保定·二模)若函数y =f x -1是定义在R 上的奇函数,则f -1 +f 0 +f 1 =()A.3B.2C.-2D.-318(23-24高三下·陕西西安·阶段练习)定义域均为R 的函数f x ,g x 满足f x =g x -1 ,且f x -1 =g 2-x ,则()A.f x 是奇函数B.f x 是偶函数C.g x 是奇函数D.g x 是偶函数19(2024·陕西西安·模拟预测)已知函数f x =a -12x-1a ∈R 为奇函数,则实数a 的值为()A.12B.-12C.1D.-120(23-24高三上·云南楚雄·期末)已知f x 是定义在R 上的奇函数,f 1 =f 3 =0,且f x 在0,2 上单调递减,在2,+∞ 上单调递增,则不等式f (x )2x -1≤0的解集为()A.-∞,-1 ∪0,12 ∪1,+∞ B.-3,-1 ∪0,12 ∪1,3C.-∞,-1 ∪0,12 ∪3,+∞D.-3,-1 ∪0,12 ∪1,321(2024·陕西·一模)已知定义在R 上的函数f (x ),满足x 1-x 2 f x 1 -f x 2 <0,且f (x )+f (-x )=0.若f (1)=-1,则满足|f (x -2)|≤1的x 的取值范围是()A.[1,3]B.[-2,1]C.[0,4]D.[-1,2]22(23-24高三上·辽宁朝阳·阶段练习)函数f x 在-∞,+∞ 上单调递减,且为奇函数.若f 1 =-2,则满足-2≤f 1-x ≤2的x 的取值范围是()A.0,2B.-2,0C.1,3D.-1,107函数的对称性、周期性及其应用(含难点)23(2024·山东济南·二模)已知函数f x 的定义域为R ,若f -x =-f x ,f 1+x =f 1-x ,则f 2024 =()A.0B.1C.2D.324(2024·四川南充·三模)已知函数f x 、g x 的定义域均为R ,函数f x 的图象关于点-1,-1 对称,函数g x +1 的图象关于y 轴对称,f x +2 +g x +1 =-1,f -4 =0,则f 2030 -g 2017 =()A.-4B.-3C.3D.425(2024·广东广州·模拟预测)已知函数f x 的定义域为R ,且满足f x =-f 2-x ,f x +2 为偶函数,当x ∈1,2 时,f x =ax 2+b ,若f 0 +f 3 =6,则f 253=()A.329B.113C.-43D.-17926(23-24高一上·广东广州·期中)已知函数f x ,g x 的定义域均为R ,且f x +g 2-x =5,g x -f x -4 =7.若y =g x 的图象关于直线x =2对称,g 2 =4,下列说法正确的是()A.g 2+x =g 2-xB.y =g x 图像关于点3,6 对称C.f 2 =3D.f 1 +f 2 +⋯f 26 =-2827(2024·河南·二模)已知函数f x 是偶函数,对任意x ∈R ,均有f x =f x +2 ,当x ∈0,1 时,f x =1-x ,则函数g x =f x -log 5x +1 的零点有个.28(23-24高三下·重庆·阶段练习)已知函数f x 的定义域是R ,f 32+x =f 32-x ,f x +f 6-x =0,当0≤x ≤32时,f x =4x -2x 2,则f 2024 =.29(2023高三·全国·专题练习)设f (x )是定义在R 上的偶函数,其图象关于直线x =1对称,对任意x 1,x 2∈0,12,都有f (x 1+x 2)=f (x 1)⋅f (x 2),且f (1)=a >0.(1)求f 12 ,f 14;(2)证明f (x )是周期函数;(3)记a n =f 2n +12n,求a n .30(2023·浙江绍兴·二模)已知定义在0,+∞ 上的增函数f x 满足:对任意的a ,b ∈0,+∞ 都有f ab =f a +f b 且f 4 =2,函数g x 满足g x +g 4-x =-2,g 4-x =g x +2 . 当x ∈0,1 时,g x =f x +1 -1,若g x 在0,m 上取得最大值的x 值依次为x 1,x 2,⋯,x k ,取得最小值的x 值依次为x1,x2,⋯,x n,若ki =1x i +g x i +ni =1x i +g x i =21,则m 的取值范围为08利用函数的基本性质比较大小31(23-24高三上·天津蓟州·阶段练习)已知奇函数f x 在R 上是增函数,若a =f log 215,b =f log 24.1 ,c =f 20.5 ,则a ,b ,c 的大小关系为()A.a <c <bB.b <a <cC.c <b <aD.c <a <b32(23-24高一上·陕西西安·期中)定义域为R 的函数f x 满足f 3-x =f x +3 ,且当x 2>x 1>3时,f x 1 -f x 2 x 1-x 2 >0恒成立,设a =f 2x 2-x +5 ,b =f 52 ,c =f x 2+4 ,则()A.c >a >bB.c >b >aC.a >c >bD.b >c >a33(23-24高三上·福建厦门·期中)已知定义在R 上的函数f (x )满足,①f (x +2)=f (x ),② f (x -2)为奇函数,③当x ∈0,1 时,f x 1 -f x 2 x 1-x 2>0x 1≠x 2 恒成立.则f -152 、f (4)、f 112 的大小关系正确的是()A.f -152 >f 4 >f 112 B.f -152 >f 112 >f 4 C.f 112 >f 4 >f -152D.f 4 >f 112 >f -152一、单选题1(2024·山西晋中·三模)下列函数中既是奇函数,又在0,+∞ 上单调递减的是()A.f x =2xB.f x =x 3C.f x =1x-x D.f x =ln x ,x >0,-ln -x ,x <02(2024·山东·二模)已知函数f x =2x 2-mx +1在区间-1,+∞ 上单调递增,则f 1 的取值范围是( ).A.7,+∞B.7,+∞C.-∞,7D.-∞,73(2024·山东·二模)已知函数f x 是偶函数,且该函数的图像经过点M 2,-5 ,则下列等式恒成立的是( ).A.f -5 =2B.f -5 =-2C.f -2 =5D.f -2 =-54(2024·全国·模拟预测)函数f x =e x -e -x4ln x +1的大致图象是()A. B.C. D.5(2024·全国·模拟预测)已知函数f x =3x -2-32-x ,则满足f x +f 8-3x >0的x 的取值范围是()A.-∞,4B.-∞,2C.2,+∞D.-2,26(2024·全国·模拟预测)已知函数f (x )是定义在R 上的奇函数,且对任意的m <n <0,都有(m -n )(f (m )-f (n ))<0,且f (-2)=0,则不等式f (x +1)-f (-x -1)x ≥0的解集为()A.[-3,-1]∪[0,1]B.[-2,2]C.(-∞,-3)∪(-2,0)∪(2,+∞)D.[-3,-1]∪(0,1]7(2024·湖南岳阳·三模)已知函数f (x )=e x +a ,x <a x 2+2ax ,x ≥a,f (x )不存在最小值,则实数a 的取值范围是()A.(-1,0)B.13,+∞C.(-1,0)∪13,+∞D.-13,0∪(1,+∞)8(2024·浙江绍兴·模拟预测)已知:对于任意的正数x,y,z≤2xy,若满足x+y=1,则x2+y2+1xy+5x2+5y2+z2+10xy-3xz-3yz≥k恒成立,那么k的最大值是()A.6+3B.6+112C.8+3 D.8+112二、多选题9(2021·江西·模拟预测)已知函数f(x)=2x+3x+4,则下列叙述正确的是()A.f(x)的值域为-∞,-4∪-4,+∞B.f(x)在区间-∞,-4上单调递增C.f(x)+f-8-x=4 D.若x∈x x>-4,x∈Z,则f(x)的最小值为-3 10(2024·江苏南京·二模)已知函数f(x)满足f(x)f(y)=f(xy)+|x|+|y|,则()A.f(0)=1B.f(1)=-1C.f(x)是偶函数D.f(x)是奇函数11(2023·河南·三模)已知函数f x =ln x-1-2x-1,则下列结论正确的是()A.f x 在定义域上是增函数B.f x 的值域为RC.f log20232024+f log20242023=1D.若f a =e b+1e b-1-b,a∈0,1,b∈0,+∞,则ae b=1三、填空题12(2023·上海嘉定·一模)函数y=2x2-3x+5x-1在x∈32,3上的最大值和最小值的乘积为13(2024·湖北黄石·三模)设a,b∈R+,若a+4b=4,则a+2bab的最小值为,此时a的值为.14(2023·云南保山·二模)对于函数f x ,若在其图象上存在两点关于原点对称,则称f x 为“倒戈函数”,设函数f x =3x+tan x-2m+1m∈R是定义在-1,1上的“倒戈函数”,则实数m的取值范围是.。
高一数学必修1_函数的基本性质练习题(总2页)--本页仅作为文档封面,使用时请直接删除即可----内页可以根据需求调整合适字体及大小--高一数学必修1 函数的基本性质练习题一、选择题:在每小题给出的四个选项中,只有一项是符合题目要求的,请把正确答案的代号填在题后的括号内。
1.下面说法正确的选项( )A .函数的单调区间可以是函数的定义域B .函数的多个单调增区间的并集也是其单调增区间C .具有奇偶性的函数的定义域定关于原点对称D .关于原点对称的图象一定是奇函数的图象2.在区间)0,(-∞上为增函数的是( )A .1=yB .21+-=x xy C .122---=x x y D .21x y +=3.函数c bx x y ++=2))1,((-∞∈x 是单调函数时,b 的取值范围 ( )A .2-≥bB .2-≤bC .2->bD . 2-<b4.如果偶函数在],[b a 具有最大值,那么该函数在],[a b --有( )A .最大值B .最小值C .没有最大值D . 没有最小值5.函数px x x y +=||,R x ∈是( )A .偶函数B .奇函数C .不具有奇偶函数D .与p 有关6.设)(x f 是定义在R 上的一个函数,则函数F(x)= f(x)-f(-x)在R 上一定是( )A. 奇函数B. 偶函数C. 既是奇函数又是偶函数D. 非奇非偶函数7. 已知函数)(x f =(m-1)x 2 +(m-2)x+(m 2-7m+12)为偶函数,则m 的值是( )A. 1B. 2C. 3D. 48.函数)(x f 在区间]3,2[-是增函数,则)5(+=x f y 的递增区间是( )A .]8,3[B . ]2,7[--C .]5,0[D .]3,2[-9.函数b x k y ++=)12(在实数集上是增函数,则( )A .21->k B .21-<k C .0>b D .0>b10.定义在R 上的偶函数)(x f ,满足)()1(x f x f -=+,且在区间]0,1[-上为递增,则()A .)2()2()3(f f f <<B .)2()3()2(f f f <<C .)2()2()3(f f f <<D .)3()2()2(f f f <<11.已知)(x f 在实数集上是减函数,若0≤+b a ,则下列正确的是( ) A .)]()([)()(b f a f b f a f +-≤+ B . )()()()(b f a f b f a f -+-≤+C .)]()([)()(b f a f b f a f +-≥+D .)()()()(b f a f b f a f -+-≥+二、填空题:请把答案填在题中横线上.12.函数)(x f 在R 上为奇函数,且0,1)(>+=x x x f ,则当0<x ,=)(x f . 13.()f x x 的取值范围是 。
高一数学必修一函数性质练习题一.单调性专题5. f (x) 在 ( 1,1)上既是奇函数,又为减函数. 若 f (1 t )f (1 t 2 )0 ,则 t 的取值范围是( ) A . t 1或t2 B . 1 t 2 C . 2 t 1 D . t 1或 t26.(本小题满分 9 分)已知函数 f (x) 2xa,且 f (1)3 .x( 1)求实数 a 的值;( 2)判断 f ( x) 在 (1, ) 上是增函数还是减函数?并证明之.1.下列函数中,既是偶函数又在区间(0,+) 单调递增的函数是( A ) y1( B ) y 2x( C ) y x1( D ) y x 2 12 y xx(4, )x2(a 2) x 5 在区间上是增函数,则 a 的范围是( ).已知 2A. a 2B. a 2C. a6D. a63.已知函数 f (x) 4x 2kx 8 在区间 [5,20] 上不具有单调性 ,则实数 k 的取值范围是4. A 函数 fxlog 0.5 (3 2 x x 2 ) 的单调递增区间是.7.已知函数f (x) x 2 2ax 2, x5,5 .(1)当 a 1 时,求函数的最大值和最小值;( 2)求实数a 的取值范围,使 yf ( x) 在区间 5,5 上是单调函数,并指出相应的单调性.9、 J 已知 a R ,函数 f (x) x x a ,(Ⅰ)当 a =2 时,写出函数 y f (x) 的单调递增区间;* (Ⅱ)当 a >2 时,求函数 yf ( x) 在区间 1,2 上的最小值;8.已知f ( x) 1x( a 0 且 a 1 )loga 1 x(Ⅰ)求 f ( x) 的定义域;(Ⅱ)当 a 1时,判断 f (x) 的单调性性并证明;二.奇偶性专题m 的值是(.已知函数 f (x) (m 1)x 2(m 2) x (m27m 12)为偶函数,则 )1A.1B.2C.3D.42x1()2.函数 y是2x1A .奇函数B .偶函数C .既奇又偶函数D .非奇非偶函数7、若 f ( x) 是奇函数, g( x) 是偶函数,且 f (x)g (x)1 ,则 f (x).x 18、已知函数 f ( x) 对任意实数 x, y 恒有 f (x y )f (x ) f (y ) 判断 f ( x) 的奇偶性已知1 x ( a 0 且 a 1 )判断 f (x) 的奇偶性;f ( x)log a9.x110.已知奇函数f (x) 是定义在 ( 2,2) 上的减函数, 若 f (m 1)f (2m 1) 0 ,求实数 m的取值范围;11.已知函数f ( x) a1.(1)确定 a 的值,使 f ( x) 为奇函数;2 x1( 2)当 f ( x) 为奇函数时,求 f ( x) 的值域。
高一数学------函数的根本性质一、、知识点:本章知识结构1、集合的概念集合是集合论中的不定义的原始概念,教材中对集合的概念进展了描述性说明:“一般地,把一些能够确定的不同的对象看成一个整体,就说这个整体是由对象的全体构成的集合〔或集〕〞。
理解这句话,应该把握4个关键词:对象、确定的、不同的、整体。
对象――即集合中的元素。
集合是由它的元素唯一确定的。
整体――集合不是研究某一单一对象的,它关注的是对象的全体。
确定的――集合元素确实定性――元素与集合的“从属〞关系。
不同的――集合元素的互异性。
2、有限集、无限集、空集的意义有限集和无限集是针对非空集合来说的。
我们理解起来并不困难。
我们把不含有任何元素的集合叫做空集,记做Φ。
理解它时不妨思考一下“0与Φ〞与“Φ(空集〕与{Φ}〔集合中含有一个元素,即空集〕〞的关系。
〔正整数集〕、Z〔整数集〕、Q〔有理数集〕、几个常用数集N〔自然数集〕、N*〔正整数集〕、N+R〔实数集〕3、集合的表示方法〔1〕列举法的表示形式比拟容易掌握,并不是所有的集合都能用列举法表示,同学们需要知道能用列举法表示的三种集合:①元素不太多的有限集,如{0,1,8}②元素较多但呈现一定的规律的有限集,如{1,2,3, (100)③呈现一定规律的无限集,如 {1,2,3,…,n ,…} ●注意a 与{a}的区别:a 表示一个元素,{a}表示一个集合 ●注意用列举法表示集合时,集合元素的“无序性〞。
〔2〕特征性质描述法的关键是把所研究的集合的“特征性质〞找准,然后适当地表示出来就行了。
但关键点也是难点。
学习时多加练习就可以了。
另外,弄清“代表元素〞也是非常重要的。
如{x|y =x 2}, {y|y =x 2}, {〔x ,y 〕|y =x 2}是三个不同的集合。
4、集合之间的关系●注意区分“从属〞关系与“包含〞关系 “从属〞关系是元素与集合之间的关系。
“包含〞关系是集合与集合之间的关系。
函数的基本性质一、函数的有关概念1.函数的概念:设A 、B 是非空的数集,如果按照某个确定的对应关系f ,使对于集合A 中的任意一个数x ,在集合B 中都有唯一确定的数f(x)和它对应,那么就称f :A →B 为从集合A 到集合B 的一个函数.记作:y=f(x),x ∈A .其中,x 叫做自变量,x 的取值范围A 叫做函数的定义域;与x 的值相对应的y 值叫做函数值,函数值的集合{f(x)| x ∈A }叫做函数的值域.概念重点疑点:对于定义域中任何x ,都有唯一确定的y=f (x )与x 相对应。
即在直角坐标系中的图像,对于任意一条x=a (a 是函数的定义域)的直线与函数y=f (x )只有一个交点;例1、下列对应关系中,x 为定义域,y 为值域,不是函数的是()A.y=x 2+x3 B.y= C.|y|=x D.y=8x 解:对于|y|=x ,对于任意非零x ,都有两个y 与x 对应,所以|y|=x 不是函数。
图像如下图,x=2的直线与|y|=x 的图像有两个交点。
故答案选C 例2、下列图象中表示函数图象的是()(A ) (B) (C ) (D)解析:对于任意x=a 的直线,只有C 选项的图形与x=a 的直线只有一个交点,即对于定义域中任何x ,都有唯一确定的y=f (x )与x 相对应。
故选C 。
x y 0 x y 0 x y 0xy注意:1、如果只给出解析式y=f(x),而没有指明它的定义域,则函数的定义域即是指能使这个式子有意义的实数的集合;2、函数的定义域、值域要写成集合或区间的形式.定义域补充:能使函数式有意义的实数x 的集合称为函数的定义域,求函数的定义域时列不等式组的主要依据是:(1)分式的分母不等于零;(2)偶次方根的被开方数不小于零;(3)对数式的真数必须大于零;(4)指数、对数式的底必须大于零且不等于 1. (5)如果函数是由一些基本函数通过四则运算结合而成的.那么,它的定义域是使各部分都有意义的x 的值组成的集合.(6)指数为零底不可以等于零(7)实际问题中的函数的定义域还要保证实际问题有意义.(注意:求出不等式组的解集即为函数的定义域。
高一数学复习考点知识与题型专题讲解专题强化一:函数的基本性质必刷题一、单选题1.若函数()()2211f x x a x =+-+在(],2-∞上是单调递减函数,则实数a 的取值范围是( )A .3,2⎡⎫-+∞⎪⎢⎣⎭B .3,2⎛⎤-∞- ⎥⎝⎦C .)5,2⎡-+∞⎢⎣D .5,2⎛⎤-∞- ⎥⎝⎦2.已知偶函数f (x )在区间[0,+∞)上单调递增,则满足1(21)3f x f ⎛⎫-< ⎪⎝⎭的x 的取值范围是( )A .12,33⎛⎫ ⎪⎝⎭B .12,33⎡⎫⎪⎢⎣⎭C .12,23⎛⎫ ⎪⎝⎭D .12,23⎡⎫⎪⎢⎣⎭ 3.定义在R 上的偶函数()f x 满足:对任意的[)()1212,0,x x x x ∈+∞≠,有()()21210f x f x x x -<-,则( )A .()()()202120202019f f f <-<B .()()()201920202021f f f <-<C .()()()202020192021f f f -<<D .()()()202020212019f f f -<<-4.已知函数222,0()0,0,0x x x f x x x mx x ⎧-+>⎪==⎨⎪+<⎩是奇函数.则实数m 的值是( )A .0B .2C .4D .-25.已知()f x 为R 上奇函数,()g x 为R 上偶函数,且(0)(2)(0)(2)4f f g g +-++=,(2)(0)(2)2f g g ++-=-,则()2f 的值为( )A .-3B .1C .2D .36.已知函数()1f x +是偶函数,当121x x <<时,()()()12120f x f x x x -->⎡⎤⎣⎦ 恒成立,设1 2a f ⎛⎫=- ⎪⎝⎭,()2b f =,()3c f =,则a ,b ,c 的大小关系为( )A .b a c <<B .c b a <<C .b c a <<D .a b c <<7.已知()f x 是R 上的偶函数,()g x 是R 上的奇函数,它们的部分图像如图,则()()⋅f x g x 的图像大致是( )A .B .C .D .8.已知函数()f x 是定义R 上的减函数,()0,2A ,()2,2B -是其图象上的两点,那么()12f x +<的解集的补集是( )A .(][),11,-∞-+∞B .()1,1-C .(][),13,-∞-⋃+∞D .()1,39.函数()f x 是定义在R 上的偶函数,且当0x ≥时,()2xf x =,若对任意[]0,21x t ∈+,均有()()3f x t f x ≥⎡⎤⎣⎦+,则实数t 的最大值是( ) A .49-B .13-C .0D .1610.已知函数()()f x g x 、是定义在R 上的函数,其中()f x 是奇函数,()g x 是偶函数,且()()22f x g x ax x +=++,若对于任意1212x x <<<,都有()()12122g x g x x x ->--,则实数a 的取值范围是( )A .1(,][0,)2-∞-⋃+∞B .(0,)+∞C .1[,)2-+∞D .1[,0)2-二、多选题11.有下列几个命题,其中正确的命题是( ) A .函数y =11x +在(-∞,-1)∪(-1,+∞)上是减函数; B .函数y =254x x +-的单调区间是[-2,+∞);C .已知f (x )在R 上是增函数,若a +b >0,则有f (a )+f (b )>f (-a )+f (-b );D .已知函数g (x )=23,0,(),0x x f x x ->⎧⎨<⎩是奇函数,则f (x )=2x +3.12.如果函数()f x 在[],a b 上是增函数,对于任意的[]()1212,,x x a b x x ∈≠,则下列结论中正确的是( ) A .()()12120f x f x x x ->-B .()()()12120x x f x f x -->⎡⎤⎣⎦C .()()()()12f a f x f x f b ≤<≤D .()()12f x f x >13.已知函数)(21x f x x+=,则下列结论正确的是( )A .)(f x 为奇函数B .)(f x 为偶函数C .)(f x 在区间)1,⎡+∞⎣上单调递增D .)(f x 的值域为](),22,⎡-∞-⋃+∞⎣ 14.已知函数()f x 满足x R ∀∈,()()f x f x -=-,且当0x >时,22()f x x x=-,则( )A .()00f =B .()11f -=C .()f x 在[2,0)-单调递减D .(1,0)x ∃∈-,()2f x >15.关于函数()()1xf x x R x =∈+,下面结论正确的是( ) A .函数()f x 是奇函数B .函数()f x 的值域为(1,1)-C .函数()f x 在R 上是增函数D .函数()f x 在R 上是减函数16.已知函数()228,142,1x ax x f x x a x x ⎧-+≤⎪=⎨++>⎪⎩,若()f x 的最小值为()1f ,则实数a 的值可以是( )A .1B .54C .2D .417.若函数()f x 同时满足:①对于定义域上的任意x ,恒有()()0f x f x +-=;②对于定义域上的任意1x ,2x ,当12x x ≠时,恒有1212()[()()]0x x f x f x -⋅-<,则称该函数为“七彩函数”.下列函数中是“七彩函数”的有( )A .222,0()2,0x x f x x x ⎧-≥=⎨<⎩B .15()f x x =-C .2()||f x x x =+D .3()f x x x =--三、填空题18.若函数是奇函数,()()2,,221x af x x b b x +=∈++,则a b +=__________ . 19.已知定义在R 上的奇函数,当0x <时有3()2x f x x =-+,则()f x =__________. 20.已知定义在R 上的奇函数()f x 在(,0]-∞上是减函数,若(1)(32)0f m f m ++-<,则实数m 的取值范围是________.21.已知函数()y f x =,()y g x =的定义域为R ,且()()y f x g x =+为偶函数,()()y f x g x =-为奇函数,若()2f 2=,则(2)g -=__.22.21,1()lg ,1x x f x x x ⎧-<⎪=⎨-⎪⎩…,则不等式(2)()f x f x -<的解集为__.23.若f (x )为R 上的奇函数,给出下列四个说法: ①f (x )+f (-x )=0; ②f (x )-f (-x )=2f (x ); ③f (x )·f (-x )<0; ④()()f x f x -=-1. 其中一定正确的为___________.(填序号)四、解答题24.()y f x =是定义在R 上的奇函数,且当0x ≥时,2()4f x x x =-; (1)求0x <时,()f x 的解析式; (2)求()y f x =的单调减区间.25.已知二次函数2()1()f x x mx m m R =-+-∈. (1)若()f x 是偶函数,求m 的值;(2)函数在区间[]1,1-上的最小值记为()g m ,求()g m 的最大值; (3)若函数|()|y f x =在[]2,4上是单调增函数,求实数m 的取值范围.26.已知函数()f x 对于一切x 、y R ∈,都有()()()f xy f x y f x y =++-. (1)求证:()f x 在R 上是偶函数;(2)若()f x 在区间(,0)-∞上是减函数,且有22(21)(243)f a a f a a ++<-+-,求实数a 的取值范围.27.已知函数2()1ax b f x x +=+是定义在(1,1)-上的奇函数,且3(3)10f =.(1)确定函数()f x 的解析式;(2)当(1,1)x ∈-时判断函数()f x 的单调性,并证明; (3)解不等式1(1)()02f x f x -+<. 28.已知函数()21x bf x ax +=+是定义在[1-,1]上的奇函数,且()112f =.(1)求a ,b 的值;(2)判断()f x 在[1-,1]上的单调性,并用定义证明;(3)设()52g x kx k =+-,若对任意的[]111x ∈-,,总存在[]201x ∈,,使得()()12f x g x ≤成立,求实数k 的取值范围.29.函数()f x 对任意x ,y R ∈,总有()()()f x y f x f y +=+,当0x <时,()0f x <,且()113f =. (1)证明()f x 是奇函数;(2)证明()f x 在R 上是单调递增函数;(3)若()()31f x f x +-≥-,求实数x 的取值范围.30.若函数()y f x =对定义域内的每一个值1x ,在其定义域内都存在唯一的2x ,使12()()1f x f x ⋅=成立,则称函数()y f x =为“依赖函数”.(1)判断函数()2x f x =是否为“依赖函数”,并说明理由;(2)若函数211()22f x x x =-+在定义域[,](,m n m n N +∈且1)m >上为“依赖函数”,求m n +的值;(3)已知函数24()(),3f x x a a ⎛⎫=-< ⎪⎝⎭在定义域4,43⎡⎤⎢⎥⎣⎦上为“依赖函数”.若存在实数4,43x ⎡⎤∈⎢⎥⎣⎦,使得对任意的t R ∈,不等式2()8f x t st ≥-++都成立,求实数s 的取值范围.参考答案1.B 【详解】函数()()2211f x x a x =+-+的单调递减区间是21(,]2a --∞-, 依题意得(]21,2(,]2a --∞⊆-∞-,于是得2122a --≥,解得32a ≤-,所以实数a 的取值范围是3(,]2-∞-. 故选:B 2.A 【详解】∵f (x )为偶函数,∴f (x )=f (|x |).则f (|2x -1|)<13f ⎛⎫ ⎪⎝⎭,又∵f (x )在[0,+∞)上单调递增,∴1213x -<,解得1233x <<. 故选:A. 3.A 【详解】因为对任意的[)()1212,0,x x x x ∈+∞≠,有()()21210f x f x x x -<-,所以函数()f x 在[)0,+∞上单调递减,又函数()f x 为偶函数,所以()()20202020f f -=,()()20192019f f -=, 所以()()()202120202019f f f <<即()()()202120202019f f f <-<. 故选:A. 4.B【详解】取0x >,则0x -<,因为函数为奇函数,则()()f x f x -=-,即()()()222x m x x x -+-=--+,整理可得2mx x -=-,即2m =. 故选:B 5.A 【详解】()f x 为R 上的奇函数,∴()00f =,()()f x f x -=-,()g x 是R 上的偶函数,()()g x g x -=,由()()()()()()()020242022f fg g f g g ⎧+-++=⎪⎨++-=-⎪⎩, ()()()()()()20242022f g g f g g ⎧-++=⎪⇒⎨++=-⎪⎩①②,②-①得()2224f =--,()23f =-.故选:A . 6.A 【详解】当121x x <<时,()()()12120f x f x x x -->⎡⎤⎣⎦,则()()21f x f x >, 所以,函数()f x 为()1,+∞上的增函数,由于函数()1f x +是偶函数,可得()()11f x f x +=-,1335112222a f f f f ⎛⎫⎛⎫⎛⎫⎛⎫∴=-=-=+= ⎪ ⎪ ⎪ ⎪⎝⎭⎝⎭⎝⎭⎝⎭,53212>>>,因此,b a c <<. 故选:A. 7.C 【详解】又()f x 是R 上的偶函数,()g x 是R 上的奇函数, ∴ ()()f x f x -=,()()g x g x -=-, ∴()()()()f x g x f x g x -⋅-=-∴ 函数()()⋅f x g x 为奇函数,其图象关于原点对称,A,B 错, 由图可得当0x >时,()0f x >,()0>g x , ∴ ()()0f x g x ⋅>,D 错, 故选:C. 8.A 【详解】解:不等式()12f x +<可变形为2(1)2f x -<+<,()0,2A ,()2,2B -是函数()f x 图象上的两点,()02f ∴=,()22f =-, 2(1)2f x ∴-<+<等价于不等式()()2(1)0f f x f <+<,又函数()f x 是R 上的减函数,()()2(1)0f f x f ∴<+<等价于012x <+<,解得11x -<<,∴不等式()12f x +<的解集为()1,1-.那么()12f x +<的解集的补集是(][),11,-∞-+∞. 故选:A .9.A 【详解】易知,函数()f x 在[0,)+∞上单调递增,∴12102t t +>⇒>-,又∵()()()33f x t f x f x ⎡⎤+≥=⎣⎦,且函数为偶函数,∴|||3|x t x +≥,两边平方化简,则22820x xt t --≤在[0,21]t +恒成立,令()2282g x x xt t =--,则()()002421039g t g t ⎧≤⎪⇒-≤≤-⎨+≤⎪⎩. 综上:t 的最大值为49-. 故选:A. 10.C 【详解】由题得:()f x 是奇函数,所以()()f x f x -=-;()g x 是偶函数,所以()()g x g x -= 将x -代入2()()2f x g x ax x +=++得:2()()2f x g x ax x +=--+联立22()()2()()2f xg x ax x f x g x ax x +=++-+-=+⎧⎪⎨⎪⎩ 解得:()22g x ax =+ 1212()()2g x g x x x ->--,1212x x <<<等价于()1212()()2g x g x x x -<--,即:1122()2()2g x x g x x +<+,令()()2222h x g x x ax x =+=++,则()h x 在()1,2单增①当0a >时,函数的对称轴为2102x a a=-=-<,所以()h x 在()1,2单增 ②当0a <时,函数的对称轴为2102x a a=-=->,若()h x 在()1,2单增,则12a -≥,得:102a -≤< ③当0a =时,()h x 单增,满足题意 综上可得:12a ≥-故选:C 11.CD 【详解】对于A ,函数的定义域为(-∞,-1)∪(-1,+∞), 令1t x =+在定义域上递增, 又1y t=在(),0-∞和()0,∞+是减函数, 所以函数y =11x +在(-∞,-1)和(-1,+∞)每个区间上递减,故A 错误;对于B ,由函数y =254x x +-,则2540x x +-≥,解得15x -≤≤, 令254t x x =+-在()1,2-上递增,()2,5上递减, 又y t =在定义域内是增函数,所以函数y =254x x +-在()1,2-上递增,()2,5上递减,故B 错误;对于C ,因为f (x )在R 上是增函数,若a +b >0,则a b >-,故()()f a f b >-;b a >-,故()()f b f a >-,所以f (a )+f (b )>f (-a )+f (-b ),故C 正确;对于D ,当0x >时,()23g x x =-, 则当0x <时,0x ->,则()23g x x -=--, 因为()g x 为奇函数,所以()()23g x g x x =--=+, 所以f (x )=2x +3,故D 正确. 故选:CD. 12.AB 【详解】由函数单调性的定义可知,若函数()f x 在给定的区间上是增函数,则12x x -与()()12f x f x -同号,由此可知,选项A ,B 正确; 对于选项C ,D ,因为12,x x 的大小关系无法判断,则()()12,f x f x 的大小关系确定也无法判断,故C ,D 不正确. 故选:AB 13.ACD 【详解】由题意,函数)(21x f x x+=的定义域为)()(,00,-∞⋃+∞,且)()(f x f x -=-,故)(f x 为奇函数, 任取)12,1,x x ⎡∈+∞⎣,且12x x <,则)()(222221121************ x x x x x x x f x f x x x x x ++⋅+-⋅--=-=)()(1221121x x x x x x --=, 因为121xx ≤<,所以210x x ->且121x x >,可得)()(210f x f x ->,所以)(f x 在)1,⎡+∞⎣上单调递增,当0x >时,)(2112x f x x x x+==+≥(当且仅当1x =时,取“=”), 又由结合)(f x 为奇函数,可得)(f x 的值域为](),22,⎡-∞-⋃+∞⎣. 故选:ACD 14.ABD 【详解】因为x R ∀∈,()()f x f x -=-,所以函数()f x 为奇函数. 对选项A ,0R ∈,所以()00f =,故A 正确. 对选项B ,()()()21111f f -=-=--=,故B 正确.对选项C ,因为当0x >时,22()f x x x=-为增函数,又因为函数()f x 为奇函数,所以当0x <时,函数()f x 也为增函数,故C 错误.对选项D ,因为11115422244f f ⎛⎫⎛⎫-=-=-+=> ⎪ ⎪⎝⎭⎝⎭,故D 正确.故选:ABD 15.ABC对于A :因为()()11x xf x f x x x ---===--++,所以()f x 在R 上为奇函数,故A 正确; 对于B :当0x >时,1()1+11x f x x x ==-+,因为0x >,所以11x +>,1011x <<+, 所以1101x -<-<+,所以10111x <-<+, 又()f x 为奇函数,所以当0x <时,()(1,0)1xf x x=∈--,且(0)0f =, 所以函数()f x 的值域为(1,1)-,故B 正确. 对于C :当0x >时,1()1+11x f x x x ==-+,所以()f x 在(0,)+∞上为增函数, 又()f x 为奇函数,左右两侧单调性相同,所以函数()f x 在R 上是增函数,故C 正确,D 错误 故选:ABC 16.BCD 【详解】由题意可得二次函数228y x ax =-+的对称轴x a =1≥,且42(1)128x a f a x++≥=-+在(1,)+∞上恒成立,所以494x a x+≥-在(1,)+∞上恒成立,因为4424x x x x+≥⋅=,当且仅当2x =时,等号成立,即4x x +在(1,)+∞上的最小值为4, 所以494a ≥-,解得54a ≥. 故选:BCD 17.ABD 【详解】由①②得:“七彩函数”既是奇函数又是减函数, 对于选项A :当0x >时,0x -<,()22f x x =-,()22f x x -=,得()()0f x f x +-=; 当0x <时,0x ->,()22f x x =,()22f x x -=-,得()()0f x f x +-=; 所以函数是奇函数,当0x >时,()22f x x =-,所以函数在()0,∞+上单调递减, 故选项A 正确;对于选项B :()15f x x =-定义域为R ,()()15f x x f x -==-,所以函数()f x 为奇函数,且在R 上单调递减; 故选项B 正确;对于选项C :()2f x x x =+,定义域为R ,()()2f x x x f x -=+=,则函数函数()f x 为偶函数, 故选项C 不正确;对于选项D :()1f x x x=-定义域为{}0x x ≠,()()1f x x f x x-=-+=-,则函数()f x 为奇函数,且在定义域上单调递减; 故选项D 正确; 故选:ABD. 18.1- 【详解】根据题意可得20b b ++=,解得1b =-, 又()00f =,代入解得0a =, 当0a =时,()()221xf x f x x --==-+,满足题意, 所以1a b +=-. 故答案为:1-19.332,00,02,0x x x x x x x -⎧+>⎪=⎨⎪-+<⎩【详解】当0x >时,0x -<时,由奇函数性质知,33()()[]22()x x f x f x x x --=--=-=-+-+,又(0)0f =,则332,0()0,02,0x x x x f x x x x -⎧+>⎪==⎨⎪-+<⎩故答案为:332,00,02,0x x x x x x x -⎧+>⎪=⎨⎪-+<⎩20.1,4⎛⎫+∞ ⎪⎝⎭【详解】因为()f x 是奇函数,在(],0-∞上是减函数, 所以()f x 在R 上单调递减, 因为(1)(32)0f m f m ++-<, 所以(1)(32)f m f m +<--, 即(1)(23)f m f m +<-, 所以123m m +>-,解得14m >.故答案为:1,4⎛⎫+∞ ⎪⎝⎭.21.2 【详解】解:因为()()y f x g x =+为偶函数,()()y f x g x =-为奇函数, 所以()(2)(2)2f g f -+-=()2g +,()()(2)(2)22f g g f ---=-, 两式相减可得,()2f (2)g =-, 若()2f 2=,则(2)2g -=. 故答案为:2. 22.{|1}<x x【详解】解:由函数的解析式绘制函数图象如图所示, 易知函数为偶函数,且在区间(0,)+∞上单调递减,故题中的不等式等价于:(2)()f x f x -<,则|2|||x x ->,平方可得:2244x x x -+>,解得1x <, 不等式的解集为:{|1}<x x . 23.①② 【详解】∵f (x )在R 上为奇函数, ∴f (-x )=-f (x ).∴f (x )+f (-x )=f (x )-f (x )=0,故①正确.f (x )-f (-x )=f (x )+f (x )=2f (x ),故②正确. 当0x =时,f (x )·f (-x )=0,故③不正确. 当0x =时,()()f x f x -分母为0,无意义,故④不正确.故答案为:①②24.(1)2()4f x x x =+;(2)(,2)-∞-和(2,)+∞. 【详解】(1)设0x <,则0x ->,2()4f x x x ∴-=--又()y f x =是定义在R 上的奇函数,()22()()44f x f x x x x x ∴=--=---=+所以当0x <时,2()4f x x x =+;(2)当0x ≥时,22()4(2)4f x x x x =-=--+, 当0x <时,22()4(2)4f x x x x =+=+-则当(,2)x ∈-∞-时,函数单调递减;当(2,2)x ∈-时,函数单调递增;当(2,)x ∈+∞时,函数单调递减;所以()y f x =的单调减区间为(,2)-∞-和(2,)+∞. 25.(1)0m =;(2)最大值为0;(3)3m ≤或8m ≥. 【详解】 (1)()f x 是偶函数,()()f x f x ∴=-,(1)(1)f f ∴=-即1111m m m m -+-=++-,解得:0m = (2)2()1f x x mx m =-+-,二次函数对称轴为2mx =,开口向上 ①若12m<-,即2m <-,此时函数()f x 在区间[]1,1-上单调递增,所以最小值()(1)2g m f m =-=.②若112m-≤≤,即22m -≤≤,此时当2m x =时,函数()f x 最小,最小值2()124m m g m f m ⎛⎫==-+- ⎪⎝⎭.③若12m>,即2m >,此时函数()f x 在区间[]1,1-上单调递减,所以最小值()(1)0g m f ==.综上22,2()1,2240,2m m mg m m m m <-⎧⎪⎪=-+--≤≤⎨⎪>⎪⎩,作出分段函数的图像如下,由图可知,()g m 的最大值为0.(3)要使函数|()|y f x =在[]2,4上是单调增函数,则()f x 在[]2,4上单调递增且恒非负,或单调递减且恒非正,22(2)0m f ⎧≤⎪∴⎨⎪≥⎩或42(2)0mf ⎧≥⎪⎨⎪≤⎩,即430m m ≤⎧⎨-≥⎩或830m m ≥⎧⎨-≤⎩,解得3m ≤或8m ≥.所以实数m 的取值范围是:3m ≤或8m ≥. 26.(1)证明:函数()f x 对于一切x 、y R ∈,都有()()()f xy f x y f x y =++-, 令0x =,得(0)()()f f y f y =+-,再令y x =,得(0)()()f f x f x =+-.⋯①令0y =,得(0)()()f f x f x =+.⋯② ①-②得()()0f x f x --=,()()f x f x ∴-=.故()f x 在R 上是偶函数.(2)解:因为()f x 在R 上是偶函数,所以()f x的图象关于y轴对称.又因为()f x在区间(,0)-∞上是减函数,所以()f x在区间(0,)+∞上是增函数.22211117212()12()02161648a a a a a++=++-+=++>,2222432(211)32(1)10a a a a a-+-=--+--=---<,22430a a∴-+>.22(243)(243)f a a f a a-+-=-+.原不等式可化为22(21)(243)f a a f a a++<-+,2221243a a a a∴++<-+.解之得25a<.故实数a的取值范围是25a<.27.(1)2()1xf xx=+;(2)()f x在区间()1,1-上是增函数,证明见解析;(3)20,3⎛⎫⎪⎝⎭. 【详解】(1)∵()()f x f x-=-,∴221()1ax b ax bx x-+--=+-+,即b b-=,∴0b=.∴2()1axf xx=+,又()3310f=,1a=,∴2()1xf xx=+.(2)对区间()1,1-上得任意两个值1x,2x,且12x x<,22121221121212222222121212(1)(1)()(1)()()11(1)(1)(1)(1)x x x x x x x x x xf x f xx x x x x x+-+---=-==++++++,∵1211x x -<<<,∴120x x -<,1210x x ->,2110x +>,2210x +>, ∴12())0(f x f x -<,∴12()()f x f x <, ∴()f x 在区间()1,1-上是增函数. (3)∵1(1)()02f x f x -+<,∴1(1)()2f x f x -<-,1111211211x x x x ⎧-<-<⎪⎪⎪-<-⎨⎪-<<⎪⎪⎩,解得203x <<,∴实数x 得取值范围为20,3⎛⎫⎪⎝⎭.28.(1)1,0a b ==;(2)()f x 在[]1,1-上递增,证明详见解析;(3)92k ≤. 【详解】(1)依题意函数()21x bf x ax +=+是定义在[1-,1]上的奇函数, 所以()00f b ==,()111112f a a ==⇒=+, 所以()21xf x x =+,经检验,该函数为奇函数. (2)()f x 在[]1,1-上递增,证明如下: 任取1211x x -??,()()()()()()221221121222221212111111x x x x x x f x f x x x x x +-+-=-=++++()()22121212221211x x x x x x x x +--=++()()()()()()()()12212112212222121211111x x x x x x x x x x x x x x -----==++++,其中122110,0x x x x -<->,所以()()()()12120f x f x f x f x -<⇒<, 故()f x 在[]1,1-上递增.(3)由于对任意的[]111x ∈-,,总存在[]201x ∈,,使得()()12f x g x ≤成立, 所以()()max max f x g x ≤.()()max 112f x f ==. 当0k ≥时,()52g x kx k =+-在[]0,1上递增,()()max 15g x g k ==-, 所以195022k k ≤-⇒≤≤.当0k <时,()52g x kx k =+-在[]0,1上递减,()()max 052g x g k ==-, 所以15202k k ≤-⇒<.综上所述,92k ≤. 29.(1)令0x y ==,则()()()000f f f =+,解得()00f =,令y x =-,则()()()0f f x f x =+-,即()()0f x f x +-=,即()()f x f x -=-, 易知()f x 的定义域为R ,关于原点对称,所以函数()f x 是奇函数; (2)任取1x ,2x R ∈,且12x x <,则120x x -<, 因为当0x <时,()0f x <,所以()120f x x -<,则()()()()()1212120f x f x f x f x f x x -=+-=-<,即()()12f x f x <,所以函数()f x 是R 上的增函数;(3)由()113f =,得()223f =,()31f =,又由()f x 是奇函数得()31f -=-. 由()()31f x f x +-≥-,得()()233f x f -≥-,因为函数()f x 是R 上的增函数, 所以233x -?,解得0x ≥,故实数x 的取值范围为[)0,+∞. 30.解:()1对于函数()2x f x =的定义域R 内任意的1x ,取21x x =-,则12()()1f x f x ⋅=, 且由()2x f x =是R 上的严格增函数,可知2x 的取值唯一, 故()2x f x =是“依赖函数”.()2因为1m >,()()2112f x x =-在[]m n ,是严格增函数,故()()1f m f n ⋅=,即()()2211114m n --=,由1n m >>,得(1)(1)2m n --=, 又m n N ∈,,所以1112m n -=⎧⎨-=⎩,解得23m n =⎧⎨=⎩故5m n +=()3因43a <,故()()2f x x a =-在443⎡⎤⎢⎥⎣⎦,上单调递增, 从而()4413f f ⎛⎫⋅= ⎪⎝⎭,即()224413a a ⎛⎫--= ⎪⎝⎭,进而()4413a a ⎛⎫--= ⎪⎝⎭,解得1a =或13(3a =舍), 从而,存在443x ⎡⎤∈⎢⎥⎣⎦,,使得对任意的R t ∈,有不等式()2218x t s t -≥-+⋅+都成立, 故()22max18x t s t ⎡⎤-≥-+⋅+⎣⎦,即298t s t ≥-+⋅+, 整理,得210t s t +⋅+≥对任意的R t ∈恒成立.由240s ∆=-≤,得22s -≤≤,即实数s 的取值范围是[]22-,.。
(数学1必修)函数的基本性质--基础训练A 组一、选择题1.已知函数)127()2()1()(22+-+-+-=m m x m x m x f 为偶函数,则m 的值是( ) A . 1 B . 2 C . 3 D . 4 2.若偶函数)(x f 在(]1,-∞-上是增函数,则下列关系式中成立的是( )A .)2()1()23(f f f <-<- B .)2()23()1(f f f <-<- C .)23()1()2(-<-<f f f D .)1()23()2(-<-<f f f3.如果奇函数)(x f 在区间[3,7] 上是增函数且最大值为5, 那么)(x f 在区间[]3,7--上是( )A .增函数且最小值是5-B .增函数且最大值是5-C .减函数且最大值是5-D .减函数且最小值是5- 4.设)(x f 是定义在R 上的一个函数,则函数)()()(x f x f x F --= 在R 上一定是( )A .奇函数B .偶函数C .既是奇函数又是偶函数D .非奇非偶函数。
5.下列函数中,在区间()0,1上是增函数的是( ) A .x y = B .x y -=3 C .xy 1=D .42+-=x y 6.函数)11()(+--=x x x x f 是( ) A .是奇函数又是减函数 B .是奇函数但不是减函数 C .是减函数但不是奇函数 D .不是奇函数也不是减函数二、填空题1.设奇函数)(x f 的定义域为[]5,5-,若当[0,5]x ∈时, )(x f 的图象如右图,则不等式()0f x <的解是2.函数2y x =+________________。
3.已知[0,1]x ∈,则函数y =的值域是 .4.若函数2()(2)(1)3f x k x k x =-+-+是偶函数,则)(x f 的递减区间是 .5.下列四个命题(1)()f x =有意义; (2)函数是其定义域到值域的映射;(3)函数2()y x x N =∈的图象是一直线;(4)函数22,0,0x x y x x ⎧≥⎪=⎨-<⎪⎩的图象是抛物线,其中正确的命题个数是____________。
人教A版高中数学必修一《函数的基本性质》试题【夯实基础】一、单选题1.(2022·全国·高一课时练习)函数的单调递增区间是()A. B.C. D.【答案】B【分析】直接由二次函数的单调性求解即可.【详解】由知,函数为开口向上,对称轴为的二次函数,则单调递增区间是.故选:B.2.(2022·全国·高一课时练习)定义在区间上的函数的图象如图所示,则的单调递减区间为()A. B. C. D.【答案】B【分析】根据函数图象直接确定单调递减区间即可.【详解】由题图知:在上的单调递减,在上的单调递增,所以的单调递减区间为.故选:B3.(2022·全国·高一课时练习)已知函数在上是增函数,则实数的取值范围为()A. B. C. D.【答案】D【分析】利用二次函数单调性,列式求解作答.【详解】函数的单调递增区间是,依题意,,所以,即实数的取值范围是.故选:D4.(2022·全国·高一)已知在为单调函数,则a的取值范围为()A. B. C. D.【答案】D【分析】求出的单调性,从而得到.【详解】在上单调递减,在上单调递增,故要想在为单调函数,需满足,故选:D5.(2022·湖北武汉·高一期末)已知二次函数在区间内是单调函数,则实数a的取值范围是()A. B.C. D.【答案】A【分析】结合图像讨论对称轴位置可得.【详解】由题知,当或,即或时,满足题意.故选:A6.(2022·甘肃庆阳·高一期末)若函数在上单调递增,且,则实数的取值范围是()A. B. C. D.【答案】C【分析】由单调性可直接得到,解不等式即可求得结果.【详解】在上单调递增,,,解得:,实数的取值范围为.故选:C.7.(2022·全国·高一课时练习)下列四个函数在是增函数的为()A. B.C. D.【答案】D【分析】根据各个函数的性质逐个判断即可【详解】对A,二次函数开口向上,对称轴为轴,在是减函数,故A不对.对B,为一次函数,,在是减函数,故B不对.对C,,二次函数,开口向下,对称轴为,在是增函数,故C不对.对D,为反比例类型,,在是增函数,故D对.故选:D8.(2021·河南南阳·高一阶段练习)已知函数,对于任意的恒成立,则实数的最小值是()A.0B.1C.2D.3【答案】D【分析】利用换元法将函数的最值转化为二次函数的最值,即可求得实数的最小值.【详解】对于任意的使恒成立,令(),则,即,设,则,故,即实数m的最小值是.故选:.二、多选题9.(2022·全国·高一课时练习)下列函数中,在上单调递增的是()A. B. C. D.【答案】AD【分析】画出各选项的函数图像,利用函数的图象来研究函数的单调性判断即可.【详解】画出函数图象如图所示,由图可得A,D中的函数在上单调递增,B,C中的函数在上不单调.故选:AD.10.(2021·江西·高一期中)如图是函数的图象,则函数在下列区间单调递增的是( )A. B. C. D.【答案】BC【分析】根据单调性的定义即可由图知道f(x)的增区间﹒【详解】图像从左往右上升的区间有:(-6,-4),(-1,2),(5,8),∴f(x)在(-6,-4),(-1,2),(5,8)上单调递增﹒故选:BC﹒三、填空题11.(2022·全国·高一课时练习)写出一个同时具有性质①对任意,都有;②的函数___________.【答案】(答案不唯一)【分析】根据题意可得函数在为减函数,且再写出即可.【详解】因为对任意,都有,所以函数在上减函数.又,故函数可以为.(注:满足题目条件的函数表达式均可.)故答案为:(答案不唯一)12.(2022·浙江丽水·高一开学考试)设函数,其中,.若在上不单调,则实数的一个可能的值为______.【答案】内的任意一个数.【分析】由对勾函数的性质判断出函数的单调区间,假设在上单调,即可求出的取值范围,其补集即为在上不单调时实数的取值范围.【详解】函数的定义域为,由对勾函数的性质可得函数在和上是单调递增,在和上是单调递减,若在上单调,则或,解得或,则在上不单调,实数的范围是,故答案为:内的任意一个数.13.(2022·全国·高一课时练习)函数的单调减区间为__________.【答案】##【分析】优先考虑定义域,在研究复合函数的单调性时,要弄清楚它由什么函数复合而成的,再根据“同增异减”可求解.【详解】函数是由函数和组成的复合函数,,解得或,函数的定义域是或,因为函数在单调递减,在单调递增,而在上单调递增,由复合函数单调性的“同增异减”,可得函数的单调减区间.故答案为:.四、解答题14.(2022·全国·高一)已知,函数.(1)指出在上的单调性(不需说明理由);(2)若在上的值域是,求的值.【答案】(1)在上是增函数(2)2【分析】(1)由于,利用反比例函数的性质,即可得到结果;(2)根据(1)的函数单调性,可知,,解方程即可求出结果.(1)解:因为,所以在上是增函数.(2)解:易知,由(1)可知在上为增函数.,解得,由得,解得.15.(2022·湖南·高一课时练习)设函数的定义域为,如果在上是减函数,在上也是减函数,能不能断定它在上是减函数?如果在上是增函数,在上也是增函数,能不能断定它在上是增函数?【分析】根据反例可判断两个结论的正误.【详解】取,则在上是减函数,在上也是减函数,但,,因此不能断定在上是减函数.若取,则在上是增函数,在上也是增函数,但,,因此不能断定在上是增函数.16.(2022·全国·高一专题练习)已知函数的定义域为.(1)求的定义域;(2)对于(1)中的集合,若,使得成立,求实数的取值范围.【答案】(1)(2)【分析】(1)的定义域可以求出,即的定义域;(2)令,若,使得成立,即可转化为成立,求出即可.(1)∵的定义域为,∴.∴,则.(2)令,,使得成立,即大于在上的最小值.∵,∴在上的最小值为,∴实数的取值范围是.【能力提升】一、单选题1.(2022·全国·高一课时练习)已知函数的定义域为R,满足,且当时,恒成立,设,,(其中),则a,b,c的大小关系为()A. B.C. D.【答案】B【分析】根据函数单调性的定义判断出在上单调递减,再利用把转化为,最后利用的单调性判断即可.【详解】因为,所以,因此,即,所以在上单调递减,又因为,所以,又因为,所以,所以.故选:B.2.(2021·江苏·盐城市大丰区新丰中学高一期中)函数的大致图象是()A. B.C. D.【答案】A【分析】探讨函数的定义域、单调性,再逐一分析各选项判断作答.【详解】函数的定义域为,选项C,D不满足,因,则函数在,上都单调递增,B不满足,则A满足.故选:A【点睛】方法点睛:函数图象的识别途径:(1)由函数的定义域,判断图象的左右位置,由函数的值域,判断图象的上下位置;(2)由函数的单调性,判断图象的变化趋势;(3)由函数的奇偶性,判断图象的对称性.3.(2022·全国·高一课时练习)设函数的定义域为,满足,且当时,.若对任意,都有,则的取值范围是()A. B. C. D.【答案】B【分析】根据函数关系式可知,由此可确定在上的解析式,并确定每段区间上的最小值;由时,可确定在此区间内的两根,结合函数图象可确定的范围.【详解】由知:,;当时,,则;当时,,,则;当时,,,则;令,解得:或;作出函数的大致图象如图所示.对任意恒成立,,则,即实数的取值范围为.故选:B.二、多选题4.(2021·安徽·高一期中)下列命题正确的是()A.的定义城为,则的定义域为B.函数的值域为C.函数的值域为D.函数的单调增区间为【答案】AB【分析】根据抽象函数的定义域求法,可判断A;利用换元法求得函数值域,可判断B;利用基本不等式可判断C;单调区间之间不能用并集符号,可判断D.【详解】对于A选项,由于函数的定义域为,对于函数,,解得,所以函数的定义域为,A选项正确;对于B选项,令,则,,且时,取得等号,所以函数的值域为,B选项正确;对于C选项,,当且仅当时,即等号取得,但等号取不到,所以C选项错误;对于D选项,,所以函数的单调增区间为和,单调区间之间不能用并集符号,D选项错误,故选:AB.5.(2021·辽宁实验中学高一期中)下列命题,其中正确的命题是()A.函数在上是增函数B.函数在上是减函数C.函数的单调区间是D.已知在上是增函数,若,则有【答案】AD【分析】根据函数单调性的定义和复合函数单调性法则依次讨论各选项即可得答案.【详解】对于A选项,函数的对称轴为,开口向上,所以函数在上单调递增,故A正确;对于B选项,因为当时,,当时,,所以函数在上不是减函数,故B错误;对于C选项,解不等式得,函数的定义域为,故C错误;对于D选项,由得,由于在上是增函数,故,所以,故D正确.故选:AD6.(2022·全国·高一课时练习)已知函数的定义域是,且,当时,,,则下列说法正确的是()A.B.函数在上是减函数C.D.不等式的解集为【答案】ABD【分析】利用赋值法求得,判断A;根据函数的单调性定义结合抽象函数的性质,可判断函数的单调性,判断B;利用,可求得C中式子的值,判断C;求出,将转化为,即可解不等式组求出其解集,判断D.【详解】对于A,令,得,所以,故A正确;对于B,令,得,所以,任取,且,则,因为,所以,所以,所以在上是减函数,故B正确;对于C,,故C错误;对于D,因为,且,所以,所以,所以等价于,又在上是减函数,且,所以,解得,故D正确,故选:ABD.7.(2022·广东深圳·高一期末)(多选)世界公认的三大著名数学家为阿基米德、牛顿、高斯,其中享有“数学王子”美誉的高斯提出了取整函数,表示不超过x的最大整数,例如.已知,,则函数的值可能为()A.0B.1C.2D.3【答案】BCD【分析】利用常数分离法知,根据x的取值范围结合不等式的性质求出的取值范围,进而得到函数的值.【详解】,当时,,,,此时的取值为1;当时,,,,此时的取值为2,3.综上,函数的值可能为.故选:BCD.三、填空题8.(2022·全国·高一专题练习)点、均在抛物线(,a、b为常数)上,若,则t的取值范围为________.【答案】【分析】根据,可知抛物线开口向下,根据抛物线解析式可知抛物线的对称轴为,当P、Q 两点关于抛物线对称轴对称时,可求出,根据根据,,即可求出t的取值范围.【详解】根据,可知抛物线开口向下,根据抛物线解析式可知抛物线的对称轴为,则有时,y随x的增大而增大;当P、Q两点关于抛物线对称轴对称时,则有,解得,∵,,又∵时,y随x的增大而增大;∴可知当P、Q在对称轴的左侧是肯定满足要求,P、Q均在对称轴的右侧时肯定不满足要求,当P、Q分别在对称轴x=1的两侧时,随着P、Q向x轴正向移动,P的纵坐标在逐渐增大,Q的纵坐标逐渐减小,当P、Q两点关于抛物线对称轴对称时有,继续正方向移动,则有,∴满足的t的取值范围:,故答案为:.四、解答题9.(2022·全国·高一课时练习)已知函数,判断并证明在区间上的单调性.【答案】单调递增,证明见解析【分析】利用单调性的定义证明,先任取,,且,然后作差,变形,判断符号,即可得结论. 【详解】在区间上单调递增,理由如下:任取,,且,.因为,所以,,,所以所以,所以,即,所以函数在区间上单调递增.10.(2022·全国·高一课时练习)已知函数的定义域为,对任意正实数、都有,且当时,.求证:函数是上的增函数.【分析】任取、,且,可得出,结合已知条件可出、的大小关系,即可证得结论成立.【详解】证明:任取、,且,则.因为,所以,所以,即,所以函数是上的增函数.11.(2022·全国·高一课时练习)画出下列函数的图象,并写出单调区间:(1);(2).【答案】(1)图象见解析;单调递增区间为和,无单调递减区间(2)图象见解析;单调递增区间为,单调递减区间为和【分析】(1)根据函数的解析式可作出其图象,即可得单调区间;(2)化简函数的解析式为,结合二次函数性质可作出其图象,即可得单调区间.(1)画出的图象如图所示,可得其单调递增区间为和,无单调递减区间.(2),作出该函数的图象如图所示,观察图象,知该函数的单调递增区间为,单调递减区间为和.12.(2020·陕西·榆林市第十中学高一阶段练习)已知函数.(1)求证:在上是增函数;(2)当时,求不等式的解集.【答案】(1)证明见解析;(2)【分析】(1)利用函数单调性的定义与作差法即可证明;(2)将代入,然后求解不等式即可(1)任取,且,则,所以,所以,所以在区间上单调递增;(2)当时,,由可得,解得,故不等式的解集为13.(2021·广东广雅中学花都校区高一期中)设函数.(1)当时,求函数的单调递减区间;(2)若函数在R上单调递增,求a的取值范围;(3)若对,不等式恒成立,求a的取值范围.【答案】(1);(2);(3).【解析】(1)去掉绝对值符号后根据一次函数、二次函数的单调性可得所求的单调减区间. (2)去掉绝对值符号可得,根据函数在R上单调递增可得关于的不等式组,从而可得其取值范围.(3)等价于且恒成立,前者可分类讨论,后者可结合一次函数的图象和性质,两者结合可得a的取值范围.【详解】(1)时,,故在上为增函数,在上为减函数,在为增函数,故函数的单调递减区间为.(2)因为函数在R上单调递增,故,解得.(3)等价于且恒成立,先考虑恒成立,则,故.再考虑恒成立,又,故,故,解得,综上,的取值范围为.【点睛】方法点睛:对于含绝对值符号的函数,可先去掉绝对值符号,从而把问题题转化为常见的一次函数、二次函数在给定范围上的恒成立问题,注意先讨论简单的一次函数的性质,从而参数的初步范围后再讨论二次函数的性质.14.(2021·重庆市清华中学校高一阶段练习)对于定义域为的函数,如果存在区间,同时满足下列两个条件:①在区间上是单调的;②当定义域是时,的值域也是.则称是函数的一个“黄金区间”.(1)请证明:函数不存在“黄金区间”.(2)已知函数在上存在“黄金区间”,请求出它的“黄金区间”.(3)如果是函数的一个“黄金区间”,请求出的最大值.【答案】(1)证明见解析;(2);(3).【分析】(1)由为上的增函数和方程的解的情况可得证;(2)由可得出,再由二次函数的对称轴和方程,可求出函数的“黄金区间”;(3)化简得函数的单调性,由已知是方程的两个同号的实数根,再由根的判别式和根与系数的关系可表示,由或,可得的最大值.【详解】解:(1)证明:由为上的增函数,则有,∴,无解,∴不存在“黄金区间”;(2)记是函数的一个“黄金区间”,由及此时函数值域为,可知而其对称轴为,∴在上必为增函数,令,∴,∴故该函数有唯一一个“黄金区间”;(3)由在和上均为增函数,已知在“黄金区间”上单调,所以或,且在上为单调递增,则同理可得,,即是方程的两个同号的实数根,等价于方程有两个同号的实数根,又,则只要,∴或,而由韦达定理知,,所以,其中或,所以当时,取得最大值.【点睛】关键点点睛:本题考查函数的新定义,对于解决此类问题的关键在于紧扣函数的新定义,注意将值域问题转化为方程的根的情况得以解决.15.(2022·广东·普宁市第二中学高一期中)已知函数,,. 若不等式的解集为(1)求的值及;(2)判断函数在区间上的单调性,并利用定义证明你的结论.(3)已知且,若.试证:.【答案】(1);(2)函数在区间上的单调递增,证明见解析(3)见解析【分析】(1)根据二次不等式的解集可以得到二次函数的零点,回代即可求出参数的值(2)定义法证明单调性,假设,若,则单调递增,若,则单调递减(3)单调性的逆应用,可以通过证明函数值的大小,反推变量的大小,难度较大(1),即,因为不等式解集为,所以,解得:,所以(2)函数在区间上的单调递增,证明如下:假设,则因为,所以,所以,即当时,,所以函数在区间上的单调递增(3)由(2)可得:函数在区间上的单调递增,在区间上的单调递减,因为,且,,所以,,证明,即证明,即证明,因为,所以即证明,代入解析式得:,即,令,因为在区间上的单调递增,根据复合函数同增异减的性质可知,在区间上的单调递减,所以单调递增,即,所以在区间上恒成立,即,得证:【点睛】小问1求解析式,较易;小问2考察定义法证明单调性,按照常规方法求解即可;小问3难度较大,解题过程中应用到以下知识点:(1)可以通过证明函数值的大小,结合函数的单调性,反推出变量的大小,即若,且单减,则;解题过程(2)单调性的性质,复合函数同增异减以及增函数减去减函数为增函数16.(2021·江苏·高一单元测试)已知函数,(1)对任意的,函数在区间上的最大值为,试求实数的取值范围;(2)对任意的,若不等式任意()恒成立,求实数的取值范围.【答案】(1)(2)【分析】(1)由已知可得,结合对勾函数的单调性与最值情况求参数范围;(2)由题意不等式可转化为函数在上单调递增,结合分段函数的单调性,分情况讨论. (1)由,由对勾函数的性质得函数在上单调递减,在上单调递增,所以,又,所以,又函数在区间上的最大值为,所以,即,解得,所以;(2)不等式任意()恒成立,即,设,在上单调递增,即在上单调递增,当时,,①当时,单调递增,成立;②当时,单调递增,成立,③当时,只需,即,当时,,①当时,在上递减,所以不成立;②当时,在上递减,所以不成立;③当时,只需,即,综上所述,.17.(2021·全国·高一专题练习)已知函数对一切实数都有成立,且(1)求的解析式;(2),若存在,使得,有成立,求的取值范围.【答案】(1)(2)【分析】(1)赋值法,令y=1,求出,进而求出;(2)根据题干中的条件,只需,先求出函数的最大值,然后利用二次函数的性质求最值,进而求出a的取值范围.(1)∵函数对一切实数都有成立,且,令y=1,则,(2)由题意,有,则,对于g(x),当x=0时,g(0)=0,当时,,设,则在(0,1)单调递减,在单调递增,在x=1处取到最小值,所以,所以,综上,,当且仅当x=1时取到,所以;设,则h(x)为开口向上的二次函数,其对称轴为x=a,下面通过对称轴的位置对h(x)的最值情况进行分类讨论:当时,对称轴距离区间右侧x=2更远,故,∴,即;2)当时,对称轴距离区间左侧x=-1更远,故,∴,即;综上,.。
函数的基本性质
1.奇偶性
(1)定义:如果对于函数f (x )定义域内的任意x 都有f (-x )=-f (x ),则称f (x )为奇函数;如果对于函数f (x )定义域内的任意x 都有f (-x )=f (x ),则称f (x )为偶函数。
如果函数f (x )不具有上述性质,则f (x )不具有奇偶性.如果函数同时具有上述两条性质,则f (x )既是奇函数,又是偶函数。
注意:
○1 函数是奇函数或是偶函数称为函数的奇偶性,函数的奇偶性是函数的整体性质;
○
2 由函数的奇偶性定义可知,函数具有奇偶性的一个必要条件是,对于定义域内的任意一个x ,则-x 也一定是定义域内的一个自变量(即定义域关于原点对称)。
(2)利用定义判断函数奇偶性的格式步骤:
○
1 首先确定函数的定义域,并判断其定义域是否关于原点对称; ○
2 确定f (-x )与f (x )的关系; ○
3 作出相应结论: 若f (-x ) = f (x ) 或 f (-x )-f (x ) = 0,则f (x )是偶函数; 若f (-x ) =-f (x ) 或 f (-x )+f (x ) = 0,则f (x )是奇函数。
(3)简单性质:
①图象的对称性质:一个函数是奇函数的充要条件是它的图象关于原点对称;一个函数是偶函数的充要条件是它的图象关于y 轴对称;
②设()f x ,()g x 的定义域分别是12,D D ,那么在它们的公共定义域上: 奇+奇=奇,奇⨯奇=偶,偶+偶=偶,偶⨯偶=偶 2.单调性
(1)定义:一般地,设函数y =f (x )的定义域为I , 如果对于定义域I 内的某个
区间D内的任意两个自变量x1,x2,当x1<x2时,都有f(x1)<f(x2)(f(x1)>f(x2)),那么就说f(x)在区间D上是增函数(减函数);
注意:
○1函数的单调性是在定义域内的某个区间上的性质,是函数的局部性质;
○2必须是对于区间D内的任意两个自变量x1,x2;当x1<x2时,总有f(x1)<f(x2) (2)如果函数y=f(x)在某个区间上是增函数或是减函数,那么就说函数y=f(x)在这一区间具有(严格的)单调性,区间D叫做y=f(x)的单调区间。
(3)设复合函数y=f[g(x)],其中u=g(x) , A是y=f[g(x)]定义域的某个区间,B 是映射g : x→u=g(x) 的象集:
①若u=g(x) 在A上是增(或减)函数,y= f(u)在B上也是增(或减)函数,则函数y= f[g(x)]在A上是增函数;
②若u=g(x)在A上是增(或减)函数,而y=f(u)在B上是减(或增)函数,则函数y= f[g(x)]在A上是减函数。
(4)判断函数单调性的方法步骤
利用定义证明函数f(x)在给定的区间D上的单调性的一般步骤:
○1任取x1,x2∈D,且x1<x2;
○2作差f(x1)-f(x2);
○3变形(通常是因式分解和配方);
○4定号(即判断差f(x1)-f(x2)的正负);
○5下结论(即指出函数f(x)在给定的区间D上的单调性)。
(5)简单性质
①奇函数在其对称区间上的单调性相同;
②偶函数在其对称区间上的单调性相反;
③在公共定义域内:
增函数+)
(x
g是减函数;增函数-)
f减函数)
f
(x
(x
f增函数)
(x
g是增函数;减函数+)
(x
减函数)
(x
g是减函数。
f增函数)
(x
(x
g是增函数;减函数-)
3.最值
(1)定义:
最大值:一般地,设函数y=f(x)的定义域为I,如果存在实数M满足:①对于任意的x∈I,都有f(x)≤M;②存在x0∈I,使得f(x0) = M。
那么,称M是函数y=f(x)的最大值。
最小值:一般地,设函数y=f(x)的定义域为I,如果存在实数M满足:①对于任意的x∈I,都有f(x)≥M;②存在x0∈I,使得f(x0) = M。
那么,称M是函数y=f(x)的最大值。
注意:
○1函数最大(小)首先应该是某一个函数值,即存在x0∈I,使得f(x0) = M;
○2函数最大(小)应该是所有函数值中最大(小)的,即对于任意的x∈I,都有f(x)≤M(f(x)≥M)。
(2)利用函数单调性的判断函数的最大(小)值的方法:
○1利用二次函数的性质(配方法)求函数的最大(小)值;
○2利用图象求函数的最大(小)值;
○3利用函数单调性的判断函数的最大(小)值:
如果函数y=f(x)在区间[a,b]上单调递增,在区间[b,c]上单调递减则函数y=f(x)在x=b处有最大值f(b);
如果函数y=f(x)在区间[a,b]上单调递减,在区间[b,c]上单调递增则函数y=f(x)在x=b处有最小值f(b);
4.周期性
(1)定义:如果存在一个非零常数T,使得对于函数定义域内的任意x,都有
f (x+T )= f (x ),则称f (x )为周期函数;
(2)性质:①f (x+T )= f (x )常常写作),2
()2(T x f T
x f -=+若f (x )的周期中,存在一个最小的正数,则称它为f (x )的最小正周期;②若周期函数f (x )的周期为T ,则f (ωx )(ω≠0)是周期函数,且周期为
|
|ωT 。
函数的基本性质
一、典型选择题 1.在区间
上为增函数的是( )
A. B. C. D.
(考点:基本初等函数单调性)
2.函数是单调函数时,的取值范围()
A. B. C . D.
(考点:二次函数单调性)
3.如果偶函数在具有最大值,那么该函数在有()
A.最大值B.最小值 C .没有最大值D.没有最小值(考点:函数最值)4.函数,是()
A.偶函数 B.奇函数C.不具有奇偶函数 D.与有关(考点:函数奇偶性)5.函数在和都是增函数,若,且那么()A. B. C. D.无法确定(考点:抽象函数单调性)
6.函数在区间是增函数,则的递增区间是()A. B. C. D.
(考点:复合函数单调性)
7.函数在实数集上是增函数,则()
A.B.C. D.
(考点:函数单调性)
8.定义在R上的偶函数,满足,且在区间上为递增,则()A. B.
C.D.
(考点:函数奇偶、单调性综合)
9.已知在实数集上是减函数,若,则下列正确的是()
A. B.
C. D.
(考点:抽象函数单调性)
二、典型填空题
1.函数在R上为奇函数,且,则当, .(考点:利用函数奇偶性求解析式)
2.函数,单调递减区间为,最大值和最小值的情况
为 .(考点:函数单调性,最值)
三、典型解答题
1.(12分)已知,求函数得单调递减区间.
(考点:复合函数单调区间求法)
2.(12分)已知,,求.
(考点:函数奇偶性,数学整体代换的思想)
一、BAABDBAAD 二、1.;2.和,;
三、3.解:函数,,
故函数的单调递减区间为.
4.解:已知中为奇函数,即=中,也即,,得,.。