小升初数学解方程
- 格式:doc
- 大小:160.00 KB
- 文档页数:11
小升初解方程专项练习题稍难解方程是小升初数学中的重要内容,也是许多学生认为比较困难的一部分。
为了帮助学生更好地掌握解方程的方法和技巧,下面为大家提供一些稍难的小升初解方程专项练习题。
1. 问题:解方程3x + 5 = 14。
解析:首先,我们需要将方程中的常数项移到方程的右边,得到3x = 14 - 5。
然后,继续进行计算,得到3x = 9。
最后,将x的系数3移动到x的右边,得到x = 9 ÷ 3。
因此,解为x = 3。
2. 问题:解方程4(x - 2) = 12。
解析:为了解这个方程,首先我们需要将括号内的表达式展开,得到4x - 8 = 12。
然后,将常数项8移到方程的右边,得到4x = 12 + 8。
继续计算,得到4x = 20。
最后,将x的系数4移到x的右边,得到x = 20 ÷ 4。
因此,解为x = 5。
3. 问题:解方程2(3x - 1) = 5 - x。
解析:将方程中的括号展开,得到6x - 2 = 5 - x。
将常数项移到方程的右边,得到6x + x = 5 + 2。
继续计算,得到7x = 7。
最后,将x的系数7移到x的右边,得到x = 7 ÷ 7。
因此,解为x = 1。
4. 问题:解方程2x + 3(x - 1) = 4 - (x + 2)。
解析:将方程中的括号展开,得到2x + 3x - 3 = 4 - x - 2。
将常数项移到方程的右边,得到2x + 3x + x = 4 - 2 + 3。
继续计算,得到6x = 5。
最后,将x的系数6移到x的右边,得到x = 5 ÷ 6。
因此,解为x = 5/6。
5. 问题:解方程2(3x + 1) + 4 = 3(x + 2) + 1。
解析:将方程中的括号展开,得到6x + 2 + 4 = 3x + 6 + 1。
将常数项移到方程的右边,得到6x + 6 = 3x + 7。
将3x从等式的右边移到等式的左边,得到6x - 3x = 7 - 6。
小升初解方程易错题一、前言解方程是数学中的重要知识点之一,也是小升初数学考试中必考的内容。
在解方程的过程中,经常会遇到一些易错题。
本文将从常见的易错点入手,为大家详细介绍小升初解方程易错题。
二、易错点分析1. 未注意符号问题在解方程时,很容易因为符号问题而出现错误。
例如:2x + 3 = x - 4,如果不注意符号问题,就会得出错误的答案。
正确的做法是将等式两边都减去x,得到x = -7。
2. 没有化简式子在解方程时,有时候需要对式子进行化简才能得到正确答案。
例如:3(x + 2) - 5x = x + 4 - (2x - 1),如果不化简式子直接计算,则容易出现错误。
正确的做法是先将括号内的式子展开,并将同类项合并,得到3x + 6 - 5x = x + 4 - 2x + 1;再将等式两边同类项合并,并移项得到-x = -1;最后将等式两边都乘以-1,得到x = 1。
3. 没有判断解是否合法在解方程时,有时候需要判断所得的解是否合法。
例如:√(x + 3) = -2,如果不判断解是否合法,就会得出错误的答案。
正确的做法是因为根号下面的数不能为负数,所以此方程无解。
4. 没有检查答案在解方程时,需要检查所得的答案是否符合原方程。
例如:2x - 3 = x + 5,如果不检查答案就直接提交,则可能会出现错误。
正确的做法是将x = 8代入原方程中,验证是否成立。
三、易错题详解1. 题目一已知方程(x - 2)² = 9,请问该方程的解是什么?易错点分析:此题容易出现未注意符号问题和未判断解是否合法两种错误。
解题步骤:将(x - 2)²展开得到x² - 4x + 4 = 9;将等式两边都减去9,得到x² - 4x -5 =0;求出方程的根: x1=5, x2=-1;判断解是否合法,发现只有x1=5满足原方程。
该方程的解是x=5。
2. 题目二已知方程(x + a)(x + b) =0,请问该方程有几个实数根?易错点分析:此题容易出现未化简式子错误和未注意符号问题两种错误。
解析小升初数学中常出现的解方程题知识点:解方程的基本概念与技巧一、方程的定义与分类1. 方程的概念:含有未知数的等式。
2. 方程的分类:- 一元一次方程:ax + b = 0(a、b为常数,a≠0)- 一元二次方程:ax² + bx + c = 0(a、b、c为常数,a≠0)- 二元一次方程:ax + by = c(a、b、c为常数,a、b不同时为0)- 系数方程:含有未知数的系数的方程。
二、解一元一次方程1. 移项:将常数项移至等式右边,未知项移至等式左边。
2. 合并同类项:将等式左边的同类项合并。
3. 系数化为1:将未知数的系数化为1,求出解。
三、解一元二次方程1. 因式分解法:将一元二次方程因式分解,求出解。
2. 公式法:使用求根公式(x = [-b±√(b²-4ac)]/(2a))求解。
3. 配方法:将一元二次方程配成完全平方形式,求出解。
四、解二元一次方程1. 代入法:将一个方程的解代入另一个方程,求解。
2. 加减消元法:将两个方程相加或相减,消去一个未知数,求解。
3. 乘除消元法:将两个方程相乘或相除,消去一个未知数,求解。
五、解系数方程1. 分式方程:将分式方程转化为整式方程,求解。
2. 含绝对值方程:分情况讨论绝对值的正负,求解。
六、解方程的技巧1. 确定未知数:找出方程中的未知数,确定求解目标。
2. 化简方程:将方程化简为最简形式,便于求解。
3. 检验答案:将求得的解代入原方程,检验是否满足等式。
七、实际应用1. 比例问题:利用解方程解决比例问题。
2. 利润问题:利用解方程解决利润问题。
3. 面积问题:利用解方程解决几何图形面积问题。
4. 速度问题:利用解方程解决速度、时间、路程问题。
八、注意事项1. 注意方程的等式性质:解方程过程中,等式两边同时进行相同的运算。
2. 注意分类讨论:对于含有绝对值、分式等特殊方程,要进行分类讨论。
3. 注意检验答案:求得的解必须代入原方程检验,确保答案的正确性。
小升初解方程练习题含答案解方程是数学中的一个重要内容,也是小升初数学考试中常见的题型。
在解方程的过程中,要培养学生的逻辑思维和分析问题的能力。
下面是一些小升初解方程练习题,每个题目后面附有解答,供同学们参考。
练习题1:求解方程 3x + 5 = 14。
解答:将方程转化为 x 的形式,可以得到:3x = 14 - 5 = 9。
再通过消元的方式,将 x 的系数变为 1,得到:x = 9 ÷ 3 = 3。
练习题2:求解方程 2(x + 3) = 14。
解答:首先,通过分配律展开括号,得到:2x + 6 = 14。
然后,将常数项移到等号右边,得到:2x = 14 - 6 = 8。
最后,将 x 的系数变为 1,得到:x = 8 ÷ 2 = 4。
练习题3:求解方程 4x - 6 = 2x + 10。
解答:首先,将方程中的未知数x 移到等号左边,常数项移动到等号右边,得到:4x - 2x = 10 + 6。
化简得:2x = 16。
最后,将 x 的系数变为 1,得到:x = 16 ÷ 2 = 8。
练习题4:求解方程 2(x - 3) + 5 = 3(x + 1) - 2。
解答:首先,通过分配律展开括号,得到:2x - 6 + 5 = 3x + 3 - 2。
合并同类项,化简方程:2x - 1 = 3x + 1 - 2。
继续合并同类项,并将未知数 x 移到等号左边,常数项移动到等号右边,得到:2x - 3x = 1 - 1 + 2。
化简得:-x = 2。
最后,将 x 的系数变为 1,得到:x = -2。
练习题5:求解方程 2(x + 3) - (3x - 2) = 10 - (x + 1)。
解答:首先,通过分配律展开括号,得到:2x + 6 - 3x + 2 = 10 - x - 1。
合并同类项,化简方程:2 - x = 9 - x。
将未知数 x 移到等号左边,常数项移动到等号右边,得到:2 - 9 = -x + x。
小升初分数解方程练习题分数解方程是小升初数学中的一个重要知识点,通过解方程可以帮助学生巩固和提高他们的数学运算能力。
下面是几个关于小升初分数解方程的练习题,希望能帮助同学们提高解方程的能力。
练习题1:求解方程:3x - 1/2 = 5/4。
解答:首先,我们可以将方程中的分数转化为小数,方便进行计算。
将5/4转化为小数得到1.25。
那么原方程就可以写成3x - 1/2 = 1.25。
接下来,将方程中的分数转化为相同的分母。
将1/2转化为4/8,那么方程就变为3x - 4/8 = 1.25。
再将方程中的分数转化为8进制的小数,得到3x - 0.5 = 1.25。
然后,将常数项移到方程右边,得到3x = 1.25 + 0.5。
继续计算,3x = 1.75。
最后,将方程两边除以3,得到x = 1.75/3。
经过计算可得,x = 0.5833。
练习题2:求解方程:2/3x + 1/4 = 1/2。
解答:首先,我们可以将方程中的分数转化为小数,方便进行计算。
将1/2转化为小数得到0.5。
那么原方程就可以写成2/3x + 1/4 = 0.5。
接下来,将方程中的分数转化为相同的分母。
将1/4转化为2/8,那么方程就变为2/3x + 2/8 = 0.5。
再将方程中的分数转化为8进制的小数,得到2/3x + 0.25 = 0.5。
然后,将常数项移到方程右边,得到2/3x = 0.5 - 0.25。
继续计算,2/3x = 0.25。
最后,将方程两边乘以3/2,得到x = 0.25 * 3/2。
经过计算可得,x = 0.375。
练习题3:求解方程:4/5 - x/2 = 1/10。
解答:首先,我们可以将方程中的分数转化为小数,方便进行计算。
将4/5转化为小数得到0.8。
那么原方程就可以写成0.8 - x/2 = 1/10。
接下来,将方程中的分数转化为相同的分母。
将1/10转化为0.1,那么方程就变为0.8 - x/2 = 0.1。
-小升初解方程应用题及答案-人教版一、解答题(题型注释)1=2的过程,请你先判断一下,他做得对不对,如果错了,请说明错在哪一步?如果a=b,且a,b>0,则1=2.证明:①因为:a,b>0②又因为:a=b③两边同“×b”,有:a×b=b×b④两边同“﹣a×a”,得:a×b﹣a×a=b×b﹣a×a⑤两边分别提取与分解:a×(b﹣a)=(b+a)×(b﹣a)⑥两边同“÷(b﹣a)”,得a=(b+a)⑦用b=a代入,得:a=2a⑧两边同“÷a”,有:1=2所以:1=2正确!2.你能快速比较出a与b的大小嘛?(1)a+4=6+b a b(2)a﹣0.3=b﹣0.4 a b(3)50+b=a﹣12 a b(4)4a=5b a b(5)10÷a=8÷b a b(6)a÷15=b×3 a b.3.根据等式的性质在○里填上运算符号,在□里填数.x﹣16=40 52﹣4x=4x﹣16+16=40○□4x○□=□4.用方程表示下面的数量关系。
我有x岁,爸爸41岁。
我们俩相差29岁。
()5.用方程表示下面的数量关系。
小明有150㎝,小丽有y㎝。
小丽比小明矮5㎝。
()6.用方程表示下面的数量关系。
有a颗水果糖,平均分给26个小朋友,每人分3颗,正好分完。
()7.果园里采摘了一批苹果.每25千克装一箱,正好装124箱.采摘的这批苹果共有多少千克?(要求列出两种不同的含有未知数X的等式进行解答)8.某小学六年级举行健美操比赛,参加比赛的女生比男生多28人.结果男生全部获奖,女生则有25%的人未获奖,男女生获奖总人数为42人.又已知参加比赛的人数与全年级人数的比是2:5.该校六年级一共有多少人?9.10袋大包洗衣粉和2袋小包洗衣粉共重16千克,小包的质量是大包的13,大包洗衣粉每袋重多少千克?10.粮店有大米20袋,面粉50袋,共重2250千克,已知1袋大米的重量和2袋面粉的重量相等,那么一袋大米重多少千克?11.如下图所示,一架天平的左边托盘中放一个20克和一个30克的木块,右边托盘中放一个50克的砝码,天平处于平衡状态.请用一个等式表示左右两个托盘中物体的质量.12.如下图所示,一架天平左边托盘中放一个20克的木块和一个未知质量(用x表示)的木块,右边托盘中放一个100克的砝码,当天平平衡时,请用一个等式表示出来.13.用方程解答.4 5减815的差乘一个数,等于27,这个数是多少?14.在平衡天平的两端将物品加倍或只取它的几分之一,天平会怎样?参数答案1.解:第⑥步出错,因为a=b,所以b﹣a=0;根据等式的性质,等式的两边同时除以不为0的数,等式才能成立,而这里b﹣a,所以等式不成立了.所以在第⑥步出错【解析】1.等式的性质是指在等式的两边同时加上、减去同一个数,或同时乘或除以同一个不为0的数,等式的左右两边仍相等;据此可知这个同学在第6步做错了,因为a=b,所以b﹣a=0,而⑥是两边同时除以(b﹣a)不符合等式的性质,所以错误.本题给出的步骤较多,具有迷惑性,关键是熟知等式的性质,除以的数不能为0.2.(1)>(2)<(3)<(4)>(5)>(6)>【解析】2.(1)和相等,一个加数大,那么另一个加数就小;(2)差相等,减数小,被减数也就小;(3)令等式等于50,那么b=0,a=62,比较得解;(4)积相等,一个因数大,另一个因数就小得解;(5)令等式等于1,那么b=8,a=10,比较得解;(6)令等式等于1,那么b= 13,a=15,比较得解.解决此题最好的办法是令等式等于一个具体的数值,求出a和b的数值,进而比较得解.3.解: x﹣16=40,在方程的两边同时加上16,为:x﹣16+16=40+16;52﹣4x=4,在方程的两边同时加上4x,为:4x+4=52;故答案为:+,16,+,4,52.【解析】3.根据等式的性质:在等式的左右两边同时加上、减去、乘、除以(不为0)一个数,等式仍然成立.此题考查等式的性质的运用.4.41-x=29【解析】4.根据题意,爸爸的年龄比我大,所以爸爸的年龄减去我的年龄等于相差的年龄。
小升初数学计算解方程口诀解方程一直是小学数学的重难点,类型多且容易混淆,如何快速有效的让学生掌解方程,以下是小编为大家整理了各类方程的解决的技巧,让我们一起来看看吧!口诀一般方程很简单,具体数字帮你办,加减乘除要相反。
特殊方程别犯难,减去除以未知数,加上乘上变一般。
若遇稍微复杂点,舍远取近便了然。
具体分析如下:我们可以把课本中出现的方程分为三大类:一般方程,特殊方程,稍复杂的方程。
形如:x+a=b , x-a=b , ax=b , x÷a=b 这几种方程,我们可以称为一般方程。
形如:a- x =b,a÷x =b这两种方程,我们可以称为特殊方程。
形如:ax+b=c , a(x-b)=c这两种方程,我们可以称为稍复杂的方程。
我们知道,对于一般方程,如果方程是加上a,在利用等式的性质求解时,会在方程的两边减去a,同样,如果方程是减去a,在利用等式的性质求解时,会在方程的两边加上a,乘和除以也是一样的,换句话说,加减乘除是相反的,并且加减乘除的都是一个具体的数字。
总结一句话就是:一般方程很简单,具体数字帮你办,加减乘除要相反。
对于特殊方程,减去和除以的都是未知数x,求解时,减去未知数那就加上未知数,除以未知数那就乘未知数,符号也是相反的,这样方程也就变换成了一般方程,总结为:特殊方程别犯难,减去除以未知数,加上乘上变一般。
对于稍复杂的方程,我教给孩子们的方法是,“舍远取近”的方法,意思是,离未知数x远的就先去掉,离未知数x、进的先看成整体保留,通过变换,方程就变得简单,一目了然。
总结为:若遇稍微复杂点,舍远取近便了然。
当然后面还有形如ax+bx=c等形式,能够学会上面这几种,对于孩子来说,这些方程就显得轻而易举了。
2023年学校六班级小升初数学专项复习(6)——方程的解和解方程★★学学问问归归纳纳总总结结一、方程与等式的关系1.方程:含有未知数的等式,即:方程中必需含有未知;方程式是等式,但等式不肯定是方程。
2.方程是表示两个数学式(如两个数、函数、量、运算)之间相等关系的一种等式,通常在两者之间有一等号“=”。
3.方程不用按逆向思维思考,可直接列出等式并含有未知数。
例1:看图列等式,不解答。
【分析】依据等量关系:3根香蕉的重量=2个苹果的重量,列出等式即可。
依据等量关系:苹果的重量﹣香蕉的重量=60kg,列出等式即可。
【解答】解:【点评】本题的关键是找出等量关系。
例2:一个商店原有120千克苹果,又运来了10筐苹果,每筐重a千克.(1)用式子表示出这个商店里苹果重量的总数.(2)依据这个式子,当a=25时,商店一共有多少千克苹果?【分析】(1)用原来的重量120千克,加上又运来10筐苹果的重量10×a=10a千克;(2)把a=25时,代人式子求出来即可.【解答】解:(1)120+10a;(2)当a=25时,代人120+10a,120+10×25=120+250=370(千克);答:商店一共有370千克苹果.【点评】解题关键是依据已知条件得出数量关系,然后依据数量关系代人计算即可.例3:养殖场有789只鸡,比鸭少69只,鸭有几只?(先写等量关系式,再用两种方法列X解.)【分析】设鸭有X只,方法一:鸭的只数﹣鸡的只数=鸡比鸭少的只数;即X﹣789=69;方法二:鸭的只数﹣鸡比鸭少的只数=鸡的只数,即X﹣69=789.【解答】解:方法一:等量关系:鸭的只数﹣鸡的只数=鸡比鸭少的只数;设鸭有X只;X﹣789=69,X﹣789+789=69+789,X=858;方法二:等量关系:鸭的只数﹣鸡比鸭少的只数=鸡的只数,设鸭有X只;X﹣69=789,X﹣69+69=789+69,X=858;答:鸭有858只.【点评】解决本题,关键是找出等量关系,再依据等量关系列出方程解答.例4:将卡片与相应的台阶连线.【分析】等式是指用“=”连接的式子,方程是指含有未知数的等式;据此可知全部的方程都是等式,但等式不肯定是方程;从而连线解答.【解答】解:见下图【点评】此题考查等式和方程的辨识,熟记定义,才能快速辨识.二、方程的解和解方程1. 使方程左右两边相等的未知数的值,叫做方程的解。
小升初《解方程》专题知识点整理+列方程解应用题专项训练《解方程》知识点列方程解应用题题型汇总练习1、0.3乘以14的积比这个数的3倍少0.6,求这个数是多少?2、甲数比乙数多34,甲数是乙数的3倍,甲乙各是多少?3、今年10月份,李明家用电131度,王强家用电120度,王强家少缴电费5.5元。
平均每度电多少元?4、长方形养鸡场的栅栏长400米,长是宽的3倍,求养鸡场的面积是多少?5、鸡兔同笼,头共有20个,腿共有56条,鸡兔各有多少只?6、鸡兔数量相同,鸡腿比兔腿少30条,鸡兔各有多少只?7、爷爷比小明大52岁,今天爷爷的年龄是小明的5倍,爷爷和小明今年各是多少岁?8、甲乙两地相距360km,张三由甲地开往乙地,李四以45km/时的速度由乙地开往甲地,3个小时后,两人相距15km,张三的速度是多少千米?9、沈阳与北京相距约700km,土豆与地瓜分别从沈阳和北京出发,相向而行,土豆每小时行驶80km,地瓜每小时行驶70km。
土豆出发5个小时后,地瓜才出发,在经过多少小时才能相遇?10、长方形养鸡场的一个长面靠墙,栅栏长400米,长是宽的2倍,养鸡场的面积是多少?11、甲乙两人骑自行车,同时从相距65km的两地相向而行,甲车每小时行驶17.5km,1小时候,两人相距32.5km,乙车每小时行驶多少千米?12、一个三层书架共有书159本,第一层比第二层的4倍少2本,第三层比第二层的3倍多1本。
第三层书架有多少本书?13、土豆和地瓜同时分别从两地相向而行,8小时相遇。
如果他们每小时多行2.5km,那么就6小时相遇。
问两地相距多少千米?14、甲有书的本数是乙有书的本数的3倍,甲、乙两人平均每人有82本书,求甲、乙两人各有书多少本?15、汽车从甲地到乙地,去时每小时行60千米,比计划时间早到1小时;返回时,每小时行40千米,比计划时间迟到1小时。
求甲乙两地的距离?16、一把直尺和一把小刀共1.9元,4把直尺和6把小刀共9元,每把直尺和每把小刀各多少元?17、三个连续的一位小数的和是1.5,这三个小数分别是多少?18、甲乙两个书架,若从甲书架取出8本放入乙书架,两个书架的本数就一样多;如果从乙书架取出13本放入甲书架,甲书架的书就是乙书架的2倍。
欢迎阅读《小升初,解方程专题》一.字母的运算二.去括号(主要是运用乘法的分配律和加减法的运算性质)应用上面的性质去掉下面各个式子的括号,能进行运算的要进行运算三.等式的性质.1.等式的定义:,叫做等式;2.等式的性质:(1).等号的两边同时加上或减去同一个数,等号的左右两边仍相等;用字母表示为:若a=b,c为任意一个数,则有a+c=b+c(a-c=b-c);(2).等号的两边同时乘以同一个数,等号的左右两边仍相等;用字母表示为:;(3).等号的两边同时除以同一个不为零的数,等号的左右两边仍相等.用字母表示为:;四.方程1.方程的定义:含有未知数的等式叫做方程;2.方程的解:满足方程的未知数的值,叫做方程的解;3.解方程:求方程的解的过程,叫做解方程.四则运算:加——加数+加数=和乘——因数×因数=积→→加数=和-另一个加数→→因数=积÷另一个因数减——被减数-减数=差除——被除数÷除数=商被减数=减数+差被除数=除数×商减数=被减数-差除数=被除数÷商差=被减数-减商=被除数÷除数一、求加数或求因数的方程加数=和-加数7+x=19 x+120=176 58+x=90因数=积÷因数7 x=63 x × 9=4.5 4.4x=444二、求被减数或求被除数的方程被减数=差+ 减数x-6=19 x-3.3=8.9 x-25.8=95.4被除数=商×除数x ÷7=9 x÷4.4=10 x÷78=10.5三、求减数或除数的方程减数=被减数-减数9-x=4.5 73.2-x=52.5 87-x=22除数=被除数÷商3.3÷x=0.3 8.8÷x=4.4 9÷x=0.03四、带括号的方程(先将小括号内的式子看作一个整体来计算,然后再来求方程的解)欢迎阅读3×(x-4)=46 (8+x) ÷5=15先把(x-4)当作因数算。
小升初真题复习-解方程解比例(专项突破)一、解方程解比例 1.解方程。
25x 714−= 2x -3.2=6.8 921x 1326+=2.解比例。
:240.5:3x =0.50.756x =118::316x =3.解方程。
x -58=512 15+x =34 3x -2.3=12.44.解方程。
132∶x =0.5∶0.2 20x÷4=0.25 7279x =5.求未知数x 。
1.22575x = 0.4:80%:60x = 387.5% 2.1x −×=6.解方程。
x -4.18+5.82=10 45x +0.7x =5 42∶35=x ∶577.解方程或解比例。
4+0.7x =102 x4=30% 14∶x 12=∶138.解方程。
0.8 4.62x = x ∶(1-40%)=24∶3 3x -316x =909.解方程。
x -65%x =70 49+40%x =89 3.2∶x =4∶610.解比例。
(1)393::5104x = (2) 1.251.60.6x =(3)136.5::20%20x = (4)95::351412x =11.解方程或解比例。
6.8 3.214.8x +=8.41.2 3.6x = 214::52x =1312::342x = 25:0.475:x = ()423 2.4x −=12.解下列方程。
(1)4320%910x x +=× (2)4218453x −×=13.求未知数x 。
x ∶134884=: 3x -2.6×2=7.4 x -35%x =6.514.求未知数x 。
2+50%x =7.5 15∶x 4.89.6= 4x -2.5×3=12.515.解方程或解比例。
112124x −= 1.224x =(3.6+7.2)x=32.4 40×2.5-4x=38 8(x+0.2)=48.817.解方程。
3.3 解方程(小考复习精编专项练习)六年级数学小升初复习系列:第三章式与方程(含知识点、练习与答案)一、方程,是指含有未知数的等式。
方程必须具备以下两个要素:一是含有未知数;二是等式。
式子同时具备这两个因素,才能称为方程。
二、解方程,是求出方程中未知数的值的过程,是求方程的解的具体方法。
其步骤是:(1)写“解”字;(2)方程最终化为ax=b(a≠0)的形式;(3)方程两边同时除以a,求出未知数的值。
类型一:简单的方程(1) 4x-5=27 (2) 1.6x=4.8-1.6(3) 1.5X-1.5=7.5 (4) 3x+5=20(5) 5x-2x=90 (6) 28-3x=10(7) 32+4x=48 (8) 3.5-2x=2.1类型二:含括号的方程(9) 3x+(2.2+2.3)=11.2(10) 4x-(0.8+1.2)=5.2(11)(32-x)+5=35(12) 3x+(2x-5)=125(13)(x-3)×6=24(14) 18+24÷x=66类型三:较复杂的方程(15)x ÷2+2×8=16(16)22-10+4÷x =32(17)4×(3.2+x )=20(18)3×(4x -5)=12x(19)6.2x +32=3.4x +40.4(20)133x =269(21)13x +25=34(22)712x÷25 =4.2(23)5+4.5÷x=190÷2(24)4×(1.5+x)=32×14×(x-3)=3x (25)2.5×75(26)16x÷8-1.5×4=36类型一:简单的方程(1)4x-5=27解:4x=27+54x=32x=8(2)1.6x=4.8-1.6解:1.6x=3.2x=3.2÷1.6x=2(3)1.5x-1.5=7.5解:1.5x=7.5+1.51.5x=9x=9÷1.5x=6(4)3x+5=20解:3x=20-53x=15x=15÷3x=5(5)5x-2x=90解:3x=90x=90÷3x=30(6)28-3x=10解:28-10=3x18=3xx=18÷3x=6(7)32+4x=48解:4x=48-324x=16x=16÷4x=4(8)3.5-2x=2.1解:3.5-2.1=2x1.4=2xx=1.4÷2x=0.7类型二:含括号的方程(9)3x+(2.2+2.3)=11.2解:3x+5.5=11.23x=11.2-5.53x=5.7x=1.9(10)4x-(0.8+1.2)=5.2解:4x-2=5.24x=5.2+24x=7.2x=1.8(11)(32-x)+5=35解:32+5-x=3537-x=3537-35=x2=xx=2(12)3x+(2x-5)=125解:3x+2x-5=1255x-5=1255x=125+55x=130x=26(13)(x-3)×6=24解:x-3=24÷6x-3=4x=4+3x=7(14)18+24÷x=66解:24÷x=66-1824÷x=4824÷48=x0.5=xx=0.5类型三:较复杂的方程(15)x÷2+2×8=16解:x÷2+16=16x÷2=16-16x÷2=0x=0(16)22-10+4÷x=32 解:12+4÷x=324÷x=32-124÷x=204÷x=204÷20=xx=0.2(17)4×(3.2+x)=20 解:3.2+x=32÷43.2+x=8x=8-3.2x=4.8(18)3×(4x-5)=12x 解:4x-5=12x÷44x-5=3x4x-3x=5x=5(19)6.2x+32=3.4x+40.4 解:6.2x-3.4x=40.4-32 2.8x=8.4x=3(20)133x=269解:÷133×313(21)13x+25=34解:1x-25 1x×3(22)712x÷25=4.2解:712x=4.2×25712x=1.68x=1.68×127x=2.88(23)5+4.5÷x=190÷2 解:4.5÷x=95-54.5÷x=904.5÷90=x0.05=xx=0.05(24)4×(1.5+x)=32×14解:6+4x=84x=8-24x=6x=6÷4x=1.5×(x-3)=3x (25)2.5×75解:3.5×(x-3)=3x3.5x-10.5=3x3.5x-3x=10.50.5x=10.5x=10.5÷0.5x=21(26)16x÷8-1.5×4=36 解:2x-6=362x=36+62x=42x=42÷2x=21。
-小升初解方程应用题及答案-人教版一、解答题(题型注释)与b的大小嘛?(1)a+4=6+b a b(2)a﹣0.3=b﹣0.4 a b(3)50+b=a﹣12 a b(4)4a=5b a b(5)10÷a=8÷b a b(6)a÷15=b×3 a b.2.看图列方程3.某小学六年级举行健美操比赛,参加比赛的女生比男生多28人.结果男生全部获奖,女生则有25%的人未获奖,男女生获奖总人数为42人.又已知参加比赛的人数与全年级人数的比是2:5.该校六年级一共有多少人?4.小明去书店买了3本练习本和2本科技书一共用去35.8元,已知科技书共9.4元,一本练习本多少元?(用方程解答)5.10袋大包洗衣粉和2袋小包洗衣粉共重16千克,小包的质量是大包的13,大包洗衣粉每袋重多少千克?6.你能根据图意列出方程吗?7.想一想,画一画根据下列竹竿左侧放棋子的数量和位置,想一想,在右侧的什么位置放几个棋子才能保证竹竿平衡?共有几种方案呢?把你的方案都画出来.8.想一想,画一画根据下列竹竿左侧放棋子的数量和位置,想一想,在右侧的什么位置放几个棋子才能保证竹竿平衡?共有几种方案呢?把你的方案都画出来.9.解方程并检验。
(l)x÷5.2=1.6(2)3.2x-x=13.2检验:检验:10.选一根粗细均匀的塑料杆(长约1米),在中点的位置打个小孔并拴上绳子,然后从中点开始每10厘米处插上一根竹签.(1)如果在塑料杆左右两边刻度相同地方的竹签上穿珠子(珠子完全相同).怎样放珠子才能保证平衡?(2)如果左右两端的珠子同样多,它们移动到什么位置才能保证平衡?(3)左边在刻度3上的竹签上穿4颗珠子,右边刻度4上的竹签上,应穿颗珠子才能保证平衡;如果左边刻度6上的竹签上穿1颗珠子,右边刻度3上的竹签上穿颗珠子;左边刻度5上的竹签上穿2颗珠子,右边刻度2上的竹签上穿颗珠子.你发现了什么规律吗?11.按要求写方程。
-小升方程计算题及答案-人教版一、计算题①3.2x-4×3=52②x:1.2=3:42.求未知数X(1)X:3.5=10.5(2)8.4:0.35=X:1.5(3)8X+3×0.9=6.3(4)X+X=×3.求未知数ⅹ.x﹣=1;80%x﹣18×=4;x÷=15×.4.解方程.X÷4.5=5.4 6x+9=135 14×70﹣5x=800.5.求未知数x2x﹣x=1.2;=.6.解方程。
0.5×(12-x)=1.57.解方程①x﹣40%x=12②15x﹣30=15③0.5x+ x=6.8.求未知数x.①80﹣4x=56②8.4:0.35=x:1.5.9.(1)58-5%x=15%x (2)25%x+17=42%x (3)42%x-35=14%x (4)99%x-55=33%x (5)58%x-30=31%x(6)68%x-56=34%x (7)90%x-20=20%x (8)27%x+26=31%x (9)32%x-48=20%x (10)7%x-7=2%x10.解方程2(X-0.5)=10-3(X+2) 4X+2(32-X)=108 5÷(5-X)=511.用方程表示下面的数量关系,并求出方程的解.x除以1.6商是2.5.12.解方程x+56=1920x=____13.解方程。
(1)(2)(3)14.解方程。
10.65-x=3.7 3x+3.5×0.6=11.1 6x-3.2=9.4 15x÷4=45 3.6x-2.8x=80 x-7.2+2.8=515.解方程。
x÷0.5=128 0.8×(7.2+х)=7.92 6.2х-х=41.6 1.5 x—1.2×3=3.9参数答案1.解:①3.2x-4×3=523.2x-12=523.2x=64x=20②x:1.2=3:44x=3.6x=0.92.X=36.75 X=36 X=0.45 X=【解析】1.试题分析:(1)先根据比例的基本性质,把原式转化为X=10.5×3.5,再计算即可;(2)先根据比例的基本性质,把原式转化为0.35X=1.5×8.4,再根据等式的性质,在方程两边同时除以0.35求解;(3)先化简方程为8X+2.7=6.3,再根据等式的性质,两边同时减去 2.7,再同时除以8求解;(4)先化简方程为X=,再根据等式的性质,在方程两边同时乘上求解.解答:解:(1)X:3.5=10.5X=10.5×3.5X=36.75;(2)8.4:0.35=X:1.50.35X=1.5×8.40.35X=12.60.35X÷0.35=12.6÷0.35X=36;(3)8X+3×0.9=6.38X+2.7=6.38X+2.7﹣2.7=6.3﹣2.78X=3.68X÷8=3.6÷8X=0.45;(4)X+X=×X=X×=×X=.3.①x﹣=1x﹣+=1+x×=×x=②80%x﹣18×=40.8x﹣12=40.8x﹣12+12=4+120.8x÷0.8=16÷0.8x=20③x÷=15×x÷×=10×x=1【解析】2.解:①x﹣=1 x﹣+=1+x×=×x=②80%x﹣18×=40.8x﹣12=40.8x﹣12+12=4+120.8x÷0.8=16÷0.8x=20③x÷=15×x÷×=10×x=14.24.3;21;36.【解析】3.试题分析:(1)根据等式的性质,在方程两边同时乘4.5求解,(2)根据等式的性质,在方程两边同时减去9,再同时除以6求解,(3)先计算得980﹣5x=800,再根据等式的性质,在方程两边同时加上5x,再同时减去800,最后同时除以5求解.解:(1)x÷4.5=5.4,x÷4.5×4.5=5.4×4.5,x=24.3;(2)6x+9=135,6x+9﹣9=135﹣9,6x÷6=126÷6,x=21;(3)14×70﹣5x=800,980﹣5x+5x=800+5x,800+5x﹣800=980﹣800,5x÷5=180÷5,x=36.5.1;2.5【解析】4.试题分析:(1)原式变为x=1.2,根据等式的性质,两边同乘上即可;(2)先根据比例的性质改写成1.2x=7.5×0.4,再根据等式的性质,两边同除以1.2即可.解:(1)2x﹣x=1.2x=1.2x×=1.2×x=1(2)=1.2x=7.5×0.41.2x÷1.2=3÷1.2x=2.56.x=3 x=9【解析】5.思路分析:这是一道整数、小数的解方程题。
小升初数学专题之解方程练习及答案小升初数学专题之解方程一。
字母的运算13x+2x=2x-x+x-35%x=64.375%x-.5x=3a+2.5a=25%x+33%x=3x-xx=52733x+4t+5x=3t+4x-2t=6x-t-x+t=7x+6-xx=325二。
去括号(主要是运用乘法的分配律和加减法的运算性质)1.a(b+c)=ab+ac2.a+(b+c)=a+b+ca+(b-c)=a+b-c3.a-(b+c)=a-b-ca-(b-c)=a-b+c(x-3)=6-x(6-x)=12+(3+2x)-(x-3)=7-2(x+1)xxxxxxxx1x+(3x+4)+(2x+6)=8x+5-2x 解方程1.运用等式的性质解简单的方程3x-4=5x+5=7解:3x-4+4=5+43x=9x=9/3=3解:x+5-5=7-5x=2如果把一个数从等号的左边移到右边的过程,叫做移项,注意把一个数从方程的左边移到右边时,原来是加的变成减,原来是减的变成加号。
练2x-5=54x-6=125%x-4=7/4x=32.典型的例子及解方程的一般步骤7-3x=17/x=143x+5)/(2x-3)=2解:7=1+3x解:7=14x解:3x+5=2(2x-3)1+3x=73x=6x=23x+5=4x-6x=11/3练17-5x=723x=73/820/(11x-5)=3/4x=23.解方程的一般步骤x-3)+(x+5)=x/66[(x-3)+(x+5)]=x12x-6=xx=6练3x+5)/2+(4x-7)/3=x/2+5/6 2x+5=133(x+2)=128x=9x-64x-3=x+3x=2/3三。
去分母;(应用等式的性质,等号的两边同乘:6(x-3)+4(x+5)=6(7/6+1/x))3(x-3)+2(x+5)=6(7/6+1/x)3x-9+2x+10=7+x3x+2x-x=7+9-104x=6x=3/2方程强化训练题】3x+5)/2+(4x-7)/3=5x/6x=22x+5=13x=43(x+2)=12x=28x=9x-6x=64x-3=x+3x=11.将方程化简,使未知数系数为1:$0.01x=1$。
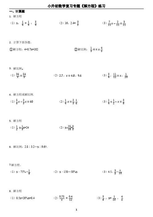
小升初数学—解方程
63
2
8.0:=:χ
χ:=:4
1
10181 6.5:χ=3.25:4 5x+3.9=10.45
9
5
1527:=:χ
0.06:4=4
1
6:
求下列图形阴影部分的面积:
求下列阴影部分面积
(已知空白部分的面积为510平方厘米)
求下列阴影部分面积
一、填空:
1. 圆柱体的侧面展开可以得到一个长方形, 这个长方形的长等于圆柱的( ), 宽等于圆柱的( )。
2. 圆锥体积是
7
2
立方米,与它等底等高的圆柱体积是( ) 3. 一个圆柱体削成一个与它等底等高的圆锥体, 削去的部分是圆柱体的( )
4. 一个圆锥体和一个圆柱体的底面积和体积都分别相等, 圆柱体的高 1.2分米, 圆锥体的高是( ). 二、解答题:
1、在底面内直径是8厘米、高是10厘米的圆柱形量杯内,装上水,水面高是6厘米,现把一个小球沉浸在杯内,(1)若水面上升到8厘米,求小球的体积。
(2)若水满后还溢出15克,求小球的体积。
(1
2、2、有一种饮料的瓶身呈圆柱形(不包括瓶颈),容积是42厘米³,现在瓶中装有一些饮料,正放时饮料高度是20厘米,倒放时空余部分的高度为5厘米。
(见图),问瓶内现有饮料多少立方厘米?
3、永胜小学四、五、六共捐款2040元,其中四年级的捐款是六年级的43,六年级捐款额的5
4
与五年级刚好相等。
六年级捐款多少元?
求体积:
有两个底面积相等的圆柱,第一个圆柱和第二个圆柱高的比是4:7,第一个圆柱的体积是2.4立方厘米,
第二个圆柱的体积比第一个多多少立方厘米?
把一根长9分米的圆柱切割成5节小圆柱后,表面积增加3.2平方分米,已知每立方厘米重9克,则这根圆柱原来多少克?
一个正方体的木料,棱长6厘米,把它削成一个最大的圆锥,要削去木料多少立方厘米? 8cm
12cm
9cm
保暖茶桶能装150千克水吗?
有一根圆柱形钢材,截下1.5米,量得它的横截面的直径是4厘米。
如果每立方厘米钢重7.8克,截下的这段钢材重多少千克?(得数保留整千克数)
用边长15厘米的方砖给教室铺地,需要2000块;如果改用边长25厘米的方砖铺地,需要多少块砖?
一个没有盖的圆柱形铁皮水桶,高是6分米,底面半径是1.8分米,做这个水桶至少要用铁皮多少平方分米?
一根钢管长20米,第一次截取了,第二次截取了米,还剩多少米?
甲、乙两车从A、B两地同时出发,相向而行,4小时后两车还相距全程的40%,已知甲车行完全程需要20小时,乙车每小时行45千米。
甲车每小时行多少千米?
一项工程,甲队独干15天完成,乙队独干20天完成,现在由两队合作干5天后,还剩下这项工程的几分之几?
拖拉机厂计划制造720台拖拉机,已经干了4.5天,平均每天制造90台,剩下的要在3天内完成,平均每天制造多少台?
我国个人所得税法规定:个人月收入超过2000元的部分应交纳个人所得税。
超过500元以内(含500元)的部分按5%交纳,超过500~2000元的部分按10%交纳……上月,冰冰的爸爸收入2800元,他应交纳个人所得税多少元?
加工一批零件,甲、乙单独完成所花的时间比是4:5。
现在两人合作,完成时甲加工的零件比这批零件的多56个。
这批零件有多少个?
配置一种药水,药粉和水的质量比是1﹕500。
(1)现有水1500㎏,需要粉多千克?
(2)现要配置这种药水1002㎏,需要药粉多少千克?
一个长方体等分成两份就成为两个小正方体,表面积比原来长方体增加了50平方厘米,原来长方形的表面积是多少?
小冬在一次期末测试中,语文、数学、英语三门课的总成绩为259.5分,社会、科学两门课的平均成绩比语文、数学、英语三门课的平均成绩少2.5分。
小冬这次期末测试的总分是多少?
他应交纳个人所得税多少元?
仓库里有一批货物,第一次运走这批货物的,第二次运走9吨后,运走的货物与未运走货物的吨数比是7:5。
这批货物一共有多少吨?
学校去买桌椅。
如果全买桌子可买15张;如果全买椅子可买20把,如果一张桌子2把椅子为一套,学校可买几套?
品牌家电城有一种彩色电视机,现在每台售价2895元,比原来价格便宜了25%,现在比原来便宜了多少元?
这时中巴已行驶全程的40%。
已知出租车的速度是平均每小时行驶75千米,求天安门与八达岭长城之间的路程是多少?(两种方法解答)。