2007考研数学二真题及答案解析
- 格式:pdf
- 大小:436.89 KB
- 文档页数:22
2007数二真题答案详细解析年数学二的真题是高考数学题目中一道相对较难的题目。
本文将对这道题目进行详细解析,分析其解题思路和解题方法,帮助读者更好地理解和掌握数学常识。
本题属于数学二试卷中的选择题,题目如下:已知数列{a_n}的通项公式为:a_n=n(n-1)^2,(n=1,2,3,...)。
则有命题:S_n=a_1+a_2+...+a_n=(n^2-1)^2。
要判断该命题的真假,我们需要先对数列{a_n}进行分析。
观察数列的通项公式a_n=n(n-1)^2,我们可以发现n(n-1)^2是一个关于n 的三次多项式。
三次多项式的一般形式可以表示为:P(n) = an^3 + bn^2 + cn + d其中a、b、c、d是常数。
在这个问题中,我们需要验证命题S_n=(n^2-1)^2是否成立,也就是判断数列的前n项和等于(n^2-1)^2。
为了方便计算,我们将等式两边展开:S_n = a_1 + a_2 + ... + a_n = (1(1-1)^2) + (2(2-1)^2) + ... + (n(n-1)^2)= (1*0^2) + (2*1^2) + ... + (n(n-1)^2)= 0 + 2 + 8 + ... + n(n-1)^2现在我们需要找到这个数列的通项公式,这样才能求出前n项的和。
观察数列0, 2, 8, ... ,我们可以发现这个数列的通项与原数列{n(n-1)^2}相差一个常数。
因此,我们推测该数列的通项公式为:b_n = n(n-1)^2 + k其中k是常数。
为了求解该数列的通项公式,我们可以先求解数列0, 2, 8, ... 的通项公式,再进行适当的变换。
观察数列0, 2, 8, ... ,我们可以发现这个数列中的每一项均等于相应的n(n-1)^2的2倍。
因此,该数列的通项公式为:b_n = 2n(n-1)^2现在我们已经得到了数列{b_n}的通项公式,我们可以将其代入前面的求和公式中,得到:S_n = b_1 + b_2 + ... + b_n = 2(1(1-1)^2) + 2(2(2-1)^2) + ... + 2(n(n-1)^2)= 2(1*0^2) + 2(2*1^2) + ... + 2(n(n-1)^2)= 2(0 + 2 + 8 + ... + n(n-1)^2)= 2(0^3 + 1^3 + 2^3 + ... + (n-1)^3)现在我们需要求解数列0^3 + 1^3 + 2^3 + ... + (n-1)^3的和。
1..【分析】 本题属基本题型,幂指函数的求导(或微分)问题可化为指数函数求导或取对数后转化为隐函数求导.【详解】 方法一: x x y )sin 1(+==)sin 1ln(x x e +,于是]sin 1cos )sin 1[ln()sin 1ln(x xx x e y x x +⋅++⋅='+,从而π=x dy=.)(dx dx y ππ-='方法二: 两边取对数,)sin 1ln(ln x x y +=,对x 求导,得x xx x y ysin 1cos )sin 1ln(1+++=', 于是]sin 1cos )sin 1[ln()sin 1(x xx x x y x +⋅++⋅+=',故π=x dy=.)(dx dx y ππ-='【评注】 幂指函数的求导问题,既不能单纯作为指数函数对待,也不能单纯作为幂函数,而直接运用相应的求导公式.2..【分析】 本题属基本题型,直接用斜渐近线方程公式进行计算即可.【详解】 因为a=,1)1(lim )(lim23=+=+∞→+∞→x x x x x f x x[]23)1(lim)(lim 2323=-+=-=+∞→+∞→xxx ax x f b x x ,于是所求斜渐近线方程为.23+=x y 【评注】 如何求垂直渐近线、水平渐近线和斜渐近线,是基本要求,应熟练掌握。
这里应注意两点:1)当存在水平渐近线时,不需要再求斜渐近线;2)若当∞→x 时,极限x x f a x )(lim∞→=不存在,则应进一步讨论+∞→x 或-∞→x 的情形,即在右或左侧是否存在斜渐近线,本题定义域为x>0,所以只考虑+∞→x 的情形.3..【分析】 作三角代换求积分即可. 【详解】 令t x sin =,则=.4)arctan(cos cos 1cos 20202πππ=-=+-⎰t tt d【评注】 本题为广义积分,但仍可以与普通积分一样对待作变量代换等.4...【分析】直接套用一阶线性微分方程)()(x Q y x P y =+'的通解公式:⎰+⎰⎰=-])([)()(C dx e x Q e y dxx P dx x P ,再由初始条件确定任意常数即可. 【详解】 原方程等价为x y x y ln 2=+',于是通解为⎰⎰+⋅=+⎰⋅⎰=-]ln [1]ln [2222C xdx x x C dx ex ey dxx dxx=2191ln 31x C x x x +-, 由91)1(-=y 得C=0,故所求解为.91ln 31x x x y -=【评注】 本题虽属基本题型,但在用相关公式时应注意先化为标准型. 另外,本题也可如下求解:原方程可化为x x xy y x ln 222=+',即x x y x ln ][22=',两边积分得Cx x x xdx x y x +-==⎰332291ln 31ln ,再代入初始条件即可得所求解为.91ln 31x x x y -=5…【分析】 题设相当于已知1)()(lim0=→x x x αβ,由此确定k 即可.【详解】 由题设,200cos arcsin 1lim )()(limkx xx x x x x x -+=→→αβ=)cos arcsin 1(cos 1arcsin lim20x x x kx x x x x ++-+→=k 21143cos 1arcsin lim 20==-+→k x x x x x ,得.43=k 【评注】 无穷小量比较问题是历年考查较多的部分,本质上,这类问题均转化为极限的计算.6…【分析】 将B 写成用A 右乘另一矩阵的形式,再用方阵相乘的行列式性质进行计算即可. 【详解】 由题设,有=⎥⎥⎥⎦⎤⎢⎢⎢⎣⎡941321111),,(321ααα, 于是有.221941321111=⨯=⋅=A B【评注】 本题相当于矩阵B 的列向量组可由矩阵A 的列向量组线性表示,关键是将其转化为用矩阵乘积形式表示。
2007年硕士研究生入学考试数学二试题及答案解析一、选择题:(本题共10小题,每小题4分,共40分.每小题给出的四个选项中,只有一项符合题目要求,把所选项前的字母填在题后的括号内)(1)当0x +→(A)1-(B)ln .(C)1.(D)1-.[B ]【分析】利用已知无穷小量的等价代换公式,尽量将四个选项先转化为其等价无穷小量,再进行比较分析找出正确答案.【详解】当0x +→时,有1(1)~-=--1~;2111~.22x -=利用排除法知应选(B).(2)函数11()tan ()()xxe e xf x x e e +=-在[,]ππ-上的第一类间断点是x =(A)0.(B)1.(C)2π-.(D)2π.[A ]【分析】本题f (x )为初等函数,找出其无定义点即为间断点,再根据左右极限判断其类型。
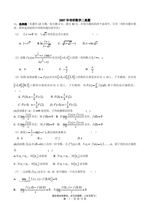
【详解】f (x )在[,]ππ-上的无定义点,即间断点为x =0,1,.2π±又11110()tan tan lim lim 1(1)1()xxx x xx e e x x e exx e e e e --→→++=⋅=⋅-=---,11110()tan tan lim lim 111()x xx x xx e e x x e exx e e e e++→→++=⋅=⋅=--,可见x =0为第一类间断点,因此应选(A).(3)如图,连续函数y =f (x )在区间[−3,−2],[2,3]上的图形分别是直径为1的上、下半圆周,在区间[−2,0],[0,2]的图形分别是直径为2的上、下半圆周,设0()().xF x f t dt =⎰则下列结论正确的是(A)3(3)(2)4F F =--.(B)5(3)(2)4F F =.(C))2(43)3(F F =-.(D))2(45)3(--=-F F .[C ]【分析】本题考查定积分的几何意义,应注意f (x )在不同区间段上的符号,从而搞清楚相应积分与面积的关系。
考研数学二(高等数学)历年真题试卷汇编26(题后含答案及解析) 题型有:1. 选择题 2. 填空题 3. 解答题选择题下列每题给出的四个选项中,只有一个选项符合题目要求。
1.设函数f(x)在(-∞,+∞)内连续,其中二阶导数f”(x)的图形如图所示,则曲线y=f(x)的拐点的个数为( )A.0。
B.1。
C.2。
D.3。
正确答案:C解析:拐点是连续函数凹凸性的分界点,而由于函数是二阶可导的(0点除外),所以可知二阶导数大于0,函数为凹函数,二阶导数小于0,函数是凸函数,因此只需要从图形上找到在某点两端二阶导数异号。
显然这样的点共有两个,所以答案为C。
知识模块:一元函数微分学2.设函数y=f(x)在(-∞,+∞)内连续,其导函数的图形如图所示,则( ) A.函数f(x)有2个极值点,曲线y=f(x)有2个拐点。
B.函数f(x)有2个极值点,曲线y=f(x)有3个拐点。
C.函数f(x)有3个极值点,曲线y=f(x)有1个拐点。
D.函数f(x)有3个极值点,曲线y=f(x)有2个拐点。
正确答案:B解析:由图可知曲线有两个点的左、右导数符号不一样,有三个点左、右导函数单调性不一样,故有2个极值点,3个拐点。
知识模块:一元函数微分学3.曲线y=+ln(1+ex)的渐近线的条数为( )A.0。
B.1。
C.2。
D.3。
正确答案:D解析:因为+ln(1+ex)]=∞,所以x=0为垂直渐近线。
又+ln(1+ex)]=0,所以y=0为水平渐近线。
根据=ln(1+e-x)=0,于是有斜渐近线y=x。
故应选D。
知识模块:一元函数微分学4.曲线y=(x2+x)/(x2-1)的渐近线的条数为( )A.0。
B.1。
C.2。
D.3。
正确答案:C解析:=∞,所以x=1为曲线的垂直渐近线;=1,所以y=1为曲线的水平渐近线;没有斜渐近线。
故该曲线共两条渐近线,因此选C。
知识模块:一元函数微分学5.下列曲线中有渐近线的是( )A.y=x+sinx。
2007年考研数学二真题一.选择题(本题共10小题,每小题4分,满分40分,在每小题给的四个选项中,只有一项符合题目要求,把所选项前的字母填在题后括号内)(1) 当0x +→( )A. 1-B.lnC. 1D.1-(2)函数11()tan ()()xxe e xf x x e e +=-在区间[],ππ-上的第一类间断点是x =( )A. 0B. 1C. 2π-D.2π (3)如图.连续函数()y f x =在区间[][]3,2,2,3--上的图形分别是直径为1的上、下半圆周,在区间[][]2,0,0,2-上图形分别是直径为2的上、下半圆周,设0()(),xF x f t dt =⎰则下列结论正确的是:( ).A .(3)F 3(2)4F =-- .B (3)F 5(2)4F = .C (3)F - 3(2)4F =- .D (3)F -5(2)4F =--(4)设函数f (x )在x=0处连续,下列命题错误的是 ( )A. 若0()limx f x x →存在,则(0)0f = B. 若0()()lim x f x f x x→+-存在, (0)0f =C. 若0()lim x f x x →存在, 则(0)0f '=D. 0()()lim x f x f x x→--存在, (0)0f =(5)曲线1ln(1),xy e x=++渐近线的条数为 ( ).A 0 .B 1 .C 2 .D 3(6)设函数()f x 在(0,)+∞上具有二阶导数,且"()0f x >, 令n u = ()1,2.......,,f n n = 则下列结论正确的是 ( )A.若12u u >,则{}n u 必收敛B. 若12u u >,则{}n u 必发散C. 若12u u <,则{}n u 必收敛D. 若12u u <,则{}n u 必发散 (7)二元函数(,)f x y 在点(0,0)处可微的一个充分条件是 ( ) A.()()()(),0,0lim,0,00x y f x y f →-=⎡⎤⎣⎦B. ()()0,00,0lim0x f x f x →-=,且()()00,0,0lim 0y f y f y→-=C.()(,0,0,00,0lim0x y f x f →-=D. ()0lim ',0'(0,0)0,x x x f x f →-=⎡⎤⎣⎦且()0lim ',0'(0,0)0,y y y f x f →⎡⎤-=⎣⎦ (8)设函数(,)f x y 连续,则二次积分1sin 2(,)x dx f x y dy ππ⎰⎰等于 ( ).A10arcsin (,)y dy f x y dx ππ+⎰⎰ .B 10arcsin (,)y dy f x y dy ππ-⎰⎰.C 1arcsin 02(,)y dy f x y dx ππ+⎰⎰.D 1arcsin 02(,)y dy f x y dx ππ-⎰⎰(9)设向量组123,,ααα线形无关,则下列向量组线形相关的是: ( ) (A ),,122331αααααα--- (B ) ,,122331αααααα+++(C ) 1223312,2,2αααααα--- (D )1223312,2,2αααααα+++(10)设矩阵A=211121112--⎛⎫ ⎪-- ⎪ ⎪--⎝⎭,B=100010000⎛⎫ ⎪⎪ ⎪⎝⎭,则A 于B , ( )(A) 合同,且相似 (B) 合同,但不相似(C) 不合同,但相似 (D)既不合同,也不相似二.填空题:11-16小题,每小题4分,共24分,请将答案写在答题纸指定位置上(11)30arctan sin limx x xx→-=____. (12)曲线2cos cos 1sin x t t y t⎧=+⎨=+⎩上对应于4t π=的点处的法线斜率为_____(13)设函数123y x =+,则()0ny =_____.(14)二阶常系数非齐次线性微分方程2''4'32x y y y e -+=的通解y =_____.(15)设(,)f u v 是二元可微函数,(,)y x z f x y =,则_____z zx y x y∂∂-=∂∂.(16)设矩阵0100001000010000A ⎛⎫ ⎪⎪= ⎪ ⎪⎝⎭,则3A 的秩为______. 三、解答题:17-24小题,共86分.请将解答写在答题纸指定的位置上.解答应写出文字说明、证明过程或演算步骤.(17)设()f x 是区间0,4π⎡⎤⎢⎥⎣⎦上单调、可导函数,且满足()100cos sin ()sin cos f x x t t f t dt t dt t t --=+⎰⎰,其中1f -是f 的反函数,求()f x . (18)(本题满分11分) 设D是位于曲线y =- ()1,0a x >≤<+∞下方、x 轴上方的无界区域.(Ⅰ)求区域D 绕x 轴旋转一周所成旋转体的体积()V a ; (Ⅱ)当a 为何值时,()V a 最小?并求此最小值.(19)求微分方程()2''''y x y y +=满足初始条件(1)'(1)1y y ==的特解.(20)已知函数()f a 具有二阶导数,且'(0)f =1,函数()y y x =由方程11y y xe --=所确定.设(ln sin ),z f y x =-求0x dzdx=,202x d z dx =.(21)(本题11分) 设函数(),()f xg x 在[,]a b 上连续,在(,)a b 内具有二阶导数且存在相等的最大值,()(),()()f ag a f b g b ==证明:存在(,)a b ξ∈,使得''''()()f g ξξ=. (22)(本题满分11分)设二元函数2.1.(,)12.x x y f x y x y ⎧+≤⎪=≤+≤计算二重积分(,).Df x y d σ⎰⎰其中{}(,)2D x y x y =+≤(23)(本题满分11分)设线性方程组1231232123020(1)40x x x x x ax x x a x ⎧++=⎪++=⎨⎪++=⎩与方程12321(2)x x x a ++=-有公共解,求a 的值及所有公共解(24)设3阶对称矩阵A 的特征向量值1231,2,2,λλλ===-1(1,1,1)T α=-是A 的属于1λ的一个特征向量,记534B A A E =-+其中E 为3阶单位矩阵()I 验证1α是矩阵B 的特征向量,并求B 的全部特征值的特征向量; ()II 求矩阵B .2007年考研数学二真题解析一.选择题(本题共10小题,每小题4分,满分40分,在每小题给的四个选项中,只有一项符合题目要求,把所选项前的字母填在题后括号内)(2) 当0x +→(B )A. 1-B.lnC. 1D.1-(2)函数11()tan ()()xxe e xf x x e e +=-在区间[],ππ-上的第一类间断点是x =(A)A. 0B. 1C. 2π-D.2π (3)如图.连续函数()y f x =在区间[][]3,2,2,3--上的图形分别是直径为1的上、下半圆周,在区间[][]2,0,0,2-上图形分别是直径为2的上、下半圆周,设0()(),xF x f t dt =⎰则下列结论正确的是:(C ) .A .(3)F 3(2)4F =-- .B (3)F 5(2)4F = .C (3)F - 3(2)4F =- .D (3)F -5(2)4F =--(4)设函数f (x )在x=0处连续,下列命题错误的是 (C)A. 若0()limx f x x →存在,则(0)0f = B. 若0()()lim x f x f x x→+-存在, (0)0f =C. 若0()lim x f x x →存在, 则(0)0f '=D. 0()()lim x f x f x x→--存在, (0)0f =(5)曲线1ln(1),xy e x=++渐近线的条数为 (D ).A 0 .B 1 .C 2 .D 3(6)设函数()f x 在(0,)+∞上具有二阶导数,且"()0f x >, 令n u = ()1,2.......,,f n n = 则下列结论正确的是 (D)A.若12u u >,则{}n u 必收敛B. 若12u u >,则{}n u 必发散C. 若12u u <,则{}n u 必收敛D. 若12u u <,则{}n u 必发散 (7)二元函数(,)f x y 在点(0,0)处可微的一个充分条件是 (B ) A.()()()(),0,0lim,0,00x y f x y f →-=⎡⎤⎣⎦B. ()()0,00,0lim0x f x f x →-=,且()()00,0,0lim 0y f y f y→-=C.()(,0,0,00,0lim0x y f x f →-=D. ()0lim ',0'(0,0)0,x x x f x f →-=⎡⎤⎣⎦且()0lim ',0'(0,0)0,y y y f x f →⎡⎤-=⎣⎦ (8)设函数(,)f x y 连续,则二次积分1sin 2(,)x dx f x y dy ππ⎰⎰等于 (B ).A10arcsin (,)y dy f x y dx ππ+⎰⎰ .B 10arcsin (,)y dy f x y dy ππ-⎰⎰.C 1arcsin 02(,)y dy f x y dx ππ+⎰⎰.D 1arcsin 02(,)y dy f x y dx ππ-⎰⎰(9)设向量组123,,ααα线形无关,则下列向量组线形相关的是: (A) (A ),,122331αααααα--- (B ) ,,122331αααααα+++(C ) 1223312,2,2αααααα--- (D )1223312,2,2αααααα+++(10)设矩阵A=211121112--⎛⎫ ⎪-- ⎪ ⎪--⎝⎭,B=100010000⎛⎫ ⎪⎪ ⎪⎝⎭,则A 于B , (B )(A) 合同,且相似 (B) 合同,但不相似(C) 不合同,但相似 (D)既不合同,也不相似二.填空题:11-16小题,每小题4分,共24分,请将答案写在答题纸指定位置上(11)30arctan sin limx x x x →-=16.(12)曲线2cos cos 1sin x t t y t⎧=+⎨=+⎩上对应于4t π=1).(13)设函数123y x =+,则()0ny =23n -⋅.(14)二阶常系数非齐次线性微分方程2''4'32x y y y e -+=的通解y =_32122x x x C e C e e +-.(15)设(,)f u v 是二元可微函数,(,)y x z f x y =,则1222(,)(,)z z y y x x y xx y f f x y x x y y x y∂∂''-=-+∂∂.(16)设矩阵0100001000010000A ⎛⎫ ⎪⎪= ⎪ ⎪⎝⎭,则3A 的秩为_1______.三、解答题:17-24小题,共86分.请将解答写在答题纸指定的位置上.解答应写出文字说明、证明过程或演算步骤.(17)设()f x 是区间0,4π⎡⎤⎢⎥⎣⎦上单调、可导函数,且满足()100cos sin ()sin cos f x x t t f t dt t dt t t --=+⎰⎰,其中1f -是f 的反函数,求()f x . 【详解】:设(),y f t =则1()t f y -=.则原式可化为:1(0)0cos sin '()sin cos xxf t t yf y dy tdt t t--=+⎰⎰ 等式两边同时求导得:cos sin '()sin cos x xxf x x x x-=+c o s s i n '()s i n c o sx x f x x x -=+ (18)(本题满分11分) 设D是位于曲线y =- ()1,0a x >≤<+∞下方、x 轴上方的无界区域.(Ⅰ)求区域D 绕x 轴旋转一周所成旋转体的体积()V a ; (Ⅱ)当a 为何值时,()V a 最小?并求此最小值. 【详解】:22222()())(ln )xa a I V a y dx dx a πππ-+∞+∞===⎰⎰ 22412(ln )(2ln )2()()0(ln )a a a a II V a a π-'=⋅= 得ln (ln 1)0a a -=故ln 1a =即a e =是唯一驻点,也是最小值点,最小值2()V e eπ=(19)求微分方程()2''''y x y y +=满足初始条件(1)'(1)1y y ==的特解.【详解】: 设dy p y dx '==,则dpy dx''=代入得: 22()dp dx x p x x p p p dx dp p p++=⇒==+设x u p= 则()d pu u p dp =+du u p u p dp ⇒+=+1dudp ⇒=1u p c ⇒=+即21x p c p =+ 由于(1)1y '= 故11110c c =+⇒=即2x p =32223dy p y x c dx ⇒==⇒=±+ 由21(1)13y c =⇒=或253c = 特解为322133y x =+或322533y x =-+(20)已知函数()f a 具有二阶导数,且'(0)f =1,函数()y y x =由方程11y y xe --=所确定.设(ln sin ),z f y x =-求0x dzdx=,202x d zdx =.【详解】:11y y xe --=两边对x 求导得11()0y y y e xe y --''-+⋅=得 111y y e y xe --'=- (当01)x y ==,故有11121x e y -='==-1(ln sin )(cos )(0)(111)0x x dz f y x y x f dxy=='''=--=⨯-=222221()(ln sin )(cos )(ln sin )(sin )x x d z y f y x y x f y x x dx y y=='''''=--+--+221(0)(111)(0)(10)1(1)11f f -'''=⨯-+⨯+=⨯-=- (21)(本题11分)设函数(),()f xg x 在[,]a b 上连续,在(,)a b 内具有二阶导数且存在相等的最大值,()(),()()f ag a f b g b ==证明:存在(,)a b ξ∈,使得''''()()f g ξξ=. 【详解】:证明:设(),()f x g x 在(,)a b 内某点(,)c a b ∈同时取得最大值,则()()f c g c =,此时的c 就是所求点()()f g ηηη=使得.若两个函数取得最大值的点不同则有设()max (),()max ()f c f x g d g x ==故有()()0,()()0f c g c g d f d ->-<,由介值定理,在(,)c d 内肯定存在()()f g ηηη=使得由罗尔定理在区间(,),(,)a b ηη内分别存在一点''1212,,()()f f ξξξξ使得==0在区间12(,)ξξ内再用罗尔定理,即''''(,)()()a b f g ξξξ∈=存在,使得. (22)(本题满分11分)设二元函数2.1.(,)12.x x y f x y x y ⎧+≤⎪=≤+≤计算二重积分(,).Df x y d σ⎰⎰其中{}(,)2D x y x y =+≤【详解】:D 如图(1)所示,它关于x,y 轴对称,(,)f x y 对x,y 均为偶函数,得1(,)4(,)DD f x y d f x y d σσ=⎰⎰⎰⎰,其中1D 是D 的第一象限部分.由于被积函数分块表示,将1D 分成(如图(2)):11112D D D = ,且1112:1,0,0 :12,0,0D x y x y D x y x y +≤≥≥≤+≤≥≥于是11212(,)(,)(,)D D D f x y d f x y d f x y d σσσ=+⎰⎰⎰⎰⎰⎰.而111112200111(,)(1)3412xD f x y d dx x dy x x dx σ-==-=-=⎰⎰⎰⎰⎰(1)(2)121222cos sin 10cos sin 1(,)()D D f x y d d rdr rπθθθθσσθ++==⋅⎰⎰⎰⎰极坐标变换220221122200021112001cos sin cos sin 2sin cos222(tan )222122(1)1tan 2tan22221)u td d d du du u u u dt dtt πππθθθθθθθθθθθ-===+-+===-+---+==+-===⎰⎰⎰⎰⎰⎰ 所以11(,)1)12D f x y d σ=+⎰⎰得1(,)4(1))12Df x y d σ=⎰⎰(23)(本题满分11分)设线性方程组1231232123020(1)40x x x x x ax x x a x ⎧++=⎪++=⎨⎪++=⎩与方程12321(2)x x x a ++=-有公共解,求a 的值及所有公共解. 【详解】:因为方程组(1)、(2)有公共解,即由方程组(1)、(2)组成的方程组1231232123123020(3)4021x x x x x ax x x a x x x x a ++=⎧⎪++=⎪⎨++=⎪⎪++=-⎩的解.即矩阵211100201401211a a a ⎛⎫ ⎪⎪ ⎪ ⎪ ⎪-⎝⎭211100110001000340a a a ⎛⎫ ⎪- ⎪→ ⎪- ⎪ ⎪++⎝⎭方程组(3)有解的充要条件为1,2a a ==.当1a =时,方程组(3)等价于方程组(1)即此时的公共解为方程组(1)的解.解方程组(1)的基础解系为(1,0,1)Tξ=-此时的公共解为:,1,2,x k k ξ== 当2a =时,方程组(3)的系数矩阵为11101110122001101440000111110000⎛⎫⎛⎫⎪ ⎪ ⎪ ⎪→ ⎪ ⎪⎪ ⎪⎝⎭⎝⎭此时方程组(3)的解为1230,1,1x x x ===-,即公共解为:(0,1,1)T k -(24)设3阶对称矩阵A 的特征向量值1231,2,2,λλλ===-1(1,1,1)T α=-是A 的属于1λ的一个特征向量,记534B A A E =-+其中E 为3阶单位矩阵()I 验证1α是矩阵B 的特征向量,并求B 的全部特征值的特征向量; ()II 求矩阵B .【详解】:(Ⅰ)可以很容易验证111(1,2,3...)n n A n αλα==,于是5353111111(4)(41)2B A A E ααλλαα=-+=-+=- 于是1α是矩阵B 的特征向量.B 的特征值可以由A 的特征值以及B 与A 的关系得到,即53()()4()1B A A λλλ=-+,所以B 的全部特征值为-2,1,1.前面已经求得1α为B 的属于-2的特征值,而A 为实对称矩阵,于是根据B 与A 的关系可以知道B 也是实对称矩阵,于是属于不同的特征值的特征向量正交,设B 的属于1的特征向量为123(,,)T x x x ,所以有方程如下:1230x x x -+=于是求得B 的属于1的特征向量为23(1,0,1),(1,1,0)TTαα=-=(Ⅱ)令矩阵[]123111,,101110P ααα-⎡⎤⎢⎥==-⎢⎥⎢⎥⎣⎦,则1(2,1,1)P BP diag -=-,所以1111333111112(2,1,1)101(2,1,1)333110121333B P d i a g P d i a g -⎡⎤-⎢⎥-⎡⎤⎢⎥⎢⎥⎢⎥=⋅-⋅=---⎢⎥⎢⎥⎢⎥⎢⎥⎣⎦⎢⎥⎢⎥⎣⎦011101110-⎡⎤⎢⎥=⎢⎥⎢⎥-⎣⎦。
考研数学二(常微分方程)历年真题试卷汇编2(题后含答案及解析) 题型有:1. 选择题 2. 填空题 3. 解答题选择题下列每题给出的四个选项中,只有一个选项符合题目要求。
1.(2004年)微分方程y〞+y=χ2+1+sinχ的特解形式可设为【】A.y*=aχ2+bχ+c+χ(Asinχ+Bcosχ).B.y*=χ(aχ2+bχ+c+Asinχ+Bcosχ).C.y*=aχ2+bχ+c+Asinχ.D.y*=aχ2+bχ+c+Acosχ.正确答案:A解析:方程y〞+y=0的特征方程为ρ2+1=0,其特征根为ρ=±i,因此方程y〞+y=χ2+1+sinχy*=aχ+bχ+C+χ(Asinχ+Bcosχ) 故应选A.知识模块:常微分方程2.(2006年)函数y=C1eχ+C2e-2χ+χeχ满足的一个微分方程是【】A.y〞-y′-2y=3χeχ.B.y〞-y′-2y=3eχ.C.y〞+y′-2y=3χeχ.D.y〞+y′-2y=3eχ.正确答案:D解析:由y=C1eχ+C2e-2χ+χeχ知,齐次方程的两个特征根分别为1和-2,所以只有C和D项可能是正确的选项,将y=χeχ代入D项中方程知其满足该方程,则应选D.知识模块:常微分方程3.(2008年)在下列微分方程中,以y=C1eχ+C2cos2χ+C3sin2χ(C1,C2,C3为任意常数)为通解的是【】A.+y〞-4y′-4y=0.B.+y〞+4y′+4y=0.C.-y〞-4y′+4y=0.D.-y〞+4y′-4y=0.正确答案:D解析:由原题设知所求方程的特征方程的根为ρ1=1,ρ2,3=±2i 则其特征方程为(ρ-1)(ρ2+4)=0,故所求方程应为y″′-y〞+4y′-4y=0 故应选D.知识模块:常微分方程4.(2010年)设y1,y2是一阶线性非齐次微分方程y′+p(χ)y=q(χ)的两个特解,若常数λ,μ使λy1+μy2是该方程的解,λy1-μy2是该方程对应的齐次方程的解,则【】A.B.C.D.正确答案:A解析:由于λy1+μy2为方程y′+p(χ)y=q(χ)的解,则(λy1+μy2)′+p(χ)(λy1+μy2)=g(χ) 即λ(y′1+p(χ)y1)+μ(y′2+p(χ)y2)=q(χ) λq(χ)+μ(χ)=q(χ) λ+μ=1 (1) 由于λy1-μy2为方程y′+p(χ)y=0的解,则(λy1-μy2)′+p(χ)(λy1-μy2)=0 λ(y′1+p(χ)y1)-μ(y′2+p(χ)y2)=0 λq(χ)-μq(χ)=0 λ-μ=0 (2) 由(1)式和(2)式解得λ=μ=知识模块:常微分方程5.(2011年)微分方程y〞-λ2y=eλχ+e-λχ(λ>0)的特解形式为【】A.aχ(eλχ+e-λχ).B.aχ(eλχ+e-λχ).C.χ′〞(aeλχ+be-λχ).D.χ2(aeλχ+be-λχ).正确答案:C解析:方程y〞-λ2y=0的特征方程为r2-λ2=1 r1=λ,r2=-λ方程y〞-λ2y=eλχ的特解形式为aχeλχ方程y〞-λ2y=e-λχ的特解形式为bχe-λe 则原方程的特解形式为y=χ(aχeλχ+bχe-λχ) 故应选C.知识模块:常微分方程填空题6.(2006年)微分方程y′=的通解是_______.正确答案:y=Cχe-χ.解析:则ln|y|=ln|χ|-χ=ln|χ|+lne-χ=ln(|χ|e-χ) y=Cχe-χ.知识模块:常微分方程7.(2007年)二阶常系数非齐次线性微分方程y〞-4y′+3y=2e2χ的通解为y=_______.正确答案:y=C1eχ+C2e3χ-2e2χ.解析:齐次方程特征方程为ρ2-4ρ+3=0 解得ρ1=1,ρ2=3,则齐次方程通解为y=C1eχ+C2e3χ设非齐方程特解为=Ae2χ,代入原方程得A=-2,则原方程通解为y=C1eχ+C2e3χ-2e2χ知识模块:常微分方程8.(2008年)微分方程(y+χ2e-χ)dχ-χdy=0的通解是y=_______.正确答案:y=χ(C-e-χ).解析:方程(y+χ2e-χ)dχ-χdy=0可改写为知识模块:常微分方程9.(2010年)3阶常系数线性齐次微分方程-2y〞+y′-2y=0的通解为y =________.正确答案:y=C1e2χ+C2cosχ+C1sinχ.解析:方程y″′=2y〞+y′-2y=0的特征方程为r3-2r2+r-2=0 即r2(r-2)+(r-2)=0 (r-2)(r2+1)=0 r1=2,r2,3=±l′则原方程通解为y=C1e2χ+C2cosχ+C1sinχ.知识模块:常微分方程10.(2011年)微分方程y′+y=e-χcosχ满足条件y(0)=0的解为y=_______.正确答案:e-χsinχ.解析:由一阶线性方程的通解公式得y==e-χ[∫cosχdχ+c]=e-χ[sinχ+C] 由y(0)=0知,C=0,则y=e-χsinχ知识模块:常微分方程11.(2012年)微分方程ydχ+(χ-3y2)dy=0满足条件y|χ=1=1的解为y=_______.正确答案:解析:由ydχ+(χ-3y2)dy=0 得这是一阶线性微分方程,由通解公式得又因为y=1时,χ=1,解得C=0,故χ=y2.y=知识模块:常微分方程12.(2013年)已知y1=e3χ-χe2χ,y2=eχ-χe2χ,y3=-χe2χ是某二阶常系数非齐次线性微分方程的3个解,则该方程满足条件y|χ=0=0,y′|χ=0=1的解为y=_______.正确答案:C1eχ+C2e3χ-χe2χ.解析:由题设知y1-y3=e3χ,y2-y3=eχ为齐次方程两个线性无关的特解,则非齐次方程的通解为y=C1eχ+C2e3χ-χe2χ.知识模块:常微分方程13.(2015年)设函数y=y(χ)是微分方程y〞+y′-2y=0的解,且在χ=0处y(χ)取得极值3,则y(χ)=_______.正确答案:2eχ+e-2χ.解析:原方程的特征方程为λ2+λ-2=0 特征根为λ1=1,λ2=2 原方程的通解为y=C1eχ+C2e-2χ由y(0)=3,y′(0)=0得则C1=2,C2=1,y=2eχ+e-2χ.知识模块:常微分方程解答题解答应写出文字说明、证明过程或演算步骤。
考研数学二(高等数学)历年真题试卷汇编27(题后含答案及解析) 题型有:1. 选择题 2. 填空题 3. 解答题选择题下列每题给出的四个选项中,只有一个选项符合题目要求。
1.设I1=∫0π/4tanx/xdx,I2=x/tanxdx,则( )A.I1>I2>1。
B.1>I1>I2。
C.I2>I1>1。
D.1>I2>I1。
正确答案:B解析:因为当x>0时,有tanx>x,于是tanx/x>1,x/tanx<1,从而有I1=∫0π/4tanx/xdx>π/4,I2=∫0π/4x/tanxdx<π/4,可见有I1>I2且I2<π/4,可排除A,C,D,故应选B。
知识模块:一元函数积分学2.设I=∫0π/4ln(sinx)dx,J=∫0π/4ln(cotx)dx,K=∫0π/4ln(cosx)ds,则I,J,K的大小关系为( )A.J<I<K。
B.I<K<J。
C.J<I<K。
D.K<I<J。
正确答案:B解析:当0<x<π/4时,因为0<sinx<cosx,所以ln(sinx)<ln(cosx),从而I=∫0π/4ln(sinx)dx<∫0π/4ln(cosx)dx=K。
又因为J=∫0π/4ln(cotx)dx=∫0π/4ln(cosx)dx-∫0π/4ln(sinx)dx。
且∫0π/4ln(sinx)dx<0,所以J=∫0π/4ln(cotx)dx>∫0π/4ln(cosx)dx=K。
综上可知,I,J,K的大小关系是I<K<J。
因此选B。
知识模块:一元函数积分学3.设Ik=∫0kπsinxdx(k=1,2,3),则有( )A.I1<I2<I3。
B.I3<I2<I1。
C.I2<I3<I1。
D.I2<I1<I3。
正确答案:D解析:由于当x∈(π,2π)时,sinx<0,可知∫π2πsinxdx<0,则I2-I1<0,因此I1>I2。
又由于对∫2π3πsinxdx作变量代换t=x-π,得由于当x∈(π,2π)时sinx<0,<0,可知∫π3πsinxdx>0,即I3-I1>0,可知I3>I1。
考研数学二(函数、极限、连续)历年真题试卷汇编4(题后含答案及解析)题型有:1. 选择题 2. 填空题 3. 解答题选择题下列每题给出的四个选项中,只有一个选项符合题目要求。
1.设函数f(x)在(-∞,+∞)内单调有界,{xn}为数列,下列命题正确的是A.若{xn}收敛,则{f(xn)}收敛.B.若{xn}单调,则{f(xn)}收敛.C.若{f(xn)}收敛,则{xn}收敛.D.若{f(xn)}单调,则{xn}收敛.正确答案:B解析:若{xn)单调,则{f(xn)}单调,又f(x)在(-∞,+∞)内有界,可见{f(xn)}单调有界,从而{f(xn)}收敛.故应选(B).知识模块:函数、极限、连续2.设an>0(n=1,2,3,…),Sn=a1+a2+…+an,则数列{Sn}有界是数列{an}收敛的A.充分必要条件.B.充分非必要条件.C.必要非充分条件.D.既非允分也非必要条件.正确答案:B解析:由an>0(n=1,2,3,…),数列{Sn}单凋增加,若{Sn}有界,则{Sn}收敛,且即{an}收敛,故充分性成立.但必要性不一定成立,即若an>0(n=1,2,3,…),且数列{an2}收敛,则数列{Sn}不一定有界.例如,an=1(n=1,2,3,…),则数列{an}收敛于1,但数列{Sn}={n}无界.故应选(B).知识模块:函数、极限、连续3.设x→0时,etanx-ex与xn是同阶无穷小,则n为A.1.B.2C.3D.4正确答案:C解析:因为知,n=3.故应选(C).知识模块:函数、极限、连续4.设当x→0时,(1-cosx)ln(1+x2)是比xsinxn高阶的无穷小,xsinxn是比(ex2-1)高阶的无穷小,则正整数,n等于A.1.B.2C.3D.4正确答案:B解析:[分析] 直接按无穷小量的定义进行讨论.[详解] 由题设,有知,n ≤2;又由知n≥2.故n=2.故应选(B).知识模块:函数、极限、连续5.把x→0+时的无穷小量排列起来,使排在后面的是前一个的高阶无穷小,则正确的排列次序是A.α,β,γ.B.α,γ,βC.β,α,γ.D.β,γ,α.正确答案:B解析:[分析] 先两两进行比较,再排出次序;也可先求出各无穷小量关于x的阶数,再进行比较.[详解1],可排除(C),(D)选项,又可见γ是比β低阶的无穷小量,故应选(B).[详解2] 由存在且不为零,知n=1;存在且不为零,知n=3;存在且不为零,知n=2;故应选(B).知识模块:函数、极限、连续6.当x→0+时,与等价的无穷小量是A.B.C.D.正确答案:B解析:[分析] 利用已知无穷小量的等价代换公式,尽量将四个选项先转化为其等价无穷小量,再进行比较分析找出正确答案.[详解] 当x→0+时,有;利用排除法知应选(B).[评注] 本题直接找出的等价无穷小有些困难,但由于另三个的等价无穷小很容易得到,因此通过排除法可得到答案.事实上,知识模块:函数、极限、连续7.当x→0时,f(x)=x—sinax与g(x)=x2ln(1-bx)是等价无穷小,则A.a=1,B.n=1,C.a=-1,D.a=-1,正确答案:A解析:[详解] f(x)=x—sinax,g(x)=x2ln(1-bx)为等价无穷小,则由洛必塔法则只需因为,从而a=1再由,故应选(A).[评注]本题主要考查等价无穷小的概念、无穷小等价代换、洛必塔法则及重要结论:知识模块:函数、极限、连续8.已知当x=0时,函数f(x)-3sinx=sin3x与cxk是等价无穷小,则A.k=1,c=4.B.k=1,C=-4.C.k=3,c=4.D.k=3,C=-4.正确答案:C解析:[分析] 由等价无穷小的定义及泰勒公式或洛必塔法则可得,属基本题型.[详解1]用泰勒公式由题意所以k=3,c=4.故应选(C).[详解2]欲使,由洛必塔法则,只需,和差化积得所以k=3,c=4.故应选(C).知识模块:函数、极限、连续9.设cosx-1=xsina(x),其中,则当x→0时,a(x)是A.比x高阶的无穷小.B.比x低阶的无穷小.C.与x同阶但不等价的无穷小.D.与x等价的无穷小.正确答案:C解析:由cosx—1=xsina(x),有因此sina(x)是与x同阶但不等价无穷小,又sina(x)与a(x)是等价无穷小,所以,a(x)是与x同阶但不等价的无穷小.故选(C).知识模块:函数、极限、连续10.设函数在(-∞,+∞)内连续,且,则常数a,b满足A.a<0,b<0.B.a>>0,b>0.C.a≤0,b<0.D.a≥0,b<0.正确答案:D解析:[分析] 根据f(x)的连续性和条件确定常数.[详解] 由题设f(x)在(-∞,+∞)内连续,因此对任意的x∈(-∞,+∞),有a+ebr≠0,这只需a≥0即可;另外,由,所以必有b<0.故应选(D).[评注] 事实上,本题由a≥0即可选择正确答案为(D).知识模块:函数、极限、连续11.设函数,则A.x=0,x=1都是f(x)的第一类间断点.B.x=0,x=1都是f(x)的第二类间断点.C.x=0是f(x)的第一类间断点,x=1是f(x)的第二类间断点.D.x=0是f(x)的第二类间断点,x=1是f(x)的第一类间断点.正确答案:D解析:[分析] 显然x=0,x=1为间断点,其分类主要考虑左、右极限.[详解] 由于函数f(x)在x=0,x=1点处无定义,因此是间断点.且,所以x=0为第二类间断点.,所以x=1为第一类间断点,故应选(D).[评注] 应特别注意:。
考研数学二(一元函数积分学)历年真题试卷汇编1(题后含答案及解析)题型有:1. 选择题 2. 填空题 3. 解答题选择题下列每题给出的四个选项中,只有一个选项符合题目要求。
1.(2012年试题,一)设(k=1,2,3),则有( ).A.l1先比较l1,l2,由于l2-l1=因此l2<l1.再比较l2,l3,l3一l2=ξ2>0,ξ2∈(2π,3π).因此l3>l2最后比较l1,l3.l2一l1=令t=x一2π,则l3一l1因此l3>l1,综上有l3>l1>l2,选D.知识模块:一元函数积分学2.(2003年试题,二)设则极限等于( ).A.B.C.D.正确答案:B解析:由题设,所以由于所以选B.[评注]考查定积分的计算和求数列极限.知识模块:一元函数积分学3.(2002年试题,二)设函数f(x)连续,则下列函数中,必为偶函数的是( ).A.B.C.D.正确答案:D解析:由题设,逐一分析4个选项,设f1(x)=则,因此f(x)为奇函数.设f2(x)=则由于f(x)的奇偶性未给定,所以f2(x)的奇偶性不确定,设f3(x)=,则因此f(x)为奇函数.设f4(x)=则,因此f4(x)为偶函数,综上,选D.[评注]的奇偶性与f(x)奇偶性的关系是:若f(x)为奇函数,则为偶函数;若f(x)为偶函数,则为奇函数.知识模块:一元函数积分学4.(1999年试题,二)设则当x→0时,α(x)是β(x)的( ).A.高阶无穷小B.低阶无穷小C.同阶但不等价的无穷小D.等价无穷小正确答案:C解析:由题设,因此当x→0时,α(x)是β(x)的同阶但不等价无穷小,选C.[评注]考查无穷小量的比较及极限的计算.知识模块:一元函数积分学5.(1997年试题,二)设则F(x)( ).A.为正常数B.为负常数C.恒为零D.不为常数正确答案:A解析:由题设,被积函数f(x)=esinx.sinx具有周期2π,所以[评注]判定F(x)是否为常数,看F’(x)是否恒为0即可,然后再取特殊值即可判定F(x)是正常数,还是负常数或恒为0等.知识模块:一元函数积分学6.(2010年试题,4)设m,n是正整数,则反常积分的收敛性( ).A.仅与m的取值有关B.仅与n有关C.与mn取值都有关D.与m,n取值都无关正确答案:D解析:无界函数的反常积分有两个瑕点x=0和x=1,同理,x→0+时,In2(1一x)一x2,设q为一个常数,则又因为m,n是正整数,所以则必然存在q∈(0,1),使得极限存在.同理,因x→1-时,对于任意小的δ∈(0,1),有所以,根据无界函数的反常积分的审敛法2可知,该反常积分始终是收敛的,即它的敛散性与m,n均无关,故正确答案为D.知识模块:一元函数积分学7.(2009年试题,一)设函数y=f(x)在区间[一1,3]上的图形如图1—3—4所示,则函数的图形为( ).A.B.C.D.正确答案:D解析:由定积分的性质可知y=f(x)的图像与x轴、y轴及x=x所围图形面积的代数和为所求函数F(x),观察图形可得出如下结论:(I)当x∈[一1,0]时,F(x)≤0,为线性函数,且单调递增,从而排除A,C选项;(Ⅱ)当x∈[0,1]时,F(x)≤0且单调递减;(Ⅲ)当x∈[1,2]时,F(x)单调递增;(Ⅳ)当x∈[23]时,F(x)为常数函数,且连续,从而排除B选项.综上可知,正确选项为D. 知识模块:一元函数积分学8.(2008年试题,一)如图1—3—5所示,设图中曲线方程为y=f(x),函数f(x)在区间[0,a]上有连续导数,则定积分表示( ).A.曲边梯形ABOD的面积B.梯形ABOD的面积C.曲边三角形ACD的面积D.三角形ACD的面积正确答案:C解析:定积分因为af(a)是矩形ABOG的面积是曲边梯形ABOD的面积,二者之差就是曲边三角形ACD的面积.故应选C.知识模块:一元函数积分学9.(2007年试题,一)如图1—3—6所示,连续函数y=f(x)在区间[一3,一2],[2,3]上的图形分别是直径为1的上、下半圆周,在区间[一2,0],[0,2]上的图形分别是直径为2的上、下半圆周.设则下列结论正确的是( ).A.B.C.D.正确答案:C解析:的大小跟曲线y=f(x)与x轴所围面积大小有关.因为F(3)故应选C.[评注]应用定积分的几何意义做本题较为简便,若直接去计算定积分,则十分复杂.知识模块:一元函数积分学填空题10.(2001年试题,一)_________.正确答案:解析:已知f(x)为连续函数,若f(x)为奇函数,则若f(x)为偶函数,则知识模块:一元函数积分学11.(1999年试题,一)函数在区间上的平均值为__________.正确答案:由平均值的定义知解析:理解平均值的概念,像曲率、弧长等概念也值得注意.知识模块:一元函数积分学12.(2009年试题,二)已知,则k=_________.正确答案:因为,所以极限存在.故k从而k=一2.涉及知识点:一元函数积分学13.(2010年试题,12)当0≤0≤π时,对数螺线r=eθ的弧长为__________.正确答案:题设曲线的弧长涉及知识点:一元函数积分学14.(2003年试题,一)设曲线的极坐标方程为p=eπθ(a>0),则该曲线上相应于θ,从0变到2π的一段弧与极轴所围成的图形的面积为__________.正确答案:由已知p=eπθ,则由极坐标下平面图形的面积公式知所求图形面积为解析:考查极坐标下平面图形的面积计算,极坐标下的面积微元为参数方程定义的曲线面积微元为dS=y(θ)x’(θ)dθ.知识模块:一元函数积分学15.(2002年试题,一)位于曲线y=xe-x(0≤x解析:无界图形的面积可由广义积分计算.知识模块:一元函数积分学16.(1998年试题,一)曲线y=一x3+x2+2x与x轴围成的图形的面积(不考虑负面积)S=__________.正确答案:先由已知y=一x3+x2+2x可得其与戈轴的三个交点,x1=一1,x2=0,x3=2,作出草图(见图1——11)可有助于用定积分表示面积S,因此涉及知识点:一元函数积分学解答题解答应写出文字说明、证明过程或演算步骤。
考研数学二解答题专项强化真题试卷48(题后含答案及解析)题型有:1.1.某种飞机在机场降落时,为了减少滑行距离,在触地的瞬间,飞机尾部张开减速伞,以增大阻力,使飞机迅速减速并停下,现有一质量为9 000 kg的飞机,着陆时的水平速度为700 km/h.经测试,减速伞打开后,飞机所受的总阻力与飞机的速度成正比(比例系数为k=6.0×106).问从着陆点算起,飞机滑行的最长距离是多少?正确答案:由题设,飞机的质量m=9 000 kg,着陆时的水平速度υ0=700 km/h.从飞机接触跑道开始计时,设t时刻飞机的滑行距离为x(t),速度为υ(t).根据牛顿第二定律,得由以上二式得积分得x(t)=+C.由于υ(0)=υ0,x(0)=0,故得C=υ0,从而所以,飞机滑行的最长距离为1.05 km.2.(94年)设(1)求函数的增减区间及极值;(2)求函数图形的凹凸区间及拐点:(3)求其渐近线;(4)作出其图形.正确答案:定义域(一∞,0)∪(0,+∞).令y’=0得驻点x=2,不可导点x=0,在(一∞,0)和(2,+∞)上y’>0,则函数单调增,在(0,2)上y’<0,函数单调减,在x=2取得极小值y=3.,则在区间(一∞,0)和(0,+∞)上都是凹的,无拐点.又则有垂直渐近线x=0.则有斜渐近线y=x函数图形见图2.7所示.涉及知识点:一元函数微分学3.(2007年试题,三(22))设二元函数计算二重积分,其中D={(x,y)||x|+|y|≤2}正确答案:设区域D1={(x,y)|x|+|y|≤1},D2={(x,y)|1解析:将区域D2转化为区域D减去D1,用以计算.比较简便,因为区域D和D1方便积分.知识模块:重积分设函数y=y(x)在(-∞,+∞)内具有二阶导数,且y’≠0,x=x(y)是y=y(x)的反函数。
4.试将x=x(y)所满足的微分方程+(y+sinx)(dx/dy)3=0变换为y=y(x)满足的微分方程;正确答案:由反函数的求导公式知dx/dy=1/y’,于是有将其代入原微分方程得y”-y=sinx。
考研数学二(高等数学)历年真题试卷汇编14(题后含答案及解析) 题型有:1. 选择题 2. 填空题 3. 解答题选择题下列每题给出的四个选项中,只有一个选项符合题目要求。
1.等于A.∫01ln2xdxB.2∫12lnxdxC.2∫12ln(1+x)dxD.∫12ln2(1+x)dx正确答案:B解析:故应选(B).2.设F(x)是连续函数f(x)的一个原函数,“MN”表示“M的充分必要条件是N”,则必有A.F(x)是偶函数f(x)是奇函数.B.F(x)是奇函数f(x)是偶函数.C.F(x)是周期函数f(x)是周期函数.D.F(x)是单调函数f(x)是单调函数.正确答案:A解析:直接法若F(x)是连续函数f(x)的原函数,且F(x)是偶函数,则F(一x)=F(x),式两端对x求导得一F’(一x)=F(x)即一f(一x)=f(x)故f(x)为奇函数.反之,若f(x)为奇函数,则G(x)=∫0xf(t)dt是f(x)的一个原函数,又G(一x)=∫0一xf(x)dt∫0xf(u)du=G(x)则G(x)是偶函数,由于F(x)也是f(x)的原函数,则F(x)=G(x)+CF(x)亦是偶函数,故应选(A).3.设f(x)是奇函数,除x=0外处处连续,x=0是其第一类间断点,则∫0xf(t)dt 是A.连续的奇函数.B.连续的偶函数.C.在x=0间断的奇函数.D.在x=0间断的偶函数.正确答案:B解析:直接法由于f(x)是奇函数,则∫0x(t)dt是偶函数,又由于f(x)除x=0外处处连续,且x=0是其第一类间断点,则f(x)在任何一个有限区间上可积,从而∫0xf(t)出为连续函数,故应选(B).4.如图,连续函数y=f(x)在区间[一3,一2],[2,3]上的图形分别是直径为1的上、下半圆周,在区间[一2,0],[0,2]上的图形分别是直径为2的下、上半圆周,设F(x)=f∫0x(t)dt,则下列结论正确的是A.B.C.D.正确答案:C解析:根据定积分的几何意义知,也可用排除法:由定积分的几何意义知也可利用f(x)是奇函数,则F(x)=∫0xf(t)出为偶函数,从而则(A)(B)(D)均不正确,故应选(C).5.如图,曲线段的方程为y=f(x),函数f(x)在区间[0,a]上有连续的导数,则定积分∫0xxf’(x) dx等于A.曲边梯形ABOD的面积.B.梯形ABOD的面积.C.曲边三角形ACD的面积.D.三角形ACD面积.正确答案:C解析:∫0a(x)dx=∫0af(x)=xf(x)|0a一∫0af(x)dx=af(a)一∫0af(x) dx其中af(a)应等于矩形ABOC的面积,∫0af(x)如应等于曲边梯形ABOD的面积,则∫0axf’(x)dx应等于曲边三角形ACD的面积.6.设函数y=f(x)在区间[一1,3]上的图形为则函数F(x)=∫0xf(t)dt的图形为A.B.C.D.正确答案:D解析:由题设知,当x∈(一1,0)时F’(x)=f(x),而当x∈(一1,0)时f(x)=1>0,即F’(x)>0,从而F(x)单调增,显然(A)选项是错误的,因为(A)选项中F(x)在(一1,0)中单调减.由于F(x)=∫0xf(t)dt,则F(0)=0,显然(C)选项错误.由于当x∈(2,3]时f(x)=0,则当x∈(2,3]时F(x)=∫0xf(t)dt=∫02f(t)dt+∫2xf(t)dt=∫02f(t) dt+∫2x0dt=F(2)则(B)是错误的,(D)是正确的.7.设m,n均是正整数,则反常积分的收敛性A.仅与m的取值有关.B.仅与n的取值有关.C.与m,n的取值都有关.D.与m,n的取值都无关.正确答案:D解析:故原反常积分的敛散性与m和n的取值无关.8.设则I,J,K的大小关系为A.I<J<K.B.I<K<J.C.J<I<K.D.K<J<I.正确答案:B解析:当x∈(0,)时,sinx<cosx<1<cotx,而lnx为单调增的函数,则lnsinx <lncosx <lncotx x∈故应选(B).填空题9.=________.正确答案:解析:10.设函数f(x)=在x=0处连续,则a=________.正确答案:解析:由于f(x)在x=0处连续,则f(x)=a,而11.广义积分=________.正确答案:解析:12.∫01e一xsinnxdx=________.正确答案:0.解析:13.已知∫一∞+∞ek|x|dx=1,则k=________.正确答案:一2.解析:1=∫一∞+∞ek|x| dx=2∫0+∞ekxdx=,(k<0)k=一2.14.当0≤θ≤π时,对数螺线r=eθ的弧长为________.正确答案:(eπ一1).解析:所求弧长为解答题解答应写出文字说明、证明过程或演算步骤。