北师大版初一数学上册有理数测试题(含答案)
- 格式:pdf
- 大小:136.78 KB
- 文档页数:3
北师大版七年级数学上册第二章有理数及其运算单元测试题含答案北师大版七年级数学上册第二章有理数及其运算单元测试题一、选择题(每小题3分,共30分)1.若规定向东走为正,则-8m表示()。
A。
向东走8m B。
向西走8m C。
向西走-8m D。
向北走8m2.数轴上点A,B表示的数分别为5,-3,它们之间的距离可以表示为()。
A。
-3+5 B。
-3-5 C。
|-3+5| D。
|-3-5|3.下面与-3互为倒数的数是()。
A。
-11/3 B。
-3 C。
3 D。
334.如图1,检测4个足球,其中超过标准质量的克数记为正数,不足标准质量的克数记为负数,从轻重的角度看,最接近标准质量的是()。
图1A。
-20g B。
-10g C。
10g D。
20g5.国家提倡“低碳减排”.某公司计划在海边建风能发电站,发电站年均发电量为xxxxxxxx0度,将数据xxxxxxxx0用科学记数法表示为()。
A。
213×10^6 B。
21.3×10^7 C。
2.13×10^8 D。
2.13×10^76.下列说法错误的有()。
①-a一定是负数。
②若|a|=|b|,则a=b。
③一个有理数不是整数就是分数。
④一个有理数不是正数就是负数。
A。
1个 B。
2个 C。
3个 D。
4个7.如图2所示,数轴上两点A,B分别表示有理数a,b,则下列四个数中最大的是()。
图2A。
89 B。
67 C。
1/8 D。
ab8.已知x-2的相反数是3,则x的值为()。
A。
25 B。
1 C。
-1 D。
-259.把一张厚度为0.1mm的纸对折8次后的厚度接近于()。
A。
0.8mm B。
2.6cm C。
2.6mm D。
0.1mm10.在某一段时间内,计算机按如图3所示的程序工作,如果输入的数是2,那么输出的数是()。
图3A。
-54 B。
54 C。
-558 D。
558 请将选择题答案填入下表:题号答案1 C2 C3 B4 B5 C6 C7 A8 A9 B10 D总分 30二、填空题(每小题3分,共18分)11.-2的相反数是2,-0.5的倒数是-2.12.绝对值小于2的所有整数之和为-3.13.如图4所示,有理数a,b在数轴上对应的点分别为A,B,则a,-a,b,-b按由小到大的顺序排列是-|a|,|a|,-|b|,|b|。
北师大版(2024版)七年级(上)数学单元测试卷第2章《有理数及其运算》满分120分时间100分钟题号得分一、选择题(共10题;共30分)1.−110的绝对值是( )A.110B.10C.−110D.−102.如果“亏损5%”记作−5%,那么+3%表示( )A.多赚3%B.盈利−3%C.盈利3%D.亏损3%3.如图,数轴上点P表示的数是( )A.-1B.0C.1D.24.2023年3月13日,十四届全国人大一次会议闭幕后,国务院总理李强在答记者问时表示,我们国家现在适合劳动年龄人口已经有近9亿人,每年新增劳动力是1500万人,人力资源丰富仍然是中国一个巨大优势或者说显著优势.其中1500万用科学记数法表示为( )A.1.5×103B.1500×104C.1.5×106D.1.5×1075.如图,数轴上的点A,B,C,D表示的数与−13互为相反数的是( )A.A B.B C.C D.D6.下列各式中,计算结果最大的是( )A.3+(−2)B.3−(−2)C.3×(−2)D.3÷(−2)7.式子−2−1+6−9有下面两种读法;读法一:负2,负1,正6与负9的和;读法二:负2减1加6减9.则关于这两种读法,下列说法正确的是( )A.只有读法一正确B.只有读法二正确C .两种读法都不正确D .两种读法都正确8.用“▲”定义一种新运算:对于任何有理数a 和b ,规定a▲b =ab +b 2,如2▲3=2×3+32=15,则(−4)▲2的值为( )A .−4B .4C .−8D .89.已知两个有理数a ,b ,如果ab <0且a +b >0,那么( )A .a >0,b >0B .a >0,b <0C .a ,b 同号D .a ,b 异号,且正数的绝对值较大10.已知有理数a ,b ,c 在数轴上的位置如图所示,则a 2|a 2|−|b |b−c |c |=( )A .−1B .1C .2D .3二、填空题(共6题;共18分)11.既不是正数也不是负数的数是 . 12.−25 的倒数是 .13.某天最高气温为6℃,最低气温为−3℃.这天的温差是 ℃.14.一个整数8150…0用科学记数法表示为8.15×1010,则原数中“0”的个数为 个.15.比较大小:−|−8| −42.(填“>”“ <”或“=”)16.数轴上的A 点与表示−3的点距离4个单位长度,则A 点表示的数为 .三、解答题(共9题;共72分)17.(6分) 把下列数填在相应的集合内.−56,0,-3.5,1.2,6.(1)负分数集合:{}.(2)非负数集合:{ }.18.(8分)计算:(1)(−7)+13−5;(2)(−14)−(−34)−|12−1|.19.(6分)阅读下面的解题过程,并解决问题.计算:53.27−(−18)+(−21)+46.73−(+15)+21.解:原式=53.27+18−21+46.73−15+21…①=(53.27+46.73)+(21−21)+(18−15)…②=100+0+3…③=103(1)第①步经历了哪些转变:_____,体现了数学中的转化思想,为了计算简便,第②步应用了哪些运算律:_______.(2)根据以上解题技巧进行计算:−2123+314−(−23)−(+14).20.(8分)已知算式“(−2)×4−8”.(1)请你计算上式结果;(2)嘉嘉将数字“8”抄错了,所得结果为−11,求嘉嘉把“8”错写成了哪个数;(3)淇淇把运算符号“×”错看成了“+”,求淇淇的计算结果比原题的正确结果大多少?21.(8分)如图的数轴上,每小格的宽度相等.(1)填空:数轴上点A表示的数是 ,点B表示的数是 .(2)点C表示的数是−13,点D表示的数是−1,请在数轴上分别画出点C和点D的位置.(3)将A,B,C,D四个点所表示的数按从大到小的顺序排列,用“>”连接.22.(8分)一辆出租车从A 站出发,先向东行驶12km ,接着向西行驶8km ,然后又向东行驶4km .(1)画一条数轴,以原点表示A 站,向东为正方向,在数轴上表示出租车每次行驶的终点位置.(2)求各次路程的绝对值的和.这个数据的实际意义是什么?23.(8分)如图,一只甲虫在5×5的方格(每一格边长为1)上沿着网格线运动.它从A 处出发去看望B 、C 、D 处的其它甲虫,规定:向上向右为正,向下向左为负.例如:从A 到B 记为:A→B(+1,+3);从C 到D 记为:C→D(+1,−2)(其中第一个数表示左右方向,第二个数表示上下方向).(1)填空:A→C ( , );C→B ( , ).(2)若甲虫的行走路线为:A→B→C→D→A ,请计算甲虫走过的路程.24.(8分)(1)如果a ,b 互为相反数(a ,b 均不为0),c ,d 互为倒数,|m |=4,则b a =______,求a +b 2024−cd +b a ×m 的值;(2)若实数a ,b 满足|a |=3,|b |=5,且a <b ,求a +13b 的值.25.(12分) 学习了绝对值的概念后,我们知道一个非负数的绝对值等于它本身,负数的绝对值等于它的相反数,即当a ≥0时,|a|=a ;当a <0时,|a|=−a .请完成下面的问题:(1)因为3<π,所以3−π<0,|3−π|=−(3−π)= ;(2)若有理数a <b ,则|a−b|= ;(3)(6分)计算:|13−12|+|14−13|+|15−14|+⋯+|12022−12021|+|12023−12022|参考答案一、选择题1.A 2.C 3.A 4.D 5.D 6.B 7.D 8.A 9.D 10.B二、填空题11.0 12.- 52 13.9 14.8 15.> 16.−7或1三、解答题17.(1)解:负分数集合:{−56,−3.5⋅⋅⋅}.(2)解:非负数集合:{0,1.2,6⋅⋅⋅}18.(1)解:(−7)+13−5=6−5=1(2)解:(−14)−(−34)−|12−1|=(−14)+34−|−12|=12−12=0.19.(1)去括号,省略加号;加法交换律、结合律(2)−1820.(1)−16(2)嘉嘉把“8”错写成了3(3)淇淇的计算结果比原题的正确结果大1021.(1)23;213(2)解:如图.(3)解:由数轴可知,213>22>−13−122.(1)解:如图所示,(2)解:|12|+|−8|+|4|=24km ,这个数据的实际意义是出租车行驶的总路程为24km.23.(1)+3;+4;-2;-1(2)如图所示,∵A→B =3+1=4,B→C =1+2=3,C→D =1+2=3,D→A =2+4=6.∴AB +BC +CD +DA =4+3+3+6=16.∴甲虫走过的路程为16.24.(1)−1,−5或3;(2)a +13b 的值是143或−4325.(1)π−3(2)b−a(3)解:原式=12−13+13−14+14−15+⋯+12021−12022+12022−12023=12−12023=20214046。
北师大版(2024)七年级上册数学第2章有理数及其运算达标测试卷(时间:45分钟。
满分:100分)一、选择题(本大题共8小题,每小题3分,共24分。
每小题只有一个正确选项)1.计算(-7)-(-5)的结果是()。
A.-12B.12C.-2D.22.中国是最早采用正负数表示相反意义的量并进行负数运算的国家。
若收入500元记作+500元,则支出237元记作()。
A.+237元B.-237元C.0元D.-474元3.在3,-7,0,1四个数中,最大的数是()。
9A.3B.-7C.0D.194.近似数5.0×102精确到()。
A.十分位B.个位C.十位D.百位5.“绿水青山就是金山银山”,多年来,某湿地保护区针对过度放牧问题,投入资金实施湿地生态效益补偿,完成季节性限牧还湿29.47万亩(1亩≈666.67 m2),使得湿地生态环境状况持续向好。
其中数据29.47万用科学记数法表示为()。
A.0.294 7×106B.2.947×104C.2.947×105D.29.47×1046.下列说法,正确的是()。
A.23表示2×3B.-110读作“-1的10次幂”C.(-5)2中-5是底数,2是指数D.2×32的底数是2×37.(2023内蒙古中考)定义新运算“⊗”,规定:a⊗b=a2-|b|。
则(-2)⊗(-1)的运算结果为()。
A.-5B.-3C.5D.3<0。
则其中正8.如图,数轴上点A,B,C分别表示数a,b,c,有下列结论:①a+b>0;②abc<0;③a-c<0;④-1<ab确结论的个数是()。
A.1B.2C.3D.4二、填空题(本大题共5小题,每小题4分,共20分)9.(2024重庆奉节期末)若a是最小的正整数,b是最大的负整数,则a+b=。
10.(2023重庆渝中区校级月考)计算:-|-335|-(-225)+45=。
2.5有理数的混合运算[时间: 60分钟分值: 100分]一、选择题(每题3分,共24分)1.下列各数中为负数的是( )A.0B.|-3|C.-3²D.--(-3)2.据统计,今年“五一”小长假期间,近70 000 人次游览了自贡中华彩灯大世界.70 000用科学记数法表示为 ( )A.0.7×10⁵B.7×10⁴C.7×10⁵D.0.7×10⁴3.—4³的意义是 ( )A.3个—4 相乘B.3 个一4 相加C.—4 乘 3D.4³ 的相反数4.用四舍五入法将130 542精确到千位并用科学记数法表示,正确的是 ( )A.131 000B.0.131×10⁶C.1.31×10⁵D.13.1×10⁴5.下列各组运算中,结果相等的是 ( )A.4³ 和3⁴B.—|5|³ 和(—5)³C.-4²和(一4)²D.(−23)2 和 (−32)36.下列各式中,运算正确的是 ( )A.(-5.8)--(-5.8)=-11.6B.−42÷14×14=−1C.−2³×(−3)²=−72D.[(−5)²+4×(−5)]×(−3)²=−457. 程序计算法按下列程序计算,如果输入一1,则输出的结果是 ( )A.4B.5C.-8D.-48.一张纸的厚度大约为0.09 mm,如图,将其对折、压平,称作第 1 次操作,再将其对折、压平,称作第2次操作……假设这张纸足够大,每一次也能压得足够平整,如此重复,则第10次操作后的厚度最接近于( )A.数学课本的厚度B.姚明的身高C.一层楼房的高度D.一个笔筒的高度二、填空题(每题4分,共24分)9.(2)在 (−32)4中,底数是 ,指数是 .10.计算:(-2)²+(-2)×2= .11.把下列用科学记数法表示的数的原数填在横线上:(1)2.16×10⁶=;(2)−7.123×10³=.12.若 (x −2)2+|y +13|=0,则 yᶻ=.13.−32,(−2)3,(−13)2,(−12)3的大小顺序是 > > > . 14. 定义一种对正整数 n 的“F 运算”:①当n 为奇数时,结果为3n+1;②当n 为偶数时,结果为π/2(其中k 是使此次结果为奇数的正整数),并且运算可以重复进行.例如,n=25时,运算过程如图.若n=34,则第2024次“F 运算”后的结果是 .三、解答题(共52分)15.(12分)按括号里的要求,对下列各数取近似数:(1)0.832 84;(精确到千分位)(2)2 346.46 m;(精确到 1 m)(3)28.3万亿.(精确到万亿位)16.(12 分计算:( (−2)³÷ [−32×(−23)2+2]×16.下面是小颖的解答过程,请认真阅读并完成任务:原式 =(−8)÷(9×49+2)×16 第一步=(−8)÷(4+2)×16 第二步 =(−8)÷6×16 第三步 =(-8)÷1 第四步——8. 第五步任务一:小颖的解答过程共存在两处错误,分别在第 步和第 步;任务二:请写出正确的解答过程.17.(14 分)水葫芦的繁殖'水葫芦是一种水生漂浮植物,有着惊人的繁殖能力.据研究表明:适量水葫芦的生长对水质的净化是有利的,关键是对水葫芦的科学管理和转化利用,若在适宜的条件下,1株水葫芦每5 天就能繁殖1株(不考虑死亡、被打捞等其他因素).(1)假设湖面上现有1株水葫芦,填写下表(其中n为正整数):天数 5 10·15 … 50 … 5n总株数2 4 … …(2)假定某个流域的水葫芦维持在 1 280 株以内对水质净化有益,若现有 10 株水葫芦,请你计算,多少天后该流域内有1 280株水葫芦?18.(14 分)观察下列各式,完成下列问题.1+3=4=2²,1+3+5=9=3²,1+3+5+7=16=4²,1+3+5+7+9=25=5²,…(1)根据上述式子,计算:1+3+5+7+ (99)(2)根据上述规律,请你用自然数n(n≥1)表示一般规律: .(3)根据你所总结的规律计算121+123+ (179)一、1. C 2. B 3. D 4. C 5. B 6. C 7. A8. D 【点拨】第1次操作后的厚度为(0.09×2) mm;第2次操作后的厚度为( (0.09×2²)mm;第 3 次操作后的厚度为( (0.09×2³)mm;……所以第n 次操作后的厚度为(0.09×2") mm;当n=10 时,( 0.09×2ⁿ=0.09×2¹⁰=0.09×1024=92.16,所以第10次操作后的厚度最接近于一个笔筒的高度.二、9. 32₂;4 10. 11.(1)2 160 000 (2)-7 12312 1918.(−13)2;(−12)3;(−2)3;−3214.4 【点拨】当n=34时,每次运算的结果分别是: 342=17,17×3+1=52,5222=13,13×3+1=40,4023=5, 5×3+1=16,1624=1,1×3+1=4,422=1, 所以从第七次开始1 和 4 出现循环,偶数次为4,奇数次为1,所以第 2 024次“F 运算”后的结果是4, 三、15.【解】(1)0.832 84≈0.833.(2)2 346.46 m≈2 346 m.16.【解】任务一:一;四任务二:原式 =−8÷(−9×49+2)×16=−8÷(−4+2)×16=−8÷(−2)×16=4×16 =23.17.【解】(1)2³;2¹⁰;2"(2)根据题意,得10×2"=1 280,解得 n=7,7×5=35(天).所以 35 天后该流域内有 1 280株水葫芦.18.【解】(1)2 500(2)1+3+5+7+…+(2n -1)=n²(3)因为 1+3+5+7+⋯+119=(1+1192)2=602=3600, 1+3+5+7+⋯+179=(1+1792)2=902=8100,所以121+123+...+179 =(1+3+5+7+...+179)-(1+3+5+7+ (119)=8 100-3 600=4 500.。
北师大版(2024)七年级上册《2.3有理数的乘除运算1》2024年同步练习卷一、选择题:本题共12小题,每小题3分,共36分。
在每小题给出的选项中,只有一项是符合题目要求的。
1.用简便方法计算:,其结果是()A.2B.1C.0D.2.下列算式中,积为负数的是()A. B.C.D.3.下列选项错误的是()A. B.C.D.4.下面计算的过程正确的是()A. B.C.D.5.下列各式中,m 和n 互为倒数的是()A.B.C.D.6.一个数的相反数的倒数是,则这个数为()A. B.C.D.7.式子中用的运算律是()A.乘法交换律及乘法结合律B.乘法交换律及乘法对加法的分配律C.乘法结合律及乘法对加法的分配律D.乘法对加法的分配律及加法结合律8.的倒数是()A.B.C. D.9.下列计算正确的是()A.原式B.原式C.原式D.原式10.运用了()A.加法交换律B.乘法结合律C.乘法分配律D.乘法交换律和结合律11.如图所示,数轴上点A,B,C分别表示有理数a,b,c,若a,b,c三个数的乘积为正数,这三个数的和与其中一个数相等,则下列正确的是()A. B. C. D.12.如果两个有理数的积是正数,那么这两个有理数()A.同号,且均为负数B.异号C.同号,且均为正数D.同号二、填空题:本题共6小题,每小题3分,共18分。
13.写出下列各数的倒数.的倒数是______;的倒数是______;的倒数是______;的倒数是______;的倒数是______.14.两数相乘,同号______异号______,并把______相乘;任何数与0相乘都得______.15.填空题.______;______;______;______;______;______.16.若a、b互为倒数,则______.17.一个有理数的倒数等于它本身,则这个数只能是______判断对错18.已知有理数,我们把为a的差倒数,如:2的差倒数是,的差倒数是如果,是的差倒数,是的差倒数,是的差倒数……依此类推,那么…的值是______三、计算题:本大题共1小题,共6分。
北师大版七年级数学上册《2.1认识有理数》同步测试题附答案学校:___________班级:___________姓名:___________考号:___________满分:100分;考试时间:45分钟;注意事项:1.答卷前,考生务必将自己的姓名、准考证号填写在答题卡上。
2.回答选择题时,选出每小题答案后,用铅笔把答题卡对应题目的答案标号涂黑;如需改动,用橡皮擦干净后,再选涂其他答案标号。
回答非选择题时,将答案写在答题卡上,写在试卷上无效。
3.考试结束后,本试卷和答题卡一并交回。
一、选择题:本题共5小题,每小题3分,共15分。
在每小题给出的选项中,只有一项是符合题目要求的。
1.若m的相反数是12024,则m的值为( )A. −12024B. −2024 C. 12024D. 20242.下列说法中正确的是( )A. 0是最小的有理数B. 0没有相反数C. 0不是正数也不是负数D. 0不是整数也不是分数3.如图,数轴上M,N点表示的数互为相反数,则点N表示的数为( )A. −9B. 0C. 9D. 无法确定4.下列运算结果等于1的是( )A. −2+1B. −12C. −(−1)D. −|−1|5.下列各等式成立的是( )A. |−6|=|6|B. |−6|=−|6|C. |−6|=−6D. |−6|=−16二、填空题:本题共13小题,每空2分,共38分。
6.化简:−|−20|=______.7.3的相反数是___________,−35的绝对值等于___________,最大的负整数是___________,最小的正整数是___________.8.比较大小:−(−19) ______−|−19|.(填“<”、“=”或“>”)9.−57的倒数为______,相反数为______,绝对值是______.10.已知数轴上有A ,B 两点表示的数互为相反数,A 、B 两点之间的距离为12,则点A 和点B 所表示的数分别是__________11.如图,数轴上A ,B 两点表示的数是互为相反数,且点A 与点B 之间的距离为4个单位长度,则点A 表示的数是________.12.若|x +1|与|y −2|的值互为相反数,则x −y =______.13.一个数是3.5,另一个数是512的相反数,这两个数的积是______.14.如果有理数a 是最小的自然数,b 是最大的负整数,c 是绝对值最小的有理数,d 是相反数等于它本身的数,那么a +b +c +d =_______.15.当a =5,|b|=7,且|a +b|=a +b ,则a −b 的值为______.16.已知:|a|=3,|b|=2,若a <b ,a −b = ______,若|a −b|=a −b ,则a +b 的值等于______. 17.有理数a 、b 、c 在数轴的位置如图所示,且a 与b 互为相反数,则|a −c|−|b +c|=____.18.已知有理数a ,b ,c 在数轴上的对应点的位置如图所示,且|a|>|b|,化简:|c|−|a +b|−|b −c|= .三、计算题:本大题共5小题,共39分。
七年级数学上册《第二章有理数》单元测试卷-带答案(北师大版)一、选择题1. 大于−3.2的最小整数是( )A. −4B. −3C. −2D. −12. 下列说法中,正确的是( )A. 一个数不是正数就是负数B. 正数和负数表示相同意义的量C. 0表示没有D. 正数和负数都有无数个3. 如果温度上升2℃记作+2℃,那么温度下降3℃记作( )A. +2℃B. −2℃C. +3℃D. −3℃4. 下列四个数中,是正整数的是( )D. 1A. −1B. 0C. 125. 如图是加工零件的尺寸要求,现有下列直径的产品(单位:mm),其中不合格的是( )A. Φ45.02B. Φ44.9C. Φ44.98D. Φ45.016. 在数0.3˙,2,−0.23,−2π,0.101001,314%中,有理数有( )11A. 2个B. 3个C. 4个D. 5个7. 在数8,0,−|−2|,−0.5,−2,π中,负数的个数是( )3A. 3B. 4C. 5D. 68. 某药品包装盒上标注着“贮藏温度:1℃±2℃”以下是几个保存柜的温度,适合贮藏这种药品的温度是A. −4℃B. 0℃C. 4℃D. 5℃9. 若出租车收费标准是:起步价7元(即行驶距离不超过3米需付7元车费),超过了3千米以后,每增加1千米加收2.4元,(不足1千米按1千米计),某人乘这种出租车从甲地到乙地支付车费19元,设此人从甲地到乙地经过的路程为x千米,则x的最大值是( )A. 8B. 11C. 10D. 510. 排球的国际标准指标中有一项是排球的质量,规定排球的标准质量为270±10g,现随机选取8个排球进行质量检测,结果如表所示:序号12345678质量(g)275263278270261277282269则仅从质量的角度考虑,不符合要求的排球有( )A. 1个B. 2个C. 3个D. 4个二、填空题11. 嘉琪玩转盘游戏,如果按顺时针方向转动6圈,用“+6”来表示,那么“−10”表示12. 以中午12时为基准,下午5时记做+5时,则上午9时应该记做时.13. 某粮店出售三种品牌的面粉,它们的包装袋上分别标有质量为10kg±0.1kg,10kg±0.2kg,10kg±0.3kg的字样,从中任意拿出两袋,它们的质量最多相差kg.14. 把下列各数分别填在所属的横线上:−5.3,+31,−34,0,−7,23。
北师大版七年级数学上册第二章《有理数及其运算》检测试卷(全卷满分100,时间90分钟)一、单选题(每小题2分,共20分) 1.若有理数a ,a+2b ,b 在数轴上对应点如图所示,则下列运算结果是正数的是( ) A .a+b B .a - b C .1.5a+b D .0.5a+1.5b2.下列各式:①-(-5),②-|-2|,③-(-2)2,④-52,计算结果为负数的个数有( ) A .4个 B .3个 C .2个 D .1个3.下列说法中正确的选项是( )A .温度由﹣3℃上升 3℃后达到﹣6℃B .零减去一个数得这个数的相反数C .3π既是分数,又是有理数 D .20.12 既不是整数,也不是分数,所以它不是有理数 4.把数3120000用科学记数法表示为( )A .3.12×105B .3.12×106C .31.2×105D .0.312×1075.下列各式中一定成立的是( )A .221(1)-=-B .331(1)=-C .221(1)=--D .33(1)(1)-=- 6.数轴上如果点A 表示的数2,将点A 向左移动6个单位长度后表示的数是( ) A .6 B .-4 C .-6 D .-87.如图,数轴的单位长度为1,如果P ,R 表示的数互为相反数,那么图中的4个点中,哪一个点表示的数的平方值最大( )A .PB .RC .QD .T8.下列说法不正确的是( )A .0既不是正数,也不是负数B .一个有理数不是整数就是分数C .1是绝对值是最小的有理数D .0的绝对值是09.下列有理数-2,(-1)2,0,|-5|,其中负数的个数有( )A .1个B .2个C .3个D .4个10.下列说法中,正确的是( )A .一个数的相反数是负数B .0没有相反数C .只有一个数的相反数等于它本身D .表示相反数的两个点,可以在原点的同一侧二、填空题(每小题4分,共32分) 1.已知a 、b 互为相反数,m 、n 互为倒数,则28a b mn +-+的值是 . 2.你吃过拉面吗?如图把一个面团拉开,然后对折,再拉开再对折,如此往复下去折5次, 会拉出 根面条.3.如图,将一刻度尺放在数轴上(数轴的单位长度是1cm ),刻度尺上“1cm ”和“9cm ”分别对应数轴上的5-和x ,那么x 的值为 .4.已知a 、b 互为相反数,c 是绝对值最小的数,d 是负整数中最大的数,则a+b+c+d= . 5.“腊味香肠”是居民冬季特别是春节餐桌上必不可少的传统美食,每年入冬以后,便进入灌香肠的好时节.老李、老陈、老杨三人约定每人拿出相同数目的钱共同去灌制香肠.香肠灌制完成后,老李、老陈分别比老杨多分了8、13斤香肠,最后结算时,老李需付给老杨30元,则老陈应付给老杨 元.6.34--的倒数是 ,24-()的相反数是 . 7.纸上画有一条数轴,将纸对折后,表示5的点与表示2-的点恰好重合,则此时与表示 3.5-的重合的点所表示的数是 .8.北京与纽约的时差为-13h (负号表示同一时刻纽约时间比北京时间晚),如果现在是北京时间16:00,那么纽约时间是 .三、解答题(每小题8分,共48分)1.如图,周长为2个单位长度的圆片上的一点A 与数轴上的原点O 重合,圆片沿数轴来回无滑动地滚动.(1)把圆片沿数轴向左滚动一周,点A到达数轴上点B的位置,则点B表示的数为__________.(2)圆片在数轴上向右滚动的周数记为正数,向左滚动的周数记为负数,依次滚动情况记录如下表:第1次第2次第3次第4次第5次第6次滚动周数+3 -1 -2 +4 -3 a①第6次滚动a周后,点A距离原点4个单位长度,请求出a的值;②当圆片结束第6次滚动时,点A一共滚动了多少个单位长度?2.计算:(1)﹣10﹣(﹣18)+(﹣4)(2)(﹣54)÷(﹣3)+83×(﹣92)(3)(513638-+)×(﹣24)(4)(﹣12)3+[﹣8﹣(﹣3)×2]÷43.甲、乙二人在操场的400米跑道上练习竞走,两人同时出发,出发时乙在前,甲在后,出发后8分钟甲、乙第一次相遇,出发后的24分钟时甲、乙第二次相遇.假设两人的速度保持不变,你知道出发时乙在甲前多少米吗?4.计算:(1)﹣7﹣11+4+(﹣2)(2)3×(—4)+(—28)÷7(3)111135 532114⎛⎫⨯-⨯÷⎪⎝⎭参考答案一、单选题(每小题2分,共20分)1.D 2.B 3.B 4.B 5.C6.B 7.D 8.C 9.A 10.C二、填空题(每小题4分,共32分)三、解答题(每小题8分,共48分)- 5 -。
北师大版(2024)七年级上册《2.2有理数的加减运算2》2024年同步练习卷一、选择题:本题共8小题,每小题3分,共24分。
在每小题给出的选项中,只有一项是符合题目要求的。
1.计算的结果等于()A.12B.C.6D.2.下列算式正确的是()A. B.C. D.3.下列算式正确的是()A. B.C. D.4.把统一为加法运算,正确的是()A. B.C. D.5.若,则括号内的数是()A.13B.3C.D.6.甲、乙两人用简便方法进行计算的过程如下所示,下列判断正确的是()甲:乙:A.甲、乙都正确B.甲、乙都不正确C.只有甲正确D.只有乙正确7.能与相加得0的数是()A. B. C. D.8.某同学在计算时,误将看成了,从而算得的结果是5,则正确结果是()A.13B.C.9D.二、填空题:本题共4小题,每小题3分,共12分。
9.已知甲地的海拔高度是300m ,乙地的海拔高度是,那么甲地比乙地高______.10.若a 的相反数是,b 的绝对值是4,则______.11.若a 是绝对值最小的数,b 是最大的负整数,则______.12.如图所示,某勘探小组测得E点的海拔为20m,F点的海拔为以海平面为基准,则E点比F点高______三、计算题:本大题共1小题,共6分。
13.计算;四、解答题:本题共10小题,共80分。
解答应写出文字说明,证明过程或演算步骤。
14.本小题8分计算:;;15.本小题8分计算:;;;;;16.本小题8分计算:;;;以地面为基准,A处高,B处高,C处高处比B处高多少米?处和C处哪个地方高?高多少米?处和C处哪个地方低?低多少米?18.本小题8分列式计算:减的差与的和;与的和减的差.19.本小题8分计算.;20.本小题8分计算:;;;;;;;;21.本小题8分某商店去年四个季度盈亏情况如下盈利为正数,亏损为负数:68万元,万元,万元,145万元.问:盈利最多的季度与最少的季度相差多少?全年盈亏情况如何?用简便方法计算:;23.本小题8分已知,若,,求的值;若,求的值.答案和解析1.【答案】C【解析】【分析】根据减去一个数等于加上这个数相反数,可得答案.本题考查了有理数的加法,先转化成加法,再进行加法运算.【解答】解:原式故选2.【答案】B【解析】解:,故选项A错误;B.,故选项B正确;C.,故选项C错误;D.,故选项D错误.故选:根据有理数的减法运算法则解答即可.本题考查了有理数的减法运算,熟练掌握有理数的减法运算法则是解题的关键.3.【答案】D【解析】解:,此选项的计算错误,故此选项不符合题意;B.,此选项的计算错误,故此选项不符合题意;C.,此选项的计算错误,故此选项不符合题意;D.,,,此选项的计算正确,故此选项符合题意;故选:各个选项均根据有理数的加减法则和绝对值是性质,进行计算,然后根据计算结果进行判断即可.本题主要考查了有理数的减法,解题关键是熟练掌握有理数的加减法则.4.【答案】B【解析】解:原式,故选:根据有理数的减法法则即可求得答案.本题考查有理数的减法,熟练掌握相关运算法则是解题的关键.5.【答案】A【解析】解:;故选:根据有理数的加法即可算出答案.本题考查的有理数的加法运算,解题关键是掌握有理数的加法法则.6.【答案】D【解析】解:甲的计算错误,正确过程如下:;乙的计算过程正确:原式,故选:分别根据甲乙两人的计算过程,结合加法的运算律,根据有理数的加减混合运算的法则进行判断即可.本题考查了有理数的加减混合运算,运用运算律简化运算,掌握加法运算律是解题的关键.7.【答案】B【解析】解:一个数能与相加得0,这个数是的相反数,即故选:根据相反数的定义列式求解即可.本题主要考查了相反数的应用,理解和为零的两个数互为相反数是解答本题的本题的关键.8.【答案】B【解析】解:由题意,得,,故选:根据题意,得出,求出N的值,然后再计算出正确结果即可.本题考查了有理数的加法运算和减法运算,熟练掌握有理数的加法运算法则和减法运算法则是解题的关键.9.【答案】360m【解析】解:根据题意,得,故答案为:根据甲地比乙地高列式计算.本题主要考查了有理数的加法,掌握有理数的加法运算法则,符号的确定是解题关键.10.【答案】7或【解析】解:的相反数是,的绝对值是4,当,时,则,当,时,故答案为:7或先根据相反数和绝对值的定义求得a、b的值,最后相加即可.本题主要考查的是求代数式的值,求得a、b的值是解题的关键.11.【答案】1【解析】解:若a是绝对值最小的数,b是最大的负整数,则,,故答案为:根据绝对值都是非负数,可得绝对值最小的数,根据相反数,可得一个负数的相反数.本题考查了绝对值,根据定义解题是解题关键.12.【答案】40【解析】解:,答:E点比F点高故答案为:根据题意,列出,再根据有理数的减法运算法则计算即可.本题考查了有理数的减法运算,正负数,熟练掌握有理数的减法运算法则是解题的关键.13.【答案】解:;【解析】根据有理数加减运算法则、去绝对值法则计算出结果即可.本题考查了有理数加减运算、去绝对值,做题关键是要掌握有理数加减运算法则、去绝对值法则.14.【答案】解:;;【解析】先把式子省略括号和加号,再加减;先把式子省略括号和加号,再把分数化为小数,最后利用加法的交换律和结合律;先把部分分数化为小数,再利用加法的交换律和结合律.本题考查了有理数的加减运算,掌握有理数的加减法法则、加法的交换律和结合律是解决本题的关键.15.【答案】解:;;;;;【解析】根据有理数减法法则:减去一个数,等于加上这个数的相反数.即:,依此计算即可求解.考查了有理数减法.①在进行减法运算时,首先弄清减数的符号;②将有理数转化为加法时,要同时改变两个符号:一是运算符号减号变加号;二是减数的性质符号减数变相反数16.【答案】;;;【解析】利用有理数的减法法则计算;利用有理数的减法法则计算;利用有理数的减法法则计算;利用有理数的减法法则计算.本题考查了有理数的减法运算,解题的关键是掌握有理数的减法法则.17.【答案】解:答:A处比B处高19m;,处比C处高,答:B处比C处高15m;,处比A处低,答:C处比A处低【解析】分别列式,再根据有理数的减法运算法则,减去一个数等于加上这个数的相反数进行计算即可得解.本题考查了正负数的意义,大小比较,有理数的减法,熟记减去一个数等于加上这个数的相反数是解题的关键.18.【答案】解:;【解析】根据题意列出式子再进行计算即可;根据题意列出式子再进行计算即可.本题考查有理式的加减法,掌握运算法则是解题的关键.19.【答案】解:;【解析】先把式子化为省略加号和括号的形式,再把正数、负数分别相加;先把式子化为省略加号和括号的形式,再把分母相同的分数分别相加.本题考查了有理数的加减运算,掌握有理数的加减法法则、加法的交换律和结合律是解决本题的关键.20.【答案】解:原式;原式;原式;原式;原式;原式;原式;原式;原式【解析】直接利用有理数的加减运算法则计算得出答案.此题主要考查了有理数的减法,正确掌握相关运算法则是解题关键.21.【答案】解:由题意知,盈利最多的季度盈利了145万元,最少的季度盈利了万元,万元;由题意,,,万元答:盈利最多的季度与最少的季度相差285万元;全年亏损22万元.【解析】由题意知,盈利最多的季度为145万元,盈利最少的季度为万元,盈利最多的季度钱数-盈利最少的季度钱数,即为所求;四个季度的盈利额相加,结果为正则盈利,结果为负则亏损.本题主要考查了正数和负数,掌握正负数表示一对相反意义的量,用正数表示其中一种意义的量,另一种量用负数表示.22.【答案】解:;【解析】先把分数化为小数,再利用加法的交换律和结合律;先把减法转化为加法,再利用加法的交换律和结合律.本题考查了有理数的加减运算,掌握有理数的加减法法则、加法的交换律和结合律是解决本题的关键.23.【答案】解:,,,,,,,;,,,,或,,当,时,,当,时,,的值为或【解析】先根据已知条件,求出x,y值,再根据,,求出;由中求出的x,y值,根据,取值进行计算即可.本题主要考查了有理数的加减法,解题关键是熟练掌握有理数的加减法则.。
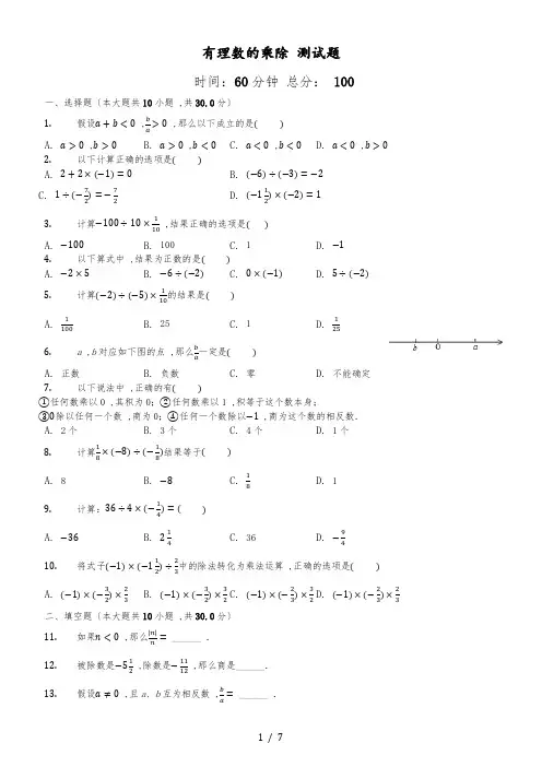
1 / 7有理数的乘除 测试题时间:60分钟 总分: 100一、选择题〔本大题共10小题 ,共30.0分〕 1.假设a +b <0 ,ba >0 ,那么以下成立的是( )A. a >0 ,b >0B. a >0 ,b <0C. a <0 ,b <0D. a <0 ,b >02. 以下计算正确的选项是( ) A. 2+2×(−1)=0 B. (−6)÷(−3)=−2 C. 1÷(−72)=−72D. (−112)×(−2)=13.计算−100÷10×110 ,结果正确的选项是( )A. −100B. 100C. 1D. −1 4.以下算式中 ,结果为正数的是( ) A. −2×5 B. −6÷(−2) C. 0×(−1) D. 5÷(−2)5.计算(−2)÷(−5)×110的结果是( )A. 1100B. 25C. 1D. 1256.a ,b 对应如下图的点 ,那么ba 一定是( )A. 正数B. 负数C. 零D. 不能确定7.以下说法中 ,正确的有( )①任何数乘以0 ,其积为0;②任何数乘以1 ,积等于这个数本身;③0除以任何一个数 ,商为0;④任何一个数除以−1 ,商为这个数的相反数. A. 2个 B. 3个 C. 4个 D. 1个 8.计算18×(−8)÷(−18)结果等于( )A. 8B. −8C. 18D. 19.计算:36÷4×(−14)=( )A. −36B. 214C. 36D. −9410.将式子(−1)×(−112)÷23中的除法转化为乘法运算 ,正确的选项是( )A. (−1)×(−32)×23 B. (−1)×(−32)×32 C. (−1)×(−23)×32 D. (−1)×(−23)×23二、填空题〔本大题共10小题 ,共30.0分〕 11. 如果n <0 ,那么|n|n = ______ .12. 被除数是−512 ,除数是−1112 ,那么商是______. 13.假设a ≠0 ,且a 、b 互为相反数 ,ba = ______ .14. 如果a 是负有理数 ,那么|a|a = ______ .15. 两个有理数之积是1 ,一个数是−217 ,那么另一个数是______ . 16. 计算:15÷(−3)= ______ .17. m ,n ,p 均为负数 ,那么m ÷n ×p ______ 0.(填“>〞“<〞或“=〞) 18.(1)一个数加上−13得−5 ,那么这个数为______ .(2)计算:36÷4×(−14)= ______ . 19. 计算(−5)×(−6)÷(−7)的结果的符号是______ . 20.(−12)÷(−214)= ______ .三、计算题〔本大题共4小题 ,共24.0分〕 21. (−56)÷(−3)×(−145)×(−2)22. 计算:(−34)×(−12)÷(−214)23. 计算:(−9)×(−5)−20÷4.24. 135×(−334)÷[(−123)×(−35)].3 / 7四、解答题〔本大题共2小题 ,共16.0分〕 25.数学老师布置了一道思考题“计算:(−112)÷(13−56)〞 ,小明仔细思考了一番 ,用了一种不同的方法解决了这个问题.小明的解法:原式的倒数为(13−56)÷(−112)=(13−56)×(−12)=−4+10=6 , 所以(−112)÷(13−56)=16.(1)请你判断小明的解答是否正确 ,并说明理由. (2)请你运用小明的解法解答下面的问题. 计算:(−124)÷(13−16+38). 26.①如果a ,b ,c 是有理数且abc ≠0 ,计算代数式|a|a +|b|b+|c|c+|abc|abc的值;②如果有理数a +b +c =0且abc ≠0 ,计算代数式|a|a +|b|b +|c|c+|abc|abc的值.答案和解析【答案】1. C2. A3. D4. B5. D6. B7. B8. A 9. D 10. B11. −1 12. 6 13. −1 14. −115. −715 16. −5 17. < 18. 8;−94 19. 负 20. 2921. 解:原式=(−56)×(−13)×(−95)×(−2) ,=1.22. 解:原式=−34×12×49=−16. 23. 解:(−9)×(−5)−20÷4 ,=45−5 , =40.24. 解:原式=−85×154÷(53×35)=−6.25. 解:(1)正确 ,理由为:一个数的倒数的倒数等于原数;(2)原式的倒数为(13−16+38)÷(−124)=(13−16+38)×(−24)=−8+4−9=−13 , 那么(−124)÷(13−16+38)=−113.26. 解:①当a 、b 、c 中没有负数时 ,都是正数 ,那么原式=1+1+1+1=4;当a 、b 、c 中只有负数时 ,不妨设a 是负数 ,那么原式=−1+1+1−1=0;当a 、b 、c 中有2个负数时 ,不妨设a 、b 是负数 ,那么原式=−1−1+1+1=0; 当a 、b 、c 都是负数时 ,那么原式=−1−1−1−1=−4 , 总是代数式的值是4或−4或0;②当有理数a +b +c =0且abc ≠0时 ,a 、b 、c 中至少有1个正数 ,有1个负数. 那么代数式的值是:0. 【解析】1. 解:∵a +b <0 ,ba >0 ,∴a 与b 同号 ,且同时为负数 , 那么a <0 ,b <0 , 应选C5 / 7利用有理数的加法与除法法那么判断即可.此题考查了有理数的除法 ,以及有理数的加法 ,熟练掌握运算法那么是解此题的关键. 2. 解:A2+2×(−1)=2+(−2)=0 ,故A 正确; B(−6)÷(−3)=2 ,故B 错误; C1÷(−72)=−27 ,故C 错误;D(−112)×(−2)=3 ,故D 错误;应选:A .根据有理数的乘法运算、加法运算 ,可判断A ,根据有理数的除法运算 ,可判断B 、C ,根据有理数的乘法运算 ,可判断D .此题考查了有理数的除法 ,根据法那么运算时解题关键 ,注意乘除时 ,先把带分数化成假分数. 3. 【分析】此题主要考查的是有理数的乘除运算 ,掌握有理数的乘法和除法法那么是解题的关键.按照有理数的运算顺序和运算法那么计算即可. 【解答】解:原式=−10×110=−1.应选D .4. 解:A 、−2×5=−10 ,故本选项错误; B 、−6÷(−2)=3 ,故本选项正确; C 、0×(−1)=0 ,故本选项错误; D 、5÷(−2)=−2.5 ,故本选项错误. 应选B .此题根据有理数乘除法法那么分别进行计算 ,再用排除法即可求出答案.此题主要考查了有理数的乘除法运算 ,在计算时要根据有理数乘除法运算的法那么分别进行计算是解题的关键.5. 解:原式=2×15×110=125 ,应选D .先把除法变成乘法 ,再根据有理数的乘法法那么进行计算即可.此题考查了有理数的乘除法那么的应用 ,能熟记法那么的内容是解此题的关键. 6. 解:由数轴上a 、b 两点的位置可知 ,b <0 ,a >0 , ∴b a<0 ,应选:B .先根据数轴上a 、b 两点的位置判断出a 、b 的符号 ,再根据有理数的除法法那么进行解答即可. 此题考查有理数的除法 ,解决此题的关键是熟记有理数的除法法那么.7. 解:①任何数乘以0 ,其积为0 ,正确;②任何数乘以1 ,积等于这个数本身 ,正确;③0除以一个不为0的数 ,商为0 ,故本选项错误;④任何一个数除以−1 ,商为这个数的相反数 ,正确; 正确的有3个. 应选B .根据任何数乘0得0 ,任何数乘以1得本身 ,0除以一个不为0的数得0 ,任何一个数除以−1 ,得这个数的相反数 ,即可得出答案.此题考查了有理数的乘除法 ,掌握有理数的乘除法法那么是此题的关键.8. 解:18×(−8)÷(−18)=(−1)÷(−18)=8. 应选:A .从左往右依次计算即可求解.考查了有理数的乘除法 ,关键是熟练掌握计算法那么正确进行计算.9. 解:原式=−36×14×14=−94 ,应选D原式利用有理数的乘除法那么计算即可得到结果.此题考查了有理数的乘除法 ,熟练掌握运算法那么是解此题的关键. 10. 解:∵除以一个数等于乘以一个数的倒数 , ∴(−1)×(−112)÷23=(−1)×(−32)×32,应选B .根据有理数的除法法那么进行计算即可.此题是有理数的乘除混合运算 ,比拟简单 ,知道除法法那么是关键:除以一个数等于乘以这个数的倒数. 11. 解:∵n <0 , ∴|n|=−n , ∴|n|n=−n n=−1.故答案为:−1.根据负数的绝对值等于它的相反数去掉绝对值号 ,再根据有理数的除法运算法那么进行计算即可得解. 此题考查了有理数的除法 ,绝对值的性质 ,是根底题 ,正确去掉绝对值号是解题的关键.12. 解:−512÷(−1112)=−112×(−1211)=6 ,故答案为:6.根据题意列出算式 ,根据有理数的除法法那么:除以一个不等于0的数 ,等于乘这个数的倒数进行计算即可. 此题主要考查了有理数的除法 ,关键是掌握有理数的除法法那么.13. 解:根据相反数的特点 ,知ba =−1.互为相反数的两个数商为−1 ,注意0除外.此题主要考查相反数的意义 ,只有符号不同的两个数互为相反数. 14. 解:因为a 是负有理数 , 所以|a|=−a . 所以原式=−a a=−1.故答案为:−1.根据负数的绝对值是它的相反数可知|a|=−a ,然后再进行计算即可. 此题主要考查的是绝对值的性质 ,掌握绝对值的性质是解题的关键.15. 解:∵−217×(−715)=1 ,∴−217的倒数是−715. 答:另一个数是−715.两个有理数之积是1 ,那么这两个有理数互为倒数 ,此题即求−217的倒数. 倒数的定义:假设两个数的乘积是1 ,我们就称这两个数互为倒数.7 / 716. 解:原式=−15÷3=−5 , 故答案为:−5原式利用异号两数相除的法那么计算即可得到结果.此题考查了有理数的除法 ,熟练掌握有理数的除法法那么是解此题的关键. 17. 解:∵m 、n 为负数 , ∴m ÷n 为正数. 又∵p 为负数 ,∴原式结果为负数. 应选:<.首先依据有理数的除法法那么确定出m ÷n 的正负情况 ,然后再依据有理数的乘法法那么进行判断即可. 此题主要考查的是有理数的除法和乘法法那么 ,熟练掌握有理数的除法和乘法法那么是解题的关键. 18. 解:(1)这个数=−5−(−13)=−5+13=8; (2)原式=9×(−14)=−94. 故答案为:(1)8;(2)−94.(1)依据加数、和的关系列出算式 ,然后再依据减法法那么进行计算即可; (2)然后从左到右的顺序进行计算即可.此题主要考查的是有理数的四那么运算 ,熟练掌握相关法那么是解题的关键. 19. 解:∵式子中共有3个负号 , ∴计算结果的符号为负. 故答案为:负.由于代数式中只有乘号与除号 ,所以数出负号的个数即可得出结论.此题考查的是有理数的乘法与除法 ,熟知有理数的乘法与除法法那么是解答此题的关键.20. 解:(−12)÷(−214)=(−12)×(−49) =29. 故答案为29.根据有理数除法法那么计算即可.此题考查了有理数的除法法那么:除以一个不等于0的数 ,等于乘这个数的倒数.熟记法那么是解题的关键. 21. 根据有理数的除法法那么 ,先把除法化成乘法 ,再根据有理数的乘法进行计算即可.此题主要考查对有理数的乘法、除法等知识点的理解和掌握 ,能熟练地运用法那么进行计算是解此题的关键. 22. 原式从左到右依次计算即可得到结果.此题考查了有理数的乘除法 ,熟练掌握运算法那么是解此题的关键. 23. 根据有理数的乘法和除法运算法那么进行计算即可得解.此题考查了有理数的乘法 ,有理数的除法 ,熟记运算法那么是解题的关键. 24. 原式先计算括号中的运算 ,再计算乘除运算即可得到结果.此题考查了有理数的乘法 ,以及有理数的除法 ,熟练掌握运算法那么是解此题的关键. 25. (1)正确 ,利用倒数的定义判断即可; (2)求出原式的倒数 ,即可确定出原式的值.此题考查了有理数的除法 ,熟练掌握运算法那么是解此题的关键. 26. ①对a 、b 、c 中正数的个数进行讨论 ,即可求解;②数a +b +c =0且abc ≠0时 ,a 、b 、c 中至少有1个正数 ,有1个负数 ,利用①即可直接写出答案. 此题考查了有理数的除法法那么和乘法法那么 ,正确进行讨论是关键.。
北师大版七年级数学上册《2.3有理数的乘除运算》同步测试题带答案一、单选题1. 1.5-的倒数是( )A .32-B .23C .23-D .322.已知有理数a 、b 在数轴上的位置如图所示,下列结论正确的是( )A .a b <B .0ab <C .0b a -D .0a b +>3.下列说法正确的是( )A .如果一个数的绝对值等于它本身,那么这个数是正数B .数轴原点两旁的两个数互为相反数C .几个有理数相乘,当负因数的个数为奇数个时,积一定为负数D .-3.14既是负数,分数,也是有理数 4.下列说法正确的是( )①一个数的绝对值一定是正数;①当a a =-时,a 一定是负数;①倒数等于它本身的数是1;①任何有理数都有倒数;①若0ab <,0a b +>则a ,b 异号且正数的绝对值大于负数的绝对值. A .①①①B .①①C .①①D .①5.当3,6a b =-=时,下列运算结果是正数的是( ) A .a b +B .a b -C .a b ⨯D .a b ÷6.下列说法中①正数和负数统称为有理数;①画直线AB 等于10厘米;①两点确定一条直线;①a -一定是非负数;①已知a,b 是有理数,若0,0a b ab +<<,且||||a b >,则0,0a b ><.其中正确的个数是( ) A .1个B .2个C .3个D .4个二、填空题7.若﹣2减去一个有理数的差是﹣5,则﹣2乘这个有理数的积是 . 8. 2.5-的相反数是 ;3--= ; 1.5-的倒数是 .9.有理数乘法运算律交换律:a b ⨯= ;结合律:()a b c ⨯⨯= ﹔分配律: a c b c =⨯+⨯. 10.13(1)()03⨯-⨯-⨯= .11.891634⎛⎫⎛⎫÷-÷-= ⎪ ⎪⎝⎭⎝⎭ .12.如果215⎛⎫⨯-= ⎪⎝⎭,那么“□”内应填的数是 .三、解答题13.已知||2,||5x y ==. (1)若x y <,求x y -的值. (2)若0xy <,求xy的值. 14.已知关于x 的方程2x m -=x +3m的解与2+1x =3x ﹣34的解互为倒数,求m 的值.15.已知5x =,3y =若0xy >,求x y -的值.16.近几年,全球的新源汽车发展迅猛,尤其对于我国来说,新能源汽车产销量都大幅度增加.小明家新换了一辆新能源纯电汽车,他连续7天记录了每天行驶的路程(如表).以40km 为标准,多于40km 的记为“+”,不足40km 的记为“-”,刚好40km 的记为“0”.第一天 第二天 第三天 第四天 第五天 第六天 第七天路程(km )6- 5- 8+ 2+ 5- 11+ 15+(1)请问哪一天小明家新能源汽车行驶路程最多?行驶了多少千米? (2)请求出小明家的新能源汽车这7天一共行驶了多少千米?(3)已知汽油车每行驶100km 需用汽油5.5升,汽油价为8.2元/升,而新能源汽车每行驶100km 耗电量为15度,每度电为0.56元,小明家换成新能源汽车后这7天的行驶费用比原来节省多少钱?17.一辆出租车某天早上从甲地出发,在东西方向的公路上接送乘客(向东记为正),到下午送走最后一名乘客时,所走的路程(单位:千米)记录如下:8,-9,4,7,-2,-10,18,-3,7,5.(1)下午送走最后一名乘客时,出租车离出发地有多少千米?(2)若该出租车每千米耗油0.3升,则出租车从甲地出发到下午再回到甲地,共耗油多少升?18.“国庆”期间,某超市购进一批价格为每斤6元的苹果,原计划每天卖50斤,但实际每天的销量与计划销量有出入,如表是某周的销售情况(记超额为正,不足为负,单位:斤): 星期一二三四五六日与计划量的差值 3+ 1.5- 2- 7+ 4.5- 11+ 3-(1)根据记录的数据可知前三天共卖出苹果 斤;(2)根据记录的数据,求销售量最多的一天比销售量最少的一天多销售多少斤? (3)若每斤按10元出售,那么该超市这周的利润一共有多少元?题号 1 2 3 4 5 6 答案 CCDDA B1.C 2.C 3.D 4.D 5.A 6.B 7.6-8. 2.5 3- 23-9. b a ⨯ ()a b c ⨯⨯ ()a b c +⨯ 10.0 11.83/22312.52-13.(1)3x y -=-或7x y -=- (2)25x y =- 14.65-15.216.(1)由表格中的数据可知,第七天小明家新能源汽车行驶路程最多,行驶了55km;(2)小明家的新能源汽车这7天一共行驶了300km(3)小明家换成新能源汽车后这7天的行驶费用比原来节省110.1元17.(1)25千米(2)29.4升18.(1)149.5(2)15.5(3)1440元。
专项训练卷(一) 有理数的混合运算时间:60分钟 满分:100分考试范围:第二章题序一二三评卷人总分得分一、选择题(每小题4分,共32分)1.丁丁做了4道计算题:①(-1)2024=1;②0-(-1)=-1;③-1+13-12=-76;④12÷-12=1.请你帮他检查一下,他一共做对了( )A .1道B .2道C .3道D .4道2.要使得算式-1□0.5的值最小,则“□”中填入的运算符号是( )A .+B .-C .×D .÷3.设a 是最小的自然数,b 是最大的负整数,c 是绝对值最小的有理数,则a-b+c=( )A .-1B .0C .1D .24.用2,0,2,2这四个数进行如下运算,计算结果最大的式子是( )A .2-0×2+2B .2-0+2×2C .2×0+2-2D .2+0-2×25.若m ,n 互为相反数,p ,q 互为倒数,t 的绝对值等于4,则m +n 2002024-(-pq )2023+t 3的值是( )A .-63B .65C .-63或65D .63或-656.如图,这是一个计算程序,若输入a 的值为-1,则输出的结果b 为( )A .-5B .-6C .5D .67.用“※”定义一种新运算:对于任何有理数a 和b ,规定a ※b=ab+b 2.如1※2=1×2+22=6,则(-4)※2的值为( )A .4B .-4C .8D .-88.在求两位数的平方时,可以用“列竖式”的方法进行速算,求解过程如图所示.则第5个方框中最下面一行的数可能是( )A .1296B .2809C .3136D .4225二、填空题(每小题4分,共16分)9.按照下图所示的步骤,若输入x 的值为-7,则输出y 的值为 .10.某地气象观测用的测温气球,每上升1千米,气温大约降低6 ℃,若地面温度为21 ℃,高空某处的气温为-39 ℃,则此处的高度为 千米.11.现用四个数2,-6,5,8进行加、减、乘、除、乘方混合运算,每个数只能用一次,且每个数都用上,要使运算结果等于24,则可以列式为 . 12.已知|x|=3,|y|=5,且x>y ,则3x-y 2的值为 . 三、解答题(本大题6小题,共52分)13.(6分)计算:(1)(-36)×12-59+712;(2)-14-[1―(1―0.5×13)×6].14.(8分)已知a 的立方等于-8,b 的倒数为-12,c 的绝对值为2,求a+b+c 2的值.15.(8分)阅读下列材料:计算:124÷13-14+112.解法一:原式=124÷13-124÷14+124÷112=124×3-124×4+124×12=1124.解法二:原式=124÷212=124×6=14.解法三:原式的倒数=13-14+112÷124=13-14+112×24=13×24-14×24+112×24=4.所以原式=14.(1)上述得到的结果不同,其中,解法 是错误的. (2)计算:12-14+16×36= .(3)请你选择合适的解法计算:-1210÷37+215-310-521.16.(8分)小乌龟从点A 出发,在一条直线上来回爬行,假定向右爬行的路程记为正数,向左爬行的路程记为负数,爬行的各段路程(单位: cm)依次记为+5,-3,+10,-8,-6,+12,-10.(1)小乌龟最后是否回到出发点A ?(2)小乌龟在爬行过程中,若每爬行1 cm 奖励2粒芝麻,则小乌龟一共得到多少粒芝麻?17.(10分)已知四个数“-8,-2,1,3”及四种运算符号“+,-,×,÷”,请列算式解答下列问题:(1)求这四个数的和;(2)在这四个数中选出两个数,使得两数差的结果最小,并简单说明理由;(3)在这四个数中选出三个数,在这四种运算符号中选出两种,组成一个算式,可以带括号,使运算结果等于没选的那个数.18.(12分)规定一种新运算法则:a ※b=ab-2a+b 2.例如:1※2=1×2-2×1+22=4.请用上述运算法则回答下列问题:(1)求3※(-1)的值;(2)求(-4)※12※2的值;(3)若m※5的值为40,求m的值.参考答案一、选择题12345678BDCBCABB1.B 【解析】①(-1)2024=1,符合题意;②0-(-1)=0+1=1,不符合题意;③-1+13-12=-23-12=-76,符合题意;④12÷-12=-1,不符合题意.2.D 【解析】-1+0.5=-0.5;-1-0.5=-1.5;-1×0.5=-0.5;-1÷0.5=-2.所以使得算式-1□0.5的值最小时,“□”中填入的运算符号是÷.3.C 【解析】由题意,得a=0,b=-1,c=0,则a-b+c=1.4.B 【解析】2-0×2+2=2-0+2=4,2-0+2×2=2-0+4=6,2×0+2-2=0+2-2=0,2+0-2×2=2+0-4=-2,由上可得,2-0+2×2的结果最大.5.C 【解析】根据题意,得m+n=0,pq=1,t=4或t=-4,当t=4时,原式=02024-(-1)2023+43=0+1+64=65;当t=-4时,原式=02024-(-1)2023+(-4)3=1-64=-63.综上,m +n 2002024-(-pq )2023+t 3的值是65或-63.6.A 【解析】把a=-1代入得[(-1)2-(-2)]×(-3)+4=(1+2)×(-3)+4=3×(-3)+4=-9+4=-5.7.B 【解析】根据题中的新定义,得(-4)※2=-4×2+22=-8+4=-4.8.B 【解析】由图中信息可知,第一行从右向左分别为个位数字和十位数字的平方,每个数的平方占两个空,平方是一位数的前面的空用0填补,第二行前3个空是这个两位数的两个数字的乘积的2倍,然后相加即得到这个两位数的平方.第5个方框中第二行数是30,所以原数的十位数字和个位数字的乘积是30×12=15,那么这两个数就应该是3和5,所以这个两位数是35或53,352=1225,532=2809.二、填空题9.1 【解析】由题意可得,当x=-7时,(x+5)2-3=(-7+5)2-3=(-2)2-3=4-3=1.10.10 【解析】根据题意,得[21-(-39)]÷6×1=(21+39)÷6×1=60÷6×1=10(千米),则此处的高度为10千米.11.2×5-(-6)+8(答案不唯一)12.-16或-34 【解析】因为|x|=3,|y|=5,且x>y ,所以x=±3,y=-5,当x=3,y=-5时,3x-y 2=3×3-(-5)2=9-25=-16,当x=-3,y=-5时,3x-y 2=3×(-3)-(-5)2=-9-25=-34.三、解答题13.解:(1)原式=(-36)×12-(-36)×59+(-36)×712=(-18)+20+(-21)=-19;................................................(3分)(2)原式=-1-[1―(1―16)×6]=-1-(1-56×6)=-1-(1-5)=-1-(-4)=-1+4=3.......................................(6分)要点归纳 关于有理数的混合运算问题,运算顺序是:先算乘方,再算乘除,最后算加减,如果有括号,先算括号里的,若是同级运算,应按照从左到右的顺序进行.14.解:因为a 的立方等于-8,b 的倒数为-12,c 的绝对值为2,所以a 3=-8,1b =-12,|c|=2,所以a=-2,b=-2,c=±2,所以c 2=4.................................................................(4分)所以a+b+c 2=(-2)+(-2)+4=-4+4=0.....................................................................................................(8分)15.解:(1)一 .................................................................................................................................................(1分)提示:除法没有分配律,故解法一错误.(2)15 ..............................................................................................................................................................(4分)提示:12-14+16×36=12×36-14×36+16×36=18-9+6=15.(3)原式的倒数=37+215-310-521÷-1210=37+215-310-521×(-210)=37×(-210)+215×(-210)-310×(-210)-521×(-210)=-90-28+63+50=-5,所以-1210÷37+215-310-521=-15.............................................................................................................(8分)16.解:(1)+5-3+10-8-6+12-10=+5+10+12-3-8-6-10=27-27=0,所以小乌龟最后回到出发点A..............................................................................................................(4分)(2)小乌龟爬行的总路程为|+5|+|-3|+|+10|+|-8|+|-6|+|+12|+|-10|=5+3+10+8+6+12+10=54(cm),54×2=108(粒).所以小乌龟一共得到108粒芝麻.........................................................................................................(8分)17.解:(1)-8-2+1+3=-10+4=-6................................................................................................................(2分)(2)由题意可得,(-8)-3=(-8)+(-3)=-11....................................................................................................(4分)理由:要使得两数差的结果最小,则选择最小的负数与最大的正数作差..................................(6分)(3)答案不唯一,如(-8)÷(-2)-3=1或(-8)÷(-2)-1=3或(1+3)×(-2)=-8...........................................(10分)18.解:(1)3※(-1)=3×(-1)-2×3+(-1)2=(-3)-6+1=-8;...........................................................................(3分)(2)(-4)※12※2=(-4)※12×2-2×12+22=(-4)※(1-1+4)=(-4)※4=(-4)×4-2×(-4)+42=(-16)+8+16=8;.........................................................................................................................................................................(8分)(3)因为m ※5的值为40,所以5m-2m+52=40,解得m=5,即m 的值是5...........................................................................................................................................(12分)。
北师大版初一数学上册有理数测试题(含答案)
1.正数和负数的意义
(1)正数:像6,3.7,23,10%,…这样大于0的数叫做正数.①为了突出数的符号,可以在正数的前面加“+”号,如6,3.7,23,10%可以写成+6,+3.7,+23,+10%.②正数前面的“+”号可以省略.如+7可以省略“+”号写成7.
(2)负数:像-3,-5.6,-50,-12
,-15%,…在正数前面加上“-”号的数叫做负数.
辨误区正数和负数的理解
①对于正数和负数的意义,不能简单地理解为带“+”号的数是正数,带“-”号的数是负数.
②负数是在正数前面加上一个“-”号,如-5,-(+7)等都是负数,负数中的“-”号不能省略,如-5省略“-”号就是5,变成正数了.
(3)0:0既不是正数也不是负数.
0是正数和负数的分界点,如温度计上的0℃,也是一个特定的温度,0℃以下为负数,0℃以上为正数.
【例1】下列各数中,哪些数是正数?哪些数是负数?
+12,0.15,-52
,-2.05,0,-7,3.14.分析:用正数、负数的定义进行区分.
解:正数有:+12,0.15,3.14;
负数有:-52
,-2.05,-7.2.有理数
(1)定义:整数与分数统称为有理数.
(2)有理数的判断方法:
①正整数、0、负整数都是有理数.
②正分数和负分数都是有理数.
(3)拓展发散:
引入负数后,数的范围扩大为有理数,奇数和偶数也由自然数范围扩大到有理数范围.偶数不仅有正偶数和0,还有负偶数;奇数也包括正奇数和负奇数.
【例2】下列说法正确的有().
①-5是有理数
②73
是有理数③0.3不是有理数
④-2是偶数
A.①②③B.①②③④C.②③④D.①②④解析:负整数是有理数,正分数是有理数,有限小数可化为分数,因此是有理数;偶数包括正偶数、0和负偶数.
答案:D
3.有理数的分类方法
(1)按定义分(两分):
(2)按性质分(三分):
“不重复”的意思是说,每一个数只能属于其中的一类,不能出现某一个数属于多类的情况.如,将有理数分为非负数、非正数两类就是错误的.因为0这个数被重复分类了,把0既分在了非负数中,又分在了非正数中.“不遗漏”的意思是说,分类时,不能遗漏某些数.如,将有理数分为正有理数与负有理数两类,显然遗漏了0.【例3】把下面各有理数填在相应的大括号里:12,-3,+1,13,-1.5,0,0.2,314,-435.正数集合:{…};
负数集合:{…};整数集合:{…};
分数集合:{…};
正分数集合:{…};
负分数集合:{…}.
分析:根据正数、负数;整数、分数;正分数、负分数的定义可完成本题.
解:正数集合:12,+1,13,0.2,314,….
负数集合:-3,-1.5,-435,….
整数集合:{12,-3,+1,0,…}.
分数集合:13,-1.5,0.2,314,-435,….
正分数集合:13,0.2,314,….
负分数集合:-1.5,-435,….
点评:解答有理数的分类问题,要明确分类的标准,在将有理数填入相应的集合中时,注意不要发生遗漏和错填现象.
4.具有相反意义的量及应用
(1)具有相反意义的量:
①向东向西、买进卖出、零上零下、收入和支出、运进和运出……,都具有相反的意义.如“向东5米”和“向西3米”就是一对具有相反意义的量.
②特征:a .意义相反;b .成对出现.
(2)表示方法:
用正数和负数表示具有相反意义的量.
当规定其中一个量用正数表示时,那么另一个就用负数表示.0是正负数的界限,是表示“基准”的数.
_______________________________________________________
_______________________________________________________
_______________________________________________________
_______________________________________________________
_______________________________________________________
【例4-1】阅读下面的材料,从中找出一对具有相反意义的量,并用正数和负数表示它们.
非洲“撒哈拉”是世界上著名的大沙漠,昼夜温差非常大,一个科学考察队测得某一天中午12时的气温是零上53℃,下午2时的气温是零上58℃,晚上10时的气温是零下34℃.
分析:“零上温度”与“零下温度”是具有相反意义的量,规定其中的一个量为正,则另一个量为负.
解:具有相反意义的量是“零上温度”和“零下温度”.把零上记为正,则零上53℃和零上58℃分别记作+53℃和+58℃,零下34℃记作-34℃.
【例4-2】一种零件的尺寸在图纸上标注是10±0.05(单位:毫米),表示这种零件的标准尺寸是多少毫米?加工时,符合要求的零件最大不能超过多少毫米?最小不能少于多少毫米?
分析:由标注“10±0.05”可知,10是指标准尺寸的大小,+0.05说明在10毫米的基础上,最多只能多出0.05毫米,-0.05说明在10毫米的基础上,最多只能比标准尺寸少0.05毫米.
解:这种零件的标准尺寸是10毫米;符合要求的零件最大不能超过10.05毫米,最小不能少于9.95毫米.。