2017-2019三年高考数学真题(理)分类汇编解析版
- 格式:pdf
- 大小:10.75 MB
- 文档页数:392
- 1 = 2 ⨯⎪ - 1 = - , ⎝ 5 ⎭所以 AB 2 = BC 2 + AC 2 - 2BC ⋅ ACcosC = 1 + 25 - 2 ⨯1⨯ 5 ⨯ - ⎪ = 32,则AB = 4 2 ,故选 A.专题 10 解三角形1.【2018 年高考全国Ⅱ理数】在△ABC 中, cos C 5 =2 5, BC = 1, AC = 5 ,则AB =A . 4 2C . 29【答案】A【解析】因为 cosC = 2cos 2 C2⎛ 5 ⎫2 3 B . 30D . 2 55⎛ 3 ⎫ ⎝ 5 ⎭【名师点睛】解三角形问题,多为边和角的求值问题,这就需要根据正、余弦定理,结合已知条件,灵活转化为边和角之间的关系,从而达到解决问题的目的.2.【2018 年高考全国Ⅲ理数】 △ABC 的内角 A ,B ,C 的对边分别为 a , b , c ,若 △ABC 的面积为a 2 +b 2 -c 24,则 C =A .C .π 2 π 4B .D .π 3 π6【答案】C△S ABC【解析】由题可知1 a2 + b 2 - c 2= absinC = 2 4,所以 a 2 + b 2 - c 2 = 2absinC ,由余弦定理 a 2 + b 2 - c 2 = 2abcosC ,得 sinC = cosC ,因为 C ∈ (0, π ),所以 C =π 4,故选 C.【名师点睛】本题主要考查余弦定理与三角形的面积公式在解三角形中的应用,考查考生的运算求解能力,考查的核心素养是数学运算.3.【2017 年高考山东卷理数】在△ABC 中,角 A ,B ,C 的对边分别为 a , b , c .若 △ABC 为锐角三角形,且满足 s in B(1+ 2cos C ) = 2sin A cos C + cos A s in C ,则下列等式成立的是A . a = 2bC . A = 2BB . b = 2aD . B = 2 A1.=1【答案】122【解析】如图,在△ABD中,由正弦定理有:ABAC=AB+BC=5,sin∠BAC=BC=,cos∠BAC==,所以BD=. AC5AC55c【答案】A【解析】由题意知s in(A+C)+2sin B cos C=2sin A cos C+cos A s in C,所以2sin B cos C=sin A c os C⇒2sin B=sin A⇒2b=a,故选A.【名师点睛】本题较为容易,关键是要利用两角和与差的三角函数公式进行恒等变形.首先用两角和的正弦公式转化为含有A,B,C的式子,再用正弦定理将角转化为边,得到a=2b.解答三角形中的问题时,三角形内角和定理是经常用到的一个隐含条件,不容忽视4.【2019年高考全国Ⅱ卷理数】△ABC的内角A,B,C的对边分别为a,b,c.若b=6,a=2c,B=π3△ABC的面积为_________.【答案】63,则【解析】由余弦定理得b2=a2+c2-2ac cos B,所以(2c)2+c2-2⨯2c⨯c⨯解得c=23,c=-23(舍去),13所以a=2c=43,Sac sin B=⨯43⨯23⨯=63.22212=62,即c2=12,【名师点睛】本题易错点往往是余弦定理应用有误或是开方导致错误.解答此类问题,关键是在明确方法的基础上,准确记忆公式,细心计算.本题首先应用余弦定理,建立关于的方程,应用a,c的关系、三角形面积公式计算求解,本题属于常见题目,难度不大,注重了基础知识、基本方法、数学式子的变形及运算求解能力的考查.5.【2019年高考浙江卷】在△ABC中,∠ABC=90︒,AB=4,BC=3,点D在线段AC上,若∠BDC=45︒,则BD=___________,cos∠ABD=___________.72,510BD3π=,而AB=4,∠ADB=,sin∠ADB sin∠BAC43AB412222ππ72 cos∠ABD=cos(∠BDC-∠BAC)=cos cos∠BAC+sin sin∠BAC=4410.2【答案】15.△ABE中,cos∠ABC=BE=1【名师点睛】本题主要考查解三角形问题,即正弦定理、三角恒等变换、数形结合思想及函数方程思想.在△ABD中应用正弦定理,建立方程,进而得解.解答解三角形问题,要注意充分利用图形特征. 6.【2018年高考浙江卷】在△ABC中,角A,B,C所对的边分别为a,b,c.若a= sin B=___________,c=___________.7,b=2,A=60°,则【答案】21 7,3【解析】由正弦定理得a sin A2π21 =,所以sin B=⨯sin=, b sin B737由余弦定理得a2=b2+c2-2bc cos A,∴7=4+c2-2c,∴c=3(负值舍去).【名师点睛】解三角形问题,多为边和角的求值问题,这就需要根据正、余弦定理结合已知条件灵活转化为边和角之间的关系,从而达到解决问题的目的解答本题时,根据正弦定理得sinB,根据余弦定理解出c.7.【2017年高考浙江卷】已知△ABC,AB=AC=4,BC=2.点D为AB延长线上一点,BD=2,连结CD,则△BDC的面积是______,cos∠BDC=_______.10,24【解析】取BC中点E,由题意:AE⊥BC,11115=,∴cos∠DBC=-,sin∠DBC=1-=AB44164,∴S15⨯BD⨯BC⨯sin∠DBC=22.∵∠ABC=2∠BDC,∴cos∠ABC=cos2∠BDC=2cos2∠BDC-1=14,3解得cos∠BDC=10即6cos C+sin C=2sin C,可得cos(C+60︒)=-10或cos∠BDC=-(舍去).44综上可得,△BCD面积为1510,cos∠BDC=.24【名师点睛】利用正、余弦定理解决实际问题的一般思路:(1)实际问题经抽象概括后,已知量与未知量全部集中在一个三角形中,可以利用正弦定理或余弦定理求解;(2)实际问题经抽象概括后,已知量与未知量涉及两个或两个以上三角形,这时需作出这些三角形,先解够条件的三角形,再逐步解其他三角形,有时需要设出未知量,从几个三角形中列出方程(组),解方程(组)得出所要的解.8.【2019年高考全国Ⅰ卷理数】△ABC的内角A,B,C的对边分别为a,b,c,设(sin B-sin C)2=sin2A-sin B sin C.(1)求A;(2)若2a+b=2c,求sinC.【答案】(1)A=60︒;(2)sin C=6+2 4.【解析】(1)由已知得s in2B+sin2C-sin2A=sin B s in C,故由正弦定理得b2+c2-a2=bc.b2+c2-a21由余弦定理得cos A==.2bc2因为0︒<A<180︒,所以A=60︒.(2)由(1)知B=120︒-C,由题设及正弦定理得2sin A+sin (120︒-C)=2sin C,312 +2222.由于0︒<C<120︒,所以sin (C+60︒)=22,故4因为 cos B4sin (120︒ - C)sin C = sin (C + 60︒ - 60︒ )= sin (C + 60︒ )cos60 ︒ - cos (C + 60︒ )sin 60︒= 6 + 2 4.【名师点睛】本题考查利用正弦定理、余弦定理解三角形的问题,涉及到两角和差正弦公式、同角三角函数关系的应用,解题关键是能够利用正弦定理对边角关系式进行化简,得到余弦定理的形式或角之间的关系.9.【2019 年高考全国Ⅲ卷理数】△ABC 的内角 A ,B ,C 的对边分别为 a ,b ,c ,已知 a sin(1)求 B ;(2△)若 ABC 为锐角三角形,且 c =1△,求 ABC 面积的取值范围.3 3 【答案】(1)B =60°;(2) ( ,) .82【解析】(1)由题设及正弦定理得 s in A s in A + C= sin B sin A .2因为sinA ≠ 0,所以 sin A + C= sin B .2A + CB B B B由 A + B + C = 180︒ ,可得 sin= cos ,故 cos = 2sin cos .22 2 2 2B 1≠ 0 ,故 sin = , 2 2 2因此B =60°.A + C 2= b sin A .(2)由题设及(1△)知 ABC 的面积 S △ABC =3a .c sin A3 1由正弦定理得 a = == + . sin Csin C2 tan C 2△由于 ABC 为锐角三角形,故0°<A <90°,0°<C <90°,由(1)知A +C =120°,所以30°<C <90°,故 1< a < 2 ,25从而 3△ABC <因此,△ABC 面积的取值范围是 8 , 2 ⎪⎭.b 2 = 32 +c 2 - 2 ⨯ 3 ⨯ c ⨯ - ⎪ . 所以 (c + 2)2 = 32 + c 2 - 2 ⨯ 3 ⨯ c ⨯ - ⎪ .3< S 8 2.⎛ 3 3 ⎫ .⎝【名师点睛】这道题考查了三角函数的基础知识,以及正弦定理的使用(此题也可以用余弦定理求解),最后考查 V ABC 是锐角三角形这个条件的利用,考查的很全面,是一道很好的考题1 10.【2019 年高考北京卷理数】在△ABC 中,a =3,b −c =2,cosB = - . 2(1)求 b ,c 的值;(2)求 sin (B –C )的值.【答案】(1) b = 7 , c = 5 ;(2)4 73 .【解析】(1)由余弦定理 b 2 = a 2 + c 2 - 2ac cos B ,得⎛ 1 ⎫ ⎝ 2 ⎭因为 b = c + 2 ,⎛ 1 ⎫ ⎝ 2 ⎭解得 c = 5 .所以 b = 7 .(2)由 cos B = - 1 3 得 sin B = 2 2.由正弦定理得 s in C = c 5 3 sin B = b 14.在 △ABC 中,∠B 是钝角,所以∠C 为锐角.所以 cos C = 1 - sin 2 C = 11 14.所以 sin( B - C ) = sin B cos C - cos B sin C = 4 3 7.【名师点睛】本题主要考查余弦定理、正弦定理的应用,两角差的正弦公式的应用等知识,意在考查66⎭⎛【答案】(1)-1【解析】(1)在△ABC中,由正弦定理ba2+c2-b2a2+a2-a29922⋅a⋅asin 2B+⎪=sin2B cos+cos2B sin=-⨯-⨯=-(2)若sin A学生的转化能力和计算求解能力.11.【2019年高考天津卷理数】在△ABC中,内角A,B,C所对的边分别为a,b,c.已知b+c=2a,3c s in B=4a sin C.(1)求cos B的值;(2)求sin 2B+⎝π⎫⎪的值.35+7;(2)-416.c=,得b s in C=c sin B,sin B sin C又由3c s in B=4a sin C,得3b s in C=4a sin C,即3b=4a.42又因为b+c=2a,得到b=a,c=a.33由余弦定理可得cos B=4161==-.2ac43(2)由(1)可得sin B=1-cos2B=15 4,从而sin2B=2sin B cos B=-1587,cos2B=cos2B-sin2B=-,故8⎛π⎫ππ1537135+7⎝6⎭66828216.【名师点睛】本小题主要考查同角三角函数的基本关系,两角和的正弦公式,二倍角的正弦与余弦公式,以及正弦定理、余弦定理等基础知识.考查运算求解能力.12.【2019年高考江苏卷】在△ABC中,角A,B,C的对边分别为a,b,c.(1)若a=3c,b=2,cosB=23,求c的值;cos Bπ=,求sin(B+)的值.a2b2【答案】(1)c=325;(2)35.7( ) 从而 cos 2 B = (2sin B)2 ,即 cos 2 B = 4 1 - cos 2 B ,故 cos 2 B = .= = π⎫ 2 5= cos B = 2 ⎭ 5⎛要求:线段 PB 、QA 上的所有点到点 O 的距离均不小于圆 O 的半径.已知点 A 、B 到直线 l 的距离分【解析】(1)因为 a = 3c, b =2,cos B = 23,a 2 + c 2 -b 22 (3c)2 + c 2 - ( 2) 21 由余弦定理 cos B =,得 = ,即 c 2 = .2ac3 2 ⨯ 3c ⨯ c3所以 c =3 3.(2)因为 sin A cos B= ,a 2ba b cos B sin B由正弦定理 ,得 ,所以 cos B = 2sin B .sin A sin B 2b b45因为 sin B > 0 ,所以 cos B = 2sin B > 0 ,从而 cos B = 255.因此 sin B + ⎝⎪ .【名师点睛】本小题主要考查正弦定理、余弦定理、同角三角函数关系、诱导公式等基础知识,考查运算求解能力.13.【2019 年高考江苏卷】如图,一个湖的边界是圆心为 O 的圆,湖的一侧有一条直线型公路 l ,湖上有桥 AB (AB 是圆 O 的直径).规划在公路 l 上选两个点 P 、Q ,并修建两段直线型道路 PB 、QA .规划....别为 AC 和 BD (C 、D 为垂足),测得 AB =10,AC =6,BD =12(单位:百米).(1)若道路 PB 与桥 AB 垂直,求道路 PB 的长;(2)在规划要求下,P 和 Q 中能否有一个点选在 D 处?并说明理由;(3)在规划要求下,若道路 PB 和 QA 的长度均为 d (单位:百米).求当 d 最小时,P 、Q 两点间的距离.【答案】(1)15(百米);(2)见解析;(3)17+ 3 21 (百米).8= = 15 . 1 1 1【解析】解法一:(1)过A 作 AE ⊥ BD ,垂足为E.由已知条件得,四边形ACDE 为矩形, DE = BE = AC = 6, AE = CD = 8 .'因为PB ⊥AB ,所以 cos ∠PBD = sin ∠ABE = 8 4= .10 5所以 PB =BD 12 cos ∠PBD 45因此道路PB 的长为15(百米).(2)①若P 在D 处,由(1)可得E 在圆上,则线段BE 上的点(除B ,E )到点O 的距离均小于圆O 的半径,所以P 选在D 处不满足规划要求.②若Q 在D 处,连结AD ,由(1)知 AD = AE 2 + ED 2 = 10 ,AD 2 + AB 2 - BD 2 7从而 cos ∠BAD = = > 0 ,所以∠BAD 为锐角.2 A D ⋅ AB 25所以线段AD 上存在点到点O 的距离小于圆O 的半径.因此,Q 选在D 处也不满足规划要求.综上,P 和Q 均不能选在D 处.(3)先讨论点P 的位置.当∠OBP <90°时,线段PB 上存在点到点O 的距离小于圆O 的半径,点P 不符合规划要求;当∠OBP ≥90°时,对线段PB 上任意一点F ,OF ≥OB ,即线段PB 上所有点到点O 的距离均不小于圆O 的半径,点P 符合规划要求.设 P 为l 上一点,且 PB ⊥ AB ,由(1)知, P B =15,此时 PD = PB sin ∠PBD = PB cos ∠EBA = 15 ⨯ 1 1 1 1当∠OBP >90°时,在 △PPB 中, PB > PB = 15 .113 5= 9 ;92 2 .1 ⎪ < 32 + 42 = 5 ,由上可知,d ≥15.再讨论点Q 的位置.由 ( 2 ) 知 , 要 使 得 QA ≥15 , 点 Q 只 有 位 于 点 C 的 右 侧 , 才 能 符 合 规 划 要 求 . 当 QA =15 时 ,CQ = QA - AC = 1 5 2 -6 2 = 3 2 此时,线段QA 上所有点到点O 的距离均不小于圆O 的半径.综 上 , 当 PB ⊥ AB , 点 Q 位 于 点 C 右 侧 , 且 CQ = 3 21 时 , d 最 小 , 此 时 P , Q 两 点 间 的 距 离PQ =PD +CD +CQ =17+ 3 21 .因此,d 最小时,P ,Q 两点间的距离为17+ 3 21 (百米).解法二:(1)如图,过O 作OH ⊥l ,垂足为H.以O 为坐标原点,直线OH 为y 轴,建立平面直角坐标系.因为BD =12,AC =6,所以OH =9,直线l 的方程为y =9,点A ,B 的纵坐标分别为3,−3.因为AB 为圆O 的直径,AB =10,所以圆O 的方程为x 2+y 2=25.从而A (4,3),B (−4,−3),直线AB 的斜率为4因为PB ⊥AB ,所以直线PB 的斜率为 - ,33 4.直线PB 的方程为 y = - 4 25 x - 3 3.所以P (−13,9), PB =(-13 + 4)2 + (9 + 3)2 = 15 .因此道路PB 的长为15(百米).(2)①若P 在D 处,取线段BD 上一点E (−4,0),则EO =4<5,所以P 选在D 处不满足规划要求.②若Q 在D 处,连结AD ,由(1)知D (−4,9),又A (4,3), 所以线段AD : y = - 3x + 6(-4剟x 4) .415 ⎛ 15 ⎫2在线段AD 上取点M (3, ),因为 OM =32 + 4⎝ 4 ⎭10111152 2所以线段AD 上存在点到点O 的距离小于圆O 的半径.因此Q 选在D 处也不满足规划要求.综上,P 和Q 均不能选在D 处.(3)先讨论点P 的位置.当∠OBP <90°时,线段PB 上存在点到点O 的距离小于圆O 的半径,点P 不符合规划要求;当∠OBP ≥90°时,对线段PB 上任意一点F ,OF ≥OB ,即线段PB 上所有点到点O 的距离均不小于圆O 的半径,点P 符合规划要求.设 P 为l 上一点,且 PB ⊥ AB ,由(1)知, P B =15,此时 P (−13,9);当∠OBP >90°时,在 △PPB 中, PB > PB = 15 .1 1由上可知,d ≥15.再讨论点Q 的位置.由(2)知,要使得QA≥15,点Q 只有位于点C 的右侧,才能符合规划要求.当QA =15时,设Q (a ,9),由 AQ = (a - 4)2 + (9 - 3)2 = 15(a > 4) ,得a = 4 + 3 21 ,所以Q ( 4 + 3 21 ,9),此时,线段QA上所有点到点O 的距离均不小于圆O 的半径.综上,当P (−13,9),Q ( 4 + 3 21 ,9)时,d 最小,此时P ,Q 两点间的距离PQ = 4 + 3 21 - (-13) = 17 + 3 21 .因此,d 最小时,P ,Q 两点间的距离为17 + 3 21 (百米).【名师点睛】本小题主要考查三角函数的应用、解方程、直线与圆等基础知识,考查直观想象和数学建模及运用数学知识分析和解决实际问题的能力.14.【2018 年高考全国Ⅰ理数】在平面四边形 ABCD 中, ∠ADC = 90 , ∠A = 45 , AB = 2 , BD = 5 .(1)求 cos ∠ADB ;(2)若 DC = 2 2 ,求 BC .【答案】(1)23 5;(2)5.【解析】(1)在 △ABD 中,由正弦定理得BD AB= .sin ∠A sin ∠ADB由题设知, = ,所以 sin ∠ADB = sin 45︒ sin ∠ADB 5.11所以 cos ∠ADB = 1 -2由题设得 bc sinA = ,即 bc = 8 . 【BC b c由题设知, ∠ADB < 90︒ ,23 =.255(2)由题设及(1)知, cos ∠BDC = sin ∠ADB =2 5.在 △BCD 中,由余弦定理得BC 2 = BD 2 + DC 2 - 2 ⋅ BD ⋅ DC ⋅ cos ∠BDC= 25 + 8 - 2 ⨯ 5 ⨯ 2 2 ⨯25= 25 .所以 BC = 5 .【名师点睛】求解此类问题的突破口:一是观察所给的四边形的特征,正确分析已知图形中的边角关系,判断是用正弦定理,还是用余弦定理,求边角;二是注意大边对大角,在解三角形中的应用.15. 2017 年高考全国Ⅰ理数】△ABC 的内角 A , ,的对边分别为 a , , ,已知 △ABC 的面积为(1)求 sin Bsin C;(2)若 6cos Bcos C =1,a =3,求 △ABC 的周长. 【答案】(1)2;(2) 3 + 33 .31 a2 1 a 【解析】(1)由题设得ac sin B =,即 c sin B =.23sin A23sin A1 sin A由正弦定理得 sin C sin B =.23sin A2 故 sin B sin C =.31 1(2)由题设及(1)得 cos B cos C - s in Bsin C = -,即 cos( B + C ) = - .222π π 所以 B + C =,故 A = .331 a 2212a23sin A.16.2018年高考天津卷理数】在△ABC中,内角A,B,C所对的边分别为a,b,c.已知b sin A=a cos(B-).【.【答案】(1)π;(2)b=7,sin(2A-B)=()在△1ABC中,由正弦定理a即sin B=cos(B-),可得tan B=3.因为a<c,故cos A=2,cos2A=2cos2A-1=.所以,sin(2A-B)=sin2A c os B-cos2Asin B=43⨯-⨯=.由余弦定理得b2+c2-bc=9,即(b+c)2-3bc=9,得b+c=33.故△ABC的周长为3+33.【名师点睛】在处理解三角形问题时,要注意抓住题目所给的条件,当题设中给定三角形的面积,可以使用面积公式建立等式,再将所有边的关系转化为角的关系,有时需将角的关系转化为边的关系;解三角形问题常见的一种考题是“已知一条边的长度和它所对的角,求面积或周长的取值范围”或者“已知一条边的长度和它所对的角,再有另外一个条件,求面积或周长的值”,这类问题的通法思路是:全部转化为角的关系,建立函数关系式,如y=A s in(ωx+ϕ)+b,从而求出范围,或利用余弦定理以及基本不等式求范围;求具体的值直接利用余弦定理和给定条件即可π6(1)求角B的大小;(2)设a=2,c=3,求b和sin(2A-B)的值.33314.【解析】本小题主要考查同角三角函数的基本关系,两角差的正弦与余弦公式,二倍角的正弦与余弦公式,以及正弦定理、余弦定理等基础知识,考查运算求解能力.满分13分.b=,可得b sin A=a sin B,sin A sin Bππ又由b s in A=a cos(B-),得a sin B=a cos(B-),66π6又因为B∈(0,π),可得B=π.3(△2)在ABC中,由余弦定理及a=2,c=3,B=π,有b2=a2+c2-2ac cos B=7,故b=7.3π3由b s in A=a cos(B-),可得sin A=.677.因此sin2A=2sin A c os A=437171133372721413△SABC = ac sin B = 【解析】(1)在△ABC 中,∵cosB =– 1【名师点睛】在处理三角形中的边角关系时,一般全部化为角的关系,或全部化为边的关系.题中若出现边的一次式一般采用到正弦定理,出现边的二次式一般采用到余弦定理.应用正、余弦定理时,注意公式变式的应用.解决三角形问题时,注意角的限制范围.17.【2017 年高考全国Ⅱ理数】△ABC 的内角 A, B, C 的对边分别为 a, b , c ,已知 sin ( A + C ) = 8sin2B2(1)求 cos B ;(2)若 a + c = 6 , △ABC 的面积为 2 ,求 b ..【答案】(1) cos B =15 17;(2) b = 2 .【解析】(1)由题设及 A + B + C = π ,可得 sin B = 8sin 2上式两边平方,整理得17cos 2 B - 32cos B + 15 = 0 ,B2,故 sin B = 4 (1 - cos B ) . 解得 cos B = 1(舍去), cos B =15 17.15 8 1 4 (2)由 cos B = 得 sin B = ,故 17 172 17ac .又 S △ABC =2 ,则 ac = 17 2.由余弦定理及 a + c = 6 得:b 2= a 2+ c 2- 2ac cos B = (a + c )2 - 2ac (1 + cos B ) = 36 - 2 ⨯17 15 ⨯ (1+ ) = 4,2 17所以 b = 2 .【名师点睛】解三角形问题是高考的高频考点,命题大多放在解答题的第一题,主要利用三角形的内角和定理,正、余弦定理,三角形的面积公式等知识进行求解.解题时要灵活利用三角形的边角关系进行“边转角”“角转边”,另外要注意 a + c, ac, a 2 + c 2 三者之间的关系,这样的题目小而活,备受命题者的青睐.18.【2018 年高考北京卷理数】在△ABC 中,a =7,b =8,cosB =–(1)求∠A ;(2)求 AC 边上的高.π 3 3【答案】(1);(2).32π,∴B ∈( ,π), 7 2141 7 .由正弦定理得a()在△2ABC中,sinC=sin(A+B)=sinAcosB+sinBcosA=31143如图所示,在△ABC中,∵sinC=h,∴h=BC⋅s in C=7⨯【a∴sinB=1-cos2B=437.8b7=⇒=43,sin A sin B sin A7∴sinA=32.∵B∈(ππ,π),∴A∈(0,),22π∴∠A=.333⨯(-)+⨯=.2727143333=BC142,∴AC边上的高为332.【名师点睛】解三角形问题,多为边和角的求值问题,这就需要根据正、余弦定理结合已知条件灵活转化边和角之间的关系,从而达到解决问题的目的,基本步聚是:第一步,定条件,即确定三角形中的已知和所求,在图形中标出来,然后确定转化的方向;第二步,定工具,即根据条件和所求合理选择转化的工具,实施边、角之间的互化;第三步,求结果.19.2017年高考天津卷理数】在△ABC中,内角A,B,C所对的边分别为a,b,c.已知a>b,=5,c=6,sin B=35.(1)求b和sin A的值;(2)求sin(2A+π)的值.415【答案】(1) b 的值为 13 , sin A 的值为 3 13 【解析】(1)在 △ABC 中,因为 a > b ,故由 sin B =3由正弦定理 a故 sin(2 A + π在 △ABC 中,由余弦定理得 28 = 4 + c 2 - 4c cos ,即 c 2 + 2c - 24 = 0 .7 2;(2)13 26.4,可得 cos B = . 5 5由已知及余弦定理,有 b 2 = a 2 + c 2 - 2ac cos B = 13 ,所以 b = 13 .b a sin B 3 13= ,得 sin A = =sin A sin B b 13.所以, b 的值为 13 , sin A 的值为 3 13 13.(2)由(1)及 a < c ,得 cos A = 2 1313,所以 sin 2 A = 2sin A c os A = 12 5, cos 2 A = 1 - 2sin 2 A = - .13 13π π 7 2 ) = sin 2 A c os + cos 2 A s in = 4 4 4 26.【名师点睛】(1)利用正弦定理进行“边转角”可寻求角的关系,利用“角转边”可寻求边的关系,利用余弦定理借助三边关系可求角,利用两角和差的三角公式及二倍角公式可求三角函数值.(2)利用正、余弦定理解三角形是高考的高频考点,常与三角形内角和定理、三角形面积公式等相结合,利用正、余弦定理进行解题.20.【2017 年高考全国Ⅲ理数】△ABC 的内角 A ,B ,C 的对边分别为 a ,b ,c.已知 sin A + 3 cos A = 0 ,a =2 7 ,b =2.(1)求 c ;(2)设 D 为 BC 边上一点,且 AD ⊥ △AC ,求 ABD 的面积.【答案】(1) c = 4 ;(2) 3 .【解析】(1)由已知可得 tan A = - 3 ,所以 A =2π 3.2π3解得 c = -6 (舍去), c = 4 .1626 = 1 .又△ ABC 的面积为 ⨯ 4 ⨯ 2sin ∠BAC = 2 3 ,【(2)由题设可得 ∠CAD =π,2所以 ∠BAD = ∠BAC - ∠CAD =π 6.故 △ABD 面积与 △ACD 面积的比值为1 πAB ⋅ AD ⋅ s in1AC ⋅ AD 212所以 △ABD 的面积为 3 .【名师点睛】在解决三角形问题中,面积公式最常用,因为公式中既有边又有角,容易和正弦定理、余弦定理联系起来.正、余弦定理在应用时,应注意灵活性,已知两角和一边,该三角形是确定的,其解是唯一的;已知两边和一边的对角,该三角形具有不唯一性,通常根据三角函数值的有界性和大边对大角定理进行判断. (1)由题意首先求得 A =2π,然后利用余弦定理列方程,边长取方程的正实数根可得c = 4 ;3(2)利用题意首先求得 △ABD 的面积与 △ACD 的面积的比值,然后结合 △ABC 的面积可求得△ABD 的面积为 3 .21. 2017 年高考江苏卷】如图,水平放置的正四棱柱形玻璃容器Ⅰ和正四棱台形玻璃容器Ⅱ的高均为 32cm ,容器Ⅰ的底面对角线 AC 的长为 10 7 cm ,容器Ⅱ的两底面对角线 EG , E 1G 1 的长分别为 14cm 和62cm .分别在容器Ⅰ和容器Ⅱ中注入水,水深均为12cm .现有一根玻璃棒 l ,其长度为 40cm .(容器厚度、玻璃棒粗细均忽略不计)(1)将 l 放在容器Ⅰ中, l 的一端置于点 A 处,另一端置于侧棱 CC 1 上,求 l 没入水中部分的长度;(2)将 l 放在容器Ⅱ中, l 的一端置于点 E 处,另一端置于侧棱 GG 1 上,求 l 没入水中部分的长度.1711设 ∠EGG = α ,∠ENG = β , 则 sin α = sin( + ∠KGG ) = cos ∠KGG = . 2 5【答案】(1)16 cm(如果将“没入水中部分”理解为“水面以上部分”,则结果为 24cm);(2)20 cm(如果将“没入水中部分”理解为“水面以上部分”,则结果为 20cm).【解析】(1)由正棱柱的定义,CC 1⊥ 平面 ABCD ,所以平面 A 1 ACC 1⊥平面 ABCD ,CC 1⊥AC .记玻璃棒的另一端落在 CC 1 上点 M 处.因为 AC = 10 7, AM = 40 ,所以 MC =402 - (10 7) 2 = 30 ,从而 sin ∠MAC =记 AM 与水面的交点为 P ,过 P 作 P 1Q 1⊥AC ,Q 1 为垂足,3 4,则 P 1Q 1⊥平面 ABCD ,故 P 1Q 1=12,从而 AP 1= PQ1 1 sin ∠MAC= 16 .答:玻璃棒 l 没入水中部分的长度为 16cm .(如果将“没入水中部分”理解为“水面以上部分”,则结果为 24cm)(2)如图,O ,O 1 是正棱台的两底面中心.由正棱台的定义,OO 1⊥平面 EFGH ,所以平面 E 1EGG 1⊥平面 EFGH ,O 1O ⊥EG . 同理,平面 E 1EGG 1⊥平面 E 1F 1G 1H 1,O 1O ⊥E 1G 1. 记玻璃棒的另一端落在 GG 1 上点 N 处.过 G 作 GK ⊥E 1G 1,K 为垂足,则 GK =OO 1=32. 因为 EG = 14,E 1G 1= 62,所以 KG 1= 62 - 14 2= 24 ,从而 GG = KG 2 + GK 2 = 242 + 322 = 40 .1 1π 41 1 118< α < π ,所以 cos α = - 于是 sin ∠NEG = sin(π -α - β ) = sin(α + β )= sin α coβ +cos α sin β = 故 P 2Q 2=12,从而 EP 2=P Q所以由正弦定理得 s in C = csin A因为π3. 2 5在 △ENG 中,由正弦定理可得40 14 7= ,解得 sin β = . sin α sin β 25因为 0 < β < π 24,所以 cos β = .2 254 24 3 7 3s ⨯ + ( - ) ⨯ = . 5 25 5 25 5记 EN 与水面的交点为 P 2,过 P 2 作 P 2Q 2⊥EG ,Q 2 为垂足,则 P 2Q 2⊥平面 EFGH ,2 2 sin ∠NEG= 20 .答:玻璃棒 l 没入水中部分的长度为 20cm .(如果将“没入水中部分”理解为“水面以上部分”,则结果为 20cm)【名师点睛】解答本题时,(1)转化为直角三角形 ACM 中,利用相似性质求解 AP 1;(2)转化到三角形 EGN 中,先利用直角梯形性质求角∠EGG 1,再利用正弦定理求角∠ENG ,最后根据直角三角形求高,即为 l 没入水中部分的长度.解三角形问题,多为边和角的求值问题,这就需要根据正、余弦定理结合已知条件灵活转化边和角之间的关系,从而达到解决问题的目的.其基本步骤是:第一步:定条件,即确定三角形中的已知和所求,在图形中标出来,然后确定转化的方向;第二步:定工具,即根据条件和所求合理选择转化的工具,实施边角之间的互化;第三步:求结果.22.【2017 年高考北京卷理数】在△ABC 中, ∠A =60°,c =(1)求 sin C 的值;(2)若 a =7△,求 ABC 的面积.3 7a.【答案】(1)3 3 14;(2) 6 3 .【解析】(1△)在 ABC 中,因为 ∠A = 60︒ , c = 37 3 3 3 3= ⨯ = a 7 2 143(2)因为 a = 7 ,所以 c = ⨯ 7 = 3 .7a ,.19(1)根据正弦定理a由余弦定理 a 2 = b 2 + c 2 - 2bc cos A 得 72 = b 2 + 32 - 2b ⨯ 3 ⨯解得 b = 8 或 b = -5 (舍).1 1 3△所以 ABC 的面积 S =bc sin A = ⨯ 8 ⨯ 3 ⨯ = 6 3 .2 2 21 2,【名师点睛】高考中经常将三角变换与解三角形知识综合起来命题,如果式子中含有角的余弦或边的二次式,要考虑用余弦定理实现边角互化;如果遇到的式子中含有角的正弦或边的一次式时,则考虑用正弦定理实现边角互化;以上特征都不明显时,则要考虑两个定理都有可能用到.而三角变换中主要是“变角、变函数名和变运算形式”,其中的核心是“变角”,即注意角之间的结构差异,弥补这种结构差异的依据就是三角公式.c求 sin C 的值;=sinAsinC(2)根据条件可知a = 7, c = 3, 根据余弦定理求出 b 的值,最后利用三角形的面积公式S =进行求解即可.1 2bc sin A20。
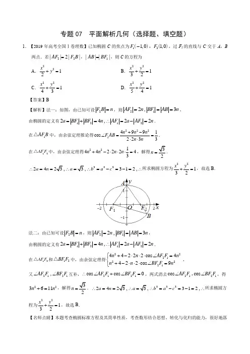
专题07 平面解析几何(选择题、填空题)1.【2019年高考全国Ⅰ卷理数】已知椭圆C 的焦点为121,01,0F F -(),(),过F 2的直线与C 交于A ,B两点.若22||2||AF F B =,1||||AB BF =,则C 的方程为A .2212x y +=B .22132x y +=C .22143x y +=D .22154x y +=【答案】B【解析】法一:如图,由已知可设2F B n =,则212,3AF n BF AB n ===, 由椭圆的定义有121224,22a BF BF n AF a AF n =+=∴=-=.在1AF B △中,由余弦定理推论得22214991cos 2233n n n F AB n n +-∠==⋅⋅.在12AF F △中,由余弦定理得2214422243n n n n +-⋅⋅⋅=,解得2n =.22224,312,a n a b a c ∴==∴=∴=-=-=∴所求椭圆方程为22132x y +=,故选B .法二:由已知可设2F B n =,则212,3AF n BF AB n ===, 由椭圆的定义有121224,22a BF BF n AF a AF n =+=∴=-=.在12AF F △和12BF F △中,由余弦定理得2221222144222cos 4422cos 9n n AF F n n n BF F n ⎧+-⋅⋅⋅∠=⎨+-⋅⋅⋅∠=⎩, 又2121,AF F BF F ∠∠互补,2121cos cos 0AF F BF F ∴∠+∠=,两式消去2121cos cos AF F BF F ∠∠,,得223611n n +=,解得n =.22224312,a n a b a c ∴==∴=∴=-=-=∴所求椭圆方程为22132x y +=,故选B .【名师点睛】本题考查椭圆标准方程及其简单性质,考查数形结合思想、转化与化归的能力,很好地落实了直观想象、逻辑推理等数学素养.2.【2019年高考全国Ⅱ卷理数】若抛物线y 2=2px (p >0)的焦点是椭圆2231x y pp+=的一个焦点,则p =A .2B .3C .4D .8【答案】D【解析】因为抛物线22(0)y px p =>的焦点(,0)2p 是椭圆2231x y p p +=的一个焦点,所以23()2p p p -=,解得8p =,故选D .【名师点睛】本题主要考查抛物线与椭圆的几何性质,渗透逻辑推理、运算能力素养.解答时,利用抛物线与椭圆有共同的焦点即可列出关于p 的方程,从而解出p ,或者利用检验排除的方法,如2p =时,抛物线焦点为(1,0),椭圆焦点为(±2,0),排除A ,同样可排除B ,C ,从而得到选D .3.【2019年高考全国Ⅱ卷理数】设F 为双曲线C :22221(0,0)x y a b a b-=>>的右焦点,O 为坐标原点,以OF 为直径的圆与圆222x y a +=交于P ,Q 两点.若PQ OF =,则C 的离心率为A BC .2D 【答案】A【解析】设PQ 与x 轴交于点A ,由对称性可知PQ x ⊥轴, 又||PQ OF c ==,||,2cPA PA ∴=∴为以OF 为直径的圆的半径,∴||2c OA =,,22c c P ⎛⎫∴ ⎪⎝⎭, 又P 点在圆222x y a +=上,22244c c a ∴+=,即22222,22c c a e a =∴==.e ∴=A .【名师点睛】本题为圆锥曲线离心率的求解,难度适中,审题时注意半径还是直径,优先考虑几何法,避免代数法从头至尾运算繁琐,准确率大大降低,双曲线离心率问题是圆锥曲线中的重点问题,需强化练习,才能在解决此类问题时事半功倍,信手拈来.解答本题时,准确画图,由图形对称性得出P 点坐标,代入圆的方程得到c 与a 的关系,可求双曲线的离心率.4.【2019年高考全国Ⅲ卷理数】双曲线C :2242x y -=1的右焦点为F ,点P 在C 的一条渐近线上,O 为坐标原点,若=PO PF ,则△PFO 的面积为A .4B .2C .D .【答案】A【解析】由2,,a b c ===,P PO PF x =∴=,又P 在C 的一条渐近线上,不妨设为在b y x a =上,则222P P b y x a =⋅==1122PFO P S OF y ∴=⋅==△,故选A . 【名师点睛】本题考查以双曲线为载体的三角形面积的求法,渗透了直观想象、逻辑推理和数学运算素养.采取公式法,利用数形结合、转化与化归和方程思想解题.忽视圆锥曲线方程和两点间的距离公式的联系导致求解不畅,采取列方程组的方式解出三角形的高,便可求三角形面积.5.【2019年高考北京卷理数】已知椭圆2222 1x y a b+=(a >b >0)的离心率为12,则A .a 2=2b 2B .3a 2=4b 2C .a =2bD .3a =4b【答案】B【解析】椭圆的离心率2221,2c e c a b a ===-,化简得2234a b =, 故选B.【名师点睛】本题考查椭圆的标准方程与几何性质,属于容易题,注重基础知识、基本运算能力的考查.由题意利用离心率的定义和,,a b c 的关系可得满足题意的等式.6.【2019年高考北京卷理数】数学中有许多形状优美、寓意美好的曲线,曲线C :221||x y x y +=+就是其中之一(如图).给出下列三个结论:①曲线C 恰好经过6个整点(即横、纵坐标均为整数的点);②曲线C ③曲线C 所围成的“心形”区域的面积小于3. 其中,所有正确结论的序号是 A .① B .② C .①②D .①②③【答案】C【解析】由221x y x y +=+得,221y x y x -=-,2222||3341,10,2443x x x y x ⎛⎫-=-- ⎪⎝⎭, 所以x 可取的整数有0,−1,1,从而曲线22:1C x y x y +=+恰好经过(0,1),(0,−1),(1,0),(1,1), (−1,0),(−1,1),共6个整点,结论①正确.由221x y x y +=+得,222212x y x y +++,解得222x y +≤,所以曲线C 上任意一点到原点的距离. 结论②正确.如图所示,易知()()()()0,1,1,0,1,1,,0,1A B C D -, 四边形ABCD 的面积13111122ABCD S =⨯⨯+⨯=四边形,很明显“心形”区域的面积大于2ABCD S 四边形,即“心形”区域的面积大于3,说法③错误.故选C.【名师点睛】本题考查曲线与方程、曲线的几何性质,基本不等式及其应用,属于难题,注重基础知识、基本运算能力及分析问题、解决问题的能力考查,渗透“美育思想”.将所给方程进行等价变形确定x 的范围可得整点坐标和个数,结合均值不等式可得曲线上的点到坐标原点距离的最值和范围,利用图形的对称性和整点的坐标可确定图形面积的范围.7.【2019年高考天津卷理数】已知抛物线24y x =的焦点为F ,准线为l ,若l 与双曲线22221(0,0)x y a b a b-=>>的两条渐近线分别交于点A 和点B ,且||4||AB OF =(O 为原点),则双曲线的离心率为A BC .2D 【答案】D【解析】抛物线24y x =的准线l 的方程为1x =-, 双曲线的渐近线方程为by x a=±, 则有(1,),(1,)b b A B a a---, ∴2b AB a =,24ba=,2b a =,∴c e a ===.故选D.【名师点睛】本题考查抛物线和双曲线的性质以及离心率的求解,解题关键是求出AB 的长度.解答时,只需把4AB OF =用,,a b c 表示出来,即可根据双曲线离心率的定义求得离心率.8.【2019年高考浙江卷】渐近线方程为x ±y =0的双曲线的离心率是A B .1C D .2【答案】C【解析】因为双曲线的渐近线方程为0x y ±=,所以a b =,则c ==,所以双曲线的离心率ce a== 【名师点睛】本题根据双曲线的渐近线方程可求得a b =,进一步可得离心率,属于容易题,注重了双曲线基础知识、基本计算能力的考查.理解概念,准确计算,是解答此类问题的基本要求.部分考生易出现理解性错误.9.【2018年高考北京卷理数】在平面直角坐标系中,记d 为点P (cos θ,sin θ)到直线20x my --=的距离,当θ,m 变化时,d 的最大值为 A .1 B .2 C .3D .4【答案】C 【解析】22cos sin 1θθ+=∴,P 为单位圆上一点,而直线20x my --=过点A (2,0),所以d 的最大值为OA +1=2+1=3,故选C.【名师点睛】与圆有关的最值问题主要表现在求几何图形的长度、面积的最值,求点到直线的距离的最值,求相关参数的最值等方面.解决此类问题的主要思路是利用圆的几何性质将问题转化.10.【2018年高考全国故卷理数】直线20x y ++=分别与x 轴,y 轴交于A ,B 两点,点P 在圆22(2)2x y -+=上,则ABP △面积的取值范围是A .[]26,B .[]48,C .D .⎡⎣【答案】A【解析】直线20x y ++=分别与x 轴,y 轴交于A ,B 两点,()()2,0,0,2A B ∴--,则AB =.点P 在圆22(2)2x y -+=上,∴圆心为(2,0),则圆心到直线的距离1d ==.故点P 到直线20x y ++=的距离2d 的范围为,则[]2212,62ABP S AB d ==∈△. 故答案为A.【名师点睛】本题主要考查直线与圆,考查了点到直线的距离公式,三角形的面积公式,属于中档题.先求出A ,B 两点坐标得到AB ,再计算圆心到直线的距离,得到点P 到直线距离的范围,由面积公式计算即可.11.【2017年高考浙江卷】椭圆22194x y +=的离心率是ABC .23D .59【答案】B【解析】椭圆22194x y +=的离心率e ==B . 【名师点睛】解决椭圆和双曲线的离心率的求值及范围问题,其关键就是确立一个关于,,a b c 的方程或不等式,再根据,,a b c 的关系消掉b 得到,a c 的关系式,建立关于,,a b c 的方程或不等式,要充分利用椭圆和双曲线的几何性质、点的坐标的范围等.12.【2018年高考全国Ⅱ理数】已知1F ,2F 是椭圆22221(0)x y C a b a b+=>>:的左、右焦点,A 是C 的左顶点,点P 在过A的直线上,12PF F △为等腰三角形,12120F F P ∠=︒,则C 的离心率为 A .23 B .12 C .13D .14【答案】D【解析】因为12PF F △为等腰三角形,12120F F P ∠=︒,所以212||2||PF F F c ==, 由AP2tan PAF ∠=,所以2sin PAF ∠=,2cos PAF ∠= 由正弦定理得2222sin sin PF PAF AF APF ∠=∠,所以2225sin()3c a c PAF ==+-∠,所以4a c =,14e =,故选D . 【名师点睛】解决椭圆的离心率的求值及范围问题的关键就是确立一个关于a,b,c 的方程或不等式,再根据a,b,c 的关系消掉b 得到a,c 的关系式,而建立关于a,b,c 的方程或不等式,要充分利用椭圆的几何性质、点的坐标的范围等.13.【2017年高考全国Ⅲ理数】已知椭圆C :22220)1(x y a ba b +=>>的左、右顶点分别为A 1,A 2,且以线段A 1A 2为直径的圆与直线20bx ay ab -+=相切,则C 的离心率为A .3B .3C .3D .13【答案】A【解析】以线段12A A 为直径的圆的圆心为坐标原点(0,0),半径为r a =,圆的方程为222x y a +=,直线20bx ay ab -+=与圆相切,所以圆心到直线的距离等于半径,即d a ==,整理可得223a b =,即2223()a a c =-即2223a c =,从而22223c e a ==,则椭圆的离心率3c e a ===,故选A . 【名师点睛】椭圆的离心率是椭圆最重要的几何性质,求椭圆的离心率(或离心率的取值范围),常见的有两种方法:①求出a ,c ,代入公式e =ca; ②只需要根据一个条件得到关于a ,b ,c 的齐次式,结合b 2=a 2-c 2转化为a ,c 的齐次式,然后等式(不等式)两边分别除以a 或a 2转化为关于e 的方程(不等式),解方程(不等式)即可得e (e 的取值范围).14.【2018年高考浙江卷】双曲线2213x y -=的焦点坐标是A .,0),0)B .(−2,0),(2,0)C .(0,),(0D .(0,−2),(0,2) 【答案】B【解析】设2213x y -=的焦点坐标为(,0)c ±,因为222314c a b =+=+=,2c =,所以焦点坐标为(2,0)±,故选B .15.【2017年高考天津卷理数】已知双曲线22221(0,0)x y a b a b-=>>的左焦点为F .若经过F 和(0,4)P 两点的直线平行于双曲线的一条渐近线,则双曲线的方程为A .22144x y -=B .22188x y -=C .22148x y -=D .22184x y -=【答案】B【解析】由题意得2240,14,10()88x y a b c a b c -==⇒===⇒-=--, 故选B .【名师点睛】利用待定系数法求圆锥曲线的方程是高考的常见题型,求双曲线方程最基础的方法就是依据题目的条件列出关于,,a b c 的方程(组),解方程(组)求出,a b 的值.另外要注意巧设双曲线方程的技巧:①双曲线过两点可设为221(0)mx ny mn -=>,②与22221x y a b-=共渐近线的双曲线可设为2222x y a b-(0)λλ=≠,③等轴双曲线可设为22(0)x y λλ-=≠.16.【2018年高考全国故理数】双曲线22221(0,0)x y a b a b-=>>,则其渐近线方程为A .y =B .y =C .2y x =±D .2y x =±【答案】A【解析】因为c e a ==2222221312b c a e a a-==-=-=,所以b a =因为渐近线方程为by x a=±,所以渐近线方程为y =,故选A . 17.【2017年高考全国故理数】若双曲线:C 22221x y a b-=(0a >,0b >)的一条渐近线被圆()2224x y -+=所截得的弦长为2,则C 的离心率为A .2 BC D【答案】A【解析】由几何关系可得,双曲线()222210,0x y a b a b-=>>的渐近线方程为0bx ay ±=,圆心()2,0到渐近线的距离为d ==, 则点()2,0到直线0bx ay +=的距离为2b d c===2224()3c a c -=, 整理可得224c a =,则双曲线的离心率2e ===. 故选A .【名师点睛】双曲线的离心率是双曲线最重要的几何性质,求双曲线的离心率(或离心率的取值范围),常见有两种方法: ①求出a ,c ,代入公式c e a=; ②只需要根据一个条件得到关于a ,b ,c 的齐次式,结合b 2=c 2-a 2转化为a ,c 的齐次式,然后等式(不等式)两边分别除以a 或a 2转化为关于e 的方程(不等式),解方程(不等式)即可得e (e 的取值范围).18.【2017年高考全国III 理数】已知双曲线C :22221x y a b-=(a >0,b >0)的一条渐近线方程为y =,且与椭圆221123x y +=有公共焦点,则C 的方程为 A .221810x y -=B .22145x y -=C .22154x y -= D .22143x y -= 【答案】B【解析】双曲线C :22221x y a b -=(a >0,b >0)的渐近线方程为b y x a=±,在椭圆中:2212,3a b ==,2229,3c a b c ∴=-==,故双曲线C 的焦点坐标为(3,0)±,据此可得双曲线中的方程组:2223,b c c a b a ===+,解得224,5a b ==, 则双曲线C 的方程为2145x y 2-=.故选B . 【名师点睛】求双曲线的标准方程的基本方法是待定系数法.具体过程是先定形,再定量,即先确定双曲线标准方程的形式,然后再根据a ,b ,c ,e 及渐近线之间的关系,求出a ,b 的值.如果已知双曲线的渐近线方程,求双曲线的标准方程,可利用有公共渐近线的双曲线方程为()2220x y a bλλ2-=≠,再由条件求出λ的值即可.19.【2018年高考全国III 理数】设1F ,2F 是双曲线2222:1(0,0)x y C a b a b-=>>的左、右焦点,O 是坐标原点.过2F 作C 的一条渐近线的垂线,垂足为P.若1|||PF OP =,则C 的离心率为 AB .2 CD【答案】C【解析】由题可知2PF b =,2OF c =,PO a ∴=, 在2Rt POF △中,222cos PF bPF O OF c∠==, 在12Rt PF F △中,22221212212cos 2PF F F PF b PF O PF F F c∠+-==,b c=,即223c a =,e ∴=C .20.【2018年高考全国I 理数】设抛物线C :y 2=4x 的焦点为F ,过点(–2,0)且斜率为23的直线与C 交于M ,N 两点,则FM FN ⋅= A .5 B .6 C .7D .8【答案】D【解析】根据题意,过点(–2,0)且斜率为23的直线方程为()223y x =+, 与抛物线方程联立得()22234y x y x ⎧=+⎪⎨⎪=⎩,消元整理得:2680y y -+=,解得()()1,2,4,4M N ,又()1,0F ,所以()()0,2,3,4FM FN ==,从而可以求得03248FM FN ⋅=⨯+⨯=,故选D.【名师点睛】该题考查的是有关直线与抛物线相交求交点坐标所满足的条件的问题,在求解的过程中,首先需要根据题意确定直线的方程,之后需要联立方程,消元化简求解,从而确定出()()1,2,4,4M N ,之后借助于抛物线的方程求得()1,0F ,最后一步应用向量坐标公式求得向量的坐标,之后应用向量数量积坐标公式求得结果,也可以不求点M 、N 的坐标,应用根与系数的关系得到结果.21.【2017年高考全国I 理数】已知F 为抛物线C :24y x =的焦点,过F 作两条互相垂直的直线l 1,l 2,直线l 1与C 交于A 、B 两点,直线l 2与C 交于D 、E 两点,则|AB |+|DE |的最小值为 A .16 B .14 C .12D .10【答案】A【解析】设11223344(,),(,),(,),(,)A x y B x y D x y E x y ,直线1l 的方程为1(1)y k x =-,联立方程214(1)y x y k x ⎧=⎨=-⎩,得2222111240k x k x x k --+=,∴21122124k x x k --+=-212124k k +=, 同理直线2l 与抛物线的交点满足22342224k x x k ++=, 由抛物线定义可知2112342124||||2k AB DE x x x x p k ++=++++=+2222244k k ++=2212448k k ++≥816=,当且仅当121k k =-=(或1-)时,取等号. 故选A .【名师点睛】对于抛物线弦长问题,要重点抓住抛物线定义,将到定点的距离转化到准线上;另外,直线与抛物线联立,求判别式,利用根与系数的关系是通法,需要重点掌握.考查最值问题时要能想到用函数方法和基本不等式进行解决.此题还可以利用弦长的倾斜角表示,设直线的倾斜角为α,则22||sin p AB α=,则2222||πcos sin (+)2p pDE αα==,所以222221||||4(cos sin cos p p AB DE ααα+=+=+ 222222222111sin cos )4()(cos sin )4(2)4(22)16sin cos sin cos sin ααααααααα=++=++≥⨯+=. 22.【2018年高考全国I 理数】已知双曲线22:13x C y -=,O 为坐标原点,F 为C 的右焦点,过F 的直线与C 的两条渐近线的交点分别为M ,N .若OMN △为直角三角形,则||MN = A .32B .3 C.D .4【答案】B【解析】由题可知双曲线C的渐近线的斜率为3±,且右焦点为(2,0)F ,从而可得30FON ∠=︒,所以直线MN 的倾斜角为60︒或120︒,根据双曲线的对称性,设其倾斜角为60︒,可以得出直线MN 的方程为2)y x =-,分别与两条渐近线3y x =和3y x =-联立,求得M,3(,22N -,所以||3MN ==,故选B . 23.【2018年高考天津卷理数】已知双曲线22221(0,0)x y a b a b-=>>的离心率为2,过右焦点且垂直于x轴的直线与双曲线交于A ,B 两点. 设A ,B 到双曲线的同一条渐近线的距离分别为1d 和2d ,且126d d +=,则双曲线的方程为A .221412x y -= B .221124x y -= C .22139x y -=D .22193x y -=【答案】C【解析】设双曲线的右焦点坐标为(),0F c (c >0),则A B x x c ==,由22221c y a b -=可得:2b y a=±, 不妨设:22,,,b b A c B c a a ⎛⎫⎛⎫- ⎪ ⎪⎝⎭⎝⎭,双曲线的一条渐近线方程为:0bx ay -=,据此可得:21bc b d c -==,22bc b d c +==, 则12226bcd d b c+===,则23,9b b ==,双曲线的离心率:2c e a ====, 据此可得:23a =,则双曲线的方程为22139x y -=.本题选择C 选项.【名师点睛】求双曲线的标准方程的基本方法是待定系数法.具体过程是先定形,再定量,即先确定双曲线标准方程的形式,然后再根据a ,b ,c ,e 及渐近线之间的关系,求出a ,b 的值.如果已知双曲线的渐近线方程,求双曲线的标准方程,可利用有公共渐近线的双曲线方程为()22220x y a bλλ-=≠,再由条件求出λ的值即可.解答本题时,由题意首先求得A ,B 的坐标,然后利用点到直线距离公式求得b 的值,之后求解a 的值即可确定双曲线方程.24.【2019年高考浙江卷】已知圆C 的圆心坐标是(0,)m ,半径长是r .若直线230x y -+=与圆C 相切于点(2,1)A --,则m =___________,r =___________. 【答案】2-【解析】由题意可知11:1(2)22AC k AC y x =-⇒+=-+,把(0,)m 代入直线AC 的方程得2m =-,此时||r AC ===【名师点睛】本题主要考查圆的方程、直线与圆的位置关系.首先通过确定直线AC 的斜率,进一步得到其方程,将(0,)m 代入后求得m ,计算得解.解答直线与圆的位置关系问题,往往要借助于数与形的结合,特别是要注意应用圆的几何性质.25.【2019年高考浙江卷】已知椭圆22195x y +=的左焦点为F ,点P 在椭圆上且在x 轴的上方,若线段PF 的中点在以原点O 为圆心,OF 为半径的圆上,则直线PF 的斜率是___________.【解析】方法1:如图,设F 1为椭圆右焦点.由题意可知||=|2OF OM |=c =,由中位线定理可得12||4PF OM ==,设(,)P x y ,可得22(2)16x y -+=,与方程22195x y +=联立,可解得321,22x x =-=(舍), 又点P 在椭圆上且在x轴的上方,求得32P ⎛- ⎝⎭,所以212PFk ==.方法2:(焦半径公式应用)由题意可知|2OF |=|OM |=c =, 由中位线定理可得12||4PF OM ==,即342p p a ex x -=⇒=-,从而可求得32P ⎛-⎝⎭,所以212PF k ==.【名师点睛】本题主要考查椭圆的标准方程、椭圆的几何性质、圆的方程与性质的应用,利用数形结合思想,是解答解析几何问题的重要途径.结合图形可以发现,利用三角形中位线定理,将线段长度用圆的方程表示,与椭圆方程联立可进一步求解.故故利用焦半径及三角形中位线定理解决,则更为简洁.26.【2019年高考全国Ⅲ卷理数】设12F F ,为椭圆C :22+13620x y =的两个焦点,M 为C 上一点且在第一象限.若12MF F △为等腰三角形,则M 的坐标为___________.【答案】(【解析】由已知可得2222236,20,16,4a b c a b c ==∴=-=∴=,11228MF F F c ∴===,∴24MF =.设点M 的坐标为()()0000,0,0x y x y >>,则121200142MF F S F F y y =⋅⋅=△,又12014,42MF F S y =⨯=∴=△0y =,22013620x ∴+=,解得03x =(03x =-舍去), M的坐标为(.【名师点睛】本题考查椭圆标准方程及其简单性质,考查数形结合思想、转化与化归的能力,很好地落实了直观想象、逻辑推理等数学素养.解答本题时,根据椭圆的定义分别求出12MF MF 、,设出M 的坐标,结合三角形面积可求出M 的坐标.27.【2019年高考全国Ⅰ卷理数】已知双曲线C :22221(0,0)x y a b a b-=>>的左、右焦点分别为F 1,F 2,过F 1的直线与C 的两条渐近线分别交于A ,B 两点.若1F A AB =,120F B F B ⋅=,则C 的离心率为____________. 【答案】2 【解析】如图,由1,F A AB =得1.F A AB =又12,OF OF =得OA 是三角形12F F B 的中位线,即22,2.BF OA BF OA =∥ 由120F B F B ⋅=,得121,,F B F B OA F A ⊥∴⊥∴1OB OF =,1AOB AOF ∠=∠, 又OA 与OB 都是渐近线,∴21,BOF AOF ∠=∠又21πBOF AOB AOF ∠+∠+∠=,∴2160,BOF AOF BOA ∠=∠=∠=又渐近线OB 的斜率为tan 60b a =︒=∴该双曲线的离心率为2c e a ====. 【名师点睛】本题结合平面向量考查双曲线的渐近线和离心率,渗透了逻辑推理、直观想象和数学运算素养,采取几何法,利用数形结合思想解题.解答本题时,通过向量关系得到1F A AB =和1OA F A ⊥,从而可以得到1AOB AOF ∠=∠,再结合双曲线的渐近线可得21,BOF AOF ∠=∠进而得到2160,BOF AOF BOA ∠=∠=∠=从而由tan 60ba=︒=. 28.【2019年高考江苏卷】在平面直角坐标系xOy 中,若双曲线2221(0)y x b b-=>经过点(3,4),则该双曲线的渐近线方程是 ▲ .【答案】y =【解析】由已知得222431b-=,解得b =b =,因为0b >,所以b =因为1a =,所以双曲线的渐近线方程为y =.【名师点睛】双曲线的标准方程与几何性质,往往以小题的形式考查,其难度一般较小,是高考必得分题.双曲线渐近线与双曲线标准方程中的,a b 密切相关,事实上,标准方程中化1为0,即得渐近线方程.29.【2019年高考江苏卷】在平面直角坐标系xOy 中,P 是曲线4(0)y x x x=+>上的一个动点,则点P 到直线x +y =0的距离的最小值是 ▲ . 【答案】4【解析】当直线x +y =0平移到与曲线4y x x=+相切位置时,切点Q 即为点P ,此时到直线x +y =0的距离最小. 由2411y x'=-=-,得)x x ==,y =Q , 则切点Q 到直线x +y =04=,故答案为4.【名师点睛】本题考查曲线上任意一点到已知直线的最小距离,渗透了直观想象和数学运算素养.采取导数法和公式法,利用数形结合和转化与化归思想解题.30.【2018年高考江苏卷】在平面直角坐标系xOy 中,A 为直线:2l y x =上在第一象限内的点,(5,0)B ,以AB 为直径的圆C 与直线l 交于另一点D .若0AB CD ⋅=,则点A 的横坐标为________. 【答案】3【解析】设(),2(0)A a a a >,则由圆心C 为AB 中点得5,,2a C a +⎛⎫⎪⎝⎭易得()()():520C x x a y y a --+-=,与2y x =联立解得点D 的横坐标1,D x =所以()1,2D .所以()55,2,1,22a AB a a CD a +⎛⎫=--=-- ⎪⎝⎭, 由0AB CD ⋅=得()()()2551220,230,32a a a a a a a +⎛⎫--+--=--== ⎪⎝⎭或1a =-, 因为0a >,所以 3.a =【名师点睛】以向量为载体求相关变量的取值或范围,是向量与函数、不等式、三角函数、曲线方程等相结合的一类综合问题.通过向量的坐标运算,将问题转化为解方程或解不等式或求函数值域,是解决这类问题的一般方法.31.【2018年高考浙江卷】已知点P (0,1),椭圆24x +y 2=m (m >1)上两点A ,B 满足AP =2PB ,则当m =___________时,点B 横坐标的绝对值最大. 【答案】5【解析】设11(,)A x y ,22(,)B x y ,由2AP PB =得122x x -=,1212(1)y y -=-, 所以1223y y -=-,因为A ,B 在椭圆上,所以22114x y m +=,22224x y m +=,所以22224(23)4x y m +-=,所以224x +22324()m y -=,与22224x y m +=对应相减得234m y +=,2221(109)44x m m =--+≤, 当且仅当5m =时取最大值.【名师点睛】解析几何中的最值是高考的热点,在圆锥曲线的综合问题中经常出现,求解此类问题的一般思路为在深刻认识运动变化的过程之中,抓住函数关系,将目标量表示为一个(或者多个)变量的函数,然后借助于函数最值的探求来使问题得以解决.32.【2017年高考北京卷理数】若双曲线221y x m-=,则实数m =_______________.【答案】2【解析】221,a b m ==,所以c a ==2m =. 【名师点睛】本题主要考查的是双曲线的标准方程和双曲线的简单几何性质,属于基础题.解题时要注意、、的关系,即,以及当焦点在x 轴时,哪些量表示22,a b ,否则很容易出现错误.最后根据离心率的公式计算即可.33.【2018年高考江苏卷】在平面直角坐标系xOy 中,若双曲线22221(0,0)x y a b a b-=>>的右焦点(,0)F c,则其离心率的值是________________. 【答案】2【解析】因为双曲线的焦点(,0)F c 到渐近线by x a =±,即0bx ay ±=bc b c ==,a b c 222c a b =+所以2b =,因此2222223144a c b c c c =-=-=,12a c =,2e =.34.【2018年高考北京卷理数】已知椭圆2222:1(0)x y M a b a b +=>>,双曲线2222:1x y N m n-=.若双曲线N的两条渐近线与椭圆M 的四个交点及椭圆M 的两个焦点恰为一个正六边形的顶点,则椭圆M 的离心率为________________;双曲线N 的离心率为________________.1 2【解析】由正六边形性质得椭圆上一点到两焦点距离之和为c +,再根据椭圆定义得2c a +=,所以椭圆M的离心率为1c a ==.双曲线N 的渐近线方程为ny x m=±,由题意得双曲线N 的一条渐近线的倾斜角为π3,所以222πtan 33n m ==,所以222222234m n m m e m m ++===,所以2e =. 35.【2017年高考山东卷理数】在平面直角坐标系中,双曲线22221(0,0)x y a b a b-=>>的右支与焦点为的抛物线交于两点,若,则该双曲线的渐近线方程为_____________.【答案】2y x =±【解析】由抛物线定义可得:||||=4222A B A B p p pAF BF y y y y p ++++=⨯⇒+=, 因为22222222221202x y a y pb y a b a bx py⎧-=⎪⇒-+=⎨⎪=⎩,所以222A B pb y y p a a +==⇒=⇒渐近线方程为y x =. 【名师点睛】1.在双曲线的几何性质中,渐近线是其独特的一种性质,也是考查的重点内容.对渐近线:(1)掌握方程;(2)掌握其倾斜角、斜率的求法;(3)会利用渐近线方程求双曲线方程的待定系数. 求双曲线方程的方法以及双曲线定义和双曲线标准方程的应用都与椭圆的有关问题相类似.因此,双曲线与椭圆的标准方程可统一为的形式,当,,时为椭圆,当时为双曲线.2.凡涉及抛物线上的点到焦点的距离,一般运用定义转化为到准线的距离处理.36.【2017年高考江苏卷】在平面直角坐标系xOy 中,双曲线2213x y -=的右准线与它的两条渐近线分别xOy F ()220x px p =>,A B 4AF BF OF +=122=+By Ax 0>A 0>B B A ≠0<AB交于点P ,Q ,其焦点是12,F F ,则四边形12F PF Q 的面积是_______________.【答案】【解析】右准线方程为x ==,渐近线方程为y x =,设P,则Q,1(F,2F , 所以四边形12F PF Q的面积S == 【名师点睛】(1)已知双曲线方程22221(0,0)x y a b a b -=>>求渐近线:22220x y by x a b a-=⇒=±;(2)已知渐近线y mx =可设双曲线方程为222(0)m x y λλ-=≠;(3)双曲线的焦点到渐近线的距离为b ,垂足为对应准线与渐近线的交点.37.【2017年高考全国I 理数】已知双曲线C :22221(0,0)x y a b a b-=>>的右顶点为A ,以A 为圆心,b为半径作圆A ,圆A 与双曲线C 的一条渐近线交于M ,N 两点.若故MAN =60°,则C 的离心率为_______________.【答案】3【解析】如图所示,作AP MN ⊥,因为圆A 与双曲线C 的一条渐近线交于M 、N 两点, 则MN 为双曲线的渐近线by x a=上的点,且(,0)A a ,||||AM AN b ==, 而AP MN ⊥,所以30PAN ∠=, 点(,0)A a 到直线by x a=的距离||AP =,在Rt PAN △中,||cos ||PA PAN NA ∠=,代入计算得223a b =,即a =,由222c a b =+得2c b =,所以3c e a ===. 【名师点睛】双曲线渐近线是其独有的性质,所以有关渐近线问题备受出题者的青睐.做好这一类问题要抓住以下重点:①求解渐近线,直接把双曲线后面的1换成0即可;②双曲线的焦点到渐近线的距离是b ;③双曲线的顶点到渐近线的距离是ab c. 38.【2017年高考全国II 理数】已知F 是抛物线:C 28y x =的焦点,M 是C 上一点,FM 的延长线交y轴于点N .若M 为FN 的中点,则FN =_______________.【答案】6【解析】如图所示,不妨设点M 位于第一象限,设抛物线的准线与x 轴交于点F',作MB l ⊥于点B ,NA l ⊥于点A ,由抛物线的解析式可得准线方程为2x =-,则||2,||4AN FF'==,在直角梯形ANFF'中,中位线||||||32AN FF'BM +==, 由抛物线的定义有:||||3MF MB ==,结合题意,有||||3MN MF ==, 故336FN FM NM =+=+=.【名师点睛】抛物线的定义是解决抛物线问题的基础,它能将两种距离(抛物线上的点到焦点的距离、抛物线上的点到准线的距离)进行等量转化.如果问题中涉及抛物线的焦点和准线,又能与距离联系起来,那么用抛物线定义就能解决问题.因此,涉及抛物线的焦半径、焦点弦问题,可以优先考虑利用抛物线的定义转化为点到准线的距离,这样就可以使问题简单化.39.【2018年高考全国故理数】已知点()11M -,和抛物线24C y x =:,过C 的焦点且斜率为k 的直线与C 交于A ,B 两点.若90AMB ∠=︒,则k =________.【答案】2【解析】设()()1122,,,A x y B x y ,则21122244y x y x ⎧=⎪⎨=⎪⎩,所以22121244y y x x -=-,所以1212124y y k x x y y -==-+. 取AB 中点()00M x y ',,分别过点A ,B 作抛物线准线1x =-的垂线,垂足分别为,A B '',设F 为C 的焦点.因为90AMB ︒∠=,所以()()111222MM AB AF BF AA BB ''==++'=. 因为M '为AB 中点,所以MM '平行于x 轴.因为M (−1,1),所以01y =,则122y y +=,即2k =.故答案为2.【名师点睛】本题主要考查直线与抛物线的位置关系,考查了抛物线的性质,设()()1122,,,A x y B x y ,利用点差法得到1212124y y k x x y y -==-+,取AB 中点()00M x y ',,分别过点A ,B 作抛物线准线1x =-的垂线,垂足分别为,A B '',由抛物线的性质得到()12MM AA BB '=''+,进而得到斜率.。
专题18 计数原理1.【2019年高考全国Ⅲ卷理数】(1+2x 2 )(1+x )4的展开式中x 3的系数为A .12B .16C .20 D .24【答案】A【解析】由题意得x 3的系数为,故选A .3144C 2C 4812+=+=【名师点睛】本题主要考查二项式定理,利用展开式通项公式求展开式指定项的系数.2.【2018年高考全国Ⅱ卷理数】我国数学家陈景润在哥德巴赫猜想的研究中取得了世界领先的成果.哥德巴赫猜想是“每个大于2的偶数可以表示为两个素数的和”,如.在不超过30的素数中,30723=+随机选取两个不同的数,其和等于30的概率是A .B .C .D .112114115118【答案】C【解析】不超过30的素数有2,3,5,7,11,13,17,19,23,29,共10个,随机选取两个不同的数,共有种方法,其和等于30的有3种方法,分别是7和23,11和19,13和17,所以随机选取210C 45=两个不同的数,其和等于30的概率为,选C .31=45153.【2018年高考全国Ⅲ卷理数】的展开式中的系数为522x x ⎛⎫+ ⎪⎝⎭4x A .10B .20C .40D .80【答案】C【解析】由题可得的展开式的通式为,令,522x x ⎛⎫+ ⎪⎝⎭()521031552C C 2rr r r r rr T x xx --+⎛⎫⋅⋅== ⎪⎝⎭1034r -=得,所以展开式中的系数为.故选C .2r =4x 225C 240⨯=4.【2017年高考全国Ⅱ卷理数】安排3名志愿者完成4项工作,每人至少完成1项,每项工作由1人完成,则不同的安排方式共有A .12种B .18种C .24种D .36种【答案】D【解析】由题意可得,一人完成两项工作,其余两人每人完成一项工作,据此可得,只要把工作分成三份:有种方法,然后进行全排列,由乘法原理,不同的安排方式共有种.故选D .24C 2343C A 36⨯=【名师点睛】(1)解排列组合问题要遵循两个原则:①按元素(或位置)的性质进行分类;②按事情发生的过程进行分步.具体地说,解排列组合问题常以元素(或位置)为主体,即先满足特殊元素(或位置),再考虑其他元素(或位置).(2)不同元素的分配问题,往往是先分组再分配.在分组时,通常有三种类型:①不均匀分组;②均匀分组;③部分均匀分组.注意各种分组类型中,不同分组方法的求解.5.【2017年高考全国Ⅰ卷理数】展开式中的系数为621(1)(1)x x++2x A .15B .20C .30D .35【答案】C 【解析】因为,而展开式中含的项为6662211(1)1(1)(1)x x x x x ++=⋅++⋅+6(1)x +2x ,展开式中含的项为,故所求展开式中的系数为22261C 15x x ⋅=621(1)x x ⋅+2x 442621C 15x x x⋅=2x ,选C .151530+=【名师点睛】对于两个二项式乘积的问题,用第一个二项式中的每项乘以第二个二项式的每项,分析含的项共有几项,进行相加即可.这类问题的易错点主要是未能分析清楚构成这一项的具体情况,尤2x 其是两个二项展开式中的不同.r 6.【2017年高考全国Ⅲ卷理数】的展开式中的系数为()()52x y x y +-33x y A .B .C .40D .8080-40-【答案】C【解析】,由展开式的通项公式()()()()555222x y x y x x y y x y +-=-+-()52x y -可得:当时,展开式中的系数为;()()515C 2rrrr T x y -+=-3r =()52x x y -33x y ()3325C 2140⨯⨯-=-当时,展开式中的系数为,则的系数为2r =()52y x y -33x y ()2235C 2180⨯⨯-=33x y 804040-=.故选C .【名师点睛】(1)二项式定理的核心是通项公式,求解此类问题可以分两步完成:第一步根据所给出的条件(特定项)和通项公式,建立方程来确定指数(求解时要注意二项式系数中n 和r 的隐含条件,即n ,r 均为非负整数,且n ≥r ,如常数项指数为零、有理项指数为整数等);第二步是根据所求的指数,再求所求解的项.(2)求两个多项式的积的特定项,可先化简或利用分类加法计数原理讨论求解.7.【2019年高考浙江卷理数】在二项式的展开式中,常数项是__________;系数为有理数的项9)x +的个数是__________.【答案】5【解析】由题意,的通项为,当时,可得常数项为9)x 919C (0,1,29)rr r r T x r -+== 0r =;若展开式的系数为有理数,则,有共5个项.故0919C T ==1,3,5,7,9r =246810T , T , T , T , T答案为:,.5【名师点睛】此类问题解法比较明确,首要的是要准确记忆通项公式,特别是“幂指数”不能记混,其次,计算要细心,确保结果正确.8.【2018年高考全国Ⅰ卷理数】从2位女生,4位男生中选3人参加科技比赛,且至少有1位女生入选,则不同的选法共有__________种.(用数字填写答案)【答案】16【解析】根据题意,没有女生入选有种选法,从6名学生中任意选3人有种选法,34C 4=36C 20=故至少有1位女生入选,则不同的选法共有种,故答案为:16.20416-=【名师点睛】该题是一道关于组合计数的题目,并且在涉及到至多、至少问题时多采用间接法,即利用总的减去没有女生的选法种数,该题还可以用直接法,分别求出有1名女生和有2名女生分别有多少种选法,之后用加法运算求解.9.【2018年高考江苏卷)某兴趣小组有2名男生和3名女生,现从中任选2名学生去参加活动,则恰好选中2名女生的概率为__________.【答案】310【解析】从5名学生中抽取2名学生,共有种方法,其中恰好选中2名女生的方法有种,25C 10=23C 3=因此所求概率为.故答案为:.31031010.【2018年高考浙江卷)从1,3,5,7,9中任取2个数字,从0,2,4,6中任取2个数字,一共可以组成__________个没有重复数字的四位数.(用数字作答)【答案】1260【解析】若不取0,则排列数为;若取0,则排列数为,因此一共可以组成224534C C A 21135333C C A A 224534C C A +个没有重复数字的四位数.故答案为:1260.21135333C C A A 1260=11.【2018年高考浙江卷)二项式的展开式的常数项是__________.812x【答案】7【解析】二项式的展开式的通项公式为,812x ⎫⎪⎭848318811C C 22rr rrrr r T xx --+⎛⎫==⋅⋅ ⎪⎝⎭令得,故所求的常数项为.故答案为:7.8403r -=2r =2821C =72⋅12.【2018年高考天津卷理数】在的展开式中,的系数为__________.5(x -2x 【答案】52【解析】二项式的展开式的通项公式为,令5(x35521551C C 2r rr r r r r T x x--+⎛⎛⎫==- ⎪ ⎝⎭⎝可得:,则的系数为:.故答案为:.3522r -=2r =2x 225115C 10242⎛⎫-=⨯= ⎪⎝⎭5213.【2017年高考浙江卷)从6男2女共8名学生中选出队长1人,副队长1人,普通队员2人组成4人服务队,要求服务队中至少有1名女生,共有__________种不同的选法.(用数字作答)【答案】660【解析】由题意可得,“从8名学生中选出队长1人,副队长1人,普通队员2人组成4人服务队”总的选择方法为(种)方法,其中“服务队中没有女生”的选法有(种)方411843C C C ⨯⨯411643C C C ⨯⨯法,则满足题意的选法有:(种).故答案为:660.411411843643C C C C C C 660⨯⨯-⨯⨯=【名师点睛】本题主要考查分类计数原理与分步计数原理及排列组合的应用,有关排列组合的综合问题,往往是两个原理及排列组合问题交叉应用才能解决问题,解答这类问题理解题意很关键,一定多读题才能挖掘出隐含条件.解题过程中要首先分清“是分类还是分步”、“是排列还是组合”,在应用分类计数加法原理讨论时,既不能重复交叉讨论又不能遗漏,这样才能提高准确率.在某些特定问题上,也可充分考虑“正难则反”的思维方式.14.【2017年高考天津卷理数】用数字1,2,3,4,5,6,7,8,9组成没有重复数字,且至多有一个数字是偶数的四位数,这样的四位数一共有__________个.(用数字作答)【答案】1080【解析】题中4个数字均为奇数的四位数有种,4个数字中含有1个偶数,3个奇数的四位数有45A 种,所以符合题意的四位数的个数为.故答案为:1080.134454C C A 41345454A C C A 1080+=【名师点睛】计数原理包含分类加法计数原理和分步乘法计数原理,本题中组成的四位数至多有一个数字是偶数,包括四位数字有一个是偶数和四位数字全部是奇数两类,先利用分步乘法计数原理求每一类中的结果数,然后利用分类加法计数原理求总的结果数.15.【2017年高考浙江卷)已知多项式,则32543212345(1)(2)x x x a x a x a x a x a +++++++=4a =__________,=__________.5a 【答案】16,4【解析】由二项式展开式的通项公式可得,的展开式的通项为:32(1)(2)x x ++232C C 2r r m mm x x -⋅=,分别取和可得,取,可得232C C 2r m m r m x -+⋅⋅⋅0,1r m ==1,0r m ==441216a =+=0r m ==.故答案为:16,4.25124a =⨯=【名师点睛】本题主要考查二项式定理的通项与系数,属于简单题.二项展开式定理的问题也是高考命题热点之一,关于二项式定理的命题方向比较明确,主要从以下几个方面命题:(1)考查二项展开式的通项公式(可以考查某一项,也可考查某一项的系数);(2)考查各项系数和和各1C r n r r r n T ab -+=项的二项式系数和;(3)二项式定理的应用.16.【2017年高考山东卷理数】已知的展开式中含有项的系数是54,则__________.(13)nx +2x n =【答案】4【解析】的展开式的通项公式为,令,得含有项的系数为(13)nx +1C (3)C 3r r r r r r n n T x x +==⋅2r =2x ,解得.故答案为:4.22C 354n⋅=4n =【名师点睛】根据二项展开式的通项,确定二项式系数或确定二项展开式中的指定项,是二项式定理问题中的基本问题,往往要综合运用二项展开式的系数的性质、二项展开式的通项求解.本题能较好地考查考生的思维能力、基本计算能力等.17.【2019年高考江苏卷理数】设.已知.2*012(1),4,n n n x a a x a x a x n n +=++++≥∈N 23242a a a =(1)求n 的值;(2)设,求的值.(1n a +=+*,a b ∈N 223a b -【答案】(1);(2).5n =32-【解析】(1)因为,0122(1)C C C C 4n n nn n n n x x x x n +=++++≥ ,所以,2323(1)(1)(2)C ,C 26n nn n n n n a a ---====.44(1)(2)(3)C 24nn n n n a ---==因为,23242a a a =所以,2(1)(2)(1)(1)(2)(3)[]26224n n n n n n n n n ------=⨯⨯解得.5n =(2)由(1)知,.5n =5(1(1n +=+02233445555555C C C C C C =++++a =+解法一:因为,所以,*,a b ∈N 024135555555C 3C 9C 76,C 3C 9C 44a b =++==++=从而.222237634432a b -=-⨯=-解法二:50122334455555555(1C C (C (C (C (C (=+++++.02233445555555C C C C C C =--+-因为,所以.*,a b ∈N 5(1a -=-因此.225553((1(1(2)32a b a a -=+-=⨯-=-=-【名师点睛】本题主要考查二项式定理、组合数等基础知识,考查分析问题能力与运算求解能力.。
专题12 数列1.【2019年高考全国I 卷理数】记n S 为等差数列{}n a 的前n 项和.已知4505S a ==,,则 A .25n a n =-B .310n a n =-C .228n S n n =-D .2122n S n n =- 【答案】A【解析】由题知,41514430245d S a a a d ⎧=+⨯⨯=⎪⎨⎪=+=⎩,解得132a d =-⎧⎨=⎩,∴25n a n =-,24n S n n =-,故选A . 【名师点睛】本题主要考查等差数列通项公式与前n 项和公式,渗透方程思想与数学计算等素养.利用等差数列通项公式与前n 项公式即可列出关于首项与公差的方程,解出首项与公差,再适当计算即可做了判断.2.【2019年高考全国III 卷理数】已知各项均为正数的等比数列{}n a 的前4项和为15,且53134a a a =+,则3a = A .16 B .8C .4D .2【答案】C【解析】设正数的等比数列{a n }的公比为q ,则231111421111534a a q a q a q a q a q a ⎧+++=⎨=+⎩, 解得11,2a q =⎧⎨=⎩,2314a a q ∴==,故选C .【名师点睛】本题利用方程思想求解数列的基本量,熟练应用公式是解题的关键. 3.【2019年高考浙江卷】设a ,b ∈R ,数列{a n }满足a 1=a ,a n +1=a n 2+b ,n *∈N ,则A . 当101,102b a => B . 当101,104b a => C . 当102,10b a =-> D . 当104,10b a =->【答案】A【解析】①当b =0时,取a =0,则0,n a n *=∈N .故B 项不正确. 故本题正确答案为A.【名师点睛】遇到此类问题,不少考生会一筹莫展.利用函数方程思想,通过研究函数的不动点,进一步讨论a 的可能取值,利用“排除法”求解.4.【2018年高考全国I 卷理数】设n S 为等差数列{}n a 的前n 项和,若3243S S S =+,12a =,则5a = A .12- B .10- C .10D .12【答案】B【解析】设等差数列的公差为d ,根据题中的条件可得3243332224222d d d ⨯⨯⎛⎫⨯+⋅=⨯++⨯+⋅ ⎪⎝⎭, 整理解得3d =-,所以51421210a a d =+=-=-,故选B .【名师点睛】该题考查的是有关等差数列的求和公式和通项公式的应用,在解题的过程中,需要利用题中的条件,结合等差数列的求和公式,得到公差d 的值,之后利用等差数列的通项公式得到5a 与1a d ,的关系,从而求得结果.5.【2018年高考浙江卷】已知1234,,,a a a a 成等比数列,且1234123ln()a a a a a a a +++=++.若11a >,则 A .1324,a a a a << B .1324,a a a a >< C .1324,a a a a <>D .1324,a a a a >>【答案】B【解析】令()ln 1,f x x x =--则()11f x x'=-,令()0,f x '=得1x =,所以当1x >时,()0f x '>,当01x <<时,()0f x '<,因此()()10,ln 1f x f x x ≥=∴≥+.若公比0q >,则()1234123123ln a a a a a a a a a a +++>++>++,不合题意; 若公比1q ≤-,则()()212341110,a a a a a q q +++=++≤但()()212311ln ln 1ln 0a a a a q q a ⎡⎤++=++>>⎣⎦,即()12341230l n a a a a a a a +++≤<++,不合题意;因此()210,0,1q q -<<∈,22113224,0a a q a a a q a ∴>=<=<,故选B.【名师点睛】构造函数对不等式进行放缩,进而限制参数取值范围,是一个有效方法.如()2ln 1,e 1,e 10.x x x x x x x ≥+≥+≥+≥6.【2017年高考全国I 卷理数】记n S 为等差数列{}n a 的前n 项和.若4524a a +=,648S =,则{}n a 的公差为 A .1 B .2 C .4D .8【答案】C【解析】设公差为d ,45111342724a a a d a d a d +=+++=+=,611656615482S a d a d ⨯=+=+=,联立112724,61548a d a d +=⎧⎨+=⎩解得4d =,故选C . 【秒杀解】因为166346()3()482a a S a a +==+=,即3416a a +=, 则4534()()24168a a a a +-+=-=,即5328a a d -==,解得4d =,故选C .【名师点睛】求解等差数列基本量问题时,要多多使用等差数列的性质,如{}n a 为等差数列,若m n p q +=+,则m n p q a a a a +=+.7.【2017年高考全国I 卷理数】几位大学生响应国家的创业号召,开发了一款应用软件.为激发大家学习数学的兴趣,他们推出了“解数学题获取软件激活码”的活动.这款软件的激活码为下面数学问题的答案:已知数列1,1,2,1,2,4,1,2,4,8,1,2,4,8,16,…,其中第一项是20,接下来的两项是20,21,再接下来的三项是20,21,22,依此类推.求满足如下条件的最小整数N :N >100且该数列的前N 项和为2的整数幂.那么该款软件的激活码是 A .440 B .330C .220D .110【答案】A【解析】由题意得,数列如下:11,1,2,1,2,4,1,2,4,,2k-则该数列的前(1)122k k k ++++=项和为11(1)1(12)(122)222k k k k S k -++⎛⎫=+++++++=-- ⎪⎝⎭,要使(1)1002k k +>,有14k ≥,此时122k k ++<,所以2k +是第1k +组等比数列1,2,,2k 的部分和,设1212221t t k -+=+++=-,所以2314t k =-≥,则5t ≥,此时52329k =-=, 所以对应满足条件的最小整数293054402N ⨯=+=,故选A. 【名师点睛】本题非常巧妙地将实际问题和数列融合在一起,首先需要读懂题目所表达的具体含义,以及观察所给定数列的特征,进而判断出该数列的通项和求和.另外,本题的难点在于数列里面套数列,第一个数列的和又作为下一个数列的通项,而且最后几项并不能放在一个数列中,需要进行判断. 8.【2017年高考全国II 卷理数】我国古代数学名著《算法统宗》中有如下问题:“远望巍巍塔七层,红光点点倍加增,共灯三百八十一,请问尖头几盏灯?”意思是:一座7层塔共挂了381盏灯,且相邻两层中的下一层灯数是上一层灯数的2倍,则塔的顶层共有灯 A .1盏 B .3盏 C .5盏D .9盏【答案】B【解析】设塔的顶层共有灯x 盏,则各层的灯数构成一个首项为x ,公比为2的等比数列,结合等比数列的求和公式有7(12)38112x -=-,解得3x =,即塔的顶层共有灯3盏,故选B . 【名师点睛】用数列知识解相关的实际问题,关键是列出相关信息,合理建立数学模型——数列模型,判断是等差数列还是等比数列模型;求解时要明确目标,即搞清是求和、求通项、还是解递推关系问题,所求结论对应的是解方程问题、解不等式问题、还是最值问题,然后将经过数学推理与计算得出的结果放回到实际问题中,进行检验,最终得出结论.9.【2017年高考全国III 卷理数】等差数列{}n a 的首项为1,公差不为0.若a 2,a 3,a 6成等比数列,则{}n a 前6项的和为 A .24-B .3-C .3D .8【答案】A【解析】设等差数列{}n a 的公差为d ,由a 2,a 3,a 6成等比数列可得2326a a a =,即()()()212115d d d +=++,整理可得220d d +=,又公差不为0,则2d =-,故{}n a 前6项的和为()()()6166166166122422S a d ⨯-⨯-=+=⨯+⨯-=-.故选A . 【名师点睛】(1)等差数列的通项公式及前n 项和公式共涉及五个量a 1,a n ,d ,n ,S n ,知其中三个就能求另外两个,体现了用方程的思想解决问题.(2)数列的通项公式和前n 项和公式在解题中起到变量代换作用,而a 1和d 是等差数列的两个基本量,用它们表示已知和未知是常用方法.10.【2017年高考浙江卷】已知等差数列{a n }的公差为d ,前n 项和为S n ,则“d >0”是“S 4 + S 6>2S 5”的 A .充分不必要条件 B .必要不充分条件C .充分必要条件D .既不充分也不必要条件【答案】C【解析】由46511210212(510)S S S a d a d d +-=+-+=,可知当0d >时,有46520S S S +->,即4652S S S +>,反之,若4652S S S +>,则0d >,所以“d >0”是“S 4 + S 6>2S 5”的充要条件,选C .【名师点睛】本题考查等差数列的前n 项和公式,通过套入公式与简单运算,可知4652S S S d +-=, 结合充分必要性的判断,若p q ⇒,则p 是q 的充分条件,若p q ⇐,则p 是q 的必要条件,该题“0d >”⇔“46520S S S +->”,故互为充要条件.11.【2019年高考全国I 卷理数】记S n 为等比数列{a n }的前n 项和.若214613a a a ==,,则S 5=___________.【答案】1213【解析】设等比数列的公比为q ,由已知21461,3a a a ==,所以32511(),33q q =又0q ≠, 所以3,q =所以55151(13)(1)12131133a q S q --===--. 【名师点睛】准确计算,是解答此类问题的基本要求.本题由于涉及幂的乘方运算、繁分式的计算,部分考生易出现运算错误.12.【2019年高考全国III 卷理数】记S n 为等差数列{a n }的前n 项和,12103a a a =≠,,则105S S =___________. 【答案】4【解析】设等差数列{a n }的公差为d , 因213a a =,所以113a d a +=,即12a d =,所以105S S =11111091010024542552a d a a a d⨯+==⨯+. 【名师点睛】本题主要考查等差数列的性质、基本量的计算.渗透了数学运算素养.使用转化思想得出答案.13.【2019年高考北京卷理数】设等差数列{a n }的前n 项和为S n ,若a 2=−3,S 5=−10,则a 5=__________,S n的最小值为___________. 【答案】 0,10-.【解析】等差数列{}n a 中,53510S a ==-,得32,a =-又23a =-,所以公差321d a a =-=,5320a a d =+=,由等差数列{}n a 的性质得5n ≤时,0n a ≤,6n ≥时,n a 大于0,所以n S 的最小值为4S 或5S ,即为10-.【名师点睛】本题考查等差数列的通项公式、求和公式、等差数列的性质,难度不大,注重重要知识、基础知识、基本运算能力的考查.14.【2019年高考江苏卷】已知数列*{}()n a n ∈N 是等差数列,n S 是其前n 项和.若25890,27a a a S +==,则8S 的值是___________. 【答案】16【解析】由题意可得:()()()25811191470989272a a a a d a d a d S a d ⎧+=++++=⎪⎨⨯=+=⎪⎩, 解得:152a d =-⎧⎨=⎩,则8187840282162S a d ⨯=+=-+⨯=. 【名师点睛】等差数列、等比数列的基本计算问题,是高考必考内容,解题过程中要注意应用函数方程思想,灵活应用通项公式、求和公式等,构建方程(组),如本题,从已知出发,构建1a d ,的方程组.15.【2018年高考全国I 卷理数】记n S 为数列{}n a 的前n 项和,若21n n S a =+,则6S =___________.【答案】63-【解析】根据21n n S a =+,可得1121n n S a ++=+,两式相减得1122n n n a a a ++=-,即12n n a a +=,当1n =时,11121S a a ==+,解得11a =-,所以数列{}n a 是以−1为首项,以2为公比的等比数列,所以()66126312S --==--,故答案是63-.【名师点睛】该题考查的是有关数列的求和问题,在求解的过程中,需要先利用题中的条件,类比着往后写一个式子,之后两式相减,得到相邻两项之间的关系,从而确定出该数列是等比数列,之后令1n =,求得数列的首项,最后应用等比数列的求和公式求解即可,只要明确对既有项又有和的式子的变形方向即可得结果.16.【2018年高考北京卷理数】设{}n a 是等差数列,且a 1=3,a 2+a 5=36,则{}n a 的通项公式为___________.【答案】63n a n =-【解析】设等差数列的公差为d ,()133343663616 3.n a d d d a n n =∴+++=∴=∴=+-=-,,, 【名师点睛】先根据条件列出关于公差的方程,求出公差后,代入等差数列通项公式即可.在解决等差、等比数列的运算问题时,有两个处理思路,一是利用基本量,将多元问题简化为首项与公差(公比)问题,虽有一定量的运算,但思路简洁,目标明确;二是利用等差、等比数列的性质,性质是两种数列基本规律的深刻体现,是解决等差、等比数列问题既快捷又方便的工具,应有意识地去应用. 17.【2018年高考江苏卷】已知集合*{|21,}A x x n n ==-∈N ,*{|2,}nB x x n ==∈N .将AB 的所有元素从小到大依次排列构成一个数列{}n a .记n S 为数列{}n a 的前n 项和,则使得112n n S a +>成立的n 的最小值为___________. 【答案】27【解析】所有的正奇数和()2n n *∈N 按照从小到大的顺序排列构成{}n a ,在数列|{}n a 中,25前面有16个正奇数,即5621382,2a a ==.当n =1时,1211224S a =<=,不符合题意;当n =2时,2331236S a =<=,不符合题意;当n =3时,3461248S a =<=,不符合题意;当n =4时,4510<12=60S a =,不符合题意;……;当n =26时,()2752621221(141)441625032121=2516S a ⨯-⨯+=+=+=<-,不符合题意;当n =27时,()8527221222(143)21484+62=546>12=5420S a ⨯-⨯+=+=-,符合题意.故使得+1>12n n S a 成立的n 的最小值为27.【名师点睛】本题主要考查等差数列、等比数列的前n 项和,考查考生的运算求解能力,考查的核心素养是数学运算.18.【2017年高考全国II 卷理数】等差数列{}n a 的前n 项和为n S ,33a =,410S =,则11nk kS ==∑___________. 【答案】21nn + 【解析】设等差数列的首项为1a ,公差为d ,由题意有1123434102a d a d +=⎧⎪⎨⨯+=⎪⎩ ,解得111a d =⎧⎨=⎩ , 数列的前n 项和()()()111111222n n n n n n n S na d n --+=+=⨯+⨯=, 裂项可得12112()(1)1k S k k k k ==-++, 所以1111111122[(1)()()]2(1)223111nk knSn n n n ==-+-++-=-=+++∑. 【名师点睛】等差数列的通项公式及前n 项和公式,共涉及五个量a 1,a n ,d ,n ,S n ,知其中三个就能求另外两个,体现了用方程的思想解决问题.数列的通项公式和前n 项和公式在解题中起到变量代换作用,而a 1和d 是等差数列的两个基本量,用它们表示已知和未知是常用得方法.使用裂项法求和时,要注意正、负项相消时消去了哪些项,保留了哪些项,切不可漏写未被消去的项,未被消去的项有前后对称的特点.19.【2017年高考全国III 卷理数】设等比数列{}n a 满足a 1 + a 2 = –1, a 1 – a 3 = –3,则a 4 =___________.【答案】8-【解析】设等比数列{}n a 的公比为q ,很明显1q ≠-,结合等比数列的通项公式和题意可得方程组:1212131(1)1(1)3a a a q a a a q +=+=-⎧⎨-=-=-⎩①②,由②①可得:2q =-,代入①可得11a =,由等比数列的通项公式可得3418a a q ==-.【名师点睛】等比数列基本量的求解是等比数列中的一类基本问题,解决这类问题的关键在于熟练掌握等比数列的有关公式并能灵活运用,尤其需要注意的是,在使用等比数列的前n 项和公式时,应该要分类讨论,有时还应善于运用整体代换思想简化运算过程.20.【2017年高考江苏卷】等比数列{}n a 的各项均为实数,其前n 项和为n S ,已知3676344S S ==,,则8a =___________. 【答案】32【解析】当1q =时,显然不符合题意;当1q ≠时,3161(1)714(1)6314a q q a q q⎧-=⎪-⎪⎨-⎪=⎪-⎩,解得1142a q ⎧=⎪⎨⎪=⎩,则7812324a =⨯=. 【名师点睛】在解决等差、等比数列的运算问题时,有两个处理思路:①利用基本量,将多元问题简化为一元问题,虽有一定量的运算,但思路简洁,目标明确;②利用等差、等比数列的性质,性质是两种数列基本规律的深刻体现,是解决等差、等比数列问题既快捷又方便的工具,应有意识地去应用.但在应用性质时要注意性质成立的前提条件,有时需要进行适当变形.在解决等差、等比数列的运算问题时,经常采用“巧用性质、整体考虑、减少运算量”的方法.21.【2017年高考北京卷理数】若等差数列{}n a 和等比数列{}n b 满足11–1a b ==,448a b ==,则22a b =___________. 【答案】1【解析】设等差数列的公差和等比数列的公比分别为d 和q ,则3138d q -+=-=,求得2,3q d =-=,那么221312a b -+==. 【名师点睛】等差、等比数列各有五个基本量,两组基本公式,而这两组公式可看作多元方程,利用这些方程可将等差、等比数列中的运算问题转化为解关于基本量的方程(组)问题,因此可以说数列中的绝大部分运算题可看作方程应用题,所以用方程思想解决数列问题是一种行之有效的方法. 22.【2019年高考全国II 卷理数】已知数列{a n }和{b n }满足a 1=1,b 1=0,1434n n n a a b +-=+,1434n n n b b a +-=-.(1)证明:{a n +b n }是等比数列,{a n –b n }是等差数列; (2)求{a n }和{b n }的通项公式.【答案】(1)见解析;(2)1122n n a n =+-,1122n n b n =-+. 【解析】(1)由题设得114()2()n n n n a b a b +++=+,即111()2n n n n a b a b +++=+. 又因为a 1+b 1=l ,所以{}n n a b +是首项为1,公比为12的等比数列. 由题设得114()4()8n n n n a b a b ++-=-+,即112n n n n a b a b ++-=-+. 又因为a 1–b 1=l ,所以{}n n a b -是首项为1,公差为2的等差数列. (2)由(1)知,112n n n a b -+=,21n n a b n -=-. 所以111[()()]222n n n n n n a a b a b n =++-=+-, 111[()()]222n n n n n n b a b a b n =+--=-+.【名师点睛】本题考查了数列的相关性质,主要考查了等差数列以及等比数列的相关证明,证明数列是等差数列或者等比数列一定要结合等差数列或者等比数列的定义,考查推理能力,考查化归与转化思想,是中档题.23.【2019年高考北京卷理数】已知数列{a n },从中选取第i 1项、第i 2项、…、第i m 项(i 1<i 2<…<i m ),若12m i i i a a a <<⋅⋅⋅<,则称新数列12m i i i a a a ⋅⋅⋅,,,为{a n }的长度为m 的递增子列.规定:数列{a n }的任意一项都是{a n }的长度为1的递增子列.(1)写出数列1,8,3,7,5,6,9的一个长度为4的递增子列;(2)已知数列{a n }的长度为p 的递增子列的末项的最小值为0m a ,长度为q 的递增子列的末项的最小值为0n a .若p <q ,求证:0m a <0n a ;(3)设无穷数列{a n }的各项均为正整数,且任意两项均不相等.若{a n }的长度为s 的递增子列末项的最小值为2s –1,且长度为s 末项为2s –1的递增子列恰有2s -1个(s =1,2,…),求数列{a n }的通项公式. 【答案】(1) 1,3,5,6(答案不唯一);(2)见解析;(3)见解析. 【解析】(1)1,3,5,6.(答案不唯一) (2)设长度为q 末项为0n a 的一个递增子列为1210,,,,q r r r n a a a a -.由p <q ,得10p q r r n a a a -≤<.因为{}n a 的长度为p 的递增子列末项的最小值为0m a , 又12,,,p r r r a a a 是{}n a 的长度为p 的递增子列,所以0p m r a a ≤. 所以00m n a a <·(3)由题设知,所有正奇数都是{}n a 中的项.先证明:若2m 是{}n a 中的项,则2m 必排在2m −1之前(m 为正整数). 假设2m 排在2m −1之后. 设121,,,,21m p p p a a a m --是数列{}n a 的长度为m 末项为2m −1的递增子列,则121,,,,21,2m p p p a a a m m --是数列{}n a 的长度为m +1末项为2m 的递增子列.与已知矛盾.再证明:所有正偶数都是{}n a 中的项.假设存在正偶数不是{}n a 中的项,设不在{}n a 中的最小的正偶数为2m .因为2k 排在2k −1之前(k =1,2,…,m −1),所以2k 和21k -不可能在{}n a 的同一个递增子列中. 又{}n a 中不超过2m +1的数为1,2,…,2m −2,2m −1,2m +1,所以{}n a 的长度为m +1且末项为2m +1的递增子列个数至多为1(1)22221122m m m --⨯⨯⨯⨯⨯⨯=<个.与已知矛盾.最后证明:2m 排在2m −3之后(m ≥2为整数).假设存在2m (m ≥2),使得2m 排在2m −3之前,则{}n a 的长度为m +1且末项为2m +l 的递增子列的个数小于2m.与已知矛盾.综上,数列{}n a 只可能为2,1,4,3,…,2m −3,2m ,2m −1,…. 经验证,数列2,1,4,3,…,2m −3,2m ,2m −1,…符合条件. 所以1,1,n n n a n n +⎧=⎨-⎩为奇数,为偶数.【名师点睛】“新定义”主要是指即时定义新概念、新公式、新定理、新法则、新运算五种,然后根据此新定义去解决问题,有时还需要用类比的方法去理解新的定义,这样有助于对新定义的透彻理解.但是,透过现象看本质,它们考查的还是基础数学知识,所以说“新题”不一定是“难题”,掌握好三基,以不变应万变才是制胜法宝.24.【2019年高考天津卷理数】设{}n a 是等差数列,{}n b 是等比数列.已知1122334,622,24a b b a b a ===-=+,.(Ⅰ)求{}n a 和{}n b 的通项公式;(Ⅱ)设数列{}n c 满足111,22,2,1,,k k n kk c n c b n +=⎧<<=⎨=⎩其中*k ∈N . (i )求数列(){}221n n a c -的通项公式; (ii )求()2*1ni ii a c n =∈∑N .【答案】(1)31n a n =+;32nn b =⨯(2)(i )()221941n n n a c -=⨯-(ii )()()2*211*12725212nn n i i i a c n n n --=∈=⨯+⨯--∈∑N N【解析】(1)设等差数列{}n a 的公差为d ,等比数列{}n b 的公比为q .依题意得2662,6124,q d q d =+⎧⎨=+⎩解得3,2,d q =⎧⎨=⎩故14(1)331,6232n nn n a n n b -=+-⨯=+=⨯=⨯.所以,{}n a 的通项公式为{}31,n n a n b =+的通项公式为32n n b =⨯.(2)(i )()()()()22211321321941n n n n n n n a c a b -=-=⨯+⨯-=⨯-. 所以,数列(){}221n n a c -的通项公式为()221941n n n a c -=⨯-. (ii )()()22221111211n n niini iiiiii i i i a c a a c a a c====⎡⎤=+-=+⎣⎦-∑∑∑∑()()12212439412n nn ni i =⎛⎫- ⎪=⨯+⨯+⨯- ⎪⎝⎭∑()()2114143252914n n n n ---=⨯+⨯+⨯--()211*2725212n n n n --=⨯+⨯--∈N .【名师点睛】本小题主要考查等差数列、等比数列的通项公式及其前n 项和公式等基础知识.考查化归与转化思想和数列求和的基本方法以及运算求解能力.25.【2019年高考江苏卷】定义首项为1且公比为正数的等比数列为“M-数列”.(1)已知等比数列{a n }()n *∈N 满足:245132,440a a a a a a =-+=,求证:数列{a n }为“M-数列”;(2)已知数列{b n }()n *∈N 满足:111221,n n n b S b b +==-,其中S n 为数列{b n }的前n 项和. ①求数列{b n }的通项公式;②设m 为正整数,若存在“M-数列”{c n }()n *∈N ,对任意正整数k ,当k ≤m 时,都有1k k k c b c +剟成立,求m 的最大值.【答案】(1)见解析;(2)①b n =n ()*n ∈N ;②5.【解析】解:(1)设等比数列{a n }的公比为q ,所以a 1≠0,q ≠0.由245321440a a a a a a =⎧⎨-+=⎩,得244112111440a q a q a q a q a ⎧=⎨-+=⎩,解得112a q =⎧⎨=⎩.因此数列{}n a 为“M—数列”.(2)①因为1122n n n S b b +=-,所以0n b ≠. 由1111,b S b ==,得212211b =-,则22b =. 由1122n n n S b b +=-,得112()n n n n n b b S b b ++=-, 当2n ≥时,由1n n n b S S -=-,得()()111122n n n nn n n n n b b b b b b b b b +-+-=---,整理得112n n n b b b +-+=.所以数列{b n }是首项和公差均为1的等差数列. 因此,数列{b n }的通项公式为b n =n ()*n ∈N .②由①知,b k =k ,*k ∈N .因为数列{c n }为“M–数列”,设公比为q ,所以c 1=1,q >0. 因为c k ≤b k ≤c k +1,所以1k k q k q -≤≤,其中k =1,2,3,…,m .当k =1时,有q ≥1; 当k =2,3,…,m 时,有ln ln ln 1k kq k k ≤≤-. 设f (x )=ln (1)x x x >,则21ln ()xf 'x x-=. 令()0f 'x =,得x =e.列表如下:因为ln 2ln8ln 9ln 32663=<=,所以max ln 3()(3)3f k f ==. 取q =k =1,2,3,4,5时,ln ln kq k…,即k k q ≤, 经检验知1k q k -≤也成立.因此所求m 的最大值不小于5.若m ≥6,分别取k =3,6,得3≤q 3,且q 5≤6,从而q 15≥243,且q 15≤216, 所以q 不存在.因此所求m 的最大值小于6. 综上,所求m 的最大值为5.【名师点睛】本题主要考查等差和等比数列的定义、通项公式、性质等基础知识,考查代数推理、转化与化归及综合运用数学知识探究与解决问题的能力.26.【2019年高考浙江卷】设等差数列{}n a 的前n 项和为n S ,34a =,43a S =,数列{}n b 满足:对每个12,,,n n n n n n n S b S b S b *++∈+++N 成等比数列.(1)求数列{},{}n n a b 的通项公式; (2)记,n c n *=∈N 证明:12+.n c c c n *++<∈N【答案】(1)()21n a n =-,()1n b n n =+;(2)证明见解析. 【解析】(1)设数列{}n a 的公差为d ,由题意得11124,333a d a d a d +=+=+,解得10,2a d ==.从而*22,n a n n =-∈N . 所以2*n S n n n =-∈N ,,由12,,n n n n n n S b S b S b +++++成等比数列得()()()212n n n n n n S b S b S b +++=++.解得()2121n n n n b S S S d++=-. 所以2*,n b n n n =+∈N .(2)*n c n ===∈N . 我们用数学归纳法证明.(i )当n =1时,c 1=0<2,不等式成立;(ii )假设()*n k k =∈N时不等式成立,即12k c c c +++<那么,当1n k =+时,121k k c c c c +++++<<<==.即当1n k =+时不等式也成立. 根据(i )和(ii),不等式12n c c c +++<*n ∈N 成立.【名师点睛】本题主要考查等差数列、等比数列、数列求和、数学归纳法等基础知识,同时考查运算求解能力和综合应用能力.27.【2018年高考全国II 卷理数】记n S 为等差数列{}n a 的前n 项和,已知17a =-,315S =-.(1)求{}n a 的通项公式; (2)求n S ,并求n S 的最小值.【答案】(1)a n =2n –9;(2)S n =n 2–8n ,最小值为–16. 【解析】(1)设{a n }的公差为d ,由题意得3a 1+3d =–15. 由a 1=–7得d =2.所以{a n }的通项公式为a n =2n –9.(2)由(1)得S n =n 2–8n =(n –4)2–16. 所以当n =4时,S n 取得最小值,最小值为–16.【名师点睛】数列是特殊的函数,研究数列最值问题,可利用函数性质,但要注意其定义域为正整数集这一限制条件.(1)根据等差数列前n 项和公式,求出公差,再代入等差数列通项公式得结果;(2)根据等差数列前n 项和公式得n S 关于n 的二次函数关系式,根据二次函数对称轴以及自变量为正整数求函数最值.28.【2018年高考全国III 卷理数】等比数列{}n a 中,15314a a a ==,.(1)求{}n a 的通项公式;(2)记n S 为{}n a 的前n 项和.若63m S =,求m .【答案】(1)1(2)n n a -=-或12n n a -=;(2)6m =. 【解析】(1)设{}n a 的公比为q ,由题设得1n n a q -=.由已知得424q q =,解得0q =(舍去),2q =-或2q =.故1(2)n n a -=-或12n n a -=.(2)若1(2)n n a -=-,则1(2)3n n S --=.由63m S =得(2)188m-=-,此方程没有正整数解.若12n n a -=,则21n n S =-.由63m S =得264m=,解得6m =.综上,6m =.【名师点睛】本题主要考查等比数列的通项公式和前n 项和公式,属于基础题.29.【2018年高考浙江卷】已知等比数列{a n }的公比q >1,且a 3+a 4+a 5=28,a 4+2是a 3,a 5的等差中项.数列{b n }满足b 1=1,数列{(b n +1−b n )a n }的前n 项和为2n 2+n .(1)求q 的值;(2)求数列{b n }的通项公式.【答案】(1)2q =;(2)2115(43)()2n n b n -=-+⋅.【解析】本题主要考查等差数列、等比数列、数列求和等基础知识,同时考查运算求解能力和综合应用能力.(1)由42a +是35,a a 的等差中项得35424a a a +=+, 所以34543428a a a a ++=+=, 解得48a =.由3520a a +=得18()20q q+=, 因为1q >,所以2q =.(2)设1()n n n n c b b a +=-,数列{}n c 前n 项和为n S .由11,1,, 2.n nn S n c S S n -=⎧=⎨-≥⎩解得41n c n =-.由(1)可知12n n a -=,所以111(41)()2n n n b b n -+-=-⋅,故211(45)(),22n n n b b n n ---=-⋅≥,11123221()()()()n n n n n b b b b b b b b b b ----=-+-++-+-23111(45)()(49)()73222n n n n --=-⋅+-⋅++⋅+.设221113711()(45)(),2222n n T n n -=+⋅+⋅++-⋅≥,2211111137()(49)()(45)()22222n n n T n n --=⋅+⋅++-⋅+-⋅ 所以22111111344()4()(45)()22222n n n T n --=+⋅+⋅++⋅--⋅,因此2114(43)(),22n n T n n -=-+⋅≥,又11b =,所以2115(43)()2n n b n -=-+⋅.【名师点睛】用错位相减法求和应注意的问题:(1)要善于识别题目类型,特别是等比数列公比为负数的情形;(2)在写出“ ”与“ ”的表达式时应特别注意将两式“错项对齐”以便下一步准确写出“ ”的表达式;(3)在应用错位相减法求和时,若等比数列的公比为参数,应分公比等于1和不等于1两种情况求解.30.【2018年高考江苏卷】设{}n a 是首项为1a ,公差为d 的等差数列,{}n b 是首项为1b ,公比为q 的等比数列.(1)设110,1,2a b q ===,若1||n n a b b -≤对1,2,3,4n =均成立,求d 的取值范围; (2)若*110,,a b m q =>∈∈N ,证明:存在d ∈R ,使得1||n n a b b -≤对2,3,,1n m =+均成立,并求d 的取值范围(用1,,b m q 表示). 【答案】(1);(2)见解析.【解析】本小题主要考查等差和等比数列的定义、通项公式、性质等基础知识,考查代数推理、转化与化归及综合运用数学知识探究与解决问题的能力.满分16分.(1)由条件知:.因为1||n n a b b -≤对n =1,2,3,4均成立, 即对n =1,2,3,4均成立,即11,1d 3,32d 5,73d 9,得. 因此,d 的取值范围为.(2)由条件知:.若存在d ,使得1||n n a b b -≤(n =2,3,···,m +1)成立,即,即当时,d 满足. 因为,则,从而,,对均成立.因此,取d =0时,1||n n a b b -≤对均成立.75[,]32112(,)n n n a n d b -=-=112|()1|n n d ---≤≤≤≤≤≤≤≤7532d ≤≤75[,]32111(1),n n n a b n d b b q -=+-=1111 |1|2,3,,(1())n b n d b q b n m -+--≤=+2,3,,1n m =+1111211n n q q b d b n n ---≤≤--q ∈112n m q q -<≤≤11201n q b n --≤-1101n q b n ->-2,3,,1n m =+2,3,,1n m =+下面讨论数列的最大值和数列的最小值().①当时,, 当时,有,从而.因此,当时,数列单调递增, 故数列的最大值为. ②设,当x >0时,,所以单调递减,从而<f (0)=1.当时,, 因此,当时,数列单调递减, 故数列的最小值为. 因此,d 的取值范围为.31.【2018年高考天津卷理数】设{}n a 是等比数列,公比大于0,其前n 项和为()n S n *∈N ,{}n b 是等差数列. 已知11a =,322a a =+,435a b b =+,5462a b b =+. (1)求{}n a 和{}n b 的通项公式;(2)设数列{}n S 的前n 项和为()n T n *∈N ,(i )求n T ;(ii )证明221()22()(1)(2)2n nk k k k T b b n k k n +*+=+=-∈+++∑N . 【答案】(1)12n n a -=,n b n =;(2)(i )122n n T n +=--;(ii )见解析.【解析】本小题主要考查等差数列的通项公式,等比数列的通项公式及其前n 项和公式等基础知识.考查数列求和的基本方法和运算求解能力.满分13分.(1)设等比数列{}n a 的公比为q.由1321,2,a a a ==+可得220q q --=.12{}1n q n ---1{}1n q n --2,3,,1n m =+2n m ≤≤111 2222111()()()n n n n n n n n q q nq q nq n q q q n n n n n n -------+--+-==---112mq <≤2n m q q ≤≤1() 20n n nn q q q ---+>21n m ≤≤+12{}1n q n ---12{}1n q n ---2m q m-()()21x f x x =-ln 21(0(n )l 22)xf x x '=--<()f x ()f x 2n m ≤≤111112111()()()nn n q q n n f q n n n n --=≤-=<-21n m ≤≤+1{}1n q n --1{}1n q n --mq m11(2)[,]m mb q b q m m-因为0q >,可得2q =,故12n n a -=.设等差数列{}n b 的公差为d ,由435a b b =+,可得13 4.b d +=由5462a b b =+, 可得131316,b d += 从而11,1,b d == 故.n b n =所以,数列{}n a 的通项公式为12n n a -=,数列{}n b 的通项公式为.n b n =(2)(i )由(1),有122112nn n S -==--,故 1112(12)(21)22212n nnkkn n k k T n n n +==⨯-=-=-=-=---∑∑.(ii )证明:因为11212()(222)222(1)(2)(1)(2)(1)(2)21k k k k k k+k T +b b k k k k k k k k k k k k ++++--++⋅===-++++++++,所以,324321221()2222222()()()2(1)(2)3243212n n n nk k k k T b b k k n n n ++++=+=-+-++-=-+++++∑. 【名师点睛】本题主要考查数列通项公式的求解,数列求和的方法,数列中的指数裂项方法等知识,意在考查学生的转化能力和计算求解能力.32.【2017年高考天津卷理数】已知{}n a 为等差数列,前n 项和为()n S n *∈N ,{}n b 是首项为2的等比数列,且公比大于0,2312b b +=,3412b a a =-,11411S b =. (1)求{}n a 和{}n b 的通项公式;(2)求数列221{}n n a b -的前n 项和()n *∈N .【答案】(1)32n a n =-,2nn b =;(2)1328433n n +-⨯+. 【解析】(1)设等差数列{}n a 的公差为d ,等比数列{}n b 的公比为q .由已知2312b b +=,得21()12b q q +=,而12b =,所以260q q +-=. 又因为0q >,解得2q =.所以,2nn b =.由3412b a a =-,可得138d a -= ①. 由114=11S b ,可得1516a d += ②,联立①②,解得11a =,3d =,由此可得32n a n =-.所以,数列{}n a 的通项公式为32n a n =-,数列{}n b 的通项公式为2nn b =.(2)设数列221{}n n a b -的前n 项和为n T ,由262n a n =-,12124n n b --=⨯,有221(31)4nn n a b n -=-⨯,故23245484(31)4n n T n =⨯+⨯+⨯++-⨯,23414245484(34)4(31)4n n n T n n +=⨯+⨯+⨯++-⨯+-⨯,上述两式相减,得23112(14)324343434(31)44(314n n n n T n n +⨯--=⨯+⨯+⨯++⨯--⨯=----111)4(32)48n n n ++⨯=--⨯-,得1328433n n n T +-=⨯+. 所以,数列221{}n n a b -的前n 项和为1328433n n +-⨯+. 【名师点睛】利用等差数列和等比数列通项公式及前n 项和公式列方程组求数列的首项和公差或公比,进而写出通项公式及前n 项和公式,这是等差数列、等比数列的基本要求,数列求和的方法有倒序相加法、错位相减法、裂项相消法和分组求和法等,本题考查的是错位相减法求和. 33.【2017年高考山东卷理数】已知{x n }是各项均为正数的等比数列,且x 1+x 2=3,x 3-x 2=2.(1)求数列{x n }的通项公式;(2)如图,在平面直角坐标系xOy 中,依次连接点P 1(x 1, 1),P 2(x 2, 2),…,P n+1(x n+1, n +1)得到折线P 1 P 2…P n+1,求由该折线与直线y =0,11n x x x x +==,所围成的区域的面积.【答案】(1)12n n x -=;(2) 【解析】(1)设数列的公比为q ,由已知0q >.由题意得,所以,nT (21)21.2n n n T -⨯+={}n x 1121132x x q x q x q +=⎧⎨-=⎩23520q q --=因为0q >,所以,因此数列的通项公式为(2)过…,向轴作垂线,垂足分别为…,, 由(1)得记梯形的面积为. 由题意, 所以…+=…+ ①, 又…+ ②, ①-②得121132(222)(21)2n n n T n ----=⨯++++-+⨯= 所以 【名师点睛】本题主要考查等比数列的通项公式及求和公式、数列求和的错位相减法.此类题目是数列问题中的常见题型.本题覆盖面广,对考生的计算能力要求较高.解答本题,布列方程组,确定通项公式是基础,准确计算求和是关键,易错点是在“错位”之后求和时,弄错等比数列的项数.本题将数列与解析几何结合起来,适当增大了难度,能较好地考查考生的数形结合思想、逻辑思维能力及基本计算能力等. 34.【2017年高考江苏卷】对于给定的正整数k ,若数列{}n a 满足:1111n k n k nnnk n ka aa a aa --+-++-++++++++2n ka =对任意正整数()n n k >总成立,则称数列{}n a 是“()P k 数列”.(1)证明:等差数列{}n a 是“(3)P 数列”;(2)若数列{}n a 既是“(2)P 数列”,又是“(3)P 数列”,证明:{}n a 是等差数列.12,1q x =={}n x 12.n n x -=123,,,P P P 1n P +x 123,,,Q Q Q 1n Q +111222.n n n n n x x --+-=-=11n n n n P P Q Q ++n b 12(1)2(21)22n n n n n b n --++=⨯=+⨯123n T b b b =+++n b 101325272-⨯+⨯+⨯+32(21)2(21)2n n n n ---⨯++⨯0122325272n T =⨯+⨯+⨯+21(21)2(21)2n n n n ---⨯++⨯1132(12)(21)2.212n n n ---+-+⨯-(21)21.2n n n T -⨯+=【答案】(1)见解析;(2)见解析.【解析】(1)因为{}n a 是等差数列,设其公差为d ,则1(1)n a a n d =+-, 从而,当4n ≥时,n k n k a a a -++=+11(1)(1)n k d a n k d --+++-122(1)2n a n d a =+-=,1,2,3,k =所以6n n n n n n n a a a a a a a ---+++++=321123+++, 因此等差数列{}n a 是“(3)P 数列”.(2)数列{}n a 既是“(2)P 数列”,又是“(3)P 数列”, 因此,当3n ≥时,n n n n n a a a a a --+++++=21124,① 当4n ≥时,n n n n n n n a a a a a a a ---++++++++=3211236.② 由①知,n n n a a a ---+=-32141()n n a a ++,③n n n a a a ++++=-23141()n n a a -+,④将③④代入②,得n n n a a a -++=112,其中4n ≥, 所以345,,,a a a 是等差数列,设其公差为d'.在①中,取4n =,则235644a a a a a +++=,所以23a a d'=-, 在①中,取3n =,则124534a a a a a +++=,所以132a a d'=-, 所以数列{}n a 是等差数列.【名师点睛】(1)利用等差数列性质得n k n k n a a a -++=2,即得n n n n n a a a a a ---+++++32112++n n a a +=36,再根据定义即可判断;(2)先根据定义得21n n n n n a a a a a --+++++=124,n n n n n a a a a a ---++++++32112n n a a ++=36,再将条件集中消元:n n n a a a ---+=-32141()n n a a ++,n n n a a a ++++=-23141()n n a a -+,即得n n n a a a -++=112,最后验证起始项也满足即可.35.【2017年高考北京卷理数】设{}n a 和{}n b 是两个等差数列,记1122max{,,,}n n n c b a n b a n b a n =--⋅⋅⋅-(1,2,3,)n =⋅⋅⋅,其中12max{,,,}s x x x ⋅⋅⋅表示12,,,s x x x ⋅⋅⋅这s 个数中最大的数.(1)若n a n =,21n b n =-,求123,,c c c 的值,并证明{}n c 是等差数列; (2)证明:或者对任意正数M ,存在正整数m ,当n m ≥时,nc M n>;或者存在正整数m ,使得12,,,m m m c c c ++⋅⋅⋅是等差数列.【答案】(1)详见解析;(2)详见解析. 【解析】(1)111110,c b a =-=-=21122max{2,2}max{121,322}1c b a b a =--=-⨯-⨯=-,3112233max{3,3,3}max{131,332,533}2c b a b a b a =---=-⨯-⨯-⨯=-.当3n ≥时,1111()()()()20k k k k k k k k b na b na b b n a a n ++++---=---=-<, 所以k k b na -关于*k ∈N 单调递减. 所以112211max{,,,}1n n n c b a n b a n b a n b a n n =---=-=-.所以对任意1,1n n c n ≥=-,于是11n n c c +-=-, 所以{}n c 是等差数列.(2)设数列{}n a 和{}n b 的公差分别为12,d d ,则12111121(1)[(1)]()(1)k k b na b k d a k d n b a n d nd k -=+--+-=-+--.所以1121211121(1)(),,n b a n n d nd d nd c b a n d nd -+-->⎧=⎨-≤⎩当时,当时,①当10d >时,取正整数21d m d >,则当n m ≥时,12nd d >,因此11n c b a n =-. 此时,12,,,m m m c c c ++是等差数列.②当10d =时,对任意1n ≥,1121121(1)max{,0}(1)(max{,0}).n c b a n n d b a n d a =-+-=-+--此时,123,,,,,n c c c c 是等差数列.③当10d <时,当21d n d >时,有12nd d <. 所以1121121112(1)()()n c b a n n d nd b d n d d a d n n n-+---==-+-++ 111212()||.n d d a d b d ≥-+-+--对任意正数M ,取正整数12112211||max{,}M b d a d d d m d d +-+-->-,故当n m ≥时,nc M n>. 【名师点睛】近几年北京卷理科压轴题一直为新信息题,本题考查学生对新定义的理解能力和使用能力,本题属于偏难问题,反映出学生对新的信息的理解和接受能力,本题考查数列的有关知识及归纳法证明,即考查了数列(分段形函数)求值,又考查了归纳法证明和对数据的分析研究,考查了学生的分析问题能力和逻辑推理能力,本题属于拔高难题,特别是第二问难度较大,适合选拔优秀学生. 36.【2017年高考浙江卷】已知数列{x n }满足:x 1=1,x n =x n +1+ln(1+x n +1)(n *∈N ).证明:当n *∈N 时, (1)0<x n +1<x n ;(2)2x n +1− x n ≤12n n x x +; (3)112n -≤x n ≤212n -.【答案】(1)见解析;(2)见解析;(3)见解析. 【解析】(1)用数学归纳法证明:0n x >. 当n =1时,x 1=1>0. 假设n =k 时,x k >0,那么n =k +1时,若10k x +≤,则110ln(1)0k k k x x x ++<=++≤,矛盾,故10k x +>.因此0()n x n *>∈N .所以111ln(1)n n n n x x x x +++=++>,。
专题06立体几何(解答题)1.【2019年高考全国Ⅰ卷理数】如图,直四棱柱ABCD –A 1B 1C 1D 1的底面是菱形,AA 1=4,AB =2,∠BAD =60°,E ,M ,N 分别是BC ,BB 1,A 1D 的中点.(1)证明:MN ∥平面C 1DE ; (2)求二面角A −MA 1−N 的正弦值.【答案】(1)见解析;(2)5. 【解析】(1)连结B 1C ,ME . 因为M ,E 分别为BB 1,BC 的中点, 所以ME ∥B 1C ,且ME =12B 1C . 又因为N 为A 1D 的中点, 所以ND =12A 1D . 由题设知A 1B 1=DC ,可得B 1C =A 1D ,故ME =ND , 因此四边形MNDE 为平行四边形,MN ∥ED . 又MN ⊄平面EDC 1, 所以MN ∥平面C 1DE . (2)由已知可得DE ⊥DA .以D 为坐标原点,DA 的方向为x 轴正方向,建立如图所示的空间直角坐标系D −xyz ,则(2,0,0)A ,A 1(2,0,4),2)M ,(1,0,2)N ,1(0,0,4)A A =-,1(12)A M =--,1(1,0,2)A N =--,(0,MN =.设(,,)x y z =m 为平面A 1MA 的法向量,则1100A M A A ⎧⋅=⎪⎨⋅=⎪⎩m m ,所以2040x z z ⎧-+-=⎪⎨-=⎪⎩,.可取=m .设(,,)p q r =n 为平面A 1MN 的法向量,则100MN A N ⎧⋅=⎪⎨⋅=⎪⎩,.n n所以020p r ⎧=⎪⎨--=⎪⎩,.可取(2,0,1)=-n .于是cos ,||⋅〈〉===‖m n m n m n , 所以二面角1A MA N --【名师点睛】本题考查线面平行关系的证明、空间向量法求解二面角的问题.求解二面角的关键是能够利用垂直关系建立空间直角坐标系,从而通过求解法向量夹角的余弦值来得到二面角的正弦值,属于常规题型.2.【2019年高考全国Ⅱ卷理数】如图,长方体ABCD –A 1B 1C 1D 1的底面ABCD 是正方形,点E 在棱AA 1上,BE ⊥EC 1.(1)证明:BE ⊥平面EB 1C 1;(2)若AE =A 1E ,求二面角B –EC –C 1的正弦值.【答案】(1)证明见解析;(2)2. 【解析】(1)由已知得,11B C ⊥平面11ABB A ,BE ⊂平面11ABB A , 故11B C ⊥BE .又1BE EC ⊥,所以BE ⊥平面11EB C .(2)由(1)知190BEB ∠=︒.由题设知Rt ABE △≌11Rt A B E △,所以45AEB ∠=︒, 故AE AB =,12AA AB =.以D 为坐标原点,DA 的方向为x 轴正方向,||DA 为单位长,建立如图所示的空间直角坐标系D –xyz ,则C (0,1,0),B (1,1,0),1C (0,1,2),E (1,0,1),(1,0,0)CB =,(1,1,1)CE =-,1(0,0,2)CC =.设平面EBC 的法向量为n =(x ,y ,x ),则0,0,CB CE ⎧⋅=⎪⎨⋅=⎪⎩n n 即0,0,x x y z =⎧⎨-+=⎩所以可取n =(0,1,1)--.设平面1ECC 的法向量为m =(x ,y ,z ),则10,0,CC CE ⎧⋅=⎪⎨⋅=⎪⎩m m 即20,0.z x y z =⎧⎨-+=⎩ 所以可取m =(1,1,0). 于是1cos ,||||2⋅<>==-n m n m n m .所以,二面角1B EC C --. 【名师点睛】本题考查了利用线面垂直的性质定理证明线线垂直以及线面垂直的判定,考查了利用空间向量求二角角的余弦值,以及同角的三角函数关系,考查了数学运算能力.3.【2019年高考全国Ⅲ卷理数】图1是由矩形ADEB ,Rt △ABC 和菱形BFGC 组成的一个平面图形,其中AB =1,BE =BF =2,∠FBC =60°,将其沿AB ,BC 折起使得BE 与BF 重合,连结DG ,如图2. (1)证明:图2中的A ,C ,G ,D 四点共面,且平面ABC ⊥平面BCGE ; (2)求图2中的二面角B −CG −A 的大小.【答案】(1)见解析;(2)30.【解析】(1)由已知得AD BE ,CG BE ,所以AD CG ,故AD ,CG 确定一个平面,从而A ,C ,G ,D 四点共面.由已知得AB ⊥BE ,AB ⊥BC ,故AB ⊥平面BCGE . 又因为AB ⊂平面ABC ,所以平面ABC ⊥平面BCGE .(2)作EH ⊥BC ,垂足为H .因为EH ⊂平面BCGE ,平面BCGE ⊥平面ABC ,所以EH ⊥平面ABC . 由已知,菱形BCGE 的边长为2,∠EBC =60°,可求得BH =1,EH.以H 为坐标原点,HC 的方向为x 轴的正方向,建立如图所示的空间直角坐标系H –xyz ,则A (–1,1,0),C (1,0,0),G (2,0),CG =(1,0),AC =(2,–1,0). 设平面ACGD 的法向量为n =(x ,y ,z ),则0,0,CG AC ⎧⋅=⎪⎨⋅=⎪⎩n n即0,20.x x y ⎧+=⎪⎨-=⎪⎩ 所以可取n =(3,6,又平面BCGE 的法向量可取为m =(0,1,0),所以cos ,||||2⋅〈〉==n m n m n m . 因此二面角B –CG –A 的大小为30°.【名师点睛】本题是很新颖的立体几何考题,首先是多面体折叠问题,考查考生在折叠过程中哪些量是不变的,再者折叠后的多面体不是直棱柱,最后通过建系的向量解法将求二面角转化为求二面角的平面角问题,突出考查考生的空间想象能力.4.【2019年高考北京卷理数】如图,在四棱锥P –ABCD 中,PA ⊥平面ABCD ,AD ⊥CD ,AD ∥BC ,PA =AD =CD =2,BC =3.E 为PD 的中点,点F 在PC 上,且13PF PC =. (1)求证:CD ⊥平面PAD ; (2)求二面角F –AE –P 的余弦值; (3)设点G 在PB 上,且23PG PB =.判断直线AG 是否在平面AEF 内,说明理由.【答案】(1)见解析;(2)3;(3)见解析. 【解析】(1)因为PA ⊥平面ABCD ,所以PA ⊥CD . 又因为AD ⊥CD ,所以CD ⊥平面PAD . (2)过A 作AD 的垂线交BC 于点M .因为PA ⊥平面ABCD ,所以PA ⊥AM ,PA ⊥AD .如图建立空间直角坐标系A −xyz ,则A (0,0,0),B (2,-1,0),C (2,2,0),D (0,2,0),P (0,0,2).因为E 为PD 的中点,所以E (0,1,1). 所以(0,1,1),(2,2,2),(0,0,2)AE PC AP ==-=.所以1222224,,,,,3333333PF PC AF AP PF ⎛⎫⎛⎫==-=+= ⎪ ⎪⎝⎭⎝⎭.设平面AEF 的法向量为n =(x ,y ,z ),则0,0,AE AF ⎧⋅=⎪⎨⋅=⎪⎩n n 即0,2240.333y z x y z +=⎧⎪⎨++=⎪⎩ 令z =1,则1,1y x =-=-.于是=(1,1,1)--n .又因为平面PAD 的法向量为p =(1,0,0),所以cos ,||⋅〈〉==‖n p n p n p . 由题知,二面角F −AE −P.(3)直线AG 在平面AEF 内. 因为点G 在PB 上,且2,(2,1,2)3PG PB PB ==--, 所以2424422,,,,,3333333PG PB AG AP PG ⎛⎫⎛⎫==--=+=- ⎪ ⎪⎝⎭⎝⎭. 由(2)知,平面AEF 的法向量=(1,1,1)--n . 所以4220333AG ⋅=-++=n . 所以直线AG 在平面AEF 内.【名师点睛】(1)由题意利用线面垂直的判定定理即可证得题中的结论;(2)建立空间直角坐标系,结合两个半平面的法向量即可求得二面角F −AE −P 的余弦值;(3)首先求得点G 的坐标,然后结合平面AEF 的法向量和直线AG 的方向向量即可判断直线是否在平面内.5.【2019年高考天津卷理数】如图,AE ⊥平面A B C D ,,CF AE AD BC ∥∥,,AD AB ⊥1,2AB AD AE BC ====.(1)求证:BF ∥平面ADE ;(2)求直线CE 与平面BDE 所成角的正弦值; (3)若二面角E BD F --的余弦值为13,求线段CF 的长.【答案】(1)见解析;(2)49;(3)87. 【解析】依题意,可以建立以A 为原点,分别以AB AD AE ,,的方向为x 轴,y 轴,z 轴正方向的空间直角坐标系(如图),可得(0,0,0),(1,0,0),(1,2,0),(0,1,0)A B C D ,(0,0,2)E .设(0)C F h h =>>,则()1,2,F h .(1)依题意,(1,0,0)AB =是平面ADE 的法向量,又(0,2,)BF h =,可得0BF AB ⋅=,又因为直线BF ⊄平面ADE ,所以BF ∥平面ADE . (2)依题意,(1,1,0),(1,0,2),(1,2,2)BD BE CE =-=-=--.设(,,)x y z =n 为平面BDE 的法向量,则0,0,BD BE ⎧⋅=⎪⎨⋅=⎪⎩n n 即0,20,x y x z -+=⎧⎨-+=⎩不妨令1z =,可得(2,2,1)=n .因此有4cos ,9||||CE CE CE ⋅==-n n n .所以,直线CE 与平面BDE 所成角的正弦值为49. (3)设(,,)x y z =m 为平面BDF 的法向量,则0,0,BD BF ⎧⋅=⎪⎨⋅=⎪⎩m m 即0,20,x y y hz -+=⎧⎨+=⎩ 不妨令1y =,可得21,1,h ⎛⎫=-⎪⎝⎭m .由题意,有||1cos ,||||3⋅〈〉===m n m n m n ,解得87h =.经检验,符合题意. 所以,线段CF 的长为87.【名师点睛】本小题主要考查直线与平面平行、二面角、直线与平面所成的角等基础知识.考查用空间向量解决立体几何问题的方法.考查空间想象能力、运算求解能力和推理论证能力.6.【2019年高考江苏卷】如图,在直三棱柱ABC-A1B1C1中,D,E分别为BC,AC的中点,AB=BC.求证:(1)A1B1∥平面DEC1;(2)BE⊥C1E.【答案】(1)见解析;(2)见解析.【解析】(1)因为D,E分别为BC,AC的中点,所以ED∥AB.在直三棱柱ABC−A1B1C1中,AB∥A1B1,所以A1B1∥ED.又因为ED⊂平面DEC1,A1B1 平面DEC1,所以A1B1∥平面DEC1.(2)因为AB=BC,E为AC的中点,所以BE⊥AC.因为三棱柱ABC−A1B1C1是直棱柱,所以CC1⊥平面ABC.又因为BE⊂平面ABC,所以CC1⊥BE.因为C1C⊂平面A1ACC1,AC⊂平面A1ACC1,C1C∩AC=C,所以BE ⊥平面A 1ACC 1.因为C 1E ⊂平面A 1ACC 1,所以BE ⊥C 1E .【名师点睛】本小题主要考查直线与直线、直线与平面、平面与平面的位置关系等基础知识,考查空间想象能力和推理论证能力.7.【2019年高考浙江卷】如图,已知三棱柱111ABC A B C -,平面11A ACC ⊥平面ABC ,90ABC ∠=︒,1130,,,BAC A A AC AC E F ∠=︒==分别是AC ,A 1B 1的中点. (1)证明:EF BC ⊥;(2)求直线EF 与平面A 1BC 所成角的余弦值.【答案】(1)见解析;(2)35. 【解析】方法一:(1)连接A 1E ,因为A 1A =A 1C ,E 是AC 的中点,所以A 1E ⊥AC . 又平面A 1ACC 1⊥平面ABC ,A 1E ⊂平面A 1ACC 1, 平面A 1ACC 1∩平面ABC =AC , 所以,A 1E ⊥平面ABC ,则A 1E ⊥BC . 又因为A 1F ∥AB ,∠ABC =90°,故BC ⊥A 1F . 所以BC ⊥平面A 1EF . 因此EF ⊥BC .(2)取BC 中点G ,连接EG ,GF ,则EGFA 1是平行四边形. 由于A 1E ⊥平面ABC ,故A 1E ⊥EG ,所以平行四边形EGFA 1为矩形. 由(1)得BC ⊥平面EGFA 1,则平面A 1BC ⊥平面EGFA 1, 所以EF 在平面A 1BC 上的射影在直线A 1G 上.连接A 1G 交EF 于O ,则∠EOG 是直线EF 与平面A 1BC 所成的角(或其补角).不妨设AC =4,则在Rt △A 1EG 中,A 1E ,EG由于O 为A 1G 的中点,故12A G EO OG ===所以2223cos 25EO OG EG EOG EO OG +-∠==⋅.因此,直线EF 与平面A 1BC 所成角的余弦值是35. 方法二:(1)连接A 1E ,因为A 1A =A 1C ,E 是AC 的中点,所以A 1E ⊥AC . 又平面A 1ACC 1⊥平面ABC ,A 1E ⊂平面A 1ACC 1, 平面A 1ACC 1∩平面ABC =AC ,所以,A 1E ⊥平面ABC .如图,以点E 为原点,分别以射线EC ,EA 1为y ,z 轴的正半轴,建立空间直角坐标系E –xyz .不妨设AC =4,则A 1(0,0,B1,0),1B,3,22F ,C (0,2,0).因此,33(,22EF =,(BC =. 由0EF BC ⋅=得EF BC ⊥. (2)设直线EF 与平面A 1BC 所成角为θ.由(1)可得1=(310)=(02BC A C --,,,,,. 设平面A 1BC 的法向量为n ()x y z =,,, 由100BC A C ⎧⋅=⎪⎨⋅=⎪⎩n n ,得00y y ⎧+=⎪⎨=⎪⎩, 取n (11)=,故||4sin |cos |=5|||EF EF EF θ⋅==⋅,n n n |,因此,直线EF 与平面A 1BC 所成的角的余弦值为35. 【名师点睛】本题主要考查空间点、线、面位置关系,直线与平面所成的角等基础知识,同时考查空间想象能力和运算求解能力.8.【2018年高考全国Ⅰ卷理数】如图,四边形ABCD 为正方形,,E F 分别为,AD BC 的中点,以DF 为折痕把DFC △折起,使点C 到达点P 的位置,且PF BF ⊥. (1)证明:平面PEF ⊥平面ABFD ; (2)求DP 与平面ABFD 所成角的正弦值.【答案】(1)见解析;(2. 【解析】方法一:(1)由已知可得,BF ⊥PF ,BF ⊥EF , 所以BF ⊥平面PEF . 又BF ⊂平面ABFD , 所以平面PEF ⊥平面ABFD .(2)在平面DEF 中,过P 作PH ⊥EF 于点H ,连接DH ,如图,由于EF 为平面ABCD 和平面PEF 的交线,PH ⊥EF , 则PH ⊥平面ABFD ,故PH ⊥DH . 则DP 与平面ABFD 所成的角为PDH ∠. 在三棱锥P -DEF 中,可以利用等体积法求PH . 因为DE ∥BF 且PF ⊥BF ,所以PF ⊥DE , 又△PDF ≌△CDF ,所以∠FPD =∠FCD =90°, 所以PF ⊥PD ,由于DE ∩PD =D ,则PF ⊥平面PDE , 故13F PDE PDE V PF S -=⋅△, 因为BF ∥DA 且BF ⊥平面PEF , 所以DA ⊥平面PEF , 所以DE ⊥EP .设正方形的边长为2a ,则PD =2a ,DE =a ,在△PDE 中,PE =,所以2PDE S a =△,故36F PDE V a -=, 又2122DEF S a a a =⋅=△,所以232F PDE V PH a a -==,所以在△PHD 中,sin 4PH PDH PD ∠==,故DP 与平面ABFD 所成角的正弦值为4. 方法二:(1)由已知可得,BF ⊥PF ,BF ⊥EF , 所以BF ⊥平面PEF . 又BF ⊂平面ABFD , 所以平面PEF ⊥平面ABFD .(2)作PH ⊥EF ,垂足为H .由(1)得,PH ⊥平面ABFD .以H 为坐标原点,HF 的方向为y 轴正方向,||BF 为单位长,建立如图所示的空间直角坐标系H −xyz .由(1)可得,DE ⊥PE .又DP =2,DE =1,所以PE 又PF =1,EF =2,故PE ⊥PF .可得322PH EH ==.则33(0,0,0),(1,,0),(1,22H P D DP --=HP =为平面ABFD 的法向量.设DP 与平面ABFD 所成角为θ,则34sin ||||||3HP DP HP DP θ⋅===.所以DP 与平面ABFD 所成角的正弦值为4. 9.【2018年高考全国II 卷理数】如图,在三棱锥P ABC -中,AB BC ==4PA PB PC AC ====,O 为AC 的中点.(1)证明:PO ⊥平面ABC ;(2)若点M 在棱BC 上,且二面角M PA C --为30︒,求PC 与平面PAM 所成角的正弦值.【答案】(1)见解析;(2)4. 【解析】(1)因为4AP CP AC ===,O 为AC 的中点,所以OP AC ⊥,且OP = 连结OB.因为2AB BC AC ==,所以ABC △为等腰直角三角形, 且OB AC ⊥,122OB AC ==. 由222OP OB PB +=知PO OB ⊥. 由,OP OB OP AC ⊥⊥知PO ⊥平面ABC .(2)如图,以O 为坐标原点,OB uu u r的方向为x 轴正方向,建立空间直角坐标系O xyz -.由已知得(0,0,0),(2,0,0),(0,2,0),(0,2,0),0,23),(0,2,O B A C P AP -=u u u r取平面PAC 的法向量(2,0,0)OB =u u u r.设(,2,0)(02)M a a a -<≤,则(,4,0)AM a a =-u u u r.设平面PAM 的法向量为(,,)x y z =n .由0,0AP AM ⋅=⋅=uu u r uuu rn n得20(4)0y ax a y ⎧+=⎪⎨+-=⎪⎩,可取,)a a =--n ,所以cos ,OB =uu u rn .由已知可得|cos ,|OB =uu u rn .2.解得4a =-(舍去),43a =.所以4()3=-n .又(0,2,PC =-u u u r,所以cos ,4PC =uu u r n .所以PC 与平面PAM所成角的正弦值为4. 10.【2018年高考全国Ⅲ卷理数】如图,边长为2的正方形ABCD 所在的平面与半圆弧CD 所在平面垂直,M 是CD 上异于C ,D 的点.(1)证明:平面AMD ⊥平面BMC ;(2)当三棱锥M ABC -体积最大时,求面MAB 与面MCD 所成二面角的正弦值.【答案】(1)见解析;(2. 【解析】(1)由题设知,平面CMD ⊥平面ABCD ,交线为CD . 因为BC ⊥CD ,BC ⊂平面ABCD ,所以BC ⊥平面CMD , 故BC ⊥DM .因为M 为CD 上异于C ,D 的点,且DC 为直径, 所以DM ⊥CM .又BC CM =C ,所以DM ⊥平面BMC . 而DM ⊂平面AMD , 故平面AMD ⊥平面BMC .(2)以D 为坐标原点,DA 的方向为x 轴正方向,建立如图所示的空间直角坐标系D −xyz.当三棱锥M −ABC 体积最大时,M 为CD 的中点.由题设得(0,0,0),(2,0,0),(2,2,0),(0,2,0),(0,1,1)D A B C M ,(2,1,1),(0,2,0),(2,0,0)AM AB DA =-==设(,,)x y z =n 是平面MAB 的法向量,则0,0.AM AB ⎧⋅=⎪⎨⋅=⎪⎩n n 即20,20.x y z y -++=⎧⎨=⎩ 可取(1,0,2)=n .DA 是平面MCD 的法向量,因此5cos ,||||DA DA DA ⋅==n n n ,2sin ,DA =n , 所以面MAB 与面MCD . 11.【2018年高考江苏卷】如图,在正三棱柱ABC −A 1B 1C 1中,AB =AA 1=2,点P ,Q 分别为A 1B 1,BC 的中点.(1)求异面直线BP 与AC 1所成角的余弦值;(2)求直线CC 1与平面AQC 1所成角的正弦值.【答案】(1;(2.【解析】如图,在正三棱柱ABC −A 1B 1C 1中,设AC ,A 1C 1的中点分别为O ,O 1,则OB ⊥OC ,OO 1⊥OC ,OO 1⊥OB ,以1,{},OB OC OO 为基底,建立空间直角坐标系O −xyz . 因为AB =AA 1=2,所以1110,1,0,,0,1,0,0,1,())()()2,,0,1,2)()A B C A B C --.(1)因为P 为A 1B 1的中点,所以1,2)2P -, 从而131(,,2)(0,2,22),BP AC ==--,故111|||cos ,|||||5BP AC BP AC BP AC ⋅===⋅. 因此,异面直线BP 与AC 1 (2)因为Q 为BC 的中点,所以1,0)2Q ,因此33(,0)2AQ =,11(0,2,2),(0,0,2)AC CC ==. 设n =(x ,y ,z )为平面AQC 1的一个法向量, 则10,0,AQ AC ⎧⎪⎨⎪⎩⋅=⋅=n n 即30,2220.y y z +=⎪+=⎩不妨取1,1)=-n ,设直线CC 1与平面AQC 1所成角为θ,则111||sin |cos |,|||CCCC CC |θ==⋅⋅==n n n 所以直线CC 1与平面AQC 1. 12.【2018年高考江苏卷】在平行六面体1111ABCD A B C D -中,1111,AA AB AB B C =⊥.求证:(1)AB ∥平面11A B C ; (2)平面11ABB A ⊥平面1A BC . 【答案】(1)见解析;(2)见解析.【解析】(1)在平行六面体ABCD -A 1B 1C 1D 1中,AB ∥A 1B 1. 因为AB ⊄平面A 1B 1C ,A 1B 1⊂平面A 1B 1C , 所以AB ∥平面A 1B 1C .(2)在平行六面体ABCD -A 1B 1C 1D 1中,四边形ABB 1A 1为平行四边形. 又因为AA 1=AB ,所以四边形ABB 1A 1为菱形, 因此AB 1⊥A 1B .又因为AB 1⊥B 1C 1,BC ∥B 1C 1, 所以AB 1⊥BC .又因为A 1B ∩BC =B ,A 1B ⊂平面A 1BC ,BC ⊂平面A 1BC , 所以AB 1⊥平面A 1BC . 因为AB 1⊂平面ABB 1A 1, 所以平面ABB 1A 1⊥平面A 1BC .13.【2018年高考浙江卷】如图,已知多面体ABCA 1B 1C 1,A 1A ,B 1B ,C 1C 均垂直于平面ABC ,∠ABC =120°,A 1A =4,C 1C =1,AB =BC =B 1B =2.(1)证明:AB 1⊥平面A 1B 1C 1;(2)求直线AC 1与平面ABB 1所成的角的正弦值.【答案】(1)见解析;(2)13.【解析】方法一:(1)由11112,4,2,,AB AA BB AA AB BB AB ===⊥⊥得111AB A B ==, 所以2221111A B AB AA +=.故111AB A B ⊥.由2BC =,112,1,BB CC ==11,BB BC CC BC ⊥⊥得11B C =,由2,120AB BC ABC ==∠=︒得AC =由1CC AC ⊥,得1AC =,所以2221111AB B C AC +=,故111AB B C ⊥.因此1AB ⊥平面111A B C .(2)如图,过点1C 作111C D A B ⊥,交直线11A B 于点D ,连结AD .由1AB ⊥平面111A B C 得平面111A B C ⊥平面1ABB , 由111C D A B ⊥得1C D ⊥平面1ABB , 所以1C AD ∠是1AC 与平面1ABB 所成的角.由111111BC A B AC ==111111cos C A B C A B ∠=∠=,所以1C D ,故111sin 13C D C AD AC ∠==. 因此,直线1AC 与平面1ABB所成的角的正弦值是13. 方法二:(1)如图,以AC 的中点O 为原点,分别以射线OB ,OC 为x ,y 轴的正半轴,建立空间直角坐标系O -xyz.由题意知各点坐标如下:111(0,(1,0,0),(0,(1,0,2),A B A B C因此11111(1(12),3),AB A B AC ==-=-uuu r uuu u r uuu u r由1110AB A B ⋅=uuu r uuu u r得111AB A B ⊥. 由1110AB AC ⋅=uuu r uuu u r 得111AB AC ⊥. 所以1AB ⊥平面111A B C .(2)设直线1AC 与平面1ABB 所成的角为θ.由(1)可知11(1(0,0,2),AC AB BB ===uuu r uu u r uuu r设平面1ABB 的法向量(,,)x y z =n .由10,0,AB BB ⎧⋅=⎪⎨⋅=⎪⎩uu u r uuu rn n即0,20,x z ⎧+=⎪⎨=⎪⎩可取(=n .所以111|sin |cos ,|13|||AC AC AC θ⋅===⋅uuu ruuu r uuu rn |n n |. 因此,直线1AC 与平面1ABB所成的角的正弦值是13. 【名师点睛】本题主要考查空间点、线、面位置关系,直线与平面所成的角等基础知识,同时考查空间想象能力和运算求解能力.14.【2018年高考北京卷理数】如图,在三棱柱ABC −111A B C 中,1CC ⊥平面ABC ,D ,E ,F ,G 分别为1AA ,AC ,11A C ,1BB 的中点,AB=BC,AC =1AA =2.(1)求证:AC ⊥平面BEF ; (2)求二面角B −CD −C 1的余弦值;(3)证明:直线FG 与平面BCD 相交. 【答案】(1)见解析;(2)21(3)见解析. 【解析】(1)在三棱柱ABC -A 1B 1C 1中, ∵CC 1⊥平面ABC , ∴四边形A 1ACC 1为矩形. 又E ,F 分别为AC ,A 1C 1的中点, ∴AC ⊥EF . ∵AB =BC . ∴AC ⊥BE , ∴AC ⊥平面BEF .(2)由(1)知AC ⊥EF ,AC ⊥BE ,EF ∥CC 1. 又CC 1⊥平面ABC ,∴EF ⊥平面ABC . ∵BE ⊂平面ABC ,∴EF ⊥BE . 如图建立空间直角坐标系E -xyz .由题意得B (0,2,0),C (-1,0,0),D (1,0,1),F (0,0,2),G (0,2,1). ∴=(201)=(120)CD CB uu u r uu r,,,,,, 设平面BCD 的法向量为()a b c =,,n , ∴00CD CB ⎧⋅=⎪⎨⋅=⎪⎩uu u ruur n n ,∴2020a c a b +=⎧⎨+=⎩,令a =2,则b =-1,c =-4,∴平面BCD 的法向量(214)=--,,n , 又∵平面CDC 1的法向量为=(020)EB uu r,,,∴cos =||||EB EB EB ⋅<⋅>=uu ruu r uu r n n n .由图可得二面角B -CD -C 1为钝角,所以二面角B -CD -C 1的余弦值为 (3)由(2)知平面BCD 的法向量为(214)=--,,n , ∵G (0,2,1),F (0,0,2), ∴=(021)GF -uuu r,,, ∴2GF ⋅=-uu u rn , ∴n 与GF uu u r 不垂直,∴GF 与平面BCD 不平行且不在平面BCD 内, ∴GF 与平面BCD 相交.15.【2018年高考天津卷理数】如图,AD BC ∥且AD =2BC ,AD CD ⊥,EG AD ∥且EG =AD ,CD FG ∥且CD =2FG ,DG ABCD ⊥平面,DA =DC =DG =2.(1)若M 为CF 的中点,N 为EG 的中点,求证:MN CDE ∥平面; (2)求二面角E BC F --的正弦值;(3)若点P 在线段DG 上,且直线BP 与平面ADGE 所成的角为60°,求线段DP 的长.【答案】(1)见解析;(2;(3【解析】本小题主要考查直线与平面平行、二面角、直线与平面所成的角等基础知识.考查用空间向量解决立体几何问题的方法.考查空间想象能力、运算求解能力和推理论证能力.满分13分.依题意,可以建立以D 为原点,分别以DA ,DC ,DG 的方向为x 轴,y 轴,z 轴的正方向的空间直角坐标系(如图),可得D (0,0,0),A (2,0,0),B (1,2,0),C (0,2,0),E (2,0,2),F (0,1,2),G (0,0,2),M (0,32,1),N (1,0,2).(1)依题意DC =(0,2,0),DE =(2,0,2).设n 0=(x ,y ,z )为平面CDE 的法向量,则0000DC DE ⎧⋅=⎪⎨⋅=⎪⎩,,n n 即20220y x z =⎧⎨+=⎩,,不妨令z=–1,可得n 0=(1,0,–1).又MN =(1,32-,1),可得00MN ⋅=n ,又因为直线MN ⊄平面CDE ,所以MN ∥平面CDE .(2)依题意,可得BC =(–1,0,0),(122)BE =-,,,CF =(0,–1,2). 设n =(x ,y ,z )为平面BCE 的法向量,则00BC BE ⎧⋅=⎪⎨⋅=⎪⎩,,n n 即0220x x y z -=⎧⎨-+=⎩,,不妨令z =1,可得n =(0,1,1).设m =(x ,y ,z )为平面BCF 的法向量,则00BC CF ⎧⋅=⎪⎨⋅=⎪⎩,,m m 即020x y z -=⎧⎨-+=⎩,,不妨令z =1,可得m =(0,2,1).因此有cos<m ,n>=||||⋅=m n m n sin<m ,n.所以,二面角E –BC –F. (3)设线段DP 的长为h (h ∈[0,2]),则点P 的坐标为(0,0,h ),可得(12)BP h =--,,. 易知,DC =(0,2,0)为平面ADGE 的一个法向量,故 cos BP DC BP DC BP DCh ⋅<⋅>===sin60°,解得h ∈[0,2].所以线段DP 的长为3. 16.【2017年高考全国Ⅰ卷理数】如图,在四棱锥P −ABCD 中,AB//CD ,且90BAP CDP ∠=∠=.(1)证明:平面P AB ⊥平面P AD ;(2)若P A =PD =AB =DC ,90APD ∠=,求二面角A −PB −C 的余弦值.【答案】(1)见解析;(2)【解析】(1)由已知90BAP CDP ∠=∠=︒,得AB ⊥AP ,CD ⊥PD . 由于AB//CD ,故AB ⊥PD ,从而AB ⊥平面P AD . 又AB ⊂平面P AB ,所以平面P AB ⊥平面P AD . (2)在平面PAD 内作PF AD ⊥,垂足为F ,由(1)可知,AB ⊥平面PAD ,故AB PF ⊥,可得PF ⊥平面ABCD .以F 为坐标原点,FA 的方向为x 轴正方向,||AB 为单位长,建立如图所示的空间直角坐标系F xyz -.由(1)及已知可得A ,P ,B ,(C .所以(,1,)22PC =--,(2,0,0)CB =,2(22PA =-,(0,1,0)AB =. 设(,,)x y z =n 是平面PCB 的法向量,则0,0,PC CB ⎧⋅=⎪⎨⋅=⎪⎩n n即0,220,x y z ⎧-+-=⎪⎨=可取(0,1,=-n . 设(,,)x y z =m 是平面PAB 的法向量,则0,0,PA AB ⎧⋅=⎪⎨⋅=⎪⎩m m即0,220.x z y -=⎪⎨⎪=⎩可取(1,0,1)=m . 则cos ,||||3⋅==-<>n m n m n m ,所以二面角A PB C --的余弦值为3-. 【思路点拨】(1)根据题设条件可以得出AB ⊥AP ,CD ⊥PD .而AB//CD ,就可证明出AB ⊥平面P AD .进而证明出平面P AB ⊥平面P AD .(2)先找出AD 中点,找出相互垂直的线,建立以F 为坐标原点,FA 的方向为x 轴正方向,||AB 为单位长的空间直角坐标系,列出所需要的点的坐标,设(,,)x y z =n 是平面PCB 的法向量,(,,)xy z =m 是平面PAB 的法向量,根据垂直关系,求出(0,1,=-n 和(1,0,1)=m ,利用数量积公式可求出二面角的平面角.【名师点睛】高考对空间向量与立体几何的考查主要体现在以下几个方面: ①求异面直线所成的角,关键是转化为两直线的方向向量的夹角;②求直线与平面所成的角,关键是转化为直线的方向向量和平面的法向量的夹角;③求二面角,关键是转化为两平面的法向量的夹角.建立空间直角坐标系和表示出所需点的坐标是解题的关键.17.【2017年高考江苏卷】如图,在三棱锥A BCD -中,AB ⊥AD ,BC ⊥BD ,平面ABD ⊥平面BCD ,点E ,F (E 与A ,D 不重合)分别在棱AD ,BD 上,且EF ⊥AD . 求证:(1)EF ∥平面ABC ; (2)AD ⊥AC .【答案】(1)见解析;(2)见解析.⊥,【解析】(1)在平面ABD内,因为AB⊥AD,EF AD∥.所以EF AB又因为EF⊄平面ABC,AB⊂平面ABC,所以EF∥平面ABC.⊥,(2)因为平面ABD⊥平面BCD,平面ABD平面BCD=BD,BC⊂平面BCD,BC BD 所以BC⊥平面ABD.因为AD⊂平面ABD,所以BC⊥AD.=,AB⊂平面ABC,BC⊂平面ABC,又AB⊥AD,BC AB B所以AD⊥平面ABC,又因为AC⊂平面ABC,所以AD⊥AC.【名师点睛】垂直、平行关系证明中应用转化与化归思想的常见类型:(1)证明线面、面面平行,需转化为证明线线平行;(2)证明线面垂直,需转化为证明线线垂直;(3)证明线线垂直,需转化为证明线面垂直.18.【2017年高考江苏卷】如图,在平行六面体ABCD-A1B1C1D1中,AA1⊥平面ABCD,且AB=AD=2,AA1∠=︒.BAD120(1)求异面直线A1B与AC1所成角的余弦值;(2)求二面角B-A1D-A的正弦值.【答案】(1)17;(2. 【解析】在平面ABCD 内,过点A 作AE ⊥AD ,交BC 于点E . 因为AA 1⊥平面ABCD ,所以AA 1⊥AE ,AA 1⊥AD .如图,以1{,,}AE AD AA 为正交基底,建立空间直角坐标系A -xyz . 因为AB =AD =2,AA 1,120BAD ∠=︒.则11(0,0,0),1,0),(0,2,0),A B D E A C -.(1)11(3,1,3),(3,1A B AC =--=, 则111111(1cos ,7||||A B AC A B AC A B AC ⋅===-.因此异面直线A 1B 与AC 1所成角的余弦值为17. (2)平面A 1DA 的一个法向量为(3,0,0)AE =. 设(,,)x y z =m 为平面BA 1D 的一个法向量,又1(3,1,3),(3,3,0)A B BD =--=-,则10,0,A B BD ⎧⋅=⎪⎨⋅=⎪⎩m m即0,30.y y --=+=⎪⎩ 不妨取x =3,则2y z ==,所以2)=m 为平面BA 1D 的一个法向量,从而3cos ,4||||AE AE AE ⋅===m m m ,设二面角B -A 1D -A 的大小为θ,则3|cos |4θ=.因为[0,]θ∈π,所以sin 4θ==.因此二面角B -A 1D -A 的正弦值为4. 【名师点睛】利用法向量求解空间线面角、面面角的关键在于“四破”:①破“建系关”,构建恰当的空间直角坐标系;②破“求坐标关”,准确求解相关点的坐标;③破“求法向量关”,求出平面的法向量;④破“应用公式关”.(1)先根据条件建立空间直角坐标系,进而得相关点的坐标,求出直线A 1B 与AC 1的方向向量,根据向量数量积求出方向向量夹角,最后根据异面直线所成角与方向向量夹角之间相等或互补可得夹角的余弦值;(2)根据建立的空间直角坐标系,得相关点的坐标,求出各半平面的法向量,根据向量数量积求出法向量的夹角,最后根据二面角与法向量夹角之间关系确定二面角的正弦值.19.【2017年高考山东卷理数】如图,几何体是圆柱的一部分,它是由矩形ABCD (及其内部)以AB 边所在直线为旋转轴旋转120︒得到的,G 是DF 的中点. (1)设P 是CE 上的一点,且AP BE ⊥,求CBP ∠的大小; (2)当3AB =,2AD =时,求二面角E AG C --的大小.【答案】(1)30°;(2)60°.【解析】(1)因为AP BE ⊥,AB BE ⊥,AB ,AP ⊂平面ABP ,AB AP A =,所以BE ⊥平面ABP , 又BP ⊂平面ABP , 所以BE BP ⊥, 又120EBC ∠=︒, 因此30CBP ∠=︒.(2)解法一:取EC 的中点H ,连接EH ,GH ,CH . 因为120EBC ∠=︒, 所以四边形BEHC 为菱形,所以AE GE AC GC =====取AG 中点M ,连接EM ,CM ,EC . 则EM AG ⊥,CM AG ⊥, 所以EMC ∠为所求二面角的平面角.又1AM =,所以EM CM ===在BEC △中,由于120EBC ∠=︒,由余弦定理得22222222cos12012EC =+-⨯⨯⨯︒=,所以EC =EMC △为等边三角形, 故所求的角为60︒.解法二:以B 为坐标原点,分别以BE ,BP ,BA 所在的直线为x ,y ,z 轴,建立如图所示的空间直角坐标系.由题意得(0,0,3)A (2,0,0)E ,G ,(C -,故(2,0,3)AE =-,AG =,(2,0,3)CG =,设111(,,)y x z =m 是平面AEG 的一个法向量.由00AE AG ⎧⋅=⎪⎨⋅=⎪⎩m m可得1111230,0,x z x -=⎧⎪⎨=⎪⎩取12z =,可得平面AEG的一个法向量(3,2)=m . 设222(,,)y x z =n 是平面ACG 的一个法向量.由00AG CG ⎧⋅=⎪⎨⋅=⎪⎩n n可得22220,230,x x z ⎧+=⎪⎨+=⎪⎩取22z =-,可得平面ACG的一个法向量(3,2)=-n . 所以1cos ,||||2⋅==⋅m n m n m n .因此所求的角为60︒.20.【2017年高考全国Ⅱ理数】如图,四棱锥P -ABCD 中,侧面P AD 为等边三角形且垂直于底面ABCD ,o 1,90,2AB BC AD BAD ABC ==∠=∠=E 是PD 的中点.(1)证明:直线CE ∥平面P AB ;(2)点M 在棱PC 上,且直线BM 与底面ABCD 所成角为o 45,求二面角M AB D --的余弦值. 【答案】(1)见解析;(2). 【解析】(1)取PA 的中点F ,连结EF ,BF . 因为E 是PD 的中点,所以EF ∥AD ,12EF AD =, 由90BAD ABC ∠=∠=︒得BC ∥AD , 又12BC AD =, 所以EF BC ∥,四边形BCEF 是平行四边形,CE ∥BF . 又BF ⊂平面PAB ,CE ⊄平面PAB , 故CE ∥平面PAB .(2)由已知得BA AD ⊥,以A 为坐标原点,AB 的方向为x 轴正方向,AB 为单位长, 建立如图所示的空间直角坐标系A xyz -,则()0,0,0A ,()1,0,0B ,()1,1,0C,(P,(1,0,PC =,(1,0,0)AB =, 设()(),,01M x y z x <<,则()1,,,(,1,BM x y z PM x y z =-=-, 因为BM 与底面ABCD 所成的角为45°,而()0,0,1=n 是底面ABCD 的法向量, 所以cos ,sin 45BM =︒n2=,即()22210x y z -+-=.① 又M 在棱PC 上,设PM PCλ=,则,1,x y z λ===.②由①②解得1212x y z ⎧=+⎪⎪⎪=⎨⎪⎪=-⎪⎩(舍去),1212x y z ⎧=-⎪⎪⎪=⎨⎪⎪=⎪⎩.所以(12M -,从而(12AM =-. 设()000,,x y z =m 是平面ABM 的法向量,则0,0,AM AB ⎧⋅=⎪⎨⋅=⎪⎩m m即0000(220,0,x y x ⎧+=⎪⎨=⎪⎩所以可取(0,2)=m.于是cos ,5⋅==m n m n m n , 因此二面角M AB D --的余弦值为5. 【名师点睛】(1)求解本题要注意两点:①两平面的法向量的夹角不一定是所求的二面角,②利用方程思想进行向量运算,要认真细心、准确计算.(2)设m ,n 分别为平面α,β的法向量,则二面角θ与<m ,n >互补或相等,故有|cos θ|=|cos<m ,n >|=⋅m n m n.求解时一定要注意结合实际图形判断所求角是锐角还是钝角.21.【2017年高考全国Ⅲ理数】如图,四面体ABCD 中,△ABC 是正三角形,△ACD 是直角三角形,∠ABD =∠CBD ,AB =BD .(1)证明:平面ACD ⊥平面ABC ;(2)过AC 的平面交BD 于点E ,若平面AEC 把四面体ABCD 分成体积相等的两部分,求二面角D –AE –C 的余弦值.【答案】(1)见解析;(2)7. 【解析】(1)由题设可得,ABD CBD △≌△,从而AD DC =.又ACD △是直角三角形,所以=90ADC ∠︒. 取AC 的中点O ,连接DO ,BO ,则DO ⊥AC ,DO =AO . 又由于ABC △是正三角形,故BO AC ⊥. 所以DOB ∠为二面角D AC B --的平面角. 在Rt AOB △中,222BO AO AB +=.又AB BD =,所以2222BO DO BO AO AB BD 22+=+==, 故90DOB ∠=. 所以平面ACD ⊥平面ABC .(2)由题设及(1)知,,,OA OB OD 两两垂直,以O 为坐标原点,OA 的方向为x 轴正方向,OA 为单位长,建立如图所示的空间直角坐标系O xyz -.则()()()()1,0,0,,1,0,0,0,0,1A B C D -.由题设知,四面体ABCE 的体积为四面体ABCD 的体积的12,从而E 到平面ABC 的距离为D 到平面ABC 的距离的12,即E 为DB的中点,得12E ⎛⎫ ⎪ ⎪⎝⎭. 故()()11,0,1,2,0,0,2AD AC AE ⎛⎫=-=-=- ⎪ ⎪⎝⎭. 设()=x,y,z n 是平面DAE 的法向量,则00AD AE ⎧⋅=⎪⎨⋅=⎪⎩,,n n即0,10.22x z x y z -+=⎧⎪⎨-++=⎪⎩可取⎛⎫= ⎪ ⎪⎝⎭n .设m 是平面AEC 的法向量,则00AC AE ⎧⋅=⎪⎨⋅=⎪⎩,,m m同理可取(0,=-m .则cos ,⋅==n m n m n m . 所以二面角D -AE -C【名师点睛】(1)求解本题要注意两点:一是两平面的法向量的夹角不一定是所求的二面角,二是利用方程思想进行向量运算时,要认真细心,准确计算.(2)设m ,n 分别为平面α,β的法向量,则二面角θ与,m n 互补或相等,故有cos cos ,||θ=⋅=m m n nm n.求解时一定要注意结合实际图形判断所求角是锐角还是钝角. 22.【2017年高考浙江卷】如图,已知四棱锥P –ABCD ,△PAD 是以AD 为斜边的等腰直角三角形,BC AD ∥,CD ⊥AD ,PC =AD =2DC =2CB ,E 为PD 的中点.(1)证明:CE ∥平面PAB ;(2)求直线CE 与平面PBC 所成角的正弦值. 【答案】(1)见解析;(2. 【解析】本题主要考查空间点、线、面位置关系,直线与平面所成的角等基础知识,同时考查空间想象能力和运算求解能力.满分15分.(1)如图,设P A 中点为F ,连接EF ,FB . 因为E ,F 分别为PD ,P A 中点,所以EF AD ∥且12EF AD =, 又因为BC AD ∥,12BC AD =,所以 PABCDEEF BC ∥且EF BC ,即四边形BCEF 为平行四边形,所以CE BF ∥,因此CE ∥平面P AB .(2)分别取BC ,AD 的中点为M ,N .连接PN 交EF 于点Q ,连接MQ . 因为E ,F ,N 分别是PD ,P A ,AD 的中点,所以Q 为EF 中点, 在平行四边形BCEF 中,MQ//CE .由△P AD 为等腰直角三角形得PN ⊥AD .由DC ⊥AD ,N 是AD 的中点得BN ⊥AD .所以AD ⊥平面PBN ,由BC //AD 得BC ⊥平面PBN ,那么平面PBC ⊥平面PBN .过点Q 作PB 的垂线,垂足为H ,连接MH .MH 是MQ 在平面PBC 上的射影,所以∠QMH 是直线CE 与平面PBC 所成的角. 设CD =1.在△PCD 中,由PC =2,CD =1,得CE在△PBN 中,由PN =BN =1,PB QH =14,在Rt △MQH 中,QH=14,MQ 所以sin ∠QMH ,所以直线CE 与平面PBC .【名师点睛】本题主要考查线面平行的判定定理、线面垂直的判定定理及面面垂直的判定定理,属于中档题.证明线面平行的常用方法:①利用线面平行的判定定理,使用这个定理的关键是设法在平面内找到一条与已知直线平行的直线,可利用几何体的特征,合理利用中位线定理、线面平行的性质或者构造平行四边形、寻找比例式证明两直线平行.②利用面面平行的性质,即两平面平行,在其中一平面内的直线平行于另一平面.本题(1)是就是利用方法①证明的.另外,本题也可利用空间向量求解线面角.23.【2017年高考北京卷理数】如图,在四棱锥P −ABCD 中,底面ABCD 为正方形,平面PAD ⊥平面ABCD ,点M 在线段PB 上,PD//平面MAC ,PA =PD ,AB =4. (1)求证:M 为PB 的中点; (2)求二面角B −PD −A 的大小;(3)求直线MC 与平面BDP 所成角的正弦值.【答案】(1)见解析;(2)π3;(3. 【解析】(1)设,AC BD 交点为E ,连接ME . 因为PD ∥平面MAC ,平面MAC 平面PDB ME ,所以PD ME ∥.因为ABCD 是正方形, 所以E 为BD 的中点, 所以M 为PB 的中点.(2)取AD 的中点O ,连接OP ,OE . 因为PA PD =,所以OP AD ⊥.又因为平面PAD ⊥平面ABCD ,且OP ⊂平面PAD , 所以OP ⊥平面ABCD .因为OE ⊂平面ABCD ,所以OP OE ⊥. 因为ABCD 是正方形,所以OE AD ⊥.如图建立空间直角坐标系O xyz -,则P ,(2,0,0)D ,(2,4,0)B -,(4,4,0)BD =-,(2,0,PD =.设平面BDP 的法向量为(,,)x y z =n ,则00BD PD ⎧⋅=⎪⎨⋅=⎪⎩n n,即44020x y x -=⎧⎪⎨=⎪⎩. 令1x =,则1y =,z =于是=n .平面PAD 的法向量为(0,1,0)=p ,所以1cos ,||||2⋅==<>n p n p n p .由题知二面角B PD A --为锐角,所以它的大小为3π.(3)由题意知(1,M -,(2,4,0)C,(3,2,MC =.设直线MC 与平面BDP 所成角为α,则||2sin |cos ,|9||||MC MC MC α⋅===<>n n n .所以直线MC 与平面BDP 所成角的正弦值为9. 【名师点睛】本题涉及立体几何中的线面平行与垂直的判定与性质,全面考查立体几何中的证明与求解,意在考查学生的空间想象能力和逻辑推理能力;利用空间向量解决立体几何问题是一种常见且有效的方法,要注意建立适当的空间直角坐标系以及运算的准确性.(1)设,AC BD 交点为E ,连接ME ,因为线面平行,即PD ∥平面MAC ,根据性质定理,可知线线平行,即PD ME ∥,再由E 为BD 的中点,可知M 为PB 的中点;(2)因为平面PAD ⊥平面ABCD ,PA PD =,所以取AD 的中点O 为原点建立空间直角坐标系,根据向量法先求两平面的法向量n ,p ,再根据公式cos ,n p ,求二面角的大小; (3)根据(2)的结论,直接求|cos ,|MC n 即可.24.【2017年高考天津卷理数】如图,在三棱锥P -ABC 中,P A ⊥底面ABC ,90BAC ∠=︒.点D ,E ,N分别为棱P A ,PC ,BC 的中点,M 是线段AD 的中点,P A =AC =4,AB =2. (1)求证:MN ∥平面BDE ; (2)求二面角C -EM -N 的正弦值;(3)已知点H 在棱P A 上,且直线NH 与直线BE ,求线段AH 的长.【答案】(1)证明见解析;(2;(3)85或12.【解析】如图,以A 为原点,分别以AB ,AC ,AP 方向为x 轴、y 轴、z 轴正方向建立空间直角坐标系.依题意可得A (0,0,0),B (2,0,0),C (0,4,0),P (0,0,4),D (0,0,2),E (0,2,。
专题11平面向量1.【2019年高考全国I卷理数】已知非零向量a,b满足|a |2|b|,且(a b)b,则a与b的夹角为A.C.π62π3B.D.π35π6【答案】B【解析】因为(a b)b,所以(a b)b ab b2=0,所以a b b2,所以cos=a b|b|2 a b2|b|212π,所以a与b的夹角为,故选B.3【名师点睛】对向量夹角的计算,先计算出向量的数量积及各个向量的摸,在利用向量夹角公式求出夹角的余弦值,再求出夹角,注意向量夹角范围为[0,].2.【2019年高考全国II A.−3C.2卷理数】已知AB=(2,3),AC=(3,t),BCB.−2D.3=1,则AB BC=【答案】C【解析】由BC AC AB (1,t 3),BC 12(t 3)21,得t 3,则BC (1,0),AB BC (2,3)(1,0)2130 2 .故选C.【名师点睛】本题考点为平面向量的数量积,侧重基础知识和基本技能,难度不大.3.【2019年高考北京卷理数】设点A,B,C不共线,则““|AB AC ||B C|”的AB与AC的夹角为锐角”是A.充分而不必要条件C.充分必要条件【答案】C B.必要而不充分条件D.既不充分也不必要条件【解析】AB与AC的夹角为锐角,所以|A2 B||A2C|2A B2A|C2|,A即|B|A2C A B A C|AB AC|2|A C AB|2,因为AC AB BC,所以|AB+AC|>|BC|;当|AB+AC|>|BC|成立时,|AB+AC|>|AB -AC|AB•AC>0,又因为点A,B,C不共线,所以AB与AC的夹角为锐角.故“AB与AC的夹角为锐角”是“|AB+AC|>|BC|”的充分必要条件,故选C.【名师点睛】本题考查充要条件的概念与判断、平面向量的模、夹角与数量积,同时考查了转化与化归数学思想.4.【2018年高考全国I卷理数】在△ABC中,A D为BC边上的中线,E为AD的中点,则EBA.C.31AB AC4431AB AC44B.D.13AB AC4413AB AC44【答案】A【解析】根据向量的运算法则,可得BE 111111BA BD BA BC BA BA AC 2224241113131BA BA AC BA AC,所以EB AB AC2444444故选A..【名师点睛】该题考查的是有关平面向量的基本问题,涉及的知识点有三角形的中线向量、向量加法的三角形法则、共线向量的表示以及相反向量的问题,在解题的过程中,需要认真对待每一步运算.5.【2018年高考全国II卷理数】已知向量a,b满足|a|1,a b1,则a (2a b)A.4C.2【答案】B 【解析】因为B.3D.0a 2a b2a 2a b2|a|21213所以选B.【名师点睛】已知非零向量a (x,y),b (x,y )1122:22几何表示坐标表示模|a|=aa a x21y21夹角cos a ba bcosx21x x y y1212y2x2y21226.(2018年高考浙江卷)已知a,b,e是平面向量,e是单位向量.若非零向量a与e的夹角为π,3向量b满足b A.3−12−4e·b+3=0,则|a−b|的最小值是B.3+1C.2【答案】AD.2−3【解析】设,则由,得由b−4e·b+3=0得因此|a−b|的最小值为圆心到直线的距离232=3减去半径1,为选A.【名师点睛】本题主要考查平面向量的夹角、数量积、模及最值问题,考查数形结合思想,考查考生的选算求解能力以及分析问题和解决问题的能力,考查的数学核心素养是直观想象、数学运算.7.【2018年高考天津卷理数】如图,在平面四边形ABCD中,AB B C,AD CD,BAD 120, AB AD 1,若点E为边CD上的动点,则AE BE的最小值为A.C.21162516B.D.323【答案】A2【解析】连接 AD ,取 AD 中点为 O ,可知 △ABD 为等腰三角形,而为等边三角形,.△BCD设DE tDC 0t 1AE BEAB B C , AD CD ,所以AD DEBD DE AD BD DE AD BDDE 23 2BD DE DE2= 3t 23 3t 0 t 12 2所以当 t1 21时,上式取最大值 ,故选 A.4 16 【名师点睛】本题考查的是平面向量基本定理与向量的拆分,需要选择合适的基底,再把其它 向量都用基底表示,同时利用向量共线转化为函数求最值.8.【2018 年高考北京卷理数】设 a ,b 均为单位向量,则“a 3b3a b”是“a ⊥b ”的A .充分而不必要条件C .充分必要条件 【答案】CB .必要而不充分条件D .既不充分也不必要条件【解析】a 3b 3a b a 3b 3a ba26a b 9b2 9a 2+6ab b2,因为a ,b 均为单位向量,所以 a 26a b 9b29a 2+6 ab b2a b =0a ⊥b ,即“ a 3b 3a b”是“a ⊥b ”的充分必要条件.故选 C.【名师点睛】充分、必要条件的三种判断方法.1.定义法:直接判断“若 p 则 q ”、“若 q则 p”的真假.并注意和图示相结合,例如“ p ⇒ q”为 真,则 p 是 q 的充分条件.2.等价法:利用 p ⇒ q 与非 q ⇒非 p ,q ⇒ p 与非 p ⇒非 q ,p ⇔ q 与非 q ⇔非 p 的等价关系, 对于条件或结论是否定式的命题,一般运用等价法.3.集合法:若 A ⊆ B ,则 A 是 B 的充分条件或 B 是 A 的必要条件;若 A = B ,则 A 是 B 的充 要条件.9.【2017 年高考全国 III 卷理数】在矩形 ABCD 中,AB =1,AD =2,动点 P 在以点 C 为圆心且与BD 相切的圆上.若AP AB AD ,则的最大值为BD 322C.5D.2【答案】A【解析】如图所示,建立平面直角坐标系.设A0,1,B0,0,C2,0,D2,1,P x,y,易得圆的半径r 25,即圆C的方程是x 22y245,AP x,y 1,A B0,1,A D2,0,若满足AP AB AD,则x 2y1x x,,1y,所以y 122,设z x x4 y 1,即y 1z 0,点P x,y在圆x 2y2225上,所以圆心(2,0)x到直线y 1z 02的距离d r,即2z11425,解得1z 3,所以z的最大值是3,即的最大值是3,故选A.【名师点睛】(1)应用平面向量基本定理表示向量是利用平行四边形法则或三角形法则进行向量的加、减或数乘运算.(2)用向量基本定理解决问题的一般思路是:先选择一组基底,并运用该基底将条件和结论表示成向量的形式,再通过向量的运算来解决.10.【2017年高考全国II卷理数】已知△ABC是边长为2的等边三角形,PPA (PB PC)则的最小值是为平面ABC内一点,4 3D.1C.【答案】B【解析】如图,以B C为x轴,BC的垂直平分线DA为y轴,D为坐标原点建立平面直角坐标系,则A(0,3),B(1,0),C(1,0),设P(x,y),所以PA (x,3y),PB (1x,y),PC (1x,y)PA (PB PC)2x2,所2y(3y)2x2以2(yP333)2222B(,当3P(0,)22P ,C时,所求的x最小值为32,故选B.【名师点睛】平面向量中有关最值问题的求解通常有两种思路:①“形化”,即利用平面向量的几何意义将问题转化为平面几何中的最值或范围问题,然后根据平面图形的特征直接进行判断;②“数化”,即利用平面向量的坐标运算,把问题转化为代数中的函数最值与值域、不等式的解集、方程有解等问题,然后利用函数、不等式、方程的有关知识来解决.11.【2017年高考北京卷理数】设m,n为非零向量,则“存在负数,使得m n”是“m n<0的”A.充分而不必要条件C.充分必要条件【答案】A B.必要而不充分条件D.既不充分也不必要条件【解析】若0,使m n,则两向量m,n 反向,夹角是180,那么m n m n cos180m n 0;若m n0,那么两向量的夹角为90,180,并不一定反向,即不一定存在负数,使得m n,所以是充分而不必要条件,故选A.【名师点睛】【名师点睛】判断充分必要条件的的方法:(1)根据定义,若p q,q p,充要条件;若p q,q p,那么就是既不充分也不必要条件.(2)当命题是以集合形式给出时,那就看包含关系,已知p:x A,q:x B,若A B,那么p是q的充分不必要条件,同时q是p的必要不充分条件;若A B,那么p,q 互为充要条件;若没有包含关系,那么就是既不充分也不必要条件.(3)命题的等价性,根据互为逆否命题的两个命题等价,将p是q条件的判断,转化为q是p条件的判断.12.【2019年高考全国III___________.2【答案】3卷理数】已知a,b为单位向量,且a·b=0,若c 2a 5b,则cos,a c【解析】因为c 2a 5b,ab0,所以a c2a25a b 2,|c|24|a|245a b5|b|29,所以|c |3,所以cos a,c a c22a c133.【名师点睛】本题主要考查平面向量的数量积、向量的夹角.渗透了数学运算、直观想象素养.使用转化思想得出答案.13.【2019年高考天津卷理数】在四边形ABCD中,AD∥BC,AB 23,AD 5,A 30,点E在线段CB的延长线上,且AE BE,则BD AE ___________.【答案】1【解析】建立如图所示的直角坐标系,∠DAB=30°,AB 23,AD 5,则B(23,0),D(535,). 22因为AD∥BC,BAD30,所以ABE30,因为AE BE,所以BAE 30,3333直线AE的斜率为,其方程为y x.333y (x 23),3由y x3得x 3,y1,所以E( 3,1).所以BD AE (35,) ( 3,1)1. 22【名师点睛】平面向量问题有两大类解法:基向量法和坐标法,在便于建立坐标系的问题中使用坐标方法更为方便.14.【2019年高考江苏卷】如图,在△ABC中,D是BC的中点,E在边AB上,BE=2EA,AD与CE交于点O.若AB AC 6A O EC ,则ABAC的值是___________.【答案】3.【解析】如图,过点D作DF//CE,交AB于点F,由BE=2EA,D为BC的中点,知BF=FE=EA,AO=OD.36 A O EC 3 A DAC AEAB AC2AC AE,AB AC AC AB32AB AC AB AC AB AC3 3AB AC AB ACAB AC ABACAB AC 2 3 32 2,得13 AB ABAC , 即 AB 3 AC , 故22 AC3 【名师点睛】本题考查在三角形中平面向量的数量积运算,渗透了直观想象、逻辑推理和数学 运算素养.采取几何法,利用数形结合和方程思想解题.15.【2019 年高考浙江卷】已知正方形ABCD的边长为 1,当每个i(i 1,2,3, 4,5,6)取遍时,| ABBCCDDAACBD | 123456___________.【答案】0; 2 5 .的最小值是___________;最大值是【解析】以 AB , AD分别为 x 轴、y 轴建立平面直角坐标系,如图.则AB (1,0), BC(0,1), CD ( 1,0), DA (0, 1), AC (1,1),BD ( 1,1),3 3 1 2 312213 21 221 2 3222令y AB BC CD DA AC BD12345613562245620.又因为i (i 1,2,3,4,5,6)可取遍1,所以当1,1345612时,有最小值ymin0.因为135和245的取值不相关,61或61,所以当135和245分别取得最大值时,y有最大值,所以当1,1125634时,有最大值ymax22422025.故答案为0;25.【名师点睛】对于此题需充分利用转化与化归思想,从“基向量”入手,最后求不等式最值,是一道向量和不等式的综合题.16.【2018年高考全国III卷理数】已知向量a=1,2,b =2,2,c =1,λ.若c∥2a+b ,则___________.【答案】1 2【解析】由题可得2a b4,2,c∥2a+b ,c=1,λ,42 0,即12,故答案为1 2 .【名师点睛】本题主要考查向量的坐标运算,以及两向量共线的坐标关系,属于基础题.时,由两向量共线的坐标关系计算即可.解题17.【2018年高考上海卷】在平面直角坐标系中,已知点A 1,0、B2,0,E、F是y轴上的两个动点,且|E F|2,则AE BF的最小值为___________.【答案】-3【解析】根据题意,设E(0,a),F(0,b);∴a=b+2,或b=a+2;且AE 1,a,;BF2,b∴AE BF 2ab;当 a =b +2 时, AEBF 2b 2b b22b 2 ;∵b 2+2b ﹣2 的最小值为84 43;∴ AE BF的最小值为﹣3,同理求出 b=a +2 时, AE BF的最小值为﹣3.故答案为:﹣3.【名师点睛】考查根据点的坐标求两点间的距离,根据点的坐标求向量的坐标,以及向量坐标 的数量积运算,二次函数求最值的公式.18.【2018 年高考江苏卷】在平面直角坐标系 xOy 中, A 为直线 l : y 2 x上在第一象限内的点,B 5,0,以 AB 为直径的圆 C 与直线 l 交于另一点 D .若 AB CD 0 ,则点 A 的横坐标为___________.【答案】3【解析】设Aa,2a(a 0) ,则由圆心 C 为 AB 中点得Ca 5 2, a ,易得C : x 5x a yy 2a,与y 2 x联立解得点 D 的横坐标x1, D所以D1,2.所以AB5a,2a ,C D 1a 5 2, 2 a,由 AB CD 0 得5a 1a 522a 2a0,a 22a 30,a 3或a1,因为 a0 ,所以 a 3.【名师点睛】以向量为载体求相关变量的取值或范围,是向量与函数、不等式、三角函数、曲线方程等相结合的一类综合问题.通过向量的坐标运算,将问题转化为解方程或解不等式或求函数值域,是解决这类问题的一般方法.19.【2017 年高考全国 I 卷理数】已知向量 a ,b 的夹角为 60°,|a |=2,|b |=1,则| a +2b |=___________.【答案】2 3【解析】方法一:| a 2b |2|a |2 4a b 4 | b |24 4 2 1cos 60 4 12,方法二:利用如下图形,可以判断出a2b的模长是以2为边长,一夹角为60°的菱形的对角线的长度,则为23.【名师点睛】平面向量中涉及有关模长的问题时,常用到的通法是将模长进行平方,利用向量数量积的知识进行解答,很快就能得出答案;另外,向量是一个工具型的知识,具备代数和几 何特征,在做这类问题时可以使用数形结合的思想,会加快解题速度.20.【2017 年高考江苏卷】如图,在同一个平面内,向量 O A ,OB ,OC 的模分别为 1,1, 2 ,OA 与 OC 的夹角为 ,且tan=7,O B 与 O C 的夹角为 45°.若 OC mOA nOB(m , n R ) ,则 m n___________.【答案】3【解析】由tan 7可得 sin7 2 10, c os2,根据向量的分解,10n cos 45mcos 2易得 ,即nsi n 45m sin 05 7m , n ,4 4m n 3 所以 .22n m 2 2 10 2 7 2n m 0 2105n m 10 ,即5n 7m 0 ,即得 【名师点睛】(1)向量的坐标运算将向量与代数有机结合起来,这就为向量和函数、方程、不等式的结合提供了前提,运用向量的有关知识可以解决某些函数、方程、不等式问题.类综合问题.通过向量的坐标运算,可将原问题转化为解不等式或求函数值域的问题,是此类 问题的一般方法.(3)向量的两个作用:①载体作用,关键是利用向量的意义、作用脱去“向量外衣”,转化为我们熟悉的数学问题;②工具作用,利用向量可解决一些垂直、平行、夹角与距离问题. 21.【2017 年高考天津卷理】在 △ABC 中, ∠A60, AB 3 , AC 2 .若 BD 2DC ,AEACAB (R ),且 AD AE4,则 的值为___________.3【答案】11【解析】由题可得AB AC 3 2 cos60 3, A D1 2AB AC 3 3,则 1 2 2 1 23 AD AE ( AB AC ) (AC AB )3 4 9 3 43 3 3 3 3 311.【名师点睛】根据平面向量基本定理,利用表示平面向量的一组基底可以表示平面内的任一向量,利用向量的定比分点公式表示向量,则可获解.本题中AB , AC 已知模和夹角,作为基底 易于计算数量积.22.【2017 年高考山东卷理数】已知 e , e 12是互相垂直的单位向量,若 3ee 与 ee 1212的夹角为60,则实数 的值是___________.【答案】33【解析】∵( 3ee ) (ee ) 3e 21 21213e1e e ee 21 2223,| 3ee | ( 3ee )121223e 212 3e e e1222 2,| ee | (e e )2e 2 2ee 2e 12 121122212,32 12cos6012,解得3 3.【名师点睛】(1)平面向量 a 与 b 的数量积为 a b |a || b | cos,其中 是 a 与 b 的夹角,要注意夹角的定义和它的取值范围:0180.,abab ,因此,利用平面向量的数量积可以解决与长度、角度、垂直等有关的问题.(3)本题主要利用向量的模与向量运算的灵活转换,应用平面向量的夹角公式,建立关于的方程求解.a 1,b 2,则a b a b的最小值是________,23.【2017年高考浙江卷】已知向量a,b满足最大值是___________.25【答案】4,【解析】设向量a,b的夹角为,则a b 1222212cos 54cos ,a b 1222212cos 54cos ,则a b a b 54cos 54cos ,令y 54cos 54cos ,则y21022516cos216,20,据此可得:a b a b 2025,a b a b 164,max min即a b a b的最小值是4,最大值是25.【名师点睛】本题通过设向量a,b的夹角为,结合模长公式,可得a b a b 54cos54cos ,再利用三角函数的有界性求出最大、最小值,属中档题,对学生的转化能力和最值处理能力有一定的要求.。
2017-2019全国卷理数解析2019全国I卷II卷III卷理数2018全国I卷II卷III卷理数2017全国I卷II卷III卷理数2019全国一卷高考理科数学试题解析1.已知集合}24|{<<-=x x M ,}06|{2<--=x x x N ,则=N M I ( )A.}34|{<<-x xB.}24|{-<<-x xC. }22|{<<-x x D. }32|{<<x xC解析:由题意可知,}32|{<<-=x x N ,又因为}24|{<<-=x x M ,则}22|{<<-=x x N M I ,故选C .2.设复数z 满足1z i -=,z 在复平面内对应的点为(,)x y ,则( )A.22(1)1x y ++=B.22(1)1x y -+= C.22(1)1x y +-=D.22(1)1x y ++= C解析:∵复数z 在复平面内对应的点为(,)x y ,∴z x yi =+ ∴1x yi i +-=∴22(1)1x y +-=3.已知2log 0.2a=,0.22b =,0.30.2c =,则( ) A.a b c <<B.a c b <<C.c a b <<D.b c a <<B解析:由对数函数的图像可知:2log 0.20a =<;再有指数函数的图像可知:0.221b =>,0.300.21c <=<,于是可得到:a c b <<.4.古希腊时期,人们认为最美人体的头顶至肚脐的长度与肚脐至足底的长度之比是215-(618.0215≈-称为黄金分割比例),著名的“断臂维纳斯”便是如此.此外,最美人体的头顶至咽喉的长度与咽喉至肚脐的长度之比也是215- .若某人满足上述两个黄金分割比例,且腿长为cm 105,头。
p = 1 的一个焦点,则 p = 2 4B .专题 07 平面解析几何(选择题、填空题)1.【2019 年高考全国Ⅰ卷理数】已知椭圆 C 的焦点为 F 1( - 1,0),F 2(1,0),过 F 2 的直线与 C 交于 A ,B两点.若 | AF |= 2 | F B | , | AB |=| BF | ,则 C 的方程为2 21A . x 2 2+ y 2= 1B . x 2 y 2+ = 13 2C . x 2 y 2+ = 14 3D . x 2 y 2+ = 15 42.【2019 年高考全国Ⅱ卷理数】若抛物线 y 2=2px(p >0)的焦点是椭圆A .2B .3C .4D .8x 2 3 p + y 23.【2019 年高考全国Ⅱ卷理数】设 F 为双曲线 C : x 2 y 2- a b 2= 1(a > 0, b > 0) 的右焦点, O 为坐标原点,以OF 为直径的圆与圆 x 2 + y 2 = a 2 交于 P ,Q 两点.若 PQ = OF ,则 C 的离心率为A . 2C .2B . 3D . 5x 2 y 24.【2019 年高考全国Ⅲ卷理数】双曲线 C : - =1 的右焦点为 F ,点 P 在 C 的一条渐近线上,O 为4 2坐标原点,若 PO = PF △,则 PFO 的面积为A . 3 2 3 2 2C . 2 2D . 3 25.【2019 年高考北京卷理数】已知椭圆A .a 2=2b 2C .a =2b x 2 y 2+ a 2 b 21 = 1 (a >b >0)的离心率为 ,则 2B .3a 2=4b 2D .3a =4bA.26.【2019年高考北京卷理数】数学中有许多形状优美、寓意美好的曲线,曲线C:x2+y2=1+|x|y就是其中之一(如图).给出下列三个结论:①曲线C恰好经过6个整点(即横、纵坐标均为整数的点);②曲线C上任意一点到原点的距离都不超过2;③曲线C所围成的“心形”区域的面积小于3.其中,所有正确结论的序号是A.①C.①②B.②D.①②③7.【2019年高考天津卷理数】已知抛物线y2=4x的焦点为F,准线为l,若l与双曲线x2y2-=1(a>0,b>0)的两条渐近线分别交于点A和点B,且|AB|=4|OF|(O为原点),则双曲a2b2线的离心率为A.2 C.2B.3 D.58.【2019年高考浙江卷】渐近线方程为x±y=0的双曲线的离心率是2B.1C.2D.29.【2018年高考北京卷理数】在平面直角坐标系中,记d为点P(cosθ,sinθ)到直线x-my-2=0的距离,当θ,m变化时,d的最大值为A.1 C.3B.2 D.4⎦⎦3B.3D.512.【2018年高考全国Ⅱ理数】已知F,F是椭圆C:a b222C.D.110.【2018年高考全国Ⅲ卷理数】直线x+y+2=0分别与x轴,y轴交于A,B两点,点P在圆(x-2)2+y2=2上,则△ABP面积的取值范围是A.[2,6] C.⎡⎣2,32⎤B.[4,8]D.⎡⎣22,32⎤x2y211.【2017年高考浙江卷】椭圆+=1的离心率是94A.1353C.2129x2y2+=1(a>b>0)的左、右焦点,A是C的左顶点,点P在过A且斜率为36的直线上,△PF F为等腰三角形,∠F F P=120︒,则C的离心率为1212A.C.2313B.D.121413.【2017年高考全国Ⅲ理数】已知椭圆C:x2y2+a b2=1(a>b>0)的左、右顶点分别为A1,A2,且以线段A1A2为直径的圆与直线bx-ay+2ab=0相切,则C的离心率为A.63B.33 233x214.【2018年高考浙江卷】双曲线-y2=1的焦点坐标是3A.(−2,0),(2,0)B.(−2,0),(2,0)C.(0,−2),(0,2)2 【 1b 2D .(0, 2),(0,2)15.【2017 年高考天津卷理数】已知双曲线x 2 y 2- a 2 b 2= 1(a > 0, b > 0) 的左焦点为 F ,离心率为 2 .若经过 F 和 P(0, 4) 两点的直线平行于双曲线的一条渐近线,则双曲线的方程为x 2 y 2A . - = 14 4x 2 y 2 C . - = 14 816.【2018 年高考全国Ⅱ理数】双曲线A . y = ± 2 xx 2 y 2- a b 2 x 2 y 2B . - = 18 8x 2 y 2D . - = 18 4= 1( a > 0, b > 0) 的离心率为 3 ,则其渐近线方程为B . y = ± 3xC . y = ± 2 2 xD . y = ± 3 2x17. 2017 年高考全国Ⅱ理数】若双曲线 C :所截得的弦长为 2,则 C 的离心率为x 2 y 2- a 2 b 2= ( a > 0 , > 0 )的一条渐近线被圆 (x - 2)2 + y 2 = 4A .2C . 2B . 3D . 2 3318.【2017 年高考全国 III 理数】已知双曲线 C : x 2 y 2 - a 2 b 2= 1 (a >0,b >0)的一条渐近线方程为 y =5 2 x ,x 2 y 2且与椭圆 + = 1 有公共焦点,则 C 的方程为12 3x 2 y 2A . - = 18 10x 2 y 2 C .-= 154x 2 y 2B . - = 14 5x 2 y 2D . - = 14 319.【2018 年高考全国 III 理数】设 F , F 是双曲线 C : 1 2 x2 y 2 -a b 2= 1(a > 0, b > 0) 的左、右焦点,O 是坐标222.【2018年高考全国I理数】已知双曲线C:-y2=1,O为坐标原点,F为C的右焦点,过F的直A.3原点.过F2作C的一条渐近线的垂线,垂足为P.若|PF1|=6|OP|,则C的离心率为A.5 C.3B.2 D.220.【2018年高考全国I理数】设抛物线C:y2=4x的焦点为F,过点(–,0)且斜率为2 3M,N两点,则FM⋅FN=的直线与C交于A.5 C.7B.6 D.821.【2017年高考全国I理数】已知F为抛物线C:y2=4x的焦点,过F作两条互相垂直的直线l1,l2,直线l1与C交于A、B两点,直线l2与C交于D、E两点,则|AB|+|DE|的最小值为A.16 C.12B.14 D.10 x23线与C的两条渐近线的交点分别为M,N.若△OMN为直角三角形,则|MN|= 2B.3C.23D.423.【2018年高考天津卷理数】已知双曲线x2y2-a2b2=1(a>0,b>0)的离心率为2,过右焦点且垂直于x轴的直线与双曲线交于A,B两点.设A,B到双曲线的同一条渐近线的距离分别为d和d,且12d+d=6,则双曲线的方程为12A.C.x2y2-=1412x2y2-=139B.D.x2y2-=1124x2y2-=19324.【2019年高考浙江卷】已知圆C的圆心坐标是(0,m),半径长是r.若直线2x-y+3=0与圆C相切26.【2019 年高考全国Ⅲ卷理数】设 F ,F 为椭圆 C: + = 1 的两个焦点,M 为 C 上一点且在第一象 36 202 1 【2于点 A(-2, -1) ,则 m =___________, r =___________.25.【2019 年高考浙江卷】已知椭圆 x 2 y 2+ = 1 的左焦点为 F ,点 P 在椭圆上且在 x 轴的上方,若线段 PF9 5的中点在以原点 O 为圆心, OF 为半径的圆上,则直线 PF 的斜率是___________.x 2 y 21 2限.若 △MF 1F 2 为等腰三角形,则 M 的坐标为___________.27.【2019 年高考全国Ⅰ卷理数】已知双曲线 C : x 2 y 2 - a b 2= 1(a > 0, b > 0) 的左、右焦点分别为 F 1,F 2,过 F 1 的直线与 C 的两条渐近线分别交于 A ,B 两点.若 F 1A = AB , F B ⋅ F 2 B = 0 ,则 C 的离心率为____________.28.【2019 年高考江苏卷】在平面直角坐标系 xOy 中,若双曲线 x 2 -双曲线的渐近线方程是 ▲.y 2 b 2= 1(b > 0) 经过点(3,4),则该29.【2019 年高考江苏卷】在平面直角坐标系 xOy 中,P 是曲线 y = x +4 x( x > 0) 上的一个动点,则点 P到直线 x +y =0 的距离的最小值是 ▲.30.【2018 年高考江苏卷】在平面直角坐标系 x Oy 中,A 为直线 l : y = 2x 上在第一象限内的点, B (5,0) ,以AB 为直径的圆 C 与直线 l 交于另一点 D .若 AB ⋅ C D = 0 ,则点 A 的横坐标为________.x 231.【2018 年高考浙江卷】已知点P(0,1),椭圆 +y 2=m (m >1)上两点 A ,B 满足 AP =2 PB ,则当4m =___________时,点 B 横坐标的绝对值最大.y 232.【2017 年高考北京卷理数】若双曲线 x 2 -= 1 的离心率为 3 ,则实数 m =_______________. m33. 2018 年高考江苏卷】在平面直角坐标系xOy 中,若双曲线 x2 y 2 - a b 2= 1(a > 0, b > 0) 的右焦点 F (c,0)到一条渐近线的距离为3 c ,则其离心率的值是________________.2【 2 【 1 y34. 2018 年高考北京卷理数】已知椭圆 M : x 2 y 2 x 2 y 2 + = 1(a > b > 0) ,双曲线 N : -a 2b 2 m 2 n 2= 1 .若双曲线 N的两条渐近线与椭圆 M 的四个交点及椭圆 M 的两个焦点恰为一个正六边形的顶点,则椭圆M 的离心率为________________;双曲线 N 的离心率为________________.35.【2017 年高考山东卷理数】在平面直角坐标系 x Oy 中,双曲线 x 2 y 2 - a 2 b 2= 1(a > 0, b > 0) 的右支与焦点为 F 的抛物线 x 2 = 2 px ( p > 0) 交于 A, B 两点,若 AF + BF = 4 OF ,则该双曲线的渐近线方程为_____________.x 236.【2017 年高考江苏卷】在平面直角坐标系 x Oy 中,双曲线 - y 2 = 1 的右准线与它的两条渐近线分别3交于点 P , Q ,其焦点是 F 1 , F 2 ,则四边形 F 1PF 2Q 的面积是_______________.37.【2017 年高考全国 I 理数】已知双曲线 C : x 2 y 2 - a b 2= 1(a > 0, b > 0) 的右顶点为 A ,以 A 为圆心,b为半径作圆 A ,圆 A 与双曲线 C 的一条渐近线交于 M ,N 两点.若∠MAN =60°,则 C 的离心率为_______________.38.【2017 年高考全国 II 理数】已知 F 是抛物线 C : y 2 = 8x 的焦点, M 是 C 上一点, FM 的延长线交 y轴于点 N .若 M 为 FN 的中点,则 FN = _______________.39. 2018 年高考全国Ⅲ理数】已知点 M (-1,) 和抛物线 C : 2 = 4 x ,过 C 的焦点且斜率为 k 的直线与 C交于 A , B 两点.若 ∠AMB = 90︒ ,则 k = ________.。
专题09三角函数1.【2019年高考全国Ⅰ卷理数】函数f(x)=sin x xcos x x2在[,]的图像大致为A.B.C.【答案】DD.【解析】由f(x)sin(x)(x)sin x xcos(x)(x)2cos x x2f(x),得f(x)是奇函数,其图象关于原点对称,排除A.又πf( )2π11π( )2242ππ1,πf(π)01π2,排除B,C,故选D.【名师点睛】本题考查函数的性质与图象,渗透了逻辑推理、直观想象和数学运算素养,采取性质法或赋值法,利用数形结合思想解题.解答本题时,先判断函数的奇偶性,得意到选项的区别,利用特殊值得正确答案.f(x)是奇函数,排除A,再注2.【2019年高考全国Ⅰ卷理数】关于函数f(x)sin| x||sin x|有下述四个结论:①f(x)是偶函数②f(x)在区间(2,)单调递增③f(x)在[,]有4个零点④f(x)的最大值为2其中所有正确结论的编号是A.①②④C.①④【答案】C B.②④D.①③【解析】 f x si n x sin x si n x sin x fx ,f x为偶函数,故①正确.当π2x π时,f x2si n x ,它在区间单调递减,故②错误.2,21当0x π时,f x 2sin x,它有两个零点:0;当πx 0时,f x sinxsin x2sin x,它有一个零点:π,故 f x 在,有3个零点:0,故③错误.当x 2k,2kk N 时, f x2si nx;当x 2k ,2k2kN时,f x si nx si nx,又0fx为偶函数, fx的最大值为2,故④正确.综上所述,①④正确,故选C.【名师点睛】本题也可画出函数 f x si n x sin x的图象(如下图),由图象可得①④正确.3.【2019年高考全国Ⅱ卷理数】下列函数中,以2为周期且在区间(4,2)单调递增的是A.f(x)=|cos2x|C.f(x)=cos|x|【答案】A【解析】作出因为y sin|x|B.f(x)=|sin2x|D.f(x)=sin|x|的图象如下图1,知其不是周期函数,排除D;因为y cos x cos x,周期为2π,排除C;作出y cos2x图象如图2,由图象知,其周期为π2,在区间(,)单调递增,A正确;42作出y sin2x的图象如图3,由图象知,其周期为π2,在区间(,)单调递减,排除B,42故选A.图12图 2图 3【名师点睛】本题主要考查三角函数的图象与性质,渗透直观想象、逻辑推理等数学素养,画出各函数图象,即可作出选择.本题也可利用二级结论:①函数 ysin x ② 不是周期函数.y f ( x )的周期是函数y f ( x )周期的一半;4.【2019 年高考全国Ⅱ卷理数】已知 α∈(0,2),2sin2α=cos2α+1,则 sin α=A .1 5B .55C .33D .2 55【答案】B【 解 析 】2sin 2α cos2 α 1,4sin α cos α 2cos 2 α .α0, ,cos α 0 , sin α 0,2sin α cos α,又 s in 2cos211 ,5sin2 α 1,sin 2 α ,又 s in 0 5, s in55,故选 B .【名师点睛】本题是对三角函数中二倍角公式、同角三角函数基本关系式的考查,中等难度,判断正余弦的正负,运算准确性是关键,题目不难,需细心,解决三角函数问题,研究角的范围后得出三角函数值的正负很关键,切记不能凭感觉.解答本题时,先利用二倍角公式得到正余弦关系,再利用角范围及 正余弦平方和为 1 关系得出答案.325.【2019年高考全国Ⅲ卷理数】设函数f x =sin(x5)(>0),已知f x 在0,2有且仅有5个零点,下述四个结论:①f x在(0,2)有且仅有3个极大值点②fx在(0,2)有且仅有2个极小值点③fx 在(0,10)单调递增④的取值范围是[1229,) 510其中所有正确结论的编号是A.①④C.①②③【答案】D B.②③D.①③④【解析】①若f(x)在[0,2π]上有5个零点,可画出大致图象,由图1可知,f(x)在(0,2π)有且仅有3个极大值点.故①正确;②由图1、2可知,f(x)在(0,2π)有且仅有2个或3个极小值点.故②错误;④当πkπ=sin()=0时,x =kπ(k∈Z),所以555,因为f(x)在[0,2π]上有5个零点,所以当k=5时,x 5ππ52ππ6π,当k=6时,5f x xxx2π1229,解得ω,514故④正确.③函数f x=si n(xπππ)的增区间为:2kπx 2kπ5252,732k π2kπ1010.取k=0,当1271时,单调递增区间为πx π,5248当2973时,单调递增区间为πx π102929,综上可得,πf x0,10单调递增.故③正确.所以结论正确的有①③④.故本题正确答案为D.【名师点睛】本题为三角函数与零点结合问题,难度大,可数形结合,分析得出答案,要求高,理解深度高,考查数形结合思想.注意本题中极小值点个数是动态的,易错,正确性考查需认真计算,易出错.6.【2019年高考天津卷理数】已知函数f(x)A s in(x )(A 0,0,||)是奇函数,将y fx的图象上所有点的横坐标伸长到原来的2倍(纵坐标不变),所得图象对应的函数为g x.若g x的最小正周期为2π,且g 2,则f3A.2B.2C.2D.2【答案】C【解析】∵f(x)为奇函数,∴f(0)A sin 0,=kπ,k Z ,k 0,0;又g(x)A sin 12πx ,T 2π,212∴2,又πg()42,∴A 2,∴f(x)2sin2xx在48,f(3π8)2.故选C.【名师点睛】本题主要考查函数的性质和函数的求值问题,解题关键是求出函数5gx,再根据函数性质逐步得出A,,的值即可.7.【2018年高考全国Ⅲ卷理数】若s in 1,则cos2 3A.89B.79C.79D.89【答案】B【解析】cos 212sin2112()3279.故选B.【名师点睛】本题主要考查三角函数的求值,考查考生的运算求解能力,考查的核心素养是数学运算. 8.【2018年高考全国卷II理数】若f x cosx si n x在a,a是减函数,则a的最大值是A.C.π43π4B.D.π2π【答案】A【解析】因为f x cosx sin xπ2cos x4,所以由02kπx ππ3ππ2kπ(k Z)得2kπx 2kπ(k Z) 444,因此a,a π3ππ3πππ,,a a,a ,a ,0a ,从而a的最大值为,444444故选A.【名师点睛】解答本题时,先确定三角函数单调减区间,再根据集合包含关系确定a的最大值.函数y A sin x B(A 0,0)的性质:(1)ymax =A+B,yminA B.(2)周期T 2.(3)由x π2kπk Z求对称轴.(4)由πππ3π2kπx 2kπk Z求增区间;由2kπx22222kπk Z 求减区间.69.【2018 年高考天津理数】将函数ysin(2 x )5的图象向右平移10个单位长度,所得图象对应的函数A .在区间[3 5, ]4 4 上单调递增B .在区间[3 4, ]上单调递减C .在区间 [5 3, ]4 2上单调递增D .在区间 [32, 2]上单调递减【答案】A【解析】由函数图象平移变换的性质可知:将y sin 2 xππ y sin 2 xsin2 x 析式为 .10 5π 5π的图象向右平移 个单位长度之后的解 10则函数的单调递增区间满足 2k ππ π π π2 x 2k π k Z ,即 k π x k π k Z 2 2 4 4,令 k 1 可得一个单调递增区间为函数的单调递减区间满足: 2k π3π 5π.π3π π 3π2 x 2k π k Z ,即 k π x k π2 2 4 4 k Z,令 k 1 可得一个单调递减区间为:5π 7π.故选 A.【名师点睛】本题主要考查三角函数的平移变换,三角函数的单调区间的判断等知识,意在考查学生的 转化能力和计算求解能力.10.【2018 年高考浙江卷】函数 y = 2 xsin2x 的图象可能是 A .B .,4 4, 4 47C .D .【答案】D【解析】令fx 2xsin2 x ,因为 x R , fx 2xsin2x 2 xsin2 xfx,所以fx2x si n 2 x为奇函数,排除选项 A ,B ;因为xπ, π 时, f x 0,所以排除选项 C ,故选 D.π【名师点睛】解答本题时,先研究函数的奇偶性,再研究函数在 , π上的符号,即可作出判断.有关函数图象的识别问题的常见题型及解题思路:(1)由函数的定义域,判断图象的左、右位置,由函数的值域,判断图象的上、下位置; (2)由函数的单调性,判断图象的变化趋势;(3)由函数的奇偶性,判断图象的对称性;(4)由函数的周期性,判断图象的循环往复.11.【2017 年高考全国Ⅰ理数】已知曲线 C :y =cos x ,C :y =sin (2x + 12 2π 3),则下面结论正确的是πA .把 C 上各点的横坐标伸长到原来的 2 倍,纵坐标不变,再把得到的曲线向右平移 个单位长度,得6到曲线 C2B .把C 上各点的横坐标伸长到原来的 2 倍,纵坐标不变,再把得到的曲线向左平移 1到曲线 C2π12个单位长度,得 1 πC .把 C 上各点的横坐标缩短到原来的 倍,纵坐标不变,再把得到的曲线向右平移 个单位长度,得2 6到曲线 C 2D .把 C 上各点的横坐标缩短到原来的 11 π 倍,纵坐标不变,再把得到的曲线向左平移 个单位长度,2 12得到曲线 C 22 2 18【答案】D【解析】因为C,C12函数名不同,所以先将C利用诱导公式转化成与C相同的函数名,则21C:y sin(2x22π2πππ1 )cos(2x )cos(2x ),则由C上各点的横坐标缩短到原来的倍变33262为y cos2x,再将曲线向左平移π12个单位长度得到C2,故选D.【名师点睛】对于三角函数图象变换问题,首先要将不同名函数转换成同名函数,利用诱导公式,需要重点记住sinπcos(),cos2sin(π2);另外,在进行图象变换时,提倡先平移后伸缩,而先伸缩后平移在考试中也经常出现,无论哪种变换,记住每一个变换总是对变量12.【2017年高考全国Ⅲ理数】设函数f x cos(x),则下列结论错误的是3x而言.A.f(x)的一个周期为2πB.y f(x) C.f(x π)的图象关于直线xπ的一个零点为x68π3对称D.f(x)π在(,π)单调递减2【答案】D【解析】函数f(x)的最小正周期为T 2π12π,则函数f(x)的周期为T 2kπk Z,取k1,可得函数fx的一个周期为2π,选项A正确;函数f(x)图象的对称轴为x ππkπk Z,即x kπk Z33,取k 3,可得y=f(x)的图象关8π对称,选项B正确;于直线x3ππf x πcos x πcos x33,函数f(x)ππ的零点满足x kπk Z32,即x kππ6k Z ,取k 0,可得f(x π)的一个零点为x π6,选项C正确;当x π,π2时,π5π4πx ,363,函数f(x)在该区间内不单调,选项D错误.故选D.1π【名师点睛】(1)求最小正周期时可先把所给三角函数式化为y A sin(x )或y A cos(x)9的形式,则最小正周期为T2 π;奇偶性的判断关键是解析式是否为 y A s inx或 y A cosx b的形式.(2)求fxAsi n (x)的对称轴,只需令xk ππ 2k Z,求 x ;求 f (x )的对称中心的横坐标,只需令xk π(k Z )即可.13.【2017 年高考天津卷理数】设函数f ( x ) 2sin(x),x R ,其中 0 , ||.若 f (58) 2,f () 0 8,且 f ( x )的最小正周期大于 2,则A .C .2,3121,324B .D .2,3121,324【答案】A52k8【解析】由题意得11k 82,其中 k , kZ 12,所以42 (k2k )33,又T22,所以 01,所以231, 2k, 12由得12,故选 A .【名师点睛】关于y A s in(x )的问题有以下两种题型:①提供函数图象求解析式或参数的取值范围,一般先根据图象的最高点或最低点确定 A ,再根据最小 正周期求,最后利用最高点或最低点的坐标满足解析式,求出满足条件的 的值;②题目用文字叙述函数图象的特点,如对称轴方程、曲线经过的点的坐标、最值等,根据题意自己画 出大致图象,然后寻求待定的参变量,题型很活,一般是求或 的值、函数最值、取值范围等.14.【2019 年高考北京卷理数】函数 f (x )=sin 22x 的最小正周期是__________.π【答案】2【解析】函数fx si n 22x1 cos 4 xπ ,周期为 .22【名师点睛】本题主要考查二倍角的三角函数公式 三角函数的最小正周期公式,属于基础题.将所给的 函数利用降幂公式进行恒等变形,然后求解其最小正周期即可.122 111015.【2019年高考江苏卷】已知tan tanπ23,则sin 2π4的值是▲.2【答案】10【解析】由tan tan tan 1t a n2πtan 1tan 1341tan,得3tan25tan 20,解得tan 2,或tan 1 3 .πππsin 2sin 2cos cos 2sin444222sin cos cos2sin sin 2cos 2=22sin 2 cos22=22t an 1tan 2tan212,当tan 2时,上式=2221222 =;222110当tan 13时,上式=22[112()1()331()21322]= .10π2综上,s in 2.410【名师点睛】本题考查三角函数的化简求值,渗透了逻辑推理和数学运算素养.采取转化法,利用分类讨论和转化与化归思想解题.由题意首先求得tan 的值,然后利用两角和的正弦公式和二倍角公式将原问题转化为齐次式求值的问题,最后切化弦求得三角函数式的值即可.16.【2018年高考全国Ⅰ理数】已知函数 f x2si n x sin2x,则fx的最小值是_____________.【答案】33 2【解析】f x2cos x 2cos2x 4cos2x 2cos x 24cos x 1cos x 12,4 tan11所以当c os x11时函数单调递减,当c os x22时函数单调递增,从而得到函数的递减区间为5ππππ2kπ,2kπk Z,函数的递增区间为2kπ,2kπ3333k Z ,所以当x 2kππ3,k Z时,函数fx取得最小值,此时s in x33,sin2x22,所以f xmin3333222233,故答案是.2【名师点睛】该题考查的是有关应用导数研究函数的最小值问题,在求解的过程中,需要明确相关的函数的求导公式,需要明白导数的符号与函数的单调性的关系,确定出函数的单调增区间和单调减区间,进而求得函数的最小值点,从而求得相应的三角函数值,代入求得函数的最小值.ππ17.【2018年高考北京卷理数】设函数f(x)=cos(x )(0),若f(x)f()64则ω的最小值为__________.对任意的实数x都成立,【答案】23【解析】因为fxfπ对任意的实数x都成立,所以fπ取最大值,所以ππ22kπk Z ,8k k Z463,因为0,所以当k 0时,ω取最小值为23.【名师点睛】本题主要考查三角函数的图象和性质,考查考生的逻辑推理能力以及运算求解能力,考查的核心素养是逻辑推理、数学运算.π18.【2018年高考全国Ⅲ理数】函数f x cos3x 在0,π的零点个数为________.6【答案】3【解析】0x πππ19ππππ3ππ5π,3x ,由题可知3x ,3x ,或3x666626262,解π4π7π得x ,,或,故有3个零点.999【名师点睛】本题主要考查三角函数的图象与性质,考查数形结合思想和考生的运算求解能力,考查的核心素养是数学运算.441219.【2018 年高考江苏卷】已知函数 y sin2x(π ππ ) 的图象关于直线 x223对称,则的值是________.【答案】π 6【解析】由题意可得s in2 3π1,所以2 πππk π, k π(k Z ) 32 6,因为π ππ,所以 k 0, . 226【名师点睛】由对称轴得 2πππk π, k π(k Z ) 326,再根据限制范围求结果.函数 y A sinxB(A >0,ω>0)的性质:(1)y maxA B , yminA B;(2)最小正周期T2 π;(3)由xπ2k π k Z求对称轴;(4)由π π π3π2k πx 2k π k Z 求增区间;由 2k π x 2k π k Z 22 22求减区 间.20.【2017 年高考全国Ⅱ理数】函数 f x si n 2x 3 cos x3π( x 0,42)的最大值是.【答案】1【解析】化简三角函数的解析式:313 f x1 cos x 3 cos xcos x 3 cos xcos x 1 442,由自变量的范围:πx 0,2可得:cos x 0,1,当cos x32时,函数f x取得最大值 1.【名师点睛】本题经三角函数式的化简将三角函数的问题转化为二次函数的问题,二次函数、二次方程22 2与二次不等式统称“三个二次”,它们常结合在一起,有关二次函数的问题,数形结合,密切联系图象是探求解题思路的有效方法.一般从:①开口方向;②对称轴位置;③判别式;④端点函数值符号四个方面分析.1321.【2017 年高考北京卷理数】在平面直角坐标系 xOy 中,角 α 与角 β 均以 Ox 为始边,它们的终边关于 y轴对称.若sin1 3,则cos()=___________.【答案】79【 解 析 】 因 为 和关 于轴 对 称 , 所 以π 2k π, k Z, 那 么s i nsi n1 3,coscos2 2 2 2 (或 coscos33),所以coscoscossinsincos2sin 22sin 217 9.【名师点睛】本题考查了角的对称关系,以及诱导公式,常用的一些对称关系包含:若与的终边关于 轴对称,则π 2k π, k Z ,若与 的终边关于 x 轴对称,则2k π, k Z,若与的终边关于原点对称,则π 2k π, k Z.22.【2018 年高考全国Ⅱ理数】已知s in α cos β1,cos α sin β,则 sin(αβ )__________.【答案】12【解析】因为 sincos1, cossin0 ,所以1si ncos 1,所以 sin11 ,cos2 2,因此 sinsi ncoscos sin1 111 1 1cos 2 1sin 2 1 . 2 2 4 4 4 2【名师点睛】本题主要考查三角恒等变换,考查考生分析问题、解决问题的能力,考查的核心素养是数 学运算.π 1 23.【2017 年高考江苏卷】若 tan( ) , 4 6 7【答案】5则 tan▲.【解析】tantan[() ]4 41 tan( ) tan 14 4 61 5 4 4 67 .故答案为 .5【考点】两角和的正切公式【名师点睛】三角函数求值的三种类型(1)给角求值:关键是正确选用公式,以便把非特殊角的三角函数转化为特殊角的三角函数.(2)给值求值:关键是找出已知式与待求式之间的联系及函数的差异.一般有如下两种思路:yy2 271tan( ) tan 114①适当变换已知式,进而求得待求式的值;②变换待求式,便于将已知式的值代入,从而达到解题的目的.(3)给值求角:实质是转化为“给值求值”,先求角的某一函数值,再求角的范围,进而确定角.24.【2019年高考浙江卷】设函数f(x)sin x,x R.(1)已知[0,2),函数f(x )是偶函数,求的值;(2)求函数y [f(x )]2[f(x)]2124的值域.【答案】(1)π3π或;(2)22[133,1]22.【解析】(1)因为f(x )sin(x )是偶函数,所以,对任意实数x都有sin(x )sin(x ),即sin x c os cos x s in si n x cos cos x sin ,故2sin x cos 0,所以cos 0.又[0,2π),因此π3π或.22(2)y fππππππ1cos2x 1cos2x621331cos2x sin2x22222132πcos2x3.因此,函数的值域是[133,1]22.【名师点睛】本题主要考查三角函数及其恒等变换等基础知识,同时考查运算求解能力.25.【2017年高考浙江卷】已知函数f(x)sin2x cos2x 23sin x cos x(x R).(1)求f(23)的值.(2)求f(x)的最小正周期及单调递增区间.22x f x sin2x sin2x12412415【答案】(1)2;(2)f(x)的最小正周期是;单调递增区间是[2k ,63k ],k Z.【解析】(1)由sin 233221,c os32,23131f()()2()223()32222.得f(23)2.(2)由cos2x cos2x sin2x与s in2x 2sin x cos x得f(x)cos 2x 3sin2x 2sin(2x )6.所以f(x)的最小正周期是.3由正弦函数的性质得2k 2x 2k ,k Z262,解得2k x k ,k Z 63,所以,f(x)的单调递增区间是[2k ,k ],k Z 63.【名师点睛】本题主要考查了三角函数的化简,以及函数y A sinx的性质,是高考中的常考知识点,属于基础题,强调基础的重要性;三角函数解答题中,涉及到周期,单调性,单调区间以及最值等考点时,都属于考查三角函数的性质,首先应把它化为三角函数的基本形式即y A sin u后利用三角函数的性质求解.y A sin x ,然26.【2017年高考江苏卷】已知向量a (cos x,sin x),b (3,3),x [0,π].(1)若a∥b,求x的值;(2)记f(x)ab,求f(x)的最大值和最小值以及对应的x的值.【答案】(1)x 5π5π;(2)x 0时,f x取到最大值3;x 时,66fx取到最小值23.【解析】(1)因为a (cos x,sin x),b (3,3),a∥b,所以3cos x 3sin x.若cos x 0,则sin x 0,与sin2x cos2x 1矛盾,故cos x 0.3于是tan x .3又x 0,π,所以x5π.616(2)f ( x ) a b (cos x ,sin x ) (3, 3) 3cos x 3 sin x 2 3 cos( xπ 6).因为 x 0,π,所以x π π 7π [ , ] 66 6,从而 1cos( xπ 3) .6 2于是,当xπ π6 6,即x时,f x取到最大值 3;当xπ5π,即 x 时, 66fx取到最小值 2 3 . 27.【2018 年高考浙江卷】已知角 α 的顶点与原点 O 重合,始边与 x 轴的非负半轴重合,它的终边过点 P3 4).( ,- 5 5(1)求 sin (α+π)的值;(2)若角 β 满足 sin (α+β)=513,求 cos β 的值.456 16 【答案】(1) ;(2) cos 或 c os 5 65 65.【解析】(1)由角 的终边过点 3 44 P ( , ) 得 s in5 55,所以 sin(π) sin4 5.(2)由角 的终边过点 3 4 3 P ( , ) 得 cos 5 5 5,由 sin()5 12 得 c os() 13 13.由()得c oscos()cossin()sin,所以cos5616或 cos. 6565【名师点睛】本题主要考查三角函数的定义、诱导公式、两角差的余弦公式,考查考生分析问题、解 决问题的能力,运算求解能力,考查的数学核心素养是数学运算.求解三角函数的求值问题时,需综合应用三角函数的定义、诱导公式及三角恒等变换.(1)首先利用三角函数的定义求得sin,然后利用诱导公式,计算 sin (α+π)的值;(2)根据 sin (α+β)的值,结合同角三角函数的基本关系,计算cos()的值,要注意该值的正负,然后根据(),利用两角差的余弦公式,通过分类讨论,求得 cos β 的值.28.【2018年高考江苏卷】已知,为锐角,tan43,cos()55.17(1)求cos2的值;(2)求tan()的值.【答案】(1)72;(2).2511【解析】(1)因为tan4sin,tan3cos,所以sin43cos .因为sin2cos21,所以cos2925,因此,c os 22cos21725.(2)因为,为锐角,所以(0,).又因为cos()55,所以sin()1cos2()255,因此tan()2.因为tan42tan24,所以tan 231tan 2 7,因此,tan()tan[2()]tan 2tan()21tan 2tan()11.【名师点睛】本小题主要考查同角三角函数关系、两角和(差)及二倍角的三角函数,考查运算求解能力.三角函数求值的三种类型:(1)给角求值:关键是正确选用公式,以便把非特殊角的三角函数转化为特殊角的三角函数.(2)给值求值:关键是找出已知式与待求式之间的联系及函数的差异.一般有如下两种思路:①适当变换已知式,进而求得待求式的值;②变换待求式,便于将已知式的值代入,从而达到解题的目的.(3)给值求角:实质是转化为“给值求值”,先求角的某一函数值,再求角的范围,进而确定角.29.【2017年高考山东卷理数】设函数ππf(x)sin(x )sin(x )62,其中03.已知πf( )6.(1)求;18(2)将函数y f(x)的图象上各点的横坐标伸长为原来的2倍(纵坐标不变),再将得到的图象向左平移π4个单位,得到函数y g(x)的图象,求g(x)π3π在[,]44上的最小值.【答案】(1)2;(2)最小值为32.【解析】(1)因为ππf(x)sin(x )sin(x )62,所以f(x)31sin x cos x cos x2233sin x cos22x133(sin x cos22x)π3s in(x )3.由题设知πf( )6,所以ππkπ63,k Z.故6k 2,k Z,又03,所以2.(2)由(1)得f(x)3sin2x3.所以g(x)3sin x 3sin x4312.因为x[π3π,]44,所以x 2,1233,所以当x ,即x1234时,g(x)取得最小值32.【名师点睛】此类题目是三角函数问题中的典型题目,可谓相当经典.解答本题时,关键在于能利用三19角公式化简函数、进一步讨论函数的性质,本题易错点在于一是图象的变换与解析式的对应,二是忽视设定角的范围.难度不大,能较好地考查考生的基本运算求解能力及复杂式子的变形能力等.20。
专题03导数及其应用(选择题、填空题)1.【2019年高考全国Ⅲ卷理数】已知曲线y a e x x ln x在点(1,a e)处的切线方程为y=2x+b,则A.a e,b1B.a=e,b=1C.a e 1,b 1D.a e 1,b 1【答案】D【解析】∵y ae x ln x 1,∴切线的斜率k y |a e 12x 1,a e 1,将(1,1)代入y 2x b,得2b 1,b1.故选D.【名师点睛】本题求解的关键是利用导数的几何意义和点在曲线上得到含有a,b的等式,从而求解,属于常考题型.2.【2018年高考全国Ⅰ卷理数】设函数f(x)x3(a 1)x2ax.若f(x)为奇函数,则曲线y f(x)在点(0,0)处的切线方程为A.C.y 2xy 2xB.D.y xy x【答案】D【解析】因为函数是奇函数,所以,解得,所以,,所以,所以曲线在点处的切线方程为,化简可得.故选D.【名师点睛】该题考查的是有关曲线在某个点处的切线方程的问题,在求解的过程中,首先需要确定函数解析式,此时利用到结论多项式函数中,奇函数不存在偶次项,偶函数不存在奇次项,从而求得相应的参数值,之后利用求导公式求得,借助于导数的几何意义,结合直线方程的点斜式求得结果.3.【2017年高考全国Ⅱ卷理数】若A.1x2是函数f(x)(x2ax 1)e x 132eB.的极值点,则f(x)的极小值为1C.5e 3D.1【答案】A【解析】由题可得f (x)(2x a)e x 1(x2ax 1)e x 1[x2(a 2)x a 1]e x 1,因为f (2)0,所以a1,f(x)(x2x 1)e x1,故f (x)(x2x 2)e x 1,令f (x)0,解得x 2或x 1,所以f(x)在(,2),(1,)上单调递增,在(2,1)上单调递减,所以f(x)的极小值为f(1)(111)e 111.故选A.【名师点睛】(1)可导函数y=f(x)在点x处取得极值的充要条件是f′(x)=0,且在x左侧与右侧f′(x)000的符号不同;(2)若f(x)在(a,b)内有极值,那么f(x)在(a,b)内绝不是单调函数,即在某区间上单调增或减的函数没有极值.4.【2017年高考浙江】函数y=f(x)的导函数y f (x)的图象如图所示,则函数y=f(x)的图象可能是【答案】D【解析】原函数先减再增,再减再增,且x 0位于增区间内,因此选D.【名师点睛】本题主要考查导数图象与原函数图象的关系:若导函数图象与x轴的交点为x,且图象在x 0两侧附近连续分布于x轴上下方,则x为原函数单调性的拐点,运用导数知识来讨论函数单调性时,由导函数f (x)的正负,得出原函数f(x)的单调区间.5.【2018年高考全国Ⅱ卷理数】函数f x e xex2x的图像大致为2【答案】B【解析】x 0, fx e x e xx2f x ,f x为奇函数,舍去A;f1e e 1,∴舍去D;fx ex e xx 2e x ex2x x4x 2e x x 2ex3x,x 2时,f x,f(x)单调递增,舍去C.因此选B.【名师点睛】有关函数图象识别问题的常见题型及解题思路:(1)由函数的定义域,判断图象左右的位置,由函数的值域,判断图象的上下位置;(2)由函数的单调性,判断图象的变化趋势;(3)由函数的奇偶性,判断图象的对称性;(4)由函数的周期性,判断图象的周期性.6.【2018年高考全国Ⅲ卷理数】函数yx 4x22的图像大致为3【答案】D【解析】函数图象过定点(0,2),排除A,B;令y f(x)x42321),由f (x)0得2x(2x21)0,得x22或0x22,此时函数单调递增,由f (x)0得2x(2x21)0,得x22或22x 0,此时函数单调递减,排除C.故选D.【名师点睛】本题主要考查函数的图象的识别和判断,利用函数图象过的定点及由导数判断函数的单调性是解决本题的关键.7.【2019年高考天津理数】已知a R,设函数f(x)上恒成立,则a的取值范围为在Rx22a x 2a,x 1,x a ln x,x 1.若关于x的不等式f(x)0A.C.0,10,eB.D.0,21,e【答案】C【解析】当x 1时,f(1)12a 2a 10恒成立;当x 1时,f(x)x22a x 2a 02ax2x 1恒成立,令g(x)x2x 1,x2(1x 1)2(1x)22(1x)1则g(x)1x1x1x111x 22(1x)20,1x 1x当1x11x,即x 0时取等号,∴2a g(x)0max,则a 0x 2,则f (x)4x 2x 2x(2x.4当x 1时,f ( x ) x a ln x 0,即ax ln x恒成立,令h ( x )x ln x,则h (x)ln x 1 (ln x )2 ,当 xe 时, h (x) 0,函数h ( x )单调递增,当0 x e时, h(x) 0 ,函数 h ( x )单调递减,则 xe 时,h ( x )取得最小值h (e) e,∴a h ( x ) e min,综上可知, a 的取值范围是[0,e]. 故选 C.【名师点睛】本题考查分段函数的最值问题,分别利用基本不等式和求导的方法研究函数的最值,然后 解决恒成立问题.8.【2019 年高考浙江】已知x, x0 a , b R ,函数 f ( x )1 1x 3 (a 1)x 322ax , x 0.若函数 y f ( x ) ax b恰有 3 个零点,则 A .a <–1,b<0C .a >–1,b<0 【答案】CB .a <–1,b >0D .a >–1,b >0【解析】当 x <0 时,y =f (x )﹣ax ﹣b =x ﹣ax ﹣b =(1﹣a )x ﹣b =0,得 x 则 y =f (x )﹣ax ﹣b 最多有一个零点;,当 x ≥0 时,y =f (x )﹣ax ﹣b xyx 2 (a 1)x ,(a +1)x +ax ﹣ax ﹣bx(a+1)x ﹣b ,当 a +1≤0,即 a ≤﹣1 时,y ′≥0,y =f (x )﹣ax ﹣b 在[0,+∞)上单调递增,则 y =f (x )﹣ax ﹣b 最多有一个零点,不合题意;当 a +1>0,即 a >﹣1 时,令 y ′>0 得 x ∈(a+1,+∞),此时函数单调递增,令 y ′<0 得 x ∈[0,a +1),此时函数单调递减,则函数最多有 2 个零点.根据题意,函数 y =f (x )﹣ax ﹣b 恰有 3 个零点⇔函数 y =f (x )﹣ax ﹣b 在(﹣∞,0)上有一个零点,5323 2在[0,+∞)上有 2 个零点, 如图:∴< 0 且><,解得 b <0,1﹣a >0,b >(a+1),则 a >–1,b <0.故选 C .【名师点睛】本题考查函数与方程,导数的应用.当 x <0 时,y =f (x )﹣ax ﹣b =x ﹣ax ﹣b =(1﹣a )x﹣b 最多有一个零点;当 x ≥0 时,y =f (x )﹣ax ﹣bx3(a +1)x﹣b ,利用导数研究函数的单调性,根据单调性画出函数的草图,从而结合题意可列不等式组求解.9.【2017 年高考全国Ⅲ卷理数】已知函数f ( x ) x 22 x a (e x 1ex 1 )有唯一零点,则 a =A .12 B .1 3C .1 2D .1【答案】C【解析】函数 f ( x )的零点满足 x22 xae x1ex 1,设gx ex 1ex 1,则gx ex 1e x 1 e x1e1x1e 2 x 1e x 11,当gx 0时,x 1;当x1时,gx 0,函数g x单调递减;当 x 1 时, gx 0,函数g x单调递增,3 26当x 1时,函数g x 取得最小值,为g12.设hxx 22x,当x 1时,函数hx取得最小值,为1,若a 0,函数hx 与函数agx没有交点;若a 0,当ag1h 1时,函数h x 和ag x有一个交点,即a21,解得a12.故选C.【名师点睛】函数零点的应用主要表现在利用零点求参数范围,若方程可解,通过解方程即可得出参数的范围,若方程不易解或不可解,则将问题转化为构造两个函数,利用两个函数图象的关系求解,这样会使得问题变得直观、简单,这也体现了数形结合思想的应用.10.【2019年高考全国Ⅰ卷理数】曲线3x y 0【答案】y 3(x2x)e x在点(0,0)处的切线方程为____________.【解析】y 3(2x 1)e x 3(x2x)e x 3(x23x 1)e x,所以切线的斜率k y |3x 0,则曲线y 3(x2x)e x在点(0,0)处的切线方程为y 3x,即3x y 0.【名师点睛】准确求导数是进一步计算的基础,本题易因为导数的运算法则掌握不熟,而导致计算错误.求导要“慢”,计算要准,是解答此类问题的基本要求.11.【2018年高考全国Ⅱ卷理数】曲线【答案】y 2ln(x 1)在点(0,0)处的切线方程为__________.【解析】,在点()处切线的斜率为,则所求的切线方程为.【名师点睛】求曲线的切线要注意“过点P的切线”与“在点P处的切线”的差异,过点P的切线中,点P不一定是切点,点P 也不一定在已知的曲线上,而在点P处的切线,必以点P为切点.12.【2018年高考全国Ⅲ卷理数】曲线yax 1ex在点 0,1处的切线的斜率为2,则a________.【答案】【解析】 ya exax 1e x,则 y| x 0a 1 2,所以.【名师点睛】本题主要考查导数的计算和导数的几何意义,属于基础题.713.【2019 年高考江苏】在平面直角坐标系 xOy 直线 x y 0 .的距离的最小值是 ▲中,P 是曲线 y x4x( x 0)上的一个动点,则点 P 到【答案】4【解析】由y x44 ( x 0) ,得 y 1x x 2,设斜率为 1的直线与曲线y x 4x( x 0) 切于4 ( x , x ) 0 0 0,由411 x 2得x2 ( x2 0舍去),∴曲线y x4x( x 0) 上,点 P ( 2,3 2) 到直线x y 0的距离最小,最小值为2 3 212 124.故答案为 4 .【名师点睛】本题考查曲线上任意一点到已知直线的最小距离,渗透了直观想象和数学运算素养.采取 导数法,利用数形结合和转化与化归思想解题.14.【2018 年高考全国Ⅰ卷理数】已知函数【答案】【解析】f x2si n x sin2 x ,则 fx的最小值是_____________.,所以当时函数单调递减,当时函数单调递增,从而得到函数的递减区间为2k π5π π , 2k π k Z 3 3,函数的递增区间为2k ππ π, 2k π k Z 3 3,所以当x 2k ππ 3, k Z时,函数取得最小值,此时,所以,故答案是.【名师点睛】该题考查的是有关应用导数研究函数的最小值问题,在求解的过程中,需要明确相关的8x函数的求导公式,需要明白导数的符号与函数的单调性的关系,确定出函数的单调增区间和单调减区间,进而求得函数的最小值点,从而求得相应的三角函数值,代入求得函数的最小值.15.【2019年高考江苏】在平面直角坐标系xOy中,点A在曲线y=ln x上,且该曲线在点A处的切线经过点(-e,-1)(e为自然对数的底数),则点A的坐标是▲.【答案】(e, 1)【解析】设出切点坐标,得到切线方程,然后求解方程得到横坐标的值,可得切点坐标.设点A x,y00,则y ln x00.又当1yxx x,时,y1x,则曲线y ln x在点A处的切线为1y y (x x)x,即xx ln x 1x,将点e,1代入,得e1ln x 1x,即x ln x e00,考察函数H x xl n x,当x 0,1时,H x0,当x 1,时,H x0,且H x ln x 1,当x 1时,H x0,H x单调递增,注意到Hee,故x ln x e00存在唯一的实数根x e,此时y 1000,故点A的坐标为e,1.9【名师点睛】导数运算及切线的理解应注意的问题:一是利用公式求导时要特别注意除法公式中分子的符号,防止与乘法公式混淆.二是直线与曲线公共点的个数不是切线的本质,直线与曲线只有一个公共点,直线不一定是曲线的切线,同样,直线是曲线的切线,则直线与曲线可能有两个或两个以上的公共点.16.【2019年高考北京理数】设函数fx e x ae x(a为常数).若f(x)为奇函数,则a=________;若f(x)是R上的增函数,则a的取值范围是___________.,01【答案】【解析】首先由奇函数的定义得到关于a的恒等式,据此可得a的值,然后利用f (x)0可得a的取值范围.若函数fxe x a e x为奇函数,则fx f x,即ex a e xex a e x,即a 1ex e x 0对任意的x恒成立,则a 10,得a1.若函数fxex a e x是R上的增函数,则f (x)e x a e x 0在R上恒成立,即a e2x在R上恒成立,又e2x 0,则a 0,即实数a的取值范围是,0.【名师点睛】本题考查函数的奇偶性、单调性、利用单调性确定参数的范围.解答过程中,需利用转化与化归思想,转化成恒成立问题.注重重点知识、基础知识、基本运算能力的考查.17.【2018年高考江苏】若函数在内有且只有一个零点,则在上的最大值与最小值的和为________.【答案】–3【解析】由f x6x 22ax 0得x 0或xa3,因为函数f x 在0,上有且仅有一个零点且f=1,所以a33320,f a,a a因此2a 10,33解得a 3.10从而函数 f x在1,0上单调递增,在0,1上单调递减,所以 fxf max,f xminminf 1,f 1f1,则 fxmaxf x minf0+f 114 3.故答案为3.【名师点睛】对于函数零点的个数问题,可利用函数的单调性、草图确定其中参数的取值条件.从图象的最高点、最低点,分析函数的最值、极值;从图象的对称性,分析函数的奇偶性;从图象的走向 趋势,分析函数的单调性、周期性等.18.【2017 年高考江苏】已知函数f ( x )x 2 x e1e,其中 e 是自然对数的底数.若f (a 1)f (2 a 2) 0 ,则实数 a 的取值范围是.【答案】1[1, ]2【解析】因为f (x ) x 32 x1 e xe xf ( x ),所以函数f ( x )是奇函数,因为 f '( x )3x 2 2 e xe x3x 2 2 2 e x ex 0 ,所以函数f ( x )在 R 上单调递增,又f (a 1) f (2a 2 ) 0 ,即 f (2a 2 ) f (1a ),所以 2a2 1 a ,即 2a2a 1 0 ,解得1a1 2,故实数 的取值范围为 1 [1, ] 2.【名师点睛】解函数不等式时,首先根据函数的性质把不等式转化为f (g ( x )) f (h ( x ))的形式,然后根据函数f ( x )的单调性去掉“ f ”,转化为具体的不等式(组),此时要注意g ( x ) 与 h ( x )的取值应在函数f ( x )的定义域内.19.【2017 年高考山东理数】若函数e xf ( x )(e2.71828是自然对数的底数)在 f ( x )的定义域上单调递增,则称函数 f ( x )具有 M 性质.下列函数中所有具有 M 性质的函数的序号为.①f ( x )2x②f ( x ) 3x③f ( x ) x3④f ( x ) x22【答案】①④3 xx a11e【解析】①e x f(x)e x 2x ()2x在R上单调递增,故f(x)2x具有性质;②e x f(x)e x 3xe()3x在R上单调递减,故f(x)3x不具有性质;③e x f(x)e x x3,令g(x)e x x3,则g (x)e x x33e x x2x2e x(x 3),当x3时,g (x)0,当x3时,g (x)0,e x f(x)e xx3在(,3)上单调递减,在(3,)上单调递增,故f(x)x3不具有性质;④e x f(x)e x(x22),令g(x ) e x(x22),则g (x)e x(x22)2x e x e x[(x 1)21]0,则e x f(x)e x(x22)在R上单调递增,故f(x)x22具有性质.【名师点睛】本题考查新定义问题,属于创新题,符合新高考的动向,它考查学生的阅读理解能力,接受新思维的能力,考查学生分析问题与解决问题的能力,新定义的概念实质上只是一个载体,解决新问题时,只要通过这个载体把问题转化为我们已经熟悉的知识即可.12。
专题13 不等式、推理与证明1.【2019年高考全国I卷理数】古希腊时期,人们认为最美人体的头顶至肚脐的长度与肚脐至足底的长度之比是12(12≈0.618,称为黄金分割比例),著名的“断臂维纳斯”便是如此.此外,最美人体若某人满足上述两个黄金分割比例,且腿长为105 cm,头顶至脖子下端的长度为26 cm,则其身高可能是A.165 cm B.175 cm C.185 cm D.190 cm 【答案】B所以<178.22AD .综上,169.89<<178.22AD .1052x y +42.07cm, 5.15cm x y ≈≈.又其腿长为105cm ,头顶至脖子下端的长度为26cm ,所以其身高约为42.07+5.15+105+26=178.22,接近175cm .故选B .【名师点睛】本题考查类比归纳与合情推理,渗透了逻辑推理和数学运算素养.采取类比法,利用转化思想解题.2.【2019年高考全国II 卷理数】2019年1月3日嫦娥四号探测器成功实现人类历史上首次月球背面软着陆,我国航天事业取得又一重大成就,实现月球背面软着陆需要解决的一个关键技术问题是地面与探测器的通讯联系.为解决这个问题,发射了嫦娥四号中继星“鹊桥”,鹊桥沿着围绕地月拉格朗日2L 点的轨道运行.2L 点是平衡点,位于地月连线的延长线上.设地球质量为M 1,月球质量为M 2,地月距离为R ,2L 点到月球的距离为r ,根据牛顿运动定律和万有引力定律,r 满足方程:121223()()M M M R r R r r R +=++.设rRα=,由于α的值很小,因此在近似计算中34532333(1)ααααα++≈+,则r 的近似值为 A BCD 【答案】D 【解析】由rRα=,得r R α=因为121223()()M M M R r R r r R +=++,所以12122222(1)(1)M M M R R R ααα+=++,即543232221133[(1)]3(1)(1)M M αααααααα++=+-=≈++,解得3α=所以3.r R α==【名师点睛】由于本题题干较长,所以,易错点之一就是能否静心读题,正确理解题意;易错点之二是复杂式子的变形出错.3.【2019年高考全国II 卷理数】若a >b ,则 A .ln(a −b )>0 B .3a <3b C .a 3−b 3>0 D .│a │>│b │【答案】C【解析】取2,1a b ==,满足a b >,ln()0a b -=,知A 错,排除A ;因为9333a b =>=,知B 错,排除B ;取1,2a b ==-,满足a b >,12a b =<=,知D 错,排除D ,因为幂函数3y x =是增函数,a b >,所以33a b >,故选C .【名师点睛】本题主要考查对数函数性质、指数函数性质、幂函数性质及绝对值意义,渗透了逻辑推理和运算能力素养,利用特殊值排除即可判断.4.【2019年高考北京卷理数】若x ,y 满足|1|x y ≤-,且y ≥−1,则3x+y 的最大值为 A .−7 B .1C .5D .7【答案】C【解析】由题意1,11yy x y -≤⎧⎨-≤≤-⎩作出可行域如图阴影部分所示.设3,3z x y y z x =+=-,当直线0:3l y z x =-经过点()2,1-时,z 取最大值5.故选C .【名师点睛】本题是简单线性规划问题的基本题型,根据“画、移、解”等步骤可得解.题目难度不大,注重了基础知识、基本技能的考查.5.【2019年高考北京卷理数】在天文学中,天体的明暗程度可以用星等或亮度来描述.两颗星的星等与亮度满足m 2−m 1=52lg 21E E ,其中星等为m k 的星的亮度为E k (k =1,2).已知太阳的星等是−26.7,天狼星的星等是−1.45,则太阳与天狼星的亮度的比值为 A . 1010.1B . 10.1C . lg10.1D . 10–10.1【答案】A【解析】两颗星的星等与亮度满足12125lg 2E m m E -=,令211.45,26.7m m =-=-, ()10.111212222lg( 1.4526.7)10.1,1055E E m m E E =⋅-=-+==. 故选:A .【名师点睛】本题以天文学问题为背景,考查考生的数学应用意识、信息处理能力、阅读理解能力以及指数对数运算.6.【2019年高考天津卷理数】设变量,x y 满足约束条件20,20,1,1,x y x y x y +-≤⎧⎪-+≥⎪⎨-⎪⎪-⎩,则目标函数4z x y =-+的最大值为 A .2 B .3C .5D .6【答案】D【解析】已知不等式组表示的平面区域如图中的阴影部分. 目标函数的几何意义是直线4y x z =+在y 轴上的截距, 故目标函数在点A 处取得最大值.由20,1x y x -+=⎧⎨=-⎩,得(1,1)A -,所以max 4(1)15z =-⨯-+=. 故选C.【名师点睛】线性规划问题,首先明确可行域对应的是封闭区域还是开放区域,分界线是实线还是虚线,其次确定目标函数的几何意义,是求直线的截距、两点间距离的平方、直线的斜率、还是点到直线的距离等等,最后结合图形确定目标函数最值或范围.即:一画,二移,三求. 7.【2019年高考天津卷理数】设x ∈R ,则“250x x -<”是“|1|1x -<”的 A .充分而不必要条件 B .必要而不充分条件 C .充要条件D .既不充分也不必要条件 【答案】B【解析】化简不等式,可知 05x <<推不出11x -<, 由11x -<能推出05x <<,故“250x x -<”是“|1|1x -<”的必要不充分条件, 故选B.【名师点睛】本题考查充分必要条件,解题关键是化简不等式,由集合的关系来判断条件.8.【2019年高考浙江卷】若实数,x y 满足约束条件3403400x y x y x y -+≥⎧⎪--≤⎨⎪+≥⎩,则32z x y =+的最大值是A . 1-B . 1C . 10D . 12【答案】C【解析】画出满足约束条件的可行域如图中阴影部分所示。
专题01集合与常用逻辑用语1.【2019年高考全国Ⅰ卷理数】已知集合,则=2|42{|60}{},M x x N x x x =-<<=--<M N A .B .}{43x x -<<}42{x x -<<-C .D .}{22x x -<<}{23x x <<【答案】C【解析】由题意得,2|42,{|60}{}|23}{M x x N x x x x x =-<<=--<=-<<则.{|22}M N x x =-<< 故选C .【名师点睛】注意区分交集与并集的不同,交集取公共部分,并集包括二者所有的部分.2.【2019年高考全国Ⅱ卷理数】设集合A ={x |x 2–5x +6>0},B ={x |x –1<0},则A ∩B =A .(–∞,1)B .(–2,1)C .(–3,–1)D .(3,+∞)【答案】A【解析】由题意得,或,,则2{560|}{2|A x x x x x =-+><=3}x >{10}{1|}|B x x x x =-<=<.{|1}(,1)A B x x =<=-∞ 故选A .【名师点睛】本题考点为集合的运算,为基础题目.3.【2019年高考全国Ⅲ卷理数】已知集合,则2{1,0,1,2},{|1}A B x x =-=≤A B = A .B .{}1,0,1-{}0,1C .D .{}1,1-{}0,1,2【答案】A【解析】∵∴,∴,21,x ≤11x -≤≤{}11B x x =-≤≤又,∴.{1,0,1,2}A =-{}1,0,1A B =- 故选A .【名师点睛】本题考查了集合交集的求法,是基础题.4.【2019年高考天津理数】设集合,则{1,1,2,3,5},{2,3,4},{|13}A B C x x =-==∈≤<R ()A C B = A .B .{}2{}2,3C .D .{}1,2,3-{}1,2,3,4【答案】D【解析】因为,所以.{1,2}A C = (){1,2,3,4}A C B = 故选D.【名师点睛】集合的运算问题,一般要先研究集合中元素的构成,能化简的要先化简,同时注意数形结合,即借助数轴、坐标系、韦恩图等进行运算.5.【2019年高考浙江】已知全集,集合,,则={}1,0,1,2,3U =-{}0,1,2A ={}1,0,1B =-()U A B ðA .B .{}1-{}0,1C .D .{}1,2,3-{}1,0,1,3-【答案】A【解析】∵,∴.{1,3}U A =-ð(){1}U A B =- ð故选A.【名师点睛】注意理解补集、交集的运算.6.【2019年高考浙江】若a >0,b >0,则“a +b ≤4”是“ab ≤4”的A .充分不必要条件B .必要不充分条件C .充分必要条件D .既不充分也不必要条件【答案】A【解析】当时,,则当时,有,解得,充0, 0a >b >a b +≥4a b +≤4a b ≤+≤4ab ≤分性成立;当时,满足,但此时,必要性不成立,=1, =4a b 4ab ≤=5>4a+b 综上所述,“”是“”的充分不必要条件.4a b +≤4ab ≤故选A.【名师点睛】易出现的错误:一是基本不等式掌握不熟练,导致判断失误;二是不能灵活地应用“赋值法”,通过取的特殊值,从假设情况下推出合理结果或矛盾结果.,a b7.【2019年高考天津理数】设,则“”是“”的x ∈R 250x x -<|1|1x -<A .充分而不必要条件B .必要而不充分条件C .充要条件D .既不充分也不必要条件【答案】B【解析】由可得,由可得,250x x -<05x <<|1|1x -<02x <<易知由推不出,05x <<02x <<由能推出,02x <<05x <<故是的必要而不充分条件,05x <<02x <<即“”是“”的必要而不充分条件.250x x -<|1|1x -<故选B.【名师点睛】本题考查充分必要条件,解题的关键是由所给的不等式得到的取值范围.x 8.【2019年高考全国Ⅱ卷理数】设α,β为两个平面,则α∥β的充要条件是A .α内有无数条直线与β平行B .α内有两条相交直线与β平行C .α,β平行于同一条直线D .α,β垂直于同一平面【答案】B【解析】由面面平行的判定定理知:内有两条相交直线都与平行是的充分条件;αβαβ∥由面面平行的性质定理知,若,则内任意一条直线都与平行,所以内有两条相交直线都与αβ∥αβα平行是的必要条件.βαβ∥故α∥β的充要条件是α内有两条相交直线与β平行.故选B .【名师点睛】面面平行的判定问题要紧扣面面平行的判定定理,最容易犯的错误为定理记不住,凭主观臆断.9.【2019年高考北京理数】设点A ,B ,C 不共线,则“与的夹角为锐角”是“”AB AC||||AB AC BC +> 的A .充分而不必要条件B .必要而不充分条件C .充分必要条件D .既不充分也不必要条件【答案】C【解析】∵A 、B 、C 三点不共线,∴|+|>|||+|>|-|AB ACBC⇔AB AC AC AB|+|2>|-|2·>0与的夹角为锐角,⇔AB AC AC ABAB ⇔AC AB ⇔AC 故“与的夹角为锐角”是“|+|>||”的充分必要条件.AB AC AB ACBC 故选C.【名师点睛】本题考查充要条件的概念与判断、平面向量的模、夹角与数量积,同时考查了转化与化归的数学思想.10.【2018年高考浙江】已知全集U ={1,2,3,4,5},A ={1,3},则=U A ðA .B .{1,3}∅C .{2,4,5}D .{1,2,3,4,5}【答案】C【解析】因为全集,,U ={1,2,3,4,5}A ={1,3}所以根据补集的定义得.∁U A ={2,4,5}故选C .【名师点睛】若集合的元素已知,则求集合的交集、并集、补集时,可根据交集、并集、补集的定义求解.11.【2018年高考全国Ⅰ卷理数】已知集合,则{}220A x x x =-->A =R ðA .B .{}12x x -<<{}12x x -≤≤C .D .}{}{|1|2x x x x <-> }{}{|1|2x x x x ≤-≥ 【答案】B【解析】解不等式得,所以,x 2-x -2>0x <-1或x >2A ={x|x <-1或x >2}所以可以求得.{}|12A x x =-≤≤R ð故选B .【名师点睛】该题考查的是有关一元二次不等式的解法以及集合的补集的求解问题,在解题的过程中,需要明确一元二次不等式的解集的形式以及补集中元素的特征,从而求得结果.12.【2018年高考全国Ⅲ卷理数】已知集合,,则{}|10A x x =-≥{}012B =,,A B = A .B .{}0{}1C .D .{}12,{}012,,【答案】C【解析】易得集合,{|1}A x x =≥所以.{}1,2A B = 故选C .【名师点睛】本题主要考查交集的运算,属于基础题.13.【2018年高考天津理数】设全集为R ,集合,,则{02}A x x =<<{1}B x x =≥()=R I A B ðA .B .{01}x x <≤{01}x x <<C .D .{12}x x ≤<{02}x x <<【答案】B【解析】由题意可得:,B R ð={x|x <1}结合交集的定义可得:.()=R I A B ð{0<x <1}故选B.【名师点睛】本题主要考查交集的运算法则,补集的运算法则等知识,意在考查学生的转化能力和计算求解能力.14.【2018年高考全国Ⅱ卷理数】已知集合,则中元素的个数为(){}223A x y xy x y =+∈∈Z Z ,≤,,A A .9B .8C .5D .4【答案】A【解析】,∵x 2+y 2≤3,∴x 2≤3,∵x ∈Z,∴x =-1,0,1当时,;x =-1y =-1,0,1当时,;x =0y =-1,0,1当时,,x =-1y =-1,0,1所以共有9个元素.选A .【名师点睛】本题考查集合与元素的关系,点与圆的位置关系,考查学生对概念的理解与识别.15.【2018年高考北京理数】已知集合A ={x ||x |<2},B ={–2,0,1,2},则A B =A .{0,1}B .{–1,0,1}C .{–2,0,1,2}D .{–1,0,1,2}【答案】A【解析】∵|x|<2,∴-2<x <2,因此A B =.∩(-2,2)∩{-2,0,1,2}={0,1}故选A.【名师点睛】解决集合问题时,认清集合中元素的属性(是点集、数集或其他情形)和化简集合是正确求解的两个先决条件.16.【2018年高考浙江】已知平面α,直线m ,n 满足m α,n α,则“m ∥n ”是“m ∥α”的⊄⊂A .充分不必要条件B .必要不充分条件C .充分必要条件D .既不充分也不必要条件【答案】A【解析】因为,所以根据线面平行的判定定理得.m ⊄α,n ⊂α,m//n m//α由不能得出与内任一直线平行,m//αm α所以是的充分不必要条件.m//n m//α故选A.【名师点睛】充分、必要条件的三种判断方法:(1)定义法:直接判断“若则”、“若则”的真假.并注意和图示相结合,例如“⇒”为真,则p q q p p q 是的充分条件.p q (2)等价法:利用⇒与非⇒非,⇒与非⇒非,⇔与非⇔非的等价关系,对于条件或结论是p q q p q p p q p q q p 否定式的命题,一般运用等价法.(3)集合法:若⊆,则是的充分条件或是的必要条件;若=,则是的充要条件.A B A B B A A B A B 17.【2018年高考天津理数】设,则“”是“”的x ∈R 11||22x -<31x <A .充分而不必要条件B .必要而不充分条件C .充要条件D .既不充分也不必要条件【答案】A【解析】绝对值不等式,|x -12|<12⇔-12<x -12<12⇔0<x <1由.x 3<1⇔x <1据此可知是的充分而不必要条件.|x -12|<12x 3<1故选A.【名师点睛】本题主要考查绝对值不等式的解法、充分不必要条件的判断等知识,意在考查学生的转化能力和计算求解能力.18.【2018年高考北京理数】设a ,b 均为单位向量,则“”是“a ⊥b ”的33-=+a b a b A .充分而不必要条件B .必要而不充分条件C .充分必要条件D .既不充分也不必要条件【答案】C【解析】,2222223333699+6-=+⇔-=+⇔-⋅+=⋅+a b a b a b a b a a b b a a b b 因为a ,b 均为单位向量,所以,2222699+60=-⋅+=⋅+⇔⋅⇔a a b b a a b b a b ⊥a b 即“”是“a ⊥b ”的充分必要条件.33-=+a b a b 故选C.【名师点睛】充分、必要条件的三种判断方法:1.定义法:直接判断“若则”、“若则”的真假.并注意和图示相结合,例如“⇒”为真,则p q q p p q p 是的充分条件.q 2.等价法:利用⇒与非⇒非,⇒与非⇒非,⇔与非⇔非的等价关系,对于条件或结论是p q q p q p p q p q q p 否定式的命题,一般运用等价法.3.集合法:若⊆,则是的充分条件或是的必要条件;若=,则是的充要条件.A B A B B A A B A B 19.【2017年高考全国Ⅰ卷理数】已知集合A ={x |x <1},B ={x |},则31x <A .B .{|0}A B x x =< A B =R C .D .{|1}A B x x => A B =∅【答案】A【解析】由可得,则,即,31x <033x <0x <{|0}B x x =<所以,{|1}{|0}A B x x x x =<< {|0}x x =<.{|1}{|0}{|1}A B x x x x x x =<<=< 故选A .【名师点睛】对于集合的交、并、补运算问题,应先把集合化简再计算,常常借助数轴或韦恩图处理.20.【2017年高考全国Ⅱ卷理数】设集合,.若,则{}1,2,4A ={}240B x x x m =-+={}1A B = B =A .B .{}1,3-{}1,0C .D .{}1,3{}1,5【答案】C【解析】由得,{}1A B = 1B ∈即是方程的根,所以,1x =240x x m -+=140,3m m -+==.{}1,3B =故选C .【名师点睛】集合中元素的三个特性中的互异性对解题影响较大,特别是含有字母的集合,在求出字母的值后,要注意检验集合中的元素是否满足互异性.两个防范:①不要忽视元素的互异性;②保证运算的准确性.21.【2017年高考全国Ⅲ卷理数】已知集合A =,B =,则A B 中元素{}22(,)1x y x y +=│{}(,)x y y x =│ 的个数为A .3B .2C .1D .0【答案】B【解析】集合中的元素为点集,由题意,可知集合A 表示以为圆心,为半径的单位圆上所有点组成的集合,()0,01集合B 表示直线上所有的点组成的集合,y x =又圆与直线相交于两点,,221x y +=y x=⎛ ⎝则中有2个元素.A B 故选B.【名师点睛】求集合的基本运算时,要认清集合元素的属性(是点集、数集或其他情形)和化简集合,这是正确求解集合运算的两个先决条件.集合中元素的三个特性中的互异性对解题影响较大,特别是含有字母的集合,在求出字母的值后,要注意检验集合中的元素是否满足互异性.22.【2017年高考北京理数】若集合A ={x |–2<x <1},B ={x |x <–1或x >3},则A B =A .{x |–2<x <–1}B .{x |–2<x <3}C .{x |–1<x <1}D .{x |1<x <3}【答案】A【解析】利用数轴可知.{}21A B x x =-<<- 故选A.【名师点睛】集合分为有限集合和无限集合,若集合个数比较少时可以用列举法表示;若集合是无限集合就用描述法表示,并注意代表元素是什么.集合的交、并、补运算问题,应先把集合化简再计算,常常借助数轴或韦恩图进行处理.23.【2017年高考浙江】已知集合,,那么{|11}P x x =-<<{02}Q x =<<P Q =A .B .(1,2)-(0,1)C .D .(1,0)-(1,2)【答案】A【解析】利用数轴,取中的所有元素,得.,P Q P Q = (1,2)-故选A.【名师点睛】对于集合的交、并、补运算问题,应先把集合化简再计算,常常借助数轴或韦恩图处理.24.【2017年高考天津理数】设集合,则{1,2,6},{2,4},{|15}A B C x x ===∈-≤≤R ()A B C =A .B .{2}{1,2,4}C .D .{1,2,4,6}{|15}x x ∈-≤≤R 【答案】B【解析】.(){1,2,4,6}[1,5]{1,2,4}A B C =-= 故选B .【名师点睛】集合的运算问题,一般要先研究集合中元素的构成,能化简的要先化简,同时注意数形结合,即借助数轴、坐标系、韦恩图等进行运算.25.【2017年高考山东理数】设函数的定义域为,函数的定义域为,则y =A ln(1)y x =-B A B =A .(1,2)B .(1,2]C .(-2,1)D .[-2,1)【答案】D【解析】由得,240x -≥22x -≤≤由得,10x ->1x <故.{|22}{|1}{|21}A B x x x x x x =-≤≤<=-≤< 选D.【名师点睛】集合的交、并、补运算问题,应把集合先化简再计算,常借助数轴或韦恩图进行求解.26.【2017年高考浙江】已知等差数列{a n }的公差为d ,前n 项和为S n ,则“d >0”是“S 4 + S 6>2S 5”的A .充分不必要条件B .必要不充分条件C .充分必要条件D .既不充分也不必要条件【答案】C【解析】由,46511210212(510)S S S a d a d d +-=+-+=可知当时,有,即,0d >46520S S S +->4652S S S +>反之,若,则,4652S S S +>0d >所以“d >0”是“S 4 + S 6>2S 5”的充分必要条件.故选C .【名师点睛】本题考查等差数列的前项和公式,通过套入公式与简单运算,可知,n 4652S S S d +-=结合充分必要性的判断,若,则是的充分条件,若,则是的必要条件,该题“p q ⇒p q p q ⇐p q ”“”,故互为充要条件.0d >⇔46520S S S +->27.【2017年高考北京理数】设m ,n 为非零向量,则“存在负数,使得”是“”的λλ=m n 0<⋅m n A .充分而不必要条件B .必要而不充分条件C .充分必要条件D .既不充分也不必要条件【答案】A【解析】若,使,则两向量反向,夹角是,0λ∃<λ=m n ,m n 180︒那么;cos1800⋅=︒=-<m n m n m n 若,那么两向量的夹角为,并不一定反向,0⋅<m n (]90,180︒︒即不一定存在负数,使得,λλ=m n所以“存在负数,使得”是“”的充分而不必要条件.λλ=m n 0<⋅m n 故选A.【名师点睛】本题考查平面向量的知识及充分必要条件的判断,若,则是的充分条件,若p q ⇒p q ,则是的必要条件.p q ⇐p q 28.【2017年高考山东理数】已知命题p :;命题q :若a >b ,则,下列命题0,ln(1)0x x ∀>+>22a b >为真命题的是A .B .p q∧p q ∧⌝C .D .p q⌝∧p q⌝∧⌝【答案】B【解析】由时得,知p 是真命题.0x >11,x +>ln(1)0x +>由但可知q 是假命题,12,->-22(2)(1)->-则是真命题.p q ∧⌝故选B.【名师点睛】解答有关逻辑联结词的相关问题,首先要明确各命题的真假,利用或、且、非的真值表,进一步作出判断.29.【2017年高考全国Ⅰ卷理数】设有下面四个命题:若复数满足,则;1p z 1z∈R z ∈R :若复数满足,则;2p z 2z ∈R z ∈R :若复数满足,则;3p 12,z z 12z z ∈R 12z z =:若复数,则.4p z ∈R z ∈R 其中的真命题为A .B .13,p p 14,p p C .D .23,p p 24,p p 【答案】B【解析】令,则由得,所以,故正确;i(,)z a b a b =+∈R 2211i i a b z a b a b -==∈++R 0b =z ∈R 1p当时,因为,而知,故不正确;i z =22i 1z ==-∈R i z =∉R 2p 当时,满足,但,故不正确;12i z z ==121z z ⋅=-∈R 12z z ≠3p 对于,因为实数的共轭复数是它本身,也属于实数,故正确.4p 4p 故选B.【名师点睛】分式形式的复数,分子、分母同乘以分母的共轭复数,化简成的形式i(,)z a b a b =+∈R 进行判断,共轭复数只需实部不变,虚部变为原来的相反数即可.30.【2019年高考江苏】已知集合,,则▲.{1,0,1,6}A =-{|0,}B x x x =>∈R A B = 【答案】{1,6}【解析】由题意利用交集的定义求解交集即可.由题意知,.{1,6}A B = 【名师点睛】本题主要考查交集的运算,属于基础题.31.【2018年高考江苏】已知集合,,那么________.A ={0,1,2,8}B ={-1,1,6,8}A ∩B =【答案】{1,8}【解析】由题设和交集的定义可知:.A ∩B ={1,8}【名师点睛】本题考查交集及其运算,考查基础知识,难度较小.32.【2017年高考江苏】已知集合,,若,则实数的值为 ▲ .{1,2}A =2{,3}B a a =+{1}A B = a 【答案】1【解析】由题意,显然,所以,1B ∈233a +≥1a =此时,满足题意.234a +=故答案为1.【名师点睛】(1)认清元素的属性.解决集合问题时,认清集合中元素的属性(是点集、数集或其他情形)和化简集合是正确求解的两个先决条件.(2)注意元素的互异性.在解决含参数的集合问题时,要注意检验集合中元素的互异性,否则很可能会因为不满足“互异性”而导致错误.(3)防范空集.在解决有关等集合问题时,往往容易忽略空集的情况,一定要先考,A B A B =∅⊆ 虑时是否成立,以防漏解.∅33.【2018年高考北京理数】能说明“若f (x )>f (0)对任意的x ∈(0,2]都成立,则f (x )在[0,2]上是增函数”为假命题的一个函数是__________.【答案】(答案不唯一)23()(2f x x =--【解析】对于,其图象的对称轴为,23()()2f x x =--32x =则f (x )>f (0)对任意的x ∈(0,2]都成立,但f (x )在[0,2]上不是单调函数.【名师点睛】解题本题需掌握充分必要条件和函数的性质,举出反例即可.。
空间向量与立体几何2019年1.(2019全国Ⅰ理18)如图,直四棱柱ABCD–A 1B 1C 1D 1的底面是菱形,AA 1=4,AB =2,∠BAD =60°,E ,M ,N 分别是BC ,BB 1,A 1D 的中点. (1)证明:MN ∥平面C 1DE ;(2)求二面角A -MA 1-N 的正弦值. 解析:(1)连结B 1C ,ME .因为M ,E 分别为BB 1,BC 的中点,所以ME ∥B 1C ,且ME =12B 1C . 又因为N 为A 1D 的中点,所以ND =12A 1D . 由题设知A 1B 1=P DC ,可得B 1C =P A 1D ,故ME =P ND , 因此四边形MNDE 为平行四边形,MN ∥ED . 又MN ⊄平面EDC 1,所以MN ∥平面C 1DE . (2)由已知可得DE ⊥DA .以D 为坐标原点,DA uu u r的方向为x 轴正方向,建立如图所示的空间直角坐标系D -xyz ,则(2,0,0)A ,A 1(2,0,4),(1,3,2)M ,(1,0,2)N ,1(0,0,4)A A =-uuu r ,1(1,3,2)A M =--uuuu r ,1(1,0,2)A N =--uuu r ,1(1,0,2)A N =--uuu r.设(,,)x y z =m 为平面A 1MA 的法向量,则110A M A A ⎧⋅=⎪⎨⋅=⎪⎩uuuu r uuu rm m , 所以32040x y z z ⎧-+-=⎪⎨-=⎪⎩,.可取(3,1,0)=m .设(,,)p q r =n 为平面A 1MN 的法向量,则100MN A N ⎧⋅=⎪⎨⋅=⎪⎩uuu r uuu r,.n n NMDC BAD 1C 1B 1A 1zy所以3020q p r ⎧=⎪⎨--=⎪⎩,.可取(2,0,1)=-n .于是2315cos ,||525⋅〈〉===⨯‖m n m n m n , 所以二面角1A MA N --的正弦值为105.2.(2019北京理16)如图,在四棱锥P ABCD -中,PA ABCD ⊥平面,AD CD ⊥,AD BC P ,2PA AD CD BC ====,.E 为PD 的中点,点F 在PC 上,且13PF PC =.(Ⅰ)求证:CD PAD ⊥平面; (Ⅱ)求二面角F AE P --的余弦值; (Ⅲ)设点G 在PB 上,且23PG PB =.判断直线AG 是否在平面AEF 内,说明理由. 解析:(I )因为PA ⊥平面ABCD ,所以PA CD ⊥. 又因为AB CD ⊥,所以CD ⊥.平面PAD ,(II )过A 作AD 的垂线交BC 于点M ,因为PA ⊥平面ABCD ,所以,PA AM ⊥PA AD ⊥,如图建立空间直角坐标系A -xyz ,则A (0,0,0),B (2,-1,0),C (2,2,0), D (0,2,0),P (0,0,2),因为E 为PD 的中点,所以E (0,1,1).所以()0,1,1AE =uu u r ,()2,2,2PC =-uu u r , ()0,0,2AP =uu u r. 所以1222,,3333PF PC ⎛⎫==- ⎪⎝⎭uu u r uu u r ,224,,333AF AP PF ⎛⎫=+= ⎪⎝⎭uu u r uu u r uu u r设平面AEF 的法向量为(),,x y z =n ,则00AE AF ⎧⋅=⎪⎨⋅=⎪⎩uu u v uu u v n n ,即02240333y z x y z +=⎧⎪⎨++=⎪⎩.令z =1,则y =-1,x =-1.于是()1,1,1=--n .又因为平面PAD 的法向量为()1,0,0=p ,所以3cos 3⋅==-⋅n p <n,p >n p . 因为二面角F-AE-P 为锐角,所以其余弦值为3(III )直线AG 在平面AEF 内,因为点G 在PB 上,且2,3PG PB =()2,1,2,PB =--uu r所以2424,,3333PG PB ⎛⎫==-- ⎪⎝⎭uu u r uu r ,422,,333AG AP PG ⎛⎫=+=- ⎪⎝⎭uuu r uu u r uu u r .由(II )知,平面AEF 的法向量为()1,1,1=--n ,所以4220333AG ⋅++=uuu r n =-,所以直线AG 在平面AEF 内.3.(2019浙江19)如图,已知三棱柱111ABC A B C -,平面11A ACC ⊥平面ABC ,90ABC ∠=︒,1130,,,BAC A A AC AC E F ∠=︒==分别是AC ,A 1B 1的中点. (1)证明:EF BC ⊥;(2)求直线EF 与平面A 1BC 所成角的余弦值.解析:方法一:(I )连接A 1E ,因为A 1A =A 1C ,E 是AC 的中点,所以A 1E ⊥A C. 又平面A 1ACC 1⊥平面ABC ,A 1E ⊂平面A 1ACC 1, 平面A 1ACC 1∩平面ABC =AC , 所以,A 1E ⊥平面ABC ,则A 1E ⊥BC . 又因为A 1F ∥AB ,∠ABC =90°,故BC ⊥A 1F . 所以BC ⊥平面A 1EF . 因此EF ⊥B C.(Ⅱ)取BC 中点G ,连接EG ,GF ,则EGFA 1是平行四边形.z yxBG P FEDC MA由于A 1E ⊥平面ABC ,故AE 1⊥EG ,所以平行四边形EGFA 1为矩形. 由(I )得BC ⊥平面EGFA 1,则平面A 1BC ⊥平面EGFA 1, 所以EF 在平面A 1BC 上的射影在直线A 1G 上.连接A 1G 交EF 于O ,则∠EOG 是直线EF 与平面A 1BC 所成的角(或其补角). 不妨设AC =4,则在Rt △A 1EG 中,A 1E =23,EG =3. 由于O 为A 1G 的中点,故11522A G EO OG ===, 所以2223cos 25EO OG EG EOG EO OG +-∠==⋅.因此,直线EF 与平面A 1BC 所成角的余弦值是35. 方法二:(Ⅰ)连接A 1E ,因为A 1A =A 1C ,E 是AC 的中点,所以A 1E ⊥AC . 又平面A 1ACC 1⊥平面ABC ,A 1E ⊂平面A 1ACC 1, 平面A 1ACC 1∩平面ABC =AC ,所以,A 1E ⊥平面ABC . 如图,以点E 为原点,分别以射线EC ,EA 1为y ,z 轴的正半轴,建立空间直角坐标系E –xyz . 不妨设AC =4,则A 1(0,0,23),B (3,1,0),1(3,3,23)B ,33(,,23)2F ,C (0,2,0). 因此,33(,,23)22EF =u u u r,(3,1,0)BC =-u u u r . 由0EF BC ⋅=u u u r u u u r得EF BC ⊥.(Ⅱ)设直线EF 与平面A 1BC 所成角为θ,由(Ⅰ)可得(3,1,0)BC =-u u u r,1(0,2,23)AC =-u u u r , 设平面A 1BC 的法向量为(,,)x y z =n ,由100BC A C ⎧⋅=⎪⎨⋅=⎪⎩u u u ru u u r n n ,得3030x y y z ⎧-+=⎪⎨-=⎪⎩,取(1,3,1)=n ,故4sin cos,5EFEFEFθ⋅=〈〉==⋅u u u ru u u ru u u rnnn.因此直线EF与平面A1BC所成角的余弦值为3 5 .4.(2019江苏16)如图,在直三棱柱ABC-A1B1C1中,D,E分别为BC,AC的中点,AB=BC.求证:(1)A1B1∥平面DEC1;(2)BE⊥C1E.证明:(1)因为D,E分别为BC,AC的中点,所以ED∥AB.在直三棱柱ABC-A1B1C1中,AB∥A1B1,所以A1B1∥ED.又因为ED⊂平面DEC1,A1B1⊄平面DEC1,所以A1B1∥平面DEC1.(2)因为AB=BC,E为AC的中点,所以BE⊥AC.因为三棱柱ABC-A1B1C1是直棱柱,所以CC1⊥平面ABC.又因为BE⊂平面ABC,所以CC1⊥BE.因为C1C⊂平面A1ACC1,AC⊂平面A1ACC1,C1C∩AC=C,所以BE⊥平面A1ACC1.因为C1E⊂平面A1ACC1,所以BE⊥C1E.5.(2019全国Ⅲ理19)图1是由矩形ADEB、R t△ABC和菱形BFGC组成的一个平面图形,其中AB=1,BE=BF=2,∠FBC=60°,将其沿AB,BC折起使得BE与BF重合,连结DG,如图2.(1)证明:图2中的A,C,G,D四点共面,且平面ABC⊥平面BCGE;(2)求图2中的二面角B-CG-A的大小.解析(1)由已知得AD P BE,CG P BE,所以AD P CG,故AD,CG确定一个平面,从而A,C ,G ,D 四点共面.由已知得AB ⊥BE ,AB ⊥BC ,故AB ⊥平面BCGE . 又因为AB ⊂平面ABC ,所以平面ABC ⊥平面BCGE .(2)作EH ⊥BC ,垂足为H .因为EH ⊂平面BCGE ,平面BCGE ⊥平面ABC ,所以EH ⊥平面ABC .由已知,菱形BCGE 的边长为2,∠EBC =60°,可求得BH =1,EH=3.以H 为坐标原点,HC u u u r的方向为x 轴的正方向,建立如图所示的空间直角坐标系–H xyz ,则A (–1,1,0),C (1,0,0),G (2,0,3),CG u u u r =(1,0,3),AC u u u r=(2,–1,0).设平面ACGD 的法向量为n =(x ,y ,z ),则0,0,CG AC ⎧⋅=⎪⎨⋅=⎪⎩u u u r u u ur n n 即30,20.x z x y ⎧+=⎪⎨-=⎪⎩ 所以可取n =(3,6,–3).又平面BCGE 的法向量可取为m =(0,1,0),所以3cos ,||||2⋅〈〉==n m n m n m . 因此二面角B –CG –A 的大小为30°.6.(2019全国Ⅱ理17)如图,长方体ABCD –A 1B 1C 1D 1的底面ABCD 是正方形,点E 在棱AA 1上,BE ⊥EC 1.(1)证明:BE ⊥平面EB 1C 1;(2)若AE =A 1E ,求二面角B –EC –C 1的正弦值.解析:(1)由已知得,11B C ⊥平面11ABB A ,BE ⊂平面11ABB A ,故11B C ⊥BE .又1BE EC ⊥,所以BE ⊥平面11EB C .(2)由(1)知190BEB ∠=︒.由题设知11Rt Rt ABE A B E ≅△△,所以45AEB ∠=︒, 故AE AB =,12AA AB =.以D 为坐标原点,DA u u u r的方向为x 轴正方向,||DA uuu r 为单位长,建立如图所示的空间直角坐标系D -xyz ,则C (0,1,0),B (1,1,0),1C (0,1,2),E (1,0,1),(1,0,0)CB =u u u r ,(1,1,1)CE =-u u u r,1(0,0,2)CC =u u u u r.设平面EBC 的法向量为n =(x ,y ,x ),则0,0,CB CE ⎧⋅=⎪⎨⋅=⎪⎩u u ur n n 即0,0,x x y z =⎧⎨-+=⎩ 所以可取n =(0,1,1)--.设平面1ECC 的法向量为m =(x ,y ,z ),则10,0,CC CE ⎧⋅=⎪⎨⋅=⎪⎩u u ur m m 即20,0.z x y z =⎧⎨-+=⎩ 所以可取m =(1,1,0). 于是1cos ,||||2⋅<>==-n m n m n m .所以,二面角1B EC C --7.(2019天津理17)如图,AE ⊥平面ABCD ,,CF AE AD BC ∥∥,,1,2AD AB AB AD AE BC ⊥====.zyx(Ⅰ)求证:BF ∥平面ADE ;(Ⅱ)求直线CE 与平面BDE 所成角的正弦值;(Ⅲ)若二面角E BD F --的余弦值为13,求线段CF 的长.解析 依题意,可以建立以A 为原点,分别以AB AD AE u u u r u u u r u u u r,,的方向为x 轴,y 轴,z 轴正方向的空间直角坐标系,如图所示,可得(0,0,0),(1,0,0),(1,2,0),(0,1,0)A B C D ,(0,0,2)E .设(0)CF h h =>>,则()1,2,F h .(Ⅰ)依题意,(1,0,0)AB =u u u r 是平面ADE 的法向量,又(0,2,)BF h =u u u r,可得0BF AB ⋅=u u u r u u u r ,又因为直线BF ⊄平面ADE ,所以BF ∥平面ADE .(Ⅱ)依题意,(1,1,0),(1,0,2),(1,2,2)BD BE CE =-=-=--u u u r u u u r u u u r.设(,,)x y z =n 为平面BDE 的法向量,则0BD BE ⎧⋅=⎪⎨⋅=⎪⎩u u u r u u u rn n ,即020x y x z -+=⎧⎨-+=⎩,不妨令1z =, 可得(2,2,1)=n .因此有4cos ,9||||CE CE CE ⋅==-u u u ru u u r u u u r n n n .所以,直线CE 与平面BDE 所成角的正弦值为49. (Ⅲ)设(,,)x y z =m 为平面BDF 的法向量,则0BD BF ⎧⋅=⎪⎨⋅=⎪⎩u u u r u u u rm m ,即020x y y hz -+=⎧⎨+=⎩, 不妨令1y =,可得21,1,h ⎛⎫=-⎪⎝⎭m .由题意,有||1cos ,||||3⋅〈〉===m n m n m n ,解得87h =.经检验,符合题意.所以,线段CF 的长为87.2017、2018年解答题1.(2018全国卷Ⅰ)如图,四边形ABCD 为正方形,E ,F 分别为AD ,BC 的中点,以DF 为折痕把DFC △折起,使点C 到达点P 的位置,且PF BF ⊥.(1)证明:平面PEF ⊥平面ABFD ; (2)求DP 与平面ABFD 所成角的正弦值.【解析】(1)由已知可得,BF ⊥PF ,BF ⊥EF ,所以BF ⊥平面PEF .又BF ⊂平面ABFD ,所以平面PEF ⊥平面ABFD . (2)作PH ⊥EF ,垂足为H .由(1)得,PH ⊥平面ABFD .以H 为坐标原点,HF u u u r的方向为y 轴正方向,||BF uuu r 为单位长,建立如图所示的空间直角坐标系-H xyz .由(1)可得,DE ⊥PE .又DP =2,DE =1,所以PEPFE D CBA又PF =1,EF =2,故PE ⊥PF .可得2=PH ,32=EH . 则(0,0,0)H,(0,0,2P ,3(1,,0)2--D ,3(1,,)22=u u u r DP ,HP =u u u r 为平面ABFD 的法向量.设DP 与平面ABFD 所成角为θ,则3sin ||4||||HP DP HP DP θ⋅===⋅u u u r u u u ru u u r u u u r .所以DP 与平面ABFD所成角的正弦值为4. 2.(2018北京)如图,在三棱柱111ABC A B C -中,1CC ⊥平面ABC ,D ,E ,F ,G 分别为1AA ,AC ,11A C ,1BB的中点,AB BC ==12AC AA ==.(1)求证:AC ⊥平面BEF ;(2)求二面角1B CD C --的余弦值; (3)证明:直线FG 与平面BCD 相交. 【解析】(1)在三棱柱111ABC A B C -中,∵1CC ⊥平面ABC , ∴四边形11A ACC 为矩形.又E ,F 分别为AC ,11A C 的中点, ∴AC ⊥EF . ∵AB BC =. ∴AC ⊥BE , ∴AC ⊥平面BEF .(2)由(1)知AC ⊥EF ,AC ⊥BE ,EF ∥1CC . 又1CC ⊥平面ABC ,∴EF ⊥平面ABC .C 1B 1A 1GFEDC B A∵BE ⊂平面ABC ,∴EF ⊥BE . 如图建立空间直角坐称系E xyz -.由题意得(0,2,0)B ,(1,0,0)C -,(1,0,1)D ,(0,0,2)F ,(0,2,1)G . ∴=(201)CD ,,uu u r ,=(120)CB ,,uu r, 设平面BCD 的法向量为()a b c =,,n , ∴00CD CB ⎧⋅=⎪⎨⋅=⎪⎩uu u ruur n n ,∴2020a c a b +=⎧⎨+=⎩,令2a =,则1b =-,4c =-, ∴平面BCD 的法向量(214)=--,,n , 又∵平面1CDC 的法向量为=(020)EB uu r,,,∴cos =||||EB EB EB ⋅<⋅>=uu ruu r uu r n n n . 由图可得二面角1B CD C --为钝角,所以二面角1B CD C --的余弦值为21-. (3)平面BCD 的法向量为(214)=--,,n ,∵(0,2,1)G ,(0,0,2)F , ∴=(021)GF -uuu r ,,,∴2GF ⋅=-uu u r n ,∴n 与GF uu u r不垂直, ∴GF 与平面BCD 不平行且不在平面BCD 内,∴GF 与平面BCD 相交.3.(2018全国卷Ⅱ)如图,在三棱锥-P ABC中,==AB BC PA PB PC ===4AC =,O 为AC 的中点.(1)证明:PO ⊥平面ABC ;(2)若点M 在棱BC 上,且二面角--M PA C 为30︒,求PC 与平面PAM 所成角的正弦值.【解析】(1)因为4AP CP AC ===,O 为AC 的中点,所以OP AC ⊥,且OP =连结OB.因为2AB BC AC ==,所以ABC △为等腰直角三角形, 且OB AC ⊥,122OB AC ==. 由222OP OB PB +=知PO OB ⊥.由⊥OP OB ,⊥OP AC 知PO ⊥平面ABC .(2)如图,以O 为坐标原点,OB uu u r的方向为x 轴正方向,建立空间直角坐标系O xyz -.由已知得(0,0,0)O ,(2,0,0)B ,(0,2,0)-A ,(0,2,0)C,(0,0,P ,=AP u u u r ,取平面PAC 的法向量(2,0,0)OB =u u u r. 设(,2,0)(02)-<≤M a a a ,则(,4,0)AM a a =-u u u r.设平面PAM 的法向量为(,,)x y z =n .由0,0AP AM ⋅=⋅=uu u r uuu r n n得20(4)0y ax a y ⎧+=⎪⎨+-=⎪⎩,可取,)a a =--n ,所以cos ,OB =uu u rn.由已知得|cos ,|2OB =uu u r n .O MPCBA.解得4a =-(舍去),43a =.所以4(,,)333=--n.又(0,2,PC =-u u u r,所以cos ,4PC =uu u r n . 所以PC 与平面PAM所成角的正弦值为4.4.(2018全国卷Ⅲ)如图,边长为2的正方形ABCD 所在的平面与半圆弧»CD所在平面垂直,M 是»CD上异于C ,D 的点. (1)证明:平面AMD ⊥平面BMC ;(2)当三棱锥M ABC -体积最大时,求面MAB 与面MCD 所成二面角的正弦值.【解析】(1)由题设知,平面CMD ⊥平面ABCD ,交线为CD .因为BC ⊥CD ,BC 平面ABCD ,所以BC ⊥平面CMD ,故BC ⊥DM .因为M 为»CD上异于C ,D 的点,且DC 为直径,所以 DM ⊥CM . 又BC CM =C ,所以DM ⊥平面BMC . 而DM 平面AMD ,故平面AMD ⊥平面BMC .(2)以D 为坐标原点,DA u u u r的方向为x 轴正方向,建立如图所示的空间直角坐标系D xyz -.当三棱锥M ABC -体积最大时,M 为»CD的中点. MD CBA⊂I⊂由题设得(0,0,0)D ,(2,0,0)A ,(2,2,0)B ,(0,2,0)C ,(0,1,1)M ,(2,1,1)AM =-u u u u r ,(0,2,0)AB =u u u r ,(2,0,0)DA =u u u r设(,,)x y z =n 是平面MAB 的法向量,则即 可取(1,0,2)=n .DA u u u r是平面MCD 的法向量,因此,,所以面MAB 与面MCD. 5.(2018天津)如图,AD BC ∥且2AD BC =,AD CD ⊥,EG AD ∥且EG AD =,CD FG ∥且2CD FG =,DG ⊥平面ABCD ,2DA DC DG ===.(1)若M 为CF 的中点,N 为EG 的中点,求证:MN ∥平面CDE ; (2)求二面角E BC F --的正弦值;(3)若点P 在线段DG 上,且直线BP 与平面ADGE 所成的角为60o ,求线段DP 的长.【解析】依题意,可以建立以D 为原点,分别以DA u u u r ,DC u u u r,DG u u u r的方向为x 轴,y 轴,z轴的正方向的空间直角坐标系(如图),可得(0,0,0)D ,(2,0,0)A ,(1,2,0)B ,(0,2,0)C ,(2,0,2)E ,(0,1,2)F ,(0,0,2)G ,3(0,,1)2M ,(1,0,2)N .0,0.AM AB ⎧⋅=⎪⎨⋅=⎪⎩u u u u r u u ur n n 20,20.x y z y -++=⎧⎨=⎩cos ,5||||DA DA DA ⋅==u u u ru u u r u u u r n nn sin ,DA =u u u r n N AB C D EFG M(1)证明:依题意(0,2,0)DC =u u u r ,(2,0,2)DE =u u u r.设0(,,)x y z =n 为平面CDE 的法向量,则0000DC DE ⎧⋅=⎪⎨⋅=⎪⎩u u u r u u u r ,,n n 即20220y x z =⎧⎨+=⎩,, 不妨令1z =-,可得0(1,0,1)=-n . 又3(1,,1)2MN =-u u u u r ,可得00MN ⋅=u u u u r n ,又因为直线MN ⊄平面CDE ,所以MN ∥平面CDE .(2)依题意,可得(1,0,0)BC =-u u u r ,(122)BE =-u u u r ,,,(0,1,2)CF =-u u u r.设(,,)x y z =n 为平面BCE 的法向量,则00BC BE ⎧⋅=⎪⎨⋅=⎪⎩u u u ru u ur ,,n n 即0220x x y z -=⎧⎨-+=⎩,, 不妨令1z =,可得(0,1,1)=n .设(,,)x y z =m 为平面BCF 的法向量,则00BC BF ⎧⋅=⎪⎨⋅=⎪⎩u u u ru u u r ,,m m 即020x y z -=⎧⎨-+=⎩,,不妨令1z =,可得(0,2,1)=m .因此有cos ,||||10⋅<>==m n m n m n,于是sin ,10<>=m n . 所以,二面角E BC F --. (3)设线段DP 的长为h ([0.2]h ∈),则点P 的坐标为(0,0,)h ,可得(12)BP h =--u u u r,,.易知,(0,2,0)DC =u u u r为平面ADGE 的一个法向量,故cos BP DC BP DC BP DC ⋅<⋅>==u u u r u u u r u u u r u u u r u u u r u u u rsin 60==o[0,2]h =.所以线段DP. 6.(2018江苏)如图,在正三棱柱111ABC A B C -中,12AB AA ==,点P ,Q 分别为11A B ,BC 的中点.(1)求异面直线BP 与1AC 所成角的余弦值; (2)求直线1CC 与平面1AQC 所成角的正弦值.【解析】如图,在正三棱柱111ABC A B C -中,设AC ,11A C 的中点分别为O ,1O ,则OB OC ⊥,1OO OC⊥,1OO OB⊥,以1,{},OB OC OO u u u r u u u r u u u u r为基底,建立空间直角坐标系O xyz -.因为12AB AA ==,所以1110,1,0,,0,1,0,0,1,())()()2,,0,1,2)()A B C A B C --.(1)因为P 为11A B 的中点,所以1,2)2P -,从而11(,2)(0,2,22),BP AC ==-u u u r u u u u r ,故111|||cos ,|||||BP AC BP AC BP AC ⋅===⋅u u u r u u u u r u u u r u u u u r u u u r u u u u r .因此,异面直线BP 与AC 1所成角的余弦值为.(2)因为Q 为BC 的中点,所以1,0)2Q ,因此3,0)2AQ =u u u r ,11(0,2,2),(0,0,2)AC CC ==u u u ur u u u u r .设n =(x ,y ,z )为平面AQC 1的一个法向量,则10,0,AQ AC ⎧⎪⎨⎪⎩⋅=⋅=u u u ru u u ur n n即30,2220.x y y z +=⎪+=⎩ ABC QPA 1C 1B1不妨取1,1)=-n,设直线CC1与平面AQC1所成角为θ,则111||sin|cos|,|||CCCCCC|θ==⋅⋅==u u u u ru u u u ru u u u rnnn,所以直线CC1与平面AQC1所成角的正弦值为.7.(2017新课标Ⅰ)如图,在四棱锥P ABCD-中,AB∥CD,且90BAP CDP∠=∠=o.(1)证明:平面PAB⊥平面PAD;(2)若PA PD AB DC===,90APD∠=o,求二面角A PB C--的余弦值.【解析】(1)由已知90BAP CDP∠=∠=︒,得AB⊥AP,CD⊥PD.由于AB∥CD,故AB⊥PD,从而AB⊥平面P AD.又AB⊂平面P AB,所以平面P AB⊥平面P AD.(2)在平面PAD内做PF AD⊥,垂足为F,由(1)可知,AB⊥平面PAD,故AB PF⊥,可得PF⊥平面ABCD.以F为坐标原点,FAu u u r的方向为x轴正方向,||ABuuu r为单位长,建立如图所示的空间直角坐标系F xyz-.由(1)及已知可得2A,(0,0,2P,,1,0)2B,(C.DCAP所以(PC =u u u r,CB =u u u r,)22PA =-u u u r , (0,1,0)AB =u u u r.设(,,)x y z =n 是平面PCB 的法向量,则00PC CB ⎧⋅=⎪⎨⋅=⎪⎩u u u r u u ur n n,即00x y z ⎧+=⎪⎨=,可取(0,1,=-n .设(,,)x y z =m 是平面PAB 的法向量,则00PA AB ⎧⋅=⎪⎨⋅=⎪⎩u u u r u u u r m m,即0220x z y -=⎪⎨⎪=⎩, 可取(1,0,1)=n .则cos ,||||3⋅==-<>n m n m n m , 所以二面角A PB C --的余弦值为 8.(2017新课标Ⅱ)如图,四棱锥P ABCD -中,侧面PAD 为等边三角形且垂直于底面三角形ABCD ,12AB BC AD ==,90BAD ABC ∠=∠=o ,E 是PD 的中点.(1)证明:直线CE ∥平面PAB ;(2)点M 在棱PC 上,且直线BM 与底面ABCD 所成角为45o,求二面角M AB D --的余弦值【解析】(1)取PA 的中点F ,连结EF ,BF .因为E 是PD 的中点,所以EF AD ∥,EM DCBAP12EF AD =.由90BAD ABC ∠=∠=o 得BC AD ∥,又12BC AD =,所以EF BC ∥,四边形BCEF 是平行四边形,CE BF ∥,又BF ⊂平面PAB ,CE ⊄平面PAB ,故CE ∥平面PAB .(2)由已知得BA AD ⊥,以A 为坐标原点,AB u u u r的方向为x 轴正方向,||AB uuu r 为单位长,建立如图的空间直角坐标系A xyz -,则(0,0,0)A ,(1,0,0)B ,(1,1,0)C,P,(1,0,PC =u u u r ,(1,0,0)AB =u u u r.设(,,)M x y z (01)x <<,则(1,,)BM x y z =-u u u u r,(,1,PM x y z =--u u u u r.因为BM 与底面ABCD 所成的角为45o ,而(0,0,1)=n 是底面ABCD 的法向量,所以|cos ,|sin 45BM <>=ou u u u r n=, 即222(1)0x y z -+-=. ①又M 在棱PC 上,设PM PC λ=u u u u r u u u r,则x λ=,1y =,z =. ②由①,②解得121x y z ⎧=+⎪⎪⎪=⎨⎪⎪=⎪⎩(舍去),121x y z ⎧=-⎪⎪⎪=⎨⎪⎪=⎪⎩所以(1,1,22M -,从而(122AM =-u u u u r . 设000(,,)x y z =m 是平面ABM 的法向量,则0=0AM AB ⎧⋅=⎪⎨⋅⎪⎩u u u u r u u u r m m,即0000(2200x y x ⎧++=⎪⎨=⎪⎩,所以可取(0,2)=m,于是cos ,||||5⋅<>==m n m n m n . 因此二面角M AB D --的余弦值为5. 9.(2017新课标Ⅲ)如图,四面体ABCD 中,ABC ∆是正三角形,ACD ∆是直角三角形,ABD CBD ∠=∠,AB BD =.(1)证明:平面ACD ⊥平面ABC ;(2)过AC 的平面交BD 于点E ,若平面AEC 把四面体ABCD 分成体积相等的两部分,求二面角D AE C --的余弦值.【解析】(1)由题设可得,ABD CBD ∆≅∆,从而AD DC =.又ACD ∆是直角三角形,所以0=90ACD ∠取AC 的中点O ,连接DO ,BO ,则DO AC ⊥,DO AO =. 又由于ABC ∆是正三角形,故BO AC ⊥. 所以DOB ∠为二面角D AC B --的平面角. 在Rt AOB ∆中,222BO AO AB +=.又AB BD =,所以222222BO DO BO AO AB BD +=+==,故90DOB ∠=o . 所以平面ACD ⊥平面ABC .(2)由题设及(1)知,OA,OB,OD 两两垂直,以O 为坐标原点,OA u u u r的方向为x 轴正方向,OA u u u r为单位长,建立如图所示的空间直角坐标系O xyz -,则ABCDE(1,0,0)A,B ,(1,0,0)C -,(0,0,1)D .由题设知,四面体ABCE 的体积为四面体ABCD 的体积的12,从而E 到平面ABC 的距离为D 到平面ABC 的距离的12,即E 为DB的中点,得1(0,,)22E .故 (1,0,1)AD =-u u u r ,(2,0,0)AC =-u u u r,1()22AE =-u u u r设()=x,y,z n 是平面DAE 的法向量,则AD AE ⎧=⎪⎨=⎪⎩u u u r g u u u r g 0,0,n n即x z x y z -+=⎧⎪⎨-++=⎪⎩01022可取(1,3=n 设m 是平面AEC 的法向量,则0,0,AC AE ⎧=⎪⎨=⎪⎩u u u r g u u u rg m m同理可得(0,=-m则cos ,==g n m n m n m 所以二面角D AE C --10.(2017天津)如图,在三棱锥P ABC -中,PA ⊥底面ABC ,90BAC ∠=︒.点D ,E ,N 分别为棱PA ,PC ,BC 的中点,M 是线段AD 的中点,4PA AC ==, 2AB =.(Ⅰ)求证:MN ∥平面BDE ; (Ⅱ)求二面角C EM N --的正弦值;(Ⅲ)已知点H 在棱PA 上,且直线NH 与直线BE所成角的余弦值为21,求线段AH 的长.【解析】如图,以A 为原点,分别以AB u u u r ,AC u u u r,AP u u u r 方向为x 轴、y 轴、z 轴正方向建立空间直角坐标系.依题意可得(0,0,0)A ,(2,0,0)B ,(0,4,0)C ,(0,0,4),(0,0,2)D ,(0,2,2)E ,(0,0,1)M ,(1,2,0)N .(Ⅰ)证明:DE u u u r =(0,2,0),DB u u u r=(2,0,2)-.设(,,)x y z =n ,为平面BDE 的法向量, 则00DE DB ⎧⋅=⎪⎨⋅=⎪⎩u u u ru u u r n n ,即20220y x z =⎧⎨-=⎩.不妨设1z =,可得(1,0,1)=n .又MN u u u u r =(1,2,1-),可得0MN ⋅=u u u u rn .因为MN ⊄平面BDE ,所以MN //平面BDE .(Ⅱ)易知1(1,0,0)=n 为平面CEM 的一个法向量.设2(,,)x y z =n 为平面EMN 的法向量,则220EM MN ⎧⋅=⎪⎨⋅=⎪⎩u u u u ru u u u rn n ,因为(0,2,1)EM =--u u u u r ,(1,2,1)MN =-u u u u r ,所以2020y z x y z --=⎧⎨+-=⎩.不妨设1y =,可得2(4,1,2)=--n .因此有121212cos ,|||⋅<>==n n n n |n n12sin ,<>=n n .所以,二面角C —EM —N(Ⅲ)依题意,设AH =h (04h ≤≤),则H (0,0,h ),进而可得(1,2,)NH h =--u u u u r ,(2,2,2)BE =-u u u r.由已知,得|||cos ,|||||NH BE NH BE NH BE ⋅<>===u u u u r u u u ru u u u r u u u r u u u u r u u u r ,整理得2102180h h -+=,解得85h =,或12h =. 所以,线段AH 的长为85或12.11.(2017北京)如图,在四棱锥P ABCD -中,底面ABCD 为正方形,平面PAD ⊥平面ABCD ,点M 在线段PB 上,PD //平面MAC,PA PD ==4AB =.(Ⅰ)求证:M 为PB 的中点; (Ⅱ)求二面角B PD A --的大小;(Ⅲ)求直线MC 与平面BDP 所成角的正弦值.【解析】(Ⅰ)设,AC BD 交点为E ,连接ME .因为PD ∥平面MAC ,平面MAC I 平面PBD ME =,所以PD ME ∥. 因为ABCD 是正方形,所以E 为BD 的中点,在PBC ∆中,知M 为PB 的中点.(Ⅱ)取AD 的中点O ,连接OP ,OE . 因为PA PD =,所以OP AD ⊥.又因为平面PAD ⊥平面ABCD ,且OP ⊂平面PAD ,所以OP ⊥平面ABCD . 因为OE ⊂平面ABCD ,所以OP OE ⊥. 因为ABCD 是正方形,所以OE AD ⊥.如图建立空间直角坐标系O xyz -,则P ,(2,0,0)D ,(2,4,0)B -,(4,4,0)BD =-u u u r,(2,0,PD =u u u r.设平面BDP 的法向量为(,,)x y z =n ,则00BD PD ⎧⋅=⎪⎨⋅=⎪⎩u u u r u u u rn n,即44020x y x -=⎧⎪⎨-=⎪⎩. 令1x =,则1y =,z ==n .平面PAD 的法向量为(0,1,0)=p ,所以1cos ,||||2⋅==<>n p n p n p .由题知二面角B PD A --为锐角,所以它的大小为3π.(Ⅲ)由题意知(1,2,)2M -,(2,4,0)D ,(3,2,)2MC =-u u u u r . 设直线MC 与平面BDP 所成角为α,则||sin |cos ,|||||MC MC MC α⋅===u u u u r u u u u r u u u u r <>n n n .所以直线MC 与平面BDP.。
专题18 计数原理1.【2019年高考全国Ⅲ卷理数】(1+2x 2)(1+x )4的展开式中x 3的系数为 A .12 B .16 C .20 D .24【答案】A【解析】由题意得x 3的系数为3144C 2C 4812+=+=,故选A .【名师点睛】本题主要考查二项式定理,利用展开式通项公式求展开式指定项的系数.2.【2018年高考全国Ⅱ卷理数】我国数学家陈景润在哥德巴赫猜想的研究中取得了世界领先的成果.哥德巴赫猜想是“每个大于2的偶数可以表示为两个素数的和”,如30723=+.在不超过30的素数中,随机选取两个不同的数,其和等于30的概率是 A .112B .114C .115D .118【答案】C【解析】不超过30的素数有2,3,5,7,11,13,17,19,23,29,共10个,随机选取两个不同的数,共有210C 45=种方法,其和等于30的有3种方法,分别是7和23,11和19,13和17,所以随机选取两个不同的数,其和等于30的概率为31=4515,选C . 3.【2018年高考全国Ⅲ卷理数】522x x ⎛⎫+ ⎪⎝⎭的展开式中4x 的系数为A .10B .20C .40D .80【答案】C【解析】由题可得522x x ⎛⎫+ ⎪⎝⎭的展开式的通式为()521031552C C 2rr r r r rr T x xx --+⎛⎫⋅⋅== ⎪⎝⎭,令1034r -=,得2r =,所以展开式中4x 的系数为225C 240⨯=.故选C .4.【2017年高考全国Ⅱ卷理数】安排3名志愿者完成4项工作,每人至少完成1项,每项工作由1人完成,则不同的安排方式共有 A .12种 B .18种 C .24种 D .36种【答案】D【解析】由题意可得,一人完成两项工作,其余两人每人完成一项工作,据此可得,只要把工作分成三份:有24C 种方法,然后进行全排列,由乘法原理,不同的安排方式共有2343C A 36⨯=种.故选D .【名师点睛】(1)解排列组合问题要遵循两个原则:①按元素(或位置)的性质进行分类;②按事情发生的过程进行分步.具体地说,解排列组合问题常以元素(或位置)为主体,即先满足特殊元素(或位置),再考虑其他元素(或位置).(2)不同元素的分配问题,往往是先分组再分配.在分组时,通常有三种类型:①不均匀分组;②均匀分组;③部分均匀分组.注意各种分组类型中,不同分组方法的求解. 5.【2017年高考全国Ⅰ卷理数】621(1)(1)x x++展开式中2x 的系数为 A .15 B .20C .30D .35【答案】C 【解析】因为6662211(1)(1)1(1)(1)x x x x x ++=⋅++⋅+,而6(1)x +展开式中含2x 的项为22261C 15x x ⋅=,621(1)x x ⋅+展开式中含2x 的项为442621C 15x x x⋅=,故所求展开式中2x 的系数为151530+=,选C .【名师点睛】对于两个二项式乘积的问题,用第一个二项式中的每项乘以第二个二项式的每项,分析含2x 的项共有几项,进行相加即可.这类问题的易错点主要是未能分析清楚构成这一项的具体情况,尤其是两个二项展开式中的r 不同.6.【2017年高考全国Ⅲ卷理数】()()52x y x y +-的展开式中33x y 的系数为A .80-B .40-C .40D .80【答案】C【解析】()()()()555222x y x y x x y y x y +-=-+-,由()52x y -展开式的通项公式()()515C 2rrrr T x y -+=-可得:当3r =时,()52x x y -展开式中33x y 的系数为()3325C 2140⨯⨯-=-;当2r =时,()52y x y -展开式中33x y 的系数为()2235C 2180⨯⨯-=,则33x y 的系数为804040-=.故选C .【名师点睛】(1)二项式定理的核心是通项公式,求解此类问题可以分两步完成:第一步根据所给出的条件(特定项)和通项公式,建立方程来确定指数(求解时要注意二项式系数中n 和r 的隐含条件,即n ,r 均为非负整数,且n ≥r ,如常数项指数为零、有理项指数为整数等);第二步是根据所求的指数,再求所求解的项.(2)求两个多项式的积的特定项,可先化简或利用分类加法计数原理讨论求解.7.【2019年高考浙江卷理数】在二项式9)x 的展开式中,常数项是__________;系数为有理数的项的个数是__________.【答案】5【解析】由题意,9)x 的通项为919C (0,1,29)rr r r T x r -+==,当0r =时,可得常数项为0919C T ==;若展开式的系数为有理数,则1,3,5,7,9r =,有246810T , T , T , T , T 共5个项.故答案为:5.【名师点睛】此类问题解法比较明确,首要的是要准确记忆通项公式,特别是“幂指数”不能记混,其次,计算要细心,确保结果正确.8.【2018年高考全国Ⅰ卷理数】从2位女生,4位男生中选3人参加科技比赛,且至少有1位女生入选,则不同的选法共有__________种.(用数字填写答案) 【答案】16【解析】根据题意,没有女生入选有34C 4=种选法,从6名学生中任意选3人有36C 20=种选法,故至少有1位女生入选,则不同的选法共有20416-=种,故答案为:16.【名师点睛】该题是一道关于组合计数的题目,并且在涉及到至多、至少问题时多采用间接法,即利用总的减去没有女生的选法种数,该题还可以用直接法,分别求出有1名女生和有2名女生分别有多少种选法,之后用加法运算求解.9.【2018年高考江苏卷)某兴趣小组有2名男生和3名女生,现从中任选2名学生去参加活动,则恰好选中2名女生的概率为__________. 【答案】310【解析】从5名学生中抽取2名学生,共有25C 10=种方法,其中恰好选中2名女生的方法有23C 3=种,因此所求概率为310.故答案为:310. 10.【2018年高考浙江卷)从1,3,5,7,9中任取2个数字,从0,2,4,6中任取2个数字,一共可以组成__________个没有重复数字的四位数.(用数字作答) 【答案】1260【解析】若不取0,则排列数为224534C C A ;若取0,则排列数为21135333C C A A ,因此一共可以组成224534C C A +21135333C C A A 1260=个没有重复数字的四位数.故答案为:1260.11.【2018年高考浙江卷)二项式81)2x的展开式的常数项是__________. 【答案】7【解析】二项式812x ⎫⎪⎭的展开式的通项公式为848318811C C 22rr rrrr r T xx --+⎛⎫==⋅⋅ ⎪⎝⎭, 令8403r -=得2r =,故所求的常数项为2821C =72⋅.故答案为:7. 12.【2018年高考天津卷理数】在5(x 的展开式中,2x 的系数为__________.【答案】52【解析】二项式5(x -的展开式的通项公式为35521551C C 2r rr r r r r T x x --+⎛⎛⎫==- ⎪ ⎝⎭⎝,令3522r -=可得:2r =,则2x 的系数为:225115C 10242⎛⎫-=⨯= ⎪⎝⎭.故答案为:52.13.【2017年高考浙江卷)从6男2女共8名学生中选出队长1人,副队长1人,普通队员2人组成4人服务队,要求服务队中至少有1名女生,共有__________种不同的选法.(用数字作答) 【答案】660【解析】由题意可得,“从8名学生中选出队长1人,副队长1人,普通队员2人组成4人服务队”总的选择方法为411843C C C ⨯⨯(种)方法,其中“服务队中没有女生”的选法有411643C C C ⨯⨯(种)方法,则满足题意的选法有:411411843643C C C C C C 660⨯⨯-⨯⨯=(种).故答案为:660.【名师点睛】本题主要考查分类计数原理与分步计数原理及排列组合的应用,有关排列组合的综合问题,往往是两个原理及排列组合问题交叉应用才能解决问题,解答这类问题理解题意很关键,一定多读题才能挖掘出隐含条件.解题过程中要首先分清“是分类还是分步”、“是排列还是组合”,在应用分类计数加法原理讨论时,既不能重复交叉讨论又不能遗漏,这样才能提高准确率.在某些特定问题上,也可充分考虑“正难则反”的思维方式.14.【2017年高考天津卷理数】用数字1,2,3,4,5,6,7,8,9组成没有重复数字,且至多有一个数字是偶数的四位数,这样的四位数一共有__________个.(用数字作答) 【答案】1080【解析】题中4个数字均为奇数的四位数有45A 种,4个数字中含有1个偶数,3个奇数的四位数有134454C C A 种,所以符合题意的四位数的个数为41345454A C C A 1080+=.故答案为:1080.【名师点睛】计数原理包含分类加法计数原理和分步乘法计数原理,本题中组成的四位数至多有一个数字是偶数,包括四位数字有一个是偶数和四位数字全部是奇数两类,先利用分步乘法计数原理求每一类中的结果数,然后利用分类加法计数原理求总的结果数.15.【2017年高考浙江卷)已知多项式32543212345(1)(2)x x x a x a x a x a x a +++++++=,则4a =__________,5a =__________.【答案】16,4【解析】由二项式展开式的通项公式可得,32(1)(2)x x ++的展开式的通项为:232C C 2r r m m mx x -⋅=232C C 2r m mr m x -+⋅⋅⋅,分别取0,1r m ==和1,0r m ==可得441216a =+=,取0r m ==,可得25124a =⨯=.故答案为:16,4.【名师点睛】本题主要考查二项式定理的通项与系数,属于简单题.二项展开式定理的问题也是高考命题热点之一,关于二项式定理的命题方向比较明确,主要从以下几个方面命题:(1)考查二项展开式的通项公式1C r n r rr n T a b -+=(可以考查某一项,也可考查某一项的系数);(2)考查各项系数和和各项的二项式系数和;(3)二项式定理的应用.16.【2017年高考山东卷理数】已知(13)nx +的展开式中含有2x 项的系数是54,则n =__________.【答案】【解析】(13)n x +的展开式的通项公式为1C (3)C 3r r r r rr n n T x x +==⋅,令2r =,得含有2x 项的系数为22C 354n⋅=,解得4n =.故答案为:4. 【名师点睛】根据二项展开式的通项,确定二项式系数或确定二项展开式中的指定项,是二项式定理问题中的基本问题,往往要综合运用二项展开式的系数的性质、二项展开式的通项求解.本题能较好地考查考生的思维能力、基本计算能力等.17.【2019年高考江苏卷理数】设2*012(1),4,n n n x a a x a x a x n n +=++++≥∈N .已知23242a a a =.(1)求n 的值;(2)设(1na +=+*,ab ∈N ,求223a b -的值.【答案】(1)5n =;(2)32-.【解析】(1)因为0122(1)C C C C 4n n n n n n n x x x x n +=++++≥,,所以2323(1)(1)(2)C ,C 26n nn n n n n a a ---====, 44(1)(2)(3)C 24nn n n n a ---==. 4因为23242a a a =,所以2(1)(2)(1)(1)(2)(3)[]26224n n n n n n n n n ------=⨯⨯,解得5n =.(2)由(1)知,5n =.5(1(1n +=02233445555555C C C C C C =++++a =+解法一:因为*,a b ∈N ,所以024*********C 3C 9C 76,C 3C 9C 44a b =++==++=,从而222237634432a b -=-⨯=-. 解法二:50122334455555555(1C C (C (C (C (C (=+++++02233445555555C C C C C C =--+-.因为*,a b ∈N ,所以5(1a -=-.因此225553((1(1(2)32a b a a -=+-=⨯-=-=-.【名师点睛】本题主要考查二项式定理、组合数等基础知识,考查分析问题能力与运算求解能力.。