测试技术部分课后习题参考答案
- 格式:doc
- 大小:862.50 KB
- 文档页数:19
现测课后习题答案第1章1. 直接的直接的 间接的间接的2. 测量对象测量对象 测量方法测量方法 测量设备测量设备3. 直接测量直接测量 间接测量间接测量 组合测量组合测量 直读测量法直读测量法 比较测量法比较测量法 时域测量时域测量 频域测量频域测量 数据域测量数据域测量4. 维持单位的统一,保证量值准确地传递维持单位的统一,保证量值准确地传递 基准量具基准量具 标准量具标准量具 工作用量具工作用量具5. 接触电阻接触电阻 引线电阻引线电阻6. 在对测量对象的性质、特点、测量条件(环境)认真分析、全面了解的前提下,根据对测量结果的准确度要求选择恰当的测量方法(方式)和测量设备,进而拟定出测量过程及测量步骤。
度要求选择恰当的测量方法(方式)和测量设备,进而拟定出测量过程及测量步骤。
7. 米(m) 秒(s) 千克(kg) 安培(A) 8. 准备准备 测量测量 数据处理数据处理9. 标准电池标准电池 标准电阻标准电阻 标准电感标准电感 标准电容标准电容第2章填空题1. 系统系统 随机随机 粗大粗大 系统系统2. 有界性有界性 单峰性单峰性 对称性对称性 抵偿性抵偿性3. 置信区间置信区间 置信概率置信概率4. 最大引用最大引用 0.6% 5. 0.5×10-1 [100.1[100.1ΩΩ,100.3100.3ΩΩ] 6. ±7.9670×10-4 ±0.04% 7. 测量列的算术平均值测量列的算术平均值8. 测量装置的误差不影响测量结果,但测量装置必须有一定的稳定性和灵敏度测量装置的误差不影响测量结果,但测量装置必须有一定的稳定性和灵敏度 9. ±6Ω10. [79.78V ,79.88V] 计算题 2. 解: (1)该电阻的平均值计算如下:128.504nii xx n===å该电阻的标准差计算如下:该电阻的标准差计算如下:21ˆ0.0331n i in n s ===-å(2)用拉依达准则有,测量值28.40属于粗大误差,剔除,重新计算有以下结果:属于粗大误差,剔除,重新计算有以下结果:28.511ˆ0.018x s ¢=¢=用格罗布斯准则,置信概率取0.99时有,n=15,a=0.01,查表得,查表得0(,) 2.70g n a =所以,所以,0ˆ(,) 2.700.0330.09g n a s =´=可以看出测量值28.40为粗大误差,剔除,重新计算值如上所示。
第2章习题及解答1.判断正误(1)凡频谱是离散的信号必然是周期信号。
( × )准周期信号(2)任何周期信号都由频率不同,但成整倍数比的离散的谐波叠加而成。
( × )(3)周期信号的频谱是离散的,非周期信号的频谱也是离散的。
( × )(4)周期单位脉冲序列的频谱仍为周期单位脉冲序列。
( √ )(5)非周期变化的信号就是随机信号。
( × )准周期信号(6)非周期信号的幅值谱表示的是其幅值谱密度与时间的函数关系。
( × )(7)信号在时域上波形有所变化,必然引起频谱的相应变化。
( × )(8)各态历经随机过程是平稳随机过程。
( √ )(9)平稳随机过程的时间平均统计特征等于该过程的集合平均统计特征。
( √ )(10)非周期信号的频谱都是连续的。
( × ) 准周期信号(11)单位脉冲信号的频谱是无限带宽谱(√)(12)直流信号的频谱是冲击谱(√)2.选择正确答案填空(1)描述周期信号的数学工具是(B )。
A.相关函数B. 傅里叶级数C. 拉普拉斯变换D. 傅里叶变换(2)描述非周期信号的数学工具是( C )。
A.三角函数B. 拉普拉斯变换C. 傅里叶变换D. 傅里叶级数(3)将时域信号进行时移,则频域信号将会( D )A.扩展B. 压缩C. 不变D. 仅有相移(4)瞬变信号的傅里叶变换的模的平方的意义为( C )A.信号的一个频率分量的能量B. 在f处的微笑频宽内,频率分量的能量与频宽之比C. 在f处单位频宽中所具有的功率(5)概率密度函数是在(C)域,相关函数是在(A)域,功率谱密度函数是在(D)域描述随机信号。
A.时间B. 空间C. 幅值D. 频率 (6) 白噪声信号的自相关函数是(C )A.相关函数B. 奇函数C. 偶函数D. 不存在3.已知方波信号傅里叶级数,请描述式中各常数相的物理意义,并绘出频谱图。
见书中例题4.已知锯齿波信号傅里叶级数,请描述式中各常数相的物理意义,并绘出频谱图。
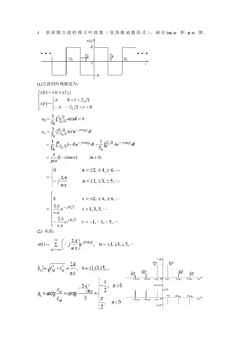
1 求周期方波的傅立叶级数(复指数函数形式),画出|cn|-ω和ϕ-ω图。
(1)方波的时域描述为:(2) 从而:2 . 求正弦信号的绝对均值和均方根值。
(1)(2)3.求符号函数和单位阶跃函数的频谱解:(1)因为不满足绝对可积条件,因此,可以把符合函数看作为双边指数衰减函数:其傅里叶变换为:(2)阶跃函数:4. 求被截断的余弦函数的傅里叶变换。
解:(1)被截断的余弦函数可以看成为:余弦函数与矩形窗的点积,即:(2)根据卷积定理,其傅里叶变换为:5.设有一时间函数f(t)及其频谱如图所示。
现乘以余弦函数cosω0t(ω0>ωm)。
在这个关系中函数f(t)称为调制信号,余弦函数cosω0t称为载波。
试求调幅信号的f(t)cosω0t傅氏变换,并绘制其频谱示意图。
又:若ω0<ωm将会出现什么情况?解:(1)令(2) 根据傅氏变换的频移性质,有:频谱示意图如下:(3) 当ω0<ωm时,由图可见,出现混叠,不能通过滤波的方法提取出原信号f(t)的频谱。
6.求被截断的余弦函数的傅立叶变换。
解:方法一:方法二:(1)其中为矩形窗函数,其频谱为:(2)根据傅氏变换的频移性质,有:第二章4. 求指数衰减函数的频谱函数,()。
并定性画出信号及其频谱图形。
解:(1)求单边指数函数的傅里叶变换及频谱(2)求余弦振荡信号的频谱。
利用函数的卷积特性,可求出信号的频谱为其幅值频谱为a a`b b`c c`题图信号及其频谱图注:本题可以用定义求,也可以用傅立叶变换的频移特性求解。
5 一线性系统,其传递函数为,当输入信号为时,求:(1);(2);(3);(4)。
解:(1) 线性系统的输入、输出关系为:已知,则由此可得:(2) 求有两种方法。
其一是利用的傅立叶逆变换;其二是先求出,再求,其三是直接利用公式求。
下面用第一种方法。
(3)由可得:(4) 可以由的傅立叶逆变换求得,也可以直接由、积分求得:第三章1.说明线性系统的频率保持性在测量中的作用。
第一章习题1.测试技术的静态特性是什么?其用哪些性能指标来描述?它们一般用哪些公式表示?①测试技术的静态特性是指被测量的值处于稳定状态时,测试技术的输入与输出之间的关系。
②衡量测试技术静态特性的主要指标有线性度、灵敏度、迟滞、重复性、分辨率、阈值、稳定性、漂移和静态误差。
③线性度、灵敏度、迟滞、重复性、分辨率、阈值、稳定性、漂移和静态误差。
2.测试技术的动态特性是什么?其分析方法有哪几种①测试技术的动态特性是指测试技术的输出对随时间变化的输入量的响应特性,它反映了输出值真实再现变化着的输入量的能力。
②阶跃响应、频率响应3.测试技术数学模型的一般描述方法有哪些?传感器数学模型可分为静态和动态数学模型。
其中传感器静态数学模型一般多用多项式来描述,而动态数学模型通常采用微分方程和传递函数等来描述。
4.测试技术系统有哪些典型环节?写出不同环节的微分方程。
输入,输出方程、传递函数、频率响应和单位阶跃5.为什么说零阶测试技术的动态特性是最理想的?因为零阶没有滞后6.简述系统误差和随机误差出现的原因及特点。
系统误差:系统误差是由固定不变的或按确定规律变化的因素所造成的。
系统误差的特征是:在同一条件下多次测量同一量值时,绝对值和符号保持不变;或当条件改变时,按一定规律变化。
系统误差在某些情况下对测量结果的影响还比较大,因此,研究系统误差产生的原因,发现、减小或消除系统误差,使测量结果更加趋于正确和可靠,是误差理论的重要课题之一,是数据处理中的一个重要的内容。
随机误差:随机误差是由于感官灵敏度和仪器精密程度的限制、周围环境的干扰及伴随着测量而来的不可预料的随机因素的影响而造成的。
它的特点是大小无定值,一切都是随机发生的,因而又把它称为偶然误差7.标准误差的意义是什么?标准误越小,抽样误差越小,样本对总体的代表性越好8.有效数字的运算原则和规则是什么?有效数字的确定方法是什么? 一般规定,数值中的可靠数字与所保留的1位(或2位)可疑数字统称为有效数字。
《绪论》0-1叙述我国法定计量单位的基本内容。
答:我国的法定计量单位是以国际单位制(SI)为基础并选用少数其他单位制的计量单位来组成的。
1.基本单位根据国际单位制(SI),七个基本量的单位分别是:长度——米(Metre)、质量——千克(Kilogram)、时间——秒(Second)、温度——开尔文(Kelvn)、电流——安培(Ampere)、发光强度——坎德拉(Candela)、物质的量——摩尔(Mol>。
它们的单位代号分别为:米(m))、千克(kg)、秒(s)、开(K)、安(A)、坎(cd)、摩(mol)。
国际单位制(SI)的基本单位的定义为:米(m)是光在真空中,在1/299792458s的时间间隔内所经路程的长度。
千克(kg)是质量单位,等于国际千克原器的质量。
秒(s)是铯-133原子基态的两个超精细能级间跃迁对应的辐射9192631770个周期的持续时间。
安培(A)是电流单位。
在真空中,两根相距1m的无限长、截面积可以忽略的平行圆直导线内通过等量恒定电流时,若导线间相互作用力在每米长度上为2×10-7N,则每根导线中的电流为1A。
开尔文(K)是热力学温度单位,等于水的三相点热力学温度的1/273.16。
摩尔(mol)是一系统的物质的量,该系统中所包含的基本单元数与0.012kg碳-12的原子数目相等。
使用摩尔时,基本单元可以是原子、分子、离子、电子及其他粒子,或是这些粒子的特定组合。
坎德拉(cd)是一光源在给定方向上的发光强度,该光源发出频率为540×1012Hz的单色辐射,且在此方向上的辐射强度为1/683W/sr。
2.辅助单位在国际单位制中,平面角的单位——弧度和立体角的单位——球面度未归入基本单位或导出单位,而称之为辅助单位。
辅助单位既可以作为基本单位使用,又可以作为导出单位使用。
它们的定义如下:弧度(rad)是一个圆内两条半径在圆周上所截取的弧长与半径相等时,它们所夹的平面角的大小。
第一章1答:测试技术是实验科学的一部分,主要研究各种物理量的测量原理和测量信号分析处理方法,是进行各种科学实验研究和生产过程参数测量必不可少的手段,起着人的感官的作用。
2答:测试系统由传感器、中间变换装置和显示记录装置三部分组成。
传感器将被测物理量检出并转换为电量,中间变换装置对接收到的电信号用硬件电路进行分析处理或经A/D变换后用软件进行信号分析,显示记录装置则测量结果显示出来,提供给观察者或其它自动控制装置。
3答:在工程领域,科学实验、产品开发、生产监督、质量控制等,都离不开测试技术。
测试技术应用涉及到航天、机械、电力、石化和海洋运输等每一个工程领域。
4答:例如:全自动洗衣机中用到如下传感器:衣物重量传感器,衣质传感器,水温传感器,水质传感器,透光率光传感器(洗净度) 液位传感器,电阻传感器(衣物烘干检测)。
第二章1答:信号波形是指被测信号幅度随时间的变化历程。
2答:从信号描述上分为:确定性信号与非确定性信号;从信号的幅值和能量上分为:能量信号与功率信号;从分析域上分为:时域与频域;从连续性分为:连续时间信号与离散时间信号;从可实现性分为:物理可实现信号与物理不可实现信号。
3答:可以用明确数学关系式描述的信号称为确定性信号。
不能用数学关系式描述的信号称为非确定性信号。
4答:在所分析的区间(-∞,∞),能量为有限值的信号称为能量信号,能量不是有限值的信号称为功率信号。
5答:周期信号的自相关函数仍然是同频率的周期信号,但不保留原信号的相位信息。
6答:信号频域分析是采用傅立叶变换将时域信号x(t)变换为频域信号X(f)。
时域分析只能反映信号的幅值随时间的变化情况,除单频率分量的简谐波外,很难明确揭示信号的频率组成和各频率分量大小。
信号频谱X(f)代表了信号在不同频率分量成分的大小,能够提供比时域信号波形更直观,丰富的信息。
7答:周期函数展开为傅立叶级数的物理意义: 把一个比较复杂的周期信号看成是许多不同频率的简谐信号的叠加。
习题 11.1 求题图1-2解:x t ()1.2 求题图1-1周期三角波的傅里叶级数 波的数学表达式为A-T 2 0 2t 题图1.2 周期性三角波解:将)(t x 展开成三角函数形式的傅里叶级数,求其频谱。
计算傅里叶系数:∵ )(t x 是偶函数∴ 0=n b于是,有 2/00202002)cos 1sin (8T n t n n t n n t T A a ωωωω+-= 由此得)(t x 的三角函数形式傅里叶级数展开上展开式为若取 )sin()(010n n n t n A a t x ϕω++=∑∞= n 次谐波分量的幅值 2222π4n A b a A n n n =+= n 次谐波分量的相位 2πarctan ==n n n b a ϕ 画出)(t x 的频谱如题图1.2(b)所示。
将)(t x 展开成复数形式的傅里叶级数,求其频谱。
计算傅里叶系数0 ω0 30ω 50ω 70ω 90ω ωπ/2 π/2 π/2 π/2 π/20 ω0 30ω 50ω 70ω 90ω ω题图1.2(b)由此得)(t x 的复指数形式傅里叶级数展开上展开式为n 次谐波分量的幅值n 次谐波分量的相位画出x t ()的频谱如题图1.2(c)所示。
1-3 求正弦信号)sin()(ϕ+=t a A t x 的绝对均值x μ,均方根值)(rm s t x 及概率密度函数p (x )。
解-90ω-70ω-50ω-30ω-ω0 0 ω0 30ω 50ω 70ω 90ω ω-90ω-70ω-50ω-30ω-ω0 0-π -π -π -π -π题图1.2(c)取 t a A t x sin )(=有t at Aa x d cos d = 1.4 求被矩形窗函数截断的余弦函数t 0cos ω(题图1.4)的频谱,并作频谱图。
解题图1.4 或者,1.5 单边指数函数)0,0()(≥=-t Ae t x t αα与余弦振荡信号t t y 0c o s)(ω=的乘积为 z (t )=x (t ) y (t ), 在信号调制中, x (t ) 叫调制信号, y (t ) 叫载波, z (t ) 便是调幅信号 。
第二章 测量结果的数据处理及误差分析√2-3 用标准测力机检定材料试验机,若材料试验机的示值为5.000MN ,标准测力仪输出力值为4.980MN ,试问材料机在5.000MN 检定点的示值误差、示值的相对误差各为多少?解:示值误差=,020.0000.5980.4−=−示值的相对误差=%04.0000.5020.0−=−√2-8 设间接测量量z x y =+,在测量x 和时是一对一对同时读数的。
测量数据如下表。
试求的标准测量序号y z 偏差。
1 2 3 4 5 6 78 9 10 x 读数100 104 1029810310199101105102 y 读数51 51 5450515250505351解:101.5x =,51.3y =,0.42y σ=,0.687x σ=152.8z x y =+=z x y =+,1,1z z x y∂∂∴==∂∂ 由于10(,)()(0.55iix y x x y y ρ−−∴==∑0.98z σ∴=。
1m 距离的标准偏差为0.2mm 。
如何表示间的函数式?求测此10m 距离的标准差。
见书P27-28页的内容。
5.033,25.039,25.034mm 。
如不计其他不确定度来源,最佳值及其标准不确定度。
见书P36页例题2.8√2-9 用米尺逐段丈量一段10m 的距离,设丈量接测量解:参√2-14 用千分尺重复测量某小轴工件直径10次,得到的测量数据为25.031,25.037,25.034,25.036,25.038,25.037,25.036,2试估计解:参答案网 w w w .h k s h p .c n第三章 信号描述与分析-3 求指数函数的频谱。
√解:()e (00)atx t A a t −=>≥,3dt e Ae dt e t x X t j at t j ∫∫+∞−−+∞∞−−==0)()(ωωω220)()ωωωωω+−=+=+−=+∞+−a j a A j a A e j a Ata j (3-4 求被截断的余弦函数0cos t ω0cos ||()0 ||t t x t t Tω<⎧=⎨≥T解:⎩(题图3-4 )的傅里叶变换。
复习(重点)一、中期考试题(含第一、二、三章) 重点习题:二、填空选择题:第五、九、十章。
如: 1. ±1误差称为最大量化误差2.直接数字合成(DDS )技术的优缺点。
三、判断题第四、九章。
四、简答题:1.简单电路原理分析,如P155图4-6;锁相环倍频分频2.框图分析(简述) :测频、测周及时间间隔原理;示波器扫描发生器环组各部份的组成及作用;外差式频谱分析仪组成框图原理;逻辑分析仪 五、计算题:1.(含中期考试计算题)及第九章2.累进性系统误差、周期性误差的判别,简述测量数据处理的步骤(要求给出相应的公式及判据),例3-4。
3.计算由±1误差所引起的测周误差。
付加:1.现代自动测试系统特点2. PXI 总线的特点及应用领域?第一章一、填空题1.相对误差定义 与 的比值。
通常用百分数表示。
2.广义测量是指为了获得对被测对象 而进行的实验过程。
3.狭义测量测量是为了确定被测对象的 而进行的实验过程。
4.测量误差主要的来源 、 、 、 和 。
5.仪表的准确度越高,测量结果越 。
6.信息的的获取的过程是由 和 两大环节组成。
二、计算题1、用量程为10V 、1.5级的电压表分别测量3V 和8V 的电压,试问哪一次测量的准确度高?为什么?解:xm=10V,A1=3V ,A2=8V2、某被测电压为3.50V ,仪表的量程为5V ,测量时该表的示值为3.53V ,求:⑴ 绝对误差与修正值各为多少?%5.1%100=⨯∆=XmXm γ%5.110⨯=∆X %5%10011=⨯∆=A XA γ◆⑵实际相对误差及引用误差各为多少?◆⑶该电压表的精度等级属哪一级别?第二章◆一、选择题:◆ 1.从基本的测量对象来看,电子测量是对( ) 的测量。
◆ A.电信号 B. 电路C.电系数D.电参数◆ 2.测量系统的理想静态特性为().◆A.y=Sx+S0 B.y=Sx C.y=S D.y=Sx+S0+x2◆ 3. 电子信息技术应用在电子测量中的优点有()。
《测试技术》(第二版)课后习题参考答案解:(1) 瞬变信号-指数衰减振荡信号,其频谱具有连续性和衰减性。
(2) 准周期信号,因为各简谐成分的频率比为无理数,其频谱仍具有离散性。
(3) 周期信号,因为各简谐成分的频率比为无理数,其频谱具有离散性、谐波性和收敛性。
解:x(t)=sin2t f 0π的有效值(均方根值):2/1)4sin 41(21)4sin 41(21)4cos 1(212sin 1)(100000000000002020000=-=-=-===⎰⎰⎰T f f T T tf f T T dt t f T dt t f T dt t x T x T T T T rms ππππππ 解:周期三角波的时域数学描述如下:(1)傅里叶级数的三角函数展开:,式中由于x(t)是偶函数,t n 0sin ω是奇函数,则t n t x 0sin )(ω也是奇函数,而奇函数在上下限对称区间上的积分等于0。
故=n b 0。
因此,其三角函数展开式如下:其频谱如下图所示:⎪⎪⎪⎩⎪⎪⎪⎨⎧+≤≤-≤≤-+=)(202022)(0000nT t x T t t T AA t T t T A A t x 21)21(2)(12/0002/2/00000=-==⎰⎰-T T T dt t T T dt t x T a ⎰⎰-==-2/00002/2/00000cos )21(4cos )(2T T T n dt t n t T T dt t n t x T a ωω⎪⎩⎪⎨⎧==== ,6,4,20,5,3,142sin 422222n n n n n πππ⎰-=2/2/0000sin )(2T T n dtt n t x T b ω∑∞=+=1022cos 1421)(n t n nt x ωπ∑∞=++=1022)2sin(1421n t n nπωπ(n =1, 3, 5, …)(2)复指数展开式复指数与三角函数展开式之间的关系如下:)( 21=212121n 22000=-===+====nn n e n m n n n n n a barctg C R C I arctg a A b a C a A C φ A ϕ单边幅频谱 单边相频谱0 ωn φω0 3ω0 5ω0 -ω0 -3ω0 -5ω00 ωI m C nω0 3ω0 5ω0 -ω0 -3ω0 -5ω0虚频谱双边相频谱解:该三角形窗函数是一非周期函数,其时域数学描述如下:用傅里叶变换求频谱。
《绪论》0-1叙述我国法定计量单位的基本内容。
答:我国的法定计量单位是以国际单位制(SI)为基础并选用少数其他单位制的计量单位来组成的。
1.基本单位根据国际单位制(SI),七个基本量的单位分别是:长度——米(Metre)、质量——千克(Kilogram)、时间——秒(Second)、温度——开尔文(Kelvn)、电流——安培(Ampere)、发光强度——坎德拉(Candela)、物质的量——摩尔(Mol>。
它们的单位代号分别为:米(m))、千克(kg)、秒(s)、开(K)、安(A)、坎(cd)、摩(mol)。
国际单位制(SI)的基本单位的定义为:米(m)是光在真空中,在1/299792458s的时间间隔内所经路程的长度。
千克(kg)是质量单位,等于国际千克原器的质量。
秒(s)是铯-133原子基态的两个超精细能级间跃迁对应的辐射9192631770个周期的持续时间。
安培(A)是电流单位。
在真空中,两根相距1m的无限长、截面积可以忽略的平行圆直导线内通过等量恒定电流时,若导线间相互作用力在每米长度上为2×10-7N,则每根导线中的电流为1A。
开尔文(K)是热力学温度单位,等于水的三相点热力学温度的1/273.16。
摩尔(mol)是一系统的物质的量,该系统中所包含的基本单元数与0.012kg碳-12的原子数目相等。
使用摩尔时,基本单元可以是原子、分子、离子、电子及其他粒子,或是这些粒子的特定组合。
坎德拉(cd)是一光源在给定方向上的发光强度,该光源发出频率为540×1012Hz的单色辐射,且在此方向上的辐射强度为1/683W/sr。
2.辅助单位在国际单位制中,平面角的单位——弧度和立体角的单位——球面度未归入基本单位或导出单位,而称之为辅助单位。
辅助单位既可以作为基本单位使用,又可以作为导出单位使用。
它们的定义如下:弧度(rad)是一个圆内两条半径在圆周上所截取的弧长与半径相等时,它们所夹的平面角的大小。
第1章 测试技术基础知识1.4 常用的测量结果的表达方式有哪3种?对某量进行了8次测量,测得值分别为:82.40、82.43、82.50、82.48、82.45、82.38、82.42、82.46。
试用3种表达方式表示其测量结果。
解:常用的测量结果的表达方式有基于极限误差的表达方式、基于t 分布的表达方式和基于不确定度的表达方式等3种1)基于极限误差的表达方式可以表示为0max x x δ=±均值为8118i x x ==∑82.44因为最大测量值为82.50,最小测量值为82.38,所以本次测量的最大误差为0.06。
极限误差max δ取为最大误差的两倍,所以082.4420.0682.440.12x =±⨯=±2)基于t 分布的表达方式可以表示为x t x x ∧±=σβ0标准偏差为s ==0.04样本平均值x 的标准偏差的无偏估计值为ˆx σ==0.014 自由度817ν=-=,置信概率0.95β=,查表得t 分布值 2.365t β=,所以082.44 2.3650.01482.440.033x =±⨯=±3)基于不确定度的表达方式可以表示为0x x x x σ∧=±=±所以082.440.014x =±解题思路:1)给出公式;2)分别计算公式里面的各分项的值;3)将值代入公式,算出结果。
第2章 信号的描述与分析2.2 一个周期信号的傅立叶级数展开为12ππ120ππ()4(cos sin )104304n n n n n y t t t ∞==++∑(t 的单位是秒) 求:1)基频0ω;2)信号的周期;3)信号的均值;4)将傅立叶级数表示成只含有正弦项的形式。
解:基波分量为12ππ120ππ()|cos sin 104304n y t t t ==+ 所以:1)基频0π(/)4rad s ω=2)信号的周期02π8()T s ω==3)信号的均值42a = 4)已知 2π120π,1030n n n n a b ==,所以4.0050n A n π=== 120π30arctan arctan arctan 202π10n n nn bn a ϕ=-=-=-所以有0011()cos()4 4.0050cos(arctan 20)24n n n n a n y t A n t n t πωϕπ∞∞===++=+-∑∑2.3某振荡器的位移以100Hz 的频率在2至5mm 之间变化。
习题4常用传感器4.6 电容传感器(平行极板电容器)的圆形极板半径r =4mm ,工作初始极板间距离 δ0=0.3mm ,介质为空气。
问:① 如果极板间距离变化量Δδ=±l μm ,电容的变化量ΔC 是多少?② 如果测量电路的灵敏度S 1=100mv/pF,读数仪表的灵敏度S 2=5格/mV ,在Δδ= ±1μm 时,读数仪表的变化量为多少?解δδ∆-≈∆C C 220πδδεδδ∆-=∆-=∆r C C 2362312)103.0()10()104(14.31085.8----⨯±⨯⨯⨯⨯-= pF 1094.41094.4315--⨯=⨯=pF )1094.4(/m V 5m V /pF 100321-⨯⨯⨯=∆=∆ 格C S S x格472. =4-1 什么是应变片的灵敏系数?它与电阻丝的灵敏系数有何不同?为什么?一般情况下,应变片的灵敏系数小于电阻丝的灵敏系数。
原因是:当应变片粘贴于弹性体表面或者直接将应变片粘贴于被测试件上时,由于基底和粘结剂的弹性模量与敏感栅的弹性模量之间有差别等原因,弹性体或试件的变形不可能全部均匀地传递到敏感栅;丝栅横向效应的影响。
4-2 金属应变片与半导体应变片在工作原理上有何不同?前者利用金属应变引起电阻的变化;而后者是利用半导体电阻率变化引起电阻的变化(压阻效应)。
4-3 试比较自感式传感器与差动变压器式传感器的异同。
不同点:自感式传感器把被测非电量的变化转换成自感系数的变化;差动变压器式传感器把被测非电量的变化转换成互感系数的变化。
相同点:两者都属于电感式传感器,都可以分为气隙型、截面型和螺管性三种类型。
4-4在自感式传感器中,螺管式自感传感器的灵敏度最低,为什么在实际应用中却应用最广泛?答:在自感式传感器中,虽然螺管式自感传感器的灵敏度最低,但示值范围大、线性也较好;同时还具备自由行程可任意安排、制造装配方便、可互换性好等优点。
信号及其描述习题1.1求周期方波求周期方波(图(图1-4)的傅立叶级数的傅立叶级数(复指数函数形式)(复指数函数形式)。
画出频谱图|C n |—ω ;φn —ω 图并与表1-1对比。
对比。
解:傅立叶级数的复指数形式表达式:×××±±±==å+¥-¥=,3,2,1,0;)(0n e C t x n t jn n w 式中:所以:幅值频谱:幅值频谱:相位频谱:相位频谱:傅立叶级数的复指数形式的幅值频谱图和相位频谱都是双边频谱图。
傅立叶级数的复指数形式的幅值频谱图和相位频谱都是双边频谱图。
1.2求正弦信号求正弦信号 x (t )=x 0sin ωt 的绝对均值μ|x |和均方根值x rms解:解:1.3求指数函数求指数函数 的频谱。
的频谱。
解:解:1.4求符号函数(题图1-1a )和单位阶跃函数(题图1-1b )的频谱. []()ïîíì×××±±±=×××±±±=-=--=+´+-=úûùêëé-+úûùêëé--=úûù+êëé-==---------òòò,6,4,2;0,5,3,1;2cos 12111)(1)(120002002022200000000000n n n A j n n A j e e n jA n jA e jn A T e jn A T dt Ae dt eA T dt et x TC jnjn T t jn T t jn T t jn T tjn T T tjn n p p pp p w w p p w w w w w ×××±±±±=÷øöçèæ-=å+¥-¥=,7,5,3,1;2)(0n e n A j t x t jn n w p ×××±±±==+=,5,3,1;222n n AC C C nI nR n p ïîïíì×××---=×××=-=÷÷÷÷øöççççèæ-==,5,3,1;2,5,3,1;202n n n A arctg C C arctg nR nI n p pp j wp p w m 2;2sin 1)(lim 0000000====òò¥®T x tdt x T dt t x T T Tx 式中:()2sin 1)(1020002000x dt dt x T dt t x T x T T rms ===òòw )0;0(;)(³>=-t Ae t x ta a f j A dt e Ae dt e t x f X ft j t ftj p a p a p 2)()(022+=×==òò¥+--¥+¥--解:1) 符号函数的频谱: 令: 2)单位阶跃函数的频谱: 1.5求被截断的余弦函数cos ω0t (题图1-2)的傅立叶变换。
第1章 测试技术基础知识1.4 常用的测量结果的表达方式有哪3种?对某量进行了8次测量,测得值分别为:82.40、82.43、82.50、82.48、82.45、82.38、82.42、82.46。
试用3种表达方式表示其测量结果。
解:常用的测量结果的表达方式有基于极限误差的表达方式、基于t 分布的表达方式和基于不确定度的表达方式等3种1)基于极限误差的表达方式可以表示为0max x x δ=±均值为8118ix x==∑82.44因为最大测量值为82.50,最小测量值为82.38,所以本次测量的最大误差为0.06。
极限误差m ax δ取为最大误差的两倍,所以082.4420.0682.440.12x =±⨯=±2)基于t 分布的表达方式可以表示为x t x x ∧±=σβ0标准偏差为s ==0.04样本平均值x 的标准偏差的无偏估计值为ˆx σ==0.014自由度817ν=-=,置信概率0.95β=,查表得t 分布值 2.365t β=,所以082.44 2.3650.01482.440.033x =±⨯=±3)基于不确定度的表达方式可以表示为0xx x x σ∧=±=±所以082.440.014x =±解题思路:1)给出公式;2)分别计算公式里面的各分项的值;3)将值代入公式,算出结果。
第2章 信号的描述与分析2.2 一个周期信号的傅立叶级数展开为12ππ120ππ()4(cossin)104304n n n n n y t t t ∞==++∑(t 的单位是秒)求:1)基频0ω;2)信号的周期;3)信号的均值;4)将傅立叶级数表示成只含有正弦项的形式。
解:基波分量为12ππ120ππ()|cossin104304n y t t t ==+所以:1)基频0π(/)4rad s ω=2)信号的周期02π8()T s ω==3)信号的均值042a = 4)已知 2π120π,1030n n n n a b ==,所以4.0050n A n π===120π30arctanarctanarctan 202π10n n nn b n a ϕ=-=-=-所以有0011()cos()4 4.0050cos(arctan 20)24n n n n a n y t A n t n t πωϕπ∞∞===++=+-∑∑2.3某振荡器的位移以100Hz 的频率在2至5mm 之间变化。
将位移信号表示成傅立叶级数,并绘制信号的时域波形和频谱图。
解:设该振荡器的位移表达式为()sin()s t A t Bωϕ=++由题意知100f Hz =振荡频率,所以有2200f ωππ==信号的幅值52 1.52A -==信号的均值25 3.52B +==信号的初相角0ϕ=所以有() 3.5 1.5sin(200)s t t π=+=3.5 1.5cos(200)2t ππ++即该信号为只含有直流分量和基波分量的周期信号。
2.5 求指数函数()e (00)at x t A a t -=>≥,的频谱。
√ 解:dt eAedt e t x X tj attj ⎰⎰+∞--+∞∞--==)()(ωωω()22)j a tAA A a j ea j a j a ωωωωω+∞-+-=-==+++((到此完成,题目未要求,可不必画频谱)|()|||()arctanAX j ωαωωφωα==+=-2.6求被截断的余弦函数0cos t ω0cos ||()0 ||t t T x t t Tω<⎧=⎨≥⎩(题图2-6 )的傅里叶变换。
√()()j tX x t edt ωω+∞--∞=⎰00TT00000012sin()sin()[]([sin c()sin c()]j t j t j t e e e dt TTT T T ωωωωωωωωωωωωωωω---=+-=++-=++-⎰(+)到此式也可以)2. 7求指数衰减振荡信号0()e sin atx t t ω-=的频谱。
√题图2-60000j j 022()()esin 1j(ee)e2())j tatj tt tatj tX x t e dt t e dtedt a j ωωωωωωωωωω+∞+∞----∞+∞---==⋅=-=++⎰⎰⎰2.8 余弦信号()cos x t X t ω=的绝对均值x μ和均方根值rm s x 。
√ 解:π20=TπωππμππXdt t X dt t x dt t x T T 2cos 21)(21)(12020x====⎰⎰⎰2)(102X dt t x T x T rms ==⎰2. 9求()h t 的自相关函数。
√e (00)()0 (0)at t a h t t -⎧≥>=⎨<⎩,解:对能量有限信号()h t 的相关函数()()()()d ()x ata t x R x t x t tR eedtττττ∞-∞∞--+=+=⋅⎰⎰202a ateedt a τ-∞-=⎰20()2a ateea τ--+∞=-2a eaτ-=2.10求正弦波和方波的互相关函数。
√ 解法一:()sin x t t ω=,1(/23/2)()1(0/2,3/22)t y t t t πππππ<≤⎧⎪=⎨-<≤<≤⎪⎩1()lim()()Txy T R x t y t dt Tττ→∞=+⎰1()()T x t y t dt T τ=+⎰/23/22/23/2[sin sin sin ]2tdt tdt tdt πτπτπττπτπτωωωωπ-----=-++-⎰⎰⎰/23/22/23/2[cos |cos |cos |]2t t t πτπτπττπτπτωωωωπ-----=-+2sin ωτπ=解法二:因为()()xy yx R R ττ-= 00344441()lim()()()1lim()()sin ()sin ()2sin Txy T yx TT TTT T R x t y t dtTR y t x t dtTt dt t dtττττωτωτωτπ→∞→∞-=+=-=-=--+-=⎰⎰⎰⎰2. 12 知信号的自相关函数为cos A ωτ,请确定该信号的均方值2x ψ和均方根值rm s x 。
√解:2(0)cos 0x x R A A φ===rms x ==3-16 三个余弦信号1()cos 2x t t π=、2()cos 6x t t π=、3()cos10x t t π=进行采样,采样频率4H z s f =,求三个采样输出序列,比较这三个结果,画出1()x t 、2()x t 、3()x t 的波形及采样点位置并解释频率混叠现象。
√ 解:114s sT f ==11()()()()()()()44s s n s s n n x t x t t nT x nT t nT n n x t δδδ∞=-∞∞=-∞∞=-∞=⋅-=-=-∑∑∑1()cos(2)()44cos()()24s n n n n x t t n n t πδπδ∞=-∞∞=-∞=-=-∑∑cos2n π=(也可以写成这种形式)2()cos(6)()443cos()()24s n n n n x t t n n t πδπδ∞=-∞∞=-∞=-=-∑∑3cos2n π= 3()cos(2)()445cos()()24s n n n n x t t nn t πδπδ∞=-∞∞=-∞=-=-∑∑5cos2n π=∵ 8s ωπ=,πω21=,πω62=,πω103=∴12s ωω>, 1()x t 不产生混叠;22s ωω<、32s ωω<,2()x t 、3()x t 产生混叠。
第3章 测试系统的基本特性3. 5用一个时间常数为0.35s 的一阶装置去测量周期分别为1s 、2s 和5s 的正弦信号,问幅值误差将是多少?√ 解:∵一阶装置的幅频特性为:2)(11)(τωω+=A ,其中时间常数35.0=τ若测量周期分别为1s 时,即πππω2221===Tf则=+=211)(11)(τωωA∴振幅误差==-=-9.01)(11ωA3.6求周期信号()0.5cos100.2cos(10045)x t t t =+- 通过传递函数为1()0.0051H s s =+的装置后所得到的稳态响应。
√ 解:因为1()0.0051H s s =+,0.005τ∴=又因为()0.5cos100.2cos(10045)o x t t t =+- 令1()0.5cos10x t t =则:1()0.99875A ω==11()arctan() 2.86oϕωτω=-=-令2()0.2cos(10045)ox t t =-则:2()0.894A ω==22()arctan()26.57oϕωτω=-=-()0.50.99875cos(10 2.86)0.20.894cos(1004526.57)o o oy t t t ∴=⨯-+⨯-- 0.5cos(10 2.86)0.18cos(10071.57)oot t ≈-+-。
3. 10频率函数为23155072(10.01j )(1577536176j )ωωω++-的系统对正弦输入()10sin(62.8)x t t =的稳态响应的均值显示。
√解:222221222113155072()(10.01)(1577536176)11256210.01125612560.07()11256(),()10.01125612560.07()21()()10*(62.8)10.01()H j j j j j j H j H j j j j S H j X t t j A ωωωωωωωωωωωωωωω=++-=⨯⨯++⨯+∴==++⨯+∴===+∴ 系统为一阶系统和二阶系统串联,灵敏度对于,输入222220000.851256()125612560.07()0.07,1256()0.998101020.850.99816.9660.70712n rm s H j j j A x y y y ωωωζωω====+⨯+==∴===∴=⨯⨯⨯=∴=⨯= 对于有3.11试求传递函数分别为 1.53.50.5s +和222411.4nn ns s ωωω++的两环节串联后组成的系统的总灵敏度。
√ 解:同上题,先将2个传递函数改写,求出1S 、2S :1.533.50.571s s =++,13S =222411.4nn ns s ωωω++,241S =两环节串联后组成的系统的总灵敏度21S S S ⨯==1233.12设某力传感器可作为二阶振荡系统处理。