利用函数的奇偶性解不等式和证明不等式
- 格式:doc
- 大小:56.50 KB
- 文档页数:1
函数的奇偶性__________________________________________________________________________________ __________________________________________________________________________________1、 理解函数的奇偶性及其图像特征;2、 能够简单应用函数的奇偶性及其图像特征;一、函数奇偶性定义 1、图形描述:函数()f x 的图像关于y 轴对称⇔()f x 为偶函数;函数()f x 的图像关于原点轴对称⇔()f x 为奇函数 定量描述一般地,如果对于函数()f x 的定义域内任意一个x ,都有()()f x f x -=,那么称()f x 为偶函数;如果都有()()--f x f x =,那么称()f x 为奇函数;如果()()f x f x -=与()()--f x f x =同时成立,那么函数()f x 既是奇函数又是偶函数;如果()()f x f x -=与()()--f x f x =都不能成立,那么函数()f x 既不是奇函数又不是偶函数,称为非奇非偶函数。
如果函数()f x 是奇函数或偶函数,那么称函数()y f x =具有奇偶性。
特别提醒:1、函数具有奇偶性的必要条件是:函数的定义域在数轴上所表示的区间关于原点对称。
换言之,假设所给函数的定义域不关于原点对称,那么这个函数一定不具备奇偶性。
2、用函数奇偶性的定义判断函数是否具有奇偶性的一般步骤:〔1〕考察函数的定义域是否关于原点对称。
假设不对称,可直接判定该函数不具有奇偶性;假设对称,那么进入第二步;〔2〕判断()()f x f x -=与()()f x f x -=-这两个等式的成立情况,根据定义来判定该函数的奇偶性。
二、函数具有奇偶性的几个结论1、()y f x =是偶函数⇔()y f x =的图像关于y 轴对称;()y f x =是奇函数⇔()y f x =的图像关于原点对称。
高考数学热点必会题型第2讲单调性、奇偶性、对称性和周期性解决函数问题——每天30分钟7天轻松掌握一、重点题型目录【题型】一、利用函数的奇偶性求参数值【题型】二、利用函数的奇偶性解抽象函数不等式 【题型】三、构造奇偶函数求函数值【题型】四、奇偶性和周期性综合解决函数问题 【题型】五、单调性和奇偶性综合解决函数问题 【题型】六、对称性和奇偶性综合解决函数问题 【题型】七、对称性、周期性和奇偶性综合解决函数问题 【题型】八、定义法判断证明函数的单调性 【题型】九、定义法判断证明函数的奇偶性 【题型】十、利用函数的周期性求函数值 二、题型讲解总结第一天学习及训练【题型】一、利用函数的奇偶性求参数值例1.(2022·江西·高三阶段练习(理))设函数()(0)a xf x a a x-=≠+,若()(1)1g x f x =-+是奇函数,则(2022)f =( ) A .20222021-B .20212023-C .20222021D .20212023例2.(2023·山西大同·高三阶段练习)已知2e ()e x xaf x +=满足()()0f x f x ,且()f x 在(,())b f b 处的切线方程为2y x =,则a b +=___________.例3.(2023·广东·高三学业考试)已知函数()()()3log 91xf x ax a =++∈R 为偶函数.(1)求a 的值;(2)当[)0,x ∈+∞时,不等式()0f x b -≥恒成立,求实数b 的取值范围. 【题型】二、利用函数的奇偶性解抽象函数不等式4.(2022·广东·高三阶段练习)已知()f x 是定义在R 上的偶函数,()f x 在[)0+∞,上是增函数,且()20f =,则不等式(3)0x f >的解集为( ) A .()()33,log 2log 2,-∞-⋃+∞ B .3(log 2,)+∞ C .3(,log 2)-∞-D .33(log 2,log 2)-例5.(2022·浙江·高三开学考试)已知()f x 是定义在{}0xx ≠∣上的奇函数,当210x x >>时,()()1212120x x f x f x x x ⎡⎤-+->⎣⎦恒成立,则( ) A .()y f x =在(),0∞-上单调递增 B .()12y f x x=-在()0,∞+上单调递减 C .()()1236f f +->D .()()1236f f -->第二天学习及训练【题型】三、构造奇偶函数求函数值例6.(2023·全国·高三专题练习)已知函数1()ln(4f x x x=++在[8-,8]上的最大值和最小值分别为M 、m ,则M m +=( )A .8B .6C .4D .2例7.(2022·河南·偃师市缑第四中学高三阶段练习(理))已知函数()3e e 3x xf x x -=-++ ,若()5f a =,则()f a -=( ) A .2B .1C .-2D .-5例8.(2022·甘肃·陇西县第二中学高三阶段练习(文))已知函数()()()22sin 11f x x x x x =--++,则()222log 6log 3f f ⎛⎫+= ⎪⎝⎭( )A .6B .4C .2D .3-【题型】四、奇偶性和周期性综合解决函数问题例9.(2022·河南·高三阶段练习(文))设函数()y f x =的定义域为R ,且满足()1y f x =+是偶函数,()()2f x f x -=--,当(]1,1x ∈-时,()21f x x =-+,则下列说法不正确的是( ) A .()20221f =-B .当[]9,11x ∈时,()f x 的取值范围为[]0,1C .()3y f x =+为奇函数D .方程()()lg 1f x x =+仅有5个不同实数解例10.(2022·河南安阳·高三阶段练习(理))已知函数()f x 的定义域为R ,()1f x -是偶函数,()2f x +是奇函数,则()2022f =( ) A .()1fB .()2fC .()3fD .()4f例11.(2023·全国·高三专题练习)已知定义域为R 的函数()f x 存在导函数()f x ',且满足()()()(),4f x f x f x f x -=-=-,则曲线()y f x =在点()()2022,2022f 处的切线方程可以是___________(写出一个即可)第三天学习及训练【题型】五、单调性和奇偶性综合解决函数问题例12.(2023·甘肃·模拟预测(理))设函数()()21ln 11f x x x =+-+,则使得()()21f x f x >-成立的x 的取值范围是( ) A .1,13⎛⎫ ⎪⎝⎭B .()1,1,3⎛⎫-∞⋃+∞ ⎪⎝⎭C .11,33⎛⎫- ⎪⎝⎭D .11,,33⎛⎫⎛⎫-∞-+∞ ⎪ ⎪⎝⎭⎝⎭例13.(2023·全国·模拟预测)若()()R,11x f x f x ∀∈+=-,当1x ≥时,2()4f x x x =-,则下列说法错误的是( ) A .函数()f x 为奇函数B .函数()f x 在()1,+∞上单调递增C .()min 4f x =-D .函数()f x 在(,1)-∞上单调递减例14.(2022·全国·高三专题练习)设ππ,,44x y ⎡⎤∈-⎢⎥⎣⎦,若333πcos()2024sin cos 0x x a y y y a ⎧++-=⎪⎨⎪++=⎩,则cos(2)x y +=______.【题型】六、对称性和奇偶性综合解决函数问题例15.(2023·全国·高三专题练习)设()f x 的定义域为R ,且满足()()()()3221,2f x f x f x f x -=-+-=,若()12f =,则()()()()1232022f f f f ++++=( ) A .2023B .2024C .3033D .3034例16.(2023·全国·高三专题练习)设函数()()11sin 1e e 4x xf x x x --=-+--+,则满足()()326f x f x +-<的x 的取值范围是( )A .()3,+∞B .()1,+∞C .(),3-∞D .(),1-∞例17.(2022·福建·宁德市高级中学高三阶段练习)设()f x 的定义域为R ,且满足()()3221f x f x -=-,()()2f x f x -+=,若()12f =,则()()()()1232023f f f f ++++=______.第四天学习及训练【题型】七、对称性、周期性和奇偶性综合解决函数问题例18.(2023·江苏南京·高三阶段练习)设*n ∈N ,函数()f x 是定义在R 上的奇函数,且()()22110f x f x -++=,()f x 在[]0,1单调递增,()11f =,则( )A .()11f -=B .()40nf =C .()211f n -=D .()211nf -=例19.(2023·全国·高三专题练习)已知函数()f x 对任意x ∈R 都有()()2f x f x +=-,若函数()1y f x =-的图象关于1x =对称,且对任意的()12,0,2x x ∈,且12x x ≠,都有()()12120f x f x x x ->-,若()20f -=,则下列结论正确的是( )A .()f x 是偶函数B .()20220f =C .()f x 的图象关于点()1,0对称D .()()21f f ->-【题型】八、定义法判断证明函数的单调性例20.(2023·全国·高三专题练习)设函数()ln(2f x x x =+且233()1)23a a f a --<--,则a 的取值范围为( )A .()3,+∞B .)C .)+∞D .(()3,∞⋃+例21.(2023·全国·高三专题练习)已知函数()e e 2x xf x --=,则()A .()()22f x y f x =为偶函数 B .()()2y f x f x =-是增函数 C .()()sin 1y f x =-不是周期函数 D .()()1y f x f x =++的最小值为1例22.(2023·广东·高三学业考试)已知函数()f x 对任意,R x y ∈,都有()()()f x y f x f y +=+成立.有以下结论:①()00f =;②()f x 是R 上的偶函数;③若()22f =,则()11f =; ④当0x >时,恒有()0f x <,则函数()f x 在R 上单调递增. 则上述所有正确结论的编号是________第五天学习及训练【题型】九、定义法判断证明函数的奇偶性例23.(2023·全国·高三专题练习)已知函数2()(2)sin(1)1xf x x x x x =--+-在[1,1)-(1,3]⋃上的最大值为M ,最小值为N ,则M N +=( ) A .1B .2C .3D .4例24.(2023·全国·高三专题练习)已知函数()cos f x x x =⋅,x ∈R ,则下列说法正确的是( ) A .()f x 是奇函数 B .()f x 是周期函数C .()f x 的图象在点(π,(π))f 处的切线方程为0x y +=D .()f x 在区间π(,π)2上是减函数例25.(2023·全国·高三专题练习)判断函数()f x x =+.【题型】十、利用函数的周期性求函数值例26.(2023·全国·高三专题练习)已知函数()y f x =为定义在R 上的奇函数,且()()2f x f x +=-,当[)1,0x ∈-时,()f x x =,则()2021f =( )A .2021B .1C .1-D .0例27.(2023·全国·高三专题练习)已知()f x 是定义域为R 的奇函数,满足(2)()f x f x -=,若(1)2f =,则(1)(2)(3)(2022)f f f f ++++=( )A .2B .2022-C .0D .2022例28.(2023·全国·高三专题练习)已知函数()f x ,()g x 的定义域均为R ,且()()25f x g x +-=,()()49g x f x --=,若y g x 的图象关于直线2x =对称,()24g =,则()221k f k ==∑( )A .47-B .48-C .23-D .24-例29.(2023·全国·高三专题练习)已知()f x 为偶函数,且()1f x +为奇函数,若()00f =,则( )A .()30f =B .()()35f f =C .()()31f x f x +=-D .()()211f x f x +++=例30.(2023·全国·高三专题练习)若函数()2,0,(1)(2),0,x x f x f x f x x -⎧≤=⎨--->⎩则()2023f =________.第六天学习及训练三、题型模拟演练 一、单选题1.(2022·全国·高三专题练习)函数11()f x x=,211()()f x x f x =+,…,11()()n n f x x f x +=+,…,则函数2018()f x 是( ) A .奇函数但不是偶函数 B .偶函数但不是奇函数 C .既是奇函数又是偶函数D .既不是奇函数又不是偶函数2.(2022·全国·高三专题练习)已知函数()f x ,()g x 的定义域均为R ,若()12f x -为奇函数,()12g x +为偶函数,则( ) A .()()f x g x +的图象关于直线1x =对称 B .()()f x g x +的图象关于直线1x =对称 C .()()f x g x -的图象关于点()1,0对称 D .()()f x g x -的图象关于点()1,0对称3.(2022·海南昌茂花园学校高三阶段练习)已知函数()f x 是定义在R 上的偶函数,且在(],0-∞上是单调递增的,设()2log 4a f =,()1b f =-,23c f ⎛⎫=⎪⎝⎭,则a ,b ,c 的大小关系为( ) A .c b a <<B .c b a >>C .b<c<aD .c a b >>4.(2022·陕西·咸阳市高新一中高一期中)定义在R 上的函数()f x 满足1(2)()f x f x +=-,且当(2,0)x ∈-时,2()(3)f x x x =-,则(103)f 等于( ) A .2B .12-C .2-D .45.(2022·陕西咸阳中学高三阶段练习(理))设奇函数 ()f x 在()0∞+,上单调递增,且(4)0f =,则不等式()()0f x f x x--<的解集是( )A .{04}x x <<∣B .{4xx <-∣或4}x > C .{4}xx >∣ D .{40xx -<<∣或04}x <<6.(2023·甘肃·模拟预测(理))设函数()()21ln 11f x x x =+-+,则使得()()21f x f x >-成立的x 的取值范围是( ) A .1,13⎛⎫ ⎪⎝⎭B .()1,1,3⎛⎫-∞⋃+∞ ⎪⎝⎭C .11,33⎛⎫- ⎪⎝⎭D .11,,33⎛⎫⎛⎫-∞-+∞ ⎪ ⎪⎝⎭⎝⎭7.(2022·江苏·句容碧桂园学校高三期中)设函数()f x 定义域为R ,()1f x -为奇函数,()1f x +为偶函数,当(]1,1x ∈-时,()21f x x =-+,则下列结论错误的是( )A .7324f ⎛⎫=- ⎪⎝⎭B .()7f x +为奇函数C .()f x 在()6,8上是减函数D .方程()lg 0f x x +=仅有6个实数解二、多选题8.(2022·河北沧州·高三阶段练习)函数()()1||x f x x αα=∈-R 的大致图象可能是( ) A . B .C .D .三、填空题9.(2022·辽宁葫芦岛·高三阶段练习)定义在R 上的偶函数()f x 满足()()40f x f x +-=,写出()f x 的一个正周期:______.四、解答题10.(2022·河南·偃师市缑第四中学高三阶段练习(文))已知()f x 是定义在R 上的偶函数,且0x ≤时,12()=log (+1)f x x - .(1)求()0f ,()1f ;(2)若()11f a -<- ,求实数a 的取值范围.11.(2022·陕西·蒲城县蒲城中学高三阶段练习(理))已知函数()221x x a f x +=+是奇函数.(1)求a 的值;(2)已知()()2212f m f m -<-,求m 的取值范围.。
函数的奇偶性的判断及其应用【高考地位】函数的奇偶性是函数的一个重要性质,几乎是每年必考的内容,例如判断和证明函数的奇偶性,利用函数的奇偶性解决实际问题.类型一 函数奇偶性的判断万能模板 内 容使用场景 一般函数类型解题模板第一步 确定函数的定义域;第二步 判断其定义域是否关于原点对称;第三步 若是,则确定()f x 与()f x -的关系;若不是,则既不是奇函数也不是偶函数; 第四步 得出结论.例1 判断下列函数的奇偶性:(1) 22()99f x x x =--(2) 1()(1)1x f x x x -=++(3)24()33x f x x -=+-.【解析】(1)第一步,确定函数的定义域:由不等式⎪⎩⎪⎨⎧≥-≥-090922x x 得3±=x ,所以函数的定义域为{}33,- 第二步,判断其定义域是否关于原点对称:因为函数的定义域为{}33,-,所以定义域关于原点对称 第三步,若是,则确定()f x 与()f x -的关系;若不是,则既不是奇函数也不是偶函数;()()()()x f x x x x x f =-+-=--+--=-99992222第四步,得出结论. 所以函数为偶函数。
(2)第一步,确定函数的定义域: 由不等式011≥+-xx得11≤<-x ,所以函数的定义域为(]11,- 第二步,判断其定义域是否关于原点对称:因为函数的定义域为(]11,-,所以定义域不关于原点对称第三步,得出结论.所以函数既不是奇函数也不是偶函数;。
(3)第一步,确定函数的定义域:由不等式⎪⎩⎪⎨⎧≠-+≥-033042x x 得02<≤-x 或20≤<x ,所以函数的定义域为[)⋃-02,或(]20, 第二步,判断其定义域是否关于原点对称:因为函数的定义域为[)⋃-02,或(]20,,所以定义域关于原点对称 第三步,若是,则确定()f x 与()f x -的关系;若不是,则既不是奇函数也不是偶函数;()()()x f xx x x x f -=--=---=-2244第四步,得出结论. 所以函数为奇函数。
第3节 函数的基本性质:奇偶性知识点一 函数奇偶性 1.奇偶性的几何特征一般地,图象关于y 轴对称的函数称为偶函数,图象关于原点对称的函数称为奇函数. 2.函数奇偶性的定义(1)偶函数:函数f (x )的定义域为I ,如果∀x ∈I ,都有-x ∈I ,且f (-x )=f (x ),那么函数f (x )就叫做偶函数.(2)奇函数:函数f (x )的定义域为I ,如果∀x ∈I ,都有-x ∈I ,且f (-x )=-f (x ),那么函数f (x )就叫做奇函数.3.奇(偶)函数的定义域特征:奇(偶)函数的定义域关于原点对称.题型一、函数奇偶性的判断 例1 判断下列函数的奇偶性.(1)f (x )=1x ;(2)f (x )=x 2(x 2+2);(3)f (x )=xx -1;(4)f (x )=x 2-1+1-x 2.解 (1)f (x )=1x 的定义域为(-∞,0)∪(0,+∞),∵f (-x )=1-x=-1x =-f (x ),∴f (x )=1x 是奇函数.(2)f (x )=x 2(x 2+2)的定义域为R .∵f (-x )=f (x ),∴f (x )=x 2(x 2+2)是偶函数. (3)f (x )=xx -1的定义域为(-∞,1)∪(1,+∞), ∵定义域不关于原点对称,∴f (x )=xx -1既不是奇函数,也不是偶函数.(4)f (x )=x 2-1+1-x 2的定义域为{-1,1}.∵f (-x )=f (x )=-f (x )=0,∴f (x )=x 2-1+1-x 2既为奇函数,又为偶函数. 反思感悟 判断函数奇偶性的方法(1)定义法:①定义域关于原点对称;②确定f (-x )与f (x )的关系. (2)图象法.跟踪训练1 判断下列函数的奇偶性.(1)f (x )=x ;(2)f (x )=1-x 2x ;(3)f (x )=⎩⎪⎨⎪⎧x 2+x ,x >0,x 2-x ,x <0.解(1)函数f(x)的定义域为[0,+∞),不关于原点对称,所以f(x)=x是非奇非偶函数.(2)f(x)的定义域为[-1,0)∪(0,1],关于原点对称.f(-x)=1-x2-x=-f(x),所以f(x)为奇函数.(3)f(x)的定义域为(-∞,0)∪(0,+∞),关于原点对称,当x>0时,-x<0,则f(-x)=(-x)2-(-x)=x2+x=f(x);当x<0时,-x>0,则f(-x)=(-x)2+(-x)=x2-x=f(x),所以f(x)是偶函数.题型二、奇、偶函数图象的应用例2定义在R上的奇函数f(x)在[0,+∞)上的图象如图所示.(1)画出f(x)的图象;(2)解不等式xf(x)>0.解(1)先描出(1,1),(2,0)关于原点的对称点(-1,-1),(-2,0),连线可得f(x)的图象如图.(2)xf(x)>0即图象上横坐标、纵坐标同号.结合图象可知,xf(x)>0的解集是(-2,0)∪(0,2).延伸探究把本例中的“奇函数”改为“偶函数”,重做该题.解(1)f(x)的图象如图所示:(2)xf(x)>0的解集是(-∞,-2)∪(0,2).反思感悟可以用奇(偶)函数图象关于原点(y轴)对称这一特性去画图,求值,解不等式等.跟踪训练2已知奇函数f(x)的定义域为[-5,5],且在区间[0,5]上的图象如图所示.(1)画出在区间[-5,0]上的图象;(2)写出使f(x)<0的x的取值集合.解(1)如图,在[0,5]上的图象上选取5个关键点O,A,B,C,D.分别描出它们关于原点的对称点O ′,A ′,B ′,C ′,D ′, 再用光滑曲线连接即得.(2)由(1)图可知,当且仅当x ∈(-2,0)∪(2,5)时,f (x )<0. ∴使f (x )<0的x 的取值集合为{x |-2<x <0或2<x <5}. 题型三、利用函数的奇偶性求参数值例3 (1)若函数f (x )=ax 2+bx +3a +b 是偶函数,定义域为[a -1,2a ],则a =________,b =________.解析 因为偶函数的定义域关于原点对称,所以a -1=-2a ,解得a =13.又函数f (x )=13x 2+bx +b +1为二次函数,结合偶函数图象的特点,易得b =0.(2)已知函数f (x )=ax 2+2x 是奇函数,则实数a =________.解析 由奇函数定义有f (-x )+f (x )=0,得a (-x )2+2(-x )+ax 2+2x =2ax 2=0,故a =0. 反思感悟 利用奇偶性求参数的常见类型(1)定义域含参数:奇偶函数f (x )的定义域为[a ,b ],根据定义域关于原点对称,利用a +b =0求参数.(2)解析式含参数:根据f (-x )=-f (x )或f (-x )=f (x )列式,比较系数利用待定系数法求解. 跟踪训练3 (1)若函数f (x )=x 2-|x +a |为偶函数,则实数a =________. 解析 方法一 显然x ∈R ,由已知得f (-x )=(-x )2-|-x +a |=x 2-|x -a |. 又f (x )为偶函数,所以f (x )=f (-x ),即x 2-|x +a |=x 2-|x -a |, 即|x +a |=|x -a |.又x ∈R ,所以a =0.方法二 由题意知f (-1)=f (1),则|a -1|=|a +1|,解得a =0.(2)已知函数f (x )是奇函数,当x ∈(-∞,0)时,f (x )=x 2+mx .若f (2)=-3,则m 的值为________. 解析 ∵f (-2)=-f (2)=3,∴f (-2)=(-2)2-2m =3,∴m =12.知识点二 奇偶性与单调性若函数f (x )为奇函数,则f (x )在关于原点对称的两个区间[a ,b ]和[-b ,-a ]上具有相同的单调性;若函数f (x )为偶函数,则f (x )在关于原点对称的两个区间[a ,b ]和[-b ,-a ]上具有相反的单调性.题型一、利用奇偶性求解析式 命题角度1 求对称区间上的解析式例1 函数f (x )是定义域为R 的奇函数,当x >0时,f (x )=-x +1,求当x <0时,f (x )的解析式. 解 设x <0,则-x >0,∴f (-x )=-(-x )+1=x +1,又∵函数f (x )是定义域为R 的奇函数,∴当x <0时,f (x )=-f (-x )=-x -1.反思感悟 求给定哪个区间的解析式就设这个区间上的变量为x ,然后把x 转化为-x ,此时-x 成为了已知区间上的解析式中的变量,通过应用奇函数或偶函数的定义,适当推导,即可得所求区间上的解析式.跟踪训练1已知f (x )是R 上的奇函数,且当x ∈(0,+∞)时,f (x )=x (1+x ),求f (x )的解析式. 解 因为x ∈(-∞,0)时,-x ∈(0,+∞),所以f (-x )=-x [1+(-x )]=x (x -1). 因为f (x )是R 上的奇函数,所以f (x )=-f (-x )=-x (x -1),x ∈(-∞,0).f (0)=0.所以f (x )=⎩⎪⎨⎪⎧x (1+x ),x ≥0,-x (x -1),x <0.命题角度2 构造方程组求解析式例2 设f (x )是偶函数,g (x )是奇函数,且f (x )+g (x )=1x -1,求函数f (x ),g (x )的解析式.解 ∵f (x )是偶函数,g (x )是奇函数,∴f (-x )=f (x ),g (-x )=-g (x ), 由f (x )+g (x )=1x -1.①,用-x 代替x ,得f (-x )+g (-x )=1-x -1,∴f (x )-g (x )=1-x -1,② (①+②)÷2,得f (x )=1x 2-1;(①-②)÷2,得g (x )=xx 2-1.反思感悟 f (x )+g (x )=1x -1对定义域内任意x 都成立,所以可以对x 任意赋值,如x =-x .利用f (x ),g (x )一奇一偶,把-x 的负号或提或消,最终得到关于f (x ),g (x )的二元方程组,从中解出f (x )和g (x ).跟踪训练2设f (x )是偶函数,g (x )是奇函数,且f (x )+g (x )=x 2+2x ,求函数f (x ),g (x )的解析式. 解 ∵f (x )是偶函数,g (x )是奇函数,∴f (-x )=f (x ),g (-x )=-g (x ), 由f (x )+g (x )=2x +x 2.①用-x 代替x ,得f (-x )+g (-x )=-2x +(-x )2,∴f(x)-g(x)=-2x+x2,②(①+②)÷2,得f(x)=x2;(①-②)÷2,得g(x)=2x.题型二、利用函数的奇偶性与单调性比较大小例3设偶函数f(x)的定义域为R,当x∈[0,+∞)时,f(x)是增函数,则f(-2),f(π),f(-3)的大小关系是()A.f(π)>f(-3)>f(-2) B.f(π)>f(-2)>f(-3)C.f(π)<f(-3)<f(-2) D.f(π)<f(-2)<f(-3)解析因为函数f(x)为R上的偶函数,所以f(-3)=f(3),f(-2)=f(2).又当x∈[0,+∞)时,f(x)是增函数,且π>3>2,所以f(π)>f(3)>f(2),故f(π)>f(-3)>f(-2).反思感悟利用函数的奇偶性与单调性比较大小(1)自变量在同一单调区间上,直接利用函数的单调性比较大小;(2)自变量不在同一单调区间上,需利用函数的奇偶性把自变量转化到同一单调区间上,然后利用单调性比较大小.跟踪训练3(1)已知偶函数f(x)在[0,+∞)上单调递减,则f(1)和f(-10)的大小关系为() A.f(1)>f(-10) B.f(1)<f(-10)C.f(1)=f(-10) D.f(1)和f(-10)关系不定答案A解析∵f(x)是偶函数,且在[0,+∞)上单调递减,∴f(-10)=f(10)<f(1).(2)定义在R上的奇函数f(x)为增函数,偶函数g(x)在区间[0,+∞)上的图象与f(x)的图象重合,设a>b>0,下列不等式中成立的有________.(填序号)①f(a)>f(-b);②f(-a)>f(b);③g(a)>g(-b);④g(-a)<g(b);⑤g(-a)>f(-a).解析f(x)为R上奇函数,增函数,且a>b>0,∴f(a)>f(b)>f(0)=0,又-a<-b<0,∴f(-a)<f(-b)<f(0)=0,∴f(a)>f(b)>0>f(-b)>f(-a),∴①正确,②错误.x∈[0,+∞)时,g(x)=f(x),∴g(x)在[0,+∞)上单调递增,∴g(-a)=g(a)>g(b)=g(-b),∴③正确,④错误.又g(-a)=g(a)=f(a)>f(-a),∴⑤正确.题型三、利用函数的奇偶性与单调性解不等式例4(1)已知f(x)是定义在R上的偶函数,且在区间(-∞,0)上是增函数.若f(-3)=0,则f(x)x<0的解集为________.解析∵f(x)是定义在R上的偶函数,且在区间(-∞,0)上是增函数,∴f(x)在区间(0,+∞)上是减函数.∴f(3)=f(-3)=0.当x>0时,由f(x)<0,解得x>3;当x<0时,由f(x)>0,解得-3<x<0.故所求解集为{x |-3<x <0或x >3}.(2)已知偶函数f (x )在区间[0,+∞)上单调递增,则满足f (2x -1)<f ⎝⎛⎭⎫13的x 的取值范围为( ) A.⎝⎛⎭⎫13,23 B.⎣⎡⎭⎫13,23C.⎝⎛⎭⎫12,23 D.⎣⎡⎭⎫12,23 解析 由于f (x )为偶函数,且在[0,+∞)上单调递增,则不等式f (2x -1)<f ⎝⎛⎭⎫13, 即-13<2x -1<13,解得13<x <23.反思感悟 利用函数奇偶性与单调性解不等式,一般有两类 (1)利用图象解不等式; (2)转化为简单不等式求解.①利用已知条件,结合函数的奇偶性,把已知不等式转化为f (x 1)<f (x 2)或f (x 1)>f (x 2)的形式; ②根据奇函数在对称区间上的单调性一致,偶函数在对称区间上的单调性相反,脱掉不等式中的“f ”转化为简单不等式(组)求解.跟踪训练4 设定义在[-2,2]上的奇函数f (x )在区间[0,2]上是减函数,若f (1-m )<f (m ),求实数m 的取值范围.解 因为f (x )是奇函数且f (x )在[0,2]上是减函数,f (x )在[-2,2]上是减函数. 所以不等式f (1-m )<f (m )等价于⎩⎪⎨⎪⎧1-m >m ,-2≤m ≤2,-2≤1-m ≤2,解得-1≤m <12.1.下列函数中奇函数的个数为( ) ①f (x )=x 3; ②f (x )=x 5; ③f (x )=x +1x;④f (x )=1x2.A .1B .2C .3D .4 答案 C2.已知f (x )是定义在R 上的奇函数,f (-3)=2,则下列各点中一定在函数f (x )的图象上的是( )A .(3,-2)B .(3,2)C .(-3,-2)D .(2,-3) 答案 A解析 f (-3)=2即点(-3,2)在奇函数的图象上, ∴(-3,2)关于原点的对称点(3,-2)必在f (x )的图象上.3.设f (x )是定义在R 上的一个函数,则函数F (x )=f (x )-f (-x )在R 上一定( ) A .是奇函数 B .是偶函数C .既是奇函数又是偶函数D .既不是奇函数又不是偶函数 答案 A解析 F (-x )=f (-x )-f (x )=-[f (x )-f (-x )]=-F (x ). ∴F (x )为奇函数4.若f (x )=3x 3+5x +a -1为奇函数,则a 的值为( ) A .0 B .-1 C .1 D .2 答案 C解析 ∵f (x )为R 上的奇函数, ∴f (0)=0得a =1.5.如图,给出奇函数y =f (x )的局部图象,则f (-2)+f (-1)的值为( )A .-2B .2C .1D .0答案 A解析 f (-2)+f (-1)=-f (2)-f (1) =-32-12=-2.6.若f (x )=(x +a )(x -4)为偶函数,则实数a =________. 答案 4解析 f (x )=x 2+(a -4)x -4a 是偶函数,∴a =4.7.已知y =f (x )是奇函数,当x <0时,f (x )=x 2+ax ,且f (3)=6,则a 的值为________. 答案 5解析 因为f (x )是奇函数, 所以f (-3)=-f (3)=-6,所以(-3)2+a (-3)=-6,解得a =5.8.若f (x )为R 上的奇函数,给出下列四个说法: ①f (x )+f (-x )=0; ②f (x )-f (-x )=2f (x );③f(x)·f(-x)<0;④f(x)f(-x)=-1.其中一定正确的为________.(填序号)答案①②解析∵f(x)在R上为奇函数,∴f(-x)=-f(x).∴f(x)+f(-x)=f(x)-f(x)=0,故①正确.f(x)-f(-x)=f(x)+f(x)=2f(x),故②正确.当x=0时,f(x)·f(-x)=0,故③不正确.当x=0时,f(x)f(-x)分母为0,无意义,故④不正确.9.判断下列函数的奇偶性:(1)f(x)=x3+x5;(2)f(x)=|x+1|+|x-1|;(3)f(x)=2x2+2x x+1.考点函数的奇偶性判定与证明题点判断简单函数的奇偶性解(1)函数的定义域为R.∵f(-x)=(-x)3+(-x)5=-(x3+x5)=-f(x),∴f(x)是奇函数.(2)f(x)的定义域是R.∵f(-x)=|-x+1|+|-x-1|=|x-1|+|x+1|=f(x),∴f(x)是偶函数.(3)函数f(x)的定义域是(-∞,-1)∪(-1,+∞),不关于原点对称,∴f(x)是非奇非偶函数.10.(1)如图①,给出奇函数y=f(x)的局部图象,试作出y轴右侧的图象并求出f(3)的值.(2)如图②,给出偶函数y=f(x)的局部图象,试作出y轴右侧的图象并比较f(1)与f(3)的大小.解(1)由奇函数的性质可作出它在y轴右侧的图象,图③为补充后的图象.易知f(3)=-2.(2)由偶函数的性质可作出它在y 轴右侧的图象,图④为补充后的图象,易知f (1)>f (3).11.下列函数中,既是偶函数又在(0,+∞)上单调递增的函数是( ) A .y =x 3 B .y =|x |+1 C .y =-x 2+1 D .y =-2x答案 B解析 对于函数y =|x |+1,f (-x )=|-x |+1=|x |+1=f (x ), 所以y =|x |+1是偶函数,当x >0时,y =x +1, 所以在(0,+∞)上单调递增.另外,函数y =x 3不是偶函数,y =-x 2+1在(0,+∞)上单调递减,y =-2x 不是偶函数.故选B.12.设函数f (x )和g (x )分别是R 上的偶函数和奇函数,则下列结论恒成立的是( ) A .f (x )+|g (x )|是偶函数 B .f (x )-|g (x )|是奇函数 C .|f (x )|+g (x )是偶函数 D .|f (x )|-g (x )是奇函数 考点 函数的奇偶性判定与证明 题点 判断抽象函数的奇偶性 答案 A解析 由f (x )是偶函数,可得f (-x )=f (x ), 由g (x )是奇函数可得g (-x )=-g (x ), 故|g (x )|为偶函数, ∴f (x )+|g (x )|为偶函数.13.函数f (x )=4-x 22-|x +2|的定义域为________,为______函数(填“奇”或“偶”).答案 [-2,0)∪(0,2] 奇解析 依题意有⎩⎪⎨⎪⎧4-x 2≥0,2-|x +2|≠0,解得-2≤x ≤2且x ≠0, ∴f (x )的定义域为[-2,0)∪(0,2].∵f (x )=4-x 22-|x +2|=4-x 2-x=-4-x 2x ,定义域关于原点对称,∴f (-x )=4-x 2x =-f (x ),∴f (x )为奇函数.14.函数f (x )=ax 3+bx +cx +5满足f (-3)=2,则f (3)的值为________.答案 8解析 设g (x )=f (x )-5=ax 3+bx +cx (x ≠0),∵g (-x )=-ax 3-bx -cx =-g (x ),∴g (x )是奇函数,∴g (3)=-g (-3)=-[f (-3)-5] =-f (-3)+5=-2+5=3, 又g (3)=f (3)-5=3, ∴f (3)=8.15.已知函数f (x )=x 2+x +1x 2+1,若f (a )=23,则f (-a )=________.考点 函数图象的对称性 题点 中心对称问题 答案 43解析 根据题意,f (x )=x 2+x +1x 2+1=1+x x 2+1,而h (x )=xx 2+1是奇函数,故f (-a )=1+h (-a )=1-h (a )=2-[1+h (a )]=2-f (a )=2-23=43.16.设函数f (x )=ax 2+1bx +c 是奇函数(a ,b ,c ∈Z ),且f (1)=2,f (2)<3,求a ,b ,c 的值.解 由条件知f (-x )+f (x )=0, ∴ax 2+1bx +c +ax 2+1c -bx =0,∴c =0. 又f (1)=2,∴a +1=2b .∵f (2)<3,∴4a +12b <3,∴4a +1a +1<3,解得-1<a <2,∴a =0或1. ∴b =12或1,由于b ∈Z ,∴a =1,b =1,c =0.1.设函数f (x )=⎩⎪⎨⎪⎧x 2+x ,x ≥0,g (x ),x <0,且f (x )为偶函数,则g (-2)等于( ) A .6 B .-6 C .2 D .-2考点 函数奇偶性的应用题点 利用奇偶性求函数的解析式答案 A解析 g (-2)=f (-2)=f (2)=22+2=6.2.如果奇函数f (x )在区间[-3,-1]上是增函数且有最大值5,那么函数f (x )在区间[1,3]上是( )A .增函数且最小值为-5B .增函数且最大值为-5C .减函数且最小值为-5D .减函数且最大值为-5答案 A解析 f (x )为奇函数,∴f (x )在[1,3]上的单调性与[-3,-1]上一致且f (1)为最小值, 又已知f (-1)=5,∴f (-1)=-f (1)=5,∴f (1)=-5,故选A.3.已知函数y =f (x )是R 上的偶函数,且f (x )在[0,+∞)上是减函数,若f (a )≥f (-2),则a 的取值范围是( )A .a ≤-2B .a ≥2C .a ≤-2或a ≥2D .-2≤a ≤2答案 D解析 由f (a )≥f (-2)得f (|a |)≥f (2),∴|a |≤2,∴-2≤a ≤2.4.已知函数y =f (x )是偶函数,其图象与x 轴有4个交点,则方程f (x )=0的所有实根之和是( )A .4B .2C .1D .0答案 D解析 y =f (x )是偶函数,所以y =f (x )的图象关于y 轴对称,所以f (x )=0的所有实根之和为0.5.设f (x )是R 上的偶函数,且在(0,+∞)上是减函数,若x 1<0且x 1+x 2>0,则( )A .f (-x 1)>f (-x 2)B .f (-x 1)=f (-x 2)C.f(-x1)<f(-x2)D.f(-x1)与f(-x2)的大小不确定考点抽象函数单调性与奇偶性题点抽象函数单调性与不等式结合问题答案A解析∵x1<0,x1+x2>0,∴x2>-x1>0,又f(x)在(0,+∞)上是减函数,∴f(x2)<f(-x1),∵f(x)是偶函数,∴f(-x2)=f(x2)<f(-x1).6.设f(x)是定义在R上的奇函数,当x>0时,f(x)=x2+1,则f(-2)+f(0)=________.答案-5解析由题意知f(-2)=-f(2)=-(22+1)=-5,f(0)=0,∴f(-2)+f(0)=-5.7.已知奇函数f(x)在区间[0,+∞)上单调递增,则满足f(x)<f(1)的x的取值范围是________.考点抽象函数单调性与奇偶性题点抽象函数单调性与不等式结合问题答案(-∞,1)解析由于f(x)在[0,+∞)上单调递增,且是奇函数,所以f(x)在R上单调递增,f(x)<f(1)等价于x<1.8.若f(x)=(m-1)x2+6mx+2是偶函数,则f(0),f(1),f(-2)从小到大的排列是________.答案f(-2)<f(1)<f(0)解析∵f(x)是偶函数,∴f(-x)=f(x)恒成立,即(m-1)x2-6mx+2=(m-1)x2+6mx+2恒成立,∴m=0,即f(x)=-x2+2.∵f(x)的图象开口向下,对称轴为y轴,在[0,+∞)上单调递减,∴f(2)<f(1)<f(0),即f(-2)<f(1)<f(0).9.已知函数y=f(x)的图象关于原点对称,且当x>0时,f(x)=x2-2x+3.(1)试求f(x)在R上的解析式;(2)画出函数的图象,根据图象写出它的单调区间.考点 单调性与奇偶性的综合应用题点 求奇偶函数的单调区间解 (1)因为函数f (x )的图象关于原点对称,所以f (x )为奇函数,则f (0)=0.设x <0,则-x >0,因为当x >0时,f (x )=x 2-2x +3.所以当x <0时,f (x )=-f (-x )=-(x 2+2x +3)=-x 2-2x -3.于是有f (x )=⎩⎪⎨⎪⎧ x 2-2x +3,x >0,0,x =0,-x 2-2x -3,x <0.(2)先画出函数在y 轴右侧的图象,再根据对称性画出y 轴左侧的图象,如图.由图象可知函数f (x )的单调递增区间是(-∞,-1],[1,+∞),单调递减区间是(-1,0),(0,1).10.已知函数f (x )=ax +b x +c (a ,b ,c 是常数)是奇函数,且满足f (1)=52,f (2)=174. (1)求a ,b ,c 的值;(2)试判断函数f (x )在区间⎝⎛⎭⎫0,12上的单调性并证明. 考点 单调性与奇偶性的综合应用题点 判断或证明奇偶函数在某区间上的单调性解 (1)∵f (x )为奇函数,∴f (-x )=-f (x ),∴-ax -b x +c =-ax -b x-c , ∴c =0,∴f (x )=ax +b x. 又∵f (1)=52,f (2)=174, ∴⎩⎨⎧ a +b =52,2a +b 2=174.∴a =2,b =12.综上,a =2,b =12,c =0.(2)由(1)可知f (x )=2x +12x .函数f (x )在区间⎝⎛⎭⎫0,12上为减函数.证明如下:任取0<x 1<x 2<12,则f (x 1)-f (x 2)=2x 1+12x 1-2x 2-12x 2=(x 1-x 2)⎝⎛⎭⎫2-12x 1x 2=(x 1-x 2)4x 1x 2-12x 1x 2.∵0<x 1<x 2<12,∴x 1-x 2<0,2x 1x 2>0,4x 1x 2-1<0.∴f (x 1)-f (x 2)>0,即f (x 1)>f (x 2).∴f (x )在⎝⎛⎭⎫0,12上为减函数.11.设奇函数f (x )在(0,+∞)上为减函数,且f (1)=0,则不等式f (x )-f (-x )x <0的解集为() A .(-1,0)∪(1,+∞)B .(-∞,-1)∪(0,1)C .(-∞,-1)∪(1,+∞)D .(-1,0)∪(0,1)答案 C解析 ∵f (x )为奇函数,f (x )-f (-x )x <0,即f (x )x <0,∵f (x )在(0,+∞)上为减函数且f (1)=0,∴当x >1时,f (x )<0.∵奇函数图象关于原点对称,∴在(-∞,0)上f (x )为减函数且f (-1)=0,即x <-1时,f (x )>0.综上使f (x )x<0的解集为(-∞,-1)∪(1,+∞). 12.已知f (x +y )=f (x )+f (y )对任意实数x ,y 都成立,则函数f (x )是( )A .奇函数B .偶函数C .既是奇函数,也是偶函数D .既不是奇函数,也不是偶函数答案 A解析 令x =y =0,所以f (0)=f (0)+f (0),所以f (0)=0.又因为f (x -x )=f (x )+f (-x )=0,所以f (-x )=-f (x ),所以f (x )是奇函数,故选A.13.已知y =f (x )+x 2是奇函数且f (1)=1,若g (x )=f (x )+2,则g (-1)=________. 考点 函数奇偶性的应用题点 利用奇偶性求函数值答案 -1解析 ∵y =f (x )+x 2是奇函数,∴f (-x )+(-x )2=-[f (x )+x 2],∴f (x )+f (-x )+2x 2=0,∴f (1)+f (-1)+2=0.∵f (1)=1,∴f (-1)=-3.∵g (x )=f (x )+2,∴g (-1)=f (-1)+2=-3+2=-1.14.已知定义在R 上的函数f (x )满足f (1-x )=f (1+x ),且f (x )在[1,+∞)上为单调减函数,则当x =________时,f (x )取得最大值;若不等式f (0)<f (m )成立,则m 的取值范围是________. 答案 1 (0,2)解析 由f (1-x )=f (1+x )知,f (x )的图象关于直线x =1对称,又f (x )在(1,+∞)上单调递减,则f (x )在(-∞,1]上单调递增,所以当x =1时f (x )取到最大值.由对称性可知f (0)=f (2),所以f (0)<f (m ),得0<m <2,即m 的取值范围为(0,2).15.已知f (x ),g (x )分别是定义在R 上的偶函数和奇函数,且f (x )-g (x )=x 3+x 2+1,则f (1)+g (1)等于( )A .-3B .-1C .1D .3考点 函数奇偶性的应用题点 利用奇偶性求函数的解析式答案 C解析 ∵f (x )-g (x )=x 3+x 2+1,∴f (-x )-g (-x )=-x 3+x 2+1.∵f (x )是偶函数,g (x )是奇函数,∴f (-x )=f (x ),g (-x )=-g (x ).∴f (x )+g (x )=-x 3+x 2+1.∴f (1)+g (1)=-1+1+1=1.16.设f (x )是定义在R 上的奇函数,且对任意a ,b ∈R ,当a +b ≠0时,都有f (a )+f (b )a +b>0. (1)若a >b ,试比较f (a )与f (b )的大小关系;(2)若f (1+m )+f (3-2m )≥0,求实数m 的取值范围.解 (1)因为a >b ,所以a -b >0,由题意得f (a )+f (-b )a -b>0, 所以f (a )+f (-b )>0.又f (x )是定义在R 上的奇函数,所以f (-b )=-f (b ),所以f (a )-f (b )>0,即f (a )>f (b ).(2)由(1)知f (x )为R 上的单调递增函数,因为f (1+m )+f (3-2m )≥0,所以f (1+m )≥-f (3-2m ),即f (1+m )≥f (2m -3),所以1+m ≥2m -3,所以m ≤4.所以实数m 的取值范围为(-∞,4].。
专题04 常见不等式的解法所谓常见不等式是指,一元二次不等式、含绝对值不等式、指数对数不等式、函数不等式等,高考中独立考查的同时,更多地是在对其他知识的考查中,作为工具进行考查.正是解不等式的这一基础地位,要求务必做到求解快捷、准确.【重点知识回眸】(一)常见不等式的代数解法1、一元二次不等式:()200ax bx c a ++>≠可考虑将左边视为一个二次函数()2f x ax bx c =++,作出图象,再找出x 轴上方的部分即可——关键点:图象与x 轴的交点2、高次不等式(1)可考虑采用“数轴穿根法”,分为以下步骤:(令关于x 的表达式为()f x ,不等式为()0f x >)①求出()0f x =的根12,,x x ② 在数轴上依次标出根③ 从数轴的右上方开始,从右向左画.如同穿针引线穿过每一个根④ 观察图象,()0f x >⇒ 寻找x 轴上方的部分()0f x <⇒ 寻找x 轴下方的部分(2)高次不等式中的偶次项,由于其非负性在解不等式过程中可以忽略,但是要验证偶次项为零时是否符合不等式3、分式不等式(1)将分母含有x 的表达式称为分式,即为()()f xg x 的形式 (2)分式若成立,则必须满足分母不为零,即()0g x ≠(3)对形如()()0f x g x >的不等式,可根据符号特征得到只需()(),f x g x 同号即可,所以将分式不等式转化为()()()00f xg x g x ⋅>⎧⎪⎨≠⎪⎩ (化商为积),进而转化为整式不等式求解4、含有绝对值的不等式(1)绝对值的属性:非负性(2)式子中含有绝对值,通常的处理方法有两种:一是通过对绝对值内部符号进行分类讨论(常用);二是通过平方(3)若不等式满足以下特点,可直接利用公式进行变形求解:① ()()f x g x >的解集与()()f x g x >或()()f x g x <-的解集相同② ()()f x g x <的解集与()()()g x f x g x -<<的解集相同(4)对于其它含绝对值的问题,则要具体问题具体分析,通常可用的手段就是先利用分类讨论去掉绝对值,将其转化为整式不等式,再做处理5、指数、对数不等式的解法:(1)利用函数的单调性:1a >时,x y > log log (,0)x ya a a a x y x y ⇔>⇔>>01a <<时,x y > log log (,0)x y a a a a x y x y ⇔<⇔<>(2)对于对数的两点补充:① 对数能够成立,要求真数大于0,所以在解对数不等式时首先要考虑真数大于0这个条件,如当1a >时,()()()()()()0log log 0a a f x f x g x g x f x g x >⎧⎪>⇒>⎨⎪>⎩② 如何将常数转化为某个底的对数.可活用“1”:因为1log a a =,可作为转换的桥梁6、利用换元法解不等式利用换元法解不等式的步骤通常为:①选择合适的对象进行换元:观察不等式中是否有相同的结构,则可将相同的结构视为一个整体 ②求出新元的初始范围,并将原不等式转化为新变量的不等式③解出新元的范围④在根据新元的范围解x 的范围(二)构造函数解不等式1、函数单调性的作用:()f x 在[],a b 单调递增,则[]()()121212,,,x x a b x x f x f x ∀∈<⇔<(在单调区间内,单调性是自变量大小关系与函数值大小关系的桥梁)2、假设()f x 在[],a b 上连续且单调递增,()()00,,0x a b f x ∃∈=,则()0,x a x ∈时,()0f x <;()0,x x b ∈时,()0f x > (单调性与零点配合可确定零点左右点的函数值的符号)3、导数运算法则:(1)()()()()()()()'''f x g x fx g x f x g x =+ (2)()()()()()()()'''2f x f x g x f x g x g x g x ⎛⎫-= ⎪⎝⎭4、构造函数解不等式的技巧:(1)此类问题往往条件比较零散,不易寻找入手点.所以处理这类问题要将条件与结论结合着分析.在草稿纸上列出条件能够提供什么,也列出要得出结论需要什么.两者对接通常可以确定入手点(2)在构造函数时要根据条件的特点进行猜想,例如出现轮流求导便猜有可能是具备乘除关系的函数.在构造时多进行试验与项的调整(3)此类问题处理的核心要素是单调性与零点,对称性与图象只是辅助手段.所以如果能够确定构造函数的单调性,猜出函数的零点.那么问题便易于解决了.(三)利用函数性质与图象解不等式:1、轴对称与单调性:此类问题的实质就是自变量与轴距离大小与其函数值大小的等价关系.通常可作草图帮助观察.例如:()f x 的对称轴为1x =,且在()1,+∞但增.则可以作出草图(不比关心单调增的情况是否符合()f x ,不会影响结论),得到:距离1x =越近,点的函数值越小.从而得到函数值与自变量的等价关系2、图象与不等式:如果所解不等式不便于用传统方法解决,通常的处理手段有两种,一类是如前文所说可构造一个函数,利用单调性与零点解不等式;另一类就是将不等式变形为两个函数的大小关系如()()f x g x <,其中()(),f x g x 的图象均可作出.再由()()f x g x <可知()f x 的图象在()g x 图象的下方.按图象找到符合条件的范围即可.【典型考题解析】热点一 简单不等式的解法【典例1】(2022·全国·高考真题)已知集合{}{}1,1,2,4,11A B x x =-=-≤,则A B =( )A .{1,2}-B .{1,2}C .{1,4}D .{1,4}-【答案】B【解析】【分析】求出集合B 后可求A B .【详解】{}|02B x x =≤≤,故{}1,2A B =,故选:B.【典例2】(2020·全国·高考真题(文))已知集合2{|340},{4,1,3,5}A x x x B =--<=-,则A B =( )A .{4,1}-B .{1,5}C .{3,5}D .{1,3}【答案】D【解析】【分析】首先解一元二次不等式求得集合A ,之后利用交集中元素的特征求得A B ,得到结果.【详解】由2340x x --<解得14x -<<,所以{}|14A x x =-<<,又因为{}4,1,3,5B =-,所以{}1,3A B =,故选:D.【典例3】(2017·上海·高考真题)不等式11x x ->的解集为________【答案】(,0)-∞【解析】【详解】由题意,不等式11x x ->,得111100x x x->⇒<⇒<,所以不等式的解集为(,0)-∞. 【典例4】(2020·江苏·高考真题)设x ∈R ,解不等式2|1|||4x x ++<. 【答案】2(2,)3- 【解析】【分析】根据绝对值定义化为三个方程组,解得结果【详解】1224x x x <-⎧⎨---<⎩或10224x x x -≤≤⎧⎨+-<⎩或0224x x x >⎧⎨++<⎩21x ∴-<<-或10x -≤≤或203x << 所以解集为:2(2,)3- 【典例5】解下列高次不等式:(1)()()()1230x x x --->(2)()()()21230x x x +--< 【答案】(1)()()1,23,+∞;(2)()()1,22,3-. 【解析】(1)解:()()()()123f x x x x =---则()0f x =的根1231,2,3x x x ===作图可得:12x << 或3x >∴不等式的解集为()()1,23,+∞(2)思路:可知()220x -≥,所以只要2x ≠,则()22x -恒正,所以考虑先将恒正恒负的因式去掉,只需解()()13020x x x +-<⎧⎨-≠⎩ ,可得13x -<<且2x ≠∴不等式的解集为()()1,22,3-【名师点睛】在解高次不等式时,穿根前可考虑先将恒正恒负的项去掉,在进行穿根即可.穿根法的原理:它的实质是利用图象帮助判断每个因式符号,进而决定整个式子的符号,图象中的数轴分为上下两个部分,上面为()0f x > 的部分,下方为()0f x <的部分.以例2(1)为例,当3x >时,每一个因式均大于0,从而整个()f x 的符号为正,即在数轴的上方(这也是为什么不管不等号方向如何,穿根时一定要从数轴右上方开始的原因,因为此时()f x 的符号一定为正),当经过3x = 时,()3x -由正变负,而其余的式子符号未变,所以()f x 的符号发生一次改变,在图象上的体现就是穿根下来,而后经过下一个根时,()f x 的符号再次发生改变,曲线也就跑到x 轴上方来了.所以图象的“穿根引线”的实质是()f x 在经历每一个根时,式子符号的交替变化.【规律方法】1.含绝对值的不等式要注意观察式子特点,选择更简便的方法2.零点分段法的好处在于,一段范围可将所有的绝对值一次性去掉,缺点在于需要进行分类讨论,对学生书写的规范和分类讨论习惯提出了要求,以及如何整理结果,这些细节部分均要做好,才能保证答案的正确性.3.引入函数,通过画出分段函数的图象,观察可得不等式的解.热点二 含参数不等式问题【典例6】(2022·浙江·高考真题)已知,a b ∈R ,若对任意,|||4||25|0x a x b x x ∈-+---≥R ,则( )A .1,3a b ≤≥B .1,3a b ≤≤C .1,3a b ≥≥D .1,3a b ≥≤ 【答案】D【解析】【分析】将问题转换为|||25||4|a x b x x -≥---,再结合画图求解.【详解】由题意有:对任意的x ∈R ,有|||25||4|a x b x x -≥---恒成立.设()||f x a x b =-,()51,2525439,421,4x x g x x x x x x x ⎧-≤⎪⎪⎪=---=-<<⎨⎪-≥⎪⎪⎩,即()f x 的图像恒在()g x 的上方(可重合),如下图所示:由图可知,3a ≥,13b ≤≤,或13a ≤<,3143b a ≤≤-≤,故选:D .【典例7】(2020·浙江·高考真题)已知a ,b ∈R 且ab ≠0,对于任意x ≥0 均有(x –a )(x–b )(x–2a–b )≥0,则( )A .a <0B .a >0C .b <0D .b >0【答案】C【解析】【分析】对a 分0a >与0a <两种情况讨论,结合三次函数的性质分析即可得到答案.【详解】因为0ab ≠,所以0a ≠且0b ≠,设()()()(2)f x x a x b x a b =----,则()f x 的零点为123,,2x a x b x a b ===+当0a >时,则23x x <,1>0x ,要使()0f x ≥,必有2a b a +=,且0b <,即=-b a ,且0b <,所以0b <;当0a <时,则23x x >,10x <,要使()0f x ≥,必有0b <.综上一定有0b <.故选:C【典例8】(2023·全国·高三专题练习)解关于x 的不等式()222R ax x ax a ≥-∈-.【答案】详见解析.【解析】【分析】分类讨论a ,求不等式的解集即可.【详解】原不等式变形为()2220ax a x +--≥.①当0a =时,1x ≤-;②当0a ≠时,不等式即为()()210ax x -+≥,当0a >时,x 2a≥或1x ≤-; 由于()221a a a+--=,于是 当20a -<<时,21x a≤≤-; 当2a =-时,1x =-;当2a <-时,21x a-≤≤. 综上,当0a =时,不等式的解集为(,1]-∞-;当0a >时,不等式的解集为2(,1][,)a-∞-⋃+∞; 当20a -<<时,不等式的解集为2,1a ⎡⎤-⎢⎥⎣⎦;当2a =-时,不等式的解集为{}1-;当2a <-时,不等式的解集为21,a ⎡⎤-⎢⎥⎣⎦. 【总结提升】关于含参数不等式,其基本处理方法就是“分类讨论”,讨论过程中应注意“不重不漏”.关于含参数的一元二次不等式问题:(1)当判别式Δ能写成一个式子的平方的形式时,可先求方程的两根,再讨论两根的大小,从而写出解集.(2)三个方面讨论:二次项系数的讨论,根有无的讨论,根大小的讨论.(3)含参数分类讨论问题最后要写综述.热点三 函数不等式问题【典例9】(2018·全国·高考真题(文))设函数()2010x x f x x -⎧≤=⎨>⎩,,,则满足()()12f x f x +<的x 的取值范围是( )A .(]1-∞-,B .()0+∞,C .()10-,D .()0-∞,【答案】D【解析】【分析】 分析:首先根据题中所给的函数解析式,将函数图像画出来,从图中可以发现若有()()12f x f x +<成立,一定会有2021x x x <⎧⎨<+⎩,从而求得结果. 详解:将函数()f x 的图像画出来,观察图像可知会有2021x x x <⎧⎨<+⎩,解得0x <,所以满足()()12f x f x +<的x 的取值范围是()0-∞,,故选D .【典例10】(2020·北京·高考真题)已知函数()21x f x x =--,则不等式()0f x >的解集是( ). A .(1,1)-B .(,1)(1,)-∞-+∞C .(0,1)D .(,0)(1,)-∞⋃+∞ 【答案】D【解析】【分析】作出函数2x y =和1y x =+的图象,观察图象可得结果.【详解】因为()21x f x x =--,所以()0f x >等价于21x x >+,在同一直角坐标系中作出2x y =和1y x =+的图象如图:两函数图象的交点坐标为(0,1),(1,2),不等式21x x >+的解为0x <或1x >.所以不等式()0f x >的解集为:()(),01,-∞⋃+∞. 故选:D.【典例11】(天津·高考真题(理))设函数f (x )=()212log ,0log ,0x xx x >⎧⎪⎨-<⎪⎩若()()f a f a >-,则实数a 的取值范围是( ) A .()()1,00,1-B .()(),11,-∞-+∞C .()()1,01,-⋃+∞D .()(),10,1-∞-⋃【答案】C【解析】【分析】由于a 的范围不确定,故应分0a >和0a <两种情况求解.【详解】当0a >时,0a -<,由()()f a f a >-得212log log a a>,所以22log 0a >,可得:1a >,当0a <时,0a ->,由()()f a f a >-得()()122log log a a ->-,所以()22log 0a -<,即01a <-<,即10a -<<,综上可知:10a -<<或1a >.故选:C【典例12】(2020·海南·高考真题)若定义在R 的奇函数f (x )在(,0)-∞单调递减,且f (2)=0,则满足(10)xf x -≥的x 的取值范围是( )A .[)1,1][3,-+∞B .3,1][,[01]--C .[1,0][1,)-⋃+∞D .[1,0][1,3]-⋃【答案】D【解析】【分析】首先根据函数奇偶性与单调性,得到函数()f x 在相应区间上的符号,再根据两个数的乘积大于等于零,分类转化为对应自变量不等式,最后求并集得结果.【详解】因为定义在R 上的奇函数()f x 在(,0)-∞上单调递减,且(2)0f =,所以()f x 在(0,)+∞上也是单调递减,且(2)0f -=,(0)0f =,所以当(,2)(0,2)x ∈-∞-⋃时,()0f x >,当(2,0)(2,)x ∈-+∞时,()0f x <,所以由(10)xf x -≥可得: 0210x x <⎧⎨-≤-≤⎩或0012x x >⎧⎨≤-≤⎩或0x = 解得10x -≤≤或13x ≤≤,所以满足(10)xf x -≥的x 的取值范围是[1,0][1,3]-⋃,故选:D.【典例13】(2023·全国·高三专题练习)设函数()f x '是奇函数()f x (x ∈R )的导函数,f (﹣1)=0,当x >0时,()()0xf x f x '->,则使得f (x )>0成立的x 的取值范围是( )A .(﹣∞,﹣1)∪(﹣1,0)B .(0,1)∪(1,+∞)C .(﹣∞,﹣1)∪(0,1)D .(﹣1,0)∪(1,+∞)【答案】D【解析】【分析】构造函数()()f x g x x =,求导结合题意可得()()f x g x x =的单调性与奇偶性,结合()10g -=求解即可 【详解】由题意设()()f x g x x=,则()()()2xf x f x g x x '-'= ∵当x >0时,有()()0xf x f x '->,∴当x >0时,()0g x '>,∴函数()()f x g x x=在(0,+∞)上为增函数, ∵函数f (x )是奇函数,∴g (﹣x )=g (x ),∴函数g (x )为定义域上的偶函数,g (x )在(﹣∞,0)上递减,由f (﹣1)=0得,g (﹣1)=0,∵不等式f (x )>0⇔x •g (x )>0,∴()()01x g x g >⎧⎨>⎩或()()01x g x g <⎧⎨<-⎩, 即有x >1或﹣1<x <0,∴使得f (x )>0成立的x 的取值范围是:(﹣1,0)∪(1,+∞),故选:D .【总结提升】关于函数不等式问题,处理方法往往从以下几方面考虑:(1)利用函数的奇偶性、单调性.(2)借助于函数的图象(数形结合法).(3)涉及抽象函数、导数问题,利用构造辅助函数法,构造函数时往往从两方面着手:①根据导函数的“形状”变换不等式“形状”;②若是选择题,可根据选项的共性归纳构造恰当的函数.【精选精练】一、单选题1.(2020·全国·高考真题(文))已知集合2{|340},{4,1,3,5}A x x x B =--<=-,则A B =( )A .{4,1}-B .{1,5}C .{3,5}D .{1,3}【答案】D【解析】【分析】首先解一元二次不等式求得集合A ,之后利用交集中元素的特征求得A B ,得到结果.【详解】由2340x x --<解得14x -<<,所以{}|14A x x =-<<,又因为{}4,1,3,5B =-,所以{}1,3A B =,故选:D.2.(2021·湖南·高考真题)不等式|21|3x -<的解集是( )A .{}2x x <B .{}1x x >-C .{}12x x -<<D .{1x x <-或}2x >【答案】C【解析】【分析】根据绝对值的几何意义去绝对值即可求解.【详解】由|21|3x -<可得:3213x -<-<,解得:12x -<<, 所以原不等式的解集为:{}12x x -<<,故选:C.3.(2021·广东·潮阳一中明光学校高三阶段练习)设集合{}11A x x =-≤≤,{}2log 1B x x =<,则A B =( )A .{}11x x -<≤B .{}11x x -<<C .{}01x x <≤D .{}01x x <<【答案】C【解析】【分析】根据对数函数定义域以及对数函数不等式求解集合B ,再进行交集运算即可.【详解】 由题意得,{}{}2log 102B x x x x =<=<<,所以{}|01A B x x ⋂=<≤,故选:C.4.(2022·江苏·南京市第一中学高三开学考试)已知集合{}230A x x x =-<,{}|33x B x =≥,则A B =( ) A .10,2⎛⎫⎪⎝⎭ B .1,32⎡⎫⎪⎢⎣⎭ C .(2 D .()1,3【答案】B【解析】【分析】求出集合A 、B ,再由交集的定义求解即可【详解】 集合{}{}23003A x x x x x =-<=<<,{}1332x B x x x ⎧⎫==≥⎨⎬⎩⎭, 则132A B x x ⎧⎫⋂=≤<⎨⎬⎩⎭.故选:B.5.(天津·高考真题(理))设x ∈R ,则“21x -<”是“220x x +->”的( )A .充分而不必要条件B .必要而不充分条件C .充要条件D .既不充分也不必要条件【答案】A【解析】【分析】求绝对值不等式、一元二次不等式的解集,根据解集的包含关系即可判断充分、必要关系.【详解】 由21x -<,可得13x <<,即x ∈(1,3);由22(1)(2)0x x x x +-=-+>,可得2x <-或1x >,即x ∈(,2)(1,)-∞-+∞;∴(1,3)是(,2)(1,)-∞-+∞的真子集,故“21x -<”是“220x x +->”的充分而不必要条件.故选:A6.(2023·全国·高三专题练习)已知函数f (x )=x 2+ax +b (a ,b ∈R )的值域为[0,+∞),若关于x 的不等式f (x )<c 的解集为(m ,m +6),则实数c 的值为( )A .4B .3C .9D .94【答案】C【解析】【分析】根据函数的值域求出a 与b 的关系,然后根据不等式的解集可得()f x c =的两个根为,6m m +,最后利用根与系数的关系建立等式,解之即可.【详解】∵函数f (x )=x 2+ax +b (a ,b ∈R )的值域为[0,+∞),∴f (x )=x 2+ax +b =0只有一个根,即Δ=a 2﹣4b =0则b 24a =, 不等式f (x )<c 的解集为(m ,m +6),即为x 2+ax 24a +<c 解集为(m ,m +6), 则x 2+ax 24a +-c =0的两个根为m ,m +6 ∴|m +6﹣m |22444a a c c ⎛⎫=-- ⎪⎝⎭6 解得c =9故选:C .7.(2022·吉林·长春市第二实验中学高三阶段练习)已知函数()y f x =是奇函数,当0x >时,()22x f x =-,则不等式()0f x >的解集是( )A .()()1,00,1-B .()()1,01,-⋃+∞C .()(),10,1-∞-⋃D .()(),11,-∞-⋃+∞ 【答案】B【解析】【分析】根据函数为奇函数求出当0x <时,函数()f x 的函数解析式,再分0x <和0x >两种情况讨论,结合指数函数的单调性解不等式即可.【详解】解:因为函数()y f x =是奇函数,所以()()f x f x -=-,且()00f =当0x <时,则0x ->,则()()22x f x f x --=-=-,所以当0x <时,()22x f x -=-+,则()0220x x f x >⎧⎨=->⎩,解得1x >,()0220x x f x -<⎧⎨=-+>⎩,解得10x -<<,所以不等式()0f x >的解集是()()1,01,-⋃+∞.故选:B.8.(2023·全国·高三专题练习)已知函数33,0()e 1,0x x x f x x --+<⎧=⎨+≥⎩,则不等式()(31)<-f a f a 的解集为()A .10,2⎛⎫⎪⎝⎭ B .1,02⎛⎫- ⎪⎝⎭C .1,2⎛⎫-∞ ⎪⎝⎭ D .1,2⎛⎫-∞- ⎪⎝⎭【答案】C【解析】【分析】由函数解析式判断函数的单调性,根据单调性将函数不等式转化为自变量的不等式,解得即可;【详解】解:因为33,0()e 1,0x x x f x x --+<⎧=⎨+≥⎩,当0x <时()33f x x =-+函数单调递减,且()3033f x >-⨯+=,当0x ≥时()e 1x f x -=+函数单调递减,且()00e 123f =+=<,所以函数()f x 在(,)-∞+∞上是单调递减,所以不等式()(31)<-f a f a 等价于31a a >-,解得12a <. 即不等式的解集为1,2⎛⎫-∞ ⎪⎝⎭; 故选:C9.(2020·海南·高考真题)若定义在R 的奇函数f (x )在(,0)-∞单调递减,且f (2)=0,则满足(10)xf x -≥的x 的取值范围是( )A .[)1,1][3,-+∞B .3,1][,[01]--C .[1,0][1,)-⋃+∞D .[1,0][1,3]-⋃【答案】D【解析】【分析】首先根据函数奇偶性与单调性,得到函数()f x 在相应区间上的符号,再根据两个数的乘积大于等于零,分类转化为对应自变量不等式,最后求并集得结果.【详解】因为定义在R 上的奇函数()f x 在(,0)-∞上单调递减,且(2)0f =,所以()f x 在(0,)+∞上也是单调递减,且(2)0f -=,(0)0f =,所以当(,2)(0,2)x ∈-∞-⋃时,()0f x >,当(2,0)(2,)x ∈-+∞时,()0f x <,所以由(10)xf x -≥可得: 0210x x <⎧⎨-≤-≤⎩或0012x x >⎧⎨≤-≤⎩或0x = 解得10x -≤≤或13x ≤≤,所以满足(10)xf x -≥的x 的取值范围是[1,0][1,3]-⋃,故选:D.10.(2023·全国·高三专题练习)定义在(0)+∞,上的函数()f x 满足()()110,2ln 2xf x f '+=>,则不等式)(e 0x f x +> 的解集为( ) A .(02ln2),B .(0,ln2)C .(ln21),D .(ln2)+∞, 【答案】D【解析】【分析】构造新函数()()ln ,(0)g x f x x x =+>,利用导数说明其单调性,将)(e 0x f x +>变形为)>(e (2)x g g ,利用函数的单调性即可求解.【详解】令()()ln ,(0)g x f x x x =+> , 则()11()()xf x g x f x x x'+''=+=,由于()10xf x '+>, 故()0g x '>,故()g x 在(0)+∞,单调递增, 而1(2)(2)ln2ln ln 202g f =+=+= , 由)(e 0x f x +>,得)>(e (2)x g g ,∴e 2x > ,即ln2x > ,∴不等式)(e 0x f x +>的解集为(ln2)+∞,, 故选:D .二、填空题11.(2023·全国·高三专题练习)不等式组230,340.x x x ->⎧⎨-->⎩的解集为_________. 【答案】()4,+∞【解析】【分析】解一元二次不等式取交集即可.【详解】原不等式组化简为3034(4)(1)041x x x x x x x ->>⎧⎧⇒⇒>⎨⎨-+>><-⎩⎩或 故答案为:()4,+∞.12.(2019·浙江·高考真题)已知a R ∈,函数3()f x ax x =-,若存在t R ∈,使得2|(2)()|3f t f t +-≤,则实数a 的最大值是____. 【答案】max 43a =【解析】【分析】本题主要考查含参绝对值不等式、函数方程思想及数形结合思想,属于能力型考题.从研究()2(2)()23642f t f t a t t +-=++-入手,令2364[1,)m t t =++∈+∞,从而使问题加以转化,通过绘制函数图象,观察得解.【详解】使得()222(2)()2(2)(2)2234{}2]6f t f t a t t t t a t t +-=•[++++-=++-,使得令2364[1,)m t t =++∈+∞,则原不等式转化为存在11,|1|3m am ≥-≤, 由折线函数,如图只需11133a -≤-≤,即2433a ≤≤,即a 的最大值是43【点睛】对于函数不等式问题,需充分利用转化与化归思想、数形结合思想.13.(2023·全国·高三专题练习)若函数f (x )=ln x +e x -sin x ,则不等式f (x -1)≤f (1)的解集为________.【答案】(1,2]【解析】【分析】先利用导数判断函数的单调性,再利用其单调性解不等式.【详解】解:f (x )的定义域为(0,+∞),∴()1f x x'=+e x -cos x . ∵x >0,∴e x >1,∴()f x '>0,∴f (x )在(0,+∞)上单调递增,又f (x -1)≤f (1),∴0<x -1≤1,即1<x ≤2,则原不等式的解集为(1,2].故答案为:(1,2]三、双空题14.(2019·北京·高考真题(理))李明自主创业,在网上经营一家水果店,销售的水果中有草莓、京白梨、西瓜、桃,价格依次为60元/盒、65元/盒、80元/盒、90元/盒.为增加销量,李明对这四种水果进行促销:一次购买水果的总价达到120元,顾客就少付x 元.每笔订单顾客网上支付成功后,李明会得到支付款的80%.①当x =10时,顾客一次购买草莓和西瓜各1盒,需要支付__________元;②在促销活动中,为保证李明每笔订单得到的金额均不低于促销前总价的七折,则x 的最大值为__________.【答案】 130. 15.【解析】【分析】由题意可得顾客需要支付的费用,然后分类讨论,将原问题转化为不等式恒成立的问题可得x 的最大值.【详解】(1)10x =,顾客一次购买草莓和西瓜各一盒,需要支付()608010130+-=元.(2)设顾客一次购买水果的促销前总价为y 元,120y <元时,李明得到的金额为80%y ⨯,符合要求.120y ≥元时,有()80%70%y x y -⨯≥⨯恒成立,即()87,8y y x y x -≥≤,即min158y x ⎛⎫≤= ⎪⎝⎭元. 所以x 的最大值为15.【点睛】本题主要考查不等式的概念与性质、数学的应用意识、数学式子变形与运算求解能力,以实际生活为背景,创设问题情境,考查学生身边的数学,考查学生的数学建模素养.15.(2023·全国·高三专题练习)已知函数f (x )111()12x x x x -≤⎧⎪=⎨⎪⎩,,>,则()()2f f =__,不等式()()32f x f -<的解集为__.【答案】12## 0.5 {x |x 72<或x >5} 【解析】【分析】第一空先求出()2f 的值,再求()()2f f 的值;第二空将3x -分为大于1或小于等于1两种情况讨论,分别解出不等式,写出解集即可.【详解】解:f (2)211122-⎛⎫== ⎪⎝⎭,1122f ⎛⎫= ⎪⎝⎭, ∴()()122f f =, 当x ﹣3>1时,即x >4时,311122x --⎛⎫ ⎪⎝⎭<,解得x >5, 当x ﹣3≤1时,即x ≤4时,x ﹣312<,解得x 72<, 综上所述不等式f (x ﹣3)<f (2)的解集为752x x x ⎧⎫⎨⎬⎩⎭或 故答案为:12,752x x x ⎧⎫⎨⎬⎩⎭或. 四、解答题16.(2020·山东·高考真题)已知函数()225,02,0x x f x x x x -≥⎧=⎨+<⎩. (1)求()1f f ⎡⎤⎣⎦的值;(2)求()13f a -<,求实数a 的取值范围.【答案】(1)3;(2)35a -<<.【解析】【分析】(1)根据分段函数的解析式,代入计算即可;(2)先判断1a -的取值范围,再代入分段函数解析式,得到()13f a -<的具体不等式写法,解不等式即可.【详解】解:(1)因为10>,所以()12153f =⨯-=-,因为30-<,所以()()()()2133233f f f =-=-+⨯⎤⎦-⎣=⎡.(2)因为10a -≥, 则()1215f a a -=--, 因为()13f a -<,所以2153a --<, 即14a -<,解得35a -<<.17.(2021·全国·高考真题(理))已知函数()3f x x a x =-++.(1)当1a =时,求不等式()6f x ≥的解集;(2)若()f x a >-,求a 的取值范围.【答案】(1)(][),42,-∞-+∞.(2)3,2⎛⎫-+∞ ⎪⎝⎭. 【解析】【分析】(1)利用绝对值的几何意义求得不等式的解集.(2)利用绝对值不等式化简()f x a >-,由此求得a 的取值范围.【详解】(1)[方法一]:绝对值的几何意义法当1a =时,()13f x x x =-++,13x x -++表示数轴上的点到1和3-的距离之和,则()6f x ≥表示数轴上的点到1和3-的距离之和不小于6, 当4x =-或2x =时所对应的数轴上的点到13-,所对应的点距离之和等于6, ∴数轴上到13-,所对应的点距离之和等于大于等于6得到所对应的坐标的范围是4x ≤-或2x ≥, 所以()6f x ≥的解集为(][),42,-∞-+∞.[方法二]【最优解】:零点分段求解法当1a =时,()|1||3|f x x x =-++.当3x ≤-时,(1)(3)6-+--≥x x ,解得4x ≤-;当31x -<<时,(1)(3)6-++≥x x ,无解;当1≥x 时,(1)(3)6-++≥x x ,解得2x ≥.综上,|1||3|6-++≥x x 的解集为(,4][2,)-∞-+∞.(2)[方法一]:绝对值不等式的性质法求最小值依题意()f x a >-,即3a x a x -+>-+恒成立,333x a x x a a x -++-+=≥++,当且仅当()()30a x x -+≥时取等号,()3min f x a ∴=+, 故3a a +>-,所以3a a +>-或3a a +<, 解得32a >-. 所以a 的取值范围是3,2⎛⎫-+∞ ⎪⎝⎭. [方法二]【最优解】:绝对值的几何意义法求最小值由||x a -是数轴上数x 表示的点到数a 表示的点的距离,得()|||3||3|f x x a x a =-++≥+,故|3|a a +>-,下同解法一.[方法三]:分类讨论+分段函数法当3a ≤-时,23,,()3,3,23,3,x a x a f x a a x x a x -+-<⎧⎪=--≤≤-⎨⎪-+>-⎩则min [()]3=--f x a ,此时3-->-a a ,无解.当3a >-时,23,3,()3,3,23,,x a x f x a x a x a x a -+-<-⎧⎪=+-≤≤⎨⎪-+>⎩则min [()]3=+f x a ,此时,由3a a +>-得,32a >-. 综上,a 的取值范围为32a >-. [方法四]:函数图象法解不等式由方法一求得()min 3f x a =+后,构造两个函数|3|=+y a 和y a =-,即3,3,3,3a a y a a --<-⎧=⎨+≥-⎩和y a =-, 如图,两个函数的图像有且仅有一个交点33,22⎛⎫- ⎪⎝⎭M , 由图易知|3|a a +>-,则32a >-.【整体点评】(1)解绝对值不等式的方法有几何意义法,零点分段法.方法一采用几何意义方法,适用于绝对值部分的系数为1的情况,方法二使用零点分段求解法,适用于更广泛的情况,为最优解;(2)方法一,利用绝对值不等式的性质求得()3min f x a =+,利用不等式恒成立的意义得到关于a 的不等式,然后利用绝对值的意义转化求解;方法二与方法一不同的是利用绝对值的几何意义求得()f x 的最小值,最有简洁快速,为最优解法方法三利用零点分区间转化为分段函数利用函数单调性求()f x 最小值,要注意函数()f x 中的各绝对值的零点的大小关系,采用分类讨论方法,使用与更广泛的情况;方法四与方法一的不同在于得到函数()f x 的最小值后,构造关于a 的函数,利用数形结合思想求解关于a 的不等式.18.(2023·全国·高三专题练习)已知函数2()2f x x ax =++,R a ∈.(1)若不等式()0f x 的解集为[1,2],求不等式2()1f x x -的解集;(2)若对于任意的[1x ∈-,1],不等式()2(1)4f x a x -+恒成立,求实数a 的取值范围;(3)已知2()(2)1g x ax a x =+++,若方程()()f x g x =在1(,3]2有解,求实数a 的取值范围. 【答案】(1)(-∞,1][12,)∞+ (2)13a ≤ (3)[0,1).【解析】【分析】(1)根据不等式的解集转化为一元二次方程,利用根与系数之间的关系求出a ,然后解一元二次不等式即可;(2)问题转化为222x a x --在[1x ∈-,1]恒成立,令22()2x h x x -=-,[1x ∈-,1],根据函数的单调性求出a 的范围即可;(3)利用参数分离法进行转化求解即可.(1)解:若不等式()0f x 的解集为[1,2],即1,2是方程220x ax ++=的两个根,则123a +=-=,即3a =-,则2()32f x x x =-+,由2()1f x x -得,22321x x x -+-即22310x x -+得(21)(1)0x x --,得1x 或12x ,即不等式的解集为(-∞,1][12,)∞+. (2)解:不等式()2(1)4f x a x -+恒成立,即222x a x --在[1x ∈-,1]恒成立,令22()2x h x x -=-,[1x ∈-,1],则2242()(2)x x h x x -+'=-,令()0h x '=,解得:22x =,故()h x 在[1-,22)递增,在(221]递减,故()min h x h =(1)或1()h -,而h (1)1=,1(1)3h -=,故13a . (3)解:由()()f x g x =得22(2)12ax a x x ax +++=++,2(1)210a x x ∴-+-=,即2(1)12a x x -=-,若方程()()f x g x =在1(2,3]有解,等价为2212121x a x x x --==-有解,设22121()(1)1h x x x x =-=--,1(2x ∈,3],∴11[3x ∈,2),即1()0h x -<,即110a --<,则01a <,即实数a 的取值范围是[0,1).。
利用函数单调性与奇偶性解不等式三种单调性的表达方法:1,当x1>x2,f(x1)>f(x2)恒成立⇔f(x)单调递增。
2,(x1−x2)【f(x1)-f(x2)】>0⇔f(x)单调递增。
{x1>x2f(x1)>f(x2)或者{x1<x2f(x1)<f(x2)同号意味着单调递增3、f(x1)−f(x2)(x1−x2)>0 ⇔f(x)单调递增( 2、3等价)(纯粹单调性)例1、已知函数f(x)定义域为R,且对任意两个不相等的实数a,b都有(a-b)[f(a)-f(b)]>0,则不等式f(3x-1)>f(5+x)的解集为___________.解:由题目条件(a-b)[f(a)-f(b)]>0⇔{a>bf(a)>f(b)或者{a<bf(a)<f(b)∵x1−x2与f(x1)-f(x2)同号∴f(x)在R上为增函数∵f(3x-1)>f(5+x)⇔3x-1>x+5∴3x-1>x+52x>6x>3∴不等式f(3x-1)>f(5+x)的解集为(3,+∞)(利用奇函数加单调性)2、已知定义在R上的奇函数y=f(x)在区间(−∞,0]上单调递减,若f(2m2+m)+f(2m-2)≧f(0),则实数m的取值范围__________.(假设函数草图)解:由题意可知,f(x)在R上是奇函数,定义域关于原点(0,0)对称,∴f(0)=0,且f(-x)+f(x)=0.∵f(x)在(-∞,0)是单调递减的,函数关于原点(0,0)对称,所以f(x)在(0,+∞)上单调递减,从而f(x)在R上单调递减。
即{x1<x2f(x1)>f(x2)或者{x1>x2f(x1)<f(x2)由题可知:f(2m2+m)+f(2m-2)≧f(0)∵f(0)=0,∴f(2m2+m)+f(2m-2)≧0⇒f(2m2+m)≧-f(2m-2)∵f(x)是奇函数,所以分(-x)=-f(x),∴-f(2m-2)=f(2-2m)∴f(2m2+m)≧f(2-2m)又∵x1−x2与f(x1)-f(x2)异号∴2m2+m ≤2-2m2m2+3m-2≤0(m+2)(2m-1)≤0⇒-2≤m≤12(利用偶函数加单调性)不完全单调性3、已知y=f(x)是定义域为R的偶函数,且f(x)在[0,+∞)上单调递增,则不等式f(2x+1)>f(x+2)的解集为__________.解:由题意可知f(x)是定义在R上的偶函数,定义域关于原点对称,所以f(x)=f(-x),f(x)在[0,+∞)上单调递增,由函数图像的对称性可知f(x)在(-∞,0]单调递减,对称轴是Y轴(x=0),不等式f(2x+1)>f(x+2)的问题即是横坐标距离Y轴距离的绝对值大小的问题,即|2x+1-0|>|x+ 2−0|,(假设函数草图如下所示)。
第4课函数的奇偶性【考点导读】1.了解函数奇偶性的含义,能利用定义判断一些简单函数的奇偶性;2.定义域对奇偶性的影响:定义域关于原点对称是函数为奇函数或偶函数的必要但不充分条件;不具备上述对称性的,既不是奇函数,也不是偶函数.【基础练习】1.给出4个函数:①;②;③;④.其中奇函数的有___①④___;偶函数的有____②____;既不是奇函数也不是偶函数的有____③____.2.(1)一次函数是奇函数的充要条件是_____________;(2)二次函数是偶函数的充要条件是_____________.3.设函数为奇函数,则实数-1 .4.设奇函数f(x)的定义域为[-5,5] .若当x∈[0,5]时,f(x)的图象如图所示,则不等式f(x)<0的解集是______________ .5. 下列函数中,在其定义域内既是奇函数又是减函数的是( A )A.B.C.D.【范例解析】例1.判断下列函数的奇偶性:(1);(2);(3);(4);(5);(6)分析:判断函数的奇偶性,先看定义域是否关于原点对称,再利用定义判断.解:(1)定义域为,关于原点对称;,所以为偶函数.(2)定义域为,关于原点对称;,,故为奇函数.(3)定义域为,关于原点对称;,且,所以既为奇函数又为偶函数.(4)定义域为,不关于原点对称;故既不是奇函数也不是偶函数.(5)定义域为,关于原点对称;,,则且,故既不是奇函数也不是偶函数.(6)定义域为,关于原点对称;,又,,故为奇函数.点评:判断函数的奇偶性,应首先注意其定义域是否关于原点对称;其次,利用定义即或判断,注意定义的等价形式或.例2. 已知定义在上的函数是奇函数,且当时,,求函数的解析式,并指出它的单调区间.分析:奇函数若在原点有定义,则.解:设,则,.又是奇函数,,.当时,.综上,的解析式为.作出的图像,可得增区间为,,减区间为,.点评:(1)求解析式时的情况不能漏;(2)两个单调区间之间一般不用“”连接;(3)利用奇偶性求解析式一般是通过“”实现转化;(4)根据图像写单调区间.例3. 奇函数定义在上,且在定义域内是减函数.若,求实数a的取值范围.分析:运用函数的性质脱去“外衣”.解:由,解得:.又,得,定义在上是减函数,,即,解得:.又,故a的取值范围是.点评:在上是减函数时,若设,则成立,反之,也成立.例4. 已知定义在上的函数满足条件:对于任意的,都有.当时,.(1)求证:函数是奇函数;(2)求证:函数在上是减函数;(3)解不等式.分析:赋值法是解决抽象函数有关问题的常用方法.(1)证明:令,则,得.令,则,即.故函数是奇函数.(2)证明:对于上的任意两个值,,且,则,又,则,又当时,.,即.故函数在上是减函数.(3)解:由(2)知:函数在R上是减函数.,.,解得.又所以解集为.点评:本题实质是过原点的一次函数模型,可结合一次函数模型分析,求解.在解决第(3)问时,应注意定义域的范围.【反馈演练】1.设是R上的任意函数,则下列叙述正确的是( D )A.是奇函数B.是奇函数C.是偶函数D.是偶函数2.已知定义域为R的函数在区间上为减函数,且函数为偶函数,则(D)A.B.C.D.3.在上定义的函数是偶函数,且,若在区间是减函数,则函数( B )A.在区间上是增函数,区间上是增函数B.在区间上是增函数,区间上是减函数C.在区间上是减函数,区间上是增函数D.在区间上是减函数,区间上是减函数4.设,则使函数的定义域为R且为奇函数的所有的值为____1,3 ___.5.设函数为奇函数,则________.6.若函数是定义在R上的偶函数,在上是减函数,且,则使得的x的取值范围是(-2,2).7.已知函数是定义在上的偶函数.当时,,则当时,.8.已知定义在R上的奇函数f(x)满足f(x+2)=-f(x),则f(6)的值为____0 ___.9. 已知和均为奇函数,若在区间上有最大值5,则在区间的最小值为___-1_____.10. 已知函数是奇函数.又,.(1)求a,b,c的值;(2)问函数图象上是否存在关于点(1,0)对称的两点,若存在,求出点的坐标;若不存在,说明理由.解:由,得,得.又,得,而,得,解得.又,或1.若,则,应舍去;若,则.所以,.(2)设存在一点(x0,y0)在y=f(x)的图象上,并且关于(1,0)的对称点(2-x0,-y0)也在y=f(x)图象上,则消去y0得x02-2x0-1=0,x0=1±∴y=f(x)图象上存在两点(1+,2),(1-,-2)关于(1,0)对称.11.已知函数(1)判断函数的奇偶性;(2)若在区间是增函数,求实数的取值范围.解:(1)当时,为偶函数;当时,既不是奇函数也不是偶函数.(2)设,,由得,要使在区间是增函数只需,即恒成立,则.另解(导数法):,要使在区间是增函数,只需当时,恒成立,即,则恒成立,故当时,在区间是增函数.12.已知函数,其中表示不超过x的最大整数.如:,,.(1)判断的奇偶性;(2)若,求的值域.解:(1)取特殊值得,.且,故是非奇非偶函数.(2)当时,,则,则可取2,3,4;当时,,则,则可取0,1;当时,,则,则可取0;当时,,则,则可取1;当时,.综上,可知的值域为.。
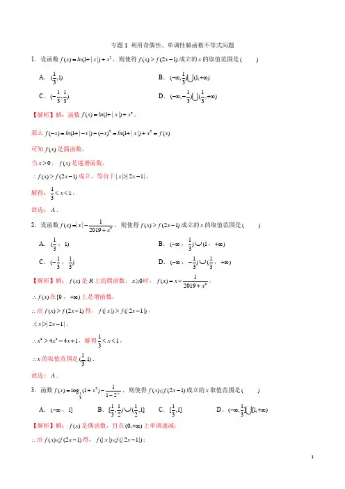
专题1 利用奇偶性、单调性解函数不等式问题1.设函数2()(1||)f x ln x x =++,则使得()(21)f x f x >-成立的x 的取值范围是( )A .1(,1)3B .1(,)(1,)3-∞+∞ C .11(,)33-D .11(,)(,)33-∞-+∞ 【解析】解:函数2()(1||)f x ln x x =++,那么22()(1||)()(1||)()f x ln x x ln x x f x -=+-+-=++= 可知()f x 是偶函数, 当0x >,()f x 是递增函数,()(21)f x f x ∴>-成立,等价于|||21|x x >-,解得:113x <<,故选:A . 2.设函数21()||2019f x x x=-+,则使得()(21)f x f x >-成立的x 的取值范围是( ) A .1(3,1)B .(-∞,1)(13⋃,)+∞C .1(3-,1)3D .(-∞,11)(33-⋃,)+∞【解析】解:()f x 是R 上的偶函数,0x 时,21()2019f x x x =-+,()f x ∴在[0,)+∞上是增函数,∴由()(21)f x f x >-得,(||)(|21|)f x f x >-,|||21|x x ∴>-,22441x x x ∴>-+,解得113x <<,x ∴的取值范围是1(,1)3.故选:A .3.函数21||21()log (1)12x f x x =+--,则使得()(21)f x f x -成立的x 取值范围是( ) A .(-∞,1]B .111[,)(,1]322⋃C .1[,1]3D .1(,][1,)3-∞+∞【解析】解:()f x 是偶函数,且在(0,)+∞上单调递减;∴由()(21)f x f x -得,(||)(|21|)f x f x -;|||21|x x ∴-,且0x ≠,210x -≠;22(21)x x ∴-,且0x ≠,12x ≠; 解得113x ,且12x ≠;x ∴的取值范围是:111[,)(,1]322⋃.故选:B .4.已知函数312()423x x f x x x e e=-+-,其中e 是自然对数的底,若2(1)(2)0f a f a -+,则实数a 的取值范围是( ) A .(-∞,1]-B .1[,)2+∞C .1(1,)2-D .1[1,]2-【解析】由222()4224240x x x x f x x e e x e e x --'=-++-+=,知()f x 在R 上单调递增,且31()422()3x x f x x x e e f x --=-++-=-,即函数()f x 为奇函数,故2222(1)(2)0(1)(2)12210f a f a f a f a a a a a -+⇔--⇔--⇔+-, 解得112a-. 故选:D .5.已知函数31()sin x xf x x x e e=-+-,其中e 是自然数对数的底数,若2(1)(2)0f a f a -+,则实数a 的取值范围是( )A .1[,1]2-B .1[1,]2-C .1(,1][,)2-∞-+∞D .1(,][1,)2-∞-+∞【解析】解:由于3()sin x x f x x x e e -=-+-, 则3()sin ()x x f x x x e e f x --=-++-=-, 故函数()f x 为奇函数.故原不等式2(1)(2)0f a f a -+, 可转化为2(2)(1)(1)f a f a f a --=-, 即2(2)(1)f a f a -;又2()3cos x x f x x x e e -'=-++, 由于2x x e e -+,故2()3cos 1x x f x x x e e -'=-++恒成立, 故函数()f x 单调递增, 则由2(2)(1)f a f a -可得, 221a a -,即2210a a +-,解得112a-, 故选:B .6.已知函数2020()2020log )20202x x f x x -=+-+,则关于x 的不等式(31)()4f x f x ++>的解集为()A .1(4-,)+∞B .1(,)4-∞-C .(0,)+∞D .(,0)-∞【解析】解:设2020()()22020log )2020x x g x f x x -=-=+-,2020()2020log )2020()x x g x x g x -∴-=+-=-,即()g x 为奇函数且单调递增,由(31)()4f x f x ++>可得(31)()0g x g x ++>即(31)()()g x g x g x +>-=-, 所以31x x +>-,解得,14x >-.故选:A .7.已知函数())2x x f x e e ln x -=-++,则关于x 的不等式(31)()4f x f x ++>的解集为( )A .1(,)4-+∞B .1(,)4-∞-C .(,0)-∞D .(0,)+∞【解析】解:根据题意,函数())2x x f x e e ln x -=-++,其定义域为R ;设()()2)x x g x f x e e ln x -=-=-+,有())[)]()x x x x g x e e ln x e e ln x g x ---=-+=--+=-,即函数()g x 为奇函数,又由函数x x y e e -=-和)y ln x =都是R 上的增函数,故()g x 为R 上的增函数;(31)()4(31)22()(31)2[()2](31)()(31)()f x f x f x f x f x f x g x g x g x g x ++>⇒+->-⇒+->--⇒+>-⇒+>-,则有31x x +>-,解可得14x >-;即x 的取值范围为1(4-,)+∞;故选:A .8.已知函数2018()20182018log )2x x f x x -=-++,则关于x 的不等式(31)()4f x f x ++>的解集为()A .1(,)4-+∞B .1(,)4-∞-C .(,0)-∞D .(0,)+∞【解析】解:2018()20182018log )2x x f x x -=-++,令()()2g x f x =-,2018()20182018log )()x x g x x g x -∴-=-++=-,(31)()4f x f x ++>, (31)2()24g x g x ∴++++>, (31)()0g x g x ∴++>, (31)()()g x g x g x ∴+>-=-,2018()20182018log )x x g x x -=-+单调递增,31x x ∴+>-, 解可得,14x >-.故选:A .9.偶函数()y f x =满足下列条件①0x 时,3()f x x =;②对任意[x t ∈,1]t +,不等式()8()f x t f x +恒成立,则实数t 的取值范围是( )A .(-∞,3]4-B .3[,0]4-C .[2-,3]4D .4[,1]3-【解析】解:根据条件得:(||)8(||)f x t f x +;33(||)8(||)x t x ∴+; 33(||)(2||)x t x ∴+;||2||x t x ∴+;22()4x t x ∴+;整理得,22320x tx t --在[t ,1]t +上恒成立; 设22()32g x x tx t =--,()0g t =;22(1)3(1)2(1)0g t t t t t ∴+=+-+-; 解得34t -; ∴实数t 的取值范围为(-∞,3]4-.故选:A .10.已知函数()2020)20201x x f x ln x -=+-+,则关于x 的不等式(21)(2)2f x f x -+<的解集为()A .1(,)4-∞B .1(,)2-∞C .1(,)4+∞D .1(,)2+∞【解析】解:()()2020)202012020)20201x x x x f x f x ln x ln x --+-=+-+++-+))2ln x ln x =++)2ln x x =+22(1)2ln x x =+-+122ln =+=,则()()2f x f x -+=,则不等式(21)(2)2f x f x -+<,等价于(21)(2)(2)(2)f x f x f x f x -+<-+, 即(21)(2)f x f x -<-, ()f x 在R 上是增函数,212x x ∴-<-得41x <,得14x <, 即不等式的解集为1(,)4-∞.故选:A .11.设函数2111()()21||x f x x +=++,则使得(21)(12)2()f x f x f x -+-<成立的x 的取值范围是( )A .1(,1)3B .1(,)(1,)3-∞+∞ C .11(,)33-D .11(,)(,)33-∞-+∞ 【解析】解:函数2111()()21||x f x x +=++,由解析式可知,()f x 为偶函数且在[0,)+∞上单调递减, 则(21)(12)2(21)f x f x f x -+-=-, (21)(12)2()f x f x f x ∴-+-< 2(21)2()f x f x ⇔-< (21)()f x f x ⇔-< (|21|)(||)f x f x ⇔-<⇔22221|21||||21|||(21)3x x x x x x x ->⇔->⇔->⇔<或1x >, 故选:B .12.已知定义域为R 的函数()f x 在[2,)+∞上单调递增,若(2)f x +是奇函数,则满足(3)f x f ++ (21)0x -<的x 范围为( )A .2(,)3-∞-B .2(3-,)+∞C .2(,)3-∞D .2(3,)+∞【解析】解:(2)f x +是奇函数;()f x ∴关于点(2,0)对称;又()f x 在[2,)+∞上单调递增; ()f x ∴在R 上单调递增;∴由(3)(21)0f x f x ++-<得,(3)(21)f x f x +<--;(3)((23)2)f x f x ∴+<--+; (3)(25)f x f x ∴+<-+;325x x ∴+<-+;解得23x <; x ∴的范围为2(,)3-∞.故选:C .13.设()f x 是定义在R 上的奇函数,且当0x 时,2()f x x =.若对任意的[x a ∈,2]a +,不等式()(2)f x a f x +恒成立,则实数a 的取值范围是( )A .0aB .2aC .2aD .0a【解析】解:(排除法)当0a =时,则[0x ∈,2],由()(2)f x a f x +得()(2)f x f x ,即22220x x x ⇒在[0x ∈,2]时恒成立,显然不成立,排除A 、C 、D ,故选:B .14.已知a 是方程4x lgx +=的根,b 是方程104x x +=的根,函数()f x 是定义在R 上的奇函数,且当0x 时,2()(4)f x x a b x =++-,若对任意[x t ∈,2]t +,不等式()2()f x t f x +恒成立,则实数t 的取值范围是( )A .)+∞B .[2,)+∞C .(0,2]D .[1][2-,3]【解析】解:由程4x lgx +=得4lgx x =-, 由104x x +=得104x x =-,记()f x lgx =,则其反函数1()10x f x -=, 它们的图象关于直线y x=轴对称,根据题意,a ,b 为()f x ,1()f x -的图象与直线4y x =-交点A ,B 的横坐标, 由于两交A ,B 点关于直线y x =对称,所以,B 点的横坐标β就是A 点的纵坐标,即(,)A a b , 将(,)A a b 代入直线4y x =-得,4a b +=, 则当0x 时,22()(4)f x x a b x x =++-=, 函数()f x 是定义在R 上的奇函数,∴若0x <,则0x ->,则2()()f x x f x -==-, 即2()f x x =-,0x <, 则22,0(),x x f x x x ⎧=⎨-<⎩,则函数()f x 在(,)-∞+∞上为增函数,若对任意[x t ∈,2]t +,不等式()2()f x t f x +恒成立, 即若对任意[x t ∈,2]t +,不等式()(2)f x t f x +恒成立, 则2x tx +恒成立,则(21)t x -,则1)21xt =-,[x t ∈,2]t +, 2(21)t t ∴++,即22t 则22t=故选:A .15.设函数|1|21()(1)x f x e x -=--,则不等式()(21)f x f x >+的解集为( )A .(1,0)-B .(,1)-∞-C .1(1,3⎫-⎪⎭D .1(1,0)(0,3⎫-⎪⎭⋃【解析】解:根据题意,函数|1|21()(1)x f x e x -=--,设||21()x g x e x =-,其定义域为{|1}x x ≠, 又由||21()()x g x e g x x -=-=,即函数()g x 为偶函数, 当(0,)x ∈+∞时,21()x g x e x =-,有32()xg x e x '=+,为增函数, ()g x 的图象向右平移1个单位得到()f x 的图象,所以函数()f x 关于1x =对称,在(,1)-∞上单调递减,在(1,)+∞上单调递增.由()(21)f x f x >+,可得1211|1||(21)1|x x x x ≠⎧⎪+≠⎨⎪->+-⎩,解可得:113x -<<且0x ≠,即x 的取值范围为1(1,0)(0,3⎫-⎪⎭⋃;故选:D .16.已知()f x 是定义在[2-,2]b 上的偶函数,且在[2b -,0]上为增函数,则不等式(21)f x f +(1)的解集为( ) A .(1,0)- B .31[,1][0,]22--C .(-∞,1][0-,)+∞D .31[,]22-【解析】解:()f x 是定义在[2-,2]b 上的偶函数,220b ∴-+=,1b ∴=,函数()f x 在[2b -,0]上为增函数,∴函数()f x 在[2-,0]上为增函数,故函数()f x 在[0,2]上为减函数,则由(21)f x f +(1),可得|21|1x +,且2212x -+, 解得312x --或102x, 故不等式(21)f x f +(1)的解集为31[,1][0,]22--.故选:B .17.已知定义在R 上的函数1131122()(1)22x x x x f x x -----=--+,则不等式(23)(2)0f x f x ++-的解集为( ) A .(-∞,1]3B .(0,2]3C .(-∞,3]D .(0,3]【解析】解:令1t x =-,则322(1)22t t t tf t t ---+=-+, 则(1)f t +是奇函数,则当0t 时,2333332221214(14)2212212141414t t t t t t t t t t ty t t t t t ------++=-=-=-=-=--+++++,为减函数, ∴当1x 时,()f x 为减函数,即()(1)g x f x =+是奇函数,则(23)(2)0f x f x ++-等价为(221)(31)0f x f x +++-+, 即(22)(3)0g x g x ++-, 则(22)(3)(3)g x g x g x +--=-, 则223x x +-,得31x ,13x ,即原不等式的解集为(-∞,1]3, 故选:A .18.函数()f x 是R 上的奇函数,f (1)2=,且对任意12x x >,有1212()()0f x f x x x ->-,则不等式2(1)2f x --的解集为( ) A .[0,2]B .[0,1]C .[1-,1]D .[1-,0]【解析】解:对任意12x x >,有1212()()0f x f x x x ->-,()f x ∴在R 上单调递增,又()f x 是R 上的奇函数,f (1)2=, 所以(1)2f -=-,则由不等式2(1)2f x --可得(1)(1)f f x f --(1), 所以111x --, 解可得,02x . 故选:A .19.已知()f x 是定义在(2,1)b b -+上的偶函数,且在(2b -,0]上为增函数,则(1)(2)f x f x -的解集为()A .2[1,]3-B .1(1,]3-C .1[1,]3-D .1[,1]3【解析】解:根据题意,由于函数()y f x =是定义在(2,1)b b -+上的偶函数,则定义域关于原点对称, 则有(2)10b b -++=,解可得1b =, 所以,函数()y f x =的定义域为(2,2)-,由于函数()y f x =在区间(2-,0]上单调递增,则该函数在区间[0,2)上单调递减, 由于函数()y f x =为偶函数,则()(||)f x f x =,由(1)(2)f x f x -,可得(|1|)(|2|)f x f x -,则|1|2||212222x x x x -⎧⎪-<-<⎨⎪-<<⎩,解可得:113x-<. 因此,不等式(1)(2)f x f x -的解集为1(1,]3-,故选:B .20.设函数1()(2)3x f x x lgx --=++,则不等式3(21)()2f x f --的解集是( ) A .131(0,][,)482B .131(1,][,)482-C .13(,][,)44-∞+∞D .31(1,][,0)44---【解析】解:由题意知,函数()f x 可由1()1x g x x lg x -=-+而函数()g x 是定义域为(1,1)-的偶函数,函数()m x x =和函数12()(1)11x n x lglg x x +==---在(0,1)上递增,且()0m x >,()0n x >, ∴1()()1x y x lg m x n x x-==-+在(0,1)上递减, ()g x ∴在(0,1)上递减,()f x ∴的定义域为(3,1)--,关于2x =-对称,并且在(2,1)--上递减,∴不等式3(21)()2f x f --等价于32113|212|22x x -<-<-⎧⎪⎨-+-+⎪⎩,解得314x -<-或104x -<. 故选:D .21.已知函数23211()1x x x x e x e xe x f x ln e x+---=-+,其中e 是自然对数的底数.若2(1)(2)0f a f a -+,则实数a 的取值范围是 1(0,]2. 【解析】解:由已知得:23211()1x x x x e x e xe x f x ln e x+---=-+的定义域为(1,1)-, 2332112()()x x x x x xx xe x e xe x e xe ef x f x e e -----------===-, 311()21x x x f x e x x ln e x -=+---+, 故函数是奇函数,且增函数,2(1)(2)0f a f a -+,2221211(2)(1)1110212a f a f a a a a a ⎧-<<⎪∴<-⇒-<-<⇒<⎨⎪-⎩, 故答案为:1(0,]222.已知函数||2()(x f x e x e =+为自然对数的底数),且(32)(1)f a f a ->-,则实数a 的取值范围为13(,)(,)24-∞+∞ . 【解析】解:函数||2()(x f x e x e =+为自然对数的底数), ()()(||)f x f x f x ∴-==,且在(0,)+∞单调递增,(32)(1)f a f a ->-,|32||1|a a ∴->-,即281030a a -+>,实数a 的取值范围为12a <或34a >, 故答案为:(-∞,13)(24⋃,)+∞ 23.()f x 是定义在R 上函数,满足()()f x f x =-且0x 时,3()f x x =,若对任意的[21x t ∈+,23]t +,不等式(2)8()f x t f x -恒成立,则实数t 的取值范围是 4[7-,0] . 【解析】解:由x R ∈,()()f x f x =-,可得()f x 为R 上偶函数,3()f x x =在0x 上为单调增函数, 则(2)8()(2)f x t f x f x -=,即为|2||2|x t x -,即22(2)(2)x t x -,化简可得240t xt -,①(1)当0t >时,①的解为:4t x , 对任意[21x t ∈+,23]t +,①式恒成立,则需234t t +, 解得t ∈∅;(2)当0t <时,①的解为4t x , 对任意[21x t ∈+,23]t +,①式恒成立,则需214t t +, 解得407t -<; (3)当0t =时,①式恒成立;综上所述,407t -. 故答案为:4[7-,0]. 24.已知()||f x x x =,若对任意[2x a ∈-,2]a +,()2()f x a f x +<恒成立,则实数a 的取值范围是a <【解析】解:22,0()||,0x x f x x x x x ⎧==⎨-<⎩, 可得()f x 在[0,)+∞递增,在(-∞,0]递增,且(0)0f =,则()f x 在R 上递增,由()2()f x a f x +<可得()())f x a f f x f +<=,则x a +<在[2x a ∈-,2]a +恒成立,即有1)a x <在[2x a ∈-,2]a +的最小值,可得1)(2)a a <-,解得a <故答案为:a <25.设()f x 是定义在R 上的奇函数,且当0x 时,2()f x x =,则2())f x f -= 0 ;若对任意的[x a ∈,1]a +,不等式()2()f x a f x +恒成立,则实数a 的取值范围是 .【解析】解:()f x 是奇函数,0x 时,2()f x x =, ∴当0x <时,2()f x x =-.∴当0x 时,222())220f x f x x -=-=,当0x <时,222())2(2)0f x f x x -=---=.2())0f x f ∴-=.2())f x f =,()2()f x a f x ∴+恒成立()(2)f x a f x ⇔+恒成立. ()f x 是增函数,2x a x ∴+在[a ,1]a +上恒成立.(21)a x ∴-,[x a ∈,1]a +.令()1)g x x =,则()g x 在[a ,1]a +上是增函数.()(1)1max g x g a a ∴=+=-+.21a a a ∴-+,解得2a .故答案为:0,,)+∞.26.已知函数||221()()x f x x e ππ-=+-则,则不等式(1)(21)f x f x -<-的解集是 2(0,)3 . 【解析】解:根据题意,函数||221()()x f x x e ππ-=+-,其定义域为R ,且||221()()()x f x x e f x ππ--=+-=, 则()f x 为偶函数,在[0,)+∞上,||222211()()1()xxf x x e e x ππππ-=+-=-+,在[0,)+∞上为减函数,不等式(1)(21)(|1|)(|21|)|1||21|f x f x f x f x x x -<-⇒-<-⇒->-,解可得203x <<, 即不等式的解集为2(0,)3, 故答案为:2(0,)3.。
利用函数性质解不等式5大题型高中数学解不等式主要分为两类,一类是利用不等式性质直接解出解集(如二次不等式,分式不等式,指对数不等式等);另一类是利用函数的性质,尤其是函数的单调性进行运算。
利用函数性质解不等式一般情况以选择题形式出现,考查的角度较多,除了基础的函数性质,有时候还需要构造函数结合导数知识,考验学生的观察能力和运用条件能力,难度较大。
一、利用单调性、奇偶性解不等式原理1、解()()f m f n <型不等式(1)利用函数的单调性,去掉函数符号“f ”,将“抽象”的不等式问题转化为“具体”的不等式问题求解;(2)若不等式一边没有函数符号“f ”,而是常数(如()<f m a ),那么我们应该将常数转化带有函数符号“f ”的函数值再解。
2、()f x 为奇函数,形如()()0f m f n +<的不等式的解法第一步:将()f n 移到不等式的右边,得到()()>-f m f n ;第二步:根据()f x 为奇函数,得到()()>-f m f n ;第三步:利用函数的单调性,去掉函数符号“f ”,列出不等式求解。
二、构造函数解不等式的技巧1、此类问题往往条件较零散,不易寻找入手点,所以处理这类问题要将条件与结论结合分析,在草稿上列出条件能够提供什么,也列出要得出结论需要什么,两者对接通常可以确定入手点;2、在构造函数时要根据条件的特点进行猜想,例如出现轮流求导便猜有可能具备乘除关系的函数,在构造时多进行试验与项的调整;3、此类问题处理的核心要素是单调性与零点,对称性和图象知识辅助手段,所以要能够确定构造函数的单调性,猜出函数的零点,那么问题便易于解决了。
三、利用函数性质解不等式的要点1、构函数:根据所解不等式的结构特征和已知条件构造相应的函数,把不等式看作一个函数的两个函数值大小比较问题;2、析性质:分析所构造函数的相关性质,主要包括函数定义域、单调性、奇偶性、周期性等;3、巧转化:根据函数的单调性,把函数值大小比较转化为某个单调区间内自变量大小比较;4、写解集:解关于自变量的不等式,写出解集。
第4讲 函数的奇偶性的判断及其应用 【高考地位】 函数的奇偶性是函数的一个重要性质,几乎是每年必考的内容,例如判断和证明函数的奇偶性,利用函数的奇偶性解决实际问题. 类型一 函数奇偶性的判断 万能模板 内 容 使用场景 一般函数类型
解题模板 第一步 确定函数的定义域;
第二步 判断其定义域是否关于原点对称; 第三步 若是,则确定()fx与()fx的关系;若不是,则既不是奇函数也不是偶函数; 第四步 得出结论. 例1 判断下列函数的奇偶性:
(1) 22()99fxxx;(2) 1()(1)1xfxxx;(3)24()33xfxx
.
【解析】(1)第一步,确定函数的定义域: 由不等式090922xx得3x,所以函数的定义域为33, 第二步,判断其定义域是否关于原点对称: 因为函数的定义域为33,,所以定义域关于原点对称 第三步,若是,则确定()fx与()fx的关系;若不是,则既不是奇函数也不是偶函数; xfxxxxxf99992222
第四步,得出结论. 所以函数为偶函数。 (2)第一步,确定函数的定义域: 由不等式011xx得11x,所以函数的定义域为11, 第二步,判断其定义域是否关于原点对称: 因为函数的定义域为11,,所以定义域不关于原点对称 第三步,得出结论. 所以函数既不是奇函数也不是偶函数;。 (3)第一步,确定函数的定义域:
由不等式033042xx得02x或20x,所以函数的定义域为02,或20, 第二步,判断其定义域是否关于原点对称: 因为函数的定义域为02,或20,,所以定义域关于原点对称 第三步,若是,则确定()fx与()fx的关系;若不是,则既不是奇函数也不是偶函数;
xfxxxxxf
专题:利用常见函数的奇偶性解题知识梳理:1、掌握高中常见函数的奇偶性,单调性可提高解题速度2、加强知识的归纳整理工作,由知识点构建知识块3、常见的奇,偶函数类型(10≠>a a 且):①指数型奇函数:f(x)=11+-±x x a a ,f(x)=)(x x a a --±, ②对数型奇函数:f(x)=±lgx b xb +-,f(x)=±lg(x x ++12),③幂函数奇函数:f(x)=m x (为奇数m ),f(x)=xb x ±④常见偶函数:f(x)=m x (为偶数m ) f(x)=|x| 典型例题:例1:已知函数f(x)=11+-x x a a (a>1) (1)判断f(x)奇偶性 (2)求函数f(x)的值域变式:已知函数31()231x x f x x -=++,则满足不等式()(32)0f a f a ++>的实数a 的取值范围是 .变式1:【答案】12⎛⎫-+∞ ⎪⎝⎭例2:(2018·全国卷Ⅱ)函数f (x )=e x -e -xx 2的图象大致为( )变式:已知函数f (x )=e x -1ex ,其中e 是自然对数的底数.若f (a -1)+f (2a 2)≤0,则实数a 的取值范围是________.例3:判断并证明函数f(x)=lg x x +1-1的奇偶性 (思考f(x)=lg xx-+11的奇偶性?)例4:判断并证明函数f(x)=lg(x x ++12)的奇偶性 (思考f(x)=lg(x x -+12的奇偶性?)变式1:已知函数xxa x f +-=1log )(3为奇函数,则实数a 的值为________.变式2:设函数f(x)=1)1ln(1222+++++x x x x )(的最大值为M ,最小值为N ,试确定M+N 的值变式3:函数())lnf x kx =的图象不可能是( )A. B .C .D .例5:已知,,则( ) A . B . C . D .例6:已知函数2111)(x x x f +-+=,则满足f (x -1)<⎪⎭⎫ ⎝⎛31f 的x 取值范围是( ) A .11(,)33- B .]31,31[- C .24(,)33D .]34,32[课后作业:1、已知函数f(x)=xxa a 22+-是奇函数,则f(a)的值等于( )A.-31B.3C.-31或3D.31或32、(2022年华美月考,多选)已知函数()1212xxf x -=+,())lg g x x =,则( )A .函数()f x 为偶函数B .函数()g x 为奇函数C .函数()()()F x f x g x =+在区间[]1,1-上的最大值与最小值之和为01()1f x x x=+-()2f a =()f a -=4-2-1-3-D .设()()()F x f x g x =+,则()()210F a F a +--<的解集为()1,+∞ 3、(2019·金版创新)已知函数f (x )是奇函数,g (x )=f (x )+21+2x ,x ∈(-1,1),则g ⎪⎭⎫⎝⎛21+g ⎪⎭⎫⎝⎛21-的值为________. 4、(2019·海淀联考)已知函数f (x )=2x-12x +1.(1)判断函数f (x )的奇偶性;(2)判断并证明f (x )在其定义域上的单调性;(3)若f (k ·3x)+f (3x-9x+2)<0对任意x ≥1恒成立,求实数k 的取值范围.专题:利用常见函数的奇偶性解题典型例题: 例1:【答案】(1)奇函数(2)(-1,1) 【解析】(1)()f x 的定义域为R .又()()11111111xxx x xxa a a f x f x a aa ------====-+++,所以()f x 为奇函数. (2)11211,2120<+-<-∴<+<x x a a ,即值域为(-1,1) 变式:【答案】(∞+-,21) 【解析】0313113132131321313)()(=+-++-=-+-+++-=-+--xxx x x x x x x x x f x f 所以x x f x x 21313)(++-=为奇函数,因为1313)(+-=x x x f 在定义域上单调递增,又f(x)=2x 在定义域上单调递增,所以x x f xx 21313)(++-=在定义域上是增函数 2123)23()(->⇒-->⇒-->∴a a a a f a f例2:【答案】B 【解析】依题意,注意到函数的定义域是}0|{≠∈x R x ,且)()()(22x f xe e x e e xf x x x x -=--=--=---,因此)(x f 是奇函数,其图象关于原点成中心对称,选项A 不正确,且当x>0时,)(x f >0,选项D 不正确,又+∞→+∞→)(,x f x ,结合选项知B 正确,故选B变式:【答案】]21,1[-【解析】函数f (x )=e x-1e x 是常见的奇函数,且在定义域内是单调递增的,因为f (a -1)+f (2a 2)≤0a a a f a f a f -≤⇒-=--≤∴12)1()1()2(22解得:211≤≤-a例3:【答案】奇函数【解析】由条件知:函数的定义域为11<<-x 关于原点对称 所以f(x)+f(-x)=lgx x +1-1+lg x x -+11=0,即函数f(x)是奇函数,同理f(x)=lg xx-+11也是奇函数 例4:【答案】奇函数【解析】由条件知:函数的定义域为R 关于原点对称 所以f(x)+f(-x)=lg(x x ++12)+lg(x x -+12)=lg1=0即函数f(x)是奇函数,同理f(x)=lg()x x -+12也是奇函数变式1:【答案】1【解析】由条件知:奇函数的定义域要关于原点对称,所以分母1-≠x ,为了对称,分子a=1变式2:【答案】2【解析】由已知得1)1ln(21)(22+++++=x x x x x f 因为)1ln())(1)(ln(22x x x x ++-=-++-,所以)1ln(2x x y ++=是奇函数,进而可判定,函数1)1ln(2)(22++++=x x x x x g 为奇函数,则)(x g 的最大值1M 和最小值1N ,满足1M+1N =0,因为1,111+=+=N N M M ,所以M+N=2变式3:【答案】C 【解析】因为A,B 选项中,图像关于原点对称,所以f(x)为奇函数,f(x)+f(-x)=0 1010)1ln()1ln(2222±=⇒=-⇒=+++-+k x k kx x kx x )(即当K=1时,f(x)的图像为选项A,当K=-1时,f(x)的图像为选项B 而C,D 选项中,图像关于Y 轴对称,所以f(x)为偶函数,f(x)=f(-x)00)1ln()1ln(22=⇒=⇒++=-+k kx kx x kx x 即当K=0时,0)(≥x f 故f(x)的图像为选项D ,故f(x)的图像不可能为C例5:【答案】A 【解析】设xx x f x g 11)()(+=+=则)(1)()(x g x f x g -=+-=-,所以)(x g 是奇函数,31)()(=+=a f a g 因为)(x g 是奇函数,所以31)()(-=+-=-a f a g 所以4)(-=-a f ,故选A例6:【答案】C 【解析】函数2111)(xx x f +-+=在[)∞+,0上为增函数,所以不等式f (x -1)<⎪⎭⎫ ⎝⎛31f 等价为 f (|x -1|)<⎪⎭⎫ ⎝⎛31f 所以|x -1|)<31⇒3432<<x课后作业:1、【答案】C 【解析】因为函数f(x)=x xa a 22+-是奇函数,所以f(-x)=-f(x)整理得:02,02)22(2122>=-=+-x x x x a a a 因为))((,所以1±=a 代入选C2、【答案】BCD 【解析】函数xx x f 2121)(+-=是奇函数,所以A 错,函数g(x)=lg )x x -+12是奇函数,所以B 正确,.函数()()()F x f x g x =+在区间[]1,1-上是奇函数,在对称区间上,最大值最小值之和为0,C 正确;是减函数xx f 2121)(++-=,010ln 11)()1lg()(2'2<+-=⇒-+=x x g x x x g 故F (x )=f(x)+g(x)是减函数,a a a F a F a F a F +>⇒+<⇒<--+12)1()2(0)1()2(所以1>a ,D 正确3、【答案】2【解析】函数)(x f 是奇函数,所以0)21()21(=+-f f ,令xx h 212)(+=,则22112212)21()21(=+++=-+h h ,所以g ⎪⎭⎫ ⎝⎛21+g ⎪⎭⎫ ⎝⎛21-=2 4、【答案】(1)奇函数(2)在R 上单调递增函数(3)),(34∞-【解析】略。
教学内容概要教学内容【知识精讲】一、常见的抽象函数模型:① 正比例函数模型:()0,≠=k kx x f ┄┄┄()()()y f x f y x f ±=±。
② 幂函数模型:()2x x f =┄┄┄()()()y f x f xy f ⋅=;()()y f x f y x f =⎪⎪⎭⎫⎝⎛。
③ 指数函数模型:()xa x f =┄┄┄()()()y f x f y x f ⋅=+;()()()y f x f y x f =-。
④ 对数函数模型:()x x f a log =┄┄()()()y f x f xy f +=;()()y f x f y x f -=⎪⎪⎭⎫⎝⎛。
⑤ 三角函数模型:()x x f tan =┄┄┄()()()()()y f x f y f x f y x f ⋅-+=+1。
如何利用函数单调性解题是历年高考和模考的重点,其中利用函数单调性解不等式是一个重点中的难点,如何攻克这个难点呢?一个词:去壳。
二、奇偶函数的性质:奇函数:(1)()()f x f x -=-;(2)若奇函数()f x 的定义域包含0,则(0)0f =; (3)图像关于原点对称;(4)y 轴左右两侧的单调性相同; 偶函数:(1)()()f x f x -=; (3)图像关于y 轴对称; (4)y 轴左右两侧的单调性相反;三、函数单调性的逆用:若()f x 在区间D 上递增,则1212()()f x f x x x <⇔<(1x 2,x D ∈); 若()f x 在区间D 上递减,则1212()()f x f x x x <⇔>.(1x 2,x D ∈).四、不等式恒成立问题的解法若不等式()A x f >在区间D 上恒成立,则等价于在区间D 上()min f x A > 若不等式()B x f <在区间D 上恒成立,则等价于在区间D 上()max f x B < 通过上面的等价转化,转换为函数求最值的问题。
3.2.2 奇偶性第2课时奇偶性的应用奇偶性与单调性一般地,若函数f(x)为奇函数,则f(x)在关于原点对称的两个区间[a,b]和[-b,-a]上具有的单调性;若函数f(x)为偶函数,则f(x)在关于原点对称的两个区间[a,b]和[-b,-a]上具有的单调性.【经典例题】题型一利用奇偶性求解析式1.已知区间[a,b]上的解析式,求[-b,-a]上的解析式:(1)“求谁设谁”,即在哪个区间上求解析式,x就应在哪个区间上设.(2)要利用已知区间的解析式进行代入.(3)利用f(x)的奇偶性写出-f(x)或f(-x),从而解出f(x).注意:若函数f(x)的定义域内含0且为奇函数,则必有f(0)=0,但若为偶函数,未必有f(0)=0.例1 已知f(x)是定义域为R的偶函数,当x>0时,f(x)=x2+x,求当x<0时,f(x)的解析式.【跟踪训练】1 已知y=f(x)是定义在R上的奇函数,且当x>0时,f(x)=2x-x2,求y=f(x)的解析式.2.已知一奇一偶两函数之和,求这两个函数的解析式已知一奇一偶两函数之和,对x 赋值,令x =-x .f (x ),g (x )一奇一偶,才能把-x 的负号或提或消,最终得到关于f (x ),g (x )的二元方程组,从中解出f (x )和g (x ).例2 设f (x )是偶函数,g (x )是奇函数,且f (x )+g (x )=1x -1,求函数f (x ),g (x )的解析式.【跟踪训练】2 设f (x )是偶函数,g (x )是奇函数,且f (x )+g (x )=x 2+2x ,求函数f (x ),g (x )的解析式.题型二 利用奇偶性和单调性比较大小例3 设f (x )是R 上的偶函数,且在[0,+∞)上单调递增,则f (-2),f (-π),f (3)的大小顺序是 .【跟踪训练】3 若f (x )是偶函数,其定义域为(-∞,+∞),且在[0,+∞)上是减函数,则f ⎝ ⎛⎭⎪⎫-32与f ⎝ ⎛⎭⎪⎫a 2+2a +52的大小关系是( ) A .f ⎝ ⎛⎭⎪⎫-32 > f ⎝ ⎛⎭⎪⎫a 2+2a +52 B .f ⎝ ⎛⎭⎪⎫-32 < f ⎝ ⎛⎭⎪⎫a 2+2a +52C .f ⎝ ⎛⎭⎪⎫-32 ≥ f ⎝ ⎛⎭⎪⎫a 2+2a +52D .f ⎝ ⎛⎭⎪⎫-32 ≤ f ⎝ ⎛⎭⎪⎫a 2+2a +52题型三 函数的奇偶性和单调性解不等式点拨:1.充分利用已知的条件,结合函数的奇偶性,把已知不等式转化为f (x 1)>f (x 2)或f (x 1)<f (x 2)的形式,再利用单调性脱掉“f ”求解.2.在对称区间上根据奇函数的单调性一致,偶函数的单调性相反,列出不等式或不等式组,求解即可,同时要注意函数自身定义域对参数的影响.例4 已知函数y =f (x )在定义域[-1,1]上是奇函数,又是减函数,若f (1-a 2)+f (1-a )<0,求实数a 的取值范围。
专题06利用函数性质解决抽象函数不等式【高考地位】函数的单调性是函数的一个非常重要的性质,也是高中数学考查的重点内容。
而抽象函数的单调性解函数不等式问题,其构思新颖,条件隐蔽,技巧性强,解法灵活,往往让学生感觉头痛。
因此,我们应该掌握一些简单常见的几类抽象函数单调性及其应用问题的基本方法。
确定抽象函数单调性解函数不等式万能模板内容使用场景几类特殊函数类型解题模板第一步(定性)确定函数)(x f 在给定区间上的单调性和奇偶性;第二步(转化)将函数不等式转化为)()(N f M f <的形式;第三步(去f )运用函数的单调性“去掉”函数的抽象符号“f ”,转化成一般的不等式或不等式组;第四步(求解)解不等式或不等式组确定解集;第五步(反思)反思回顾,查看关键点,易错点及解题规范.例1已知函数()f x 是定义在R 上的奇函数,若对于任意给定的实数12,x x ,且12x x ≠,不等式()()()()11221221x f x x f x x f x x f x +<+恒成立,则不等式()()1120x f x +-<的解集为__________.【答案】11,2⎛⎫- ⎪⎝⎭.【解析】第一步,(去f )运用函数的单调性“去掉”函数的抽象符号“f ”,转化成一般的不等式或不等式组:若对于任意给定的实数12,x x ,且12x x ≠,,不等式()()()()11221221x f x x f x x f x x f x +<+恒成立,等价为()()()12120x x f x f x ⎡⎤--<⎣⎦恒成立,即()f x 是定义在R 上的减函数,第二步,(定性)确定函数)(x f 在给定区间上的单调性和奇偶性:又()f x 是定义在R 上的奇函数,所以()00f =,第三步,(求解)解不等式或不等式组确定解集:当10x +>时,()120f x -<,所以120x ->,联立解得112x >>-,当10x +<时,()120f x ->,所以120x -<,无解,综上应填11,2⎛⎫- ⎪⎝⎭.【变式演练1】若定义在R 上的奇函数()f x 在()0,∞+上单调递增,且()20f =,则不等式()10xf x -≤的解集为()A .(][),13,-∞-+∞B .(][],11,3-∞- C .[][]1,01,3- D .[][)1,03,-+∞ 【答案】C【分析】首先将()10xf x -≤转化为()010x f x ≤⎧⎨-≥⎩或()010x f x ≥⎧⎨-≤⎩,根据函数单调性解()10f x -≥和()10f x -≤,进而可以求出结果.【详解】因为()10xf x -≤,所以()010x f x ≤⎧⎨-≥⎩或()010x f x ≥⎧⎨-≤⎩,因为()f x 在()0,∞+上单调递增,且()20f =,所以()001310012x x x f x x ≥≥⎧⎧⇒⇒≤≤⎨⎨-≤≤-≤⎩⎩,因为()f x 在R 上为奇函数,所以()f x 在(),0-∞上单调递增,且()20f -=,因此()001010211x x x f x x ≤≤⎧⎧⇒⇒-≤≤⎨⎨-≥-≤-≤-⎩⎩,综上:不等式()10xf x -≤的解集为[][]1,01,3- .故选:C.【变式演练2】已知定义在[1,)+∞上的函数()f x 满足()ln ()0f x x xf x '+<且(2021)0f =,其中()'f x 是函数()f x 的导函数,e 是自然对数的底数,则不等式()0f x >的解集为()A .(1,2021)B .(2021,)+∞C .(1,)+∞D .[1,2021)【答案】A【分析】令()ln ()g x xf x =,1≥x ,利用导数可知()g x 在[1,)+∞上为单调递减函数,将不等式()0f x >化为1x >且()(2021)g x g >,再利用()g x 的单调性可解得结果.【详解】令()ln ()g x xf x =,1≥x ,则1()ln ()()()()ln f x x xf x g x f x f x x x x'+''=+=,因为1≥x ,()ln ()0f x x xf x '+<,所以()0g x '<,所以()g x 在[1,)+∞上为单调递减函数,当1x =时,由()ln ()0f x x xf x '+<可知(1)0f <,不满足()0f x >;当1x >时,ln 0x >,所以()0f x >可化为()ln 0f x x >(2021)ln 2021f =,即()(2021)g x g >,因为()g x 在(1,)+∞上为单调递减函数,所以12021x <<,所以不等式()0f x >的解集为(1,2021).故选:A【变式演练3】定义在非零实数集上的函数()f x 满足()()()f xy f x f y =+,且()f x 是区间(0,)+∞上的递增函数.(1)求(1),(1)f f -的值;(2)求证:()()f x f x -=;(3)解不等式1(2)(02f f x +-≤.【答案】(1)(1)0f =,(1)0f -=;(2)证明见解析;(3)⎥⎦⎤ ⎝⎛⎪⎭⎫⎢⎣⎡1,2121,0 .【解析】试题分析:(1)利用赋值法可求)1(f ,)1(-f ;(2)根据函数的奇偶性定义即可证明函数是偶函数;(3)根据函数奇偶性,利用数形结合可解得不等式的解集.试题解析:解:(1)令1x y ==,则(1)(1)(1)f f f =+,∴(1)0f =,令1x y ==-,则(1)(1)(1)f f f =-+-,∴(1)0f -=(2)令1y =-,则()()(1)()f x f x f f x -=+-=,∴()()f x f x -=(3)据题意可知,函数图象大致如下:1(2)()(21)02f f x f x +-=-≤,∴1210x -≤-<或0211x <-≤,∴102x ≤<或112x <≤.考点:抽象函数及应用.【变式演练4】定义在(1,1)-上的函数()f x 满足下列条件:①对任意,(1,1)x y ∈-,都有()()()1x y f x f y f x y++=++;②当(1,0)x ∈-时,有()0f x >,求证:(1)()f x 是奇函数;(2)()f x 是单调递减函数;(3)21111((()()1119553f f f f n n +++>++ ,其中*n N ∈.【答案】(1)证明见解析;(2)证明见解析;(3)证明见解析.【解析】试题分析:(1)由奇函数的定义及特殊值0)0(=f 即可证明;(2)由单调性的定义,做差证明;(3)先由题中已知的恒等式赋值,得出要求数列的通项,再利用裂项求和的方法求得不等式左边的最简形式,最后比较左右两边的大小关系,即可得证.试题解析:证明:(1)令0x y ==代入()()()1x y f x f y f xy++=+,得到(0)0f =.令y x =-,得()()(0)0f x f x f +-==,即()()f x f x -=-.∴()f x 在(1,1)-上是奇函数.(2)设1211x x -<<<,则12121212()()()()()1x x f x f x f x f x f x x --=+-=-∵1211x x -<<<,∴1212||||||1x x x x =<,1211x x -<<.又120x x -<,∴121201x x x x -<-且12121212(1)(1)1011x x x x x x x x -+++=>--,∴1212101x x x x --<<-,∴1212(01x x f x x ->-,∴12()()0f x f x -<,∴12()()f x f x <所以()f x 在(1,1)-上是单调递减函数.(3)211(1(3)(2)23([][]1155(2)(3)11()23n n n n f f f n n n n n n +-+-+++==++++-+-++1111(()((2323f f f f n n n n =+-=-++++∴2111(()(111955f f f n n +++++ 111111[(([()()][()()]344523f f f f f f n n =-+-++-++ 1111()()()(3333f f f f n n =-=+-++∵1013n <<+,∴1()03f n ->+,∴111(()()333f f f n +->+.故21111(()((1119553f f f f n n +++>++ .考点:1.抽象函数;2.函数的单调性,奇偶性;3.数列求和.。
利用函数的奇偶性解不等式和证明不等式
函数的奇偶性是函数的重要性质之一。
高中课本在研究函数的奇偶性时,主要研究判断函数奇偶性的方法及奇偶函数的性质,而对函数奇偶性的应用谈得很少。
事实上,研究函数奇偶性的应用,不仅能加深对函数知识的理解,而且更重要的是培养运用数学知识解决问题的能力,培养学生的思维广阔性。
下面我们就以二例来说明如何利用函数的奇偶性来解不等式或证明不等式.
1. 利用函数的奇偶性解不等式
例1,解不等式05110)
1(833>+++++x x x x 。
解:原不等式变形为)5()1
2(5)12(
33x x x x +->+++。
令x x x f 5)(3+=,则)()1
2(x f x f ->+。
注意到)(x f 是奇函数且单调递增,故 )()()12(x f x f x f -=->+。
所以x x ->+12,解得1->x 。
2.利用函数的奇偶性证明不等式
例2,求证
22
1x x x <- )0(≠x . 证明:设221)(x x x f x --= )0(≠x ,易证)(x f 是偶函数。
当0>x 时,021<-x ,从而0)(<x f ;
当0<x 时,0>-x ,由于)(x f 是偶函数,则0)()(<-=x f x f .
故当0≠x 时,恒有0)(<x f ,即22
1x x x <-. 以上分析表明,函数奇偶性的应用是多方面的。
利用函数奇偶性解题,方法灵活新颖、简捷巧妙,可充分拓展学生头脑中的知识,使其所学到的知识和方法得到广泛的应用,从而开阔了思维,提高了解题能力、应用能力。