大气污染控制工程公式集(全)
- 格式:doc
- 大小:1.38 MB
- 文档页数:26
大气污染控制工程(第三版) 郝吉明期末复习知识点总结大气污染控制工程(第三版) 郝吉明期末复习知识点总结大气污染是当今社会面临的重大环境问题之一,对人类健康和环境质量产生重大影响。
为了控制和减少大气污染,科学家和工程师们不断努力,进行大气污染控制工程的研究和创新。
《大气污染控制工程(第三版)》是一本系统而详细地介绍了大气污染控制工程的教材,本文将对其中的知识点进行总结。
第一章主要介绍了大气污染的背景和概述。
大气污染是指由于人类活动导致的气体、颗粒物和有害物质在大气中的累积和传播,对人类和环境造成危害。
其中,大气污染物主要有二氧化硫、氮氧化物、颗粒物、挥发性有机物等。
掌握这些基本概念对于理解大气污染的性质和控制技术至关重要。
第二章介绍了大气污染物的排放与传输。
大气污染物主要通过排放源释放到大气中,然后通过大气界面过程和大气循环进行传输和转化。
排放源可以分为点源、面源和线源,它们对大气污染的贡献不同。
大气污染物的传输受到风、湍流、扩散等因素的影响,通过模型计算可以预测大气污染物的传输和浓度分布。
第三章介绍了大气污染物的测量与监测。
为了了解大气污染物的浓度、组成和空间分布特征,需要进行测量和监测。
大气污染物的测量方法有激光雷达、质谱仪、气象遥感等。
监测站的建设和布局也是重要的环节,合理选择监测点位可以更准确地了解当地的大气污染状况。
第四章介绍了大气污染物的来源和控制技术。
大气污染物主要来自工业排放、交通排放、生活排放等。
控制大气污染需要选择合适的控制技术,如减排措施、过程优化、清洁生产等。
通过改变污染物排放方式和采用先进的控制设备,可以有效地减少污染物的排放量和浓度。
第五章介绍了大气污染控制工程中的几个关键问题。
包括烟气净化和尾气处理,其中选取合适的净化设备对于处理烟气和尾气中的污染物至关重要。
此外,大气污染控制还涉及到大气中的化学反应、气候变化对大气污染的影响等问题。
第六章介绍了大气污染控制工程中的案例和实例。
大气污染控制工程(第三版)复习重点第一章:①TSP:悬浮在空气中,空气动力学当量直径≤100μm的颗粒物②PM10:悬浮在空气中,空气动力学当量直径≤10μm的颗粒物)③ODS:消耗臭氧层的物质④酸雨:pH小于的雨、雪或其他形式的大气降水(如雾、露、霜)⑤大气污染:指由于人类活动或自然过程使得某些物质进入大气中,呈现出足够的浓度,达到了足够的时间,并因此而危害了人体的舒适、健康和人们的福利,甚至危害了生态环境。
⑥一次污染物:指直接从污染源排放到大气中的原始污染物质。
⑦二次污染物:指由一次污染物与大气中已有组分或几种一次污染物经过一系列的化学变化或光化学反应而生成的与一次污染物性质不同的新污染物质~2. 我国的主要大气污染物是什么我国的大气污染物现状有什么规律性答:我国的大气污染仍以煤烟型为主,主要污染物为TSP和SO2。
规律:①煤烟型污染是我国大气污染的普遍问题;②城市的大气污染比乡村严重;③南方的大气污染比北方严重;④冬季的大气污染比夏季严重;⑤酸雨现象集中在我国西南、华南和东南地区出现3. 目前计入空气污染指数有那些项目如何计分如何报告…答:⑴PM10、SO2、NO2、CO、O3 ⑵当第K种污染物浓度为时,其分指数为⑶各种污染物的污染分指数都计算以后,取最大者为该区域或城市的空气污染指数API,则该种污染物即为该区域或城市空气中的首要污染物。
API<50时,则不报告首要污染物4. 大气的组成包括哪几部分试举例说明。
答:⑴干燥清洁的空气,如氮、氧、氩和二氧化碳气体⑵水蒸气⑶各种杂质,如细菌,病菌等.第二章:1. 名词解释:①空燃比:单位质量燃料燃烧所需空气。
②高位发热量:燃料完全燃烧时,包括其生成物中水蒸气的汽化潜热,所发生的热量变化。
③低位发热量:燃料产物中的水蒸气仍以气态存在时完全燃烧过程释放的热量。
¥5. 燃烧过程产生哪些大气污染物答:二氧化碳、一氧化碳、硫的氧化物、氮的氧化物、烟、飞灰、金属及其氧化物、金属盐类、醛、碳氧化合物等。
第一章概论 (3)第一节大气与大气污染 (3)第二节大气污染物及其来源 (3)第三节大气污染的影响 (4)第四节大气污染物综合防治 (4)第五节环境空气质量控制标准 (5)一、环境空气质量控制标准的种类和作用P22 (5)二、环境空气质量标准中:P23 (6)三、工业企业设计卫生标准 (6)四、大气污染物排放准则 (6)五、空气污染指数及报告 (6)第二章燃烧与大气污染 (7)第一节:燃料的性质 (7)一、煤 (7)二、石油 (7)三、天然气 (7)四、非常规燃料 (7)第二节:燃料燃烧过程 (7)第三节:烟气体积及污染物排放量计算 (9)第四节燃烧过程硫氧化物的形成 (9)第三章污染气象学基础知识 (9)第一节大气圈结构及气象要素 (9)第二节大气的热力过程 (10)第三节大气的运动和风 (12)第四章大气扩散浓度估算模式 (13)第一节湍流扩散的基本理论 (13)第二节高斯扩散模式 (13)第三节污染物浓度的估算 (14)一烟气抬升高度计算 (14)二扩散参数的确定 (14)第四节特殊条件下的扩散模式 (15)一封闭型扩散模式 (15)二烟熏型扩散模式 (15)第五节城市山区的扩散模式 (15)第六节区域大气环境质量模式 (15)第七节烟囱高度的设计P117~P120 (15)一烟囱高度的计算 (15)二烟囱设计中的几个问题 (15)第八节厂址的选择 (15)第五章颗粒污染物控制技术基础 (16)第一节:颗粒的粒径及粒径分布 (16)一颗粒粒径 (16)二粒径分布 (16)三平均粒径 (17)四粒径分布函数 (17)第二节:粉尘的物理性质 (17)第三节:净化装置的性能 (18)一净化装置技术性能的表示方法 (19)二净化效率的表示方法 (19)第四节颗粒捕集的理论基础 (19)第六章除尘装置 (19)第一节机械除尘器 (19)第二节电除尘器 (21)一电除尘器的工作原理 (21)二电晕放电 (22)三粒子荷电 (22)四荷电粒子的运动和捕集 (22)五被捕集粉尘的清除 (23)六电除尘器的结构 (23)第三节袋式除尘 (23)第四节湿式除尘器 (24)一概述 (24)第七章气态污染物控制技术基础 (25)第一节吸收净化气态污染物 (25)第二节吸附法净化气态污染物 (26)第八章硫氧化物的污染控制 (28)第一节:硫循环及硫排放 (28)第二节:燃烧前燃料脱硫 (28)第三节:流化床燃烧脱硫 (28)第五节:低浓度二氧化硫烟气脱硫 (28)第九章固定源氮氧化物污染控制 (29)第十三章净化系统的设计 (30)第一章概论第一节大气与大气污染1.大气:是指环绕地球全部空气的总和。
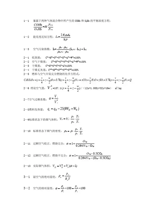
1—1 暴露于两种气体混合物中所产生的COHb 和O 2Hb 的平衡浓度方程:22b =b COO COH P MO H P 1—2能见度近似方程:p pv 2.6d =k L ρρ1—3空气污染指数:k k,jk k,j+1k,j k,j k,j+1k,jI =(I I )I ρρρρ+———2—1 收到基: C ar+H ar+O ar+N ar+S ar+A ar+W ar=100%2—2 空气干燥基: C ad +H ad +O ad +N ad +S ad +A ad +W ad=100%2—3 干燥基: C d +H d +O d +N d +S d +A d=100%2—4 干燥无灰基:C daf +H daf +O daf +N daf +S daf=100% 2—5 燃料与空气中氧完全燃烧的化学方程式:222222() 3.78() 3.78()4242242X Y Z W y w y w y y wC H S O x z O x z N xCO H O zSO x z N Q +++-+++-→+++++-+2—6 理论空气量:0a V =107.1()42y w x z ++-/(12x+1.008y+32z+16w ) m 3/kg2—7空气过剩系数:0aaV V α=2—8燃料发热量: 25(9)LH H W q q W W =-+2—9标准状态下的烟气体积:s nn s n sp T V V p T =⋅⋅ 2—10 标准状态下烟气的密度:n n ss s np T p T ρρ=⋅⋅ 2—11 过剩空气校正,燃烧完全:2p2p 2p10.264 - O O N α=+2—12 过剩空气校正,燃烧不完全:2p p2p 2p p - 0.5CO 10.264 - (O - 0.5CO )O N α=+2—13 实际烟气体积:0(1)fg fg a V V V α=+-3—1 湿空气的绝对湿度:w ww p R Tρ=3—2 空气的相对湿度:100100w w v vpp ρϕρ=⨯=⨯3—3 空气的含湿量:0.622w d v vd w v vR p p d R p p p p ρϕϕρϕϕ==⋅=-- 3—6工程中的空气含湿量: 00.8040.804Nd w vd vp p d d p p p ϕρϕ===-3—7 水汽体积分数:000.8040.804NdNdw w d p d y p d d ρρ===++ 3—9风速u ≈3—10 大气热力过程的微分方程:p dP dQ C dT RTP=- 3—12 泊松方程:/0.288000()()p R C T P PT P P == 3—13 干绝热直减率:()i d d pdT gdZ C γ=-≈ 3—15 位温:/0.288000010001000()()p R C T T P P θ== 3—18 大气稳定度的判别:da g Z Tγγ-=∆ 微分式:()d Z Tθθγγ∂=-∂ 3—20 水平气压梯度1PG nρ∂=-∂ 3—21 地转偏向力 2sin n D v ωϕ=3—22 对数律风速廓线模式:*0ln u Zu k Z =3—23 指数律风速廓线模式:11()mZ u u Z = 4—6 无界空间连续点源扩散的高斯模式:()2222y z y z y z x y z =exp -+2u 22Q ρπσσσσ⎡⎤⎛⎫⎢⎥ ⎪ ⎪⎢⎥⎝⎭⎣⎦,, 4—7 高架连续点源在正态分布假设下的高斯扩散模式:()()()222222y z y z z z-z+y x y z H =exp -exp -exp -2u 222H H Q ρπσσσσσ⎧⎫⎡⎤⎡⎤⎛⎫⎪⎪+⎢⎥⎢⎥ ⎪⎨⎬ ⎪⎢⎥⎢⎥⎪⎪⎝⎭⎣⎦⎣⎦⎩⎭,,,4—8 地面浓度模式(z=0):()2222y z y z y x y 0H =exp -exp -u 22QH ρπσσσσ⎛⎫⎛⎫⎪ ⎪ ⎪⎝⎭⎝⎭,,, 4—9 地面轴线浓度模式(y=0): ()22y z z x =exp -u 2QH ρπσσσ⎛⎫ ⎪⎝⎭,0,0,H 4—10 地面最大浓度模式:z max 2y 2=u e Q H σρπσ⋅maxz x=x |ρσ4—12 地面连续点源扩散模式:()2222y z y z y z x y z =exp --+u 22Qρπσσσσ⎡⎤⎛⎫⎢⎥ ⎪ ⎪⎢⎥⎝⎭⎣⎦,,,0 4—13 颗粒物扩散模式:()()()22t 22y z y z 1+v x/u y x y 0=exp -exp -2u 22QH αρπσσσσ⎡⎤⎛⎫-⎢⎥ ⎪ ⎪⎢⎥⎝⎭⎣⎦,,,H 其中 t v 18p p d g ρμ=4—16 霍兰德公式:()-3s a s v -11.5+2.7= 1.5v +9.610u us s H D T T H D D Q T ⎛⎫∆=⨯ ⎪⎝⎭ 4—17 布里格斯公式:当Q H >21000kW 时:x<10H s 1/32/310.362u H H Q x -∆=⋅⋅ x>10H s 1/32/311.55u H s H Q H -∆=⋅⋅ 当Q H <21000kW 时:x<3x* 1/31/310.362u H H Q x -∆=⋅⋅x>3x* 3/52/50.332H s H Q H ∆=⋅ *2/53/56/50.33u H s x Q H -=⋅⋅4—22 中国国家标准中对烟气抬升的规定公式:()s a 2100kW -35H Q T T K ≥≥当和时:12n n 10n u H s H Q H -∆=⋅⋅ a vs=0.35H TQ P Q T ∆ s a -T T T ∆= kW <2100kW H Q <当1700时:121-1700+-400H Q H H H H ∆=∆∆∆()12(v +0.01)0.048(1700)=u us H H D Q Q H -∆-12nn 120n u H sH Q H -∆=⋅⋅1700kW 35H Q T K ≤∆<当或时:2(1.5v +0.01)/u s H H D Q ∆=当10m 高处的年平均风速小于或等于1.5m/s 时:3/81/4a d 5.50.0098dZ H T H Q -⎛⎫∆=+ ⎪⎝⎭4—29 太阳高度角:()0h =arcsin sin sin +cos cos cos 15t+-300ϕδϕδλ⎡⎤⎣⎦ 4—30 太阳倾角(或查表):[]000000=0.006918-0.39912cos +0.070257sin -0.006758cos2+0.000907sin 2-0.002697cos3+0.001480sin3180/δθθθθθθπ4—31 当取样时间大于0.5h 时,垂直方向扩散参数z σ不变,横向扩散参数为:2121qy y τσστ⎛⎫ ⎪⎪⎝⎭= 其中,1100h h τ≤<时,q=0.3;0.51h h τ≤<时,q=0.2。
二级环境工程师必背公式1. 空气质量计算公式- 空气质量指数(AQI)计算公式:AQI = max(IAQI1, IAQI2, IAQI3, IAQI4, IAQI5, IAQI6)- 分指数(IAQI)计算公式:IAQI = (CIb - CIa) * (AQHIb - AQHIa) / (CIb - CIa) + AQHIa- AQHI值计算公式:AQHI = ∑(IAQIi * wi)2. 水质评价公式- 相对生长速率(RGR)计算公式:RGR = (Ln(L2) - Ln(L1)) / (t2 - t1)- 饥饿指数(HI)计算公式:HI = ΔW / W0- 速率常数(k)计算公式:k = 0.693 / t1/23. 气态排放物计算公式- 污染物排放量(E)计算公式:E = C × Q × (1 - ER)- 污染物质量排放浓度(CE)计算公式:CE = E / V- 污染物浓度增量(dC)计算公式:dC = CE / T4. 水体污染扩散计算公式- 水体污染物浓度(C)计算公式:C = P / (Q × T) + C0- 污染物浓度增量(dC)计算公式:dC = (P - D × C) × (1 - ER) / (Q × T)5. 固体废物处理计算公式- 污染物质量流率(Qp)计算公式:Qp = Cp × Q- 固体废物处理率(TR)计算公式:TR = Qd / Qg- 固体废物处理收入(R)计算公式:R = T × Cp × Q × η以上公式是二级环境工程师经常应用的一些基础公式,熟练掌握它们对于工程师的工作非常重要。
请注意,文档中的公式仅为展示用途,具体应用时,请参考相关环境工程相关规范和标准进行计算。
二级环境工程师必背公式为了帮助二级环境工程师备考考试,下面列出了一些必背的公式和相关的知识点。
1. 大气污染控制- 烟气排放浓度计算公式:排放浓度 = 排放量 / 排放流量- 煤燃烧排放SO2的计算公式:SO2排放量 = 煤耗量(kg) ×硫分率(%) × SO2排放系数(kg/t)- 煤燃烧排放NOx的计算公式:NOx排放量 = 煤耗量(kg) ×氮分率(%) × NOx排放系数(kg/t)- 煤燃烧排放烟尘的计算公式:烟尘排放量 = 煤耗量(kg) ×烟尘排放系数(kg/t)- 烟囱排放浓度计算公式:烟囱排放浓度 = 烟尘排放量 / 烟囱排放流量2. 水污染控制- 水污染物浓度计算公式:污染物浓度 = 污染物质量 / 水体体积- 水污染物排放量计算公式:污染物排放量 = 排放浓度 ×排放水体流量- 化学需氧量(COD)计算公式:COD = (C_in - C_out) × V ×1.42- 生化需氧量(BOD)计算公式:BOD = (C_in - C_out) × V- 总氮(TN)计算公式:TN = (C_in - C_out) × V- 总磷(TP)计算公式:TP = (C_in - C_out) × V3. 固体废物处理- 废物产生量计算公式:废物产生量 = 废物密度 ×废物体积 / 处理期间- 废物处理效率计算公式:废物处理效率 = 处理后废物质量 / 处理前废物质量- 废物填埋需求量计算公式:填埋需求量 = 渗滤液生成量 ×储存期间以上是二级环境工程师备考过程中需要掌握的一些公式和知识点。
希望对您有所帮助!。
空气质量参数计算公式1.空气质量指数(AQI)空气质量指数是反映空气质量综合污染状况的指数,根据不同国家或地区的标准有所不同。
以中国环境空气质量标准为例,AQI的计算公式如下:AQI = max(AQI1, AQI2, AQI3, AQI4, AQI5, AQI6)其中,AQI1、AQI2、AQI3、AQI4、AQI5、AQI6分别是6项污染物的空气质量指数,取其中最大值作为整体的AQI。
2.PM2.5浓度PM2.5是指空气中粒径小于或等于2.5微米的可吸入颗粒物。
PM2.5浓度的计算公式如下:PM2.5浓度=(PM2.5/V)×10⁶其中,PM2.5是实际测量得到的PM2.5含量,V是采样体积,单位为立方米。
3.PM10浓度PM10是指空气中粒径小于或等于10微米的可吸入颗粒物。
PM10浓度的计算公式如下:PM10浓度=(PM10/V)×10⁶其中,PM10是实际测量得到的PM10含量,V是采样体积,单位为立方米。
4.SO2浓度SO2是指二氧化硫的含量。
SO2浓度的计算公式如下:SO2浓度=(SO2/V)×10⁶其中,SO2是实际测量得到的SO2含量,V是采样体积,单位为立方米。
5.NO2浓度NO2是指二氧化氮的含量。
NO2浓度的计算公式如下:NO2浓度=(NO2/V)×10⁶其中,NO2是实际测量得到的NO2含量,V是采样体积,单位为立方米。
6.O3浓度O3是指臭氧的含量。
O3浓度的计算公式如下:O3浓度=(O3/V)×10⁶其中,O3是实际测量得到的O3含量,V是采样体积,单位为立方米。
需要注意的是,上述公式中的浓度单位为微克/立方米,表示单位体积内的污染物含量。
通过测量空气中的污染物浓度,可以对空气质量进行评估和监测,以提供环境保护和健康保障的依据。
⼤⽓污染控制⼯程公式集(全)1—1 暴露于两种⽓体混合物中所产⽣的COHb 和O 2Hb 的平衡浓度⽅程: 1—2能见度近似⽅程:p pv 2.6d =k L ρρ1—3空⽓污染指数:k k,jk k,j+1k,j k,j k,j+1k,jI =(I I )I ρρρρ+———2—1 收到基: C ar+H ar+O ar+N ar+S ar+A ar+W ar=100%2—2 空⽓⼲燥基: C ad +H ad +O ad +N ad +S ad +A ad +W ad=100%2—3 ⼲燥基: C d +H d +O d +N d +S d +A d=100%2—4 ⼲燥⽆灰基:C daf +H daf +O daf +N daf +S daf=100% 2—5 燃料与空⽓中氧完全燃烧的化学⽅程式: 2—6 理论空⽓量:0aV=107.1()42y wx z ++-/(12x+1.008y+32z+16w ) m 3/kg 2—7空⽓过剩系数:0aaV V α=2—8燃料发热量: 25(9)LH H W q q W W =-+2—9标准状态下的烟⽓体积:s nn s n sp T V V p T =?2—10 标准状态下烟⽓的密度:n n ss s np T p T ρρ=?2—11 过剩空⽓校正,燃烧完全:2p2p 2p10.264 - O O N α=+2—12 过剩空⽓校正,燃烧不完全:2p p2p 2p p - 0.5CO 10.264 - (O - 0.5CO )O N α=+2—13 实际烟⽓体积:0(1)fg fg a V V V α=+-3—1 湿空⽓的绝对湿度:w w w p R Tρ=3—2 空⽓的相对湿度:100100w w v vpp ρ?ρ== 3—3 空⽓的含湿量:0.622w d v v d w v vR p p d R p p p p ρ??ρ??==?=--3—6⼯程中的空⽓含湿量: 00.8040.804Nd w vd vp p d d p p p ?ρ?===-3—7 ⽔汽体积分数:000.8040.804NdNdw w d p d y p d d ρρ===++ 3—9风速u ≈3—10 ⼤⽓热⼒过程的微分⽅程:p dP dQ C dT RT P=- 3—12 泊松⽅程:/0.288000()()p R C T P PT P P == 3—13 ⼲绝热直减率:()i d d pdT gdZ C γ=-≈ 3—15 位温:/0.288000010001000()()p R C T T P P θ== 3—18 ⼤⽓稳定度的判别:da g Z Tγγ-=? 微分式:()d Z Tθθγγ?=-? 3—20 ⽔平⽓压梯度1PG nρ?=-3—21 地转偏向⼒ 2sin n D v ω?=3—22 对数律风速廓线模式:*0ln u Zu k Z =3—23 指数律风速廓线模式:11()mZ u u Z = 4—6 ⽆界空间连续点源扩散的⾼斯模式:4—7 ⾼架连续点源在正态分布假设下的⾼斯扩散模式:4—8 地⾯浓度模式(z=0):()2222y z y z y x y 0H =exp -exp -u 22Q H ρπσσσσ,,, 4—9 地⾯轴线浓度模式(y=0): ()22y z z x =exp -u 2QH ρπσσσ??,0,0,H 4—10 地⾯最⼤浓度模式:z max 2y 2=u e Q H σρπσ?maxz x=x |ρσ。
1.1 干结空气中N 2、O 2、Ar 和CO 2气体所占的质量百分数是多少?解:按1mol 干空气计算,空气中各组分摩尔比即体积比,故n N2=0.781mol ,n O2=0.209mol ,n Ar =0.00934mol ,n CO2=0.00033mol 。
质量百分数为%51.75%100197.2801.28781.0%2=⨯⨯⨯=N ,%08.23%100197.2800.32209.0%2=⨯⨯⨯=O ;%29.1%100197.2894.3900934.0%=⨯⨯⨯=Ar ,%05.0%100197.2801.4400033.0%2=⨯⨯⨯=CO 。
1.2 根据我国的《环境空气质量标准》的二级标准,求出SO 2、NO 2、CO 三种污染物日平均浓度限值的体积分数。
解:由我国《环境空气质量标准》二级标准查得三种污染物日平均浓度限值如下:SO2:0.15mg/m 3,NO2:0.12mg/m 3,CO :4.00mg/m 3。
按标准状态下1m 3干空气计算,其摩尔数为mol 643.444.221013=⨯。
故三种污染物体积百分数分别为:SO 2:ppm 052.0643.44641015.03=⨯⨯-,NO 2:ppm 058.0643.44461012.03=⨯⨯- CO :ppm 20.3643.44281000.43=⨯⨯-。
1.3 CCl 4气体与空气混合成体积分数为1.50×10-4的混合气体,在管道中流动的流量为10m 3N 、/s ,试确定:1)CCl 4在混合气体中的质量浓度ρ(g/m 3N )和摩尔浓度c (mol/m 3N );2)每天流经管道的CCl 4质量是多少千克?解:1)ρ(g/m 3N)334/031.1104.221541050.1N m g =⨯⨯⨯=--c (mol/m 3N)3334/1070.6104.221050.1N m mol ---⨯=⨯⨯=。
污染气象学第三章 大气污染气象学3.1 一个登山运动员在山脚处测得气压为1000hPa ,登山到达某高度后又测得气压为500hPa ,试问登山运动员从山脚向上爬了多少米?由气体静力学方程式,大气中气压随高度的变化可用下式描述:(1)将空气视为理想气体,即有m PV RT M = 可写为 m P M V R Tρ== (2) 将(2)式带入(1),并整理,得到以下方程:dP gM dZ P RT=-假定在一定范围内温度T 的变化很小,可以忽略。
对上式进行积分得:ln gM P Z C RT =-+ 即 3) 假设山脚下的气温为10。
C ,带入(3)式得:5009.80.029ln10008.314283Z ⨯=-∆⨯得 5.74∆=Z km即登山运动员从山脚向上爬了约5.74km。
涉及到知识点:3.3 在气压为400hPa 处,气块温度为230K 。
若气块绝热下降到气压为600hPa 处,气块温度变为多少?K P P T T 49.258)400600(230)(288.0288.00101===3.5 某市郊地区地面10米高度处的风速为2m/s ,估算50m 、100m 、200m 、300m 、400m 高度处在稳定度为B 、D 、F 时的风速,并以高度为中坐标作出风速廓线图 解:稳定度B ,m=0.070.070.07110050()2() 2.24/10Z u u m s Z ==⨯=,0.070.072200100()2() 2.35/10Z u u m s Z ==⨯= 0.070.073300200()2() 2.47/10Z u u m s Z ==⨯=,0.070.074400300()2() 2.54/10Z u u m s Z ==⨯= 0.070.075500400()2() 2.59/10Z u u m s Z ==⨯=。
稳定度D ,m=0.15 s m Z Z u u /55.2)1050(2)(15.015.00101=⨯==,s m Z Z u u /82.2)10100(2)(15.015.00202=⨯== s m Z Z u u /13.3)10200(2)(15.015.00303=⨯==,s m Z Z u u /33.3)10300(2)(15.015.00404=⨯==s m Z Z u u /48.3)10400(2)(15.015.00505=⨯==。
需熟练掌握的公式一、大气部分:1、等标排放量计算公式:(导P33)(m3/h)Qi—单位时间排放量,t/h;记住<2.5×108和≥2.5×109为界。
平原取上限,复杂地形取下限。
2、源强计算公式:(技P38、技P125)QSO2=G×2×0.8×S×(1-ηs)Q烟尘=G•A•ηA ×(1-η)Qi(kg/h)= QN•Ci×10-6QN—废气体积流量,m3/h;(常用引风机风量)3、抬升高度公式:有风,中性和不稳定条件(1)Qh≥21000KJ/s,且ΔT≥35K时:城市、丘陵(城市及近郊区):Qh=0.35PaQvΔT/Ts平原农村(农村或城市远郊区):(2)当2100KJ/s≤Qh≤21000KJ/s,且ΔT≥35K时:城市、丘陵(城市及近郊区):平原农村(农村或城市远郊区):(3)当Qh<2100KJ/s,或者ΔT<35K时:4、污染源下风向轴线浓度公式:He—排气筒有效高度。
He =H+ΔHQ—单位时间排放量,mg/s;U—排气筒出口处平均风速,m/s;P—分城市和乡村,E、F在一类。
σy—垂直于平均风向的水平横向扩散参数,m;σz—铅直扩散参数,m;σy =γ1Xα1,σz =γ2Xα2 为取样时间0.5h时。
σy1 =σy0.5(τ1/τ0.5)q 时间修正。
1h时q取0.3。
α1——横向扩散参数回归指数;α2——铅直扩散参数回归指数;γ1——横向扩散参数回归指数;γ2——铅直扩散参数回归指数;X——距排气筒下风向水平距离。
5、气温垂直递减率:γ<γd,稳定;γ>γd,不稳定;γ=γd时,中性。
二、地表水部分:1、混合过程段长度公式:B—河流宽度;H—平均水深;u—河流平均流速m/s;g—重力加速度,9.81m/s2;I—河流底坡,m/m。
2、完全混合模式(零维稳态模式)3、一维稳态模式K1—耗氧系数;K3—沉降系数。
1—1暴露于两种气体混合物中所产生的COHb 和O 2Hb 的平衡浓度方程:22b =b COO COH P MO H P 1—2能见度近似方程:p pv 2.6d =k L ρρ1—3空气污染指数:k k,jk k,j+1k,j k,j k,j+1k,jI =(I I )I ρρρρ+———2—1 收到基: C ar +H ar +O ar +N ar +S ar +A ar +W ar =100% 2—2空气干燥基:C ad +H ad +O ad +N ad +S ad +A ad +W ad =100% 2—3 干燥基: C d +H d +O d +N d +S d +A d =100% 2—4 干燥无灰基:C daf +H daf +O daf +N daf +S daf =100% 2—5 燃料与空气中氧完全燃烧的化学方程式:222222() 3.78() 3.78()4242242X Y Z W y w y w y y wC H S O x z O x z N xCO H O zSO x z N Q +++-+++-→+++++-+2—6 理论空气量:0aV=()42yw x z ++-(12x++32z+16w ) m 3/kg2—7空气过剩系数:0aaV V α=2—8燃料发热量: 25(9)LH H W q q W W =-+2—9标准状态下的烟气体积:s nn s n sp T V V p T =⋅⋅ 2—10标准状态下烟气的密度:n n ss s np T p T ρρ=⋅⋅ 2—11过剩空气校正,燃烧完全:2p2p 2p10.264 - O O N α=+2—12过剩空气校正,燃烧不完全:2p p2p 2p p - 0.5CO 10.264 - (O - 0.5CO )O N α=+2—13实际烟气体积:0(1)fg fg a V V V α=+-3—1 湿空气的绝对湿度:w ww p R Tρ=3—2 空气的相对湿度:100100w w v vpp ρϕρ=⨯=⨯ 3—3 空气的含湿量:0.622w d v v d w v vR p p d R p p p p ρϕϕρϕϕ==⋅=-- 3—6工程中的空气含湿量: 00.8040.804Nd w vd vp p d d p p p ϕρϕ===-3—7 水汽体积分数:000.8040.804NdNdw w d p d y p d d ρρ===++ 3—9风速u ≈3—10 大气热力过程的微分方程:p dP dQ C dT RTP=-3—12 泊松方程:/0.288000()()p R C T P PT P P == 3—13 干绝热直减率:()i d d pdT gdZ C γ=-≈ 3—15 位温:/0.288000010001000()()p R C T T P P θ== 3—18 大气稳定度的判别:da gZ Tγγ-=∆ 微分式:()d Z Tθθγγ∂=-∂ 3—20 水平气压梯度1PG nρ∂=-∂ 3—21 地转偏向力 2sin n D v ωϕ=3—22 对数律风速廓线模式:*0ln u Zu k Z =3—23 指数律风速廓线模式:11()m Z u u Z =4—6 无界空间连续点源扩散的高斯模式:()2222y z y z y z x y z =exp -+2u 22Q ρπσσσσ⎡⎤⎛⎫⎢⎥ ⎪ ⎪⎢⎥⎝⎭⎣⎦,, 4—7 高架连续点源在正态分布假设下的高斯扩散模式:()()()222222y z y z z z-z+y x y z H =exp -exp -exp -2u 222H H Q ρπσσσσσ⎧⎫⎡⎤⎡⎤⎛⎫⎪⎪+⎢⎥⎢⎥ ⎪⎨⎬ ⎪⎢⎥⎢⎥⎪⎪⎝⎭⎣⎦⎣⎦⎩⎭,,,4—8 地面浓度模式(z=0):()2222y z y z y x y 0H =exp -exp -u 22QH ρπσσσσ⎛⎫⎛⎫⎪ ⎪ ⎪⎝⎭⎝⎭,,, 4—9 地面轴线浓度模式(y=0): ()22y z z x =exp -u 2QH ρπσσσ⎛⎫ ⎪⎝⎭,0,0,H 4—10 地面最大浓度模式:z max 2y 2=u e Q H σρπσ⋅max z x=x |ρσ4—12 地面连续点源扩散模式:()2222y z y z y z x y z =exp --+u 22Qρπσσσσ⎡⎤⎛⎫⎢⎥ ⎪ ⎪⎢⎥⎝⎭⎣⎦,,,0 4—13 颗粒物扩散模式:()()()22t 22y z y z 1+v x/u y x y 0=exp -exp -2u 22QH αρπσσσσ⎡⎤⎛⎫-⎢⎥ ⎪ ⎪⎢⎥⎝⎭⎣⎦,,,H 其中 t v 18p p d g ρμ=4—16 霍兰德公式:()-3s a s v -11.5+2.7= 1.5v +9.610u us s H D T T H D D Q T ⎛⎫∆=⨯ ⎪⎝⎭ 4—17 布里格斯公式:当Q H >21000kW 时:x<10H s 1/32/310.362u H H Q x -∆=⋅⋅ x>10H s 1/32/311.55u H s H Q H -∆=⋅⋅ 当Q H <21000kW 时:x<3x* 1/31/310.362u H H Q x -∆=⋅⋅ x>3x* 3/52/50.332H s H Q H ∆=⋅*2/53/56/50.33u H s x Q H -=⋅⋅4—22 中国国家标准中对烟气抬升的规定公式:()s a 2100kW -35H Q T T K ≥≥当和时:12n n 10n u H s H Q H -∆=⋅⋅ a vs=0.35H TQ P Q T ∆ s a -T T T ∆= kW <2100kW H Q <当1700时:121-1700+-400HQ H H H H ∆=∆∆∆() 12(v +0.01)0.048(1700)=u us H H D Q Q H -∆-12nn 120n u H sH Q H -∆=⋅⋅1700kW 35H Q T K ≤∆<当或时:2(1.5v +0.01)/u s H H D Q ∆=当10m 高处的年平均风速小于或等于 1.5m/s 时:3/81/4a d 5.50.0098dZ H T H Q -⎛⎫∆=+ ⎪⎝⎭4—29 太阳高度角:()0h =arcsin sin sin +cos cos cos 15t+-300ϕδϕδλ⎡⎤⎣⎦ 4—30 太阳倾角(或查表):[]000000=0.006918-0.39912cos +0.070257sin -0.006758cos2+0.000907sin 2-0.002697cos3+0.001480sin3180/δθθθθθθπ4—31 当取样时间大于时,垂直方向扩散参数z σ不变,横向扩散参数为:2121qy y τσστ⎛⎫ ⎪⎪⎝⎭= 其中,1100h h τ≤<时,q=;0.51h h τ≤<时,q=。
1—1 暴露于两种气体混合物中所产生的COHb 和O 2Hb 的平衡浓度方程:22b =b COO COH P MO H P 1—2 能见度近似方程:p pv 2.6d =k L ρρ1—3 空气污染指数:k k,jk k,j+1k,j k,j k,j+1k,jI =(I I )I ρρρρ+———2—1 收到基: C ar +H ar +O ar +N ar +S ar +A ar +W ar =100% 2—2 空气干燥基: C ad +H ad +O ad +N ad +S ad +A ad +W ad =100% 2—3 干燥基: C d +H d +O d +N d +S d +A d =100% 2—4 干燥无灰基:C daf +H daf +O daf +N daf +S daf =100% 2—5 燃料与空气中氧完全燃烧的化学方程式:222222() 3.78() 3.78()4242242X Y Z W y w y w y y wC H S O x z O x z N xCO H O zSO x z N Q +++-+++-→+++++-+2—6 理论空气量:0a V =107.1()42y wx z ++-/(12x+1.008y+32z+16w ) m 3/kg2—7空气过剩系数:0aaV V α=2—8 燃料发热量: 25(9)L H H W q q W W =-+2—9标准状态下的烟气体积:s nn s n sp T V V p T =⋅⋅ 2—10 标准状态下烟气的密度:n n ss s np T p T ρρ=⋅⋅ 2—11 过剩空气校正,燃烧完全:2p2p 2p10.264 - O O N α=+2—12 过剩空气校正,燃烧不完全:2p p2p 2p p - 0.5CO 10.264 - (O - 0.5CO )O N α=+2—13 实际烟气体积:0(1)fg fg a V V V α=+-3—1 湿空气的绝对湿度:w w w p R Tρ=3—2 空气的相对湿度:100100w w v vpp ρϕρ=⨯=⨯ 3—3 空气的含湿量:0.622w d v v d w v vR p p d R p p p p ρϕϕρϕϕ==⋅=-- 3—6工程中的空气含湿量: 00.8040.804Nd w vd vp p d d p p p ϕρϕ===-3—7 水汽体积分数:000.8040.804NdNdw w d p d y p d d ρρ===++ 3—9风速u ≈3—10 大气热力过程的微分方程:p dP dQ C dT RTP=- 3—12 泊松方程:/0.288000()()p R C T P PT P P == 3—13 干绝热直减率:()i d d pdT gdZ C γ=-≈ 3—15 位温:/0.288000010001000()()p R C T T P P θ== 3—18 大气稳定度的判别:da g Z Tγγ-=∆ 微分式:()d Z Tθθγγ∂=-∂ 3—20 水平气压梯度1PG nρ∂=-∂ 3—21 地转偏向力 2sin n D v ωϕ=3—22 对数律风速廓线模式:*0ln u Zu k Z =3—23 指数律风速廓线模式:11()mZ u u Z = 4—6 无界空间连续点源扩散的高斯模式:()2222y z y z y z x y z =exp -+2u 22Q ρπσσσσ⎡⎤⎛⎫⎢⎥ ⎪ ⎪⎢⎥⎝⎭⎣⎦,, 4—7 高架连续点源在正态分布假设下的高斯扩散模式:()()()222222y z y z z z-z+y x y z H =exp -exp -exp -2u 222H H Q ρπσσσσσ⎧⎫⎡⎤⎡⎤⎛⎫⎪⎪+⎢⎥⎢⎥ ⎪⎨⎬ ⎪⎢⎥⎢⎥⎪⎪⎝⎭⎣⎦⎣⎦⎩⎭,,, 4—8 地面浓度模式(z=0):()2222y z y z y x y 0H =exp -exp -u 22QH ρπσσσσ⎛⎫⎛⎫ ⎪ ⎪ ⎪⎝⎭⎝⎭,,, 4—9 地面轴线浓度模式(y=0): ()22y z z x =exp -u 2QH ρπσσσ⎛⎫ ⎪⎝⎭,0,0,H 4—10 地面最大浓度模式:z max 2y 2=u e Q H σρπσ⋅maxz x=x |=ρσ4—12 地面连续点源扩散模式:()2222y z y z y z x y z =exp --+u 22Qρπσσσσ⎡⎤⎛⎫⎢⎥ ⎪ ⎪⎢⎥⎝⎭⎣⎦,,,0 4—13 颗粒物扩散模式:()()()22t 22y z y z 1+v x/u y x y 0=exp -exp -2u 22QH αρπσσσσ⎡⎤⎛⎫-⎢⎥ ⎪ ⎪⎢⎥⎝⎭⎣⎦,,,H 其中 t v 18p p d g ρμ=4—16 霍兰德公式:()-3s a s v -11.5+2.7= 1.5v +9.610u us s H D T T H D D Q T ⎛⎫∆=⨯ ⎪⎝⎭ 4—17 布里格斯公式:当Q H >21000kW 时:x<10H s 1/32/310.362u H H Q x -∆=⋅⋅ x>10H s 1/32/311.55u H s H Q H -∆=⋅⋅ 当Q H <21000kW 时:x<3x* 1/31/310.362u H H Q x -∆=⋅⋅ x>3x* 3/52/50.332H s H Q H ∆=⋅*2/53/56/50.33u H s x Q H -=⋅⋅4—22 中国国家标准中对烟气抬升的规定公式:()s a 2100kW -35H Q T T K ≥≥当和时:12n n 10n u H s H Q H -∆=⋅⋅a vs=0.35H TQ P Q T ∆ s a -T T T ∆= kW <2100kW H Q <当1700时:121-1700+-400HQ H H H H ∆=∆∆∆() 12(v +0.01)0.048(1700)=u us H H D Q Q H -∆-12nn 120n u H sH Q H -∆=⋅⋅1700kW 35H Q T K ≤∆<当或时:2(1.5v +0.01)/u s H H D Q ∆=当10m 高处的年平均风速小于或等于1.5m/s 时:3/81/4a d 5.50.0098dZ HT H Q -⎛⎫∆=+ ⎪⎝⎭4—29 太阳高度角:()0h =arcsin sin sin +cos cos cos 15t+-300ϕδϕδλ⎡⎤⎣⎦ 4—30 太阳倾角(或查表):[]000000=0.006918-0.39912cos +0.070257sin -0.006758cos2+0.000907sin 2-0.002697cos3+0.001480sin3180/δθθθθθθπ4—31 当取样时间大于0.5h 时,垂直方向扩散参数z σ不变,横向扩散参数为:2121qy y τσστ⎛⎫ ⎪⎪⎝⎭= 其中,1100h h τ≤<时,q=0.3;0.51h h τ≤<时,q=0.2。
4—32 封闭型扩散模式,地面轴线上的污染物浓度为:()()22y z z 2nD x 00=exp u 2H Qρπσσσ∞-∞⎡⎤-∑⎢⎥⎢⎥⎣⎦,,,H 当D x x ≤时,z 2.15D H σ-=;当2D x x ≥,()22y y x -2y ρσ⎡⎤⎢⎥⎢⎥⎣⎦,; 当2D D x x x ≤≤时,其浓度介于两者之间。
4—37 熏烟型扩散模式:yf y 8Hσσ=+当逆温消失到烟囱的有效高度处,即f h H =时,()22yf y x y 0-2F ρσ⎛⎫ ⎪ ⎪⎝⎭,,,H 其地面轴线浓度为:()x y 0F ρ,,,H当逆温消失到烟流的上边缘处,即f z h 2H σ=+时,()22yf y x y 0-2F ρσ⎛⎫ ⎪ ⎪⎝⎭,,,H 其地面轴线浓度为:()x y 0F ρ,,,H4—44 无限长线源扩散模式:()22z H x 00-2ρσ⎛⎫ ⎪⎝⎭,,,H 若风向与线源交角45ϕ>︒,()22z H x 00-2ρσ⎛⎫ ⎪⎝⎭,,,H 4—46 有限长线源模式:()21222z H x 00--22P PP dP ρσ⎛⎫⎛⎫ ⎪ ⎪⎝⎭⎝⎭⎰,,,H 4—47 面源扩散模式:箱模式:距城市上风向边缘距离x 处的浓度x=u Q Dρ 城市任意点浓度nii=1=x u Q Dρ∆∑点源的面源模式:y0=4.3Wσ z0 2.15H σ= 11/y0y01x =ασγ⎛⎫ ⎪⎝⎭21/z0z02x =ασγ⎛⎫⎪⎝⎭()()()()()2222y y0z z0z z0y y01y x y 0H =exp -+2u ++++QH ρπσσσσσσσσ⎧⎫⎛⎫⎪⎪ ⎪⎨⎬ ⎪⎪⎪⎝⎭⎩⎭,,, 窄烟流模式:0=uQ Aρ ()2z 0.8x =1-x A ασ⋅ 4—57 封闭山谷的扩散模式:()22z z x z -2ρσ⎛⎫ ⎪⎝⎭, 对地面浓度:()x 0ρ,对高架源:()()()2222z z z-H z+H x z H exp -+exp -22ρσσ⎧⎫⎡⎤⎡⎤⎪⎢⎥⎢⎥⎬⎢⎥⎢⎥⎪⎣⎦⎣⎦⎭,, 4—61 NOAA 和EPA 模式:稳定时,地面轴线浓度:()()2TT 2y zz h -x 0h H =exp -u 2H Q ρπσσσ⎛⎫ ⎪ ⎪⎝⎭,,, 4—62 按地面最大浓度的计算,若max 0b -ρρρ≤,则烟囱高度s H H ≥∆ 若扩散参数按1y 1=x ασγ和2z 2=x ασγ,且12αα≠,则烟囱高度()1/2s 1120b exp -u -2Q H H αααααπγγρρ--⎡⎤⎛⎫≥-∆⎢⎥ ⎪⎝⎭⎣⎦4—64 按地面绝对最大浓度的计算:2z s y2u absm Qe H ρσρπσ=⋅ 若max 0b -ρρρ≤,则烟囱高度s H ≥若扩散参数按1y 1=x ασγ和2z 2=x ασγ,且12αα≠,/u H B ∆=时,()()111s 1/2120b 1exp -2Q H B ααααααπγγαρρ---⎡⎤-⎛⎫≥-⎢⎥ ⎪⎝⎭⎢⎥⎣⎦4—67 P 值法: s H H ≥∆4—68 长期平均浓度的计算:()()ijk Lijk ijk Lijk i jkkx f f ρρρ=∑∑+∑4—70 按风向方位i 计算的平均浓度:()()23/22z z 2H exp 22/16u ijkQx ρσπσ⎛⎫=- ⎪⎝⎭5—1 个数频率:ii in f n =∑ 5—2 个数筛下累积频率:Nii i in F n ∑=∑5—3 个数频率密度:()d /d p p p d F d = 5—4 0=d pd p F p d ⋅⎰d 1p p d ∞⋅=⎰5—5 22d d 0d d p pp F d d ==5—6 第i 级颗粒发生的质量频率:33N i pi ii i pin d m g m d ==∑∑ 5—7 质量筛下累积频率:33Niii pi i i i pin d G g n d∑=∑=∑ 1NN i G g =∑=5—8 质量概率密度:d pdGq d =5—9 0d pd p G q d =⋅⎰d 1p q d ∞⋅=⎰5—10 长度(算术)平均粒径:23//i pi i pi L i pi ii pin d g d d f d n g d∑∑==∑=∑∑5—11 表面积平均粒径:()1/21/21/2223//i pii pis i pii i pi n d g dd f dn g d ⎛⎫⎛⎫∑∑⎪⎪==∑= ⎪ ⎪ ⎪∑∑⎝⎭⎝⎭5—12 体积平均粒径:()1/31/31/333V 31/i pii pii i pi n d d f dn g d ⎛⎫⎛⎫∑⎪⎪==∑= ⎪ ⎪ ⎪∑∑⎝⎭⎝⎭5—13 表面积—体积平均粒径:33SV 221==/i pi i pi i pii pii pin d f d d f dn dg d ∑∑=∑∑∑5—14 几何平均粒径:()1/123d d d d Ng =…5—15 按ln g d 表示的几何平均粒径:ln ln i gg n d d N∑=5—16 频率密度p的正态分布:()220()2p d p p p d d p d exp σ⎡⎤-⎢⎥=-⎢⎥⎣⎦标准差()1/221i pi pn d d N σ⎡⎤∑-⎢⎥=⎢⎥-⎣⎦84.15084.115.912d d d d σ=-=- 5—20 筛下累积频率的对数正态分布:()2ln-ln/()lnpdp pd dF d exp d d∞⎡⎤⎛⎫⎢⎥=⎢⎥⎣⎦5—21频率密度的对数正态分布:()2()ln/dpppF d d dp dd⎡⎤⎛⎫⎢⎥==⎢⎥⎣⎦()1/22ln/ln1i pi ggn d dNσ⎡⎤∑⎢⎥=⎢⎥-⎣⎦1/284.184.15015.9gd dd dσ⎛⎫== ⎪⎝⎭5—24 质量中位径、个数中位径、表面积中位径的关系:2gln ln+3lnMMD NMDσ=2gln ln+2lnSMD NMDσ=5—26 算术平均直径:22g g15ln ln+ln ln+ln22Ld NMD MMDσσ==5—27 表面积平均直径:22g gln ln+ln ln2lnsd NMD MMDσσ==-5—28 体积平均直径:22g g33ln ln+ln ln ln22Vd NMD MMDσσ==-5—29表面积—体积平均直径:22g g51ln ln+ln ln ln22SVd NMD MMDσσ==-5—30 R-R分布的质量筛下累积频率表达式:1exp()n pG dβ=--5—31 设1/(1/)npdβ=,则1exp()p npdGd⎡⎤=--⎢⎥⎢⎥⎣⎦5—32501exp0.693()p ndGd⎡⎤=--⎢⎥⎣⎦63.21exp()p ndGd⎡⎤=--⎢⎥⎣⎦-------RRS分布函数5—34 1/5063.20.693nd d=5—35 众数粒径:1/63.21ndnd dn-⎛⎫= ⎪⎝⎭5—36 1lg ln lg lg1pn dGβ⎡⎤⎛⎫=+⎪⎢⎥-⎝⎭⎣⎦5—37b p b p=-ερρρερ空隙率与和之间的关系:(1)5—38 粉尘的比表面积:6V SVS S V d ==(cm 2/cm 3) 5—39 粉尘质量表示的比表面积:m p p 6==SVS S V d ρρ (cm 2/g) 5—40 堆积体积表示的比表面积:b -6-==-=SVV S S S V d εεε(1)(1)(1) (cm 2/cm 3) 5—41 润湿速度 :2020v =20L (mm/min) 5—42 粉尘的比电阻:d =Vj ρδ(cm Ω⋅) 5—43 处理气体流量:121()2N N N Q Q Q =+ ()3m /N s 5—44 净化装置漏风率:121100N NNQ Q Q δ-=⨯5—45 净化装置压力损失:212v P ρξ∆=5—46 总净化效率:32111S SS S η==- 或 22111N N N NQ Q ρηρ=- 5—49 通过率:2221111N N N NQ S P S Q ρηρ===- 5—50 颗粒的分级效率:32111i i i i iS S S S η==- 5—51 由总效率求总除尘效率:333111i i i i i i i S g g S g g ηη== 或 22211111i i i i i i iS g gP S g g η=-=- 或 21/i i iPg g ηηη=+5—54 由分级效率求总除尘效率:1i i ig ηη=∑ 5—55总除尘率的积分式:1110d i i p dG q d ηηη∞=⋅=⋅⎰⎰5—56 多级除尘器净化第i 级粉尘的总分级通过率:12iT i i in P P P P =… 5—57 总分级效率:1211(1)(1)(1)iT iT i i in P ηηηη=-=----…5—58 多级除尘系统的总除尘效率:121(1)(1)(1)T n ηηηη=----… 5—59 流体阻力:212D D p F C A u ρ=5—60 当p Re 1≤时,p24=Re D C 5—61 对于球形颗粒,3u D p F d πμ= 5—62 当p 1Re 500<≤时,0.6p 18.5=Re D C 5—63 当5p 500Re 210<≤⨯时, 220.055u D p F d πρ= 5—64 3u p D d F Cπμ=1.101 1.2570.400exp C Kn Kn ⎡⎤⎛⎫=++-⎪⎢⎥⎝⎭⎣⎦5—66 气体分子平均自由程:=0.499vμλρ (m )v =5—68 颗粒因阻力导致的减速运动:32242p p p D D d d duu F C dt ππρρσ=-=-⋅ 5—69 由阻力导致的减速度:234D p pdu u C dt d ρρ=-⋅5—70 只考虑斯托克区域颗粒的减速运动:218p p du uu dt d μρτ=-=- 5—71 减速到u 的时间:0lnu t uτ= 5—72 在时间t 时颗粒的速度:/0t u u eτ-=5—73 由初速度0u 减速到u 所迁移的距离:()()/001t x u u u e τττ-=-=- 5—74 对于处于滑动区颗粒,0lnu t C uτ= ()/01t x u C e ττ-=- 5—76 颗粒的停止距离:0s x u τ= 或 0s x u C τ= 5—77 重力沉降的三力平衡:()36pD G B pd F F F g πρρ=-=-5—78 重力沉降的末端速度:()218p p s d gu ρρμ-=5—79 当介质是气体时,218p p s d g u ρμ=5—80 对于坎宁汉滑动区域:218p p s d g u C gC ρτμ==5—81 对于较大的球形颗粒(p Re >1),()1243p p s D d g u C ρρρ⎡⎤-=⎢⎥⎢⎥⎣⎦5—82 对于湍流过渡区,()0.7141.140.7140.4280.2860.153p p s d g u ρρμρ-=5—83 对于牛顿区,()121.74/s p pu d g ρρρ⎡⎤=-⎣⎦5—84斯托克斯直径,s d =5—85单位密度球形颗粒的空气动力学当量直径:a d =5—86 空气动力学直径与斯托克斯直径的关系:12p a s a C d d C ρ⎛⎫= ⎪⎝⎭5—87 随气流一起旋转的球形颗粒所受的离心力:236t c p p u F d Rπρ=5—88 离心沉降的末端速度:2218p p t c c d u u a Rρτμ=⋅=5—89 静电力:E F qE = 5—90 颗粒的驱进速度:=3pqEd ωπμ5—91 惯性碰撞的雷诺数:0Re =CD u D ρμ5—92 对于球形的斯托克斯颗粒的惯性碰撞参数:20018p p s C C Cd u Cx C u C St D D D ρτμ===5—93 拦截效率:R p Cd D =5—94 对于绕过圆柱体的势流:1121DI R R R η=+-≈+ ()1R < 5—95 对于绕过球体的势流:()21131DIR R Rη=+-≈+ ()1R <5—96 对于绕过圆柱体的粘性流: ()0.07,Re 0.5D R <<()()()()2211ln 12.002ln Re 21 2.002ln Re DID DR R R R R R η⎡⎤+=++-≈⎢⎥-+-⎣⎦ 5—97 对于绕过球体的粘性流:()()()22311312212DIR R R R η+=+-+≈+ ()0.1R <5—99 颗粒的扩散系数(爱因斯坦公式):3pCkT D d πμ=2(/)m s5—100颗粒的扩散系数(朗格谬尔公式):D =2(/)m s 5—101 布朗颗粒在t 秒钟沿x轴的均方根位移:x =5—102 皮克莱数:0Cu D Pe D=5—103 对于粘性流,扩散沉降效率:()2/31/31.712ln Re BD D Pe η-=-5—104 对于势流,扩散沉降效率:1/23.19BD Pe η=5—105 对于独立的单个球形捕集体,扩散沉降效率:1/85/882.23Re BD D Pe Peη-=+ 6—1 气流在沉降室停留时间:0/LWHt L v Q==6—2 粒径的沉降距离:0s s c s u L u LWHh u t v Q=⋅== 6—3 当c h H <时,粒子的分级除尘效率:0c s s i h u L u LWH v H Qη=== 6—4 重力沉降室能100%捕集的最小粒子直径:min d ==6—5 多层沉降室的分级效率:(1)s i u LW n Qη+=6—8 粒径为p d 的粒子的分级除尘效率:,,0011exp 1exp p L s s i p N u L u LWN v H Q η⎛⎫⎛⎫=-=--=--⎪ ⎪⎝⎭⎝⎭ 6—9 “涡流”定律:nT v R =常数6—10 ≤n 1时,()0.30.1410.67283T D ⎛⎫⎡⎤- ⎪⎣⎦⎝⎭n=1- 6—11 气流的旋转角速度:/t v R ω= 6—12 外涡旋气流的平均径向速度:002t Qv r h π=6—13 旋风除尘器的压力损失:2112p v ξρ∆=(Pa ) 216/e A d ξ= 6—15 对球形粒子,230036T c P c r v d d v r πρπμ= 21/2018r c p T v r d v μρ⎡⎤=⎢⎥⎢⎥⎣⎦6—17 根据雷思—利希特模式计算其他粒子的分级效率:111exp 0.6931n pi c d d η+⎡⎤⎛⎫⎢⎥=--⨯ ⎪⎢⎥⎝⎭⎢⎥⎣⎦6—18 满足工程设计需要的分级效率公式:()()221pi c i pi c d d d d η+=++6—19 亚历山大公式:1/322.3e D l d A ⎛⎫= ⎪⎝⎭6—23 压力损失与含尘量之间的关系:1/210.013(2.291)cd p p ρ∆∆=+6—24 除尘效率与处理气体量的关系:0.5100100a b b a Q Q ηη⎛⎫-= ⎪-⎝⎭6—25 除尘效率最高时的入口速度的经验公式:()()1.20.2011/303021/P g b D v D b D μρρ=⨯-6—26旋风除尘器的进口气速:1v =6—27旋风除尘器的进口截面积:1Q A bh v ==6—28 管式电除尘器任一点的电场强度:()ln(/)VE r r b a =6—29起始电晕所需要的电场强度:6310(c E δ=⨯+6—30 r=a时,起始电晕电压:6310(/)c V b a δ=⨯+6—31 粒子能够获得的饱和电荷:20032p q d E επεε⎛⎫=⎪+⎝⎭6—32 扩散荷电理论方程:20002ln(1)28pp kTd e ud N t n e kTπεε=+6—33 粒子的驱进速度:()=/3p p qE d ωπμ 6—34 理论分级捕集效率:2111exp ii i i A Q ρηωρ⎛⎫=-=-- ⎪⎝⎭6—35 修正的德意希方程:1exp k A Q ωη⎡⎤⎛⎫=--⎢⎥ ⎪⎢⎥⎝⎭⎣⎦6—36 比集尘表面积:1111/ln ln 1e e A Q P ωηω⎛⎫⎛⎫== ⎪ ⎪-⎝⎭⎝⎭ 6—37 惯性碰撞参数:()218p p p D s t t c cd u u C x S N D D ρμ-=== 6—38捕集效率:(1exp η=--6—39 气体总能耗:11113600t g g g Q E E E p p Q ⎛⎫=+=∆+ ⎪ ⎪⎝⎭3(/1000)kWh m 气体 6—40 接触功率与除尘功率的关系:tN 1eη-=-6—41 传质单元数与总能量消耗之间的关系:t t N E βα=6—42 任何湿式除尘器对给定粉尘的总通过率:111000d mit i i Pdm P PdG Pq dp m∞===⎰⎰⎰6—43 多数惯性分离装置的分级通过率:()exp 1Bei e ai P A d η=-=- 6—44 立式逆流喷雾塔靠惯性碰撞捕集粉尘的效率:()131exp 2t d g D t g Q u z Q d u V ηη⎡⎤=--⎢⎥-⎢⎥⎣⎦6—45 液滴周围为粘性流和势流时的集尘效率:20.7t d t S S η⎛⎫= ⎪+⎝⎭6—46 粒子的总通过率:13exp 2dt g D Q Z P Q dη⎛⎫=-⎪ ⎪⎝⎭6—47 旋风洗涤器的压力损失:2101D gQ p p p u Q ∆=∆+6—48 收缩管长度:111ctg 22T D D L α-=6—49 扩散管长度:222ctg 22T D D L α-=6—50 文丘里洗涤器压力损失:1lg D gQ dp v du Q ρ⎛⎫=-⎪ ⎪⎝⎭6—51()2134g D D g D D DC du v u dt d u ρρ=- 6—52 21lTg Q p v Q ρ⎛⎫∆=-⎪ ⎪⎝⎭ 或 321.0310lT g Q p v Q -⎛⎫∆=-⨯ ⎪ ⎪⎝⎭6—54 海斯凯茨提出的压力损失:0.780.13320.863()lg T g Q p A v Q ρ⎛⎫∆=⎪ ⎪⎝⎭6—55 文丘里洗涤器的通过率:922126.110exp g C p g C d f P p ρρμ-⎛⎫-⨯∆= ⎪ ⎪⎝⎭6—56 预测袋式除尘器的颗粒物出口浓度:()210.1ns ns R P P e αωρρρ-⎡⎤=+-+⎣⎦6—57 ()71.031.510exp 12.71vns P e-⎡⎤=⨯-⎣⎦6—58 预测袋式除尘器的颗粒物穿透率:343.6100.094v α--=⨯+6—59 达西方程的一般形式:gv p x Kμ∆= 6—60 达西方程得到的压力损失:f g p g fpx v x v p K K μμ∆=+6—61 时间t ,沉积在滤袋的颗粒物质量:m v A t ρ=⋅⋅⋅ 6—62 气流通过新沉积颗粒层的压力损失:2p g g p p cx v t v p K K μρμρ∆==6—63 对于给定的含尘气体:2p p R v t ρ∆=6—64 比阻力系数:206g p p cS R C μρ=6—65 脉冲喷吹耗用压缩空气量:0nV V Tα= 6—66 袋式除尘器总过滤面积:60FQA v =7—1 气体在气相中的扩散吉里兰的扩散系数:0.50.5420.50.5111.810A ABA AB A B M T D M M V V ρ-⎡⎤=⨯+⎢⎥⎡⎤+⎣⎦⎣⎦7—2 扩散速率:22121ln 2A ABA L L RT D P M tρ-=B1B2(p /p ) 7—3 气体A 通过液体B 的扩散系数:()0.5100.67.410B ABB A M TD V βμ-=⨯7—4 气体分传质速率方程:()A y A Ai N k y y =- ()A g A Ai N k p p =- 7—6 液相分传质速率方程:()A x Ai A N k x x =- ()A l Ai A N k c c =- 7—8 气相总传递速率方程:*()A A Ag A N K p p =- *y ()A A A N K y y =- 7—10 液相总传质速率方程:*x ()A A A N K x x =- *Al ()A A A N K c c =- 7—12 亨利定律:c H p =⋅* 或 /x p E =* 或 y m x *=⋅7—15 亨利定律式参数的换算:/()H c x E =⋅ t c c x =⋅ /t l m c M ρ=(1)m x s M M x M x =⋅+- []/(1)t l x s c M x M x ρ=⋅+-[]/(1)l x s c x M x M x ρ=⋅⋅+- []/(1)l x s H M x M x E ρ=⋅+-当稀溶液浓度x 值小于0.05时,/l s c x M ρ≈7—22 气相总吸收系数与气、液相传质分系数的关系:11y y x m K k k =+或111x y xK mk k =+ 7—23 相平衡常数的平均值:**i Ai Ai Ai Ai mA x m x y y m x x x x --==--或0*Ai AiAi Ai Aiy y y y m y y x x m m --==--7—26 用水吸收氨,气膜体积吸收系数的经验式:40.90.396.0710g k a G L -=⨯ 7—27 常压用水吸收CO 2,液膜体积吸收系数的经验式:0.962.57l k a U=⨯7—28 用水吸收SO 2,体积吸收系数:40.70.259.8110g k a G L -=⨯ 0.82l k a a L =⨯7—33 对非挥发性吸收剂,吸收操作中的气相和液相的物料平衡方程:1212G G L L -=- 7—34 吸收时气相传递到液相的组分量:11221221))=11A G y y G y y W y y --=--(( 或 11221221))=11A L x x L x x W x x --=--((7—35 吸收质的物料衡算式:11B S B S G Y L X G Y L X +=+或11()()B S G Y Y L X X -=- 7—36 吸收操作线方程:11()S S B BL LY X Y X G G =+- 7—37低浓度气体吸收操作线方程(摩尔分率小于10%):11()L Ly X y x G G=+- 7—38 最小气液比:12*12min S B L Y Y G X X ⎛⎫-=⎪-⎝⎭ 7—39 低浓度其他吸收的最小气液比:1212*1212min /S B L y y y y G x x y m x ⎛⎫--== ⎪--⎝⎭ 7—47 填料层高度方程:()()1201Tz x x y i L dxdz k a x x x ⎛⎫= ⎪ ⎪--⎝⎭⎰⎰ ()()1201Tz y y y i G dydz k a y y y ⎛⎫= ⎪ ⎪--⎝⎭⎰⎰ 7—56 被吸收组分与溶剂的相互作用,当为稀溶液吸收,其平衡分压:*(1[])AA A c p H KB =+7—63 被吸收组分在溶液中离解,其平衡分压:*1[(2)2(1[])A A A Ap c K K B H =++7—65 被吸收组分与溶剂中活性组分作用,其平衡分压:*(1)A ARp K R H =-7—66忽略物理溶解度,**001*11A ABBAK p c Rc c K p ==+ 其中1A K K H =⋅ 7—67 单位接触表面积的气液间化学反应吸收速率:1()Ai Al N K c c β=-7—72 SO 2溶于水形成的各种物质浓度分别为:222[]Shs SO SO H O K p ⋅= 231[]/[]S hs s SO HSO K K p H -+= 222312[]/[]S hs s s SO SO K K K p H -+= 7—79 SO 2的物料平衡:221111211112211(1/[]2/[])(1)/(1)(1)/(1)S hs SO s s s G y WK p K H K K H G y G y y y G y y y +++++=---+-- 7—80 简化得,液体表面上的SO 2分压:222()1SSO hs D ypE K B C yηηη=-++- 其中[]H η+= 11/[][]W A K H H ++=- 1hs s B K K = 12hs s s C K K K =11(1)/D G y W =- 22/(1)E y y =-7—81 ()3222()()()W hs A K K B C f E D B C ηηηηηηηη+-++=++7—82 ()[]1()f H y y f ηη+=+关于和的非线性方程:7—84 21()()d m m dzηηη= 式中32111()()(1)1()(2)y W K aA K f m G y f pBC ηηηηηηη⎡⎤+-=-⎢⎥-++⎣⎦2()()df m d ηηη= 7—87 吸附剂的性质:=mfV Wδ 7—88 单位体积气体铺成单分子层时所占面积:0322.410N Af ⋅=⨯7—89 弗罗德里希方程:1nT X kP =7—93 朗格缪尔方程:1T ABPX A BPθ=⋅=+7—95 BET 方程:00()[1(1)/]m V CP V P P C P P =-+-或00()[1(1)/]e T X CPX P P C P P =-+-7—97 吸附剂的比表面积:022400m b V N S Wσ=⋅7—98 外扩散速率:()Ay p A Ai dM k a Y Y dt =- 7—99 扩散速率:()Ax p Ai A dM k a X X dt =-7—100 总吸附速率:**()()A AAY p A X p A dM K a Y Y K a X X dt=-=- 7—101 分吸附系数与总吸附系数的关系:11y p y p x pmK a k a k a =+ 111x p x p y p K a k a k a m=+ 7—103 活性炭吸附速率:()A A mdM M M kdt t ∞-= 7—105 固定床吸附器在吸附持续时间'τ,所吸附污染物的量:b x a S L ρ=⋅⋅⋅ 同时 '0x v S ρτ=⋅⋅7—107 吸附持续时间:'ba L v ρτρ=7—108 希洛夫方程:0KL ττ=-(有时表示为(K L h τ=-))7—110 对于同一吸附层与吸附剂,在气流中污染物浓度和吸附温度恒定的条件下的动力特性:1122K v K v ==常数12常数7—112 近似关系式:nv τ⋅=常数 mτρ⋅=常数 7—114 吸附区在床层移动距离L 0,所需时间:A B Ea S SW W W G G τ-== 7—115 床层耗竭所需时间:Ee SW G τ=7—116 吸附剂吸附污染物的量:0=()dW EBW B W Q YY -⎰7—117 吸附区吸附剂仍具有的吸附能力与全部吸附能力之比:0BAQ f Y W = 7—118 f τ与a τ的关系:(1)f a f ττ=- 7—1190(1)a af e aL a f τττττ==-- 7—120 用于确定吸附区的长度:0(1)AE AL W L W f W =-- 7—121吸附床吸附剂的总体积:V AL = 7—122吸附床的饱和度:0=L L f DBS L-=吸附污染物的量在平衡浓度时能够吸附污染物的总量7—123吸附床穿透时间或保护作用的时间:=b a Gs Y ρτ=-(DBS )L 吸附床单位横截面积的吸附剂上累积吸附污染物的量单位时间内吸附床单位横截面积上进入气体中所含污染物的量7—127 吸附速率方程式:(*)S y p G dY K a Y Y dL =-7—128 12*Y s y p Y G dYL K a Y Y ⎛⎫=⎪ ⎪-⎝⎭⎰ 7—129传质单元高度:sOG y pG H K a =7—130传质单元数:12*Y OG Y dYN Y Y =-⎰ 7—131对数平均技术估算的OG N :12OGLm Y Y N Y -=∆ 其中,()()**1122*11*22ln[]Lm Y Y Y Y Y Y Y Y Y ---∆=-- 7—133阿累尼乌斯方程求反应速度常数:exp(/)K A E RT =⋅- 7—134催化剂的活性:RWA tW =7—135表面化学反应速率方程:A A R dN r dS =-'A A R dN r dV =- ''A A RdN r dW =- 7—138工程上常用的催化反应速率表达式:0000A A A A A R N dx N dx dx dxr N c dV AdL Qdt dt==== 7—139均相可逆反应,动力学方程式用幂函数表示:12341'2'3'4'12m m m m m m m m A A B L M A B L M r k c c c c k c c c c =-7—140基元反应,动力学方程式用幂函数表示:12a b l m A A B L M r k c c k c c =-7—141催化剂的有效系数:0()()iS s A s As iK f c dSK f c S η=⎰7—142一元反应,扩散控制的速度方程:*()A s i As A r K S c c η=-7—143等温时,催化一级不可逆反应的球形催化剂的η:311()tan ss sn ηφφφ=-其中,s φ=7—145任意球状催化剂的齐勒模数:p φ=7—146催化剂颗粒部等温情况,对于大多数气固催化剂,当1<或21v eff K R D <时,扩散的影响可以忽略不计。