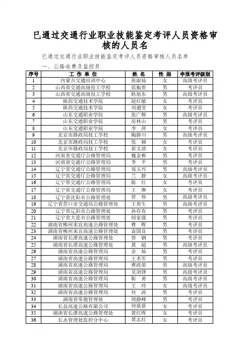
已通过交通行业职业技能鉴定考评的人员名单
- 格式:doc
- 大小:526.50 KB
- 文档页数:10
交通运输部办公厅关于公布全国行业职业技能竞赛——第十四届全国交通运输行业职业技能大赛获奖名单的通知文章属性•【制定机关】交通运输部•【公布日期】2024.01.31•【文号】交办人教函〔2024〕258号•【施行日期】2024.01.31•【效力等级】部门规范性文件•【时效性】现行有效•【主题分类】道路交通管理正文交通运输部办公厅关于公布全国行业职业技能竞赛——第十四届全国交通运输行业职业技能大赛获奖名单的通知交办人教函〔2024〕258号各省、自治区、直辖市、新疆生产建设兵团交通运输厅(局、委):全国行业职业技能竞赛——第十四届全国交通运输行业职业技能大赛于2023年12月闭幕,来自全国30个省(自治区、直辖市)的193个参赛单位、564名选手参加了城市轨道交通行车调度员、新能源汽车维修工、桥隧工和电动港口装卸机械司机等4个赛项全国总决赛,各项比赛成绩经组委会确认有效。
经交通运输部同意,现将大赛获奖名单公布如下:一、大赛优胜单位和个人(一)城市轨道交通行车调度员赛项。
北京市交通委员会等10家单位获职工组团体前十名;天津轨道交通运营集团有限公司崔贺等20人获职工组前二十名;山东职业学院赵子瑜、詹梦婷等48人获学生组一、二、三等奖。
(二)新能源汽车维修工赛项。
北京市交通委员会等10家单位获职工组团体前十名;北京祥龙博瑞汽车服务(集团)有限公司一分公司程旭东等20人获职工组前二十名;重庆市立信职业教育中心黄强、李科均等46人获学生组一、二、三等奖。
(三)桥隧工赛项。
贵州省交通运输厅等10家单位获职工组团体前十名;黔西南公路建设养护有限公司刘德斌、江川等20人获职工组前十名;江苏省交通技师学院徐之林、孙一栋、王雅琦等78人获学生组一、二、三等奖。
(四)电动港口装卸机械司机赛项。
浙江省交通运输厅等10家单位获团体前十名;宁波梅东集装箱码头有限公司吴起飞等20人获前二十名。
大赛优胜单位和个人名单见附件1。
交通运输行业职业技能鉴定考试交通运输行业职业技能鉴定考试是对该行业从业人员的专业技能水平进行评估和认证的重要途径。
本文将介绍交通运输行业职业技能鉴定考试的背景、内容和重要性。
一、考试背景随着社会发展和经济进步,交通运输业扮演着举足轻重的角色。
为了确保交通行业的安全、高效运转,提升从业人员的综合素质和专业能力至关重要。
交通运输行业职业技能鉴定考试应运而生,旨在促进人才素质提升,推动行业技术水平的升级。
二、考试内容交通运输行业职业技能鉴定考试包含广泛的专业领域,涵盖驾驶技术、物流管理、安全操作等方面的知识和技能。
具体包括但不限于以下几个方面:1. 驾驶技术:对各类交通工具的驾驶技能要求进行评价和认证,包括汽车、货车、公交车、出租车、摩托车等。
考试内容包括车辆操作、安全驾驶技巧、道路交通规则等。
2. 物流管理:对从业人员的货物运输管理能力进行测试,着重考察其仓储、配送、运输计划等方面的知识和技能。
通过对货物运输业务流程和相关管理工具的理解和运用,评估从业人员的综合素质。
3. 安全操作:交通运输行业具有一定的危险性,对从业人员的安全操作能力要求较高。
该部分考试内容包括应急处理、事故处理、消防安全等方面的知识和技能,以确保从业人员能够灵活应对各种危险情况并有效处理。
三、考试重要性交通运输行业职业技能鉴定考试对行业的发展和运行起到至关重要的作用。
首先,该考试可以确保从业人员的专业技能和素质达到一定标准,提升行业整体水平。
通过对从业人员进行考核,能够筛选出具备高水平技能的人才,促进行业技术的进步和提升。
其次,考试结果可以成为用人单位招聘、晋升和薪酬调整的重要参考依据。
具备高水平的技能和资质的从业人员不仅可以给用人单位带来更高的运营效益,也可以为个人在职业发展方面提供更多机会。
最后,考试是评估交通运输行业从业人员能力的有效手段。
通过对从业人员进行技能鉴定,可以及时发现和弥补其在专业知识和操作技能方面的不足,提高工作效率和质量,从而保证交通运输行业的安全和可持续发展。
广东省公路水运工程试验检测人员附件:2012年度广东省公路水运工程试验检测人员考试检测员通过人员名单及专业一、公路工程试验检测员通过人员名单及专业(共892人)安徽环通工程试验检测有限公司吴梦莉(G)安徽新同济公路工程试验检测有限公司吴亚风(G)北京城建远东建设投资集团有限公司中心试验室陈岱佳(G) 李多(G) 梁新武(G) 林志双(CG) 陆福连(G)北京华通公路桥梁监理咨询有限公司谭伟华(G)北京市市政工程研究院深圳分院林泽鑫(Q)北京铁科工程检测中心柯学贤(S)北京逸群工程咨询有限公司深圳分公司李淑芝(CG) 薛桂芳(C)北京中城建建设监理有限公司桂凯(CG)东莞市诚之标质量检测有限公司蔡勇(CG)东莞市东林建设工程有限公司蔡厚林(CG)东莞市泛海建设工程有限公司郭春兰(G)东莞市宏基建设工程有限公司叶泳良(CG)东莞市宏业建设工程监理有限公司王东(CG) 汪敬华(G) 曾庆茂(G)东莞市鸿翔建设工程试验检测有限公司陈弼骏(Q) 陈琳(CG) 邓皓仁(C) 邓毅(QS) 付连冬(G) 耿鹏(Q) 何海集(CG) 黄俊伟(G) 黄永锋(CS) 吉守俊(C) 赖祖秀(C) 李传林(QS) 李娟(G) 梁成亮(G) 凌瑞(G) 凌文广(C) 刘平(CG) 刘细平(CG)卢本龙(G) 陆有聪(G) 罗鹏飞(C) 慕文杰(S) 彭超(C) 丘海锋(G) 粟园丰(G) 唐永和(G) 汪锋(G) 王丰平(G) 肖小琴(CG) 杨鹏(C) 叶婉娜(QS) 易晓琳(G) 余敏威(CG) 俞小兰(G) 张莉(C) 张容(C) 张小栓(CG) 张玉芳(G) 钟威(G) 周科发(S) 朱智聪(CG)东莞市建安集团有限公司胡志豪(C) 王海艳(C)东莞市交通工程质量监督站梁应春(G)东莞市交业工程质量检测中心戴云川(C) 刘胜君(Q) 罗春旺(G) 罗利荣(G) 邵样林(Q) 韦义洪(S) 阳令明(Q) 余霞辉(CG)东莞市中厚建筑工程公司江顺(G)东莞泰和沥青产品有限公司邹永享(CG)佛山路捷工程咨询有限公司何俊杰(G)佛山市高明恒瀚建设工程有限公司赵粧(C)佛山市公路工程质量监理检测所蔡忠堂(CG) 胡波(G) 刘杰(GQ) 马泽耀(CG) 张晓帆(C)佛山市公路桥梁工程监测站韩春来(G) 彭永胜(Q) 吴有俊(Q) 徐日辉(C) 杨惠娟(G)佛山市广联检测技术有限公司何泽恒(C)佛山市建能通建筑劳务有限公司邓术秋(G) 袁伟斌(G)佛山市金平建筑工程质量检测有限公司罗沛英(CG) 肖邵华(CG)佛山市南海铭通沥青混凝土有限公司游长磊(C)佛山市南海区正昇建筑工程质量检测有限公司夏昌浩(Q)佛山市南海正业建设工程质量检测有限公司陈有杰(CG) 陈志江(C) 林喜卿(Q) 孙国光(C)佛山市南海纵横交通建设质量检测有限公司陈新茂(G) 李耀华(Q)佛山市三水区富源通交通科技有限公司胡勇大(G)佛山市三水区建通公路材料检测中心卢健超(CG)佛山市盛方达建设工程检测有限公司冯月强(C) 胡德辉(CG) 黄文研(CG) 刘碧欣(C)佛山市盛建公路工程监理有限公司曾宪鹏(CG) 曾星财(G)佛山市顺德区建设工程质量安全监督检测中心莫可凡(C) 沈胜涛(G) 伍敬恒(C)佛山市顺德区文杰市政工程有限公司严志坤(G)福建贯顺建设工程有限公司李明月(C)高要市磊达路桥工程有限公司黎荣瑜(Q) 梁水全(G)广东博大高速公路有限公司梅大分公司李海华(C) 李燕良(CG) 刘威(C) 刘为鉴(G)广东长锦园林建设工程有限公司吴丹妮(G)广东电白县建设工程有限公司周立轩(CG)广东冠粤路桥有限公司中心试验室蔡高才(CG) 邓朝华(CG) 黄以卫(G) 李传敏(C) 刘唐武(C) 刘伟森(C) 彭志涛(G) 肖刚祥(CG) 杨卓伟(C) 张佳亮(CG) 张荣凌(CG) 周永海(G) 广东国建工程项目管理有限公司龚海华(G)广东海富建设有限公司张琼(C)广东合众路桥科技股份有限公司陆禄(G)广东恒大路桥建设有限公司肖银锋(G)黄楚泽(CG)广东鸿德建设工程有限公司曹锐超(S) 胡巍(CG) 温烽(G) 许书玉(G) 许晓佳(G) 曾辉(S) 张炎丰(G)广东虎门技术咨询有限公司中心试验室岑嘉满(G) 陈开云(S) 陈瑞华(G) 傅巧娣(G) 韩慧娟(G)广东华理工程技术有限公司戴利华(CG) 劳叶华(CG)广东华路交通科技有限公司陈锦州(G) 董孝春(S) 付磊(G) 付宁(G) 付益松(G) 李苑兵(CG) 林靖鹏(C) 刘汉波(CG) 宋力岩(G) 吴腾辉(G) 吴晓彬(CG) 许从正(C) 叶好(G)广东华美加工程顾问有限公司邓荣秋(C)广东建浩工程项目管理有限公司温胜振(G)广东建科建筑工程质量检测中心陈以双(S) 陈园婧(C) 官显金(Q) 郭成祥(G) 何玮山(Q) 林川博(S) 林湘生(C) 刘付玉沛(CG) 罗敏娜(S) 吴涤凡(G) 张新金(G) 钟明(Q) 广东建设工程监理有限公司迟宝全(G) 黄勤(C)广东建粤工程检测有限公司黄健胜(C) 刘锐杰(G) 杨立才(Q) 杨三弟(C)广东交通集团检测中心陈冠廷(C) 单德显(Q) 郭永平(Q) 黄克旺(A) 黄民如(G) 赖嘉洲(Q) 李庆臻(G) 李祝兰(C) 王碧锋(G) 吴思标(Q) 严超(GA) 杨小强(G) 郑岳雄(Q) 朱淑枝(C)广东交运园林建设有限公司黄飞(C)广东晶通公路工程建设集团有限公司检测中心陈德杰(C) 何永益(G) 黄子榕(C) 金涛(C) 李楠(C) 李韵(C) 刘旭龙(CG) 刘艳洁(C) 卢烈(C) 彭潜(Q) 谭光彩(C) 谭天锋(C) 杨露(C) 杨展鹏(CG) 曾裕锋(G) 张建军(CG) 张跃芝(CG)陈雄涛(C)广东龙浩公路桥梁工程有限公司林耿波(CG) 张超(CG)广东能达高等级公路维护有限公司罗小江(C) 石波(CG)广东省长大公路工程有限公司试验室蔡刘珍(CG) 曹红萍(CG) 曹时丰(G) 曹尤格(G) 陈宝剑(S) 陈贵华(G) 陈雷(C) 陈晓亮(CG) 陈晓庆(G) 陈展灵(G) 陈作宁(G) 邓奕盛(G) 刁展辉(CG) 高伟光(G) 高小敏(G) 郭颖佳(Q) 韩胜(CG) 何彪艺(G) 何盛平(G) 何一剑(G) 何振荣(G) 洪泳淳(C) 胡英俊(C) 黄龙(S) 黄伟雄(G) 赖金来(CG) 赖旭源(C) 李崇(G) 李春华(C) 李春良(C) 李国森(C) 李红杰(CG) 李亮(C) 李璞(G) 李膺超(C) 梁伯健(CG) 梁仕开(S) 林宏琳(C) 刘飞峰(G) 刘坤珍(G) 罗从慎(S) 莫劲松(G) 莫立成(Q) 莫少玲(C) 莫云(CG) 倪卫华(G) 邱诗得(CQS) 沈安琪(G) 孙澄子(G) 唐行鹏(C) 文良兵(C) 文亮(C) 吴亦雄(S) 吴瑜(G) 肖波(G) 杨建威(G) 杨上伟(G) 叶剑丰(A) 叶剑林(C) 曾明锋(CS) 曾祥雄(C) 张保安(C) 张放阳(G) 张家豪(G) 张驱(S) 张伟(S) 张伟敏(C) 郑元杰(CG) 植建文(G) 钟伟斌(C) 钟文新(S) 邹智海(CG) 广东省地质物探工程勘察院詹永健(G)广东省佛山公路工程有限公司梁瑞标(C) 许台胜(G)广东省公路工程质量监测站曹珊珊(Q) 高文武(G) 何鸿谋(Q) 黄展鹏(CG) 黄准生(G) 刘智勇(Q) 芦志成(Q) 欧阳旭(Q) 吴嘉伟(S) 杨达理(CG) 杨柯(Q) 张绪林(S) 广东省航盛建设集团有限公司黄坤(C) 朱珊英(S)广东省航盛建设集团有限公司检测中心梁银芳(CG) 彭刚(C) 王华齐(CG) 王先顺(C) 韦举政(C) 杨波(C) 广东省航运规划设计院工程检测中心邱雪峰(QS)广东省建筑材料研究院林晓森(G)广东省建筑工程机械施工有限公司区锦传(G) 王炜钊(G) 曾志敏(G)广东省交通运输建设工程质量检测中心林熠钿(S) 宋全威(A)广东省雷州市地方公路局陈的伟(G)广东省雷州市建筑工程公司陈海涛(G)广东省龙浩公路桥梁工程有限公司兰志全(G)广东省遂溪县地方公路管理站冯立斌(G)广东省物料实验检测中心李志林(Q)广东省有色金属工业建筑工程质量检测站吴永亮(G)广东省云浮市华通工程监理有限公司陈海滨(CG)广东穗鑫工程质量检测中心蔡昀森(CG) 李水运(C) 沈理达(G) 吴福银(C) 颜茂华(C) 郑翔(C) 郑育华(G)广东天衡工程建设咨询监理有限公司罗俊友(G)广东耀南建筑工程有限公司杨秉聪(C)广东有色工程勘察设计院颜文雄(Q)广东粤通交通技术发展公司蔡伟达(C) 陈方帅(G) 陈慧庆(CG) 陈佳涌(C) 陈开清(G) 陈少警(CG) 陈晓群(CG) 陈衣盈(CG) 陈颖筠(G) 陈用成(C) 陈玉全(CG) 冯佳盛(CG) 冯嘉威(G) 冯俊锋(CG) 甘柳发(G) 关超锋(C) 郭敏权(G) 郭钻富(G) 何家成(C) 何益强(S) 胡红汉(G) 黄冬容(G) 黄宏锐(G) 黄嘉辉(G) 黄嘉伟(G) 黄建杭(CG) 黄模镇(G) 黄水金(CG) 黄文荣(CG) 揭育华(CG) 赖淼洋(CG) 李惠华(C) 梁帮荣(CG) 林汉阳(C) 林嘉(G) 林洁彬(CG) 林史仪(G) 林威(C) 林妍(G) 林元紫(CG) 刘雄辉(CG) 罗锐鸿(G)毛淑玲(C) 莫康烈(CS) 欧建文(G) 欧宇亮(G) 丘小妹(C) 邱浩宏(CG) 邱拥彬(S) 饶珠锭(C) 沈钊荣(CG) 覃伟庭(G) 吴劲强(G) 吴森涛(C) 肖高文(C) 谢杰文(C) 徐跃泉(G) 颜艳(CG) 叶威(C) 余一炜(CG) 曾文恋(CG) 曾志远(G) 张佳凤(G) 张外茂(CG) 郑洪清(G) 郑秋仪(G) 钟金龙(CG) 朱汉伟(CG) 朱启业(CG) 庄广喜(CS) 邹清浩(CG)广东正欣工程技术检测有限公司邓志军(Q)广东中交纵横建设咨询有限公司李健伟(G) 廖俊锋(Q)广东筑波路桥工程有限公司中心试验室蔡志毅(CG) 邓志翔(G) 刘科(G) 苏继雄(G) 邢金中(G)广宁县地方公路管理站李柱太(C)广州长河混凝土有限公司王永生(C)广州诚安路桥检测有限公司胡朝辉(S) 廖秀平(G) 饶光明(C) 石光华(GQ) 苏日洪(G) 许建腾(G) 杨超(S) 张强(CG) 钟海宏(Q) 钟永华(C)广州诚信公路建设监理咨询有限公司郭振欣(G) 胡伟辉(CG) 彭辉(S) 王楠(G) 吴富国(CG) 谢军玲(G) 广州港湾工程质量检测有限公司胡清霞(G) 罗凯娜(C) 莫明志(C) 潘莉青(C) 舒乐倩(C) 许晓华(C) 广州工程总承包集团有限公司曾杜坤(CG)广州广大工程检测咨询有限公司何志军(Q) 莫增江(G) 颜苓(Q) 朱阿兰(G)广州航海高等专科学校钱春寿(Q)广州和立土木工程有限公司陈善行(C) 陈文锋(S) 陈文艺(G) 李伟文(G) 刘吉广(GQ) 罗帝清(S) 佘诗军(S) 周镜岳(S)广州和立岩土工程有限公司钟国标(S)广州华惠工程技术咨询有限公司李清(CG) 梁明(CG) 梁裕发(CG) 彭小林(CG) 容伟潮(C) 谭诗亮(C) 肖小泉(CG)崔伟平(C) 郭溥贤(CG) 李俊辉(C) 申宏宇(Q) 张韬(Q)广州建设工程质量安全检测中心有限公司李海洋(S) 聂俊(S) 王晓伟(S) 严永华(G)广州建粤路桥检测技术有限公司陈钊锋(C) 方剑利(C) 李浩华(C) 刘志勇(G) 罗科(G) 孙光传(CG) 王婷(G) 吴瑞(QS) 肖任文(CG) 钟波(C)广州润索工程检测技术研究有限公司陈景波(G)广州盛翔交通工程检测有限公司丁文文(G) 郭练(CS) 蒋佳倩(C) 王明明(C) 张义(C) 祝青灿(C)广州市承信公路工程检验有限公司郭兆文(Q) 林健民(CG) 卢锦祥(C) 吴家宝(S) 杨旭邦(Q) 张旭标(S) 张勇强(G) 郑晓斌(S) 植豪贤(G)广州市第二市政工程有限公司杨志强(G)广州市番禺区番路工程有限公司曾益周(G)广州市公路工程公司中心试验室陈进东(G) 何华添(C) 林锦欢(C) 刘泳生(G) 莫远航(Q) 温钧泉(G) 庄恢将(G)广州市瀚源建设工程质量检测有限公司李济昌(CG) 赵雅玲(CG)广州市衡建工程检测有限公司范仕涛(CG) 刘亦婷(C) 陆建安(Q) 唐伟富(CG) 韦坚(Q)广州市衡正工程质量检测有限公司陈康江(G) 赖鹏(G)广州市宏阳公路检测有限公司黎延佳(CG) 李寒辉(C) 李振伟(C) 毛新星(CG) 钱钊海(S) 张军民(S) 赵金华(C)广州市吉华岩土检测有限公司邓加亮(S)广州市交正交通建设工程检测有限公司何有强(G) 彭永好(C) 张勇(GQ)余杰程(C)广州市晟荣公路工程有限公司张日余(CG)广州市市维建设工程检测服务中心李萍(CG) 骆志辉(C) 袁誉飞(C)广州市市政工程试验检测有限公司李昂(C) 李穗生(C) 徐海博(G) 姚惠珍(C) 易道(G) 余佳琳(S) 广州市市政集团有限公司麦宇博(CG) 文强(C)广州市市政园林工程质量检测中心董锐彬(Q) 杜锦安(S) 刘起鹏(Q) 罗毅樑(C)广州市穗高工程监理有限公司李春磊(G) 梁给(G)广州市泰和混凝土有限公司甘姗姗(AQ) 周小倩(C)广州市雄炜建筑工程检测有限公司冯秋琴(G) 何伟志(CG)广州穗信路桥检测有限公司陈景达(G) 陈维智(Q) 马章力(C) 童欢(G)广州铁诚工程质量检测有限公司曹进(C) 黄聪思(G) 李德嘉(G) 李接(G)广州中盛建设工程有限公司何振玮(G) 靳文月(G)河源市公路工程质量监测站陈基(G) 李常辉(CG) 唐兴明(C)河源市明源工程勘察有限公司刘远雄(C) 曾可(C)核工业华东建设工程集团公司万云(CG)核工业华南建设工程集团公司郭杨斌(CG) 李决节(G) 温希宾(S) 余虎(S)黑龙江铁建工程检测有限责任公司王震东(CG)衡阳公路桥梁建设有限公司刘金松(C)湖北源辉建设工程有限公司梁育才(G)湖南天鉴工程项目管理有限公司珠海分公司李泫锋(G)华南理工大学土木与交通检测中心陈杰斌(Q) 王兵(G) 赵聚华(Q)惠州市大禹工程质量检测中心曹国梁(G) 黄建业(C) 黄天松(G) 凌志权(G) 许钦恩(CG)惠州市水电建筑工程有限公司王赞雄(G)惠州市天虹道路桥梁工程监理有限公司高亮(G) 黄俊龙(CG) 黄芝淳(G) 李勇(G) 梁政荣(G) 刘燕峰(CG) 刘苑维(C) 王登科(G) 杨耿柱(G) 郑佳利(G) 郑越峰(CG)惠州市天堃道路桥梁工程检测有限公司黄志聪(C) 李业(Q) 钟威杰(Q)惠州市振兴交通工程质量检测中心黄景健(S) 张伟华(S)机械工业勘察设计研究院姚军(G)江门市建联试验检测有限公司邓远明(C) 梁靖(G) 徐士先(CG) 徐先光(G) 朱国行(C)江门市交通工程质量监督站董华龙(Q) 黄柏旺(CG) 黄淮(QS) 熊能(Q) 张展鹏(CG)江门市交通建设中心试验室有限公司甘志浩(C) 胡慧玲(G) 林伟聪(G) 吕远华(S) 许朝锃(S)江门市路桥集团有限公司李锦焕(CG)江西省交通工程集团公司中心试验室詹巨德(G)揭阳市交通工程质量检测中心林志超(CG) 刘志鸿(G)路桥华南工程有限公司柏小玲(C) 胡新星(G) 康曼(G) 林贵良(C) 谭逢彬(CG) 姚芳(G) 赵超(Q)洛阳路桥建设集团第一工程有限公司曾双强(C)茂名市科兴公路建设监理有限公司章杰(G)茂名市茂南建安集团有限公司梁家瑛(G)梅州市公路局公路工程质量监测站陈东生(G) 郭艳(C) 黄仕运(G) 赖富玲(C) 丘健(CG)梅州市市政建设集团公司刘嘉源(G) 彭桂崇(G)宁夏路桥工程股份有限公司东莞分公司覃水东(CG) 杨庆执(CG)清远市交通运输工程质量检测站冯婉漫(G)清远市伟旗工程试验检测有限公司陈创维(CG) 何广宏(S) 黄伟明(CG) 林举儿(G) 欧勇华(Q) 吴智力(G) 曾志劲(C) 周检文(CG)清远市正阳公路工程监理有限公司邓文亮(G) 魏高波(G)汕头公路桥梁工程检测站王剑武(G)汕头公路桥梁工程总公司李泳(C) 吴惠清(G)汕头市科创市政建筑检测有限公司高明健(C) 黄煌(C) 姜波(C) 李相明(C) 杨启灿(C) 张朋(CG)上海隧道工程质量检测有限公司谭浩(C)上海同济公路工程监理咨询有限公司马雪芹(CG)韶关市公路桥梁工程质量检测站李海平(CG)韶关市交通工程质量检测中心罗勇勇(CG)韶关市翔和公路工程质量检测有限公司李斌(G) 张彬行(CG)深圳高速工程检测有限公司李群锋(G) 刘一杰(Q) 秦鸿儒(G) 阮建迪(G) 宋大鹏(G) 谭明媚(Q) 唐清华(G) 王星枝(C) 杨晓辉(G) 张伟(Q) 周海平(G)深圳华昱投资开发(集团)有限公司杨亚红(C)深圳路桥工程有限公司禤淑君(C)深圳市飞扬工程检测有限公司何建琴(G) 黄耀进(S) 李映国(C)深圳市公路交通工程试验检测中心龚剑桥(C) 蒋小花(GA) 邱群聪(S) 王传(C) 闻学根(C) 闻志(C) 肖智凌(G) 訾力(Q)深圳市广东创益工程有限公司吴佳兵(G)深圳市恒义建筑技术有限公司刘林森(G) 肖明明(CG)深圳市宏颖建筑工程有限公司王镇(C)深圳市华鲁工程有限公司陈泽钦(C) 葛香香(C)深圳市华祥路桥建设工程咨询有限公司胡文娟(G) 卢媚(G)深圳市建工质量检测鉴定中心有限公司胡神辉(Q) 王亮(Q)深圳市康桥市政工程有限公司冯岳荣(Q)深圳市科毅工程检测有限公司冯祎(G) 何为(G) 邱明东(G) 王福猛(G) 钟才昭(G)深圳市坤和建筑工程有限公司杨炎华(CG)深圳市路宏工程检测有限公司高上明(G) 梁盛裕(G) 罗文(QS) 张康富(C) 郑俊勃(C) 朱淑兰(G) 深圳市路通工程检测有限公司冯明静(G)深圳市鹏盛达工程测试有限公司黄海军(G) 林世豪(G) 肖军平(S) 徐海军(S)深圳市市政工程总公司陈新志(CG) 李进锐(CG) 吕成文(G)深圳市市政设计研究院有限公司黄华(G) 杨桥(Q) 赵剑(S)深圳市太科检验有限公司蔡昱(C) 陈喜丽(C) 杜巍(CG) 黎源兴(Q) 梁玲玲(Q) 林芳辈(QS) 蒙林凯(CG) 青鑫(C) 覃旭才(C) 吴斌(C) 朱向阳(G) 朱亚峰(Q) 深圳市天健工程技术有限公司高琳(S) 郭桂发(G) 姜斌(C)深圳市天健沥青道路工程有限公司陈建友(C) 杜鹏超(C) 谭泉中(C)深圳市铁科检测工程有限公司陈圣业(G) 肖展(C)深圳市通诚交通建设工程检验有限公司钟美英(G)深圳市鑫盛源建设工程质量检测有限公司雷小波(G)深圳市业昕工程检测有限公司杨秀莉(C)深圳市正非检测科技有限公司李结茂(G)深圳市中邦集团建设总承包有限公司惠东分公司谭建国(CG)深圳中核工程检测有限公司刘运兴(G)沈阳市公路建设股份有限公司东莞分公司刘少龙(CG)铁四院(湖北)工程监理咨询有限公司深圳分公司李家(CG)西部中大建设集团有限公司黄铁坤(G) 潘鸽(G) 潘唐青(G)信宜市东镇建筑工程公司欧华坤(CG)阳江市交通建设工程质量检测中心李达科(G) 梁修撰(C)阳江市交通建设总公司张家友(G)阳西县华宇建筑工程有限公司廖永智(QS)永昌路桥集团有限公司广东分公司谢家亮(C)云浮市华通工程监理有限公司石龙(G)云浮市交通运输工程质量检测站董为勇(G)云南第三公路桥梁工程有限责任公司郑丽玉(G)湛江市公路工程质量监测站王汉辉(C)湛江市晋大建设工程检测有限公司陈通(C) 徐王武(G)肇庆市鼎星公路监理有限公司试验检测中心张伟坚(C)肇庆市公路工程质量监测站陈杨泉(C) 邓卓枝(G) 何志彬(CG) 卢建星(C) 徐耀洲(C) 中国公路工程咨询集团有限公司试验检测中心张海龙(G)中国建筑第六工程局有限公司曹剑波(C) 刘帅(CG) 尹伟彬(C)中国建筑第六股份有限公司王宏芳(CGQ)中国建筑土木建设有限公司路桥分公司南方事业部顾智琼(CG) 苏磊(C) 王犀(G) 姚思屹(CG)中国水电建设集团路桥工程有限公司曾建军(C)中国水电建设集团路桥工程有限公司试验检测中心黄焕(C) 肖寒(C) 袁玉平(C)中国水利水电第四工程局有限公司张志钢(C)中国铁道科学研究院深圳研究设计院邰腾伟(C)中国中铁航空港建设集团有限公司深圳分公司郭丽华(C)中交第二航务工程局有限公司深圳分公司常帅军(QS) 莫学斌(G) 彭冬梅(C)中交第一公路工程局有限公司土木技术研究院吴希秋(S) 张博(S)中交建工程咨询(北京)有限公司李明明(G)中交四航局第三工程有限公司中心试验室黄小斌(G) 鲁舟(CG) 张莉(CG) 朱先宝(GQ)中交四航局第一工程有限公司中心试验室郝毅(CG) 黄文集(G) 王彩波(C) 吴争亮(G) 张万洋(C) 周涛(C) 中交一公局厦门工程有限公司中心试验室何军刚(C) 尚海特(C) 谢瑞荣(C) 张世艳(C) 周旭肖(C) 庄勤(S) 中山市交通工程质量监督站汤敏锋(S) 熊晋(G)中山市逸华交通工程检测有限公司江灿彬(CG) 童庆浩(G) 吴宏生(CG) 郑晓奕(CG)中铁大桥局集团第二工程有限公司钟琴(C)中铁大桥局集团第二工程有限公司中心试验室龚鹏飞(C)中铁二局第四工程有限公司工程试验室江海东(G)中铁二局股份有限公司佛山分公司刘杰(C)中铁二十局集团第六工程有限公司试验测试中心刘奎(C)中铁二十三局集团第七工程有限公司黄春兰(CG) 李云雪(CG)中铁二十五局集团广州铁路工程有限公司丁丹淳(C) 郭康(C) 贺煦(C) 王海涛(C) 席会东(CG)中铁港航局集团第二工程有限公司廖璐(CG)中铁港航局集团有限公司工程检测中心李志军(C)中铁六局集团有限公司盾构分公司冯翠娥(S)中铁六局集团有限公司广州分公司陈辉(CG)中铁三局集团广州分公司王帅博(G)中铁三局集团有限公司广州分公司马艳芳(Q)中铁十二局集团第三工程有限公司计量测试中心陈志永(CS) 祝润(SC)中铁十二局集团第一工程有限公司计量测试中心李红博(G) 轩亮(C) 张嘉奇(G) 赵朋志(C) 李磊(G)中铁十二局集团第一工程有限公司计量试验中心刘昭君(CG) 吕清德(G) 王浩(G) 文俊琨(CG) 徐景洲(CG)中铁十九局集团第三工程有限公司试验室刘倩倩(C)中铁十局集团第三建设有限公司质量检测中心韩晓梅(C) 李宁(S) 李松山(C) 李园(CG) 史鹏(CG) 覃礼荣(CQ) 王希(C) 张作杭(G) 赵勇(G)中铁十六局集团第一工程有限公司计量测试中心心蒋晓辉(C)中铁十七局集团有限公司工程检测中心何晓(C)中铁十四局集团有限公司广州分公司刘永卫(S) 魏根善(S)中铁十五局集团有限公司深圳分公司王金水(C)中铁隧道集团三处有限公司李波(QS)广东交通集团检测中心陈耿冲(D) 黄克旺(D)广东省航盛建设集团有限公司检测中心郭灿(D) 李强(D) 刘让海(D) 彭刚(D) 杨震(D)广东至艺工程建设监理有限公司黄德琼(C)广州港工程检测中心有限公司秦茂芬(J) 谢振宇(J)广州港湾工程质量检测有限公司陈冠任(C) 陈海波(J) 冯光华(J) 胡瀚(J) 胡清霞(C) 黎姿妍(C) 李涛(D) 林毓昇(C) 刘喜东(C) 倪静姁(C) 宋平娟(C) 唐光星(C) 王炳文(D) 王乐斌(J) 王明军(C) 许儒丹(C) 许艳平(C) 杨富星(C) 尹培林(D) 张夏真(C) 张学伟(C)广州和立土木工程有限公司刘吉广(C)广州建设工程质量安全检测中心有限公司聂俊(D) 盘文坚(C) 王晓伟(D)广州建粤路桥检测技术有限公司颜亮(DJ)广州市承信公路工程检验有限公司杨旭邦(J)广州市市政园林工程质量检测中心杜锦安(D)广州市雄炜建筑工程检测有限公司马建强(J)江门市交通工程质量监督站陈建富(J) 黄淮(C) 黄威(J) 罗韶军(C) 熊能(J) 赵作涵(D)江门市交通建设中心试验室有限公司戴惠兵(D) 古国新(J) 许朝锃(C)宁夏路桥工程股份有限公司东莞分公司周小红(C)深圳高速工程检测有限公司李梦蝶(D)深圳市道桥维修中心桥梁检测站曾灶红(C)深圳市飞扬工程检测有限公司陈扬叶(D) 何国胜(D)深圳市公路交通工程试验检测中心邱群聪(C)深圳市太科检验有限公司白大鹏(D) 樊小勇(C) 范伟(J)阳江市交通建设工程质量检测中心李俊桦(C)阳西县华宇建筑工程有限公司廖永智(C)中交四航局第二工程有限公司刘海平(C)中交四航局第二工程有限公司中心试验室龚晓东(C) 周玉玲(J) 周云锋(C)中交四航局第三工程有限公司中心试验室陈海盛(C) 朱先宝(C)中交四航局第一工程有限公司中心试验室张全华(C)珠海市交通工程质量监督检测站蔡炳浩(J)备注(检测专业代码含义):公路工程专业:C材料、G公路、Q桥梁、S隧道、A交通安全设施、J机电工程水运工程专业:C材料、D地基与基础、J结构。
浙江省交通运输厅关于开展2011年交通运输行业特有职业(工种)技能鉴定及技师考评工作的通知文章属性•【制定机关】浙江省交通运输厅•【公布日期】2011.09.13•【字号】浙交[2011]215号•【施行日期】2011.09.13•【效力等级】地方规范性文件•【时效性】现行有效•【主题分类】交通运输综合规定正文浙江省交通运输厅关于开展2011 年交通运输行业特有职业(工种)技能鉴定及技师考评工作的通知(浙交〔2011〕215号)各市交通局(委)、义乌市交通局,厅管厅属各单位,温州、嘉兴、舟山、台州市港航(务)局:为进一步提高全省交通运输行业高技能人才队伍建设水平,不断满足浙江交通转型发展的人才需求,根据厅人才工作计划及有关要求,将开展2011 年交通运输行业部分特有职业(工种)技能鉴定和职业资格考评工作。
具体有关事项通知如下:一、职业(工种)范围和等级(一)初、中、高级工公路养护工、路基工、路面工、压路机操作工(筑机操作工)、拌和楼操作工、公路运输(桥梁)起重工、桥梁钢筋工、桥梁木工、公路监控设备操作工、车辆通行费收费员、站务员、汽车检测工(二)技师公路养护工、路基工、路面工、筑路机械、公路运输(桥梁)起重工(三)高级技师公路养护工二、申报条件凡已颁布国家职业标准和职业技能鉴定规范的职业(工种),按规定的申报条件执行。
未颁布国家职业标准和职业技能鉴定规范的职业(工种),其申报条件原则上按如下要求确定:(一)初级工(具备下列条件之一者)1.经本职业正规培训达规定标准学时数,并取得毕(结)业证书。
2.在本职业连续工作2 年以上。
(二)中级工(具备下列条件之一者)1.取得本职业初级资格证书后,连续从事本职业工作满3年,经本职业中级正规培训达规定标准学时数,并取得毕(结)业证书。
2.取得本职业初级资格证书后,连续从事本职业工作满5 年。
3.连续从事本职业工作满7 年。
4.取得经劳动保障行政部门审核认定的,以中级技能为培养目标的中等以上职业学校本职业(专业)毕业证书。
交通行业特有职业(工种)技能鉴定实施办法(试行)第一条为适应社会主义市场经济发展需要,开展交通行业特有职业(工种)技能鉴定工作,提高交通行业从业人员素质,促进交通事业全面、协调和可持续发展,根据《劳动法》和《职业技能鉴定规定》(劳部发 [1993]134 号),制定本办法。
第二条本办法所称职业技能鉴定是指对交通行业特有职业(工种)的从业人员进行技能等级的考核和技师、高级技师资格的考评,并给合格者颁发相应的《职业资格证书》。
第三条交通部人事劳动司负责综合管理和指导交通行业特有职业(工种)技能鉴定工作。
其主要职责是:(一)统筹规划交通行业职业技能鉴定工作(包括职业技能鉴定站的布局等),并制定有关政策、规定和办法。
(二)对交通行业职业技能鉴定工作进行管理并监督检查。
(三)负责组建和管理交通部职业技能鉴定指导中心.(四)审核各省、自治区、直辖市、新疆生产建设兵团交通厅(局、委)和中央企业交通行业特有职业(工种)技能鉴定站,报劳动和社会保障部批准后,颁发全国统一的《职业技能鉴定许可证》和标牌。
(五)负责交通行业特有职业(工种)技能鉴定考评员的综合管理和资格审核,报劳动和社会保障部核准后,颁发考评员资格证卡.(六)负责审核交通行业特有职业(工种)技能标准和鉴定试题库,报劳动和社会保障部批准后实施。
(七)负责交通行业特有职业(工种)《职业资格证书》的核发和管理工作。
(八)负责对交通行业特有职业(工种)技能鉴定站的检查、评估工作。
第四条交通部职业技能鉴定指导中心负责交通行业特有职业(工种)技能鉴定的日常管理工作.其主要职责是:(一)组织实施交通行业特有职业(工种)技能鉴定工作。
(二)制定交通行业特有职业(工种)技能鉴定站建站条件,并负责资格审查工作.(三)组织制定交通行业特有职业(工种)技能标准和鉴定规范,组织编写培训大纲和教材,并组建相应的试题库.(四)制定交通行业特有职业(工种)技能鉴定考评员的资格要求,并负责组织资格培训和考核。
2023年全国公路水运工程试验检测考试合格人员名单2023年全国公路水运工程试验检测考试已于近日完成。
经过严苛的考核和测评,以下人员成功通过考试,成为合格者。
一、公路工程试验检测合格人员名单1. 张三:张三毕业于某知名工科院校,具有扎实的理论基础和丰富的实践经验,曾在多个公路工程项目中担任试验检测工作,具备较高的专业素养和工作能力。
2. 李四:李四在公路工程试验检测领域拥有十年以上的从业经验,熟悉各类试验设备和检测标准,对于工程质量控制和安全评估有着深入的研究。
3. 王五:王五毕业于公路与交通工程专业,具备扎实的理论基础和较强的动手实践能力,曾在多个公路工程项目中担任试验检测人员,工作认真负责,获得了良好的评价。
4. 赵六:赵六具备独立完成道路试验检测的能力,熟悉各类试验方法和标准,具有优秀的数据分析和报告撰写能力,曾参与多个公路工程项目的试验检测,工作严谨细致。
5. 陈七:陈七具有扎实的土木工程背景,对于公路工程试验检测有着深入的研究和实践经验,曾荣获国家公路建设优秀奖励,并在工程实验室中积累了丰富的工作经验。
二、水运工程试验检测合格人员名单1. 张三:张三毕业于某水运工程学院,具备系统的理论知识和实践技能,曾参与多个水运工程项目的试验检测工作,具备较高的专业素养和工作能力。
2. 李四:李四在水运工程试验检测领域具有多年的从业经验,熟悉各类试验设备和检测标准,对于工程质量控制和安全评估有着深入的研究。
3. 王五:王五毕业于水运与港口工程专业,具备扎实的理论基础和较强的动手实践能力,曾在多个水运工程项目中担任试验检测人员,工作认真负责,获得了良好的评价。
4. 赵六:赵六具备独立完成水运试验检测的能力,熟悉各类试验方法和标准,具有优秀的数据分析和报告撰写能力,曾参与多个水运工程项目的试验检测,工作严谨细致。
5. 陈七:陈七具有扎实的水利水运工程背景,对于水运工程试验检测有着深入的研究和实践经验,曾荣获国家水利工程优秀奖励,并在工程实验室中积累了丰富的工作经验。
无锡市交通运输局关于公布无锡市交通工程技术中级资格评审委员会评审结果的通知正文:---------------------------------------------------------------------------------------------------------------------------------------------------- 无锡市交通运输局关于公布无锡市交通工程技术中级资格评审委员会评审结果的通知(锡交职发〔2013〕7号)各有关单位:接无锡市人力资源和社会保障局锡职办〔2013〕47号文件通知,经无锡市交通工程技术中级资格评审委员会评审,以下50名同志已具备工程师资格:无锡市公路管理处:邓飞江苏省无锡市航道管理处:徐英鹏无锡市交通运输管理处:曹永明无锡虹一工程建设有限公司:周效威无锡市交通工程有限公司:唐杰、曹昌伟、龚志炜、肖炜、王君无锡市轨道交通规划建设领导小组(指挥部)办公室:鲍琦无锡地铁集团有限公司:王乃龙、田华无锡地铁集团有限公司运营分公司:施永华、黄波、朱晓峰、严俊锋、陈虎、王晓斌、徐晓琴、曹承刚、栗岗、冯飞江苏润港工程集团有限公司:倪庆山无锡市宏盛市政建设工程有限公司:殷国栋江苏省无锡船厂有限公司:孙晓峰、张菁无锡市规划局新区分局:谌元帅无锡市新城建设监理有限公司:孙国剑无锡长立市政工程有限公司:贺华斌江苏广靖锡澄高速公路有限责任公司:赵卫国无锡滨湖安达汽车综合性能检测有限公司:朱煜东江苏省科佳工程设计有限公司:杨昊捷无锡市交通汽车综合性能检测中心有限责任公司:滕方明江苏中设工程咨询集团有限公司:顾轶琛、龚彬彬、龚冠铭、施霄飞、徐华渠、叶礼连、仲伟波、蒋兴达、王文艳、强君华、潘冬、宋亚林、周广志、孙海燕、蒋坚、叶建桃中国华西工程设计建设有限公司无锡分公司:余志斌上述人员的中级资格时间从2013年9月25日起算。
特此通知。
2013年11月6日——结束——。
2011年度工程系列交通行业工程师专业技术资格评审结果公示 根据《广西壮族自治区职称改革工作领导小组第三十三次会议关于当前职称工作若干问题的意见》(桂职改〔2008〕1号),现对2011年度工程系列交通行业工程师专业技术资格评审结果予以公示,公示时间为2012年2月24日至3月1日。
群众如对评审结果有异议,可以书面形式并署真实姓名和联系方式,于公示结束前邮寄或直接送达自治区交通运输厅职改办(南宁市新民路67号自治区交通运输厅708室),邮寄的以邮戳为准,直接送达的以送达日期为准。
凡以匿名形式反映情况的不予受理。
公示无异议的人员,将在完成审核审批程序后正式发文公布。
群众如实反映有关问题受法律保护。
自治区交通运输厅职称改革工作
领导小组办公室
二○一二年二月二十四日
通过评审人员名单:。
2023年全国公路水运工程试验检测考试合格人员名单2023年全国公路水运工程试验检测考试合格人员名单公布近日,2023年全国公路水运工程试验检测考试合格人员名单正式公布。
这是一份备受关注的名单,代表着全国各地在公路水运工程领域中具备优秀技能和专业知识的人才。
本次考试是为了选拔和评价在公路水运工程领域具备实践经验和专业技能的人才,以推动我国交通基础设施建设的发展。
经过层层选拔和严格考核,最终有来自全国各地的2000余名考生成功通过了考试。
这些合格人员来自不同的背景和地区,他们有的是从事公路建设多年的老手,有的是刚刚毕业不久的新鲜血液。
他们在这次考试中展现出了扎实的理论基础和丰富的实践经验,为我国交通建设事业做出了积极贡献。
这份名单中涵盖了各个岗位和职位,包括道路工程师、桥梁工程师、港口工程师等等。
他们将在未来的工作中,负责公路水运工程的设计、施工、监理和检测等各个环节,为我国的交通事业保驾护航。
公路水运工程试验检测是一个综合性的领域,需要考生具备广泛的知识和技能。
这次考试的合格人员名单中,有很多人都具备了多个专业技能和证书,这为他们在未来的职业发展中提供了更多的机会。
同时,这份名单也是对他们过去努力和付出的肯定。
他们在备战考试期间付出了大量时间和精力,通过自己的努力和不懈奋斗取得了优异成绩。
这份名单是他们辛勤劳动和智慧结晶的见证。
2023年全国公路水运工程试验检测考试合格人员名单的公布,标志着我国交通基础设施建设事业迈上了一个新台阶。
这些优秀人才将为我国交通事业注入新鲜血液,推动我国交通建设事业不断发展壮大。
我们对这些合格人员表示热烈祝贺,并期待他们在未来的工作中取得更加辉煌的成就。
同时也希望更多的人能够加入到公路水运工程领域,为我国的交通事业贡献自己的力量。
让我们共同努力,为实现交通强国的目标而奋斗!。
山西省交通运输厅关于开展2022年度交通运输专业中级工程技术职务任职资格评审工作的通知文章属性•【制定机关】山西省交通运输厅•【公布日期】2022.07.08•【字号】•【施行日期】2022.07.08•【效力等级】地方规范性文件•【时效性】现行有效•【主题分类】专业技术人员管理正文山西省交通运输厅关于开展2022年度交通运输专业中级工程技术职务任职资格评审工作的通知厅属各单位,各相关单位:根据省人社厅《关于做好2022年度全省职称评审工作的通知》(晋人社厅函〔2022〕550号)精神,现就开展2022年度交通运输专业中级工程技术职务任职资格评审工作有关事项通知如下:一、组织管理2022年度交通运输专业中级工程技术职务任职资格评审工作,在省人社厅的统一领导下,由省交通运输厅中级工程技术职务评审委员会具体组织实施。
二、评审范围及专业(一)人员范围。
厅属企事业单位、省直有关单位、各企业中从事交通运输工程专业技术工作,符合申报评审条件和专业范围的专业技术人才和高技能人才。
下列人员不得申报:1.国家公务员(含参照公务员法管理单位工作人员);2.退休人员(已办理退休手续或达到国家法定退休年龄的人员,以评审委员会办事机构开始收受申报评审材料之日为界);3.事业单位工作人员受到记过以上处分且在受处分期间的。
(二)专业范围。
申报专业为:道路与桥梁、筑路机械、汽车运用、水运、机电。
申报人员可根据自己从事的专业技术工作实际,按以上专业申报,凡不属于交通运输工程专业评审范围的不予受理。
三、申报条件(一)思想政治条件。
热爱祖国,拥护党的领导,遵守法律法规,具有良好的科学精神、职业道德和敬业精神,廉洁自律,诚实守信,忠于职守,能竭诚为建设现代综合交通运输体系服务。
(二)学历条件。
须具备本专业或相近专业(理科、工科专业)大学专科及以上学历。
对在基层一线或艰苦边远地区直接从事本专业技术工作满20年,且目前仍在一线岗位工作、业绩突出的专业技术人员,学历可放宽到中专。
江西省交通运输厅关于张文等125位同志具备中级专
业技术资格的通知
文章属性
•【制定机关】江西省交通运输厅
•【公布日期】2018.12.18
•【字号】
•【施行日期】2018.12.18
•【效力等级】地方规范性文件
•【时效性】现行有效
•【主题分类】专业技术人员管理
正文
江西省交通运输厅关于张文等125位同志具备中级专业技术
资格的通知
厅直属各单位、省高速集团、省路政总队:
经省交通运输工程中级专业技术资格评审委员会评审通过,张文等125位同志具备相应中级专业技术资格(具体名单详见附件),以上同志中级专业技术资格时间从评委会评审通过之日(2018年11月18日)起算。
附件:2018年交通运输工程系列中级专业技术资格通过名单
江西省交通运输厅
2018年12月18日附件
2018年交通运输工程系列中级专业技术资格通过名单。
交通运输部职业资格中心关于印发《交通运输行业职业技能鉴定站考核办法(试行)》的通知文章属性•【制定机关】交通运输部•【公布日期】2019.03.11•【文号】职考发〔2019〕9号•【施行日期】2019.03.11•【效力等级】部门规范性文件•【时效性】现行有效•【主题分类】专业技术人员管理正文交通运输部职业资格中心关于印发《交通运输行业职业技能鉴定站考核办法(试行)》的通知职考发〔2019〕9号各交通运输行业职业技能鉴定站:现将《交通运输行业职业技能鉴定站考核办法(试行)》印发给你们,请遵照执行。
执行中有何问题和建议,请与交通运输部职业资格中心考务管理处联系。
电话:************。
交通运输部职业资格中心2019年3月11日交通运输行业职业技能鉴定站考核办法(试行)第一章总则第一条为加强交通运输行业职业技能鉴定站(以下简称鉴定站)的管理,规范交通运输行业职业技能鉴定工作,根据《交通行业职业技能鉴定实施方案》和《交通行业特有工种职业技能鉴定站管理办法》等有关规定,结合工作实际,制定本办法。
第二条经人力资源社会保障部审批,或经交通运输部职业资格中心审核并向社会公布的鉴定站,组织开展的职业技能鉴定、职业技能等级认定以及专项职业能力考核工作适用本办法。
第三条鉴定站的考核,应坚持实事求是,公开公正,奖优罚劣,注重实效,定量与定性考评相结合的原则。
第二章考核指标及赋分第四条鉴定站考核指标及赋分标准如下:(一)鉴定场地及设备。
(10分)鉴定场地处于使用有效期内,设备状况满足开展鉴定工作需要。
(10分)(二)考评人员队伍。
(10分)考评人员证书在有效期内,考评人员数量满足开展鉴定工作需要。
(10分)(三)安全保密。
(10分)具有符合国家规定的试卷存放保密室,安全保密管理规章制度健全。
(10分)(四)年评价人数。
(10分)1.0<年评价人数≤500,不得分;2.500<年评价人数≤1000,得1分;3.1000<年评价人数≤3000,得3分;4.3000<年评价人数≤5000,得5分;5.5000<年评价人数≤10000,得8分;6.10000<年评价人数,得10分。