专题3.9 电磁波(解析版)
- 格式:doc
- 大小:254.00 KB
- 文档页数:10
2019年全国物理中考试题分类汇编电磁波解析版一.填空题14.(2019·菏泽)中美经贸摩擦实质上是科技实力的较量。
华为公司的5G通信技术领先世界2-3年,5G技术具有高速率、大宽带和低延迟三大特点。
5G手机与基站之间是通过_________实现信息的传递。
【分析】手机是靠电磁波来传递信息的。
【解答】解:手机和手机之间、手机与基站之间是靠电磁波来实现信息的传递。
故答案为:(2019·安顺)微信是时下广为流行的一款手机软件,微信信息是手机利用(选电8.填“电磁波”或“超声波”)进行传播的。
小军看到平面镜中自己的像,当他走近平面镜时,他在平面镜中像的大小将(选填“变大”、“变小”或“不变”)。
8.【解答】解:微信信息是利用手机通过一定频率的电磁波进行传播的;平面镜所成的像与物体是等大的,当小军向平面镜走近时,由于他的大小不变,所以他在平面镜中像的大小不变。
故答案为:电磁波;不变。
14(2019·济宁).电磁波的传播▲(选填“需要”或“不需要”)介质。
如图7所示,将手机放在密闭的塑料容器中能正常接收到呼叫信号,放在密闭的金属容器中不能接收到呼叫信号,说明▲(选填“塑料容器”或“金属容器”)对电磁波有屏蔽作用。
14答案.不需要金属容器19.(2019·龙东)(2分)“wifi”是以无线方式互相连接的技术,无线路由器和电脑、手机之间是通过传递信息的;电视遥控器前端的发光二极管可以发出不同的,实现对电视的遥控。
19.【解答】解:(1)WiFi利用了电磁波中的微波技术进行信息传输;无线路由器和电脑、手机之间是通过电磁波传递信息的;(2)红外线可以进行遥控。
电视机的遥控器的前端有一个发光的二极管,可以发射红外线,用它来传递信息,实现对电视的控制。
故答案为:电磁波;红外线。
11.(2019·长春)手机充电时,将能转化为化学能;接打电话时,手机靠传递信息。
【答案】:电,电磁波13.(2019·贵阳)2019年1月3日我国自主研发的"嫦娥四号〃月球探测器成功着陆在月球背面,探测器通过________(选填:“电磁波”或“超声波”)把收集的信息传回地球,为我们揭开了月球背面的神秘面纱。
第三节电磁波的发射、传播和接收一、无线电波的发射1.有效地向外发射电磁波时,振荡电路必须具有的两个特点.(1)要有足够高的振荡频率:频率越高,发射电磁波的本领越大.(2)振荡电路的电场和磁场必须分散到尽可能大的空间,因此,采用开放电路.2.电磁波的调制1.原理电磁波在传播过程中如果遇到导体,会使导体中产生感应电流.因此,导体可以用来接收电磁波.2.电谐振与调谐(1)电谐振:当接收电路的固有频率跟收到的电磁波的频率相同时,接收电路中产生的振荡电流最强的现象.(2)调谐:使接收电路产生最强的振荡电流的过程.3.解调使声音或图象信号从高频电流中还原出来的过程,它是调制的逆过程.4.无线电波技术上把波长范围是1_mm~30_km的电磁波称做无线电波,并按波长把无线电波分为若干波段:长波、中波、中短波、短波、微波.预习交流学生讨论:调谐电路的可变电容器的动片从完全旋出到完全旋入仍接收不到某较低频率电台发出的信号,要收到该电台的信号,可采用什么办法?答案:①增加谐振线圈的匝数;②在线圈中插入铁芯;③在线圈两端并联一个较小的电容器;④在电容器两板间插入电介质等方法.一、无线电波的发射1.开放电路是如何形成的?答案:在LC振荡电路中减小电容器的极板面积,增大极板间距,使电容器变成两条长的直线,一条竖立在高空成为天线,另一条接入地下成为地线,使电场完全暴露在空中,形成开放电路.2.在发射电磁波时为什么要对电磁波进行调制?答案:声音、图象信号的频率很低,不能直接发射出去,只有把声音、图象的低频信号加到高频电磁波上才能向外发射,高频电磁波带着低频信号向外发射,电磁波随着各种信号而改变.3.通常情况下如何对电磁波进行调制?答案:有调幅和调频两种.(1)调幅是使高频电磁波的振幅随信号的强弱而变化.(2)调频是使高频电磁波的频率随信号的强弱而变化.无线电波的发射和接收主要经历哪些过程?无线电传播的方式跟什么因素有关?有哪些传播方式?答案:见解析解析:无线电波的发射主要经历调制、信号放大和通过天线向外发射的过程;无线电波的接收主要经历调谐、检波等过程;无线电波传播的方式跟波长(频率)有关,其传播方式有地波传播、天波传播和直线传播.1.要有效地向外发射电磁波,振荡电路必须具有两个特点:(1)要有足够高的振荡频率,频率越高,发射电磁波的本领越大;(2)必须是开放电路.2.无线电波的波长范围是1 mm~30 km,不同波长的电磁波在传播方式上也各不相同.无线电波主要的传播方式有:地波传播、天波传播和直线传播三种.二、无线电波的接收1.如何才能接收到我们所需要的电磁波?答案:用一个LC接收电路,使LC回路的固有频率等于所要接收的电磁波的频率,使接收电路产生电谐振,即应用调谐电路.2.如何才能从经过调制的电磁波中得到声音、图象信号?答案:要对接收到的调制信号进行解调,去掉高频成分,只保留声音、图象这些低频信号,即从振荡电流中“检"出声音、图象信号.3.为什么超远程无线电利用无线电波中的长波波段,而雷达利用微波波段?答案:根据波的衍射特性,波长越长,越容易绕过障碍物,所以超远程无线电利用长波波段.微波波长短,传播时直线性好.雷达正是应用了微波直线性好的特点.4.无线电的接收过程如图所示:由图可知,一台最简单的收音机,除了接收天线和扬声器外,至少还必须具备哪些单元电路?答案:调谐电路和检波电路.下图中A为某火箭发射场,B为山区,C为城市.发射场正在进行某型号火箭的发射试验.为了转播火箭发射的实况,在发射场建立了发射台用于发射广播与电视信号.已知传输无线电广播所用的电磁波波长为550 m,而传输电视信号所用的电磁波波长为0.566 m,为了不让山区挡住信号的传播,使城市居民能收听和收看到火箭发射的实况,必须通过建在山顶上的转发站来转发________(填“无线电广播信号"或“电视信号”),这是因为______________________.点拨:弄清波发生明显衍射现象的条件是正确处理此题的关键.答案:电视信号电视信号波长短,沿直线传播,受山体阻挡,不易衍射解析:从题中知,传输无线电广播所用的电磁波波长为550 m,根据波发生明显衍射现象的条件,知该电磁波很容易发生衍射现象,绕过山坡而传播到城市所在的C区,因而不需要转发装置.电视信号所用的电磁波波长为0。
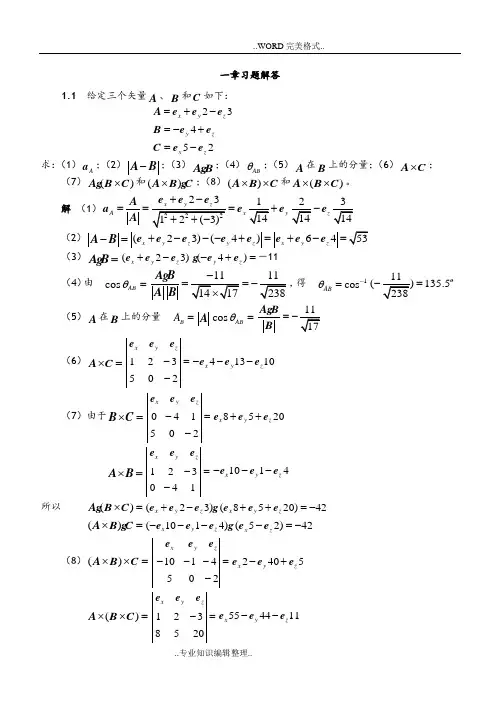
一章习题解答1.1 给定三个矢量A 、B 和C 如下: 23x y z =+-A e e e4y z =-+B e e52x z =-C e e求:(1)A a ;(2)-A B ;(3)A B ;(4)ABθ;(5)A 在B 上的分量;(6)⨯A C ;(7)()⨯A B C 和()⨯A B C ;(8)()⨯⨯A B C 和()⨯⨯A B C 。
解 (1)23A x y z+-===+e e e A a e e e A (2)-=A B (23)(4)x y z y z +---+=e e e ee 64x y z +-=e e e (3)=A B (23)x y z +-e e e (4)y z -+=e e -11(4)由 c o s AB θ=8==A B A B ,得 1c o s AB θ-=()135.5= (5)A 在B 上的分量 BA =A c o s AB θ==A B B (6)⨯=A C 123502xy z-=-e e e 41310x y z ---e e e (7)由于⨯=B C 041502x yz-=-e e e 8520x y z ++e e e ⨯=A B 123041xyz-=-e e e 1014x y z ---e e e所以 ()⨯=A B C (23)x y z +-e e e (8520)42x y z ++=-e e e ()⨯=A B C (1014)x y z ---e e e (52)42x z-=-e e(8)()⨯⨯=A B C 1014502x y z---=-e e e 2405x y z -+e e e()⨯⨯=A B C 1238520xy z -=e e e 554411x y z --e e e1.2 三角形的三个顶点为1(0,1,2)P -、2(4,1,3)P -和3(6,2,5)P 。
(1)判断123PP P ∆是否为一直角三角形;(2)求三角形的面积。
(解析版)2013年中考物理试题分类汇编--电磁波解析版221(2013·菏泽中考)黑龙江最大的火山湖镜泊湖,冬季捕捞创造过一网打鱼86万斤的记录。
捕捞时,在厚约1米的冰面上开一个进网口和一个出网口,两口相距1500米,捕捞所用的渔网,长约1500多米,宽约800米,网到冰下水中后,要在广泛的湖中展开,还要准确地在出网口收拢。
关于网头上的设置,以下说法正确的是()X Kb1.C o mA.渔网在冰面下要按人的指挥运动,应该在网头装有遥控接收装置B.渔网在冰面下要按人的指挥运动,应该在网头装有遥控发射装置C.为了确定网头到达的具体位置,网头上应装有信号接收传感器D.为了确定网头到达的具体位置,人拿的指挥棒上应装有信号发射传感器解析:选A.本题考查信息的传递过程. 要在广泛的湖中展开,还要准确地在出网口收拢。
渔网在冰面下要按人的指挥运动,应该在网头装有遥控接收装置。
221 (2013·福州中考)4.在2013年芦山地震救灾中,先遣救援人员利用“北斗卫星导航系统”对发生灾情的位置进行定位,并及时将信息反馈给抗震救灾指挥中心,为救灾争取了宝贵的时间。
“北斗卫星导航系统”传递信息主要依靠A.超声波 B.次声波C.红外线 D.电磁波【解析】选D。
本题考查电磁波、声波相关知识。
A、B选项中,超声波、次声波属于声波(机械波),不能在真空中传播;选项C中,红外线属于电磁波,其主要作用是热作用强,主要用于加热物体、红外遥感、红外夜视仪、电视遥控器等;选项D中,电磁波波谱中包括射线、紫外线、可见光、红外线、微波、无线电波等,卫星通信利用电磁波。
故D项正确。
221 (2013·滨州中考)解析:选D.本题考查对信息传递方式的认识。
卫星主要在太空中运行,它与地球上进行通讯联系主要靠电磁波传递信息。
激光、红外线、紫外线的传输受环境条件的影响较大,不能很好的进行信息的传递。
221 (2013·临沂中考)如图所示为我国“北斗卫星导肮系统”示意图.截止目前.中国已成功发射4颗北斗导航试验卫星和16颗北斗导航卫星,北导系统区域组网顺利实现,可以向亚太地区提供连续无源定位、导航、授时等试运行服务。
高三物理电磁波试题答案及解析1.下列关于电磁波的说法正确的是 ( )A.变化的磁场能够在空间产生电场B.电磁波在真空和介质中传播的速度相同C.电磁波既可能是横波,也可能是纵波D.电磁波的波长.波速.周期的关系为【答案】A【解析】变化的电场产生磁场,变化的磁场产生电场,这是麦克斯韦电磁场理论的两大支柱,A 正确;电磁波在真空和介质中传播的速度不相同,在真空中传播的速度最大,B错误;在传播方向的任一点,电场与磁场互相垂直,而且二者均与波的传播方向垂直,电磁波是横波,C错误;电磁波的波长.波速.周期的关系为,D错误。
2.过量接收电磁辐射有害人体健康.按照有关规定,工作场所受到的电磁辐射强度(单位时间内垂直通过单位面积的电磁辐射能量)不得超过某一临界值W。
若某无线电通讯装置的电磁辐射功率为P,则符合规定的安全区域到该通讯装置的距离可能为( )A.B.C.D.【答案】CD【解析】由题意知,不符合规定的区域与安全区域的临界面为一球面,设其半径为R,则有球面积,,所以。
思路分析:利用球面辐射,能量以球面的形式向外释放,总能量除以表面积即为单位面积接收到的电磁辐射。
试题点评:考查电磁波的吸收、球面辐射的计算3.(9分)如图所示,一艘海轮用船上天线D向海岸边的信号接收器A发送电磁波脉冲信号。
信号接收器和船上天线的海拔高度分别为AB=H和CD=h。
船上天线某时刻发出一个电磁波脉冲信号,接收器接收到一个较强和一个较弱的脉冲,前者是直接到达的信号,后者是经海平面反射后再到达的信号,两个脉冲信号到达的时间间隔为△t,电磁波的传播速度为c,求船上天线发出此信号时海轮与海岸的距离L。
【答案】【解析】如图所示,从船上天线D向接收器发出的电磁脉冲信号,一方面沿直线DA直接传到A,另一方面经过海面E点反射沿折线DEA传播到A,前者较强,后者较弱。
由反射定律可知,延长AE交DC的延长线与F,过A做AG平行于BC,交CD的延长线与G,则有DE=EF,GD=H-h,GF="H+h" (2分),设信号接收器接收到沿直线DA和折线DEA传播的电磁脉冲信号需要的时间分别为t1和t2,则有(2分) (2分)根据题意有(1分) 联立解得 (2分).【考点】本题考查电磁波的传播,需要先把电磁波的传播路径画出来再结合几何关系求解.4.关于生活中遇到的各种波,下列说法正确的是()A.电磁波可以传递信息,声波不能传递信息B.手机在通话时涉及的波既有电磁波又有声波C.太阳光中的可见光和医院“B超”中的超声波传递速度相同D.遥控器发出的红外线波长和医院CT中的X射线波长相同【答案】B【解析】A:一切波都可以传播能量和信息,声波作为机械波可以传递信息,A选项错误。
解密19电磁波相对论Χγ2T⎧⎪⎧⎪⎨⎪⎩⎪⎪⎧⎪⎪⎨⎪⎪⎪⎩⎨⎪⎧⎪⎨⎪⎩⎪⎪⎪⎧⎪⎪⎨⎪=⎪⎩⎩电磁场有足够高的振荡频率有效发射电磁波条件开放的振荡电路电磁波是横波电磁波特点传播不需要介质,具有波的共性能脱离“波源”独立存在电磁波变化的磁场产生电场麦克斯韦与电磁场理论的两大支柱变化的电场产生磁场电磁波谱:无线电波;红外线;可见光;紫外线;射线;射线振荡电流的产生电磁震荡周期:电磁波原理相对论广义相对论相对论222Δ1ΔΔl l tu vm uu ucE mc E mc⎧⎪⎪⎧⎧⎪⎨⎩⎪⎪⎧⎨⎪⎪⎨⎪⎪⎪⎩⎩⎧⎨⎨⎩⎧=⎪⎪⎪⎪'+⎪=⎨'⎪+⎪⎪==⎪⎪⎩一切物理规律在任何参考系中都是相同的(广义相对性原理)等效原理物质的引力使光线弯曲结论引力红移水星轨道近日点的进动一切物理规律在惯性参考系中都是相同的(狭义相对论性原理)狭义相对论光速不变原理相对论公式,⎧⎪⎪⎪⎪⎪⎪⎪⎪⎪⎪⎪⎪⎪⎪⎪⎪⎪⎪⎪⎪⎪⎪⎪⎪⎪⎨⎪⎪⎪⎪⎪⎪⎪⎪⎪⎪⎪⎪⎪⎪⎪⎪⎪⎪⎪⎪⎪⎪⎪⎪⎪⎪⎪⎪⎪⎪⎪⎪⎪⎪⎪⎪⎪⎪⎪⎪⎪⎪⎪⎪⎪⎩⎩考点1电磁波与电磁振荡一、麦克斯韦电磁场理论1.理论内容变化的磁场能够产生电场,变化的电场能够产生磁场。
根据这个理论,周期性变化的电场和磁场相互联系,交替产生,形成一个不可分割的统一体,即电磁场。
2.深度理解(1)恒定的电场不产生磁场。
(2)恒定的磁场不产生电场。
(3)均匀变化的磁场在周围空间产生恒定的电场。
(4)均匀变化的电场在周围空间产生恒定的磁场。
(5)振荡电场产生同频率的振荡磁场。
(6)振荡磁场产生同频率的振荡电场。
3.相关概念及判断方法(1)变化的磁场产生的电场叫感应电场;变化的电场产生的磁场叫感应磁场。
(2)感应电场与感应磁场的场线都是闭合的曲线,而且互相正交、套连。
(3)感应电场的方向可由楞次定律判定,感应磁场的方向可由安培定则判定。
二、电磁波1.电磁波的产生如果在空间某区域中有周期性变化的电场,救护在空间引起周期性变化的磁场,这个周期性变化的磁场又会在较远的空间引起新的周期性变化的电场,新的周期性变化的电场又会在更远的空间引起新的周期性变化的磁场······这样,电磁场就由远及近向周围空间传播开去,形成了电磁波。
专题3 光电效应1.(2020·天津)在物理学发展的进程中,人们通过对某些重要物理实验的深入观察和研究,获得正确的理论认识。
下列图示的实验中导致发现原子具有核式结构的是()A .B .C.D.【答案】D【详解】A.双缝干涉实验说明了光具有波动性,故A错误;B.光电效应实验,说明了光具有粒子性,故B错误;C.实验是有关电磁波的发射与接收,与原子核无关,故C错误;D.卢瑟福的α粒子散射实验导致发现了原子具有核式结构,故D正确;故选D。
2.(2023·海南)(多选)已知一个激光发射器功率为P,发射波长为λ的光,光速为c,普朗克常量为h,则()A.光的频率为cλB.光子的能量为hλC.光子的动量为hλD.在时间t内激光器发射的光子数为Ptchλ【答案】AC【详解】A.光的频率cνλ=选项A正确;B.光子的能量A.卢瑟福的核式结构模型解释了原子光谱的分立特征B.玻尔的原子理论完全揭示了微观粒子运动的规律C.光电效应揭示了光的粒子性D.电子束穿过铝箔后的衍射图样揭示了电子的粒子性【答案】C【详解】A.波尔的量子化模型很好地解释了原子光谱的分立特征,A错误;B.玻尔的原子理论成功的解释了氢原子的分立光谱,但不足之处,是它保留了经典理论中的一些观点,如电子轨道的概念,还不能完全揭示微观粒子的运动规律,B错误;C.光电效应揭示了光的粒子性,C正确;D.电子束穿过铝箔后的衍射图样,证实了电子的波动性,质子、中子及原子、分子均具有波动性,D错误。
故选C。
4.(2023·浙江)被誉为“中国天眼”的大口径球面射电望远镜已发现660余颗新脉冲星,领先世界。
天眼对ηη<倍距地球为L的天体进行观测,其接收光子的横截面半径为R。
若天体射向天眼的辐射光子中,有(1)被天眼接收,天眼每秒接收到该天体发出的频率为v的N个光子。
普朗克常量为h,则该天体发射频率为v 光子的功率为()A.224NL h R νηB .222NL h R νηC .224L h R NηνD .222L h R Nην【答案】A【详解】设天体发射频率为v 光子的功率为P ,由题意可知224R Pt Nh L πηνπ⨯⨯=其中t =1s ,解得224=NL h P R νη故选A 。
2023-2024学年高二上物理:13.4电磁波的发现及应用一.选择题(共8小题)1.关于麦克斯韦电磁场理论,下列说法正确的是()A.在电场周围空间一定存在着磁场B.任何变化的电场周围一定存在着变化的磁场C.均匀变化的磁场周围一定存在着变化的电场D.交变电场在它的周围空间一定产生同频率的交变磁场2.关于电磁波,下列说法中不正确的是()A.电磁波既可以在介质中传播,又可以在真空中传播B.在电磁波发射技术中,使电磁波随各种信号而改变的技术叫调谐C.电磁波在真空中传播时,频率和波长的乘积是一个恒量D.振荡电路的频率越高,发射电磁波的本领越大3.下列关于磁场和电场的说法正确的是()A.恒定的磁场能够在其周围空间产生恒定的电场B.均匀变化的磁场能够在其周围空间产生恒定的电场C.均匀变化的磁场能够在其周围空间产生均匀变化的电场D.按正弦规律变化的磁场能够在其周围空间产生恒定的电场4.下列关于电磁波说法中正确的是()A.电磁波在真空中以光速c传播B.电磁波是纵波C.电磁波不能在空气中传播D.光需要介质才能传播5.根据麦克斯韦电磁场理论,下列说法中正确的是()A.变化的磁场会激发电场,这种电场与静电场相同,其电场线不是闭合曲线B.变化的电场会激发磁场,这种磁场与电流的磁场不同,其磁感线不是闭合曲线C.均匀变化的电场激发变化的磁场,空间将产生电磁波D.振荡的电场激发同频率的振荡的磁场,空间将产生电磁波6.在5G技术领域,华为绝对是领跑者。
与4G相比,5G使用的电磁波频率更高。
下列说法中正确的是()A.5G使用的电磁波是横波B.4G使用的电磁波是纵波C.5G使用的电磁波在真空中传播速度比4G的快D.5G使用的电磁波比4G的更容易绕过障碍物7.下列设备工作时,没有利用电磁波的是()A.移动电话通话B.雷达发现飞机C.电动机通电后正常运转D.收音机接收广播电台信号8.如图,为生活中遇到的各种波,以下关于波的说法正确的是()A.声波可以发生多普勒效应B.Wifi信号的传播需要介质C.丙图是泊松亮斑图样D.月全食时的红月亮是因为红光在月球表面发生干涉所致二.多选题(共4小题)9.关于电磁波,以下说法中正确的是()A.电磁波本身就是物质,因此可在真空中传播B.电磁波由真空进入介质,速度变小,频率不变C.在真空中,频率高的电磁波波速较大D.只要发射电路的电磁振荡停止,产生的电磁波立即消失10.关于电磁波谱,下列说法中正确的是()A.X射线穿透性强,机场安检用来检查旅客是否携带违禁品B.高温物体才能向外辐射红外线C.紫外线可使钞票上的荧光物质发光D.无线电波可广泛用于通信和广播11.甲、乙两种磁场的磁感应强度B随时间t变化如图所示()第1页共10页第2页共10页。
电磁波-----高中物理模块典型题归纳(含详细答案)一、单选题1.在LC电路中发生电磁振荡时,以下说法正确的是()A.电容器的某一极板,从带最多的正电荷放电到这一极板充满负电荷为止,这一段时间为一个周期B.当电容器放电完毕瞬间,回路中的电流为零C.提高充电电压,极板上带更多的电荷时,能使振荡周期变大D.要提高振荡频率,可减小电容器极板间的正对面积2.下列说法正确的是()A.电磁波是一种横波B.空间有变化的电场(或磁场)存在,一定能形成电磁波C.微波的频率高于可见光D.当物体以接近光速的速度运动时,物体的质量变化才明显,因此牛顿运动定律不仅适用于低速运动,而且适用于高速运动3.下列有关电磁波的说法正确的是()A.伽利略预言了电磁波的存在B.雷达利用电磁波只能测距不能定位C.移动电话利用电磁波传送信号D.电磁波不能在介质中传播4.关于电磁场和电磁波,下列说法不正确的是()A.变化的电场能够产生磁场,变化的磁场能够产生电场B.麦克斯韦第一次通过实验验证了电磁波的存在C.无线电波、红外线、可见光、紫外线、x射线、γ射线都是电磁波D.紫外线是一种波长比紫光更短的电磁波,能够灭菌消毒5.关于电视信号的发射,下列说法中正确的是()A.摄像管输出的电信号可以直接通过天线向外发射B.摄像管输出的电信号必须加在高频等幅振荡电流上,才能向外发射C.伴音信号和图象信号不是同步向外发射的D.电视台发射的是带有信号的长波6.LC振荡电路中,某时刻磁场方向如图所示,则下列说法正确的是()A.若磁场正在减弱,则电容器上极板带正电B.若电容器正在放电,则电容器上极板带负电C.若电容器上极板带正电,则自感电动势正在减小D.若电容器正在充电,则自感电动势正在阻碍电流减小7.如图1甲所示的振荡电路中,电容器极板间电压随时间变化的规律如图1乙所示,则电路中振荡电流随时间变化的图象是图2中的(回路中振荡电流以逆时针方向为正)()A. B. C. D.二、多选题8.要接收到载有信号的电磁波,并通过耳机发出声音,在接收电路中必须经过下列过程中的()A.调幅B.调频C.调谐D.解调9.在LC振荡电路中,和时电感线圈中的磁感线和电容器中的极板带电情况如图所示,若,则下列说法中正确的是A.在时刻电容器正在充电B.在时刻电容器正在充电C.在时刻电路中的电流处在增大状态D.在时刻电路中的电流处在增大状态10.如果表中给出的是LC电路中电容器里电场强度E或振荡电流i与各时刻的对应关系,TTA.若甲表示电场强度E,则丙表示相应的振荡电流iB.若乙表示电场强度E,则甲表示相应的振荡电流iC.若丙表示电场强度E,则甲表示相应的振荡电流iD.若丁表示电场强度E,则丙表示相应的振荡电流i11.下列关于电磁波谱各成员说法正确的是()A.最容易发生衍射现象的是无线电波B.紫外线有明显的热效应C.X射线穿透能力较强,所以可用来检查工件D.明朗的天空看起来是蓝色是光散射的结果12.如图所示,一个闭合导线圈静止于磁场中,由于磁场强弱的变化,而使电路中产生了感生电动势.下列说法正确的是()A.磁场变化时,会在空间激发一种电场B.使电荷定向移动形成电流的力是磁场力C.使电荷定向移动形成电流的力是电场力D.从上向下看,当磁场增强时,线圈中有逆时针电场13.下列对无线电广播要对电磁波进行调制的原因的说法正确的是()A.经过调制后的高频电磁波向外辐射能量的本领更强B.经过调制后的电磁波在空间传播得更快C.经过调制后的电磁波在空间传播波长不变D.经过调制后的电磁波在空间传播波长改变14.用一平行板电容器和一个线圈组成LC振荡电路,要增大发射电磁波的波长,可采用的做法是()A.增大电容器两极板间的距离B.减小电容器两极板间的距离C.减小电容器两极板的正对面积D.在电容器两极板间加入电介质三、综合题15.由自感系数为L的线圈和可变电容器C构成收音机的调谐电路.该收音机能接收到f1=550kHz至f2=1650kHz范围内的所有电台.求:(1)该收音机能接收到的电磁波的波长范围;(2)可变电容器与f1对应的电容C1和与f2对应的电容C2的比值.16.如果中央广播电台向外发射500kHz的电磁波,若距该台6000km处有一台收音机,求:(1)此电磁波的波长是多大?(2)从电台发出的信号经过多长时间可以到达收音机?17.车载Mp3可以把Mp3中储存的音乐,以无线发射方式发射到车载调频立体声收音设备中,车主只需将汽车收音机的频率设定为车载Mp3的频率,或让收音机搜索到该频率即可进行播放.如图为某种型号的车载Mp3 ,若其设置频率为87.5MHz,试求:(1)所发射的无线电波的波速是多少?(2)所发射的无线电波的波长是多少?18.质量为m、长度为L的通电技术杆ab水平搁置在两压力传感器上(杆与传感器绝缘).处于磁感应强度为B ,垂直纸面向里的匀强磁场中,金属与磁场垂直.如图所示.金属杆中的电流大小和方向均可以改变,但金属杆一直处于静止状态,两压力传感器度数时刻保持一致,重力加速度为g ,则:(1)若电流大小为I、方向由b到a ,试求此时压力传感器的读数;(2)若压力传感器的度数均为F ,求通入的电流的大小和方向.答案一、单选题1.【答案】D【解析】【解答】电容器某一极板从带最多的正电荷到带最多的负电荷这段时间,电容器完成了放电和反向充电过程,时间为半个周期,A错误;电容器放电完毕瞬间,电路中电场能最小,磁场能最大,故电路中的电流最大,B错误;振荡周期仅由电路本身决定,与充电电压等无关,C错误;提高振荡频率,就是减小振荡周期,可通过减小电容器极板正对面积来减小电容C,达到增大振荡频率的目的,D正确.【分析】理解LC振荡电路充放电的过程,根据相关内容解答。
【课程标准】知道电磁波。
知道电磁波在真空中的传播速度。
了解电磁波的应用及其对人类生活和社会发展的影响。
【学习目标】1.知道电磁波的产生和传播.2.知道电磁波在真空中的传播速度.3.知道波长、频率和波速的关系.4.了解电磁波的应用以及对人类生活和社会发展的影响。
【重点难点】重点是电磁波的产生和传播.【难点】难点是波长、频率和波速的关系。
知识点1. 电磁波的产生与传播1.电磁波的产生——导线中电流的迅速变化会在周围空间激起电磁波。
2.电磁波可以在真空中传播,不需要任何介质。
电磁波在真空中的波速为c,大小和光速一样, c=3×108m/s =3×105km/s3.电磁波的家族:无线电波、红外线、可见光、紫外线、X 射线、γ射线。
知识点2. 电磁波的波长λ、频率f 和波速c(1)波长:电流每振荡一次电磁波向前传播的距离叫做波长,用λ表示,单位是m 。
波长表示相邻两个波峰之间的距离,或相邻两个波谷之间的距离。
(2)频率:一秒内电流振荡的次数交频率,用f 表示,单位是赫兹(Hz ),比赫兹(Hz )大的还有千赫(kHz )、兆赫(MHz )。
1 MHz=103 kHz 1 kHz=103 Hz 1 MHz=106 Hz(3)波速:一秒内电磁波传播的距离,用c 表示,单位是m/s 。
(4)波长、频率和波速的关系c=λf λ=c f f =cλ。
(5)电磁波的波长λ与频率f 成反比。
知识点3. 无线电波1.电磁波中用于广播、电视和移动电话的是频率为数百千赫至数百兆赫的那一部分,叫做无线电波(无线电技术中使用的电磁波)。
2.无线电波特点:无线电波的波长从几毫米道几千米,通常根据波长或频率把无线电波分成几个波段,包括:长波、中波、短波、微波等,各个波段的无线电波有各自的传播方式和用途,如下表所示。
【例题1】(广东省)电磁波的频率与波长的大致分布如图所示,下列说法正确的是()A. 紫外线属于可见光B. 红外线的波长比可见光的短C. X射线的频率比无线电波的低D. 可见光与γ射线在真空中的传播速度相等【答案】D【解析】本题考查了电磁波多个方面的知识,都是一些记忆型的,难度不大,在平时学习中注意多积累。
第1页(共10页)
2025年高考物理总复习专题38电磁振
荡与电磁波
模型归纳
1.LC 振荡电路
振荡电路
电磁振荡能量关系周期和频率
电磁振荡:在LC 振荡电路中,电容器不断地充电和放电,就会使电容器极板上的电荷量q 、电路中的电流i 、电容器内的电场强度E 、线圈内的磁感应强度B 发生周期性的变化,这种现象就是电磁振荡.
(1)放电过程中电容器储存的电场能逐渐转化为线圈的磁场能.
(2)充电过程中线圈中的磁场能逐渐转化为电容器的电场能.
(3)在电磁振荡过程中,电场能和磁场能会发生周期性的转化.
(1)周期T =2πLC .(2)频率f =1
2πLC .2.电磁波电磁波谱
频率/Hz
真空中波长/m 特性应用
递变规律无线电波<3×10
11
>10
-3
波动性强,易发生衍射无线电技术衍射能力
减弱,直线
红外线1011~1015
10-7~10-3
热效应红外遥感可见光
1015
10-7
引起视觉
照明、摄影。
电磁波【学习目标】1.知道麦克斯韦电磁场理论的两个基本观点:变化的磁场产生电场,变化的电场产生磁场.2.知道电磁场在空间传播形成电磁波以及电磁波的基本特点.3.知道赫兹实验以及它的重大意义.4.知道什么是LC振荡电路和振荡电流.5.知道LC回路中振荡电流的产生过程.6.知道产生电磁振荡过程中,LC回路中能量转换情况,知道阻尼振荡和无阻尼振荡.7.知道什么是电磁振荡的周期和频率,知道己c回路的周期和频率公式,并能进行简单的计算.8.知道什么样的电磁振荡电路有利于向外发射电磁波.9.了解无线电波的发射过程和调制的简单概念,了解调谐、检波及无线电波接收的基本原理.10.了解无线电波的波长范围.11.了解电视、雷达和移动电话的基本原理以及因特网.12.知道电磁波谱以及各组成部分.13.知道无线电波、红外线、紫外线、可见光、X射线、 射线的主要作用.14.知道电磁波具有能量,是一种物质.【要点梳理】要点一、电磁波的发现【高清课堂:电磁波】1.麦克斯韦电磁场理论在19世纪60年代,英国物理学家麦克斯韦在总结前人研究电磁现象成果的基础上,建立了完整的电磁场理论,预言电磁波的存在。
(1)变化的磁场产生电场.如图所示,麦克斯韦认为在变化的磁场周围产生电场,是一种普遍存在的现象,跟闭合电路(导体环)是否存在无关.导体环的作用只是用来显示电场的存在.要点诠释:在变化的磁场中所产生的电场的电场线是闭合的;而静电场中的电场线是不闭合的.(2)变化的电场产生磁场.根据麦克斯韦理论,在电容器充放电的时候,不仅导体中的电流要产生磁场,而且在电容器两极板间变化着的电场周围也要产生磁场.(如图所示)2.麦克斯韦电磁场理论的理解(1)恒定的电场不产生磁场.(2)恒定的磁场不产生电场.(3)均匀变化的磁场在周围空间产生恒定的电场.(4)均匀变化的电场在周围空间产生恒定的磁场.(5)振荡电场产生同频率的振荡磁场.(6)振荡磁场产生同频率的振荡电场.3.电磁场如果在空间某区域中有周期性变化的电场,那么这个变化的电场就在它周围空间产生周期性变化的磁场;这个变化的磁场又在它周围空间产生新的周期性变化的电场……变化的电场和变化的磁场是相互联系着的,形成不可分割的统一体,这就是电磁场.要点诠释:上述分析可看出,有单独存在的静电场,也有单独存在的静磁场,但没有静止的电磁场.4.电磁波电磁场由近向远传播,形成电磁波.电磁波具有以下特点:(1)电磁波中的电场和磁场相互垂直,电磁波在与两者均垂直的方向传播.电磁波是横波.(2)相邻两个波峰(或波谷)之间的距离等于电磁波的波长,一个周期的时间,电磁波传播一个波长的距离vfλ=.(3)电磁波的频率为电磁振荡的频率,由波源决定,与介质无关.在真空中的速度为83.010m/sc=⨯.(4)电磁波与机械波一样,也能产生反射、折射、干涉、衍射等现象,也是传播能量的一种形式.(5)电磁波传播不需要借助介质、在真空中也能传播.5.麦克斯韦的重大贡献麦克斯韦集电磁学研究成果之大成,不仅预言了电磁波的存在,而且揭示了电、磁、光现象在本质上的统一性,建立了完整的电磁理论.麦克斯韦电磁理论足以跟牛顿力学体系相媲美,它是物理学发展中一个划时代的里程碑.6.赫兹发现了电磁波(1)赫兹实验装置.(2)赫兹观察到:当感应圈两个金属球间有火花跳过时,导线环两个小球间也跳过火花.据此实验,赫兹在人类历史上首先捕捉到了电磁波.(3)在以后的实验中,赫兹观察到了电磁波的反射、折射、干涉、偏振和衍射,并通过测量证明电磁波在真空中速度为c .这样赫兹证实了麦克斯韦的电磁理论.要点二、电磁振荡【高清课堂:电磁波】 1.电磁振荡(1)振荡电流和振荡电路:①振荡电流:大小和方向都作周期性变化的电流叫振荡电流.②振荡电路:能够产生振荡电流的电路,叫振荡电路.最简单的振荡电路为LC 回路.(2)电磁振荡:在振荡电路产生振荡电流的过程中,电容器极板上的电压,电路中的电流,以及跟电荷相联系的电场,跟电流相联系的磁场都在发生周期性的变化,这种现象叫电磁振荡. (3)阻尼振荡和无阻尼振荡:①阻尼振荡:在电磁振荡中,如果能量逐渐损耗,振荡电流的振幅会逐渐减小,直至停止振荡.②无阻尼振荡:在电磁振荡中,如果无能量损失,振荡永远持续下去,这种振荡叫无阻尼振荡. 2.电磁振荡过程分析振荡电流图像电路状态时刻t 0/4T /2T3/4T T电量q 最多 0 最多 0 最多 电场能 最大 0最大 0最大电流i 0 正向最大 0 反向最大 0 磁场能0 最大0 最大LC 回路中产生电磁振荡的过程:已充电的电容器刚要放电的瞬间,电路里没有电流,电容器两极板上的电荷最多.此时电场能最强,磁场能最弱.电容器开始放电后,由于线圈的自感作用,放电电流不能立即达到最大值,而是由零逐渐增大,同时电容器极板上的电压逐渐减少,到放电完毕的瞬间,电容器极板上没有电荷,放电电流达到最大值.在这个过程中,电容器里的电场能逐渐减弱,磁场能逐渐增强,到放电完毕的瞬间,电场能全部转化为磁场能.电容器放电完毕的瞬间,电流要保持原方向继续流动并减小,电容器反方向继续充电,极板上的电荷逐渐增多,电场能逐渐增强,磁场能逐渐减弱,到充电完毕,电场能最强,磁场能最弱.此后,这样充电和放电的过程反复进行下去. 3. L C 回路的周期和频率(1)影响因素:实验表明:电容或电感增加时,周期变长,频率变低;电容或电感增加时,周期变长,频率变低;电容或电感减小时,周期变短,频率变高. (2)公式:2T LC π=,12f LCπ=.其中:周期T 、频率f 、自感系数L 、电容C 的单位分别是秒、赫兹、亨利、法拉,符号分别是s Hz H F 、、、.(3)应用说明:适当地选择电容器和线圈,就可以使振荡电路的周期和频率符合需要.在需要改变振荡电路的周期和频率时,可以用可变电容器和线圈组成电路,改变电容器的电容,振荡电路的周期和频率就随之改变.要点三、电磁波的发射和接收【高清课堂:电磁波】1.若要有效向外发射电磁波,振荡电路必须具有的特点(1)要有足够高的频率:发射电磁波的功率与振荡频率的四次方成正比.如果是低频信号,要用高频信号运载才能更有效地发射出去.(2)采用开放电路,使振荡电路的电磁场必须尽可能地分散到大的空间.天线和地线也可组成开放电路.在电磁波发射技术中,使电磁波随各种信号而改变的技术叫做调制.调制的装置如图所示.2.电磁波的发射与调制(1)调幅:使高频振荡的振幅随信号而改变叫调幅. 调幅作用如图所示.甲:声音信号的波形.乙:高频等幅振荡电流的波形.丙:经过调幅的高频振荡电流的波形.(2)调频:使高频振荡的频率随信号而改变叫调频.调频的作用如图所示.甲:声音信号的波形.乙:高频等幅振荡信号的波形.丙:经过调频的高频振荡电流的波形.(3)电磁波的发射方框图.3.无线电波的接收(1)电谐振:当接收电路的固有频率跟接收到的电磁波的频率相同时,接收电路中产生的振荡电流最强,这种现象叫电谐振.(2)调谐:使接收电路产生电谐振的过程叫调谐.能够调谐的接收电路叫调谐电路.调谐的方法一般是改变电路的L或C.(3)检波:从接收到高频振荡中“检”出所携带的波,叫检波.检波是调谐的逆过程,也叫解调.检波电路如图.检波作用,如图.甲:检波前的高频调幅电流,乙:检波后的单向脉动电流,丙:流过耳机的音频电流.4.无线电波的分类 1 >毫米的电磁波叫无线电波.无线电波可以分成若干波段.波段 波长频率传播方式 主要用途 长波 300003000~米 10100~千赫 地波 超远程无线电通讯和导航 中波 3000200~米 1001500~千赫地波和天波 无线电广播和电报通讯中短波 20050~米 15006000~千赫 短波 5010~米 630~兆赫 天波微 波米波 101~米 30300~兆赫 近似直线传播 无线电广播、电视、导航分米波 101~分米 3003000~兆赫 直线传播 电视、雷达、导航厘米波 101~厘米 300030000~兆赫 毫米波101~毫米30000300000~兆赫5.电磁波的传播特性无线电技术中使用的电磁波叫做无线电波,它们的波长在几毫米到几十千米之间.无线电波在沿地球表面、大气层中传播时,由于不同波长的电磁波衍射和波被吸收的情况各不相同,不同波长的电磁波在传播方式上也各不相同.无线电波主要的传播方式有:地波传播、天波传播和直线传播三种.(1)地波传播:沿地球表面空间传播的无线电波.如图所示,由于地面上有高低不平的山坡和房屋等障碍物,只有能绕过这些障碍物的无线电波,才能被各处的接收机所接收到,根据波的衍射特性,当波长大于或相当于障碍物的尺寸时,就可以绕到障碍物的后面.地面上的障碍物一般都不是很大,长波能很好地绕过它们,中波和中短波也能较好地绕过.短波和微波由于波长短,绕过障碍物体的本领很差.这种传播方式对长波、中波和中短波比较适宜,对短波和微波而言,被吸收损耗的能量较多,并且它们的衍射本领较差,故不适宜.(2)天波传播:依靠大气层中的电离层的反射来传播的无线电波叫做天波.我们知道,地球被厚厚的大气包围着.地表50千米到几百千米内的大气,由于太阳光的照射使大气中的一部分气体分子发生电离,这层大气就叫做电离层.电离层对于不同波长的电磁波表示出不同的特性:对于波长短于10 m的微波,电离层能让它穿过,飞向宇宙;对于长波,电离层基本把它吸收;对于中波、中短波、短波,波长越短,电离层对它吸收得越少而反射得越多,因此短波最适宜以天波的形式传播.(3)直线传播:微波又叫超短波,它既不能以地波的形式传播(易被吸收),又不能依靠电离层的反射以天波的形式传播(能穿透),微波只能像光那样,沿直线传播.这种沿直线传播的电磁波叫空间波或视波.要点四、电磁波与信息化社会【高清课堂:电磁波】 1.光缆传输电磁波可以通过无线传输,也可以通过有线传输.电磁波的频率越高,相同时间传递的信息量越大,而光的频率比无线电波的频率高得多.因此光缆可以传递大量信息.2.电视(1)电视信号的采集.摄像机采集图像信号,在1 s 内要传递25帧画面,电视接收机也以相同的速度在荧光屏上显现这些画面,由于画面更换迅速和视觉暂留效应,我们感觉到的便是活动的图像. 声音信号由话筒采集. (2)电视信号的发射.(3)电视信号的接收.3.雷达(1)雷达是利用无线电波来测定物体位置的无线电设备.(2)雷达用的是通过转动的天线发射微波信号,这种信号传播的直线特性好.遇到障碍物要发生反射,反射信号又被雷达天线接收,测出从发射信号到接收目标反射信号的时间t ,就可以知道目标到雷达的距离12s ct,并可确定目标的方向. (3)除军事用途外,雷达可以为飞机、船只导航,可以用于研究天体的运动. 4.移动电话移动通信是指通信双方中至少有一方可以自由移动进行信息交换的通信方式. 移动通信的工作模式如图所示.因特网是世界上最大的计算机互联网.人们可以通过互联网玩游戏、听音乐、看电影、看电视、聊天、经商、购物、从事金融活动,也可以通过互联网查阅各种资料,进行远程教学、远程医疗,甚至可以为身处世界各地的人召开电视会议;通过互联网可以进行网上办公、网上上班、网上信息发布等.高中生学习任务重,不能因上网而影响正常的学习、生活.要点五、电磁波谱【高清课堂:电磁波】1.电磁波谱无线电波、红外线、可见光、紫外线、伦琴射线、γ射线合起来,构成了范围非常广阔的电磁波谱.可见光只是其中很窄的一个波段.由于它们都是本质上相同的电磁波,所以它们的行为都服从共同的规律,但另一方面,由于它们的频率不同而又表现出不同的特性.例如,波长较长的无线电波,很容易表现出干涉、衍射现象,但对波长越来越短的可见光、紫外线、伦琴射线、γ射线,要观察到它们的干涉、衍射现象就越来越困难了.如图所示是按波长由大到小(频率由小到大)顺序排列的.从无线电波到 射线都是本质相同的电磁波,其行为服从共同的规律,但因波长(或频率)不同又表现出不同的特点.2.无线电波(1)波长大于l mm、频率小于300GHz的电磁波是无线电波.(2)无线电波用于通信和广播.许多自然过程也辐射无线电波.天文学家用射电望远镜接收天体辐射的无线电波,进行天体物理研究。
17.2电磁波及其传播(考点解读)(解析版)1、波的基本特征(1)振幅:振动的幅度,用字母A表示。
它反映了振动的强弱。
(2)周期:振动一次所需要的时间,用字母T表示,单位是秒(s)。
(3)频率:符号是f,其数值等于每秒内振动的次数,用字母表示。
频率与周期反映了振动的快慢,它们的关系是:f=1/T。
(4)波长:波在一个周期内传播的距离,用字母λ表示。
(5)波速:波传播的速度,用字母c表示。
(6)关系:波速=波长×频率,用符号表示为:c=λf。
2、了解电磁波(1)电流的迅速变化会在周围空间激起电磁波,不变化的电流不能激起电磁波;(2)可以在真空中或者介质中通过变化的电场和磁场相互激发,形成电磁波。
(3)常见的电磁波发射器有广播电台、电视台,接收器有收音机、电视机;手机既可以发射电磁波,又可以接收电磁波。
(4)电磁波的传播:电磁波的传播不需要介质,电磁波可以在固体、液体、气体中传播,也可以在真空中传播。
(5)电磁波的应用①微波炉:利用电磁波(波长很短的微波)来加热食品。
②雷达:利用无线电波测定物体位置的无线电设备;工作原理:电磁波如果遇到尺寸明显大于波长的障碍物就要发生反射,雷达就是利用电磁波的这个原理,波长越短,传播直线性越好,反射性能越强。
③无线电波:电磁波中用于广播、电视和移动电话的频率为数值数百千赫兹至数百兆赫兹的那部分叫做无线电波(无线电技术中使用的电磁波);根据波长的不同而有不同传播特征:分为地波,天波,空间波三种;激光:激光束平行度特别好,在传播很远的距离后仍能保持一定的强度,制成激光测距雷达;激光束的亮度高,在很小的空间和很短的时间内能集中很大的能量,利用激光束切割物质,焊接金属,医学上称作“光刀”。
【考点1波的基本特征】【典例1-1】(2023•禅城区模拟)如图中是甲、乙两种不同电磁波的传播图像,下列说法正确的是()A.甲、乙两种电磁波的振动频率相同B.甲电磁波的传播速度较快C.甲电磁波振动的波长较长D.甲电磁波振动的频率较大【答案】C【分析】真空中电磁波速是恒定不变的,波速=波长×频率。
第十四章《电磁波》测试题(解析版)一、单选题(共15小题)1.彩色超声波检测仪,简称彩超,工作时向人体发射频率已知的超声波,当超声波遇到靠近或远离探头的血流时探头接收的回波信号频率会升高或降低.利用计算机技术给这些信号加上色彩,显示在屏幕上,可以帮助医生判定血流的状态.而用X射线对人体的摄影,简称CT.工作时X射线对人体进行扫描,由于人体各种组织的疏密程度不同,部分射线穿透人体而部分被遮挡,检测器接收到的射线就有了差异,从而可以帮助医生诊断病变.根据以上信息,可以判断下列说法中正确的是()A.彩超工作时利用了多普勒效应B. CT工作时利用了波的衍射现象C.彩超和CT工作时向人体发射的都是纵波D.彩超和CT工作时向人体发射的都是电磁波2.下列电磁波中波长最长的波是()A. X光B.可见光C.红外线D.γ射线3.下列关于电磁波的说法,正确的是()A.电磁波在同种介质中只能沿直线传播B.电场随时间变化时一定产生电磁波C.做变速运动的电荷在空间产生电磁波D.麦克斯韦第一次用实验证实了电磁波的存在4.设地球的半径为R,地球表面重力加速度为g,月球绕地球公转周期为T,玉兔号月球车所拍摄的月面照片从月球以电磁波形式发送到北京航天飞行控制中心所用时间约为(真空中的光速为c,月地距离远大于地球半径)()A.B.C.D.5.自从1862年麦克斯韦从理论上预言了电磁波的存在,1888年赫兹通过实验证实了电磁波的存在后,利用电磁波的技术雨后春笋般相继问世:无线电报、无线电广播、无线电导航、无线电话、电视、雷达,以及遥控、遥感、卫星通讯、射电天文学…,它们使整个世界面貌发生了深刻的变化.下列有关的说法中正确的是()A.无线电波波速在任何情况下都等于真空中的光速cB.电磁波的频率越高,越容易沿直线传播C.手机所用的微波在传播过程中比无线电广播所用的中波更容易绕过障碍物D.在无线电通讯中,声音信号通常要通过调谐“加载”在高频信号上后,才向外发射6.LC振荡电路中,某时刻磁场方向如图所示,则下列说法中正确的是()A.若磁场正在减弱,则电容器上极板带负电B.若电容器正在放电,则电容器上极板带负电C.若电容器上极板带正电,则线圈中电流正在增大D.若电容器正在充电,则自感电动势正在阻碍电流增大7.某收音机的调谐范围是从f1=550 kHz至f2=1 650 kHz,在它的调谐电路里,若自感系数不变,则可变电容器的对应电容之比C1∶C2是()A. 9B.C. 3D.8.下列有关电磁波的说法,正确的是()A.电磁波不能在真空中传播B.电磁波在空气中的传播速度约为340 m/sC.红外线也是电磁波D.超声波是电磁波9.电磁波在生活中有着广泛的应用,不同波长的电磁波具有不同的特性,因此也有不同的应用.下列器件与其所应用的电磁波对应关系不正确的是()A.雷达——无线电波B.紫外消毒柜——紫外线C.手机——X射线D.遥控器——红外线10.一台简单收音机的收音过程至少要经过那两个过程()A.调幅和检波B.调谐和解调C.调制和检波D.调谐和调幅11.真空中电磁波的波速是3.0×108m/s.已知某电磁波的频率是3.0×1010Hz,那么该电磁波在真空中的波长为()A. 1.0×102mB. 9.0×1018mC. 1.0×10-2mD. 10 m12.下列论述正确的是()A.在探究加速度与力、质量的关系实验中使用了理想化模型的思想方法B.光的双缝干涉实验中,若仅将入射光从红光改为紫光,则相邻亮条纹间距一定变大C.一切物体都在不停地发射红外线,物体温度越高,辐射的红外线越强D.雨后天空出现彩虹是光的干涉现象13.若在真空中传播的电磁波频率增大,则该电磁波传播的()A.速度不变,波长减小B.速度不变,波长增大C.速度减小,波长增大D.速度增大,波长不变14.下列说法不正确的是()A.在电磁波谱中,红外线的热效应好B.天空是亮的原因是大气对阳光的色散C.天空呈蓝色的原因是大气对波长短的光更容易散射D.晚霞呈红色的原因是蓝光和紫光大部分被散射掉了15.关于磁场,下列说法正确的是()A.电荷周围一定存在磁场B.电流周围一定存在磁场C.电荷在磁场中一定要受到磁场力D.电流在磁场中一定要受到磁场力二、计算题(共3小题)16.一个雷达向远处发射无线电波,每次发射的时间为1 μs,两次发射的时间间隔为100 μs,在指示器的荧光屏上呈现出的尖形波如图所示,已知图中刻度ab=bc,则障碍物与雷达之间的距离是多大?17.某高速公路自动测速仪装置如图甲所示,雷达向汽车驶来的方向发射不连续的电磁波,每次发射时间约为10-6s,相邻两次发射时间间隔为t,当雷达向汽车发射无线电波时,在显示屏上呈现出一个尖形波;在接收到反射回来的无线电波时,在荧光屏上呈现出第二个尖形波,如图乙所示,根据两个波的距离,可以计算出汽车距雷达的距离,请根据给出的t1、t、t2、c求出汽车车速的表达式.18.在LC振荡电路中,如果C=100 pF,要发出波长为30 m的无线电波,应用多大电感的电感线圈?三、填空题(共3小题)19.我们在选择收音机的电台时,常要旋动收音机上的某个旋钮,这实际上是调节________.20.如图中A为某火箭发射场,B为山区,C为城市.发射场正在进行某型号火箭的发射实验.为了转播火箭发射的实况,在发射场建立了发射台用于发射广播与电视信号.已知传输无线电广播所用的电磁波波长为550 m,而传输电视信号所用的电磁波波长为 0.566 m.为了不让山区挡住信号的传播,使城市居民能收听和收看火箭发射的实况,必须通过建在山顶上的转发站来转发________(填“无线电广播信号”或“电视信号”).这是因为________.21.丹麦物理学家________发现电流能产生磁场,法国物理学家________揭示了磁现象的电本质,英国科学家________发现了利用磁场产生电流的条件,英国物理学家________建立了完整的电磁场理论,预言了电磁波的存在,德国物理学家________用实验成功地证明了电磁波的存在,并且完善了电磁场理论.答案解析1.【答案】A【解析】根据题目的描述当超声波遇到靠近或远离探头的血流时探头接收的回波信号频率会升高或降低.可知,彩超工作利用的是超声波的多普勒效应,故A正确;CT工作利用的是X射线穿透不同组织后的强度不同,与衍射无关,故B错误;彩超发射的是超声波,超声波是机械波;CT发射的是X射线,X射线是电磁波,电磁波是横波,故C、D错误.2.【答案】C【解析】根据电磁波谱排列顺序:无线电波、红外线、可见光、紫外线、X射线(伦琴射线)、γ射线.可见,题中红外线的波长最长.3.【答案】C【解析】电磁波只有在同一种均匀介质中才沿着直线传播,故A错误;电场随时间均匀变化时,产生恒定的磁场,则不会产生电磁波,故B错误;做变速运动的电荷会在空间产生变化的电磁场,形成电磁波,故C正确;麦克斯韦预言了电磁波的存在,但赫兹第一次用实验证实了电磁波的存在,故D错误.4.【答案】B【解析】研究月球绕地球的运动,根据万有引力定律和向心力公式:=①物体在地球表面上时,由重力等于地球的万有引力得:mg=②由①②解得:r=再由t=,则有:从月球以电磁波形式发送到北京航天飞行控制中心所用时间约:t=.5.【答案】B【解析】电磁波只有在真空中速度才等于真空中的光速,在其他介质中传播时速度小于真空中光速.故A错误.电磁波的频率越高,波长越短,则越不容易发生衍射,则更容易沿直线传播.故B正确.波长越长,越容易产生衍射现象,微波的波长比中波短,在传播过程中中波更容易绕过障碍物,故C错误.声音信号通常要通过调制加载在高频信号上后,才向外发射,不是通过调谐.故D错误.6.【答案】B【解析】由楞次定律可得电流顺时针流动,若磁场正在减弱,电容器就处于充电状态,则电容器上极板带正电,故A错误;若电容器正在放电.可知电容器上极板带负电.故B正确;若电容器上极板带正电,说明电容器在充电,磁场能转化为电场能,则线圈中电流应该减小,故C错误;若电容器正在充电,则线圈自感作用正在阻碍电流减小,故D错误.7.【答案】A【解析】根据LC回路的固有频率公式:f=,得:C=,所以可变电容器电容的最大值与最小值之比为==9.8.【答案】C【解析】电磁波可以在真空中传播,所以A是错误的;电磁波的传播速度等于光速,约等于3×108m/s,所以B是错误的;红外线是电磁波的一种,所以C是正确的;超声波是声波的一种,不是电磁波,所以D是错误的.9.【答案】C【解析】10.【答案】B【解析】11.【答案】C【解析】由波速公式c=λf,得该电磁波在真空中的波长:λ===0.01 m=1.0×10-2m.12.【答案】C【解析】在探究加速度与力、质量的关系实验中使用控制变量法,故A错误;光的双缝干涉实验中,光的双缝干涉条纹间距Δx=λ,若仅将入射光从红光改为紫光,由于红光波长大于紫光,则相邻亮条纹间距变小,故B错误;一切物体都在不停地辐射红外线,温度越高,辐射越强,故C 正确;雨后天空出现的彩虹是光的折射现象,故D错误.13.【答案】A【解析】电磁波在真空中的传播速度是3×108m/s;由c=λf知:电磁波频率越高,波长越短.故A 正确,B、C、D错误.14.【答案】D【解析】在电磁波谱中,红外线的热效应好,而紫外线的显著作用是消毒与荧光作用,故A正确;天空是亮的原因是大气对阳光的色散,故B正确;天空是蓝色的,这是因为大气对阳光中波长较短的蓝光散射得较多.故C正确;晚霞呈红色是因为红光波长最长,衍射性最好,故D不正确;本题选不正确的,故选D.15.【答案】B【解析】运动的电荷周围一定存在磁场,静止的电荷周围不会产生磁场,故A错误;电荷的定向移动形成电流,则电流周围一定存在磁场;故B正确;若是静止电荷在磁场中或电荷的运动方向与磁场平行,不受到磁场力,故C错误;电流方向与磁场方向平行时,不受磁场力,故D错误.16.【答案】7.5×103m【解析】图中a和c处的尖形波是雷达向目标发射无线电波时出现的,b处的尖形波是雷达接收到障碍物反射回来的无线电波时出现的,由ab=bc,可知无线电波由发射到返回所用时间为50 μs.设雷达离障碍物的距离为s,无线电波来回时间为t,波速为c,由2s=ct得s==m=7.5×103m17.【答案】v=【解析】第1次测量时汽车距雷达距离s1=,第二次测量时汽车距雷达距离s2=,两次发射时间间隔为t,则汽车车速v===.这里有一个微小误差,即t不是两个位置的时间差,准确值应为t-+,但和相差很小,对v计算结果的影响可略去不计.18.【答案】2.5 μH【解析】由公式T=2π和v=,得L=式中v=3.0×108m/s,C=100×10-12F,L=H=2.5 μH19.【答案】频率【解析】我们调节的实际上是调谐器的一个旋钮,通过调节它可以改变收音机的接收频率,使收音机的频率与所选台的频率相同或相近从而使接收的电信号最强,则可收到想要找的台.20.【答案】电视信号电视信号波长较短,很难发生衍射现象【解析】从题中知,传输无线电广播所用电磁波长为550 m,根据波发生明显衍射现象的条件,知该电磁波很容易发生衍射现象绕过山坡而传播到城市所在的C区,因而不需要转发装置.电视信号所用的电磁波波长为0.566 m,其波长很短,衍射现象很不明显,几乎沿直线传播,能传播到山顶却不能传播到城市所在的C区,要想使信号传到C区,必须通过建在山顶的转发站来转发.21.【答案】奥斯特安培法拉第麦克斯韦赫兹【解析】丹麦物理学家奥斯特发现电能生磁,法国物理学家安培通过分子电流假说,提出磁现象的电本质;而英国科学家法拉第发现磁能生电.英国物理学家麦克斯韦建立了电磁场理论,并预言了电磁波的存在,德国物理学家赫兹第一个用实验证实了电磁波的存在.。
第3讲电磁波板块一主干梳理·夯实基础【知识点1】变化的磁场产生电场、变化的电场产生磁场电磁波的产生、发射、接收及其传播Ⅰ1.麦克斯韦电磁场理论:变化的磁场产生电场,变化的电场产生磁场。
2、电磁场:变化的电场和变化的磁场总是相互联系成为一个完整的整体,这就是电磁场。
3、电磁波:电磁场(电磁能量)由近及远地向周围传播形成电磁波。
(1)电磁波是横波,在空间传播不需要介质。
(2)v=λf对电磁波同样适用。
(3)电磁波能产生反射、折射、干涉、偏振和衍射等现象。
4、发射电磁波的条件(1)要有足够高的振荡频率;(2)必须是开放电路,使振荡电路的电场和磁场分散到尽可能大的空间。
5、调制:有调幅和调频两种方法。
6、电磁波的传播(1)三种传播方式:天波、地波、空间波。
(2)电磁波的波速:真空中电磁波的波速与光速相同,c=3.0×108 m/s。
7、电磁波的接收(1)当接收电路的固有频率跟接收到的电磁波的频率相等时,接收电路中产生的振荡电流最强,这就是电谐振现象。
(2)使接收电路产生电谐振的过程叫作调谐,能够调谐的接收电路叫作调谐电路。
(3)从经过调制的高频振荡电流中还原出调制信号的过程叫作解调,解调是调制的逆过程,调幅波的解调也叫作检波。
8、电磁波的应用电视、雷达和移动电话。
【知识点2】电磁波谱Ⅰ1、定义按电磁波的波长从长到短排列顺序是无线电波、红外线、可见光、紫外线、X射线和γ射线,形成电磁波谱。
2、电磁波谱的特性、应用【知识点3】狭义相对论的基本假设'质速关系爱因斯坦质能方程Ⅰ1.狭义相对论的两个基本假设(1)狭义相对性原理:在不同的惯性参考系中,一切物理规律都是相同的。
(2)光速不变原理:真空中的光速在不同的惯性参考系中都是相同的,光速与光源、观测者间的相对运动没有关系。
2、相对论的质速关系(1)物体的质量随物体速度的增加而增大,物体以速度v 运动时的质量m 与静止时的质量m 0之间有如下关系:m =m 01-⎝ ⎛⎭⎪⎫v c 2。
电磁波的发现及应用知识点:电磁波的发现及应用一、电磁场与电磁波1.麦克斯韦电磁场理论(1)变化的磁场产生电场①在变化的磁场中放一个闭合的电路,由于穿过电路的磁通量发生变化,电路中会产生感应电流.这个现象的实质是变化的磁场在空间产生了电场.②即使在变化的磁场中没有闭合电路,也同样要在空间产生电场.(2)变化的电场产生磁场变化的电场也相当于一种电流,也在空间产生磁场,即变化的电场在空间产生磁场.2.电磁场:变化的电场和变化的磁场所形成的不可分割的统一体.3.电磁波(1)电磁波的产生:周期性变化的电场和周期性变化的磁场交替产生,由近及远向周围传播,形成电磁波.(2)电磁波的特点①电磁波可以在真空中传播.②电磁波的传播速度等于光速.③光在本质上是一种电磁波.即光是以波动形式传播的一种电磁振动.(3)电磁波的波速①波速、波长、频率三者之间的关系:波速=波长×频率.电磁波的波速c与波长λ、频率f的关系是c=λf.②电磁波在真空中的传播速度c=3×108 m/s.二、电磁波谱与电磁波的能量1.电磁波谱(1)概念:按电磁波的波长或频率大小的顺序把它们排列成谱,叫作电磁波谱.(2)各种电磁波按波长由大到小排列顺序为:无线电波、红外线、可见光、紫外线、X射线、γ射线.(3)各种电磁波的特性①无线电波:用于广播、卫星通信、电视等信号的传输.②红外线:用于加热理疗等.③可见光:照亮自然界,也可用于通信.④紫外线:用于灭菌消毒.⑤X射线和γ射线:用于诊断病情、摧毁病变的细胞.2.电磁波的能量(1)光是一种电磁波,光具有能量.(2)电磁波具有能量,电磁波是一种物质.技巧点拨一、麦克斯韦电磁场理论1.变化的磁场在周围空间产生电场,变化的电场也在周围空间产生磁场.2.均匀变化的磁场产生稳定的电场,均匀变化的电场产生稳定的磁场.3.振荡的磁场产生同频率振荡的电场,振荡的电场产生同频率振荡的磁场.4.周期性变化的电场和磁场相互联系,形成一个统一的场,就是电磁场,而电磁场由近及远地向周围空间传播形成电磁波.二、电磁波1.电磁波的形成周期性变化的电场和磁场交替产生,形成电磁场,电磁场由近及远传播,形成电磁波.2.电磁波的特点(1)电磁波的传播不需要介质.在真空中传播速度等于光速c=3×108 m/s.(2)电磁场储存电磁能,电磁波的发射过程就是辐射能量的过程.(3)只有周期性变化的电场和磁场相互激发才能形成电磁波.(4)电磁波是电磁场在空间中的传播,电磁场是一种客观存在的物质——场物质.3.电磁波的波速对于电磁波,用λ表示电磁波的波长、f表示频率、c表示波速,则有c=λf.三、电磁波谱1.电磁波谱电磁波谱的顺序为无线电波、红外线、可见光、紫外线、X射线、γ射线.它们共同构成了范围广阔的电磁波谱.2.不同波长的电磁波的比较例题精练1.(静安区校级期中)关于电磁波及其应用,下列说法中,正确的是()A.电磁波不能被反射B.收音机放进金属薄膜袋内,就不能正常收音C.手机在发短消息时,不发射电磁波D.γ射线不是电磁波2.(浙江二模)电磁波在生活中有着广泛的应用,下列说法正确的是()A.雷达是利用无线电波中的长波来测定物体位置B.太阳辐射在黄绿光附近辐射最强,人眼对黄绿光最敏感C.在电磁波的发射技术中,使载波随各种信号而改变的技术叫调谐D.紫外线的波长比可见光的波长更长,具有较高的能量,可以用来灭菌消毒随堂练习1.(奉贤区二模)我国研制的反隐身米波雷达发射无线电波的波长在1~10m范围内,该无线电波与可见光相比,有()A.更长的波长B.更高的频率C.更大的速度D.更多的能量2.(黄浦区二模)下列电磁波中,从原子核内部发射出来的是()A.红外线B.无线电波C.γ射线D.X射线3.(金台区期末)以下电场中能产生电磁波的是()A.E=10N/C B.E=5sin(4t+1)N/CC.E=(3t+2)N/C D.E=(4t2﹣2t)N/C综合练习一.选择题(共20小题)1.(聊城期末)关于电磁波及其应用,下列说法不正确的是()A.紫外线能使很多物质发出荧光,具有杀菌作用B.雷达是通过发射和接收无线电波来判断远处物体的方位C.β射线有较强的穿透能力,是一种电磁波D.γ射线的穿透力很强,在工业中可用来探伤或流水线的自动控制2.(兰陵县期中)关于电磁场和电磁波,下列说法正确的是()A.电磁波是运动中的电磁场,可以传递能量B.麦克斯韦第一次通过实验验证了电磁波的存在C.变化的电场可能会产生磁场,也可能不产生磁场D.LC振荡电路中当电流最大时电场能也最大3.(青羊区校级期中)下列说法中正确的是()A.机械波的传播需要振源和介质,所以一旦波源停止振动波就立刻消失B.机械波的频率取决于波源,而频率不同的机械波在同种介质中传播速度也不相同,比如在空气中超声波的传播速度比次声波更快C.变化的磁场可以产生电场D.用红外线进行遥控是因为红外线的频率很大,能量很高,所以穿透力很强4.(朝阳区校级期中)下列关于机械波和电磁波的说法中,正确的是()A.电磁波和机械波都能产生干涉、衍射和多普勒效应现象B.波源停止振动,机械波立即停止传播,电磁波能继续传播C.机械波和电磁波由一种介质进入另一种介质传播时,波速保持不变D.机械波和电磁波由一种介质进入另一种介质传播时,波长保持不变5.(天津模拟)当前,新型冠状病毒正在威胁着全世界人民的生命健康,红外测温枪在疫情防控过程中发挥了重要作用。
2020年高考物理100考点最新模拟题千题精练(选修3-4)第三部分光学、电磁波和相对论专题3.9电磁波1.(5分)(2019成都三模)下列说法正确的是____。
(填正确答案标号,选对1个得2分,选对2个得4分,选对3个得5分,每选错1个扣3分,最低得分0分)A.变化的磁场激发电场,变化的电场激发磁场B.电磁波和机械波都能传递能量和信息C.红光的频率低于紫光的频率,在真空中红光的传播速度大于紫光的传播速度D.若在地球上接收到来自某遥远星球的光波的频率变低,则可判断该星球正在离我们远去E.相同的单摆在地球纬度越高的地方,摆动的周期越大【参考答案】ABD【命题意图】本题综合考查麦克斯韦电磁场理论、电磁波和机械波、光速不变原理、多普勒效应、单摆及其相关知识点。
【解题思路】根据麦克斯韦电磁场理论,变化的磁场激发电场,变化的电场激发磁场,选项A正确;电磁波和机械波都能够传递能量和信息,选项B正确;根据光速不变原理,任何频率的光在真空中传播速度都相同,即真空中红光的传播速度与紫光的传播速度相同,选项C错误;若在地球上接收到来自遥远星球的光波的频率变低,根据多普勒效应,说明该星球正在离我们远去,选项D正确;根据单摆周期公式,期越小,选项E错误。
2.(2019·吉林长春质检)(多选)下列说法正确的是________。
A.电磁波和机械波一样依赖于介质传播B.照相机镜头在阳光下呈现淡紫色是光的干涉现象C.泊松亮斑是光的衍射现象,玻璃中的气泡看起来特别明亮是光的全反射现象D.γ射线波长比X射线波长短E.变化的磁场一定会产生变化的电场【参考答案】.BCD【名师解析】电磁波可以在真空中传播,A错误。
均匀变化的磁场产生的电场是不变的,E错误。
3 (5分) (2019山东潍坊教科院模拟)关于电磁波,下列说法正确的是____。
(填正确答案标号。
选对1个得2分,选对2个得4分,选对3个得5分。
每选错1个扣3分,最低得分为0分)A.电磁波在真空中的传播速度与电磁波的频率无关B.周期性变化的电场和磁场可以相互激发,形成电磁波C.电磁波在真空中自由传播时,其传播方向与电场强度、磁感应强度垂直D.利用电磁波传递信号可以实现无线通信,但电磁波不能通过电缆、光缆传输E.电磁波可以由电磁振荡产生,若波源的电磁振荡停止,空间的电磁波随即消失【参考答案】ABC【名师解析】电磁波在真空中的传播速度与电磁波的频率无关,选项A正确;根据麦克斯韦电磁场理论,周期性变化的电场和磁场可以相互激发,形成电磁波,选项B正确;利用电磁波传递信号可以实现无线通信,电磁波能通过电缆、光缆传输,选项D错误;电磁波可以由电磁振荡产生,若波源的电磁振荡停止,空间的电磁波不会消失,选项E错误。
4.(2019·辽宁鞍山质检)(多选)下列说法正确的是________。
A.光导纤维传递光信号是利用光的直线传播原理B.色散现象表明白光是复色光C.泊松亮斑是光的干涉现象D.增透膜的最小厚度应为入射光在增透膜中波长的1 4E.光的偏振现象表明光是横波【参考答案】.BDE【名师解析】光导纤维传递光信号是利用光的全反射原理,A错误。
泊松亮斑是光的衍射现象,C错误。
5.(6分)(2018北京大兴一模)目前,我国正在开展5G网络试点工作,并将于2020年进入全面5G时代。
届时,将开启万物互联时代:车联网、物联网、智慧城市、无人机网络、自动驾驶技术等将一一变为现实。
5G,即第五代移动通信技术,采用3300﹣5000MHz频段,相比于现有的4G(即第四代移动通信技术,1880﹣2635MHz频段)技术而言,具有极大的带宽、极大的容量和极低的时延。
5G信号与4G信号相比下列说法正确的是()A.5G信号在真空中的传播速度更快B.5G信号是横波4G信号是纵波C.5G信号粒子性更显著D.5G信号更容易发生明显衍射【参考答案】C【名师解析】任何电磁波在真空中的传播速度均为光速,故传播速度相同,故A错误;电磁波均为横波,故B错误;5G信号的频率更高,则其粒子性显著,故C正确;因5G信号的频率更高,则波长小,故4G 信号更容易发生明显的衍射现象,故D错误。
6.(多选)(2018·山东省菏泽市上学期期末)关于机械波与电磁波,下列说法正确的是()A.电磁波在真空中的传播速度与电磁波的频率有关B.电磁波可以发生衍射现象和偏振现象C.简谐机械波在给定的介质中传播时,振动的频率越高,则波传播速度越大D.紫外线在水中的传播速度小于红外线在水中的传播速度E.机械波不但能传递能量,而且能传递信息,其传播方向就是能量或信息传递的方向【参考答案】BDE【名师解析】电磁波在真空中的传播速度都等于光速,与电磁波的频率无关,故A错误;衍射现象是波特有的现象,而偏振现象是横波特有的现象,电磁波是一种横波,可以发生衍射现象和偏振现象,故B正确;在同一种均匀介质中传播时,简谐机械波的传播速度相等,故C错误;光在介质中传播,频率越高,传播速度越小,紫外线在水中的传播速度小于红外线在水中的传播速度,故D正确;机械波沿其传播方向既能传递能量,又能传递信息,故E正确.7.(多选)(2018·山西省晋中市适应性调研)以下物理学知识的相关叙述中,正确的是()A.用透明的标准样板和单色光检查平面的平整度是利用了光的偏振B.交警通过发射超声波测量车速是利用了波的多普勒效应C.变化的电场周围一定产生变化的磁场D.狭义相对论认为,在惯性参考系中,光速与光源、观察者间的相对运动无关E.在“用单摆测重力加速度”的实验中,测量n次全振动的总时间时,计时的起始位置应选在小球运动到最低点时为宜【参考答案】BDE【名师解析】用透明的标准样板和单色光检查平面的平整度是利用了光的干涉,选项A错误;交警通过发射超声波测量车速是利用了波的多普勒效应,选项B正确;变化的电场周围一定产生磁场,均匀变化的电场周围产生稳定的磁场,选项C错误;狭义相对论认为,在惯性参考系中,光速与光源、观察者间的相对运动无关,选项D正确;在“用单摆测重力加速度”的实验中,测量n次全振动的总时间时,计时的起始位置应选在小球运动到最低点时为宜,选项E正确.8.(多选)(2018·山西省长治、运城、大同、朔州、阳泉五地市联考)下列说法正确的是()A.日光灯是紫外线的荧光效应的应用B.单摆在做受迫振动时,它的周期等于单摆的固有周期C.机械波从一种介质进入另一种介质后,它的频率保持不变D.麦克斯韦第一次用实验证实了电磁波的存在E.弹簧振子做简谐振动时,振动系统的势能与动能之和保持不变【参考答案】ACE【名师解析】日光灯是紫外线的荧光效应的应用,故A正确;单摆在做受迫振动时,它的周期等于驱动力的周期,故B 错误;机械波的频率由波源决定,和介质无关,故C正确;麦克斯韦预言了电磁波的存在,赫兹第一次用实验证实了电磁波的存在,故D错误;弹簧振子做简谐运动时,振动系统的机械能守恒,即振动系统的势能与动能之和保持不变,故E正确.9.(多选)关于电磁波,下列说法正确的是________。
A.电磁波在真空和介质中的传播速度相同B.周期性变化的电场和磁场可以相互激发,形成电磁波C.电磁波谱中的无线电波与可见光相比,更容易产生显著的衍射现象D.电磁振荡可以产生电磁波,若波源的电磁振荡停止,其发射到空间的电磁波随即消失E.发射电磁波是为了用它传递某种信号,载有信号的电磁波可以在真空中传输也可以通过光缆传输【参考答案】.BCE【名师解析】电磁波在真空中的传播速度最大,在其他介质中的速度将变小,而且介质的折射率越大,速度越小,A错误。
根据电磁波知识知,B正确。
波长越长的无线电波的波动性越显著,干涉、衍射现象越容易发生,C正确。
当发射电路的电磁振荡停止了,只是不能产生新的电磁波,但已发出的电磁波不会立即消失,还要继续传播一段时间,D错误。
电磁波可以通过电缆、光缆进行有线传输,也可以实现无线传输,电磁波的频率越高,相同时间传递的信息越大,光的频率比无线电波的频率高得多,因此光缆可以传递大量信息,E正确。
10.(多选)(2017·四川成都二模)2016年底以来,共享单车风靡全国各大城市,如图所示,单车的车锁内集成了嵌入式芯片、GPS模块和SIM卡等,便于监控单车在路上的具体位置。
用户仅需用手机上的客户端软件(APP)扫描二维码,即可自动开锁,骑行时手机APP 上能实时了解单车的位置;骑行结束关锁后APP 就显示计时、计价、里程等信息。
此外,单车能够在骑行过程中为车内电池充电,满足定位和自动开锁等过程中的用电。
根据以上信息,下列说法不正确的是( )A.单车和手机之间是利用声波传递信息的B.单车某个时刻的准确位置信息是借助通讯卫星定位确定的C.单车是利用电磁感应原理实现充电的D.由手机APP 上的显示信息,可求出骑行的平均速度【参考答案】 BC【名师解析】单车和手机之间是利用电磁波传递信息的,A 错;由手机APP 上显示的是路径,可求出骑行的平均速率,不能计算平均速度,D 错。
11. (2016·湖北襄阳质检)下列说法正确的是( )A .手机通话时发射的无线电波都是经过调制的B .当敌机靠近时,战机携带的雷达接收反射波的频率小于其发射频率C .当变压器的铁芯不闭合时,其原、副线圈的电压比不等于其匝数比D .LC 振荡电路中产生随时间t 按i =a sin bt 的规律变化的振荡电流时,发射的电磁波的波长为2πc b(c 为真空中的光速)【参考答案】.ACD【名师解析】调制就是把信号加载到载波中的过程,所以A 正确;根据多普勒效应,波源和观察者相互靠近时,现察者接收的频率要高于发射频率,所以B 错误;铁芯不闭合时,因为漏磁现象,会造成穿过两个线圈的磁通量不相等,故C 正确;根据b =2πT 和λ=cT 可知,发射的电磁波波长λ=2πc b,故D 正确。
12.(2016·福州质检)用于通信的无线电波能绕过建筑墙体从而保证手机能正常接收信号,而光波却不能绕过墙体实现正常照明功能,这是因为( )A .无线电波是横波,光波是纵波B .无线电波的波速小于光波的波速C.无线电波的振幅大于光波的振幅D.无线电波的波长大于光波的波长【参考答案】:D【名师解析】:波发生明显的衍射现象的条件是:孔、缝的宽度或障碍物的尺寸与波长相差不多,或都比波长小.用于通信的无线电波的波长较大,通常都能绕过建筑墙体,而发生明显衍射,而可见光的波长很小,不能绕过建筑墙体,故不能发生明显衍射,D正确.13.(2016·山西四校联考改编)下列说法正确的是()A.光照射遮挡物形成的影轮廓模糊,是光的衍射现象B.自然光斜射到玻璃、水面、木质桌面时,反射光和折射光都是偏振光C.经过同一双缝所得干涉条纹,红光条纹间距大于绿光条纹间距D.紫外线比红外线更容易发生衍射现象【参考答案】:ABC【名师解析】:由偏振光的特点知,B正确.红光的波长比绿光的波长长,根据双缝干涉条纹间距公式Δx=ldλ可知,经过同一双缝,红光所得干涉条纹间距大,C正确.光绕过障碍物的现象称为光的衍射现象.衍射现象的明显程度与缝的宽度(或障碍物的尺寸)及光的波长有关,缝越窄(或障碍物的尺寸越小),波长越长,衍射现象越明显,与红外线相比,紫外线的波长更短,更不容易发生衍射现象,故A正确,D错误.14.(2016·南京二模)现代生活中,人们已更多地与电磁波联系在一起,并且越来越依赖于电磁波,关于电磁场和电磁波,以下说法正确的是()A.把带电体和永磁体放在一起,即可以在其周围空间中产生电磁波B.手机、电视、光纤通信都是通过电磁波来传递信息的C.医院中用于检查病情的“B超”是利用了电磁波的反射原理D.车站、机场安全检查时“透视”行李箱的安检装置是利用红外线实现成像的【参考答案】.A【名师解析】要产生电磁波,必须要有周期性变化的磁场与周期性变化的电场,交替产生电磁场,电磁场在介质中传播产生电磁波,A错误;通过电磁波可以实现各种通信,B正确;“B超”是利用了超声波的反射原理,C错误;车站、机场安全检查时“透视”行李箱的安检装置是利用X射线实现成像的,D错误。