信号检测习题
- 格式:ppt
- 大小:667.01 KB
- 文档页数:24
第一章习题:一、填空题1、电量分为和,如电流、电压、电场强度和电功率属于;而描述电路和波形的参数,如电阻、电容、电感、频率、相位则属于。
2、传感器输出的经过加工处理后,才能进—步输送到记录装置和分析仪器中。
3、现代科学认为,、、是物质世界的三大支柱。
4、与三大支柱相对应,现代科技形成了三大基本技术,即、、。
5、传感技术是人的的扩展和延伸;通信技术是人的的扩展和延伸;计算机技术是人的的延伸。
6、、、技术构成了信息技术的核心。
二、简答题1、举例说明信号测试系统的组成结构和系统框图。
2、举例说明传感技术与信息技术的关系。
3、分析计算机技术的发展对传感测控技术发展的作用。
4、分析说明信号检测与信号处理的相互关系。
三、参考答案(-)填空题1、电能量、电参量、电能量、电参量2、电信号、信号调理电路3、物质、能量、信息4、新材料技术、新能源技术和信息技术5、感官(视觉、触觉)功能、信息传输系统(神经系统)、信息处理器官(大脑)功能6、传感、通信和计算机第二章习题:一、填空题1、确定性信号可分为和两类。
2、信号的有效值又称为,它反映信号的。
3、概率密度函数是在域,相关函数是在域,功率谱密度是在域上描述随机信号。
4、周期信号在时域上可用、和参数来描述。
5、自相关函数和互相关函数图形的主要区别是。
6、因为正弦信号的自相关函数是同频率的,因此在随机噪声中含有时,则其自相关函数中也必然含有,这是利用自相关函数检测随机噪声中含有的根据。
7、周期信号的频谱具有以下三个特点:_________、________、_________。
8、描述周期信号的数学工具是__________;描述非周期信号的数学工具是________。
9、同频的正弦信号和余弦信号,其相互相关函数是的。
10、信号经典分析方法是和。
11、均值E[x(t)]表示集合平均值或数学期望,反映了信号变化的,均方值反映信号的。
12、奇函数的傅立叶级数是,偶函数的傅立叶级数是。
1-9 已知随机变量X 的分布函数为20,0(),011,1X x F x kx x x <⎧⎪=≤≤⎨⎪>⎩求:①系数k ; ②X 落在区间(0.3,0.7)内的概率; ③随机变量X 的概率密度。
解:第①问 利用()X F x 右连续的性质 k =1 第②问{}{}{}()()0.30.70.30.70.70.30.7P X P X F P X F =<<=<≤-=-第③问 201()()0X X xx d F x f x elsedx ≤<⎧==⎨⎩1-10已知随机变量X 的概率密度为()()xX f x ke x -=-∞<<+∞(拉普拉斯分布),求:①系数k ②X 落在区间(0,1)内的概率 ③随机变量X 的分布函数 解: 第①问()112f xd x k ∞-∞==⎰ 第②问 {}()()()211221x x P x X xF x F xfx d x<≤=-=⎰ 随机变量X 落在区间12(,]x x 的概率12{}P x X x <≤就是曲线()y f x =下的曲边梯形的面积。
{}{}()()1010101112P X P X f x dxe -<<=<≤==-⎰第③问()102102xx e x f x e x -⎧≤⎪⎪=⎨⎪>⎪⎩()00()110022111010222xx xxx x x x F x f x dxe dx x ex e dx e dxx e x -∞-∞---∞=⎧⎧≤≤⎪⎪⎪⎪==⎨⎨⎪⎪+>->⎪⎪⎩⎩⎰⎰⎰⎰1-11 某繁忙的汽车站,每天有大量的汽车进出。
设每辆汽车在一天内出事故的概率为0.0001,若每天有1000辆汽车进出汽车站,问汽车站出事故的次数不小于2的概率是多少?,(01)p q λ→∞→→∞→−−−−−−−−→−−−−−−−−→−−−−−−−−→n=1n ,p 0,np=n 成立,0不成立-分布二项分布泊松分布高斯分布汽车站出事故的次数不小于2的概率()()P(2)101k P k P k ≥=-=-= 答案0.1P(2)1 1.1k e -≥=-100.1n p ≥≤实际计算中,只需满足,二项分布就趋近于泊松分布()np!k e P X k k λλλ-===1-12 已知随机变量(,)X Y 的概率密度为(34)0,0(,)0x y XY kex y f x y -+⎧>>⎪=⎨⎪⎩,,其它求:①系数k ?②(,)X Y 的分布函数?③{01,02}P X X <≤<≤?第③问 方法一:联合分布函数(,)XY F x y 性质:若任意四个实数1212,,,a a b b ,满足1212,a a b b ≤≤,则121222111221{,}(,)(,)(,)(,)XY XY XY XY P a X a b Y b F a b F a b F a b F a b <≤<≤=+--{01,02}(1,2)(0,0)(1,0)(0,2)XY XY XY XY P X Y F F F F ⇒<≤<≤=+--方法二:利用(){(,)},XY DP x y D f u v dudv∈∈⎰⎰)(210{01,02},XY P X Y f x y dxdy <≤<≤=⎰⎰1-13 已知随机变量(,)X Y 的概率密度为101,(,)0x y xf x y ⎧<<<=⎨⎩,,其它 ①求条件概率密度(|)X f x y 和(|)Y f y x ?②判断X 和Y 是否独立?给出理由。
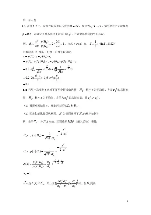
第一章习题1.1 在例1.2中,设噪声均方差电压值为2V σ=,代价为21m f c c ==。
信号存在的先验概率0.2p =。
试确定贝叶斯意义下最佳门限β。
并计算出相应的平均风险。
解:001()0.828()0.2p H cf cm p H β=⋅=⨯=,由式(1-18)有,14ln 88.822V β=+=由教材式(1-20)、(1-21)可得平均风险:22110010101088()()((()|)()|)0.210.2() 1.6()220.2m f x x H H H D H H D H r p r p r p p c p p c e dx e dxerfc ββββ--⋅⋅=+⋅=⋅+⋅⋅=⋅+⎰⎰-=⋅Φ+⋅=1.3 只用一次观测x 来对下面两个假设做选择,0H :样本x 为零均值、方差20σ的高斯变量,1H :样本x 为零均值、方差为21σ的高斯变量,且2210σσ>。
(1)根据观察结果x ,确定判决区域0D 和1D 。
(2)画出似然比接受机框图。
1H 为真而选择了0H 的概率如何? 解:由于ijc ,()jH p 未知,因而选择MAP (最大后验)准则:0H:22002(|)x p x H eσ-⋅=1H:22112(|)x p x H eσ-⋅=2221011()20101(|)()(|)x p x H x ep x H σσσσ--Λ==⋅01Λ=∴当0()x Λ≥Λ,即1220112221102[()ln ]x σσσσσσ≥-时,作1D 判决;当0()x Λ<Λ时,即1220112221102[()ln ]x σσσσσσ<-时,作0D 判决。
(2)似然机接收框图如下:所以,判决1H 为真而选择了0H 的概率为:2212200011000012111(|)(|)[][]x y x xp D H p x H dx edxx x x x x e dy erfc erfc σσσ-⋅-==⎰⎰--==--⎰其中:12212022000112[()ln ]x σσσσσσ=- 1.4 设计一个似然比检验,对下面两个假设做选择。
《微弱信号检测》练习题1、证明下列式子:(1)R xx(τ)=R xx(-τ)(2)∣ R xx(τ)∣≤R xx(0)2x(t)x(t-τ)≤x2(t)+x2(t-τ)∣ R xx(τ)∣≤R xx(0)(3)R xy(-τ)=R yx(τ)(4)| R xy(τ)|≤[R xx(0)R yy(0)]2、设x(t)是雷达的发射信号,遇目标后返回接收机的微弱信号是αx(t-τo),其中α«1,τo是信号返回的时间。
但实际接收机接收的全信号为y(t)= αx(t-τo)+n(t)。
(1)若x(t)和y(t)是联合平稳随机过程,求R xy(τ);(2)在(1)条件下,假设噪声分量n(t)的均值为零且与x(t)独立,求R xy(τ)。
3、已知某一放大器的噪声模型如图所示,工作频率f o=10KHz,其中E n=1μV,I n=2nA,γ=0,源通过电容C与之耦合。
请问:(1)作为低噪声放大器,对源有何要求?(2)为达到低噪声目的,C为多少?4、如图所示,其中F1=2dB,K p1=12dB,F2=6dB,K p2=10dB,且K p1、K p2与频率无关,B=3KHz,工作在To=290K,求总噪声系数和总输出噪声功率。
5、已知某一LIA的FS=10nV,满刻度指示为1V,每小时的直流输出电平漂移为5⨯10-4FS;对白噪声信号和不相干信号的过载电平分别为100FS和1000FS。
若不考虑前置BPF的作用,分别求在对上述两种信号情况下的Ds、Do和Di。
6、下图是差分放大器的噪声等效模型,试分析总的输出噪声功率。
7、下图是结型场效应管的噪声等效电路,试分析它的En-In模型。
8、R1和R2为导线电阻,R s为信号源内阻,R G为地线电阻,R i为放大器输入电阻,试分析干扰电压u G在放大器的输入端产生的噪声。
9、如图所示窄带测试系统,工作频率f o=10KHz,放大器噪声模型中的E n=μV,I n=2nA,γ=0,源阻抗中R s=50Ω,C s=5μF。
三、(15分)在二元信号的检测中,若两个假设下的观测信号分别为:0122112::H x r H x r r ==+其中,和是独立同分布的高斯随机变量,均值为零,方差为1。
若似然比检测门限为1r 2r ,求贝叶斯判决表示式。
η解 假设下,观测信号的概率密度函数为0H x 1/2201(|)exp 22x p x H π⎛⎫⎛⎫=- ⎪⎪⎝⎭⎝⎭假设下,,而,且相互统计独立。
大家知1H 2212x r r =+12(0,1),(0,1)r N r N ::道,若,且之间相互统计独立,则(0,1)k r N :(1,2,,)k r k N =L 21Nk k x x ==∑是具有个自由度的分布。
现在,所以假设下,观测信号的概率密度函数N 2χ2N =1H x 为22/2112/221(|)exp()2(2/2)21exp(),022x p x H x x x -=-Γ=-≥当时,。
0x <1(|)0p x H =于是,似然比函数为1/2210exp ,0(|)()222(|)0,0x x x p x H x p x H x πλ⎧⎛⎫⎛⎫-≥⎪ ⎪ ⎪==⎨⎝⎭⎝⎭⎪<⎩当似然比检测门限为时,判决表达式为η11/220exp ,0222,0H H x x x H x πη⎧⎛⎫>⎛⎫⎪-≥⎪ ⎪ ⎪<⎝⎭⎨⎝⎭⎪⎪<⎩成立对的情况,化简整理得判决表达式为0x ≥11/2222ln H H x x ηπ⎡⎤>⎛⎫-⎢⎥⎪<⎝⎭⎢⎥⎣⎦四、(15分)已知被估计参量的后验概率密度函数为θ2(|)()exp[()],0p x x x θλθλθθ=+-+≥(1)求的最小均方误差估计量 。
θ^mse θ(2)求 的最大后验估计量 。
θ^map θ 解 (1)参量的最小均方误差估计量是的条件均值,即θ^mse θθ^0220221(|)()[()]1()()2,mse p x d x exp x d x x x x θθθθλθλθθλλλλ∞∞+==+-+=++=≥-+⎰⎰^0,mse x θλ=<-(2)由最大后验方程^ln (|)|0map p x θθθθ=∂=∂得^2[ln()ln ()]1()|0mapx x x θθλθλθθλθ=∂++-+∂=-+=解得^^1,0,map map x x x θλλθλ=≥-+=<-七、(15分)若对未知参量进行了六次测量,测量方程和结果如下:θ182222202384404384n θ⎡⎤⎡⎤⎢⎥⎢⎥⎢⎥⎢⎥⎢⎥⎢⎥=+⎢⎥⎢⎥⎢⎥⎢⎥⎢⎥⎢⎥⎢⎥⎢⎥⎣⎦⎣⎦设初始估计值和估计量的均方误差分别为:^2000,θε==∞试用递推估计求的线性最小二乘估计量和估计量的均方误差θ^^1def s k θθ=;并将最终结果与非递推估计的结果进行比较。
微弱信号检测练习题及答案微弱信号检测是一项重要的技能,对于许多领域都有着重要的应用。
无论是在科学研究中探测微小的信号,还是在工程领域中追踪和分析微弱的信号,都需要具备一定的技巧和方法。
本文将为大家提供一些微弱信号检测的练习题及答案,帮助读者加深对这一技能的理解和掌握。
练习题一:假设你正在进行一项实验,需要检测一个微弱的声音信号。
你使用了一台麦克风来接收声音信号,并将其转化为电信号。
然后,你将电信号输入到一个放大器中进行放大。
最后,你使用一个耳机来听取放大后的信号。
请问,在这个实验中,哪个环节对微弱信号的检测至关重要?答案一:在这个实验中,放大器是对微弱信号检测至关重要的环节。
由于微弱信号的幅度很小,直接进行分析和处理是非常困难的。
因此,我们需要通过放大器将微弱信号的幅度增加到可以被人耳听到的程度。
只有经过放大器的处理,我们才能更好地分析和理解微弱信号的特性和内容。
练习题二:假设你正在使用一台望远镜观测夜空中的微弱光信号。
你使用了一块高灵敏度的光电探测器来接收光信号,并将其转化为电信号。
然后,你将电信号输入到一个信号处理器中进行处理和分析。
请问,在这个实验中,哪个环节对微弱信号的检测至关重要?答案二:在这个实验中,光电探测器是对微弱信号检测至关重要的环节。
由于微弱光信号的强度很小,直接进行观测和分析是非常困难的。
因此,我们需要使用高灵敏度的光电探测器来将光信号转化为电信号。
只有经过光电探测器的转换,我们才能更好地分析和理解微弱光信号的特性和内容。
练习题三:假设你正在进行一项实验,需要检测一个微弱的电信号。
你使用了一根导线来接收电信号,并将其输入到一个信号处理电路中进行处理。
然后,你使用示波器来观测处理后的信号。
请问,在这个实验中,哪个环节对微弱信号的检测至关重要?答案三:在这个实验中,信号处理电路是对微弱信号检测至关重要的环节。
由于微弱电信号的幅度很小,直接进行观测和分析是非常困难的。
因此,我们需要使用信号处理电路来对电信号进行放大和处理。
一、是非题(对的打√,错的打×)(每题2分,共20分)1.分析周期信号的频谱的工具是傅立叶级数。
( T )2.所有周期信号都是功率信号。
(√)3.电阻应变式传感器只用于测定结构的应力或应变。
(×)4.瞬态信号的频谱一定是连续的。
( T )5.凡频谱是离散的信号必然是周期信号。
( F )6.信号x(t)=sin(2t+1)+cos(t/3)是瞬态信号。
( F )7.频响函数反映了系统响应的稳态过程。
(√)8.已知信号x(t)与信号y(t)完全不相关,则该二信号的互相关系数满足ρxy(τ)=1( F )9.一阶系统的时间常数τ越小越好。
( T )10.单自由度系统的刚度越大,其固有频率就越低。
( F )11.具有质量为M,刚度为K的振动体的固有频率为 0=MK。
( F )12.传感器与被测量的对应程度可用其灵敏度表示( T )。
13.对传感器进行动态标定的主要目的是检测传感器的动态性能指标( T )。
14.系统的不失真测试条件要求测试系统的幅频特性和相频特性均保持恒定。
( F )15.稳态响应法不能用于一阶系统的动态特性测试。
(×)16.直流信号具有无限的频谱。
(×)17.表示测量装置的静态输入与输出之间关系的实验曲线称为幅频曲线。
( F )18.电桥测量电路的作用是把传感器的参数变化转为电荷的输出。
( F )19.一选频装置,其幅频特性在f1~f2区间急剧衰减(f2>f1),在0~f1和f2~∞之间近乎平直,这叫低通滤波器。
( F )20.半桥联接中要求两个桥臂阻值变化大小相等,极性相反。
(√)21.电桥电路是一个很好的幅度调制器。
( T )22.从信号运算的角度看,调幅过程就是将调制信号与载波信号相乘。
( T )23.相敏检波是一种能鉴别信号的相位和极性却无放大能力的检波电路。
( T )24.压电式传感器不一定要配接前置放大器。
(×)25.电荷放大器使压电加速度计输出的电荷量得到放大,由此而得电荷放大器的名称。
22]exp[22228.8)])R pp101022]p x x H ss 22]1x x s +似然函数为221/22()(|)(2/2)exp[]2/2x k x k m a P m H ps s --= (k=1,0)虚警概率100(|)(|)[]/2x x P D H P m H dm erfc bb s ¥==ò漏报概率0111(|)1(|)1[]/2x x P D H P m H dm erfc bb s ¥-=-=-ò平均风险011001Pr (|)(|)f m R Qr Qc P D H Pc P D H =+=+=1[]{1[]}/2/2f m Qc erfc Pc erfc b b s s -+-其中b 为(1)式确定1.3只用一次观测x 来对下面两个假设作选择,0H :样本x 为零均值、方差20s 的高斯变量,1H :样本x 为零均值、方差21s 的高斯变量,且21s >20s 。
根据观测结果x ,确定判决区域0D 和1D 。
画出似然比接收机框图。
1H 为真而选择了0H 的概率如何? 解:(1)似然函数221(|)exp()2*2k k kx P x H s s p -= (k=1,0) 似然比2100220101(|)111exp[()](|)2P x H x P x H s s s s =-³L 判为1H 化简得2220101221002ln 0x s s sb s s s L³=>- (21s >20s ) 判为1H得 1:||D x b ³ 0:||D x b <0L 根据选取准则而定21exp()2bbbbs s p(2s p12s p 222lns ps=b ||1x b > |1b £则||x—bx ³0 判为1H<0 判为0H1001(|)(|)2P D H P x H dx dx bbbbb a --====òò所以得判决区域为1:||||1D x x a £> 0:||1D x a <£1.7 1.7 根据一次观测,用极大极小化检验对下面两个假设做判断根据一次观测,用极大极小化检验对下面两个假设做判断根据一次观测,用极大极小化检验对下面两个假设做判断1H :()1()x t n t =+0H :()()x t n t =设n (t )为零均值和功率为2s 的高斯过程,且00111001,1c c c c ===。
铁路信号测量复习题答案一、单项选择题1. 铁路信号系统中,用于控制列车运行的设备被称为()。
A. 信号机B. 道岔C. 轨道电路D. 信号灯答案:A2. 信号机的显示方式中,表示允许列车以规定速度运行的信号是()。
A. 绿灯B. 黄灯C. 红灯D. 蓝灯答案:A3. 轨道电路的主要作用是()。
A. 检测列车位置B. 控制列车速度C. 转换道岔方向D. 传输信号答案:A4. 道岔转换的基本原理是通过()来实现的。
A. 改变电流方向B. 改变电压大小C. 改变道岔位置D. 改变信号显示答案:C5. 铁路信号系统中,用于检测列车位置的设备是()。
A. 信号机B. 道岔C. 轨道电路D. 信号灯答案:C二、多项选择题1. 铁路信号系统中,以下哪些设备属于信号设备的组成部分?()。
A. 信号机B. 道岔C. 轨道电路D. 通信设备答案:A、B、C2. 铁路信号系统中,以下哪些信号表示列车可以安全通过?()。
A. 绿灯B. 黄灯C. 红灯D. 蓝灯答案:A、D3. 轨道电路检测列车位置的原理包括()。
A. 通过电流的变化B. 通过电压的变化C. 通过电阻的变化D. 通过电容的变化答案:A、C4. 道岔转换过程中,以下哪些操作是必要的?()。
A. 改变电流方向B. 改变电压大小C. 改变道岔位置D. 改变信号显示答案:C5. 铁路信号系统中,以下哪些设备用于列车运行安全?()。
A. 信号机B. 道岔C. 轨道电路D. 信号灯答案:A、B、C三、判断题1. 信号机的红灯表示禁止列车通过。
()答案:正确2. 轨道电路在列车通过时会断开,以检测列车位置。
()答案:正确3. 道岔转换时,必须先关闭信号机,以确保安全。
()答案:错误4. 铁路信号系统中,信号灯的蓝灯表示允许列车通过。
()答案:正确5. 铁路信号系统中,通信设备不是信号设备的组成部分。
()答案:错误四、简答题1. 简述铁路信号系统中信号机的作用。
答:信号机在铁路信号系统中用于向列车司机显示运行条件,控制列车的运行速度和方向,确保列车安全运行。