高性能船水动力原理与设计思考题
- 格式:doc
- 大小:48.00 KB
- 文档页数:2
船舶动力装置原理与设计复习思考题第1章1)如何理解船舶动力装置的含义?它有哪些部分组成?2)简述船舶动力装置设计的特点。
3)简述船舶动力装置的设计的主要内容。
4)简述柴油机动力装置的特点。
5)船舶动力装置的技术特征包括哪些技术指标?6)画简图说明推进装置功率传递过程,并解释各个效率的含义。
7)如何理解经济航速的含义?8)谈谈你对新型船舶动力装置的认识(喷水推进、电力推进、吊舱推进、表面桨、AIP等)。
第2章1)画简图说明推进装置的组成。
2)推进装置的形式有哪些?有何特点?3)什么是电力传动推进装置?有哪些优缺点?适用于哪些船舶?4)推进装置的选择应考虑哪些问题?5)主机选型与螺旋桨参数确定需进行那几个阶段?各阶段的主要任务是什么?6)主机选型应考虑哪些问题?7)轴系的基本任务是什么?由哪些部件组成?8)船舶推进轴系工作时,所受机械负荷有哪些?9)在传动轴系中,尾轴的工作条件比较恶劣,主要表现在哪些方面?通常发生的故障有哪些?10)轴系设计有哪些具体要求?11)何为轴线?理想轴系是如何确定的?为什么有些船舶的轴线具有倾斜角和偏斜角?12)中间轴轴承跨距的确定受哪些因素的影响?13)画简图说明螺旋桨轴尾部结构各部分的作用。
14)桨与桨轴有哪几种联结方式?15)螺旋桨导流罩的主要作用是什么?16)如何防止轴的腐蚀?17)写出海规轴径计算的基本公式,并给出式中各量的含义。
18)如何进行中间轴、螺旋桨轴的强度校核计算?19)在轴的强度校核计算中,如何确定许用安全系数?20)滑动式中间轴承润滑性能的校核应从哪些方面着手?21)简述滑动式中间轴承和滚动式中间轴承的特点。
22)画简图说明油楔形成原理。
23)选择滑动式推力轴承主要应考虑哪些参数?24)简述隔舱填料函的作用、要求及结构形式。
25)尾管装置的任务是什么?由哪几部分组成?有几种结构形式?26)简述白合金轴承、橡胶轴承、铁梨木轴承和赛龙轴承的特点。
27)何为轴系的合理校中?有哪些计算方法?28)船舶推进轴系的技术状态通常从哪几方面检查?第3章船舶后传动设备1)船舶后传动设备的在推进装置中主要有哪些作用?2)片式摩擦离合器摩擦面的尺寸由哪些因素决定?如何考虑?3)简述多片式离合、倒顺、减速齿轮箱的原理。
武汉理⼯⼤学《船舶原理C》思考题《船舶原理C 》思考题静⼒学部分1、船舶原理研究内容;船舶静⼒学船舶阻⼒船舶推进船舶操纵性船舶耐波性 2、船舶主尺度定义以及⼏何表达; 1)船长L :常⽤的船长有三种。
总长L oA :船⾸最前端⾄船尾最后端平⾏于设计⽔线的最⼤⽔平距离;垂线间长L pp :⾸、尾垂线之间的⽔平距离;⽔线长L WL :平⾏于设计⽔线⾯的任⼀⽔线与船体型表⾯⾸尾端交点的⽔平距离。
2)型宽B :指船体两侧型表⾯之间垂直于中线⾯的最⼤⽔平距离,⼀般为船长中央处的宽度。
在设计⽔线处的宽度称为设计⽔线宽。
3)型深D :在甲板边线最低点量到龙⾻线的垂直⾼度。
4)型吃⽔T :由龙⾻线量到设计⽔线的垂直⾼度。
5)⼲舷F :在中横剖⾯处,沿船侧由设计⽔线量到甲板边板顶⾯的垂直距离。
F=D-T+甲板边板厚度3、船型系2船型数定义及⼏何意义;船型系数是表⽰船体⽔下部分形状与肥瘦程度的⽆因次系数。
1)⽔线⾯系数C w :与基平⾯平⾏的任⼀⽔线⾯⾯积A w 与由船长L 、型宽B 所构成的长⽅形⾯积之⽐。
2)中剖⾯系数C m :指中横剖⾯在⽔线以下的⾯积A m 与由型宽B 、吃⽔T 所构成的长⽅形⾯积之⽐。
3)⽅形系数C b :船体⽔线以下的排⽔体积?与由船长L 、型宽B 、吃⽔T 构成的长⽅体体积之⽐。
4)纵向棱形系数C p :⼜称纵向棱形系数,是船体⽔线以下的型排⽔体积?与由相对应的中横剖⾯⾯积A m 、船长L 构成的棱柱体体积之⽐。
Cp=▽/(A m *L )=▽/(C m *B*T*L )=C b /C mW w A C L B =mm AC B d=?B VC LBd=P m V C A L =VP W VC A T=?5)垂向棱形系数C vp:船体⽔线⼀下的型排⽔体积?与由相对应的⽔线⾯积A w、吃⽔T所构成的棱柱体体积之⽐。
C vp=▽/(A w*T)=▽/(C wp*L*B*T)=C b/C wp4、浮态的分类与标志;1)正浮状态:船舶的基平⾯与⽔平⾯(以WL⽔线表⽰)平⾏,只⽤吃⽔T表⽰。
《高性能船设计》复习题(Smile版)1、根据你所学的知识,列出10种不同类型的高性能船,并且说明每种类型船舶重量的支撑形式。
答:①排水型:半滑行艇、小水线面双体船、穿浪双体船、三体船、多体船;②空气静力支持:全垫升气垫船、侧壁气垫船;③水动力支持:滑行艇、水翼艇;④空气动力支持:地效翼船(冲翼艇、气翼艇)。
2、为什么高速排水型船舶在傅汝德数5.0=rF左右,其剩余阻力系数达到最大值?P16答:剩余阻力包括兴波阻力和粘压阻力,而对于高速排水型船舶来说兴波阻力较强。
兴波阻力与傅汝德数密切相关,即当Fr很小时船舶兴波很小,因此兴波阻力也会很小。
随着航速Fr的提高,船舶兴波现象越来越明显,通常在Fr=0.5左右兴波现象最为强烈,兴波阻力系数呈现最大值,故其剩余阻力系数达到最大值。
3、叙述确定滑行艇舭部斜升角应考虑的因素。
P219答:主要考虑耐波性和操纵性等方面的要求,特别是为了减小在波浪中能够严重的拍击现象。
①从阻力性能看,试验结果表明,横向斜升角β的增大会引起横向流动增大,并产生严重飞溅使底部的压力损耗增大,因而流体的动力作用减小,升力系数下降从而导致单位排水量的阻力增大。
所以从滑行效率的角度来看,β越小越好;②若艏部的斜升角过小,在波浪中航行时,将引起严重拍击。
因而增大首部的剖面斜升角,可以有利于缓和严重的拍击。
③由于尾部在波浪中拍击要较首部小得多,所以主要着眼于阻力性能,可取更小的斜升角。
④同时应该注意到,保持一定的升斜角,可以使中纵剖面面积不至过小,这有利于满足操纵性的要求。
⑤从斜升角β延板长方向变化的影响来看,在不同的相对速度Fr▽情况下,横向斜升角β变化造成滑行面的扭曲对流体动力性能的影响是不同的。
一般来说,滑行面扭曲越大,则水流的扭转也越严重,能量损耗越大,导致阻力增加越大。
4、为什么说水翼船不适合于大型化P264答:水翼所能提供的浮力与长度成平方关系,但是船的重量却与长度成立方的关系。
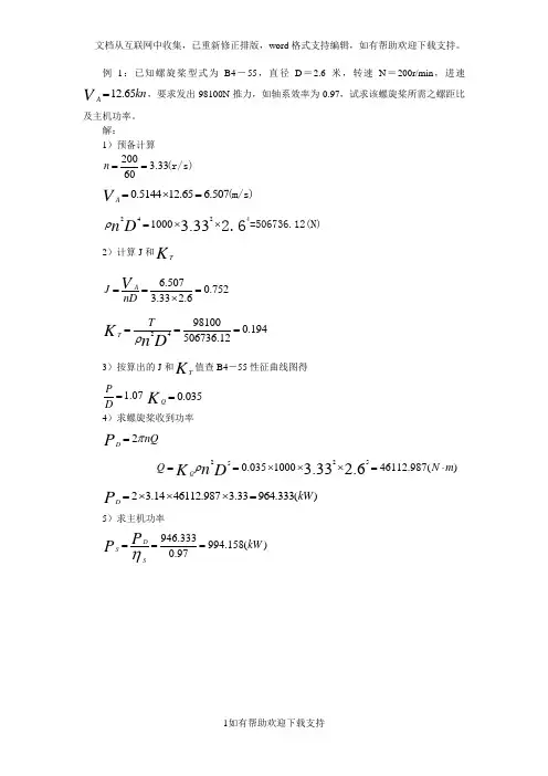
例1:已知螺旋桨型式为B4-55,直径D =2.6米,转速N =200r/min ,进速12.65Akn V=,要求发出98100N 推力,如轴系效率为0.97,试求该螺旋桨所需之螺距比及主机功率。
解:1)预备计算2003.3360n ==(r/s) 0.514412.65 6.507AV=⨯=(m/s)22410003.33n Dρ=⨯⨯4=506736.12(N)2.62)计算J 和TK6.5070.7523.33 2.6AJ nDV===⨯24981000.194506736.12T TK nDρ===3)按算出的J 和TK值查B4-55性征曲线图得1.07PD= 0.035QK=4)求螺旋桨收到功率2DnQ P π=22550.0351********.987()3.33 2.6Q Q N m nK Dρ==⨯⨯⨯=⋅2 3.1446112.987 3.33964.333()DkW P=⨯⨯⨯=5)求主机功率 946.333994.158()0.97D S SkW PP η===例2:已知某单桨船,航速V =14.85kn ,有效功率660.1848EkW P=,螺旋桨直径D=2.6m ,转速N =200 r/min ,推力减额分数t=0.118,伴流分数0.15ω=,相对旋转效率R1.0η=,传送效率S0.95η=,求B4-55系列的螺旋桨所需主机功率。
解: 1)计算J 和TKV 14.850.51447.64(/)m s ⨯==(1)7.64(10.15) 6.50AV Vω=-=-=(m/s)660184.886411.623()7.64ER N VP===86411.62397972.362()(1)(10.118)1P R T N t Z ===--⨯224497972.3620.1931000200() 2.660TTKnDρ===⨯⨯6.500.75200() 2.660A J nD V ===⨯2)由J 和TK值查图谱得1.07PD= 0.035QK=0.66η=3)求主机功率22550.035100046.205()200() 2.660Q kN m QnK Dρ==⨯=⋅⨯⨯46.20546.205()1.0BRkN m QQη===⋅ 20022 3.1446.205967.225()60DB Bn kW Q P π==⨯⨯⨯= 967.2251018.132()0.95DB S SkW PP η===一、判断1、当船模和实船的雷诺数相等时,它们的单位排水量的摩擦阻力相等。
船舶原理课后习题答案船舶原理是一门研究船舶结构、性能和操作原理的学科,它对于船舶设计、建造和运营至关重要。
以下是一些典型的船舶原理课后习题及其答案,供参考:习题一:船舶浮力的计算问题:假设一艘船的排水量为1000吨,求该船的浮力。
答案:根据阿基米德原理,浮力等于船舶所排开的水的重量。
排水量为1000吨,即1000000千克。
水的密度约为1000千克/立方米。
因此,浮力 F = m * g,其中 m 是排水量,g 是重力加速度,取9.81 m/s²。
计算得 F = 1000000 * 9.81 = 9810000牛顿。
习题二:船舶稳定性分析问题:如果一艘船的重心位于船体中心线上方2米处,船的重心高度为4米,求该船的初始稳定性。
答案:初始稳定性可以通过计算船的重心高度与船体中心线上方高度的差值来评估。
在本例中,稳定性高度 h = 4 - 2 = 2米。
这个值越大,船的稳定性越好。
习题三:船舶阻力的计算问题:一艘船以10节的速度航行,其湿表面积为500平方米,水的阻力系数为0.005。
求该船的总阻力。
答案:总阻力 R 可以通过以下公式计算:R = C * A * (v^2) / 2,其中 C 是阻力系数,A 是湿表面积,v 是速度。
首先将速度转换为米/秒,10节 = 5.14米/秒。
代入公式得 R = 0.005 * 500 * (5.14^2) / 2 = 34.5牛顿。
习题四:船舶动力分析问题:一艘船的发动机功率为1000千瓦,船的总阻力为34.5牛顿。
求该船的最大航速。
答案:最大航速可以通过功率和阻力的关系计算得出。
公式为 v = P / R,其中 P 是功率,R 是阻力。
将功率转换为牛顿米/秒,1000千瓦= 1000000瓦特。
代入公式得 v = 1000000 / 34.5 = 28924.32米/秒。
然而,这个速度显然不现实,因为它没有考虑到水的阻力随速度增加而增加的非线性关系。
复习思考题第1章1.如何理解船舶动力装置的含义?它有那些部分组成?船舶动力装置的含义:保证船舶正常航行、作业、停泊以及船员、旅客正常工作和生活所必需的机械设备的综合体。
组成部分:1)推进装置:包括主机、推进器、传动设备。
2)辅助装置:发电机组、辅助锅炉、压缩空气系统。
3)机舱自动化设备。
4)全船系统。
2.简述柴油机动力装置、燃气动力装置、蒸汽轮机装置、电力推进、喷水推进的优缺点。
柴油机动力装置:优点:1、有较高的经济性,耗油率比蒸汽、燃气动力装置低得多2、重量轻(单位重量的指标小)3、具有良好的机动性,操作简单,启动方便,正倒车迅速4、功率范围广。
缺点:1、柴油机尺寸和重量按功率比例增长快2、柴油机工作中的噪声、振动较大;3、中、高速柴油机的运动部件磨损较厉害4、柴油机低速稳定性差;柴油机的过载能力相当差。
燃气动力装置:优点:1、单位功率的重量尺寸小2、启动加速性能好3、重量轻,体积小4、独立性较强,生命力好5、振动小,噪声小6、低NOx排放缺点:1、主机不能反转2、必须借助启动机械启动3、叶片材料昂贵,工作可靠性较差,寿命短(500~1000h);4、进排气管道尺寸大,舱内布置困难。
蒸汽轮机装置:优点:1.单机功率大;2.转速稳定,无周期性扰动力,机组振动噪声小;3、工作可靠性高;4、可使用劣质燃料油,滑油消耗率也很低。
缺点:1、总重量大,尺寸2、燃油消耗率高3、机动性差电力推进装置:优点:1.操纵灵活、机动性好;2.易于获得理想的拖动特性,提高船舶的技术经济性;3.推进装置可由多机组承担,增加了设备选择的灵活性,提高了船舶生命力;4.可以采用中高速不反转原动机;5.原动机与螺旋桨间无硬性机械连接:可以防止振动冲击,有利降噪;使螺旋桨转速可以选择最佳值,而不必受到原动机转速的限制;可以允许柴油机转速也选择最佳值,不必受到螺旋桨转速的限制;可以允许主轴长度大为缩减;可使动力设备布置更加灵活。
缺点:1.质量较大;2.存在中间损耗,故在额定工况时效率较低;3.初投资较大;4.需要技术水平较高的电气维护人员。
船舶流体力学中的水动力分析与设计船舶流体力学是研究船舶在水中运动及其所受流体动力学力学效应的学科。
在船舶设计中,水动力分析与设计是非常重要的环节。
它涉及到了船体外形设计、船舶推进性能、船舶操纵性能等方面。
首先,在船舶流体力学中的水动力分析与设计中,船体外形设计是非常重要的一部分。
船体外形对于水动力性能有着直接的影响。
船体的几何参数、船体的流线型以及船体表面的光滑程度等都会对船舶的阻力产生影响。
因此,在船舶的水动力分析与设计过程中,需要通过数值模拟和实验手段对不同船体形状进行优化和改进,以降低阻力,提高船舶的速度和燃油经济性。
其次,在水动力分析与设计中,船舶的推进性能也是需要重点关注的。
船舶的推进性能直接关系到船舶的动力系统安装和船舶的速度性能。
通过水动力模拟分析,可以确定船舶在不同航速下的托力和推力的大小,进而确定船舶的主机和推进器的安装位置和数量。
优化船舶的推进性能可以提高船舶的运输效率和经济性。
此外,在船舶流体力学中的水动力分析与设计中,船舶的操纵性能也是需要考虑的因素之一。
船舶的操纵性能直接关系到船舶的航行安全和操纵的灵活性。
通过水动力模拟分析,可以确定船舶在不同操纵状态下的动态响应和航向稳定性,进而优化船舶的操纵性能。
优化船舶的操纵性能可以提高船舶的航行安全性和操纵的灵活性。
综上所述,在船舶流体力学中的水动力分析与设计中,船体外形设计、船舶推进性能和船舶操纵性能是需要重点关注和优化的方面。
通过数值模拟和实验手段,可以对船舶的水动力进行分析和优化,提高船舶的速度性能、燃油经济性、航行安全性和操纵灵活性。
水动力分析与设计的优化可以为船舶设计和船舶运营提供科学的依据,为航运行业的发展和技术进步做出贡献。
“高性能船水动力原理与设计”思考题(2012年度)1.何谓高性能船,其特点是什么?2.高性能船的种类有哪些,其中哪些是排水型船?哪些是水动力支撑?哪些是空气动力支撑?3.船型和兴波阻力的关系?4.线性兴波阻力理论在船型设计中的作用?5.船型的概念,船型包含那些内容?6.随体积傅氏数变化,船舶的航态如何变化,如何划分三种典型航态?7.影响耐波性的船型参数有哪些?(图2-4)1)贝尔的耐波性品级指标中影响耐波性的船型参数有哪些?2)莫尔在研究船型与耐波性的关系中,影响纵向运动的船型参数有哪些?8.常用高速方艉圆舭排水型船阻力计算方法有哪些?图谱方法有哪些?9.单体圆舭高速船的船型特点?10.方艉船型的水动力特点?11.方艉船型的特征参数(b/B,β)及其对水动力性能的影响?12.为什么深V船型的耐波性好?13.单体深V高速船的船型特点?14.试比较深V船型与常规圆舭船型的水动力特点?15.画出典型圆舭和深v船型横剖面图。
16.SSB的作用?17.据试验结果,书(P34~37)分析不同参数的SSB首对阻力和耐波性的影响。
18.高速双体船的船型特征及其优缺点?19.高速双体船的阻力特性,分析两片体间干扰阻力产生原因?20.临界速度和无效干扰速度概念,画出典型普通高速双体船的兴波阻力曲线并分析其特点?21.分析修长度系数及片体间距对双体船阻力影响?22.如何估算双体船阻力?有哪些方法?23.试分析双体船航行升沉与纵倾变化的特点,设计中如何计及其影响?24.为什么双体船会发生螺旋运动?25.小水线面双体船的船型特点?26.小水线面船优缺点?27.SWATH的性能特点?28.SWATH的快速性特点,单支柱SWATH兴波阻力公式中包含那些部分?双支柱呢?29.为什么称小水线面双体船是全天候船舶,试分析其耐波性能?30.为什么小水线面双体船纵向运动预报要考虑粘性影响?31.为么小水线面船通常纵向运动不稳定?如何改进?32.鳍的作用及其对耐波性影响?33.WPC的船型特点,画出典型WPC横剖面形状?34.如何选择WPC的横剖面形状?尾端形状及首端形状?35.影响WPC性能的主要船型参数有哪些?并分析之。
船舶动力装置原理与设计复习思考题及答案2022一、选择题1. 船舶动力装置是指船舶上的哪些设备的总称?A. 发动机和传动装置B. 舵机和锚机C. 船舶通信设备D. 船舶导航设备答案:A. 发动机和传动装置2. 船舶动力装置的主要功能是什么?A. 提供船舶的动力B. 控制船舶的航向C. 确保船舶的稳定性D. 提供船舶的通信功能答案:A. 提供船舶的动力3. 船舶动力装置的主要动力来源是什么?A. 风能B. 水能C. 燃油D. 太阳能答案:C. 燃油4. 船舶动力装置的传动方式主要有哪些?A. 电动传动B. 液压传动C. 机械传动D. 气动传动答案:C. 机械传动5. 船舶动力装置的设计原则是什么?A. 高效率、节能B. 低成本、高速度C. 多功能、多样化D. 简单、易维护答案:A. 高效率、节能二、判断题1. 船舶动力装置的设计与船舶的尺寸和用途无关。
答案:错误2. 船舶动力装置的设计应考虑船舶的航行环境和工作要求。
答案:正确3. 船舶动力装置的设计应遵循国际标准和规范。
答案:正确4. 船舶动力装置的设计应考虑船舶的安全性和可靠性。
答案:正确5. 船舶动力装置的设计只需要满足船舶的最低动力需求即可。
答案:错误三、简答题1. 请简要介绍船舶动力装置的组成部分。
答:船舶动力装置主要由发动机和传动装置组成。
发动机是船舶的动力源,可以使用内燃机、蒸汽机或电动机等。
传动装置则将发动机产生的动力传递给船舶的推进装置,包括主机、副机、减速器、传动轴、螺旋桨等。
2. 船舶动力装置的设计需要考虑哪些因素?答:船舶动力装置的设计需要考虑以下因素:- 船舶的尺寸和用途:不同尺寸和用途的船舶对动力需求不同,设计应根据船舶的载重量、航速要求等确定合适的发动机和传动装置。
- 船舶的航行环境:船舶在不同的航行环境中,如海洋、河流、湖泊等,对动力装置的要求也有所不同,设计应考虑船舶的航行环境和工作要求。
- 国际标准和规范:船舶动力装置的设计应遵循国际标准和规范,确保船舶的安全性和可靠性。
船舶推进思考题、习题1、试说明船舶推进器的作用。
答:把能源(发动机)发出的功率转换为推船前进的功率。
2、常用螺旋桨推进器有哪些。
他们各有什么优点?答:螺旋桨:构造简单、造价低廉、使用方便、效率较高,是目前应用最广的推进器。
风帆:节省能源明轮:边轮增大船宽,对横稳性有利。
直叶推进器:装有直叶推进器船舶的操纵性能良好,且在船舶倒退时也无须逆转主机。
效率较高,在汹涛海面下,工作情况也较好。
喷水推进器:推进器的活动部分在船体内部,具有良好的保护性,操纵性能良好。
水力锥形推进器:构造简单,设备轻便,效率较一般喷水推进器为高。
3、用文字或作图说明下列名词的意义:桨毂、桨叶、毂帽、叶面、叶背、叶梢、叶根、随边、导边、梢圆、螺旋桨直径、盘面积、伸张轮廓、展开轮廓、伸张面积、展开面积、盘面比、侧斜、纵斜、右旋、外旋。
答:桨毂:螺旋桨与尾轴连接部分称为桨毂。
桨叶:毂帽:为了减小水阻力,在桨毂后端加一整流罩,与桨毂形成一光顺流线形体,称为毂帽。
叶面:由船尾后向前看时所见到的螺旋桨桨叶的一面称为叶面。
叶背:由船尾后向前看时所见到的螺旋桨桨叶的另一面称为叶背。
叶梢:桨叶的外端称为叶梢。
叶根:桨叶与毂连接处称为叶根。
随边:螺旋桨正车旋转时桨叶边缘在后面者称为随边。
导边:螺旋桨正车旋转时桨叶边缘在前面者称为导边。
梢圆:螺旋桨旋转时叶梢的圆形轨迹称为梢圆。
螺旋桨直径:梢圆的直径称为螺旋桨直径。
盘面积:梢圆的面积称为螺旋桨的盘面积。
伸张轮廓:将各半径处共轴圆柱面与桨叶相截的各切面展成平面后,以其弦长置于相应半径的水平线上,并光顺连接端点所得到的轮廓称为伸张轮廓。
展开轮廓:将桨叶叶面近似展放在平面上所得的轮廓称为展开轮廓。
伸张面积:螺旋桨各叶伸张轮廓所包含的面积的总和称为伸张面积。
展开面积:各桨叶展开轮廓所包含面积的综合称为展开面积。
盘面比:伸张面积与盘面积之比称为伸张面比,展开面积与盘面积之比称为展开面比,伸张面比和展开面比均可称为盘面比或叶面比。
船舶推进思考题、习题1、试说明船舶推进器的作用。
答:把能源(发动机)发出的功率转换为推船前进的功率。
2、常用螺旋桨推进器有哪些。
他们各有什么优点?答:螺旋桨:构造简单、造价低廉、使用方便、效率较高,是目前应用最广的推进器。
风帆:节省能源明轮:边轮增大船宽,对横稳性有利。
直叶推进器:装有直叶推进器船舶的操纵性能良好,且在船舶倒退时也无须逆转主机。
效率较高,在汹涛海面下,工作情况也较好。
喷水推进器:推进器的活动部分在船体内部,具有良好的保护性,操纵性能良好。
水力锥形推进器:构造简单,设备轻便,效率较一般喷水推进器为高。
3、用文字或作图说明下列名词的意义:桨毂、桨叶、毂帽、叶面、叶背、叶梢、叶根、随边、导边、梢圆、螺旋桨直径、盘面积、伸张轮廓、展开轮廓、伸张面积、展开面积、盘面比、侧斜、纵斜、右旋、外旋。
答:桨毂:螺旋桨与尾轴连接部分称为桨毂。
桨叶:毂帽:为了减小水阻力,在桨毂后端加一整流罩,与桨毂形成一光顺流线形体,称为毂帽。
叶面:由船尾后向前看时所见到的螺旋桨桨叶的一面称为叶面。
叶背:由船尾后向前看时所见到的螺旋桨桨叶的另一面称为叶背。
叶梢:桨叶的外端称为叶梢。
叶根:桨叶与毂连接处称为叶根。
随边:螺旋桨正车旋转时桨叶边缘在后面者称为随边。
导边:螺旋桨正车旋转时桨叶边缘在前面者称为导边。
梢圆:螺旋桨旋转时叶梢的圆形轨迹称为梢圆。
螺旋桨直径:梢圆的直径称为螺旋桨直径。
盘面积:梢圆的面积称为螺旋桨的盘面积。
伸张轮廓:将各半径处共轴圆柱面与桨叶相截的各切面展成平面后,以其弦长置于相应半径的水平线上,并光顺连接端点所得到的轮廓称为伸张轮廓。
展开轮廓:将桨叶叶面近似展放在平面上所得的轮廓称为展开轮廓。
伸张面积:螺旋桨各叶伸张轮廓所包含的面积的总和称为伸张面积。
展开面积:各桨叶展开轮廓所包含面积的综合称为展开面积。
盘面比:伸张面积与盘面积之比称为伸张面比,展开面积与盘面积之比称为展开面比,伸张面比和展开面比均可称为盘面比或叶面比。
“高性能船水动力原理与设计”思考题及部分答案整理1. 何谓高性能船,其特点是什么?答:具有高水平的综合航海性能,以及具有完善的满足其使用要求的船舶功能,这样的船统称为高性能船舶。
特点:航速高;优良的耐波性能;载运能力较大;经济性好;优美的造型和舒适的舱室空间环境。
2. 高性能船的种类有哪些,其中哪些是排水型船?哪些是水动力支撑?哪些是空气动力支撑?答:小水线面双体船;滑行船;水翼艇;气垫船;地效翼船。
排水型:小水线面双体船;穿浪双体船。
水动力支持:水翼艇。
空气动力支持:气垫船;地效翼船。
3.船型和兴波阻力的关系?P9理论分析和实验表明,在固定的船体参数条件下,舶型的改变对兴波阻力的影响很显著,其中影响最大的是横剖面面积曲线形状,其次是肋骨线型。
船型设计的主要着眼点之一就在于寻求使兴波阻力最小的船型。
对于高性能船,兴波阻力与船体的线型密切相关,其线型设计需要能精确的计算其兴波阻力。
4. 线性兴波阻力理论在船型设计中的作用?当船型参数中船宽B与长度L之比和船宽B与吃水T之比都很小时,就称此船型为薄船,由薄船建立的兴波阻力理论称为薄船理论。
吃水与船长和吃水与船宽的比值都很小的船型称为扁船,由扁船所建立起来的兴波阻力理论称为扁船理论。
对普通的船来说,宽度和吃水与长度相比都很小的,可近似看成细长船;用细长船建立起来的兴波阻力理论称为细长船理论。
米切尔积分计算兴波阻力。
5.船型的概念,船型包含那些内容?P9所谓船型它包括两个方面的内容:一是表征船体形状的特征参数即尺度和系数二是船体形状即线型横剖面面积曲线形状(沿船长方向变化)肋骨线型首尾端轮廓线形状。
6. 随体积傅氏数变化,船舶的航态如何变化,如何划分三种典型航态?答:用体积傅氏数表征船舶的相对速度,船在航行时在垂直方向上的平衡关系为:1)排水航行状态:当0<Fr<1,流体动力占的比重极小,航态与静浮时变化不大,这一状态的船统称为排水型船。
2)过渡状态:当1<Fr<3,船首上抬较大,船尾下沉明显,船体明显尾倾,流体动力明显增大,垂向动力不可忽视,排水体积较静浮力时明显减小。
《船舶动力装置原理》思考题第一章绪论名词解释:有效功率、主机燃油消耗率、续航力、良好的操纵性1)简述船舶动力装置的含义及组成?2)简述船舶推进装置/辅助装置/管路系统/甲板机械/机舱的机械设备遥控及自动化的含义及组成?3)简述船舶动力装置的类型?4)简述柴油机动力装置的优缺点?适用船型?5)简述柴油机动力装置良好的经济性?6)简述汽轮机动力装置的优缺点?适用船型?7)简述汽轮机动力装置的工作原理?(图1-2-1)8)简述燃气轮机动力装置与汽轮机动力装置在作功的工质方面有何不同?9)简述船舶动力装置的基本特性指标的组成?10)简述船舶动力装置的技术指标/经济指标/性能指标/的含义及组成?11)简述船舶有效功率与主机功率之间的关系?12)为什么船舶动力装置的功率往往取大10%(储备功率10%)?13)简述船舶动力装置的设计的要求?14)简述高速、中速、低速柴油机的区别?第二章船舶轴系的组成与设计名词解释:轴线(轴系理论中心线)、轴线长度、轴干、轴颈、中间轴承、推力轴承1)简述船舶轴系的含义及组成?2)简述推力轴承的作用?3)简述船舶轴系的工作条件及设计要求?4)简述主机功率有效地转变为螺旋桨推力的措施?5)为了减小船体变形对轴承的影响,可采取哪些措施?6)为什么直线布置轴系对大型尾部机舱、短轴系的船舶是不合适的?7)为什么用增加轴承数目、减小轴间距来减小轴系的变形量和轴承负荷,这种想法和做法是错误的?8)为什么轴系必须使各轴承的比压在许可范围内,并力求使各轴承的负荷均匀?如何控制?9)中间轴承和尾轴管的后轴承支承反力位置有何区别?10)为什么以中间轴为基本轴径(系数c = 1)?11)写出《海规》中轴径计算的基本公式,并说明式中各参数的含义?12)简述传动轴强度校核的基本方法?13)简述如何进行中间轴的强度校核?14)简述传动轴的含义、组成及设计要求?15)如何区分螺旋桨轴和尾轴?16)简述螺旋桨与螺旋桨轴的联接形式?17)如何合理选择滑动式中间轴承的轴瓦长度?18)简述滑动式中间轴承和滚动式中间轴承的特点?19)简述船舶推力轴承的配置情况?20)简述滚动式推力轴承的特点?21)简述尾轴管的含义及组成?22)简述尾轴承的受力特点及分类?23)简述尾管密封装置的分类及润滑特点?第三章推进系统的传动设备名词解释:船用齿轮箱、液力偶合器、离合器、联轴节、刚性联轴节、调距桨1)简述船用齿轮箱的作用?2)简述多片式离合、倒顺、减速齿轮箱的原理?3)简述偶合器在推进装置中的应用特点?4)简述船用离合器的分类?5)简述摩擦离合器在船舶推进装置中的作用?6)简述离合器的特点?7)简述摩擦离合器的分类?8)简述船用离合器的设计基本要求?9)简述联轴节的作用及分类?10)简述弹性联轴节的含义及作用?11)简述选用弹性联轴节进行减振的原因?12)调距桨的基本工作特性?13)简述调距桨的优缺点?第四章船舶管路系统名词解释:船舶管路系统、凝点、闪点、开式冷却管路、闭式冷却管路、“只出不进”、“有进有出”1)具体说明船舶管路系统的分类?2)燃油的质量指标有哪些?3)如何定义柴油机燃料的牌号?4)简述燃油管路的功用及组成?5)画简图说明日用油柜的结构特点?6)油舱的总容积在理论计算的基础上,还应考虑哪些系数?7)简述船舶设计对燃油管路的要求?8)举例说明滑油的选用情况?9)简述滑油管路的功用、组成与种类?10)简述船舶设计对滑油管路的要求?11)简述柴油机的冷却有何作用?12)简述冷却管路的功用和形式?13)简述船舶设计对冷却管路的要求?14)为什么船舶要设高位和低位海底门?有何要求?15)简述膨胀水箱的作用?16)简述压缩空气在船上有哪些用途?17)简述船舶设计对压缩空气管路的要求?18)简述排气管路的功用是什么?有哪几种形式?19)简述柴油机的排气特点及形式?20)简述舱底水系统的功用?21)简述舱底水的原因?22)简述舱底水系统的管系布置设计有何特点?33)舱底油水分离器应满足哪些要求?34)压载系统的主要功用是什么?35)船舶压载水舱的设计特点?36)船舶上的消防种类有哪些?37)简述卤化物消防的特点?38)简述船舶供水系统的类别?39)简述船舶机舱通风管路的功用及通风方式?40)简述船舶管路的附件?第五章船、机、桨工况配合特性名词解释:配合点、工况、变工况、柴油机的有效功率、螺旋桨设计负荷点1)简述船机桨三者之间的关系?2)研究船-机-桨工况配合特性的意义?3)说明柴油机各特性及其含义?4)简述柴油机外特性的分类及意义?5)看图说明柴油机万有特性的曲线及意义?(图5-2-5)6)简述船舶航行阻力特性?7)简述船舶螺旋桨的推进特性?8)简述推进装置功率的传递?9)简述储备的分类及含义?10)简述几种典型推进装置的特点?11)简述船-机-桨的变工况类型?第六章机舱规划与设备布置名词解释:机舱、机舱规划与设备布置1)决定机舱位置的主要因素有哪些?2)机舱布置有哪几种形式?比较其特点。
“高性能船水动力原理与设计”思考题
2011年度
1.何谓高性能船,其特点是什么?
2.高性能船的种类有哪些,其中哪些是排水型船?哪些是水动力支撑?哪些是空气动力支撑?
3.船型和兴波阻力的关系?
4.线性兴波阻力理论在船型设计中的作用?
5.船型的概念,船型包含那些内容?
6.随体积傅氏数变化,船舶的航态如何变化,如何划分三种典型航态?
7.影响耐波性的船型参数有哪些?(图2-4)
1)贝尔的耐波性品级指标中影响耐波性的船型参数有哪些?
2)莫尔在研究船型与耐波性的关系中,影响纵向运动的船型参数有哪些?
8.常用高速方艉圆舭排水型船阻力计算方法有哪些?图谱方法有哪些?
9.单体圆舭高速船的船型特点?
10.方艉船型的水动力特点?
11.方艉船型的特征参数(b/B,β)及其对水动力性能的影响?
12.为什么深V船型的耐波性好?
13.单体深V高速船的船型特点?
14.试比较深V船型与常规圆舭船型的水动力特点?
15.画出典型圆舭和深v船型横剖面图。
16.SSB的作用?
17.据试验结果,书(P34~37)分析不同参数的SSB首对阻力和耐波性的影响。
18.高速双体船的船型特征及其优缺点?
19.高速双体船的阻力特性,分析两片体间干扰阻力产生原因?
20.临界速度和无效干扰速度概念,画出典型普通高速双体船的兴波阻力曲线并分析其特点?
21.分析修长度系数及片体间距对双体船阻力影响?
22.如何估算双体船阻力?有哪些方法?
23.试分析双体船航行升沉与纵倾变化的特点,设计中如何计及其影响?
24.为什么双体船会发生螺旋运动?
25.小水线面双体船的船型特点?
26.小水线面船优缺点?
27.SW ATH的性能特点?
28.SW ATH的快速性特点,单支柱SW ATH兴波阻力公式中包含那些部分?双支柱呢?
29.为什么称小水线面双体船是全天候船舶,试分析其耐波性能?
30.为什么小水线面双体船纵向运动预报要考虑粘性影响?
31.为么小水线面船通常纵向运动不稳定?如何改进?
32.鳍的作用及其对耐波性影响?
33.WPC的船型特点,画出典型WPC横剖面形状?
34.如何选择WPC的横剖面形状?尾端形状及首端形状?
35.影响WPC性能的主要船型参数有哪些?并分析之。
36. WPC的快速性和耐波性特点?
37.比较WPC和WPM(中央船体带SSB)的阻力和运动性能.?
38.高速三体船的船型特点?
39. 瘦长船舶概念,写出单体,双体,三体密切尔积分阻力计算公式,理解其物理含义.
40.滑行艇的艇型特点?画出常见的滑行艇剖面形状。
41.影响滑行艇性能的主要尺度及船型参数有哪些?
42. 为什么宽度和重心纵向位置是影响性能的重要参数?
43 滑行艇的横稳性特点?
44. 滑行艇的纵向运动稳定性特点、MUNK力矩概念?海豚运动概念, 试分析其产生原理及其影响因素。
45改善滑行艇性能措施有哪些?
46为什么滑行艇不能向大型化发展?
47分析滑行艇的滑行原理?
48 滑行艇的动负荷系数与静负荷系数概念?
49系列62滑行艇阻力图谱表达?
50. 主动失速和被动失速概念?。