最新郑州大学远程教育高等数学考试题
- 格式:doc
- 大小:543.00 KB
- 文档页数:3
高等数学考试题目及答案一、单项选择题(每题3分,共30分)1. 以下哪个函数是奇函数?A. \( f(x) = x^2 \)B. \( f(x) = x^3 \)C. \( f(x) = x^4 \)D. \( f(x) = \sin(x) \)答案:B2. 极限 \(\lim_{x \to 0} \frac{\sin(x)}{x}\) 的值是多少?A. 0B. 1C. \(\infty\)D. -1答案:B3. 以下哪个积分是发散的?A. \(\int_0^1 \frac{1}{x^2} dx\)B. \(\int_1^\infty \frac{1}{x^2} dx\)C. \(\int_0^1 \frac{1}{x} dx\)D. \(\int_1^\infty \frac{1}{x} dx\)答案:C4. 函数 \( f(x) = e^x \) 的导数是什么?A. \( e^x \)B. \( e^{-x} \)C. \( \ln(e) \)D. \( 1 \)答案:A5. 以下哪个级数是收敛的?A. \(\sum_{n=1}^\infty \frac{1}{n^2}\)B. \(\sum_{n=1}^\infty \frac{1}{n}\)C. \(\sum_{n=1}^\infty \frac{1}{2^n}\)D. \(\sum_{n=1}^\infty \frac{1}{n^3}\)答案:C6. 函数 \( y = \ln(x) \) 的二阶导数是什么?A. \( \frac{1}{x^2} \)B. \( \frac{1}{x} \)C. \( -\frac{1}{x} \)D. \( -\frac{1}{x^2} \)答案:A7. 以下哪个函数是周期函数?A. \( f(x) = e^x \)B. \( f(x) = \sin(x) \)C. \( f(x) = x^2 \)D. \( f(x) = \ln(x) \)答案:B8. 以下哪个函数是偶函数?A. \( f(x) = x^3 \)B. \( f(x) = x^2 \)C. \( f(x) = \sin(x) \)D. \( f(x) = \cos(x) \)答案:D9. 函数 \( y = x^2 \) 的不定积分是什么?A. \( \frac{x^3}{3} \)B. \( \frac{x^2}{2} \)C. \( \frac{x^3}{2} \)D. \( \frac{x^4}{4} \)答案:A10. 以下哪个函数是单调递增的?A. \( f(x) = e^{-x} \)B. \( f(x) = \ln(x) \)C. \( f(x) = -x^2 \)D. \( f(x) = x^3 \)答案:D二、填空题(每题4分,共20分)1. 函数 \( f(x) = x^2 - 4x + 4 \) 的最小值是 ________。
高等数学考试题和答案大全一、单项选择题(每题4分,共40分)1. 函数f(x)=x^2+3x+2的导数是()A. 2x+3B. 2x+6C. x^2+3D. 2x^2+3x答案:A2. 极限lim(x→0) (x^2+1)/(x^2+x)的值是()A. 1B. 0C. -1D. 2答案:A3. 函数f(x)=e^x的不定积分是()A. e^x + CB. e^(-x) + CC. ln(e^x) + CD. x*e^x + C答案:A4. 曲线y=x^3-3x+2在点(1,0)处的切线斜率是()A. 0B. 3C. -3D. 1答案:B5. 函数f(x)=x^2在区间[0,2]上的定积分是()A. 4C. 6D. 12答案:C6. 函数f(x)=x^3-3x^2+2x的极值点是()A. x=1B. x=2C. x=0D. x=3答案:A7. 函数f(x)=x^2-4x+4的最小值是()A. 0B. 4C. -4答案:A8. 函数f(x)=sin(x)的不定积分是()A. -cos(x) + CB. cos(x) + CC. sin(x) + CD. ln|x| + C答案:B9. 曲线y=x^2+2x+1与x轴的交点个数是()A. 0B. 1C. 2D. 3答案:A10. 函数f(x)=x^3-6x^2+11x-6的零点个数是()A. 0B. 1C. 2D. 3答案:D二、填空题(每题4分,共20分)11. 函数f(x)=x^2-4x+4的对称轴是x=______。
答案:212. 极限lim(x→∞) (x^2-3x+2)/(x^3+2x^2-5)的值是______。
答案:013. 函数f(x)=ln(x)的定义域是x>______。
答案:014. 曲线y=x^3-3x^2+2x的拐点是(1,0),其拐点处的二阶导数为______。
答案:-615. 函数f(x)=e^x的反函数是f^(-1)(x)=______。
郑州大学高等数学下期末考试试卷高等数学B 试卷一、单项选择题(将答案写在括号内,每题4分,共 48分)1.微分方程的一个解是( ).(A) (B) (C) (D)2.微分方程的一个特解应具形式 ( ). (a,b,c,d 为常数)(A) (B)(C) (D)3.若,,则在点处,函数( ).连续. 取得极值. 可能取得极值. 全微分.4.设可微,,则( ).(A) (B) 2 (C) 2 (D)5.设曲面,则在点处的切平面方程为( ).6..(A) (B) (C) (D)7. 函数在点处连续,且两个偏导数存在是在该点可微的( ).充分条件,但不是必要条件. 必要条件,但不是充分条件.充分必要条件. 既不是充分条件,又不是必要条件.8. 已知,为函数的两个驻点,则(). 是极大值. 是极小值.是极小值. 是极大值.9. 周期为2的函数,它在一个周期上的表达式为,设它的傅里叶级数的和函数为,则( ).(A) 0 (B) 1 (C) (D)10.设是平面被圆柱面截出的有限部分,则曲面积分( ). 20y y y '''-+=2y x =x y e =sin y x =x y e -=x e x y y y 228644+=+'-''x ce bx ax 22++x e dx c bx ax 222+++x x cxe be ax 222++x e cx bx ax 222)(++0),(00=y x f x 0),(00=y x f y ),(00yx ),(y x f )A ()B ()C ()D (0d =z ()f u ??≤++=222x 22d )()(t y y x f t F σ()F t '=()tf t π2()tf t π2()tf t 2()tf t π06333=-+++xyz z y x )1,2,1(-)A (018511=-++z y x )B (018511=-+-z y x )C (018511=--+z y x )D (018511=+++z y x )(d d 12222==??≤++y x e I y x y x )1(-e πe π1-e πe π2),(y x f ),(00y x ),(),,(0000y x f y x f y x ),(y x f )A ()B ()C ()D ()0,0()1,1(22442),(y xy x y x y x f ---+=)A ()0,0(f )B ()0,0(f )C ()1,1(f )D ()1,1(f )(x f x x f =)(11 <≤-x )(x S =)23(S 2121-∑4=++z y x 122=+y x =∑S y d。
高等数学考试题库(附答案)一、选择题1. 设函数 $ f(x) = x^3 3x + 2 $,则 $ f'(0) $ 的值为多少?A. 0B. 1C. 1D. 3答案:A2. 设 $ f(x) = e^x $,则 $ f''(x) $ 等于多少?A. $ e^x $B. $ e^x + x $C. $ e^x x $D. $ e^x + 2 $答案:A3. 设 $ y = \ln(x + 1) $,则 $ y' $ 等于多少?A. $ \frac{1}{x + 1} $B. $ \frac{1}{x} $C. $ \frac{1}{x 1} $D. $ \frac{1}{x + 2} $答案:A4. 设 $ y = x^2 $,则 $ y'' $ 等于多少?A. 2B. 4D. 1答案:B5. 设 $ y = \sin(x) $,则 $ y' $ 等于多少?A. $ \cos(x) $B. $ \cos(x) $C. $ \tan(x) $D. $ \tan(x) $答案:A二、填空题1. 设函数 $ f(x) = x^4 2x^3 + x^2 $,则 $ f'(x) $ 的表达式为______。
答案:$ 4x^3 6x^2 + 2x $2. 设 $ y = \ln(x) $,则 $ y' $ 的表达式为______。
答案:$ \frac{1}{x} $3. 设 $ y = e^x $,则 $ y'' $ 的表达式为______。
答案:$ e^x $4. 设 $ y = \cos(x) $,则 $ y' $ 的表达式为______。
答案:$ \sin(x) $5. 设 $ y = \sqrt{x} $,则 $ y' $ 的表达式为______。
答案:$ \frac{1}{2\sqrt{x}} $三、解答题1. 求函数 $ f(x) = x^3 3x + 2 $ 在点 $ x = 1 $ 处的切线方程。
郑州大学高等数学期末考试试卷(含答案) 一、高等数学选择题
1.点是函数的极值点.
A、正确
B、不正确
【答案】B
2.是微分方程.
A、正确
B、不正确
【答案】A
二、二选择题
3.设函数,则().
A、
B、
C、
D、
【答案】C
4. ( ).
A、
B、
C、
D、
【答案】D
5.极限().
A、
B、
C、
D、
【答案】B
6.定积分.
A、正确
B、不正确
【答案】B
7.设,则.
A、正确
B、不正确
【答案】A
8.不定积分( ).
A、
B、
C、
D、
【答案】B
9.曲线在点处切线的方程为().
B、
C、
D、
【答案】D
10.函数在点处连续.
A、正确
B、不正确
【答案】A
11.定积分.
A、正确
B、不正确
【答案】B
12.是偶函数.
A、正确
B、不正确
【答案】A
13.设,则.
A、正确
B、不正确
【答案】B
14.曲线在点处切线的方程为().A、
C、
D、
【答案】A
一、一选择题
15.函数的定义域为.
A、正确
B、不正确
【答案】B。
高等数学考试题库(附答案)1. 解析:求函数 f(x) = x^2 在区间 [0, 2] 上的定积分。
2. 解析:求函数 f(x) = e^x 在区间 [1, 1] 上的定积分。
3. 解析:求函数 f(x) = sin(x) 在区间[0, π] 上的定积分。
4. 解析:求函数 f(x) = cos(x) 在区间[0, π/2] 上的定积分。
5. 解析:求函数 f(x) = ln(x) 在区间 [1, e] 上的定积分。
6. 解析:求函数 f(x) = x^3 在区间 [1, 1] 上的定积分。
7. 解析:求函数f(x) = √x 在区间 [0, 4] 上的定积分。
8. 解析:求函数 f(x) = 1/x 在区间 [1, 2] 上的定积分。
9. 解析:求函数 f(x) = tan(x) 在区间[0, π/4] 上的定积分。
10. 解析:求函数 f(x) = 1/(1 + x^2) 在区间 [0, 1] 上的定积分。
11. 解析:求函数 f(x) = x^2 + 1 在区间 [0, 1] 上的定积分。
12. 解析:求函数 f(x) = e^(x) 在区间 [0, 2] 上的定积分。
13. 解析:求函数 f(x) = sin^2(x) 在区间[0, π] 上的定积分。
14. 解析:求函数 f(x) = cos^2(x) 在区间[0, π/2] 上的定积分。
15. 解析:求函数 f(x) = 1/(1 + x^2) 在区间 [1, 1] 上的定积分。
16. 解析:求函数f(x) = √(1 x^2) 在区间 [1, 1] 上的定积分。
17. 解析:求函数 f(x) = x^3 3x^2 + 2x 在区间 [0, 2] 上的定积分。
18. 解析:求函数 f(x) = e^(2x) 在区间 [1, 1] 上的定积分。
19. 解析:求函数 f(x) = ln(x) 在区间 [1, e^2] 上的定积分。
20. 解析:求函数 f(x) = sin(x)cos(x) 在区间[0, π/2] 上的定积分。
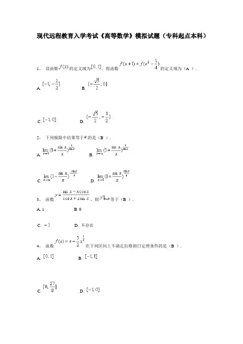
现代远程教育入学考试《高等数学》模拟试题(专科起点本科)1、设函数的定义域为,则函数的定义域为(A ).A. B.C. D.2、下列极限中结果等于的是(B ).A. B.C. D.3、函数,则等于(B ).A. 1B. 0C. D. 不存在4、函数在下列区间上不满足拉格朗日定理条件的是(B ).A. B.C. D.5、设是函数的一个原函数,且,则为(B ).A. B.C. D.6、积分(B ).A. B.C. D.7、已知,,则(A ).A. B.C. D.8、由方程所确定的隐函数,则(B ).A. B.C. D.9、若级数收敛,那么下列级数中发散的是(B ).A. B.C. D.10、设一阶线性微分方程(是已知的连续函数),则它的通解为(D ).A.B.C.D.11、函数是(C ).A. 以为周期的周期函数,且是偶函数B. 以为周期的周期函数,且是偶函数C. 以为周期的周期函数,且是奇函数D. 以为周期的周期函数,且是奇函数12、极限等于(C ).A. B. 1C. D. 213、设函数在点处可导,则的值依次为(A ).A. B.C. D.14、函数在区间内单调增加,则应满足(B ).A. B. 为任意实数C. D.为任意实数15、若,则(D ).A. B.C. D.16、极限(D ).A. 1B. 0C. D.17、二次曲面,表示(C ).A. 球面B. 椭圆锥面C. 椭球面D. 椭圆抛物面18、设,则(C ).A. 是的驻点,但非极值点B. 是的极大值点C. 是的极小值点D. 无驻点19、级数的和为(A ).A. B.C. D.20、齐次方程的通解为(A ).A. B.C. D.21、设,则(D ).A. 函数在的任意去心邻域内都有界B. 函数在的某个邻域内有定义C. 函数在处无定义D. 函数,其中是时的无穷小22、设函数在点可导,则极限为(D ).A. B.C. 不存在D.23、设函数,则等于(C ).A. B.C. D.24、对曲线,下列结论正确的是(D ).A. 有4个极值点B. 有3个拐点C. 有2个极值点D. 有1个拐点25、下列积分可直接使用牛顿-莱布尼兹公式的是(A ).A. B.C. D.26、设曲线及直线围成的平面图形的面积为,则下列四个式子中不正确的是(A ).A. B.C. D.A、AB、BC、CD、D27、过点且与平面平行的平面方程为(B ).A. B.C. D.28、二次积分(D ).A. B.C. D.29、设幂级数的收敛半径为,则的收敛半径为(A ).A. B.C. D.30、微分方程的通解为(B ).A. B.C. D.31、函数,在点处有(B ).A. 连续B. 不连续,但右连续C. 不连续,但左连续D. 左、右都不连续32、若曲线和在点处相切(其中为常数),则的值为(A ).A. B.C. D.33、函数的定义域为(B ).A. B.C. D.34、若函数可导,且,则有等于(B ).A. B.C. D.35、下面结论正确的是(C ).A. B.C. D.36、函数在区间上的最小值是(C ).A. 1B.C. 0D.37、积分(C ).A. 2B.C. 4D.38、设,则(A ).A. 6B. 3C. 2D. 039、下列函数在给定区间上满足罗尔定理条件的是(A ).A. B.C. D.40、曲线在区间上的曲边梯形的面积为(A ).A. B.C. 10D.41、若,则(D ).A. B.C. D.42、二元函数的两个偏导数存在,且,,则(D ).A. 当保持不变时,是随x的减少而单调增加的B. 当保持不变时,是随y的增加而单调增加的C. 当保持不变时,是随x的增加而单调减少的D. 当保持不变时,是随y的增加而单调减少的43、二重积分,是由所围成的区域,则二重积分的值为(B ).A. B.C. D.44、函数展开为的幂级数为(B ).A.B.C.D.45、微分方程的满足初始条件的特解为(C ).A. B.C. D.46、积分(A ).A. 1B. 2C. 3D. 447、已知,,则(D ).A. 0B. 1C. 2D. 348、方程确定隐函数,则(A ).A. B.C. D.49、级数(为常数)收敛的充分条件是(A ).A. B.C. D.50、设可微函数满足,且,则的值为(B ).A. B.C. 1D. 251、设,那么的定义域是(C ).A. B.C. D.52、极限(C ).A. 0B.C. 1D.53、,则(A ).A. B.C. D.54、下列极限中不能使用洛必达法则的是(A ).A. B.C. D.55、已知,且时,,则(C ).A. B.C. D.56、积分(C ).A. B.C. D.57、函数是(D ).A. 奇函数,非偶函数B. 偶函数,非奇函数C. 既非奇函数,又非偶函数D. 既是奇函数,又是偶函数58、已知向量,,,则(A ).A. B.C. D.59、极限(B ).A. B. 0C. 3D.60、由方程所确定的隐函数为,则(A ).A. B.C. D.高等数学模拟试题答案:1、A2、B3、B4、B5、B6、B7、A8、B9、B 10、D 11、C 12、C 13、A 14、B 15、D 16、D 17、C 18、C 19、A 20、A 21、D 22、D 23、C 24、D 25、A 26、A 27、B 28、D 29、A 30、B 31、B 32、A 33、B 34、B 35、C 36、C 37、C 38、A 39、A 40、A 41、D 42、D 43、B 44、B 45、C 46、A 47、D 48、A 49、A 50、B 51、C 52、C 53、A 54、A 55、C 56、C 57、D 58、A 59、B 60、A。
高等数学模拟题
第一部分 客观题
一、判断题
1、 函数x x x f sin )(=在),(+∞-∞上有界。
( 错 B)
2、错B
3、函数的极值点一定是函数的驻点。
( 错 B )
4、对A
5、设)(x f 是一个连续的奇函数,则0)(11=⎰
-dx x f 。
( 对A ) 二、单项选择题
6、 、定积分 dx x ⎰--2
/2/2sin 1ππ的值是: ( D )
(A )0; (B) 1; (C) 2-; (D) 2;
7、在下列指定的变化过程中,( C )是无穷小量. (A) )(1sin ∞→x x x (B) )0(1sin →x x (C) )0()1ln(→+x x (D) )(e 1
∞→x x
8、设(ln )1f x x '=+,则()f x =( C ).
(A) 22x x c ++ (B)22x x e e c ++ (C)x x e c ++ (D)ln (2ln )2x x +
9、.曲线2211x x
e e y ---+=( D )
(A) 无渐近线 (B) 仅有水平渐近线
(C) 仅有铅直渐近线 (D)既有水平渐近线,又有铅直渐近线
10 、 C
第二部分 主观题
一、求解下列各题 1
2、设()y y x =由方程组cos sin sin cos x t t t y t t t
=+⎧⎨=-⎩确定,求dy dx 。
解:
3、求曲线 2(1)y x x =- 的凹凸区间。
解:Y=(x-1)²x 求二阶导数,再找零点 x= - (1/2) ,以所找零点将定义域区间划分为2个区间,(-∞,-(1/2))和((-1/2),+∞),在前一个区间,f ' ' <0 ,为凹区间,后一个区间为凸区间。
在 x= - (1/2) 的左右,其二阶导数变号,故拐点为(-(1/2), 7/8)
4、 求 4
0x e dx -⎰。
5、设
2
2
2
()
()
4
x
x f t dt
F x
x
=
-
⎰
,其中)
(x
f为连续函数,求
2
lim()
x
F x
→。
二、应用题
1、求由曲线2
y x
=与直线2
y x
=+所围成的平面图形的面积。
解:y=x²与y=x+2的交点为:(-1,1), (2,4)
则由曲线y=x²与y=x+2围成图形的面积等于y=x+2-x²在[-1,2]上的定积分. 所以:S=∫[-1,2](x+2-x²)dx
=x²/2+2x-x³/3,l[-1,2]
=(2+4-8/3)-(1/2-2+1/3)
=(6-8/3+2-5/6)
=8-21/6 =27/6 =4.5
三、证明题。